Московский институт экономических преобразований и управления рынком, Уфимский филиал
Факультет: Банковское дело
КОНТРОЛЬНАЯ РАБОТА
Анализ кредитоспособности заемщика ООО «ЭТАЛОН»
Выполнила:
Бычкова А.Ю.
Проверила:
Галимуллина Н.А.
Уфа – 2009 г.
Содержание
Введение
1. Анализ бухгалтерского баланса предприятия
2. Анализ финансовых результатов предприятия
3. Анализ денежных потоков прямым и косвенным методом
Заключение
Список использованной литературы
Введение
В настоящее время в России проблема оценки финансовых результатов предприятия является крайне актуальной, причем как для различных государственных ведомств, контролирующих деятельность хозяйствующих субъектов, так и для менеджмента самого предприятия. Причем проблема оценки финансового состояния действительно существует, поскольку в современной российской науке до сих пор так и не выработано единого подхода к проведению такого рода анализа.
Данная контрольная работа посвящена краткому финансовому анализу предприятия, анализу бухгалтерского баланса и денежных потоков на примере ООО «Эталон». Для проведения финансового анализа используется бухгалтерская отчетность, отражающая конечные результаты конкретной деятельности предприятия, а также система расчетных показателей, базирующаяся на этой отчетности. На показатели деятельности предприятий оказывают воздействие как экономические, так и организационные факторы. Кроме того, предприятия как самостоятельные экономические субъекты хозяйственной деятельности обладают правом распределять результаты деятельности, т.е. прибыль, имеют экономическую свободу в выборе партнеров и делают этот выбор исходя только из целей экономической целесообразности и собственной выгоды. Необходимым элементом их хозяйствования в современных условиях является самостоятельность в организации снабжения производства сырьем, найме персонала и распоряжении произведенной продукцией, а также в решении вопросов, касающихся финансирования капитальных вложений, обеспечения предприятия оборотными средствами, и иных задач исходя из собственного видения перспектив осуществления производственной деятельности. Таковы основные элементы самостоятельной деятельности любого предприятия, и на основе их учета строится система финансового анализа.
1. Анализ бухгалтерского баланса предприятия
Забиваем Сайты В ТОП КУВАЛДОЙ - Уникальные возможности от SeoHammer
Каждая ссылка анализируется по трем пакетам оценки: SEO, Трафик и SMM.
SeoHammer делает продвижение сайта прозрачным и простым занятием.
Ссылки, вечные ссылки, статьи, упоминания, пресс-релизы - используйте по максимуму потенциал SeoHammer для продвижения вашего сайта.
Что умеет делать SeoHammer
— Продвижение в один клик, интеллектуальный подбор запросов, покупка самых лучших ссылок с высокой степенью качества у лучших бирж ссылок.
— Регулярная проверка качества ссылок по более чем 100 показателям и ежедневный пересчет показателей качества проекта.
— Все известные форматы ссылок: арендные ссылки, вечные ссылки, публикации (упоминания, мнения, отзывы, статьи, пресс-релизы).
— SeoHammer покажет, где рост или падение, а также запросы, на которые нужно обратить внимание.
SeoHammer еще предоставляет технологию Буст, она ускоряет продвижение в десятки раз,
а первые результаты появляются уже в течение первых 7 дней.
Зарегистрироваться и Начать продвижение
Модель Бивера
Модель позволяет оценить финансовое состояние компании с точки зрения ее возможного будущего банкротства.
Расчет показателей, вошедших в модель, представлен в табл. 1. Показатели рассчитываются на основании «Бухгалтерского баланса» (форма № 1), «Отчета о прибылях и убытках» (форма № 2) и «Приложения к бухгалтерскому балансу» (форма № 4).
Шкала оценки риска банкротства построена на основе сравнения фактических значений показателей с рекомендуемыми. Вероятность банкротства компании оценивается по одной из групп возможных состояний, где находится большинство расчетных значений показателей.
Специфика российских условий требует, чтобы модели прогнозирования риска финансовой несостоятельности учитывали как особенности отрасли, так и структуру капитала предприятия.
Двухфакторная модель прогнозирования банкротства
Данная модель дает возможность оценить риск банкротства предприятий среднего класса производственного типа.
Z = 0,3872 + 0,2614Ктл
+ 1,0595Кфн
,
где Кфн
— коэффициент финансовой независимости.
Расчет коэффициентов, вошедших в модель, представлен в табл. 1. Коэффициенты рассчитываются на основании «Бухгалтерского баланса» (форма № 1).
Интерпретация результатов:
Z < 1,3257 — вероятность банкротства очень высокая;
1,3257 < Z < 1,5457 — вероятность банкротства высокая;
1,5457 < Z < 1,7693 — вероятность банкротства средняя;
1,7693 < Z < 1,9911 — вероятность банкротства низкая;
Z > 1,9911 — вероятность банкротства очень низкая.
Продемонстрируем вышеописанные расчеты на примере ООО «Эталон».
Краткая характеристика предприятия
1. Общие положения
Предприятие ООО « ЭТАЛОН» является юридическим лицом с 1994 года и руководствуется в своей деятельности действующим законодательством Российской Федерации. Предприятие отвечает по своим обязательствам всем закрепленным за ним имуществом, на которое, согласно российскому законодательству, может быть обращено взыскание.Предприятие находится по адресу: 450104 г. Уфа, ул. Уфимское шоссе, 102. Структура предприятия
В состав предприятия входят специализированные фирмы. Их наименование, количество и род деятельности определяются генеральным директором предприятия. Фирмы, входящие в состав предприятия, не являются юридическими лицами и в своей деятельности руководствуются положениями, утвержденными генеральным директором предприятия.Фирмы имеют право заключать по поручению предприятия и от его имени внешнеторговые сделки, хозяйственные договоры с поставщиками товаров для экспорта, заказчиками импортных товаров и другими организациями.3. Предмет деятельности и основные задачи предприятия
Предметом деятельности предприятия являются:Осуществление операций и услуг по экспорту и импорту товаров народного потребления, включая импорт промышленных товаров на средства валютных фондов объединений, предприятий и организаций, а также на товарообменной основе за счет отходов производства.Снабжение продовольственными и промышленными товарами Росзагранколлективов. Продажа товаров и услуг гражданам за инвалюту на территории Российской Федерации.Осуществление лицензионно-посылочных и подарочных операций. Развитие новых форм внешнеэкономических связей.Осуществление мероприятий, направленных на повышение качества экспортных товаров и их конкурентоспособности в целях увеличения экспорта товаров и услуг. Основными задачами предприятия с учетом предмета его деятельности являются:Осуществление экспортных и импортных операций по товарам и услугам в соответствии с заключенными договорами и контрактами.Разработка совместно с соответствующими объединениями, предприятиями, организациями и кооперативами на основе заключенных договоров организационно-технических мероприятий, направленных на развитие экспорта товаров и услуг, повышение эффективности внешнеэкономических операций.Осуществление производства продовольственных и промышленных товаров учреждениям Российской Федерации за границей с оплатой в иностранной валюте.Осуществление продажи товаров с поставкой их за границу дипломатическим и консульским представительства, обществам дружбы, иностранным фирмам и другим организациям и частным лицам с оплатой их стоимости в иностранной валюте.Осуществление продажи продовольственных и промышленных товаров иностранным представительствам и гражданам, а также совместным предприятиям на территории Российской Федерации с оплатой в свободно конвертируемой валюте.Для осуществления прогнозирования риска несостоятельности (банкротства) компании использовалась отчетность за 2005–2008 гг. Результаты анализа сгруппированы в таблицы (табл. 1).
Таблица 1
Двухфакторная Z-модель Альтмана
| № |
Показатель |
01.01.2005 |
01.01.2006 |
01.01.2007 |
01.01.2008 |
| 1 |
Текущие активы (оборотные активы) |
67 736 |
87 053 |
104170 |
137 383 |
| 2 |
Текущие обязательства (краткосрочные обязательства) |
38 912 |
60 876 |
80 042 |
121 595 |
| 3 |
Заемные средства (сумма долгосрочных и краткосрочных обязательств) |
38 912 |
60 876 |
85 042 |
131 595 |
| 4 |
Общая величина пассивов |
106 877 |
137 894 |
175 842 |
251 987 |
| 5 |
К1
— коэффициент текущей ликвидности (п. 1 / п. 2) |
1,7407 |
1,4300 |
1,3014 |
1,1298 |
| 6 |
К2
— коэффициент капитализации (п. 3 / п. 4) |
0,3641 |
0,4415 |
0,4836 |
0,5222 |
| 7 |
Значение |
–2,24 |
–1,90 |
–1,76 |
–1,57 |
| 8 |
Оценка значений
< 0 — вероятность банкротства невелика
= 0 — вероятность банкротства составляет 50 %
> 0 — вероятность банкротства более 50 %
|
Вероятность банкротства невелика, Z < 0 |
Вероятность банкротства невелика, Z < 0 |
Вероятность банкротства невелика, Z < 0 |
Вероятность банкротства невелика, Z < 0 |
Таблица 2
Пятифакторная Z-модель Альтмана
| № |
Показатель |
01.01.2006 |
01.01.2007 |
01.01.2008 |
| 1 |
Текущие активы (оборотные активы) |
77 395 |
95 612 |
120 777 |
| 2 |
Сумма активов* |
122 386 |
156 868 |
213 915 |
| 3 |
Заемный капитал (сумма долгосрочных и краткосрочных обязательств)* |
49 894 |
72 959 |
108 319 |
| 4 |
Нераспределенная (реинвестированная) прибыль |
77 224 |
90 941 |
120 445 |
| 5 |
Прибыль до налогообложения |
15 616 |
20 935 |
50 998 |
| 6 |
Балансовая стоимость капитала |
138 185 |
176 099 |
252 308 |
| 7 |
Объем продаж (выручка) |
318 260 |
452 201 |
960 477 |
| 8 |
К1
(п. 1 / п. 2) |
0,63 |
0,61 |
0,56 |
| 9 |
К2
(п. 4 / п. 2) |
0,63 |
0,58 |
0,56 |
| 10 |
К3
(п. 5 / п. 2) |
0,13 |
0,13 |
0,24 |
| 11 |
К4
(п. 6 / п. 3) |
2,77 |
2,41 |
2,33 |
| 12 |
К5
(п. 7 / п. 2) |
2,60 |
2,88 |
4,49 |
| 13 |
Значение |
5,15 |
5,24 |
7,08 |
| 14 |
Оценка значений
< 1,23 — очень высокая вероятность банкротства
> 1,23 — вероятность банкротства невелика
|
Вероятность банкротства невелика, Z > 1,23 |
Вероятность банкротства невелика, Z > 1,23 |
Вероятность банкротства невелика, Z > 1,23 |
* Берутся средние величины
Таблица 3
Пятифакторная модель Бивера
| Показатель |
01.01.2005 |
01.01.2006 |
01.01.2007 |
01.01.2008 |
| 1 |
Чистая прибыль |
12 598 |
17 576 |
40 501 |
| 2 |
Амортизация |
200 |
310 |
400 |
| 3 |
Заемный капитал (сумма долгосрочных и краткосрочных обязательств)* |
49 895 |
72 960 |
108 319 |
| 4 |
Сумма активов* |
122 386 |
156 868 |
213 915 |
| 5 |
Собственный капитал |
77 308 |
91 057 |
120 713 |
| 6 |
Внеоборотные активы |
50 841 |
71 672 |
114 604 |
| 7 |
Оборотные активы |
87 344 |
104 427 |
137 704 |
| 8 |
Текущие обязательства (сумма займов и кредитов, кредиторской задолженности, задолженности участникам по выплате доходов, прочих краткосрочных обязательств) |
60 876 |
80 042 |
121 595 |
| 9 |
Заемный капитал (сумма долгосрочных и краткосрочных обязательств) |
60 877 |
85 042 |
131 595 |
| Значения: |
Характеристика |
| 10 |
Коэффициент Бивера |
0,26 |
0,25 |
0,38 |
Группа II |
| 11 |
Экономическая рентабельность |
0,10 |
0,11 |
0,19 |
Группа I |
| 12 |
Финансовый леверидж |
0,50 |
0,54 |
0,62 |
Группа II |
| 13 |
Коэффициент покрытия активов собственными оборотными средствами |
0,22 |
0,12 |
0,03 |
Группа II |
| 14 |
Коэффициент текущей ликвидности |
1,43 |
1,30 |
1,13 |
Группа II |
| Характеристика |
Группа II |
Группа II |
Группы I, III |
*Берутся средние величины
Можно сделать вывод, что в соответствии с зарубежными методиками прогнозирования вероятность банкротства предприятия невелика. При использовании отечественных методик получены два противоположных результата: двухфакторная модель прогнозирует очень высокую вероятность банкротства, а четырехфакторная модель — минимальную. Четырехфакторная модель больше подходит к специфике исследуемого предприятия, поскольку ООО «Эталон »является торгово-посреднической компанией, для которых как раз и была разработана эта модель. Следовательно, можно принять за достоверный этот вариант прогноза. Таким образом, можно сделать вывод, что вероятность банкротства предприятия невелика.
Сервис онлайн-записи на собственном Telegram-боте
Попробуйте сервис онлайн-записи VisitTime на основе вашего собственного Telegram-бота:
— Разгрузит мастера, специалиста или компанию;
— Позволит гибко управлять расписанием и загрузкой;
— Разошлет оповещения о новых услугах или акциях;
— Позволит принять оплату на карту/кошелек/счет;
— Позволит записываться на групповые и персональные посещения;
— Поможет получить от клиента отзывы о визите к вам;
— Включает в себя сервис чаевых.
Для новых пользователей первый месяц бесплатно.
Зарегистрироваться в сервисе
В заключение отмечу следующее: неудовлетворительность структуры баланса не означает признания компании банкротом. Но это должно стать сигналом пристального внимания и контроля за финансовым состоянием предприятия, принятия мер по предупреждению риска банкротства. В качестве возможных корректирующих мер в такой ситуации для эффективного выхода из кризисного состояния и ликвидации нежелательных последствий, могут быть:
1.Снижение дебиторской задолженности и продолжительности ее оборота.
2.Снижения просроченной задолженности в составе дебиторской задолженности.
3.Балансирование дебиторской и кредиторской задолженности.
4.Оптимизация запасов.
5.Избавление от непрофильных и неиспользуемых активов.
6.Использование долгосрочных источников капитала для финансирования капитальных вложений.
Здесь отражены только некоторые из возможных предупредительных мер, состав которых может быть расширен и изменен в зависимости от индивидуальных особенностей компании и рисковой ситуации.
2. Анализ финансовых результатов предприятия
Анализ финансового состояния - обязательная составляющая финансового менеджмента любой компании. Задача такого анализа - определить, каково состояние компании сегодня, какие параметры работы являются приемлемыми и их необходимо сохранять на сложившемся уровне, какие являются неудовлетворительными и требуют оперативного вмешательства. Иными словами, чтобы успешно двигаться дальше, компании необходимо знать, почему ее состояние ухудшилось и как исправить положение (какие рычаги задействовать наиболее эффективно).
Финансовые ресурсы предприятия - это все источники денежных средств, аккумулируемые предприятием для формирования необходимых ему активов в целях осуществления всех видов деятельности как за счет собственных доходов, накоплений и капитала, так и за счет различного рода поступлений.
Требование сбалансированности финансовых ресурсов с точки зрения их источников и направлений использования порождает одну из ключевых проблем рыночной экономики - платежеспособность предприятия.
Отчет о прибылях и убытках за 12 месяцев 2008 года
| Организация |
ООО «Эталон» |
| Единица измерения |
тыс. руб. |
| Наименование показателя |
Код стр. |
За отчетный период |
За аналогичный период прошлого года |
| Выручка (нетто) от реализации товаров, продукции, работ, услуг (за минусом налога на добавленную стоимость, акцизов и аналогичных обязательных платежей) |
010 |
42200 |
21100 |
| Себестоимость реализации товаров, Продукции, работ, услуг |
020 |
26000 |
13000 |
| Коммерческие расходы |
030 |
1260 |
2600 |
| Управленческие расходы |
040 |
1300 |
1020 |
| Прибыль (убыток) от реализации (стр.010 - 020 - 030 - 040) |
050 |
13640 |
6820 |
| Проценты к получению |
060 |
200 |
100 |
| Проценты к уплате |
070 |
| Доходы от участия в других организациях |
080 |
1000 |
500 |
| Прочие операционные доходы |
090 |
400 |
300 |
| Прочие операционные расходы |
100 |
500 |
150 |
| Прибыль (убыток) от финансово-хозяйственной деятельности (стр.050 + 060 - 070 + 080 + 090 - 100) |
110 |
14740 |
7370 |
| Прочие внереализационные доходы |
120 |
600 |
300 |
| Прочие внереализационные расходы |
130 |
| Прибыль (убыток) отчетного периода (стр.110 + 120 - 130) |
140 |
15340 |
7670 |
| Налог на прибыль |
150 |
5370 |
2685 |
| Отвлеченные средства |
160 |
9620 |
4810 |
| Нераспределенная прибыль (убыток) |
| Отчетного периода (стр.140 - 150 - 160) |
170 |
350 |
| Руководитель |
Главный бухгалтер |
Финансовый анализ деятельности предприятия необходимо осуществлять в такой последовательности. Изначально определяем коэффициент автономности (Ка) (финансовой самостоятельности) предприятия по следующей формуле:
Ка = [Сумма собственных средств (активов, капитала)]/(Валюта
баланса)
Коэффициент должен быть не менее 0,5.
Определим по данным бухгалтерского баланса долю собственного капитала организации:
Ка = (стр. баланса 490 + стр. 640 + 650 + 660)/(Валюта баланса стр.300)
= (34850 + 300 + 500 + 1500)/67400 = 37150/67400 = 0,551.
Следовательно, автономность (финансовая самостоятельность) предприятия находится на необходимом для оптимального функционирования уровне, т.е. доля собственных активов (капитала) превышает половину всех активов, находящихся в его распоряжении. Затем следует установить наличие собственных средств предприятия в обороте. На практике наличие собственных средств в обороте определяется следующим образом: из итога раздела III пассива баланса вычитается итог раздела I актива баланса. Наличие собственных средств по балансу предприятия составляет: стр. баланса 490 - стр.190 = 34850 - 18600 =16250. Как видно из расчета, наличие собственных средств в обороте определить несложно. Гораздо сложнее оценить степень обеспеченности собственными оборотными средствами. Для этого расчетным путем определяется оптимально необходимая сумма (норматив) собственных оборотных средств. Далее наличие собственных оборотных средств сравнивается с нормативом. По результатам сравнения можно установить, обеспечено предприятие оборотными средствами или нет, а по итогам анализа - принять соответствующее решение. Если у организации отсутствуют (не разработаны) нормативы собственных оборотных средств, рекомендуется применять коэффициент обеспеченности собственными оборотными средствами, предложенный в постановлении Правительства Российской Федерации от 20.05.94 N 498 "О некоторых мерах по реализации законодательства о несостоятельности (банкротстве) предприятий" (с изм. и доп. от 27.07.98, 27.08.99). Этот коэффициент рассчитывается следующим образом:
Кос = Сумма собственных оборотных средств/[Оборотные средства
(раздел II баланса)] = 0,1
Обеспеченность собственными оборотными средствами на основе показателей бухгалтерского баланса составит:
Кос = (Раздел III баланса - Раздел I баланса)/ Раздел II баланса = =
(34850 - 18600)/48800 = 16250/48800 = 0,3
Результат расчетов свидетельствует об избытке собственных оборотных средств, а также о том, что капитал предприятия оборачивается медленно. Далее необходимо проанализировать платежеспособность предприятия на основе показателей бухгалтерского баланса. Для определения платежеспособности применяют различные коэффициенты, характеризующие соотношение средств платежа предприятия и его обязательств. При расчете этих коэффициентов в знаменателе используются краткосрочные обязательства предприятия. Сумма краткосрочных обязательств приведена в итогах раздела V пассива баланса.
По данным баланса обязательства предприятия составили:
25250 тыс. руб. (600 + 24650 = 25250)
Платежеспособность предприятия определим с помощью коэффициента покрытия (Кл), или коэффициента текущей ликвидности. Значение этого коэффициента определено постановлением N 498 и рассчитывается следующим образом:
Кл = [Оборотные средства в запасах, затратах и прочих активах (раздел
II баланса)]/[Краткосрочные обязательства (раздел V баланса)] = 2.
Коэффициент текущей ликвидности по данным баланса составит: Кл =
48800/(27550 - 2300 = 25250) = 1,93
Следующий этап - анализ рентабельности реализованной предприятием готовой продукции (работ и услуг). Для определения рентабельности реализованной готовой продукции принимаются данные бухгалтерской отчетности, которые приведены в Отчете о прибылях и убытках (форма N 2 приложения к Бухгалтерскому балансу). Формула расчета рентабельности реализованной готовой продукции имеет следующий вид:
Прибыль от реализации продукции (работ, услуг)
Рп = ----------------------------------------------------------------------- х 100%.
Затраты на производство реализованной продукции (работ, услуг)
Рассчитываем рентабельность реализованной готовой продукции по данным бухгалтерской отчетности:
13640
Рп = ------------ х 100 = 47,7%.
28560
Этот показатель сравнивается с показателем, заложенным в плановой калькуляции. Сравнение расчетного и планового показателей позволяет определить реальную рентабельность продукции (услуг и работ) предприятия. Рентабельность активов (капитала) предприятия рассчитывается по следующей формуле:
Балансовая прибыль - Налоги с прибыли
Рк = ---------------------------------------------------------- = Чистая прибыль Среднестатистическая сумма инвестированного и привлеченного капитала
В нашем примере этот показатель составит:
15340-5370(стр.140-стр.150формыN2) 9970
Рк = ------------------------------------------------------ = ---------- х 100 =20,3%
48975 48975
(30550+67400) : 2=48975
(валюта баланса на начало и конец года) Результаты расчета показывают, что предприятие использовало как свой, так и привлеченный капитал в течение года в среднем в сумме 48975 млн. руб. и получило нетто прибыли в сумме 9970 млн. руб., что составляет 20,3% капитала. Исходя из международной практики (стандарта) рентабельность инвестированного и привлеченного капитала оценивают путем сравнения со среднегодовым банковским процентом рефинансирования в стране расположения данного предприятия. Поэтому результат оборота всего капитала для предприятия в нашей стране считается низким, поскольку средний банковский процент за 1998 год составлял более42%. Рассмотренные методы оценки финансового состояния предприятия, а также рентабельности его капитала применяются для анализа деятельности в прошлом (например, за предыдущий год). В рыночных условиях более важной задачей является предвидение финансовой ситуации в будущем. В современной экономической науке в последнее время появились многочисленные разработки в сфере анализа и прогноза деятельности предприятий. Так, особый интерес вызывают методы расчета степени отдаленности от банкротства фирм (компаний) и степени их надежности. Необходимость таких расчетов обусловлена тем, что в условиях свободного предпринимательства постоянно возникают вопросы, связанные с прогнозом финансовой устойчивости на длительную перспективу и оценкой вероятности банкротства предприятия в реальных экономических условиях. Для их решения можно использовать экономико-статистические методы, основанные на разработке моделей, которые учитывают различные факторы, влияющие на платежеспособность и финансовую устойчивость предприятия. На практике наиболее распространена пятифакторная модель Э. Альтмана, которая представляет собой функцию от группы показателей, характеризующих экономический потенциал предприятия и результаты его работы, и имеет вид:
Z = K1 х 1,2 +K2 х 1,4 + K3 х 3,3 + K4 х 0,6 + K5 х 0,999,
Текущие активы - Краткосрочные обязательства где
K1 = -------------------------------------------------------------------------- х 1,2;
Чистая прибыль
Валюта баланса
K2 = ------------------------------------------------------------------------- х 1,4;
Среднестатистическая сумма инвестированного и
привлеченного капитала
Балансовая прибыль (до выплаты налогов с прибыли (брутто)
K3 = --------------------------------------------------------------- х 3,3;
Среднестатистическая сумма инвестированного и
привлеченного капитала
Рыночная стоимость акционерного капитала
K4 = ---------------------------------------------------------------------- х 0,6;
Выручка от реализации
Привлеченный капитал (долгосрочный и краткосрочный)
K5 = -------------------------------------------------------------------- х 0,999.
Среднестатистическая сумма инвестированного и привлеченного
капитала
Пятифакторная модель Э. Альтмана применяется в условиях развития рынка ценных бумаг. На предприятиях, акции которых на рынке не котируются, в виде исключения можно при расчете коэффициента K4 использовать в числителе уставный капитал и добавочный капитал. В рассматриваемой модели первый фактор представляет собой долю покрытия активов собственным оборотным капиталом и характеризует платежеспособность предприятия; второй и четвертый - отражают структуру капитала; третий - рентабельность активов, исчисленную исходя из балансовой прибыли; пятый - оборот капитала. Критическое значение индекса Z-счета рассчитывалось Э. Альтманом по данным бухгалтерской отчетности многочисленных обанкротившихся предприятий и составило 2,7. В зависимости от фактического значения Z-счета степень вероятности банкротства предприятия можно подразделить на несколько групп: Z < 1,8 - очень высокая степень вероятности банкротства; Z = 1,81 - 2,7 - высокая степень вероятности банкротства; Z = 2,71 - 2,9 - возможно банкротство; Z > 2,9 - степень вероятности банкротства мала, предприятие характеризуется достаточно устойчивым финансовым положением. На следующем этапе пятифакторная модель Э. Альтмана применяется для прогнозирования степени отдаленности банкротства предприятия по данным бухгалтерской отчетности. Так, коэффициенты рассчитываются следующим образом:
K1 = [(48800 - 27550)/67400] х 1,2 = 0,378;
K2 = {(15340 - 5370)/[(30550 + 67400) : 2]} х 1,4 = (9970/48 975) х 1,4 =
0,285;
K3= {15340/[(30550 + 67400) : 2]} х 3,3 = (15340/48975) х 3,3 = 1,034;
K4 = {[10000 + 9000 (уставный и добавочный капитал)]/(5000 + 27550)} х 0,6 = (19000/32550) х 0,6 = 0,350;
K5 = {42200/[(30550 + 67400) : 2]} х 0,999 = (42200/48 975) х 0,999 = 0,861.
Таким образом, значение Z-счета будет равно:
Я = Л1 х 0б378 + Л2 х 0б285 + Л3 х 1б034 + Л4 х 0б350 + Л5 х 0б861 = 2б908ю
Следовательно, степень вероятности банкротства для предприятия мала и его финансовое положение оценивается как достаточно устойчивое. Если полученное в результате произведенных расчетов значение Z-счета составляет менее 1,8, то это свидетельствует о наличии негативных участков размещения капитала предприятия или о том, что критический объем реализации произведенной продукции не преодолен. В этом заключается важность применения формулыЭ. Альтмана. На практике предпринимаются многочисленные попытки использовать Z-счет Э. Альтмана для оценки платежеспособности и диагностики банкротства предприятия. Однако различия в выборе факторов, оказывающих влияние на финансовое положение предприятия в нашей стране (степень развития фондового рынка (главным образом развитие вторичного рынка ценных бумаг), налоговое законодательство, нормативное обеспечение бухгалтерского учета, достоверность экономических показателей деятельности предприятия, используемых в модели), могут исказить объективность оценки. Помимо формулы Э. Альтмана применяются другие методы анализа финансового состояния и рейтинговой оценки предприятий. В частности, известный финансовый аналитик У. Бивер предложил систему показателей для оценки финансового состояния предприятия в целях диагностики банкротства.
Анализ безубыточности предприятия
В ряде случаев на предприятиях возникают условия, когда можно говорить уже не только о точке безубыточности, но и об интервале безубыточности.
Разработанный алгоритм нахождения данного интервала состоит из двух этапов
на первом — строится аппроксимационная линейная модель зависимости спроса покупателей от цены на товар, опирающаяся на данные за два смежных периода времени;
на втором — определяются постоянные и переменные затраты, благодаря которым рассчитывается интервал безубыточности.
Обратимся к математической стороне модели, для чего примем, что деятельность фирмы характеризуется следующими показателями (см. табл. 1).
Таблица 1
Исходные данные для построения модели
| Смежные периоды времени, равные |
Физический объем продаж товаров, нат. Ед. |
Цена товаров, руб. |
Средняя себестоимость единицы товаров (удельная себестоимость), руб. |
| Первый |
y1 |
x1 |
z1 |
| Второй |
y2 |
x2 |
z2 |
Допустим, что физический объем продаж товаров y(x) является линейной функцией от цены товаров x, то есть имеется следующая зависимость спроса от цены:
y(x)=kx+b,(1)
где y(x) — физический объем продаж товаров, нат. ед.;
х — цена товаров, руб/нат. ед.;
k и b — коэффициенты, связывающие между собой физический объем продаж и цену.
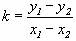
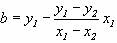
Согласно данным таблицы 1, для коэффициентов k и b в этом случае справедливо:
 
Если является верным предположение, что покупательский спрос эластичен, то есть зависит от цены (а он часто именно таковым является), то, при прочих равных условиях, повышение цен приводит к сокращению спроса, а снижение цен, наоборот, к расширению спроса. Это означает, что коэффициент k в выражении (1) будет отрицателен, а коэффициент b, наоборот, положителен (рис. 1). Подбор коэффициентов не представляет трудности, и при наличии фактических данных это можно сделать как с помощью калькулятора, так и программных средств (автор обычно использует Excel, предоставляющий пользователю одновременную возможность построения графика и получения уравнения регрессии)<1>.

Рис. 1. Зависимость объема продаж от цены
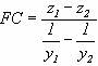
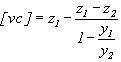
Опираясь на эту модель, представим формулы для отыскания величин переменных и постоянных затрат применительно к обозначениям в таблице 1:
 
где FC — постоянные затраты фирмы, руб.;
VC — переменные затраты фирмы, руб.;
[vc] — удельные переменные затраты товаров, руб./нат. ед.
Обычно точка безубыточности находится по следующей общепринятой формуле:

где ymin — безубыточный объем продаж товаров, нат. ед.
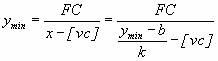
Но рассматриваемый случай особый, поскольку объем продаж y(x) и цена связаны линейной зависимостью в соответствии с выражением (1). А это значит, что общепринятая формула для нахождения точки безубыточности может быть модифицирована. В частности, цена x может быть представлена в виде обратной функции от объема продаж y(x). С учетом сказанного минимальный объем продаж ymin, при котором прибыль предприятия равна нулю, составит
(2)
откуда получаем следующее квадратное уравнение:
(3)
Квадратное уравнение (3), решаемое относительно ymin, согласно правилам математики может или не иметь решений, или иметь одно решение, или иметь два решения. Последний случай наиболее интересен, поскольку это означает уже просто не традиционную точку, а интервал безубыточности.
Далее, подставив полученные значения ymin в выражение (1), становится возможным отыскать две цены — нижнюю и верхнюю, определяющие соответственно ценовой интервал безубыточности.
Как известно, точка безубыточности определяет такой объем производства (продаж), при котором прибыль предприятия равна нулю. Интервал безубыточности не исключение, и что это именно так, показывает зависимость прибыли Р(х) от цены х:
(4)
где Р(х) — прибыль от продажи товаров (руб.).
На рисунке 2, иллюстрирующем поведение функции Р(х), хорошо видно, в каких точках, то есть при каких ценах х, парабола прибыли Р(х) пересекает ось аргументов, что означает нулевую прибыль.

Рис. 2. Ценовой интервал безубыточности
Но прежде чем перейти к рассмотрению примера, отметим возможные проблемы, которые возникают при применении данного метода, а также его основное достоинство.
Прежде всего, сложность применения предлагаемого метода заключается в том, что он наиболее эффективен в случае однопродуктовых предприятий (выпускающих один вид продукта). Разумеется, подобное предприятие в чистом виде абстракция, поэтому на практике можно «разделить» реальное многопродуктовое на несколько условных «однопродуктовых». В деле разделения на помощь приходит или бухгалтерский учет, который при всех его недостатках все же вполне корректно определяет величину себестоимости — если даже не каждого вида продукта (товара) в отдельности, то, по крайней мере, агрегированных по какому-либо признаку групп, — или тот же управленческий учет, в котором себестоимость может быть вычислена и более точно.
Далее, поскольку данная математическая модель справедлива в предположении, что сравниваемые между собой периоды времени представляют собой бесконечно малые промежутки времени ( ), то это нужно понимать в том смысле, что предлагаемый метод в неявной форме исходит из сопоставимости цен и переменных затрат, а также неизменности постоянных затрат предприятия в сравниваемых периодах времени. А следовательно, точность получаемых результатов зависит от темпов инфляции. Чем выше темпы инфляции, тем ниже точность результата, и наоборот, чем ниже инфляция, тем точнее результат (абсолютно точный результат будет получен при условии, что инфляция отсутствует). В этой связи возникает задача учета инфляционного фактора, и один из применяемых автором способов заключается в следующем: год разбивается на два полугодия, каждое из которых становится базой для поиска значений постоянных и переменных затрат и точки безубыточности.
Преимущество модели заключается в том, что она позволяет обойтись минимумом данных (всего шесть величин), при этом на сегодняшний день их легко получить с помощью обычных бухгалтерских регистров: речь идет о выручке, себестоимости и физическом объеме проданных продуктов (товаров). И как показывает опыт автора, несмотря на перечисленные выше сложности, практическое применение разработанной модели на предприятиях, относящихся к самым различным отраслям, оказывается достаточно плодотворным. Она позволяет наглядно демонстрировать руководителям фирм скрытые (а порой уже упущенные) возможности оптимизации ценовой политики.
Практическое применение модели
Достаточно часто на практике приходится сталкиваться с ситуацией, которая показывает, как неосторожное повышение цен всего на 5% отпугивает покупателей и приводит к куда более значительному падению физического объема продаж — более чем на 13%, — то есть эластичность спроса показала свой «капризный» характер в полной мере (см. табл. 2).
Таблица 2
Фактические данные ООО «Эталон»
| Годы |
Выручка от продаж, руб. |
Себестоимость продаж,
руб.
|
Прибыль от продаж, руб.
[гр. 1 - гр. 2]
|
Объем продаж, кг |
Средняя цена, руб. за 1 кг [гр. 1: гр. 4] |
Удельная себестоимость, руб. на 1 кг [гр.2 : гр.4] |
Удельная прибыль, руб. на 1 кг [гр.5 - гр.6] |
| А |
1 |
2 |
3 |
4 |
5 |
6 |
7 |
| 2007 |
45426662 |
43595214 |
1831448 |
8447 751 |
5,38 |
5,16 |
0,22 |
| 2008 |
42143858 |
39366852 |
2777006 |
7471 472 |
5,64 |
5,27 |
0,37 |
Из анализа данных видно, что в 2008 г. по сравнению с предыдущим годом средняя цена товаров возросла с 5,38 руб. до 5,64 руб. за 1 кг при одновременном значительном сокращении объема продаж (с 8 447 751 кг до 7 471 472 кг), то есть явно проявились признаки, что спрос покупателей эластичен (рис.3).
Предполагая, что зависимость объема продаж от цены подчиняется выражению (1), находим искомую линейную функцию (она также изображена на рис.3):
Кроме того, в 2008 г. снижение объема продаж сопровождалось ростом себестоимости 1 кг реализуемых товаров (с 5,09 до 5,18 руб.). Исходя из этого, находим величины постоянных и удельных переменных затрат:
FC = 7 111 579 руб. и [vc] = 4,32 руб. на 1 кг товаров.
Зная величины постоянных затрат FC и удельных переменных затрат [vc], а также зависимости объема продаж от цены товара x, отыскиваем интервал безубыточности. В частности, в соответствии с выражением (2), минимальный объем продаж ymin, при котором прибыль фирмы была бы равна нулю, находится из уравнения

Решение получающегося квадратного уравнения дает следующие точки безубыточности: 9 665 095 кг при средней цене 5,06 руб. за 1 кг товаров и 2 762 870 кг при средней цене 6,89 руб. за 1 кг товаров. Как выглядит найденный ценовой интервал безубыточности, показано на рисунке 4.

Рис. 4. Ценовой интервал безубыточности
Изображенный на рисунке 4 график зависимости прибыли от цены описывается следующей функцией:
Р(х) = –3 754 919х2 + 44 870 465х – 130 876 188.
Если решить данное уравнение, приравняв его к нулю, то можно еще раз убедиться, что нулевая прибыль возникает в найденных ранее точках безубыточности — соответственно при ценах 5,06 руб. и 6,89 руб. за 1 кг товаров.
Очевидно, что в настоящий момент предприятие находится примерно посередине между двумя точками безубыточности. Это отрадный момент, тем более видно, что предприятие может еще больше повысить цены, поскольку на рисунке 4 видно, что максимальная прибыль достигается при средних ценах, равных 5,95 руб. за 1 кг (это же решение получается, если отыскать точку экстремума функции прибыли). Однако очевидно и другое: при дальнейшем повышении цен объем продаж будет падать — в полном согласии с выражением (1) и рис. 3.
Иначе говоря, общий вывод безрадостный: интересы организации и покупателей противоречат друг другу. При росте цен растет прибыль организации, но падает спрос, то есть страдает покупатель; при снижении же цен спрос растет, то есть покупатель выигрывает, но снижается прибыль организации. Коллизию интересов продавца и покупателя нужно понимать в том смысле, что проводимая организацией в 2007—2008 гг. ценовая политика не учитывала платежеспособный спрос и нуждалась в корректировке. Очевидно, что наилучшим шагом со стороны продавца было бы небольшое снижение цен в интересах покупателей, тем более что нижняя граница ценового интервала безубыточности дает ему достаточный простор для маневра. Конечно, это понижение, согласно выполненным расчетам, должно повлечь за собой снижение прибыли. Но, с другой стороны, нельзя забывать и о том, что благодарность покупателей тоже многого стоит, и порой — даже больше прибыли.
Анализ безубыточности производства ООО «Эталон»
«Эталон» выпускает несколько видов замороженных полуфабрикатов. В настоящее время производятся следующие виды продукции: пельмени (А), блинчики (В) и вареники с творогом (С). При разработке плана работы на следующий месяц проводится анализ производственных показателей за предыдущий месяц с целью определить, какая корректировка этих показателей приведет к максимальному эффекту. Данные относительно выпуска за апрель 2007 года приведены в табл.3.
Таблица 3
Показатели работы предприятия «Эталон» за апрель 2007 г.

Рассчитаем точки безубыточности разных видов продукции при существующих объемах производства:
,
где
,
i = А, В, С.
Величина среднего маржинального дохода на 1 кг продукции предприятия при сложившихся объемах реализации:
Объемы производства, позволяющие покрыть все затраты и выйти на нулевой уровень прибыли:
Видим, что уровень точек безубыточности для всех трех видов продукции лежит гораздо ниже сложившихся объемов производства, что является, безусловно, положительным для предприятия фактором. Таким образом, предприятие имеет достаточно широкие возможности варьировать общий объем выпуска продукции, а также долю отдельных ее видов в суммарном выпуске.
Начинать планирование дальнейшей деятельности предприятия следует с анализа прибыльности разных видов продукции с учетом рыночной ситуации и возможностей предприятия. Для начала следует определить наиболее прибыльный вид продукции. Сделать это можно на основе данных о маржинальном доходе. Если никаких (ни рыночных, ни технологических) ограничений для производства и реализации продукции нет, выпуск изделий с максимальным маржинальным доходом на единицу выпуска будет наиболее желательным способом расширения производства.
При наличии каких-либо ограничений выбор следует делать в пользу продукта с максимальным маржинальным доходом на единицу ограниченного ресурса.
Максимальный маржинальный доход на 1 кг продукции в примере – у пельменей, наивысшая доля маржинального дохода в выручке и маржинальный доход на один человеко-час — у вареников, а самый большой маржинальный доход на один час работы оборудования — у блинчиков.
Проводя анализ безубыточности, не следует забывать и о других факторах рыночной активности предприятия. Максимальный уровень прибыли не является единственной, а в большинстве случаев и главной целью предприятия. Отказ от производства одного или нескольких видов продукции из их общей номенклатуры может отрицательно сказаться на имидже, а в конечном итоге и на рыночной позиции производителя. В большинстве случаев широкая номенклатура выпуска является фактором укрепления рыночных позиций предприятия, поскольку разнообразие выпускаемой продукции позволяет привлечь к ней большее число покупателей. Возможно, выпуск наименее прибыльных, но оригинальных товаров (на предприятии «Эталон» из примера такой продукцией были блинчики) влияет и на рост продаж других, более прибыльных видов продукции, привлекая внимание к торговой марке и фирме-производителю все новых и новых потребителей.
Кроме того, рынок не безграничен. Расширять производство и перераспределять ресурсы с одних видов продукции в пользу других можно только до тех пор, пока продукцию можно продать.
Ограничения по емкости рынка, вероятно, самые жесткие, поскольку для предприятия являются внешними и никакими усилиями самих предприятий изменены быть не могут.
финансовый прогнозирование баланс банкротство
3. Анализ денежных потоков прямым и косвенным методом
Реализация большинства управленческих решений по проведению хозяйственных операций связана с использованием денежных средств, обеспечивающих поддержание необходимого объема оборотного капитала и направляемых на финансирование внеоборотных активов организации. Управление финансами предприятия наиболее эффективно реализуется в системе финансового контролинга. Система финансового контролинга включает в себя подсистемы: бюджетирование и управленческого учета. Бюджетирование есть ни что иное, как текущее финансовое планирование, охватывающее операционную, инвестиционную и финансовую деятельность предприятия. Учет как функция управления реализуется в подсистеме управленческого учета.
Существенное сжатие реальной денежной массы в ходе рыночного реформирования экономики обуславливает значительное увеличение общей потребности в денежном предложении. Основными составляющими данной потребности является спрос на деньги со стороны производственного сектора, связанный с замещением реальными деньгами обращающихся денежных суррогатов, и потребность в увеличении рублевой массы при вытеснении из оборота иностранной валюты. Важность изучения денежных потоков на данном этапе развития рыночных отношений в России не подлежит сомнению. Нерешенными остаются лишь вопросы реализации перспективного анализа денежных потоков. Перспективный анализ и диагностика банкротства являются по сути одной проблемой нахождения оптимального пути развития организаций.
Показатели денежного потока в наибольшей мере отражают финансовую устойчивость и платежеспособность, как с теоретической, так и с практической точки зрения. Система управления денежными потоками на предприятии - это совокупность методов, инструментов и специфических приемов целенаправленного, непрерывного воздействия со стороны финансовой службы предприятия на движение денежных средств для достижения поставленной цели. Управление денежными потоками - важнейший элемент финансовой политики предприятия, оно пронизывает всю систему управления предприятия. Важность и значение управления денежными потоками на предприятии трудно переоценить, поскольку от его качества и эффективности зависит не только устойчивость предприятия в конкретный период времени. Но и способность к дальнейшему развитию, достижению финансового успеха на долгую перспективу.
Управление денежными средствами предусматривает не только контроль уровня абсолютной ликвидности, но и оптимизацию среднего остатка всех денежных средств на основе расчетов операционного, страхового, компенсационного и инвестиционного резервов. При этом контроль за движением денежных потоков должен осуществляться в соответствии с бюджетом поступлений и расходовании денежных средств в устранении кассовых разрывов. Целью анализа денежных потоков является подготовка информации об объемах, временных параметрах, источниках поступления и направлениях расходования денежных средств, которая необходима для обоснованного принятия решений по управлению ими с учетом влияния объективных и субъективных, внутренних и внешних факторов. Анализ денежных потоков позволяет решать задачи оптимальности сроков и объемов заемных средств, оценки целесообразности привлечения кредита. В этом анализе рассматриваются 4 группы показателей:
- поступления;
- расходы (или «платежи»);
- их разница («сальдо» или «баланс»);
- наличие сальдо («сальдо нарастающим итогом», «аккумулированное сальдо»), соответствующее наличию средств на счёте.
Возникновение отрицательного сальдо по четвертому показателю означает появление непокрытых долгов.
В соответствии с международными стандартами учета и сложившейся практикой для подготовки отчетности о движении денежных средств используются два основных метода - косвенный и прямой.
Косвенный метод более распространен в мировой практике как метод составления отчета о движении денежных средств. Он включает в себя элементы анализа, так как базируется на составлении изменений различных статей бухгалтерского баланса за отчетный период, характеризующих имущественное и финансовое положение организации, а также включает анализ движения основных средств, их амортизацию и другие показатели, которые невозможно получить исключительно из данных бухгалтерского баланса. В результате применения косвенного метода финансовый результат (чистая прибыль) организации за период требуется в разность между величинами денежных средств, находящихся в распоряжении организации по состоянию на начало и конец отчетного периода. Прямой метод основан на информации обо всех операциях, произведенных в отчетном периоде по счетам банках и с кассовой наличностью, сгруппированной определенным образом.
Косвенный метод направлен на получение данных, характеризующих чистый денежный поток предприятия в отчетном периоде. Расчет чистого денежного потока предприятия косвенным методом осуществляется по видам хозяйственной деятельности и предприятию в целом. Прямой метод направлен на получение данных, характеризующих как валовой, так и чистый денежный поток предприятия в отчетном периоде. Он призван отражать весь объем поступления и расходования денежных средств в разрезе отдельных видов хозяйственной деятельности и по предприятию в целом.
Существует два основных вида денежных потоков:
- бездолговой денежный поток;
- денежный поток для собственного капитала.
Денежный поток для собственного капитала рассчитывается следующим образом: он равен чистый доход + балансовые начисления (износ, амортизация) + увеличение долгосрочной задолженности - прирост собственного оборотного капитала капитальные вложения снижение долгосрочной задолженности.
Бездолговой денежный поток = чистый доход (плюс процентные выплаты, скорректированные на ставку налогообложения) + балансовые начисления (износ, амортизация) - прирост собственного оборотного капитала капитальные вложения.
Анализ движения денежных средств прямым методом рассмотрим на примере ООО «Эталон». Для этого воспользуемся таблицей 4.
В данной таблице исследуем структуру положительных и отрицательных денежных потоков по организации в целом. При анализе прямым методом исходные данные для заполнения таблиц берутся из отчёта о движении денежных средств (форма №4) по соответствующим статьям.
Сальдо (остаток) денежных средств на конец периода можно определить прибавлением к сальдо денежных средств на начало периода итогового чистого изменения денежных средств.
Таблица 4
| Показатели |
Поступило 2006 |
Использовано 2006 |
Чистый поток
(+, -) 2006
|
Поступило 2007 |
Использовано
2007
|
Чистый поток
(+, -) 2007
|
Поступило 2008 |
Использовано
2008
|
Чистый поток
(+, -) 2008
|
| Сальдо денежных средств на начало периода |
1 |
79 |
18 |
Движение средств по
текущей деятельности
|
4796 |
4718 |
+78 |
6813 |
6874 |
-61 |
9639 |
9634 |
+5 |
Движение средств по
инвестиционной деятельности
|
- |
- |
- |
- |
- |
- |
- |
- |
- |
Движение средств по
финансовой деятельности
|
- |
- |
- |
- |
- |
- |
- |
- |
- |
| Итого чистое изменение денежных средств |
4796 |
4718 |
+78 |
6813 |
6874 |
-61 |
9639 |
9634 |
+5 |
| Сальдо денежных средств на конец периода |
79 |
18 |
23 |
Движение денежных средств ООО «Эталон» по видам деятельности, тыс. руб.
Из таблицы 4 следует, что остаток денежных средств за анализируемый период увеличился на 22 тыс. руб.
Отсутствие средств от инвестирования покрывается чистыми денежными потоками от текущей деятельности, позволяющей осуществлять необходимые расходы по всем видам деятельности.
При этом наличие положительного чистого потока по текущей деятельности наиболее важно для перспективной финансовой устойчивости и платежеспособности организации, так как этот вид деятельности является основным.
Положительным моментом является увеличение остатка денежных средств за 2006 год - на 78 тыс.руб. В 2007 году остаток денежных средств снизился на 61 тыс.руб.
В таблице 10 определим удельный вес каждой статьи поступления и расходования средств отношением величины по соответствующей статье к сумме всех поступлений денежных средств.
Таблица 5
Анализ поступления и расходования денежных средств
| Показатели |
2006 |
2006 |
2007 |
2007 |
2008 |
2008 |
| тыс.р. |
% |
тыс.р. |
% |
тыс.р. |
% |
Поступление денежных средств - всего
в том числе:
|
4796 |
100 |
6813 |
100 |
9639 |
100 |
| выручка от продажи товаров, продукции, работ, услуг |
4796 |
100 |
6631 |
97,33 |
6193 |
64,25 |
| выручка от продажи основных средств и иного имущества |
| авансы, полученные от покупателей (заказчиков) |
| бюджетные ассигнования и иное целевое финансирование |
3230 |
33,51 |
| безвозмездно |
| кредиты полученные |
| займы полученные |
| дивиденды, проценты по финансовым вложениям |
| прочие поступления |
182 |
2,67 |
216 |
2,24 |
Расходование денежных средств
в том числе:
|
4718 |
98,37 |
6874 |
100,90 |
9634 |
99,95 |
| на оплату приобретенных товаров, работ, услуг |
3400 |
70,89 |
4521 |
66,36 |
5462 |
56,67 |
| на оплату труда |
1260 |
0,26 |
2075 |
30,46 |
2151 |
22,32 |
| отчисления в государственные внебюджетные фонды |
| на выдачу подотчетных сумм |
| на выдачу авансов |
| на оплату долевого участия в строительстве |
| на оплату машин, оборудования и транспортных средств |
| на финансовые вложения |
| на выплату дивидендов, процентов по ценным бумагам |
| на расчеты с бюджетом |
| на оплату процентов и основной суммы по полученным кредитам, займам |
| прочие выплаты, перечисления и т.п. |
58 |
0,01 |
278 |
4.08 |
2021 |
20,97 |
| Изменение денежных средств
|
+78 |
+1,63 |
-61 |
-0,90 |
+5 |
+0,05 |
Из таблицы 10 следует, что источником поступления в 2006 г. является выручка от продаж 100%.
Основным источником положительных потоков в 2007 и 2008 г.г. является выручка от продаж (соответственно 97,33% и 64,25%) и прочие поступления (2,67% и 2,24%).
В 2007 году ситуация изменилась: поступление денежных средств увеличилось за счет бюджетные ассигнования и иное целевое финансирование составляет 33,51%.
Чистый денежный поток (превышение поступлений над расходованием) в 2006году и в 2007 году составил соответственно 1,63% и 0,05% в общей сумме поступлений, а в 2008 году была иная ситуация: чистый денежный отток (превышение расходов над поступлением) составил 0,90%.
Результаты 2006 года показали, что организация способна генерировать положительные потоки, достаточные для покрытия необходимых расходов. Она способна создавать денежные резервы (чистый денежный поток).
Косвенный метод направлен на получение денных, характеризующих чистый денежный поток предприятия в отчетном периоде. Источником информации для разработки этим методом отчётности о движении денежных средств предприятия является отчётный баланс и отчёт о финансовых результатах.
Расчёт чистого денежного потока предприятия косвенным методом осуществляется по видам хозяйственной деятельности и предприятию в целом.
По операционной деятельности базовым элементом расчёта чистого денежного потока предприятия косвенным методом выступает его чистая прибыль, полученная в отчетном периоде. Путём внесения корректив чистая прибыль преобразуется затем в показатель чистого денежного потока.
Формула, по которой осуществляется расчет данного показателя пооперационной деятельности, в общем виде выглядит следующим образом:
ЧДПо = ЧП + А - КФВ - ДЗ - З + КЗ, где:
ЧДПо - сумма чистого денежного потока предприятия по операционной деятельности в рассматриваемом периоде;
ЧП - сумма чистой прибыли предприятия;
А - сумма амортизационных отчислений;
КФВ - изменение суммы краткосрочных финансовых вложений;
ДЗ - изменение суммы дебиторской задолженности;
З - изменение суммы запасов;
КЗ - изменение суммы кредиторской задолженности.
По инвестиционной деятельности сумма чистого денежного потока определяется как разница между суммой реализации отдельных видов внеоборотных активов и суммой их приобретения в отчетном периоде.
Расчёт этого показателя по инвестиционной деятельности осуществляется по формуле:
ЧПДи = - ОС - НА - НКЗ - ДФВ - Пр, где:
ЧПДи - сумма чистого денежного потока предприятия по инвестиционной деятельности в рассматриваемом периоде;
ОС - изменение суммы основных средств;
НА - изменение суммы нематериальных активов;
НКЗ - изменение суммы незавершенных капитальных вложений;
ДФВ - изменение суммы долгосрочных финансовых вложений;
Пр - изменение суммы прочих внеоборотных активов.
По финансовой деятельности сумма чистого денежного потока определяется как разница между суммой финансовых ресурсов, привлеченных из внешних источников, и суммой основного долга, а также дивидендов (процентов), выплаченных собственникам предприятия.
Формула, по которой осуществляется расчёт данного показателя по финансовой деятельности:
ЧДПф = СК + ДК + КК, где:
деятельности в рассматриваемом периоде;
СК - изменение суммы собственного капитала;
ДК - изменение суммы долгосрочных кредитов и займов;
КК - изменение суммы краткосрочных кредитов и займов.
Сумма денежных потоков по указанным трем направлениям деятельности предприятия образует чистый денежный поток. Величину чистого денежного потока можно рассматривать как потенциальный объем денежных средств, которым должно располагать предприятие по результатам своей деятельности.
Этот показатель рассчитывается по формуле:
ЧДП = ЧДПо + ЧДПи + ЧДПф
Использование косвенного метода расчёта движения денежных средств позволяет определить потенциал формирования предприятием основного внутреннего источника финансирования своего развития - чистого денежного потока по операционной и инвестиционной деятельности, а также выявить динамику всех факторов, влияющих на его формирование.
Рассчитаем для СПК «Малокрасноярский» чистый денежный поток косвенным методом. Для этого воспользуемся вспомогательными таблицами для расчёта чистого денежного потока по видам деятельности (операционной, инвестиционной, финансовой).
Таблица 6
Расчёт чистого денежного потока по основный деятельности, тыс. р.
| Показатель |
Обозначение |
2006г. |
2007г. |
2008г. |
| Сумма чистой прибыли |
ЧП |
-202 |
1866 |
2089 |
| Сумма амортизационных отчислений |
А |
528 |
326 |
409 |
| Изменение суммы краткосрочных финансовых вложений |
?КФВ |
- |
- |
- |
| Изменение суммы дебиторской задолженности |
ДЗ |
-16 |
-141 |
-151 |
| Изменение суммы запасов |
З |
+388 |
+1828 |
+1255 |
| Изменение суммы кредиторской задолженности |
КЗ |
+4331 |
-1024 |
-1062 |
| Сумма чистого денежного потока
|
ЧДПо |
+4285 |
-519 |
+332 |
Из таблицы 6 видно, что в 2006 году по сравнению с 2007 и 2008 г.г. сумма чистого денежного потока была значительно выше и составляла 4285 тыс.руб., за счет высокой кредиторской задолженности 4331 тыс. руб.В 2007 сумма чистого денежного потока была отрицательной и составляла 519 тыс. руб.В 2006 году наблюдается заметное уменьшение сумм дебиторской и кредиторской задолженности. Это значительным образом повлияло на сумму чистого денежного потока за данный год.
Движение денежных средств по инвестиционной и финансовой деятельности в ООО «Эталон» нет.
На основе данных таблиц 6 рассчитаем чистый денежный поток по предприятию в целом.
Таблица 7
Расчет чистого денежного потока по предприятию, тыс. р.
| Показатель |
2006 г. |
2007г. |
2008г. |
| ЧДПо |
+4285 |
-519 |
+332 |
| ЧДПи |
- |
- |
- |
| ЧДПф |
- |
- |
- |
| ЧДП |
+4285 |
-519 |
+332 |
Данные таблицы 7 показывают, что чистый денежный поток, рассчитанный косвенным методом, на 2008 год составил 332 тыс.руб. Если сравнить с 2006 годом, чистый денежный поток снизился на 3953 тыс.руб., а по сравнению с 2007 годом - вырос на 851 тыс.руб. Следует иметь ввиду, что в 2007 году сумма чистого денежного потока была отрицательной и составила 519 тыс.руб.
Помимо прямого и косвенного методов анализа денежных потоков в работах отечественных аналитиков предлагается использование факторного анализа денежных потоков
, построенного на основе коэффициентного метода. В рамках данного метода предлагается изучать динамику различных коэффициентов. Предполагается, что это позволит выявить положительные и отрицательные тенденции, отражающие качество управления денежными средствами организации, а также разработать необходимые мероприятия для оптимизации ими.
В этой связи предлагаются следующие коэффициенты:
- достаточности чистого денежного потока;
- рентабельность израсходованных денежных средств;
- рентабельность поступивших денежных средств;
- рентабельность среднего остатка денежных средств.
Коэффициент достаточности денежного потока (Кд
) рассчитывается по формуле:
Кд = П / Р * 100%, где:
П - сумма денежных притоков (поступления);
Р - сумма денежных оттоков (платежей).
Коэффициент рентабельности израсходованных денежных средств (Эр) рассчитывается по следующей формуле:
Эр = Ф / Р * 100%, где:
Ф - финансовый результат деятельности предприятия;
Р - сумма денежных оттоков (платежей).
Коэффициент рентабельности поступивших денежных средств (Эп)
рассчитывается по следующей формуле:
Эп = Ф / П * 100%, где:
Ф - финансовый результат деятельности предприятия;
П - сумма денежных притоков (поступлений).
Коэффициент рентабельности остатка денежных средств (Эо) рассчитывается по следующей формуле:
Эо = Ф / Оср * 100%, где:
Ф - финансовый результат деятельности предприятия;
Оср - средний остаток денежных средств.
Рассчитаем данные показатели для ООО «Эталон». Для этого составим следующую таблицу.
Таблица 8
Расчет коэффициентов рентабельности для ООО «Эталон»
| Показатель |
Обозначение |
2006г. |
2007г. |
2008г. |
| Сумма денежных притоков (поступления), тыс.р. |
П |
4796 |
6813 |
9639 |
| Сумма денежных оттоков (платежей), тыс.р. |
Р |
4718 |
6874 |
9634 |
| Финансовый результат деятельности предприятия, тыс.р. |
Ф |
-202 |
1866 |
2089 |
| Средний остаток денежных средств ,тыс.р. |
Оср |
79 |
18 |
23 |
| Коэффициент достаточности денежного потока |
Кд |
101,65 |
99,11 |
100,05 |
| Коэффициент рентабельности израсходованных денежных средств |
Эр |
- |
27,15 |
21,68 |
| Коэффициент рентабельности поступивших денежных средств |
Эп |
- |
27,39 |
21,67 |
| Коэффициент рентабельности остатка денежных средств |
Эо |
- |
10366,67 |
9082,61 |
Анализируя данные таблицы, можно сделать следующие выводы. Коэффициент достаточности денежного потока характеризует отдачу на вложенные средства. В 2006 и 2007 г.г. поступления покрывают расходы на 100,65% и 100,05% соответственно, а в 2008 году всего лишь на 99,11%.
Коэффициенты рентабельности характеризуют уровень отдачи денежных средств в финансовых результатах. Следует отметить, что применительно к 2006 году коэффициенты рентабельности рассчитать невозможно из-за отрицательного финансового результата.
Сумма расходов денежных средств в прибыли на 2007 год составляла 27,15%, а в 2008 году - 21,68%.
Сумма доходов денежных средств в сумме прибыли также снижается. По сравнению с 2007 годом в 2008 году произошло снижение на 5,72%. Аналогичная ситуация происходила и с суммой остатков денежных средств.
Заключение
Таким образом, по итогам контрольной работы можно сделать выводы, что на показатели деятельности предприятий оказывают воздействие как экономические, так и организационные факторы. Кроме того, предприятия как самостоятельные экономические субъекты хозяйственной деятельности обладают правом распределять результаты деятельности, т.е. прибыль, имеют экономическую свободу в выборе партнеров и делают этот выбор исходя только из целей экономической целесообразности и собственной выгоды. Необходимым элементом их хозяйствования в современных условиях является самостоятельность в организации снабжения производства сырьем, найме персонала и распоряжении произведенной продукцией, а также в решении вопросов, касающихся финансирования капитальных вложений, обеспечения предприятия оборотными средствами, и иных задач исходя из собственного видения перспектив осуществления производственной деятельности.
Для проведения финансового анализа используется бухгалтерская отчетность, отражающая конечные результаты конкретной деятельности предприятия, а также система расчетных показателей, базирующаяся на этой отчетности.
Активные формы управления денежными потоками дают возможность предприятию получать дополнительную прибыль, генерируя непосредственно его денежными активами. Речь идет в первую очередь об эффективном использовании временно свободных остатков денежных средств в составе оборотных активов, а также накапливаемых инвестиционных ресурсов для осуществления финансовых инвестиций. Высокий уровень синхронизации поступлений и выплат денежных средств по объему и во времени позволяет снижать реальную потребность предприятия в текущем и страховом остатках денежных активов, а также резерв инвестиционных ресурсов, формируемый в процессе осуществления реального инвестирования.
Управление денежными потоками особенно важно для организации с точки зрения необходимости:
- управление оборотным капиталом (оценки краткосрочных потребностей в наличных средствах и управления запасами);
- планирование временных параметров капитальных затрат;
- управления капитальными потребностями (финансирование за счет собственных средств или кредитов банка);
- управления затратами и их оптимизации с точки зрения более рационального распределения ресурсов предприятия в процессе производства;
- управления экономическим ростом.
В управлении денежными средствами возможны следующие проблемы:
- отсутствие полной оперативной информации по источникам денежных поступлений, о суммах и сроках предстоящих платежей;
- финансовые потоки разрознены и несогласованны во времени;
- запросы на финансирование часто не соответствуют реальным потребностям;
- решения о привлечении кредитов принимаются без необходимой оценки.
Таким образом, эффективное управление денежными потоками предприятия способствует формированию дополнительных инвестиционных ресурсов для осуществления финансовых инвестиций, являющихся источником прибыли.
Список использованной литературы
1. Аванесянц А.Л. Выбор политики комплексного управления текущими активами и текущими пассивами предприятия // Экономика и финансы.- 2006. № 28.
2. Баканов М.И., Мельник М.В., Шеремет А.Д. Теория экономического анализа. - М: Финансы и статистика, 2006.С.373-375
3. Богатырёва Е.И. Составление и консолидация отчёта о движении денежных средств // Бухгалтерский учёт.- 2004. № 5.
4. Бондарчук Н.В. Анализ денежных потоков от текущей, инвестиционной и финансовой деятельности организации // Аудиторские ведомости.-2002. №3.-С.56-61.
5. Быкова Е.В. Показатели денежного потока в оценке финансовой устойчивости
6. Вальтер О.Э., Понеделков Е.Н., Корнилин Д.А. Финансовый менеджмент.- М.: Колос,2005.176с.
7. Графов А.В. Оценка финансово-экономического состояния предприятия //Финансы.-2005. №7.-С.64-67.
8. Гуржиев А.Н. Перспективный анализ денежных потоков и его взаимосвязь с диагностикой банкротства // Экономика сельскохозяйственных и перерабатывающих предприятий.-2006.-№9. -С.49-54.
9. Гутова А.В. Управление денежными потоками: теоретические аспекты // Финансовый менеджмент.- 2004. № 4.
10. Зимин Н.Е. Анализ и диагностика финансово-хозяйственной деятельности предприятия. Учебник.- М: Колос С, 2005. С.234-245.
11. Игонина Л.Л. О механизмах переориентации денежных потоков в реальный сектор экономики. // Финансы.- 2007. № 10.
12. Кудина М.В. Финансовый менеджмент. -М.: ФОРУМ-ИНФРА-М, 2004.256с.
13. Макарова В.И., Репьев С.В. Управление денежными потоками предприятия // Экономика и производство.- 2003. № 4.
14. Морозов С. Управление активами // Аудит и налогообложение.- 2006.-№8.- С.22-26.
15. Морозов С. Денежные потоки предприятия // Аудит и налогообложение.-2006.-№1.-С.14-17.
16. Морозов С. Анализ денежных потоков предприятия // Аудит и налогообложение.-2005.-№3.-С.24-27.
17. Паронян А.С., Иваченкова Т.И. Управление оборотными активами в организациях АПК. // Финансовый менеджмент.- 2004. № 5.
18. Парушина Н.В. Анализ движения денежных средств // Бухгалтерский учёт.- 2006. № 5.
19. Побегуц И. Финансовый или статистический анализ // Аудит и налогообложение.-2004.-№4.-С.36-37.
20. Савицкая Г.В. Анализ хозяйственной деятельности предприятий АПК.- Минск: Новое знание, 2005.С.472-481.
21. Сорокина Е.М. Оценка и прогнозирование денежных потоков предприятий // Аудит и финансовый анализ.-2006.-№2.-С.105-113.
22. Успенский О.Г. О методе дисконтированных денежных потоков // Финансы.-2006.-№1.-С.57-58.
23. Чащин С.В. Функции управления финансами реализуемые в системе финансового контролинга // Экономика и финансы.- 2003. № 27.
|