МИНИСТЕРСТВО ОБРАЗОВАНИЯ И НАУКИ РФ
САМАРСКИЙ ГОСУДАРСТВЕННЫЙ АЭРОКОСМИЧЕСКИЙ УНИВЕРСИТЕТ имени академика С. П. Королева
Кафедра высшей математики
ПОЯСНИТЕЛЬНАЯ ЗАПИСКА
к курсовой работе по уравнениям математической физики
САМАРА 2009г.
Реферат
Курсовая работа: пояснительная записка, 30 страниц,8 рисунков, 3 источника, 6 таблиц.
Ключевые слова: МЕТОД КОНЕЧНЫХ РАЗНОСТЕЙ, МЕТОД ЦЕНТРАЛЬНЫХ РАЗНОСТЕЙ, МЕТОД ПРОГОНКИ, МЕТОД ГАЛЕРКИНА, МЕТОД КОЛЛОКАЦИИ, МЕТОД РИТЦА, МЕТОД ЛИБМАНА, ПРИБЛИЖЕННОЕ РЕШЕНИЕ, МЕТОД СЕТОК, ИНТЕГРАЛЬНОЕ УРАВНЕНИЕ, УРАВНЕНИЕ ТЕПЛОПРОВОДНОСТИ, ВОЛНОВОЕ УРАВНЕНИЕ.
В данной работе требуется с помощью методов конечно-разностных, центрально-разностных отношений и метода прогонки найти приближенное решение линейного дифференциального уравнения второго порядка. Сравнить результаты и сделать выводы.
Необходимо найти приближенное решение линейного дифференциального уравнения второго порядка с помощью методов Галеркина, Ритца и коллокации. Сравнить результаты, построив графики.
Нужно с помощью метода Либмана отыскать приближенное решение задачи Дирихле в квадрате.
Требуется методом сеток найти приближенное решение первой смешанной задачи для уравнения теплопроводности и для волнового уравнения. Сравнить результаты с аналитическим решением.
Нужно найти приближенное решение интегрального уравнения.
СОДЕРЖАНИЕ
ВВЕДЕНИЕ
I. РЕШЕНИЕ КРАЕВОЙ ЗАДАЧИ
II. МЕТОДЫ ГАЛЕРКИНА, РИТЦА И КОЛЛОКАЦИЙ
III.РЕШЕНИЕ ЗАДАЧИ ДИРИХЛЕ1
IV. ПРИБЛИЖЕННОЕ РЕШЕНИЕ ПЕРВОЙ СМЕШАННОЙ ЗАДАЧИ ДЛЯ УРАВНЕНИЯ ТЕПЛОПРОВОДНОСТИ НА ОТРЕЗКЕ
V. ПРИБЛИЖЕННОЕ РЕШЕНИЕ ПЕРВОЙ СМЕШАННОЙ ЗАДАЧИ ДЛЯ ВОЛНОВОГО УРАВНЕНИЯ НА ОТРЕЗКЕ
VI. ПРИБЛИЖЕННОЕ РЕШЕНИЕ ИНТЕГРАЛЬНОГО УРАВНЕНИЯ
ЗАКЛЮЧЕНИЕ
СПИСОК ИСПОЛЬЗОВАННЫХ ИСТОЧНИКОВ
ВВЕДЕНИЕ
В данной работе требуется с помощью методов конечно-разностных, центрально-разностных отношений и метода прогонки найти приближенное решение линейного дифференциального уравнения второго порядка. Сравнить результаты и сделать выводы.
Необходимо найти приближенное решение линейного дифференциального уравнения второго порядка с помощью методов Галеркина, Ритца и коллокации. Сравнить результаты, построив графики.
Нужно с помощью метода Либмана отыскать приближенное решение задачи Дирихле в квадрате.
Забиваем Сайты В ТОП КУВАЛДОЙ - Уникальные возможности от SeoHammer
Каждая ссылка анализируется по трем пакетам оценки: SEO, Трафик и SMM.
SeoHammer делает продвижение сайта прозрачным и простым занятием.
Ссылки, вечные ссылки, статьи, упоминания, пресс-релизы - используйте по максимуму потенциал SeoHammer для продвижения вашего сайта.
Что умеет делать SeoHammer
— Продвижение в один клик, интеллектуальный подбор запросов, покупка самых лучших ссылок с высокой степенью качества у лучших бирж ссылок.
— Регулярная проверка качества ссылок по более чем 100 показателям и ежедневный пересчет показателей качества проекта.
— Все известные форматы ссылок: арендные ссылки, вечные ссылки, публикации (упоминания, мнения, отзывы, статьи, пресс-релизы).
— SeoHammer покажет, где рост или падение, а также запросы, на которые нужно обратить внимание.
SeoHammer еще предоставляет технологию Буст, она ускоряет продвижение в десятки раз,
а первые результаты появляются уже в течение первых 7 дней.
Зарегистрироваться и Начать продвижение
Требуется методом сеток найти приближенное решение первой смешанной задачи для уравнения теплопроводности и для волнового уравнения. Сравнить результаты с аналитическим решением.
Нужно найти приближенное решение интегрального уравнения.
I. РЕШЕНИЕ КРАЕВОЙ ЗАДАЧИ
Пусть дано дифференциальное уравнение второго порядка
, (1)
где функция задана таблично
| i |
fi
(x) |
| 0 |
8,1548 |
| 1 |
6,8925 |
| 2 |
5,8327 |
| 3 |
4,9907 |
| 4 |
4,3818 |
| 5 |
4,0188 |
| 6 |
3,9098 |
| 7 |
4,0581 |
| 8 |
4,4615 |
| 9 |
5,1129 |
| 10 |
6 |
Будем искать решение уравнения (1), удовлетворяющее следующим краевым условиям
(2)
Запишем таблицу значений функций 
| i |
 |
 |
 |
| 0 |
0 |
0 |
0 |
| 1 |
0,1 |
-0,2 |
0,03 |
| 2 |
0,2 |
-0,4 |
0,12 |
| 3 |
0,3 |
-0,6 |
0,27 |
| 4 |
0,4 |
-0,8 |
0,48 |
| 5 |
0,5 |
-1 |
0,75 |
| 6 |
0,6 |
-1,2 |
1,08 |
| 7 |
0,7 |
-1,4 |
1,47 |
| 8 |
0,8 |
-1,6 |
1,92 |
| 9 |
0,9 |
-1,8 |
2,43 |
| 10 |
1 |
-2 |
3 |
1. Метод конечных разностей для линейных дифференциальных уравнений второго порядка.
1. Пусть и значения и в каждом узле можно записать конечно-разностными отношениями
(3)
тогда, используя (3), заменим уравнения (1), (2) системой
(4)
Решая систему (4), получим

2. Пусть тогда, используя (3), заменим уравнения (1), (2) системой:
(5)
Решая систему (5), получим

2. Метод центральных разностей для линейных дифференциальных уравнений второго порядка.
1. Пусть и значения и в каждом узле можно записать центрально-разностными отношениями
(6)
тогда, используя (6), заменим уравнения (1), (2) системой:
(7)
Решая систему (7), получим:

2. Пусть , тогда, используя (6), заменим уравнения (1), (2) системой:
(8)
Решая систему (8), получим


Рис.1- - решение, полученное с помощью метода конечных разностей (h=0,1), - решение, полученное с помощью метода центральных разностей (h=0,1), - точное решение

Рис.2- - решение, полученное с помощью метода конечных разностей (h=0,2), - решение , полученное с помощью метода центральных разностей (h=0,2) -точное решение

Рис.3- Общий график решений
3. Метод прогонки для линейных дифференциальных уравнений второго порядка.
Конечно-разностные отношения в методе прогонки.
1. Пусть и значения и в каждом узле можно записать конечно-разностными отношениями:
(9)
тогда, используя (20), заменим уравнения (1), (2), (3) системой:
(10)
Запишем первые n-1 уравнений в виде:
, где (11)
Из системы (21) следует, что (12)
, вычисляются последовательно, но при i=0:
(13)
Остальные , вычисляются по формуле:
(14)
Прямой ход вычислений.
По формулам (11) вычисляем . Далее вычисляем по формулам (13) и по рекуррентным формулам (14) находим .
Обратный ход.
Из уравнения (12) при i=n-2 и из последнего уравнения системы (10) получаем:

Решив эту систему относительно , получим
(15)
При i=n-2,…,1 используем формулу (12)

вычисляем из второго уравнения системы (10)
(16)
В результате вычислений получим таблицу:
Сервис онлайн-записи на собственном Telegram-боте
Попробуйте сервис онлайн-записи VisitTime на основе вашего собственного Telegram-бота:
— Разгрузит мастера, специалиста или компанию;
— Позволит гибко управлять расписанием и загрузкой;
— Разошлет оповещения о новых услугах или акциях;
— Позволит принять оплату на карту/кошелек/счет;
— Позволит записываться на групповые и персональные посещения;
— Поможет получить от клиента отзывы о визите к вам;
— Включает в себя сервис чаевых.
Для новых пользователей первый месяц бесплатно.
Зарегистрироваться в сервисе
Таблица №1
| Прямой ход |
Обратный ход |
| i |
xi
|
pi
|
qi
|
fi
|
mi
|
ki
|
ci
|
di
|
yi
|
| 0 |
0 |
0 |
0 |
8.1548 |
-2 |
1 |
-1.125 |
0.081548 |
3.049606 |
| 1 |
0.1 |
-0.2 |
0.03 |
6.9025 |
-2.02 |
1.0203 |
-1.14658 |
0.162629 |
2.744645 |
| 2 |
0.2 |
-0.4 |
0.12 |
5.8327 |
-2.04 |
1.0412 |
-1.18177 |
0.252476 |
2.521233 |
| 3 |
0.3 |
-0.6 |
0.27 |
4.9907 |
-2.06 |
1.0627 |
-1.24358 |
0.366984 |
2.361553 |
| 4 |
0.4 |
-0.8 |
0.48 |
4.3818 |
-2.08 |
1.0848 |
-1.36806 |
0.538893 |
2.250789 |
| 5 |
0.5 |
-1 |
0.75 |
4.0188 |
-2.1 |
1.1075 |
-1.70977 |
0.856677 |
2.176909 |
| 6 |
0.6 |
-1.2 |
1.08 |
3.9098 |
-2.12 |
1.1308 |
-5.35913 |
1.695401 |
2.130132 |
| 7 |
0.7 |
-1.4 |
1.47 |
4.0581 |
-2.14 |
1.1547 |
0.247024 |
10.53205 |
2.10254 |
| 8 |
0.8 |
-1.6 |
1.92 |
4.4615 |
-2.16 |
1.1792 |
-0.40795 |
-3.02327 |
2.087729 |
| 9 |
0.9 |
-1.8 |
2.43 |
5.1129 |
-2.18 |
1.2043 |
-0.59217 |
-1.43418 |
2.080518 |
| 10 |
1 |
-2 |
3 |
6 |
-2.2 |
1.23 |
-0.67952 |
-0.98461 |
2.076684 |
2. Пусть 
В результате вычислений по формулам (9)-(16) получим таблицу:
Таблица №2
| Прямой ход |
Обратный ход |
| i |
xi
|
pi
|
qi
|
fi
|
mi
|
ki
|
ci
|
di
|
yi
|
| 0 |
0 |
0 |
0 |
8.1548 |
-2 |
1 |
-1.125 |
0.081548 |
2.048941 |
| 1 |
0.2 |
-0.4 |
0.12 |
5.8327 |
-2.04 |
1.0412 |
-1.15121 |
0.156074 |
1.844047 |
| 2 |
0.4 |
-0.8 |
0.48 |
4.3818 |
-2.08 |
1.0848 |
-1.20313 |
0.247519 |
1.720701 |
| 3 |
0.6 |
-1.2 |
1.08 |
3.9098 |
-2.12 |
1.1308 |
-1.31665 |
0.407622 |
1.650761 |
| 4 |
0.8 |
-1.6 |
1.92 |
4.4615 |
-2.16 |
1.1792 |
-1.64636 |
0.835965 |
1.619574 |
| 5 |
1 |
-2 |
3 |
6 |
-2.2 |
1.23 |
-5.71492 |
5.936293 |
1.63769 |

Рис.3- - решение, полученное с помощью метода прогонки с использованием конечно-разностных отношений (h=0,1), - решение, полученное с помощью метода прогонки с использованием конечно разностных отношений (h=0,2) , - точное решение
II. Методы Галеркина, Ритца и коллокаций
Пусть дано дифференциальное уравнение второго порядка и его граничные условия
(17)
1. Метод Галеркина
Введем операторы

На отрезке [a, b] выберем систему базисных функций

Проверим систему на ортогональность

Выбранная система базисных функций является ортогональной и удовлетворяет условию выбора конечной системы базисных функций 

Решение краевой задачи (17) ищется в виде

1. Рассмотрим решение задачи (17) с двумя базисными функциями:

Тогда решение

Рассмотрим выражение
(18)
Выражение (18) называется невязкой. Для задачи (1) с двумя базисными функциями

сi
выбирается таким образом, чтобы

Так как ортогональна ко всем базисным функциям, то

Тогда решение задачи (17)

2. Рассмотрим решение задачи (17) с тремя базисными функциями

Тогда решение

Невязка примет вид

Коэффициенты с1
и с2
будем искать из системы



Тогда решение задачи (17)

2. Метод коллокации
Введем операторы

На отрезке [a, b] выберем систему базисных функций

Будем искать решение задачи (17) в виде

1. Рассмотрим решение задачи (17) с двумя базисными функциями

Тогда решение

Составим невязку

На отрезке [-π, π] выберем за точку коллокации 0.

Таким образом, решение задачи (17)
.
2. Рассмотрим решение задачи (17) с тремя базисными функциями

Тогда решение

Составим невязку

На отрезке [-π, π] выберем две точки коллокации: 0 и . Составим систему уравнений


Таким образом, решение задачи (17)

3. Метод Ритца
Составим функционал по формуле

(19)
На отрезке [a, b] выберем систему базисных функций

Будем искать решение задачи (17) в виде

Подставим в (19)


Составим систему уравнений относительно с1
, с2

Таким образом, решение задачи (17)


Рис.4- у1(х)-решение, полученное с помощью метода Галеркина (две базисные функции), у2(х)-решение, полученное с помощью метода коллокации (две базисные функции)

Рис.4-у2(х)- решение, полученное с помощью метода Галеркина (три базисные функции), у4(х)- решение, полученное с помощью метода коллокации (три базисные функции), у5(х)- решение, полученное с помощью метода Ритца (три базисные функции)
Замечание: найти решение методом Ритца для двух базисных функций не удалось, т.к. функция Ф(с1
) не квадратична относительно переменной с1
и не удовлетворяет условию существования экстремума

III.Решение задачи Дирихле
Применяя метод сеток с шагом , найти решение задачи Дирихле в квадрате с вершинами А(0,0), В(0,1), С(1,1), D(1,0).
(20)
1. Метод Либмана

Найдем значения функции в каждом узле:
На АВ

На ВС

На СD

На АD

  
Запишем формулу метода последовательных приближений

Пусть , тогда получим
  

Таблица №3
| i |
u1
,
1
|
u1
,
2
|
u2
,
1
|
u2
,
2
|
| 0 |
0 |
0 |
0 |
0 |
| 1 |
2,5 |
11,4952 |
7,5 |
6,4952 |
| 2 |
7,2488 |
13,744 |
9,7488 |
8,744 |
| 3 |
8,3732 |
15,4934 |
11,4982 |
10,4934 |
| 4 |
9,2479 |
16,21185 |
12,21665 |
11,21185 |
| 5 |
9,607125 |
16,61014 |
12,61494 |
11,61014 |
| 6 |
9,806269 |
16,79952 |
12,80432 |
11,79952 |
| 7 |
9,900958 |
16,89665 |
12,90145 |
11,89665 |
 
  
 
 
2. Метод Гаусса
Для нахождения точного решения задачи (20) используем метод Гаусса. Для этого решим систему
линейный дифференциальный уравнение
(20*)
Введем замену

Тогда (20*) перепишем в виде

Решая систему, получим

Таким образом, получим точное решение задачи (20)

IV. ПРИБЛИЖЕННОЕ РЕШЕНИЕ ПЕРВОЙ СМЕШАННОЙ ЗАДАЧИ ДЛЯ УРАВНЕНИЯ ТЕПЛОПРОВОДНОСТИ НА ОТРЕЗКЕ
Пусть дано уравнение теплопроводности и его граничные условия
(21)
Решим задачу (21), применяя метод сеток для уравнений параболического типа.
1. Пусть , тогда l=0,02- шаг по оси t, а h=0,2- шаг по оси x. Решение будем искать в виде
(22)
где (23)
Получим таблицу:
Таблица №4
| j |
tj
/xi
|
0 |
0,2 |
0,4 |
0,6 |
0,8 |
1 |
| 0 |
0 |
0 |
0,04 |
0,16 |
0,36 |
0,64 |
1 |
| 1 |
0,02 |
0 |
0,08 |
0,2 |
0,4 |
0,68 |
0,72 |
| 2 |
0,04 |
0 |
0,1 |
0,24 |
0,44 |
0,56 |
0,74 |
| 3 |
0,06 |
0 |
0,12 |
0,27 |
0,4 |
0,59 |
0,61 |
| 4 |
0,08 |
0 |
0,135 |
0,26 |
0,43 |
0,505 |
0,63 |
| 5 |
0,1 |
0 |
0,13 |
0,2825 |
0,3825 |
0,53 |
0,5375 |
| j |
tj
/xi
|
1,2 |
1,4 |
1,6 |
1,8 |
2 |
| 0 |
0 |
0,8 |
0,6 |
0,4 |
0,2 |
0 |
| 1 |
0,02 |
0,8 |
0,6 |
0,4 |
0,2 |
0 |
| 2 |
0,04 |
0,66 |
0,6 |
0,4 |
0,2 |
0 |
| 3 |
0,06 |
0,67 |
0,53 |
0,4 |
0,2 |
0 |
| 4 |
0,08 |
0,57 |
0,535 |
0,365 |
0,2 |
0 |
| 5 |
0,1 |
0,5825 |
0,4675 |
0,3675 |
0,1825 |
0 |
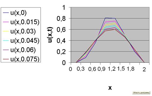
2. Пусть , тогда l=0,015- шаг по оси t, а h=0,3- шаг по оси x. Решение в виде (22) будем искать по формуле
(24)
В результате получим таблицу
Таблица №5
| j |
tj
/xi
|
0 |
0,3 |
0,6 |
0,9 |
1,2 |
1,5 |
1,8 |
2 |
| 0 |
0 |
0 |
0,09 |
0,36 |
0,81 |
0,8 |
0,5 |
0,2 |
0 |
| 1 |
0,015 |
0 |
0,12 |
0,39 |
0,733333 |
0,751667 |
0,5 |
0,216667 |
0 |
| 2 |
0,03 |
0 |
0,145 |
0,402222 |
0,679167 |
0,706667 |
0,494722 |
0,227778 |
0 |
| 3 |
0,045 |
0 |
0,163704 |
0,405509 |
0,637593 |
0,666759 |
0,485556 |
0,234306 |
0 |
| 4 |
0,06 |
0 |
0,176721 |
0,403889 |
0,603773 |
0,631698 |
0,473881 |
0,23713 |
0 |
| 5 |
0,075 |
0 |
0,185129 |
0,399342 |
0,575113 |
0,600741 |
0,460725 |
0,237067 |
0 |

Рис.5- Решение, полученное с помощью метода сеток при


Рис.6- Решение, полученное с помощью метода сеток при


Рис.7- График точного решения, полученного аналитически
V. ПРИБЛИЖЕННОЕ РЕШЕНИЕ ПЕРВОЙ СМЕШАННОЙ ЗАДАЧИ ДЛЯ ВОЛНОВОГО УРАВНЕНИЯ НА ОТРЕЗКЕ
Пусть дано волновое уравнение и его граничные условия
(25)
Решим задачу (25), применяя метод сеток для уравнений гиперболического типа.
Заменим производные в (25)

При (26)
Пусть , тогда по формуле (26) получим
Таблица №6
| j |
tj
/xi
|
0 |
0,1 |
0,2 |
0,3 |
0,4 |
0,5 |
0,6 |
0,7 |
| 0 |
0 |
0 |
-0,14 |
-0,26 |
-0,36 |
-0,44 |
-0,5 |
-0,54 |
-0,56 |
| 1 |
0,1 |
0 |
-0,14 |
-0,26 |
-0,36 |
-0,44 |
-0,5 |
-0,54 |
-0,56 |
| 2 |
0,2 |
0 |
-0,12 |
-0,24 |
-0,34 |
-0,42 |
-0,48 |
-0,52 |
-0,54 |
| 3 |
0,3 |
0 |
-0,1 |
-0,2 |
-0,3 |
-0,38 |
-0,44 |
-0,48 |
-0,5 |
| 4 |
0,4 |
0 |
-0,08 |
-0,16 |
-0,24 |
-0,32 |
-0,38 |
-0,42 |
-0,44 |
| 5 |
0,5 |
0 |
-0,06 |
-0,12 |
-0,18 |
-0,24 |
-0,3 |
-0,34 |
-0,36 |
| j |
tj
/xi
|
0,8 |
0,9 |
1 |
1,1 |
1,2 |
1,3 |
1,4 |
1,5 |
| 0 |
0 |
-0,56 |
-0,54 |
-0,5 |
-0,44 |
-0,36 |
-0,26 |
-0,14 |
0 |
| 1 |
0,1 |
-0,56 |
-0,54 |
-0,5 |
-0,44 |
-0,36 |
-0,26 |
-0,14 |
0 |
| 2 |
0,2 |
-0,54 |
-0,52 |
-0,48 |
-0,42 |
-0,34 |
-0,24 |
-0,12 |
0 |
| 3 |
0,3 |
-0,5 |
-0,48 |
-0,44 |
-0,38 |
-0,3 |
-0,2 |
-0,1 |
0 |
| 4 |
0,4 |
-0,44 |
-0,42 |
-0,38 |
-0,32 |
-0,24 |
-0,16 |
-0,08 |
0 |
| 5 |
0,5 |
-0,36 |
-0,34 |
-0,3 |
-0,24 |
-0,18 |
-0,12 |
-0,06 |
0 |

Рис.7- Решение волнового уравнения методом сеток при 

Рис.8- График точного решения, полученного аналитически
VI. ПРИБЛИЖЕННОЕ РЕШЕНИЕ ИНТЕГРАЛЬНОГО УРАВНЕНИЯ
Пусть дано интегральное уравнение
(27)
Будем искать решение уравнения (27) с помощью метода вырожденных ядер.
Представим ядро в виде ряда

Отбросим члены старше пятого порядка






Пусть , тогда

Таким образом, решение задачи (27)

ЗАКЛЮЧЕНИЕ
В данной работе с помощью методов конечно-разностных, центрально разностных отношений и метода прогонки найдено приближенное решение линейного дифференциального уравнения второго порядка. Сравнение результатов приведено в виде таблиц и графиков.
Найдено приближенное решение линейного дифференциального уравнения второго порядка с помощью методов Галеркина, Ритца и коллокации. Сравнение результатов приведено в виде таблиц и графиков.
С помощью метода Либмана получено приближенное решение задачи Дирихле в квадрате. Результаты приведены в виде таблиц.
Методом сеток получены приближенные решения первой смешанной задачи для уравнения теплопроводности и для волнового уравнения. Сравнение результатов с аналитическим решением дано в виде графиков.
Найдено приближенное решение интегрального уравнения.
Список использованных источников
1. В.Ф. Чудесенко Сборник заданий по специальным курсам высшей математики. Типовые расчеты: Учебное пособие. 4-е изд., стер.-СПб.: Издательство «Лань», 2007.- 192с.: ил.- (Учебники для вузов. Специальная литература)
2.Вычислительная математика в примерах и задачах. Н. В. Копченова, И. А. Марон. Главная редакция физико-математической литературы изд-ва:Наука, М., 1972.
3. Тихонов, Самарский "Уравнения математической физики", М.: Наука, 1967.
|