Міністерство освіти і науки України
Національний транспортний університет
Факультет економіки, менеджменту і права
Кафедра економіки
Курсова робота
З дисципліни: «Мікроекономіка»
на тему:
«Взаємодія попиту і пропозиції на ринку товару»
Виконала:
Студентка групи ТМ ІІ-3
Ярова Тетяна Володимирівна
Науковий керівник:
Доцент Лук’янченко Р.О.
Київ 2009
План
Вступ
Розділ І Основні мікроекономічні теорії попиту і пропозиції
1.1 Попит і пропозиція
1.2 Теорія рівноваги
1.3 Ефект доходу та ефект заміщення. Парадокс Гіффена
Розділ ІІ Аналіз попиту і пропозиції
2.1 Обсяги продажу побутової техніки
2.2 Вплив якості побутової техніки на попит і пропозицію
Розділ ІІІ Виробництво побутової техніки в Україні: проблема конкурентоздатності та перспективи розвитку
3.1 Розвиток ринку побутової техніки у 2008-2009 рр.
3.2 Взаємодія попиту і пропозиції в умовах кризи
Висновок
Список використаних джерел
Вступ
З точки зору класичної політичної економії ринок - це відносини обміну між виробниками та споживачами, в результаті яких вироблені товари змінюють свого власника і переходять у сферу споживання, а ринкова ціна - це грошова форма мінової вартості товару, зовнішній, поверхневий прояв вартості, тобто суспільно-необхідних затрат праці на виробництво товару.
З точки зору мікроекономіки, ринок - це механізм взаємодії основних мікроекономічних суб’єктів - споживачів і фірм, завдяки якому відбувається реалізація господарських рішень та їх оптимізація.
Споживачі на ринку виступають як покупці, а фірма - як продавці товарів і послуг. Поведінку покупця описує категорія «попит», поведінку продавця категорія «пропозиція». Ринкова ціна визначається як результат складної взаємодії продавців і покупців.
Рівень ринкової ціни відображає не тільки витрати виробництва, котрі виступають визначальним фактором пропонування, але й вплив багатьох факторів, які формуються на боці попиту. Найважливішу роль для попиту відіграє суб'єктивно-психологічна оцінка споживачем корисності блага, яка на ринку проявляється як цінність товару. Саме до характеристики спільного впливу чинників попиту та пропозиції на утворення ринкової ціни. А.Маршал застосував образну характеристику «лез ножниць», зазначивши, що можна на однакових підставах сперечатися про те, чим регулюється ринкова ціна - корисністю чи витратами виробництва, як і про те, яке лезо ножиць розрізає аркуш паперу - верхнє чи нижнє. Таким чином, ціна виступає як складна функція попиту і пропозиції.
Забиваем Сайты В ТОП КУВАЛДОЙ - Уникальные возможности от SeoHammer
Каждая ссылка анализируется по трем пакетам оценки: SEO, Трафик и SMM.
SeoHammer делает продвижение сайта прозрачным и простым занятием.
Ссылки, вечные ссылки, статьи, упоминания, пресс-релизы - используйте по максимуму потенциал SeoHammer для продвижения вашего сайта.
Что умеет делать SeoHammer
— Продвижение в один клик, интеллектуальный подбор запросов, покупка самых лучших ссылок с высокой степенью качества у лучших бирж ссылок.
— Регулярная проверка качества ссылок по более чем 100 показателям и ежедневный пересчет показателей качества проекта.
— Все известные форматы ссылок: арендные ссылки, вечные ссылки, публикации (упоминания, мнения, отзывы, статьи, пресс-релизы).
— SeoHammer покажет, где рост или падение, а также запросы, на которые нужно обратить внимание.
SeoHammer еще предоставляет технологию Буст, она ускоряет продвижение в десятки раз,
а первые результаты появляются уже в течение первых 7 дней.
Зарегистрироваться и Начать продвижение
Але з іншого боку, ціна сама впливає на величину попиту і пропозиції, її рух змінює як обсяги попиту, так і обсяги пропозиції, тобто попит і пропозиція виступають як функції ціни. Отже, три складові ринку - попит, пропозиція, ціна - тісно пов'язані між собою і взаємно впливають одна на одну, формуючи ринковий механізм саморегулювання.
Таким чином, викладене вище зумовлює актуальність теми дослідження курсової роботи.
Об'єктом дослідження курсової роботи є теоретичні засади мікроекономіки.
Предметом дослідження є механізм взаємодії попиту і пропозиції в системі ринкової економіки.
Розділ І Основні мікроекономічні теорії попиту і пропозиції
1.1 Попит і пропозиція
Попит виражає сформовану на ринку потребу в життєвих засобах, що визначається кількістю товарів і послуг, які споживачі можуть придбати за цінами, що склалися на ринку, та наявністю коштів
Попит завжди конкретно виражений, динамічно змінюється під впливом ряду чинників.
Розглянемо деякі положення, що уточнюють поняття «попит».
По-перше, попит тісно пов'язаний з дійсними суспільними потребами, бажаннями, але не збігається з їхньої кількісною визначеністю. Порівняйте: ви маєте бажання купити ряд товарів, але коли оцінюєте свої фінансові можливості, то бачите, що ваше бажання значно випереджає ваші можливості, тому що останні залежать від платоспроможного попиту.
По-друге, суб'єкт попиту репрезентує сферу споживання (виробничого чи особистого) і виступає на ринку покупцем. Об'єктами попиту можуть бути будь-які об'єкти ринкових відносин, що мають вартісну оцінку і певну корисність для споживання.
Закон попиту
Рух попиту об'єктивно регулюється законом попиту. Він відбиває причинно-наслідковий зв'язок між зміною ціни і зміною величини попиту. При цьому цей зв'язок має зворотний характер:
підвищення ціни зумовлює зменшення попиту і навпаки — зниження ціни веде до його зростання.
У законі попиту виявляється суперечність між ціною і платоспроможністю, а точніше — між зміною ціни і постійною на цей час величиною платоспроможного попиту населення.
Якщо ціна зросла, то при тому самому платоспроможному попиті населення зменшуються можливості здійснення покупок. Вони скорочуються не в номінальному грошовому, а в натуральному вираженні. Інакше кажучи, замість 5 кг якогось харчового продукту ви зможете придбати уже тільки 3-4 кг, або змушені будете купувати дешевший замінювач звичного для вас продукту. Наприклад, замість вищого сорту чаю купують нижчий, замість кави — чай.
Сервис онлайн-записи на собственном Telegram-боте
Попробуйте сервис онлайн-записи VisitTime на основе вашего собственного Telegram-бота:
— Разгрузит мастера, специалиста или компанию;
— Позволит гибко управлять расписанием и загрузкой;
— Разошлет оповещения о новых услугах или акциях;
— Позволит принять оплату на карту/кошелек/счет;
— Позволит записываться на групповые и персональные посещения;
— Поможет получить от клиента отзывы о визите к вам;
— Включает в себя сервис чаевых.
Для новых пользователей первый месяц бесплатно.
Зарегистрироваться в сервисе
Вихід з цієї суперечності полягає у зменшенні попиту на товари, ціна на які зросла.
Протилежна ситуація виникає тоді, коли ціна знизилася. Споживач має можливість придбати ті товари, продаж яких раніше стримувався через недостатню купівельну спроможність. У цьому разі попит зростає на більш дорогі товари.
Форми вияву закону попиту найрізноманітніші.
Якщо ціни зросли, реалізація їх може знизитися. Це станеться лише тоді, коли маса товарів залишиться незмінною. При скороченні товарної маси за допомогою ціни встановлюють нову пропорцію (новий баланс) між масою товарів і платоспроможним попитом.
У конкурентній боротьбі виробник мусить реагувати на поведінку споживачів. При затримці реалізації товарів і створенні товарних запасів можуть бути вжиті заходи щодо зниження цін і зменшення товарних запасів.
Формою вияву закону попиту є також ефект заміщення. Він полягає у переміщенні попиту на дешевші товари-замінники.
Однією з форм вияву закону попиту є ефект доходу. Він спостерігається тоді, коли відбулось зниження ціни. Це призводить до того, що у споживача в результаті зниження ціни з 'явилась вільна сума грошей, яка може бути спрямована на придбання додаткових життєвих засобів.
Крива попиту
— відношення між ринковою ціною товару і грошовим виразом попиту на неї. Крива попиту показує вірогідну кількість товару, який вдається продати за певний час по цінах даного рівня. Що еластичніший попит, то вища ціна може бути встановлена на товар. Еластичність попиту — це реакція ринку на відсутність товару, можливість його заміни, ціну конкурентів, пониження цін, небажання покупців міняти свої споживчі звички і шукати дешевші товари, підвищення якості товарів, природне зростання інфляції і на інші чинники.
Рис. 1. Крива попиту
Крива має негативний нахил, що демонструє зворотну залежність між двома змінними — ціною за одиницю товару Р і обсягом його продажу Q. Причому кожна додаткова купівля однорідного g товару показує зниження його граничної корисності. Це свідчить про те, що закон попиту діє одночасно з законом спадної граничної корисності економічних благ.
Рух по кривій попиту з однієї точки до будь-якої іншої показує, як зміна однієї змінної, тобто ціни, зумовлює зворотний рух, тобто обсягу продаж.
Може бути і так, що крива попиту DD не змінюється, не зміщується в той чи інший бік. Це означає, що попит не змінився. У цьому разі зміна ціни впливає лише на обсяг продажу товарів, але не на попит.
Крива попиту ілюструє лише зміну співвідношення цін і обсягу продаж у чистому вигляді, абстрагуючись від нецінових чинників (суб'єктивних поглядів покупців, моди тощо). Проте в ринковому господарстві вирішальне значення мають цінові чинники, тому абстрагування від нецінових чинників цілком припустиме.
Еластичність попиту
— це показник, що виражає коливання сукупного попиту, викликані пониженням цін на товари і послуги. Еластичним називається попит, що сформувався за умови, що зміна його об'єму (у %) перевищує відсотковий вираз зниження цін: Ed>1.
Якщо показники падіння цін і збільшення попиту виражені у відсотках, рівні, тобто зростання об'єму попиту лише компенсує зниження рівня цін, то еластичність попиту рівна одиниці: Ed=1.
У разі, коли ступінь пониження цін перевищує показник попиту на товари і послуги, попит нееластичний: Ed<1. Отже, еластичність попиту - показник ступеня чутливості (реакції) споживачів до змін ціни товару.
Еластичність попиту може бути пов'язана не тільки із зміною ціни на товар, але і зі зміною доходу споживачів. Тому розрізняють еластичність попиту за ціною та еластичність попиту по доходах. Є і попит з одиничною еластичністю. Це ситуація, за якої і дохід, і величина попиту змінюються на однаковий відсоток, отже загальний дохід залишається постійним у міру зміни ціни.Реакція споживачів на зміну ціни товару може бути сильною, слабкою, нейтральною. Кожен з них породжує відповідний попит: еластичний, нееластичний, одиничний. Можливі варіанти, коли попит виявляється абсолютно еластичним або абсолютно нееластичним.
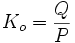
Еластичність попиту вимірюється кількісно через коефіцієнт еластичності за формулою:

Ko — коефіцієнт еластичності попитуQ — відсоток зміни кількості продажівP — відсоток зміни ціни
Як правило, існують товари з різною еластичністю за ціною. Зокрема, хліб та сіль є прикладами нееластичного попиту. Підвищення або зниження на них цін в цілому не впливає на кількість їх споживання.
Знання ступеня еластичності попиту на товар має велике практичне значення. Так, наприклад, продавці товару з високою еластичністю попиту можуть піти на зниження ціни з метою різко збільшити об'єм продажів і отримати прибуток більший, ніж якби ціна товару була вища.
Для товарів з низькою еластичністю попиту подібна цінова практика неприйнятна — при зниженні ціни об'єм продажів зміниться слабо і не компенсує упущену вигоду.
За наявності великої кількості продавців попит на будь-який товар буде еластичним, бо навіть незначне підвищення ціни одним з конкурентів примусить споживачів звертатись за покупкою до інших продавців, що пропонують цей же товар дешевше.
Пропозиція
показує кількість товарів і послуг, яка е у продажу за певною ціною.
Пропозиція представлена результатами господарської діяльності (виробництва), що набувають товарного вигляду і можуть бути доставлені на ринок в певному обсязі та в певний час.
Як і чинники, що визначають попит, чинники пропозиції також поділяють на об'єктивні та суб'єктивні.
До об'єктивних належать економічні, соціальні, демографічні.
Економічними чинниками є: рівень технології, організаційно-інфраструктурне забезпечення, сфера обігу; державне стимулювання ринкової конкуренції, переміщення капіталів.
Соціальні чинники — це професійно-кваліфікаційний склад робочої сили, суспільна престижність підприємства, розміри і активність підприємців, їхня економічна самостійність, рівень культури і спеціальної освіти учасників виробництва.
Демографічні чинники охоплюють: масштаби і характер залучення у виробництво і вивільнення робочої сили, розподіл працездатного населення за територією.
До суб'єктивних чинників відносять психолого-традиційні, естетичні, природньо-кліматичні.
Психолого-традиційні чинники — це зміни смаків та уподобань споживачів, місцеві, національні традиції, виховання, релігійні звичаї.
Естетичні чинники включають зміни у моді, розвиток промислового дизайну.
Природно-кліматичнї чинники — це клімат, рельєф та місцезнаходження, флора і фауна.
Однак надалі головну увагу при розгляді чинників пропозиції ми приділятимемо ціновому чиннику.
Закон пропозиції
Об'єктивний рух пропозиції регулюється відповідним економічним законом — законом пропозиції. Пропозиція стосується насамперед економічної діяльності виробників, тобто основних суб'єктів конкурентної боротьби. Отже, процесом-причиною закону пропозиції виступає зміна ціни: вона може знижуватись або зростати. Цей процес тісно пов'язаний з певною масою товарів, послуг, що пропонується споживачам.
Якщо ціна знижується, то при тій самій масі товарів і послуг підприємець одержує менше коштів від реалізації і навпаки. У другому випадку, коли ціна зросла, коштів стає більше. Як бачимо, у причинно-наслідковому зв'язку закону пропозиції на відміну від закону попиту існує прямий зв'язок.
У кожний конкретний момент, як правило, зміна ціни означає, що маса товарів і послуг виробляється (надається) при тих самих витратах виробництва. Ця обставина змушує виробників змінювати тактику. Насправді витрати виробництва не змінились, але цю саму масу товарів і послуг через зниження ціни продано дешевше. Різниця між сумою реалізації та витратами виробництва зменшилась, отже, виробник одержав менший прибуток. Норма прибутку знизилась. Це досить серйозний привід для оцінки доцільності виробництва цього виду товару.
Підприємець має вжити заходів щодо зміни асортименту товару або щодо зниження витрат виробництва. Закон пропозиції, по суті, вимагає привести пропозицію у відповідність з існуючим попитом або знизити витрати виробництва, узгодити їх з новою ціною.
Крива пропозиції
показує співвідношення між ринковими цінами і кількістю товарів, які виробники бажають запропонувати.
Рис. 2. Крива пропозиції
Основний чинник, що впливає на рух кривої пропозиції — це витрати виробництва. Як відомо товари, виготовляються фірмами заради прибутку. Наприклад, фірми вирощують пшеницю. Вони вирощують пшениці більше, тому що на даний момент пшеницю вигідно продати, ніж іншу культуру. І навпаки.
Основний чинник, що впливає на рух кривої пропозиції — це технічний прогрес. Новий посівний матеріал, більш ефективніший трактор, краща комп'ютерна програма сівозміни — все це дозволяє фермерові понизити витрати виробництва і змінити пропозицію свого товару. Виробничі витрати — ключовий елемент довготривалої дії на «криву пропозиції».
Еластичність пропозиції
— показник, що відтворює зміни сукупної пропозиції, які відбуваються у зв'язку зі зростанням цін. У випадку, коли збільшення пропозиції перевершує зростання цін, останнє характеризується як еластичне (еластичність пропозиції більше одиниці — E>1). Якщо приріст пропозиції дорівнює приросту цін, пропозиція називається одиничною, а показник еластичності дорівнює одиниці (E=1). Коли приріст пропозиції менше приросту цін, формується так звана нееластична пропозиція (еластичність пропозиції менше одиниці — E<1). Таким чином, еластичність пропозиції характеризує чутливість (реакція) пропозиції товарів на зміни їх цін.Еластичність пропозиції обчислюється через коефіцієнт еластичності пропозиції за формулою:

Km- коефіцієнт еластичності пропозиції
G — відсоток зміни кількості пропонованого товару
F — відсоток зміни ціни
Еластичність пропозиції залежить від таких чинників, як особливість виробничого процесу, час виготовлення продукту і особливість його до тривалого зберігання. Особливості виробничого процесу дозволяють виробникові розширити виробництво товару при підвищенні ціни, а при пониженні його ціни переходить на випуск іншої продукції. Пропозиція такого товару є еластичною.
Еластичність пропозиції залежить і від часового чинника, коли виробник не в змозі швидко реагувати на зміни ціни, оскільки для додаткового виробництва товару необхідний значний час. Наприклад, збільшити виробництво автомобілів за тиждень практично неможливо, хоча ціна на них може зрости в багато разів. У таких випадках пропозиція є нееластичною. Для товару, який не може зберігається тривалий час (наприклад, продукти, що швидко псуються), еластичність пропозиції буде низькою.
Багато економістів виділяють такі фактори, що змінюють пропозицію:
· Зміни в собівартості виробництва за рахунок цін на ресурси, зміни податків і дотацій, досягнень науки і техніки, нових технологій. Зниження собівартості дозволяє виробникові доставити на ринок більше товарів. Зростання собівартості призводить до протилежного результату — пропозиція знижується.
· Зміни цін на інші товари, зокрема на товари субститути.
Індивідуальні смаки споживачів.
Перспективні очікування виробників. При прогнозах щодо зростання цін в майбутньому виробники можуть скоротити пропозицію, щоб незабаром продати товар за вищою ціною, і навпаки, очікування падіння цін змушує виробників позбавитись товару якнайскоріше, щоб не зазнати збитків в майбутньому.
Кількість товаровиробників безпосередньо впливає на пропозицію, оскільки чим більше постачальників товарів, тим вище пропозиція і навпаки, при зменшенні числа виробників різко скорочується пропозиція.
1.2 Теорія рівноваги
Політична економія, що обслуговувала адміністративно-командну систему, вважала, що ринкова економіка в умовах капіталізму має хаотичний характер розвитку.
Насправді ринкова економіка здатна до саморегулювання. Воно відбувається під впливом вільної конкуренції, постійної зміни цін, регулювання економічних процесів на основі співвідношення попиту і пропозиції.Хоча в ринковій економіці можливі прорахунки, але по кожному товару встановлюється певний рівень ціни на основі рівноваги попиту і пропозиції. Діє система саморегулювання. У кожний певний момент виникає конкретна рівновага між попитом і пропозицією. І ця рівновага досить ефективна.
Рис. 3. Рівноважна ціна
При встановленні такої рівноваги випуск продукції досягає економічно доцільного, витрати чинників виробництва — мінімального рівня. В результаті, як дотепно зауважує П. Самуельсон, людям, які люблять яблука, ніхто не пропонує апельсини, і навпаки.Теорія рівноваги Л. Вальраса
Автором теорії загальної рівноваги є відомий швейцарський економіст Леон Вальрас (1834 - 1910), професор Лозаннського університету, за походженням француз. Він був одним із засновників теорії граничної корисності. Однак особливо став відомим як автор теорії рівноваги. Своє відкриття він зробив на основі математичних висновків.
Леон Вальрас довів, що в умовах ринкової економіки є можливість встановлення рівноваги на основі співвідношення пропозиції і попиту. Вільна конкуренція забезпечує встановлення ціни рівноваги.
Рівноважна ціна — це ціна на конкурентному ринку, за якої величина попиту і пропозиції однакові, немає ні дефіциту, ні надлишку товарів і послуг. Така ціна не містить у собі тенденції до зростання або до зниження обсягів виробництваПостулатами теорії рівноваги Л. Вальраса є такі:
1. Зміни цін впливають на попит і пропозицію і навпаки; зміна попиту впливає на пропозицію і навпаки. Отже, їхній взаємозв'язок впливає на встановлення рівноваги.
2. Рівноважна ціна встановлюється у результаті конкуренції, співвідношення попиту і пропозиції, наявності ресурсів та інших чинників.
3. Загальна рівновага здійснюється щодо всіх товарів. Це пояснюється тим, що потреба у цьому товарі залежить від наявності інших товарів. Наприклад, споживання м'яса залежить від наявності кави.
4. Рівновагу характеризує, як правило, мінова вартість. Мінова цінність товарів — це рівень економічної рівноваги. В умовах конкуренції діють механізми, які усувають диспропорції та встановлюють таку мінову вартість, що грунтується на ціні рівноваги. В умовах монополії диспропорції зберігаються.
5. Рівновага досягається на основі дії всіх учасників ринку.
6. Рівновага здатна забезпечити максимально високий рівень задоволення потреб (безумовно, за наявності ресурсів).
7. Попит на кожний товар залежить не тільки від його ціни, а і від цін на всі інші товари. Наприклад, зростання цін на деякі продукти харчування призвело в Україні до зменшення попиту на періодичні видання. Багато людей відмовляються від передплати на газети і журнали. Різко скоротилися їхні тиражі.
8. Сума попиту споживача на всі закуплені ним товари і покупки дорівнює за вартістю сумі всіх проданих ним товарів і послуг (у тому числі послуг праці).
9. Ринок безперервно здійснює «пошук» так званих рівноважних цін.
10. Конкуренція — це важливий чинник встановлення рівноваги (через ціни). Існуючі цінові сигнали регулюють ринок, з допомогою їх досягається рівновага.Для рівноваги потрібний ринковий механізм, який діє значно ефективніше, ніж у минулому так звана планова система.
1.3 Ефект доходу та ефект заміщення. Парадокс Гіффена
Якщо ціна товару X змінюється, то можливості споживача придбати різні набори товарів теж змінюються. З одного боку, зниження цін на товар X робить його привабливішим для споживача, оскільки він стає дешевшим щодо товарів-субститутів. З іншого боку, вивільнення коштів від здешевлення покупки товару X дає змогу людині збільшити споживання інших товарів. Таким чином, зростає реальний доход споживача, хоча його номінальний доход залишається попереднім. Реакція споживача на таке зростання реального доходу значною мірою буде залежати від його ставлення до споживчих якостей товару. Щоб моделювати поведінку споживача, слід розмежовувати дію двох ефектів, які спостерігаються при зміні цін на один з товарів.
Ефект доходу — це тільки ті зміни у споживанні, що спричинені зміною реального доходу споживача під впливом руху цін. Як було з'ясовано раніше, зростання доходу суперечливо впливає на споживання нормальних та неякісних товарів: якщо із збільшенням доходу споживання нормальних товарів зростає, то споживання неякісних — зменшується.
Ефект заміщення — це тільки ті зміни у споживанні товару, які є результатом змін цін цього товару відносно цін на інші товари. Цей ефект спрацьовує однаково і щодо нормальних, і щодо неякісних товарів.
Ці два ефекти діють одночасно. Тому реальна спрямованість змін споживання буде рівнодіючою ефектів доходу та заміщення. Обидва ефекти діють в одному напрямку. У цьому випадку прогнозувати зміни споживання залежно від змін ціни на товар дещо простіше. Що ж до впливу зміни ціни на споживання неякісних товарів, то спрямованість впливів ефектів доходу та заміщення протилежна. Залежні від того, який ефект спрацьовує сильніше, динаміка ціни та динаміка споживання матимуть однакову або протилежну спрямованість.
Якщо ефект заміщення має більший вплив, то із зростанням ціни споживання товару X зменшується, а при її зниженні — збільшується. Однак може скластися ситуація, коли переважає ефект доходу, тоді при зростанні ціни зростає і споживання, а при її зменшенні споживання також зменшується. Така ситуація трапляється досить рідко.Неякісний товар, для якого ефект доходу переважає над ефектом заміщення називається Гіффеновим товаром, а зростання споживання цього товару із підвищенням ціни на нього — парадоксом Гіффена.
Роберт Гіффен (1837—1910) — англійський вчений, який виявив, що незаможні робітники в Англії збільшують споживання дешевих неякісних продуктів харчування (зокрема, житнього хліба) у разі їх подорожчання. Таку саму ситуацію можна спостерігати і при аналізі структури споживання малозабезпечених верств населення України під час економічної кризи 90-х pp.
Товар Гіффена має одночасно відповідати таким вимогам:
· бути неякісним в уявленні споживача;
· бути значною часткою його витрат.
Парадокс Гіффена, на перший погляд, здається винятком із закону попиту. Проте детальніше дослідження доводить, що саме взаємодія ефектів заміщення та доходу спричиняє такий розвиток подій. Існує ще кілька прикладів винятків із закону, коли із підвищенням цін спостерігається збільшення закупок того чи іншого товару. Так, деякі споживачі можуть ототожнювати зростання цін з підвищенням якості продукції і збільшувати його закупки в умовах нестабільності економічної ситуації зростання цін може сприйматися і як передвісник інфляційного стрибка. Для отримання виграшу споживачі намагатимуться придбати більше продукту за сьогоднішніми цінами, поки вони ще не так зросли. Однак усі ці дії споживача можна легко пояснити, виходячи з теорії поведінки споживача.
взаємодія попит пропозиція ринок товар
Розділ ІІ Аналіз попиту і пропозиції
2.1 Обсяги продажу побутової техніки
В першому кварталі 2007 року в містах України з населенням понад 100 тис. мешканців було продано 913 тис. одиниць аудіо- та відеотехніки на 193,5 млн. доларів. У порівнянні з першим кварталом 2006 року ринок аудіо- та відеотехніки зріс на 13% у фізичному виразі та майже на 15% – у вартісному. Протягом січня-березня цього року значно збільшилися продажі панельних телевізорів, цифрових портативних аудіо- та відеопрогравачів. Одночасно відбулося скорочення сегменту кінескопних телевізорів та домашніх аудіо-систем. Про це свідчать результати моніторингу продажу товарів тривалого вжитку, який здійснює компанія GfK Ukraine на основі роздрібної панелі електротоварів у 45 містах України з населенням понад 100 тис. доларів.
Панельні телевізори наступають протягом січня–березня 2007 року в містах України з населенням понад 100 тис. мешканців було продано майже 44 тис. Панельних телевізорів (рідкокристалічних, плазмових, проекційних), що більше ніж в три рази перевищує показник аналогічного періоду 2006 року. В грошовому виразі цей сегмент зріс в 2,5 рази до 52 млн. доларів, завдяки чому зайняв 27% ринку аудіо- та відеотехніки (у порівнянні з 12% у першому кварталі 2006 року). Збільшення продажів панельних телевізорів відбулося в усіх цінових сегментах. Найбільшим попитом у першому кварталі 2007 року користувалися панельні телевізори в ціновому діапазоні 1000-2000 доларів. Загалом було продано 20 тис. одиниць на загальну суму 28 млн. доларів. Їхня частка в загальній кількості проданих панельних телевізорів в грошовому виразі склала 54%, що майже в два рази більше ніж у першому кварталі минулого року.
Також суттєво зросли обсяги продажів найдешевших телевізорів вартістю до 500 доларів (приблизно в 6 разів у вартісному вимірі). Найбільшою популярністю в цьому ціновому сегменті користувалися невеликі рідкокристалічні телевізори з діагоналлю 19", яких було продано 5300 одиниць у порівнянні з 856 у першому кварталі минулого року. Одночасно скоротився обсяг продажу кінескопних телевізорів: у першому кварталі цього року їх було продано 288 тис., що майже на 12% менше ніж за аналогічний період 2006 року. У грошовому виразі обсяг продажів скоротився на 16% до 65 млн. доларів. Частка кінескопних телевізорів в структурі продажів аудіо- та відеотехніки також скоротилась до 34% (у порівнянні з 46% у першому кварталі минулого року). Українці відчули переваги портативних відео-програвачів… Протягом січня-березня 2007 року значно зріз ринок цифрових портативних відео програвачів / рекодерів – в 15 разів у фізичному та 6 разів у грошовому вимірі порівняно до показників аналогічного періоду 2006 року. Якщо протягом всього 2006 року було продано 5395 пристроїв, то лише за перший квартал 2007 року ця цифра сягнула 3980 одиниць.
Найбільшим попитом користувалися моделі найнижчих цінових сегментів (до 200 доларів), частка яких в загальному обсягу продажів становила 76%. Більшим попитом також користувалися стаціонарні DVD- програвачі/рекодери: їх було продано 322 тис. одиниць, що на 37% перевищує показник першого кварталу минулого року. Найбільш популярними були DVD-програвачі вартістю до 100 доларів, частка яких у загальному обсязі продажів цих пристроїв становила 67% у вартісному вимірі. Водночас тривала тенденція до повного зникнення сегменту відеомагнітофонів. Протягом першого кварталу було продано лише 4 тис. пристроїв, що на 85% менше показника аналогічного періоду минулого року.
У першому кварталі 2007 року цифрових портативних аудіо- програвачів було продано в 2,5 рази більше ніж у першому кварталі минулого року. (При цьому сегмент CD-плеєрів за цей період скоротився майже на 60%). Головним чином збільшення продажів портативних аудіо-програвачів відбулося завдяки росту більш ніж в чотири рази попиту на моделі вартістю до 100 доларів. Водночас скоротилися продажі домашніх аудіо-систем. Загалом було продано 81 тис. одиниць на загальну суму 18,6 млн. доларів, що на 11% менше показника першого кварталу 2006 року у фізичному вимірі та на 17% менше – у вартісному. Скорочення продажів домашніх аудіо-систем відбулося в усіх цінових сегментах, крім найнижчого (до 100 доларів). Попит на дешеві аудіо-системи зріс більше ніж в два рази у вартісному вимірі.

2.2 Вплив якості побутової техніки на попит і пропозицію
Ринок побутової техніки у першому кварталі 2009року
Падіння продажів роздрібних мереж побутової техніки та електроніки (у кількісному вираженні) у першому півріччі 2009 року склало 60% у порівнянні з обсягами продажів за аналогічний період минулого року. При цьому, за даними Unitrade Group, падіння продажів у грошовому вираженні склало до 70%.
"Такий розрив між грошовим і кількісним вираженням пояснюється тим, що споживчі переваги активно перемістилися в бюджетний сегмент", - пояснюють в Unitrade Group. Експерти відзначають, що переорієнтація споживачів на більш дешеву продукцію стала повсюдною. "Зараз споживач намагається заощаджувати і купує більш дешеву модель, навіть якщо не ідеться про останні гроші", - говорить виконавчий директор "Фокстрот - інформаційні технології" Дмитро Шавловський. У зв'язку із цим торговельні мережі стали активно переглядати свою асортиментну політику.
"Час, коли на полицях одночасно стояло 200 моделей мобільних телефонів, пішов в небуття. Щоб вижити, рітейлерам доведеться відмовитися від "строкатої вітрини" і асортиментних перегонів", - вважає президент Unitrade Group Володимир Колодюк. За його словами, ринок рітейлу йде до того, що кожна торговельна мережа буде чітко орієнтована на певний товар і ціновий сегмент.
Крім того, останнім часом підсилилася тенденція до продажу товарів під своїм власним брендом. За оцінкою менеджера компанії Gfk Ukraine Валентини Печончик, 90% продукції, що випускається мережами під власними марками, припадає на ПК, монітори і ноутбуки. Якщо раніше мережі ставилися до цього напрямку як до другорядного, то цього року багато виділили його в окремий проект.
Так, за останній рік спостерігалося активне розширення асортиментного ряду власних брендів "Фокстроту" - Delfa і Bravis; "Ельдорадо" - Elenberg і Cameron; Unitrade Group - Ixtone. "Ми плануємо і далі просувати власні торговельні марки. По цій продукції ми можемо контролювати виробництво, постачання та ціноутворення. Останній фактор дуже важливий, тому що ціни на техніку постачальників-імпортерів можуть рости", - пояснює виконавчий директор "Фокстрот. Техніка для дому" Олексій Павленко.
Втім, зусилля з розширення "бюджетного" асортименту допоможуть не всім. До компаній "Домотехніка" і "МКС", які вже заявили про своє банкрутство, цілком можуть приєднатися й інші мережі. За даними Unitrade Group, з кінця 2008 року в Україні було закрито близько 400 торговельних точок із продажу цифрової електроніки та побутової техніки. За прогнозами компанії, до кінця року ця тенденція продовжиться і кількість торговельних точок може скоротитися на 10% до показників першого півріччя.
Як повідомлялося, мережа із продажу мобільних телефонів Germanos оголосила про відхід з українського ринку. На початок року мережа компанії нараховувала близько 54 салонів в Україні. Нагадаємо, восени минулого року холдинг Unitrade Group закрив свою мережу мобільного зв'язку melofon. Це пов'язано з різким падінням продажів мобільних телефонів, яке в першому півріччі 2009 року склало 55% у порівнянні з аналогічним періодом минулого року.
Ринок побутової техніки у другому кварталі 2009: триває падіння
GfK Ukraine презентує дані відносно становища ринків великої та малої побутової техніки в другомі кварталі 2009 року, засновані на дослідженнях, що проводить панель Retail and Technology (Панель роздрібної торгівлі).
Ринок великої побутової техніки у другому кварталі 2009: падіння продажів триває.
За результатами другого кварталу 2009 року продажі великої побутової техніки в Україні досягли позначки 1,3 млрд. гривень, що на 36% менше, ніж за аналогічний період минулого року. Всі продуктові групи, за винятком сушильних машин, продемонстрували негативну динаміку. Загалом для великої побутової другий квартал 2009 року став вже третім періодом падіння.
Основним трендом ринку стало майже однакове скорочення продажів як вбудованої техніки, так і незалежної. Якщо на початку року вбудована техніка показала навіть збільшення продажів у порівнянні з першим кварталом 2008 року, то зараз всі важливі для ринку продуктові групи падають схожими темпами: від 26,3% у морозильних камер до 46,9% у мікрохвильових печей. Найбільш постраждалою продуктовою групою знов стали мікрохвильові печі – у вартісному вимірі продажі скоротились майже вдвічі. Одне з можливих пояснень цієї динаміки – великі обсяги продажів у минулі роки, що призвело до насичення ринку.
Ще одна тенденція ринку – це скорочення дистрибуції основних брендів та довжини полиці їхньої продукції. Рітейлери одночасно скоротили і кількість брендів в своєму асортименті, і кількість моделей кожного окремого бренду.
Холодильники та морозильні камери.
Холодильники – найвагоміша група ринку великої побутової техніки (займають 38% загального обсягу продажів) – втратили стільки ж, скільки сектор загалом. Обсяг продажів холодильників у другому кварталі 2009 року становив 503 млн. гривень, що на 36% менше показника аналогічного періоду минулого року. На цей результат вплинули порівняно висока вартість техніки, високий рівень проникнення в домогосподарства, скорочення обсягів будівництва житла та зміни у чинному законодавстві.
В другому кварталі 2009 року в цій групі спостерігалась пряма залежність між ціною та темпами скорочення продажів: чим дорожчий підсегмент, тим більше падіння. Зокрема, продажі найбільш дешевих однодверних холодильників впали на 24%, дорогих холодильників Syde by Syde – на 46%. Найбільшим підсегментом залишаються дводверні моделі з розміщенням морозильної камери знизу. Протягом останніх місяцях спостерігалась тенденція до зростання частки цієї категорії, що трохи втратила вагу з початку року.
Продажі морозильних камер склали 42 млн. гривень, що на 26,3% менше показника другого кварталу 2008 року. Хоча морозильні камери й холодильники використовуються однаково, тенденції всередині груп спостерігаються дещо інші. Більш дорогий підсегмент – морозильні камери, що відчиняються вертикально – зріс на 3% порівняно з аналогічним періодом минулого року. Втім, обсяги продажів цієї підкатегорії є досить незначними.
Ринки холодильників та морозильних камер, на яких влітку традиційно відбувається сезонне зростання, демонструють схожу динаміку й цього року. Дійсно, в червні було зафіксоване зростання продажів, яке так саме очікується за результатами липня. Така сезонність може бути першим індикатором стабілізації ринку.
Пральні машини
Пральні машини, продажі яких складають майже чверть ринку великої побутової техніки, показали динаміку дещо кращу ніж середня: падіння склало 29,6%. Загалом обсяг продажів пральних машин у другому кварталі 2009 року дорівнює трохи більше 337 млн. гривень.
Ринок пральних машин вже давно демонструє певну стабільність у розподілі за типами та характеристиками. Співвідношення між автоматичними та напівавтоматичними машинами складає 98% проти 2% у вартісному вимірі і є незмінним за останні п’ять кварталів. Серед автоматичних пральних машин українці надають перевагу машинам з фронтальним завантаженням: на такі моделі припадає 82,5% продажів, що майже на 1,5% перевищує показники квітня-червня 2008 року. Автоматичні машини з функцією сушки не користуються великим попитом, їхня частка становить 1,3% обігу, решта припадає на машини з вертикальним завантаженням.
Основний технологічний тренд до збільшення ваги завантаження поступово сходить нанівець з появою на ринку нових моделей машин. Ці моделі є більш адаптованими до зменшення купівельної спроможності українців і пропонують більш аскетичний дизайн, менші показники завантаження та кількості обертів на хвилину за більш помірні гроші.
Ринок малої побутової техніки у другому кварталі 2009: темпи падіння зростають.
Другий квартал 2009 року характеризується прискоренням темпів падіння обсягів продажу малої побутової техніки в Україні. Обсяг ринку малої побутової техніки по групам, які враховуються в ТEMAX, склав 362 млн. гривень. В порівнянні з другим кварталом 2008 року продажі зменшились на 27,2% в грошовому і на 46,2% в фізичному вимірі. Найбільші товарні групи, такі як пилососи і прилади для приготування їжі, у другому кварталі 2009 року не показали позитивних результатів. Якщо в останніх обнадійливим сегментом принаймні є блендери, які мають слабку тенденцію до зростання (1,7% в грошовому вимірі), то ситуація з пилососами не надає оптимізму. В другому кварталі цього року спостерігалося суттєве падіння продажів всіх типів пилососів, а особливо найдорожчих – миючих моделей, обсяг продажів яких скоротився більш ніж на 50% як в грошовому, так і в фізичному вимірах.
Особливо невдалим виявився початок сезону відпусток для сегменту жіночих епіляторів. У вартісному вимірі ця група втратила більше 40% продажів, незважаючи на появу нових, цікавих, проте відносно дорогих моделей.
Водночас падіння продажів по таким групам, як прилади для догляду за волоссям (стрижка, укладання, сушіння), чайники та кавоварки, становило менше 20% в грошовому вимірі. Зокрема, темпи падіння продажів кавоварок на відміну від попереднього кварталу стримуються завдяки крапельним кавоваркам.
Пилососи
В цілому в другому кварталі 2009 року обсяги продажів пилососів скоротилися на 33,7% чи майже на 44 млн. гривень порівняно до аналогічного періоду минулого року. Це один з найбільших показників падіння продажів серед великих груп малої побутової техніки.
Як і раніше, покупців значною мірою орієнтуються на ціну. Як результат, найбільше скорочення продажів (на 52% у грошовому вимірі) зафіксоване в найдорожчій категорії – миючі пилососи, що є доволі очікуваним. «Іншою причиною значного падіння продажів в вартісному вимірі є поява наприкінці 2008 року декількох нових дешевших брендів, які спромоглись завоювати значну частку ринку», – коментує Ірина Макаренко, експерт GfK Ukraine. «Відтак, середня ціна по цій групі на відміну від інших сегментів майже не виросла, тому темпи падіння були майже однаковими у вартісному та фізичному вимірах».
Хоча в сегменті пилососів для сухого прибирання ситуація є дещо кращою, падіння продажі таких моделей також перетнуло відмітку 25%. Втім навіть всередині цієї категорії більш дешеві пилососи з мішком для збору пилу втрачають менше (-26% в гривнях), відповідно зростає їхня частка ринку.
Прилади для приготування їжі
Обсяги продажів приладів для приготування їжі в другому кварталі скоротились на 27% і склали 47,2 млн. гривень.
Продовжує зростати частка продажів ручних блендерів: вона майже зрівнялась з часткою кухонних комбайнів, що стало можливим через сильне падіння попиту на останні. Загалом продажі кухонних комбайнів скоротилися на 41% у вартісному вимірі. Протилежна ситуація спостерігається в сегменті ручних блендерів – це єдина категорія малої техніки, продажі якої виросли в другому кварталі 2009 року. Це стало можливим, зокрема, завдяки дорожчим моделям з додатковими насадками, які хоча є менш функціональними, аніж повноцінний кухонний комбайн, проте виграють завдяки економії як грошей, так й місця на кухні.
Прилади для догляду за волоссям
Прилади для стрижки, укладання та сушіння волосся завжди знаходять свого покупця, проте влітку це стає набагато актуальнішім. Невисока середня ціна такої техніки пояснює, чому вона показала найменше падіння з усіх категорій малої техніки. Зокрема, обсяги продажів машинок для стрижки скоротилися лише на 1,4%. Завдяки цьому ця категорія є другою після блендерів, яка в період кризи залишилась достатньо стабільною.
Наступними йдуть фени, які хоча і не демонструють зростання, як в першому кварталі 2009 року, але залишаються однією з найменш постраждалих категорій. Всього в другому кварталі 2009 року було продано фенів на 18,3 млн. гривень, що на 14,5% менше, ніж в попередньому році.
Продажі приладів для укладання волосся зменшились на 17,7%. Цю групу, як і раніше, «витягують» праски для волосся: в порівнянні з аналогічним періодом минулого року, обсяги продажів такої техніки виросли на 10,2% в вартісному вимірі.
Епілятори та чоловічі електробритви.
Цю групу можна вважати до певної міри нішевим сегментом ринку малої техніки. «І питання тут стоїть не тільки в вартості, але й у власних уподобаннях людей – дехто не уявляє собі гоління без електричної бритви, а дехто віддає перевагу звичайному станку для гоління», – каже Ірина Макаренко, експерт GfK Ukraine. «З епіляторами все ще складніше. У споживача є широкий вибір: звичайні станки для гоління, креми, віск, жіночі електробритви і епілятори. При купівлі епілятору вперше будь-яка жінка задається питанням «наскільки це боляче?». В період кризи, ймовірно, мало хто буде витрачати гроші на те, чим можливо не буде користуватись, тому ця група настільки постраждала (44,8% падіння в грошовому та 55,4% в фізичному вимірі). Початок продажів нових цікавих, проте достатньо дорогих моделей призвів до зростання частки найдорожчого сегменту епіляторів, проте не допоміг виправити ситуацію в цілому. Більшість покупців
надає перевагу заощадженню коштів або купівлі більш дешевої техніки».
Отже, ми бачимо, що з появою кризи в Україні люди почали купувати продукцію гіршої якості, з метою збереження коштів. Попит на дешеві аудіо-системи зріс більше ніж в два рази у вартісному вимірі.
Розділ ІІІ Виробництво побутової техніки в Україні: проблема конкурентоздатності та перспективи розвитку
3.1 Розвиток ринку побутової техніки у 2008-2009 рр.
Загальний обсяг ринку побутової техніки та електроніки, що підпадає під моніторинг GfK TEMAX Ukraine, у другому кварталі 2009 року склав 4,60 мільярда гривень, що показує падіння продажів на 46,9% у порівнянні з аналогічним періодом попереднього року.
В другому кварталі 2009 найбільших збитків зазнали ІТ, телеком та фототехніка, загальне скорочення перевищило 50% у порівнянні з другим кварталом попереднього року. За ними розташувались побутова електроніка та велика побутова техніка, темпи зменшення 43,7% та 36,0% відповідно. Сектор, що постраждав найменше, це мала побутова техніка з негативним зростанням майже 27%.
Офісна техніка
Ринок обладнання для офісів у другому кварталі 2009 зазнав скорочення на 54,2% в порівнянні з аналогічним періодом попереднього року. Це найбільше скорочення серед усіх сегментів ринку. Заходи по скороченню витрат у корпоративному секторі економіки значно вплинули на продажі техніки для офісів. Багатофункціональні пристрої продемонстрували кращу динаміку серед інших продуктів цієї категорії, втім падіння продажів склало 47,2%.
ІТ
ІТ сектор – ще один сегмент ринку, що залежить від корпоративних продажів. Тож не дивно, що продажі серед ІТ продуктів були на другому місці по темпам скороченню продажів і поступилися лише офісній техніці. Загальне падіння становило 55%. Ринок ноутбуків скоротився на 40,5%, але цей показник кращий за ринки стаціонарних комп’ютерів та моніторів – падіння на 66,1% та 64,2% відповідно. Подібно до ринку офісної техніки, покупці ІТ техніки схильні до придбання одного пристрою замість декількох, тобто ноутбук замість стаціонарного комп’ютера та монітора.
Телекомунікації
Продажі на телекомунікаційному ринку повторюють загальну тенденцію до зменшення, ринок скоротився на 55,6%. Головні проблеми пов’язані з найбільшим підсегментом ринку – мобільними телефонами, продаж яких зменшився на 57,9%. Інші продукти, факсимільні апарати та стаціонарні телефони також продемонстрували негативну динаміку – 55,9% та 44,6% відповідно. Єдина категорія, що додає оптимізму -- смартфони, в якій зафіксовано зростання обсягів на 14,7%. Але продажі в абсолютних одиницях не вражають, зростання пояснюється новизною технології та ефектом «низького старту».
Побутова електроніка
Другий квартал 2009 року був важким періодом й для побутової електроніки. Всі продуктові групи продемонстрували значне падіння, що перевищило 10%. Показники USB пам’яті та цифрових плеєрів були дещо вищі за середні, падіння склало 20,3% та 23,6% відповідно; результат який може бути поясненим низькою ціною цих продуктів. y, РК телевізори, категорія, що не є дешевою, також продемонструвала результат кращий за середній. Скорочення становило 29,2% завдяки заміні застарілих кінескопічнихних телевізорів, падіння продажів яких зафіксовано на рівні 48,3%. Але РК телевізори були лідером серед вподобань покупців побутової електроніки, тож падіння майже на 30% це ще одне вагоме свідоцтво важкого стану ринку України. Серед інших продуктових груп плазмові телевізори та камери вирізняються своїми значними темпами скорочення – 63,0% та 63,1% відповідно. Якщо показники ринку плазмових телевізорів можуть бути пояснені комбінацією загальної кризи та конкуренції з боку більш успішної технології РК телевізорів, то камери втратили своїх покупців як продукт розкоші. Також на темпи падіння камер вплинули високі продажі відповідного періоду рік тому, коли побутові позики ще пропонувались, а настрої покупців були оптимістичні. Загальне падіння ринку побутової електроніки склало 43,7%.
Фото
Другий квартал поточного року також не приніс багато оптимізму для ринку фото техніки. Продажі скоротились на 50,4%, що приблизно вдвічі гірше за показники минулого кварталу. Це падіння відбулося завдяки різним стратегіям основних гравців ринку. В першому кварталі 2009 ринок намагався уникнути ситуації надмірних залишків товару, що швидко стає морально застарілим. В другому кварталі ринок фото техніки стабілізувався та його динаміка відповідає загальній. Літні місяці, період відпусток на який припадає великі обсяги продажів, будуть важливі для загальних результатів 2009 року.
Велика побутова техніка
Ринок великої побутової техніки другий квартал поспіль демонструє динаміку кращу за середню. Продажі у період з квітня по червень 2009 скоротилися на 36% у порівнянні з відповідним періодом 2008 року. Єдина продуктова група з позитивними показниками – це сушильні машини, продажі яких зросли на 5,6%. Однак продажі у абсолютних показниках є низькими й не вплинули значно на динаміку ринку. Загальна динаміка ринку великої побутової техніки була сформована плитами та духовими шафами, холодильниками та пральними машинами, падіння склало 40%, 36% та 29,6% відповідно. Пристрої що вбудовуються не змогли подовжити свій позитивний тренд. В другому кварталі падіння продажів було на середньому рівні. Наприклад, продажі варильних поверхонь скоротились на 34,7%. Знову продуктова група, що зазнала найбільшого скорочення, це мікрохвильові печі, продажі яких впали на 46,9%.
Мала побутова техніка
Подібно ринку ВПТ мала побутова техніка демонструє вищі за середні показники. Сектор скоротився на 27,2% у порівнянні з аналогічним періодом рік тому. Цей результат був складений перш за все з показників пилососів, пристроїв для приготування їжі та прасок, продажі яких зменшилися на 33,7%, 26,7% та 24,2% відповідно. Ще одна важлива продуктова група, чайники, продемонструвала показники трохи кращі за середні – падіння склало 15,8%. Підсегмент продуктів догляду за волоссям також впав менше ніж ринок загалом, найкраще співвідношення продажів зафіксовано у приладів для стрижки – мінус 1,4%, єдина продуктова група, що впала менше ніж на 10%. Загальний тренд можна описати як: «Чим дешевше прилад, тим менше впали продажі».
Табл..1 Продажі побутової техніки у 2009 році
| товар |
Обсяг продажу,% |
| офісна техніка |
ІТ |
Телекомунікації |
Побут. електр. |
Фото |
ВПТ |
МПТ |
| 1 половина 2009р |
90 |
100 |
80 |
93,5 |
100 |
89 |
100 |
| 2 половина 2009р |
35,8 |
45 |
22,1 |
64,3 |
49,6 |
53 |
72,8 |
Отже
Ринок побутової техніки та електроніки продовжив падіння третій період поспіль та досягнув найнижчого рівня з 2007 року. Ключові макроекономічні показники залишаються майже незмінними. Деякі групи товарів показали традиційну сезону динаміку, що може вважатися як певна ознака стабілізації ринків. Однак спроби прогнозування ринку залишаються невдячною справою. Значне скорочення було зафіксоване в усіх сегментах ринку. Продажі офісної техніки постраждали найсильніше, в сегменті малої побутової техніки зареєстроване найменше скорочення.
Різні тенденції спостерігались у різних сегментах, але всі вони призвели до падіння ринків. Лише декілька продуктових груп продемонстрували зростання, втім загальні темпи скорочення продажів збільшились.
3.2 Взаємодія попиту і пропозиції в умовах кризи
Треба одразу зазначити, що, загалом, до СОТ власники роздрібної мережі побутової техніки підготувалися, а саме: укрупнилися і... переділилися. Саме переділ ринку побутових супермаркетів, що трапився за останні два-три роки, призвів до формування крупних мереж, які зможуть встояти в нових для України умовах і зниження ввізних мит на побутову техніку.
Втім, поки кияни не помітили зниження цін на ті товари, які повинні були б, за попередніми прогнозами, подешевшати вже мало не в перші місяці перебування України у СОТ. До речі, деякі експерти півроку тому прогнозували вже з червня-липня 20% зниження в Україні цін на холодильники, пральні машини, телевізори і тому подібне, причому на холодильники зниження взагалі прогнозувалося до 50% – мовляв, в країну зайдуть крупні світові фірми, які працюють з побутовою технікою. На жаль, поки впала вартість тільки автомашин на 5-12%, та й то, швидше, тому, що подорожчали автокредити, і, таким чином, дещо впав попит на авто. Більш того, митні збори будуть знижені, згідно з рішенням Верховної Ради, тільки з 1 січня 2010 року, тож взагаліто і рано чекати особливої «манни небесної» від вступу України у СОТ. Крім всього, питання і в тому, а що Київ має на ринку продажі побутової техніки і електроніки? Чи насичений цей ринок до того, щоб навіть іноземці, зайшовши сюди, не спокусилися продавати свій товар за тими цінами, до яких покупця вже привчили фактичні господарі цього ринку? Спробуємо розібратися.
Фактично, сьогодні на ринку продажу побутової техніки і електроніки залишилися тільки лідери - з мільярдними (у гривнях) річними оборотами. Основний ринок збуту у них – це Київ, та й практично всі власники мереж-лідерів живуть у столиці і входять до числа киян-мільйонерів. До речі, зростання ринку побутової техніки й електроприладів, за даними компанії TNS, в 2007 році становив понад 70%. Можна назвати це навіть рекордом! Причиною тому експерти називають вихід у минулому банків на споживче кредитування. Загальний же обсяг ринку побутової техніки в 2007 році в Україні становив $2,5 млрд і майже половина цього обсягу – «осіла» в столиці України. Щоправда, в нинішньому році ситуація дещо змінилася, особливо що стосується доступності кредитування фізичних осіб, але експерти поки не схильні вважати, що обсяг продаж, як і розвиток ринку побутової техніки і електроніки, набагато знизяться. Уповільнення в цьому плані на 5-10% - не така велика біда, якщо врахувати торішній стрибок на 70%! Причому, вважають аналітики, вступ України у СОТ теж внесе свій внесок до зниження темпів зростання мереж. Серед великих мереж електроніки, присутніх у всіх регіонах країни, є тільки один представник російського бізнесу, щоправда, в двох особах - Ігор і Олег Яковльови, співголови компанії ТОВ «Ельдорадо-Холдинг». Колеги і партнери по бізнесу характеризують Яковльових як надзвичайно жорстких і вимогливих бізнесменів. Але визнають: завдяки таким якостям засновників «Ельдорадо», мережа перетворилася з двох невеликих магазинів в Москві і Саратові в найбільшого непродуктового рітейлера чи не на всій території СНД.
У 2009 році річний оборот компанії наблизився до $6 млрд, причому в Україні він становив понад $850 млн. Правда, «Ельдорадо» не в пошані серед офіційних представників виробників техніки - компанію підозрюють у продажу підробок і браку. Але це не заважає їй займати перше місце в рейтингу мереж побутової техніки в Україні і Києві.
За «Ельдорадо» слід у слід ступає ще один гігант ринку побутової техніки й електроніки в Україні, і в Києві зокрема, – компанія «Фокстрот». У неї давня і дивна історія власників, в якій не обійшлося без скандалів, судової тяганини за право власності і навіть напівкримінальних розборок. Отже, «Фокстрот. Техніка для дому» — це найбільша компанія з продажу побутової техніки і персональної електроніки на Україні (близько 20% ринку). Заснована в 1994 році. Об'єднує 222 магазини «Фокстрот», FoxMart, «Техношара» і «Кіностудія» загальною площею понад 200 тис. кв. м в 93 обласних і районних центрах України і Молдови. У 2007 році виручка становила $765 млн.
Наступний гігант ринку побутової техніки в Україні – компанія «Мегамакс». Її власник – Віктор Кононенко, що очолює ЗАТ «Світ Електроніки». Компанія була створена в 2001 році і входить до групи компаній VICOTEC, що належить тому ж Кононенку. У 2005 році власник компанії був навіть... консультатом парламентської комісії з боротьби з корупцією! У 2006 році компанія відкрила величезний центр на місці заводу «Більшовик».
Що стосується сьогоднішнього дня, то мережу гіпермаркетів «Мегамаркет» об'єднує 5 торгово-розважальних комплексів, чотири з них – безпосередньо в Києві і один в передмісті, в Броварах.
У групу компаній входять також мережа гіпермаркетів «Мегамаркет» і мережа кінотеатрів «Батерфляй». Річний оборот компанії в 2009 році, на думку експертів, перевищив $550 млн.
Четверта за потужністю мережа магазинів побутової техніки в столиці вже другий рік перебуває у стадії конфліктів. Це не менш відома киянам «Домотехніка», яку її нинішні власники Сергій Закревський, Сергій Розанов і Єгор Подільський мають намір продати.
У червні 2009 року на день були закриті чотири з п'яти торгових приміщень мережі. Причина - контролюючі органи влаштували масові перевірки одночасно у всіх магазинах. За одною із заяложених на ринку версій, їх активність могли пролобіювати конкуренти. А чутки про швидкий продаж мережі могли спровокувати «атаку» кого-небудь з рітейлорів на суперника з метою понизити вартість магазинів. Найімовірнішим покупцем «Домотехніки» може стати вже згадувана група компаній «Фокстрот». Можливо, покупцем «Домотехніки» стане один із співзасновників «Фокстроту».
Отже, що ми можемо констатувати? А те, що в Києві залишилися фактично три крупні мережі побутової техніки, які і при зниженні ввізних мит в результаті вступу у СОТ вже не втратять своїх прибутків, та й не допустять цього – вони міцно стоять на ногах. Так само можна говорити про те, що навряд чи ця трійця легко «здасть» свій ринок іноземцяям, а, отже, ціни всетаки диктуватимуть не прийшлі, завдяки СОТ, компанії.
Виробництво побутової техніки в Україні: проблеми конкурентноздатності та перспективи розвитку
Засилля товарів закордонного виробництва на ринках України висунуло жорсткі умови до підвищення конкурентоспроможності вітчизняної продукції та її виробників. Чи втримає український виробник свою частку ринку у галузі побутової техніки? Що допоможе українським товарам стати конкурентоспроможними?
За ціною майже всі українські вироби у галузі побутової техніки конкурентоспроможні. За якістю – тільки деякі марки холодильників і пральних машин. Відсутність нових технологій є головною причиною не конкурентоспроможності великої частини української техніки. Маркетингова та комерційна складові також пасуть задніх через некомпетентність значної частини керівників.
Треба зауважити, що мати всі конкурентні переваги не може жодне підприємство. Однак, якщо підприємство має лише одну конкурентну перевагу, то конкуренти скоріше за все також скоро її отримають і переможуть у конкурентній боротьбі, що і чекає більшість українських виробників.
У цьому розділі я хочу розглянути основні показники галузі, тенденції на ринку. Через те, що конкурентоспроможність України у виробництві різної побутової техніки відрізняється дуже сильно, я виділила три основні підвиди побутової техніки : холодильники, пральні машини, аудіо-відео-техніка. Обсяг продажу (та обсяг попиту) будь-якої іншої побутової техніки (наприклад, кухонних комбайнів) є порівняно з цими трьома дуже низьким, тому я не буду тут говорити про цю техніку.
Холодильники
Обсяг продажу ринку холодильників у 2000 році становив $80-90 млн. Доля вітчизняної продукції становила 35-37% у грошовому виразі ( у кількісному виразі відсоток цієї продукції буде більшим) , імпортної - 63-67%. Дохід порівняно з 2005 роком суттєво не змінився.
Продаж вітчизняних холодильників скоротився на українському ринку у 2004 році : за даними Держкомстату, з 450 тис. холодильників, що випустив практично єдиний вітчизняний виробник - ЗАО «Норд» ( загальне виробництво усіх інших - не більше 3% обсягів виробництва „Норда”) на експорт пішло більше 280 тис. агрегатів. На українському ринку було реалізовано приблизно 170 тис. холодильників за даними Держкомстату. За данними ж виробника на вітчизняному ринку продано біля 250 тис. холодильників вітчизняного виробника.
На Українському ринку представлені холодильники майже 20 торгових марок: „Норд”, „Атлант”, „Стинол”, „Снайге”, ARDO, Indesit, Iberna, LG, Samsung, Ariston, Zanussi, Candi, Whirlpool, Electrolux, Bosh, Siemens, Liebherr та інші. Вітчизняний „Норд” є традиційним лідером у сегменті дешевих холодильників. Такий холодильник непогано виглядає і поряд з холодильниками з дальнього зарубіжжя – має привабливий дизайн, зручний, надійний, торгова марка досить відома споживачам. Але вже у середній ціновій категорії лідером є білоруський „Атлант”. Тому голови відділу маркетингу ЗАО „Норд” зараз готується випуск і активна рекламна компанія нової моделі вітчизняного холодильника, що буде позиціонуватись дещо дорожче.
Пральні машини
У 2007 році ринок побутових пральних машин збільшився на 10-15% порівняно з 2005 роком. Об’єм продажу у 2000 році - $55-60 млн. Доля вітчизняної продукції у грошовому виразі – 10-15%, імпортної 85-90%.
Пральні машини в Україні виробляють такі підприємства, як «Электробытприбор» (Маріуполь) – торгові марки Донбас і Десна, АО «Старт» (Мелітополь) – Таврія, Каховський єлектромашинобудівний завод – „Малютка”, завод «Электродвигатель» (м. Ужгород) – „Марічка”, Київське авіаційне ПО ім. Антонова – Либідь,” Онікс” (Миколаїв) - „Агат” , СП „Фаворит” (Київ) – „Фаворит”, і знов таки АО „Норд” (Донецьк) – марка Норд IF та деякі інші.
Конкуренція з боку виробників пральних машин-автоматів нам не загрожує– по-перше це інша цінова ніша , а по-друге , в українській глубінці нескоро з’являться необхідні для експлуатації „автоматів” центральне водопосточання і каналізація. А з російськими , молдаванськими та українськими виробниками нам доводиться конкурувати.
Треба зауважити, що виробництво більш сучасних машин є більш прибутковим зараз і цей ринок увесь час розширюватиметься через збільшення доходів споживачів (на скільки з’ясувати фактично неможливо , бо „Норд” і „Фаворит” не афішують свої прибутки). До того ж цікаво, що ,не дивлячись на жорстку конкуренцію, машин активаторного типу в багатьох регіонах України не вистачає. Причиною є дуже слабо розвинута дилерська сіть. Магазини в регіонах часто не закупають пральні машини через те, що грошей для повної чи часткової передоплати вони не мають, а під реалізацію цей товар не дають.
Роздрібна націнка на цей товар складає 25-30%.
Спеціалісти вважають, що попит цими роками буде збільшуватись ще й через те, що почалася хвиля заміни старої техніки, що вже відпрацювала свій термін, на нову.
Аудіо-відео техніка
Обсяг продажу 2005 року – $175-185млн. Доля вітчизняної продукції не перевищує 1-1,5% у кількісному виразі
Іноземні вироби завозяться безмитково як запчастини. Обсяг продажу зараз не збільшується , бо така техніка служить в Україні 10-15 років і час масової заміни ще не настав.
Телевізори користуються найбільшим попитом у споживача. Зараз вони забезпечують торговим організаціям 60-70% виручки. У 2006 році було продано майже 400 тис. імпортних апаратів. А вітчизняних телевізорів заводи виробили лише 40 тис., з яких колоьрових - лише 23 тис., що на 30% менше порівняно з 99 роком. Продавалися вони важко, в основному в регіонах. Більшість столичних операторів торгувати такою технікою не бажали і не бажають.
Зовнішній вигляд та технічні параметри цієї техніки фактично не змінилися за останні 10-15 років.
Отже, засилля товарів закордонного виробництва на ринках України висуноло жорсткі умови до підвищення конкурентоспроможності вітчизняної продукції та її виробників.
Конкурентоспроможність формується під впливом великої кількості чинників різноманітного походження, які по-різному впливають на неї. Чинники, які безпосередньо впливають на конкурентоспроможність виробу, є чинниками 1-го порядку. Це насамперед якість та ціна виробу. Вони завершують багатоярусну „піраміду”, акумулюючи численні чинники непрямого впливу на конкурентоспроможність, тобто чинники другого, третього та подальших порядків. В міру відхилення від верхівки піраміди вплив чинників послаблюється, а взаємозв’язки стають більш складними і різноманітними. В сучасних умовах великого значення набули такі чинники, як маркетингова та комерційна складові споживчої вартості виробу, наприклад, фірмова марка, реклама, сервісне обслуговування, система продажу тощо. Важливим для споживача є також своєчасність виробництва та збуту на ринку.
Висновок
Україна вже зараз має конкурентоспроможні товари у галузі побутової техніки. Деякі підгалузі галузі є перспективними для інвестування, інші – ні . Але щоб український ринок надійно завоював вітчизняний виробник треба ще дуже добре попрацювати, адже конкуренти не дрімають, особливо наші сусіди з СНГ. Якщо ніщо не зашкодить галузь буде повільно розвиватися навіть за теперишніх умов.
Якщо багато заводів будуть працювати на експорт (що є дуже можливим, бо ,наприклад, „Норд” у 2000 році дві третини вироблених холодильників збував за кордоном), то застосування мита тільки зашкодить вітчизняному виробнику. Адже сусіди у відповідь також встановлять своє мито і конткурентоспроможність наших товарів на їхньому ринку понизиться через підвищення ціни.
Пропозиції до розв’язання проблеми, обгрунтування пропозицій:
По-перше треба зазначити, що важливим тут є рішення розвивати чи не розвивати підгалузь відео-аудіо-апаратури. Подальший розвиток цієї галузі вимагає величезних ресурсів перш за все через те, що цю підгалузь потрібно буде будувати майже з нуля. В Україні не існує технологій та верстатів для виготовлення сучасної відео-аудіо-техніки, немає необхідних коштів для початку виробництва. Єдине, що спадає на думку – це запросити якусь з відомих компаній – виробників такої техніки побудувати у нас свій завод. Деякі привабливі умови для цього в Україні є - це дешева кваліфікована робоча сила, а от деякі доведеться створити: нижчі податки ( або зміна податкової системи, або надання пільг конкретному інвестору), стабільність.
Зараз Україна не виглядає привабливою для інвестування. Можливо світовий паровоз вдосконалення технологій вийде наздогнати знайшовши кошти на купівлю і впровадження найновітніших технологій – переважно цифрових. Але хто погодиться з українських бізнесменів вкласти в таке гроші? Коштів державного іноваційного фонду певно не вистачить. Тобто єдина можливість створити повністю власне виробництво – знайти дуже впливову у бізнесових колах людину, яка б сама вклала гроші і підговорила інших бізнесменів, яка відчувала б себе поборником національних інтересів і сама вірила б в цю ідею, та, власне , це рішення є скоріше політичним ніж економічним.
Підгалузі ж холодильників та пральних машин є більш привабливими для розвитку. По-перше, не потрібно змінювати все устаткування заводів. По-друге, внутрішній попит є стійкішим і підприємство не буде повністю залежати від зовнішньої торгівлі. По-третє, головним недоліком більшої частини техніки є жахливий дизайн, який переробити не коштуватиме шалених грошей. Крім того можна вже побачити успіхи тих , хто вчасно зорієнтувався – АО „Норд” , наприклад. Можливі інвестори отримають прибутки вже досить скоро після інвестицій.
Власне головною проблемою на цих ринках є незнання і нерозуміння директорами більшості заводів основ маркетингу, нездатність оптимально діяти. Цю проблему важко вирішити економічними методами, її вирішать освіта і час, коли на місце старих директорів прийдуть нові.
В сучасних умовах великого значення набули такі чинники, як маркетингова та комерційна складові споживчої вартості виробу, наприклад, фірмова марка, реклама, сервісне обслуговування, система продажу тощо. Важливим для споживача є також своєчасність виробництва та збуту на ринку.
Список використаних джерел
1.Задоя А. О. Мікроекономіка: Курс лекцій: Навч. посіб. – К.: Т-во «Знання», КОО, 2005. – Т.4.
2.Косік А. Ф., Гронтковська Г. Е. Мікроекономіка: Навч. посіб. – К. Центр навч. літ., 2004. – Розд. 2, 3.
3.Слухай С. В. Довідник базових термінів та понять з мікроекономіки. – К.: Лібра,1998.
4.Ястремський О., Гриценко О. Основи мікроекономіки: Підручник. – К.: Т-во «Знання», КОО,1998. – Розд. 2.
5. www.google.com.ua «Холодильное лето», Бизнес №25 (440), 18 июня 2001 года
6. www.google.com.ua «Стиратели 2000», Бизнес №8 (423), 19 февраля 2001 года
7.www.google.com.ua «Вижу. Слышу 2000.» Бизнес №4 (419), 22 січня 2001 року.
8. www.google.com.ua „Про механізм формування конкурентоспроможності підприємства”, Економіст №9, вересень 2007р.
|