Введение
Совершенствование организации труда на основе научно-обоснованных рекомендаций относится к числу важнейших задач современного производства бытовых услуг, является одним из основных условий в решении задач, поставленных предприятием.
Осуществление мероприятий по научной организации труда на предприятиях бытового обслуживания населения, несомненно, будет способствовать широкому использованию достижений науки, техники, передового опыта, механизации производственного процесса выполнения услуг, повышению эффективность трудовых и материальных ресурсов, высокому качеству выполненных работ.
Совершенствование организации труда на рабочем месте, это процесс непрерывного внесения в существующую организацию труда всего нового и передового. Однако, эффективность этого процесса будет обеспечиваться тогда, когда существующей уровень организации труда на рабочем месте будет постоянно анализироваться.
Цель такого анализа - определение соответствия (или отклонения) состояния всех элементов организации рабочего места типовым решениям, нормам проектирования, отражающим новейшие достижения науки и техники, передового опыта.
Эффективное использование трудовых ресурсов, создание благоприятных условий труда оказывают влияние на уровень производительности труда и, через показатель эффективности труда на увеличение объемов оказанных услуг, на сроки выполнения, на эффективность использования мощностей, а также на себестоимость оказываемых услуг, т.е. на технико-экономические показателя работы предприятия.
Поэтому на сегодняшний день очень важно для предприятия обеспечить эффективное использование фонда рабочего времени, а для этого нужно установить величину потерь рабочего времени и выявить причины, вызывающие у работника эти потери.
Основная цель курсового проекта - выявить внутрипроизводственные резервы и дополнительные возможности для роста эффективности использования рабочего времени.
Объектом исследования является предприятие общественного питания ООО "КОП - Русская кухня".
Основными задачами анализа - использования фонда рабочего времени является, обеспечивающими достижение поставленной в курсовом проекте цели являются:
Забиваем Сайты В ТОП КУВАЛДОЙ - Уникальные возможности от SeoHammer
Каждая ссылка анализируется по трем пакетам оценки: SEO, Трафик и SMM.
SeoHammer делает продвижение сайта прозрачным и простым занятием.
Ссылки, вечные ссылки, статьи, упоминания, пресс-релизы - используйте по максимуму потенциал SeoHammer для продвижения вашего сайта.
Что умеет делать SeoHammer
— Продвижение в один клик, интеллектуальный подбор запросов, покупка самых лучших ссылок с высокой степенью качества у лучших бирж ссылок.
— Регулярная проверка качества ссылок по более чем 100 показателям и ежедневный пересчет показателей качества проекта.
— Все известные форматы ссылок: арендные ссылки, вечные ссылки, публикации (упоминания, мнения, отзывы, статьи, пресс-релизы).
— SeoHammer покажет, где рост или падение, а также запросы, на которые нужно обратить внимание.
SeoHammer еще предоставляет технологию Буст, она ускоряет продвижение в десятки раз,
а первые результаты появляются уже в течение первых 7 дней.
Зарегистрироваться и Начать продвижение
1. Определение целодневных потерь рабочего времени;
2. Определение внутрисменных потерь рабочего времени;
3. Анализ организации и обслуживания рабочего места;
4. Разработка мероприятий по сокращению потерь рабочего времени,
5. Расчет эффективности предлагаемых мероприятий.
1. Классификация затрат труда и норм рабочего времени
1.1 Виды норм труда и их классификация
Норма труда определяет величину и структуру затрат рабочего времени, необходимых для выполнения данной работы, и является эталоном, с которым сравниваются фактические затраты времени в целях установления их рациональности. При нормировании труда рабочих и служащих применяются следующие виды норм труда: нормы времени, нормы выработки, обслуживания, численности, управляемости, нормированные задания. Поскольку всеобщим измерителем труда служит рабочее время, все нормы труда являются производными от нормы времени.
Норма времени — это количество рабочего времени, необходимое для выполнения единицы определенной работы (операции) одним рабочим или группой рабочих соответствующей численности и квалификации в наиболее рациональных для данного предприятия организационных, технических и хозяйственных условиях с учетом передового производственного опыта. Норма времени исчисляется в человеко-часах, человеко-минутах или человеко-секундах.
Чтобы установить норму времени, необходимо выяснить состав затрат рабочего времени и конкретные их величины для выполнения данной работы.
Состав нормы времени можно представить в виде следующей формулы
(2.1)
(2.2)
где Нвр — норма времени;
Тпз - подготовительно-заключительное время;
Топ - оперативное время;
Тос - основное время;
Твс - вспомогательное время;
Торм - время на обслуживание рабочего места;
Тотд - время на отдых и личные надобности;
Тпт - перерывы, обусловленные технологией и организацией производства.
В зависимости от характера отдельных элементов затрат времени изменяется методика нормирования каждого из них.
Подготовительно-заключительное время, например, устанавливается на партию одинаковых изделий или в целом на все задание. Величина его не зависит от размера партии деталей, а зависит от типа и особенностей организации производства и труда, а также от характера работы. В условиях единичного и мелкосерийного производства подготовительно-заключительную работу выполняет сам рабочий. В массовом производстве многие из этих работ выполняют специальные рабочие (наладка оборудования и др.). Необходимая величина подготовительно-заключительного времени определяется на основе данных фотографии рабочего времени и нормативов времени.
Сервис онлайн-записи на собственном Telegram-боте
Попробуйте сервис онлайн-записи VisitTime на основе вашего собственного Telegram-бота:
— Разгрузит мастера, специалиста или компанию;
— Позволит гибко управлять расписанием и загрузкой;
— Разошлет оповещения о новых услугах или акциях;
— Позволит принять оплату на карту/кошелек/счет;
— Позволит записываться на групповые и персональные посещения;
— Поможет получить от клиента отзывы о визите к вам;
— Включает в себя сервис чаевых.
Для новых пользователей первый месяц бесплатно.
Зарегистрироваться в сервисе
Основное и вспомогательное время для всех процессов, кроме ручных, устанавливается раздельно. Основное время зависит от объема выполняемой работы и от режимов применяемого оборудования. Оно может быть сокращено за счет совмещения приемов работы, использования многоместных приспособлений, групповой обработки деталей и т.п.
Состав работ по обслуживанию рабочего места и необходимые затраты времени на их выполнение зависят от типа и организации производства, характера выполняемой работы, вида оборудования и т.д. Часть этих работ может выполняться в течение машинно-автоматического времени (смазка и чистка оборудования, сметание стружки), а другая — передана рабочим по обслуживанию производства.
Время на обслуживание рабочего места определяется по нормативам или по данным фотографии рабочего времени.
Величина времени на отдых зависит от многих факторов, определяющих утомляемость рабочего: физических усилий, темпа работы, вибрации рабочего места, рабочей позы и др. Время на отдых определяется в процентах от оперативного времени.
Время на личные надобности устанавливается в минутах на смену или в размере 2% от величины оперативного времени и входит в состав нормы времени.
Все затраты рабочего времени (кроме подготовительно-заключительного) устанавливаются на операцию или на единицу (штуку) изделия и в сумме составляют норму штучного времени (Тшт). В нее входят следующие элементы:
(2.3)
Следовательно, норма времени состоит из двух основных частей: нормы подготовительно-заключительного времени и нормы штучного времени.
Для ручных и машинно-ручных работ, где время на обслуживание рабочего места, а также на отдых и личные надобности нормируется в процентах от оперативного времени, формула нормы штучного времени принимает следующий вид
(2.4)
где К — время на обслуживание рабочего места, отдых и личные надобности, в % от оперативного времени.
На предприятиях часто необходимо знать полные затраты времени на производство продукции или выполнение операции, т.е. калькуляцию всех затрат. С этой целью определяют штучно-калькуляционное, время, в которое кроме штучного входит часть подготовительно-заключительного времени, приходящаяся на единицу продукции. Это наиболее точная и полная норма времени. Она рассчитывается по формуле
(2.5)
где п — количество изделий в партии.
Норма выработки — это количество натуральных (штук, метров, юнн.) или условных единиц продукции (плавок, съемов и т.д.), которое должно быть изготовлено в единицу времени (смену, месяц) в определенных организационно-технических условиях одним или группой рабочих соответствующей квалификации.
Для расчета норм выработки применяется несколько формул. Наиболее общая формула имеет следующий вид
(2.6)
где Нвыр — норма выработки;
Тсм — сменный фонд рабочего времени;
Нвр — установленная норма времени на единицу изделия. В тех производствах, где подготовительно-заключительное время, время на обслуживание рабочего места, на личные надобности и отдых нормируются на смену, норма выработки рассчитывается по таким формулам:
(2.7)
(2.8)
Между нормой времени и нормой выработки существует обратная зависимость, т.е. с уменьшением нормы времени норма выработки увеличивается. Однако изменяются эти величины не в одинаковой мере: норма выработки увеличивается в большей степени, чем уменьшается норма времени.
Между изменениями нормы времени и нормы выработки существуют следующие соотношения:


На отдельные виды работ нормы времени и нормы выработки устанавливать довольно трудно. В этих условиях нормы труда выступают в виде норм обслуживания и норм численности, которые по мере механизации и автоматизации производства находят все большее применение в промышленности.
Норма обслуживания — это установленное количество единиц оборудования (число рабочих мест, квадратных метров площади и т.д.), которое должно обслуживаться одним рабочим или группой рабочих соответствующей квалификации при определенных организационно-технических условиях в течение смены. Она является производной от нормы времени. Чтобы рассчитать норму обслуживания, надо определить норму времени обслуживания.
Норма времени обслуживания — это количество времени, необходимое в определенных организационно-технических условиях на обслуживание в течение смены единицы оборудования, квадратного метра производственной площади и т.д.
Определив норму времени на обслуживание по нормативам или с помощью хронометража, можно рассчитать норму обслуживания по следующей формуле:
(2.9)
где Нч — норма обслуживания;
Нвр.о — норма времени на обслуживание единицы оборудования, единицы производственных площадей и т.д.;
Нвр — норма времени на единицу объема работы, на выполняемую функцию;
п — количество единиц работы, выполняемых в течение определенного периода (смены, месяца);
К — коэффициент, учитывающий выполнение дополнительных функций, не учтенных нормой времени (функции учета, инструктажа, наблюдения за процессом), а также на отдых и личные надобности.
Разновидностью нормы обслуживания является норма управляемости, определяющая численность работников или число структурных подразделений, приходящихся на одного руководителя. Эти нормы используются в случаях, когда нормы времени устанавливать нецелесообразно.
Под нормой численности работающих понимают численность работников определенного профессионально-квалификационного состава, требующуюся для выполнения производственного задания. Необходимая численность рабочих, занятых обслуживанием производства, определяется по формулам:
или (2.10)
где Нч – норма численности;
О – общее количество обслуживаемых единиц оборудования, квадратных метров производственной площади и т.д.;
Но – норма обслуживания.
В целях повышения эффективности труда повременно оплачиваемых работников им устанавливаются нормированные задания на основе указанных выше норм труда.
Нормированное задание – это установленный объем работы, который работник или группа работников должны выполнять за определенный период с соблюдением определенных требований к качеству продукции.
Нормированные задания могут устанавливаться обособленно, а в необходимых случаях – применяться в сочетании с нормами обслуживания или численности.
С учетом специфики производства объем работы, устанавливаемый нормированным заданием, может быть выражен в трудовых (нормированные человеко-часы) или натуральных показателях (шт., м3 и др.).
В зависимости от организации производства и характера выполняемых работ нормированные задания могут устанавливаться на смену, месяц или на период полного осуществления заданного объема работ. [11, с. 45]
1.2
Организации и обслуживание рабочих мест
Рабочее место – это зона трудовой деятельности одного или нескольких исполнителей, оснащенная необходимыми средствами для выполнения производственного задания [2, c. 194].
Рабочее место — первичное звено производства, находящееся в непосредственном ведении одного рабочего или бригады и включающее в себя комплект материальных элементов, обеспечивающих процесс труда. Рабочее место состоит из следующих элементов:
• производственной площади;
• основного оборудования;
• устройств для хранения материалов, заготовок, готовой продукции, отходов и брака;
• устройства для хранения инструментов, оснастки и приспособлений;
• подъемно-транспортных устройств;
•приспособлений для безопасности и удобства работы.
Под организацией рабочего места понимают оснащение, рациональную планировку и обслуживание рабочих мест, способствующих применению передовых приемов и методов труда, повышению производительности труда и наиболее полному использованию технических возможностей оборудования [8, c. 191].
Одним из важнейших элементов организации труда на предприятии (организации) является совершенствование планирования, организации и обслуживания рабочих мест с целью создания на каждом из них необходимых условий для высокопроизводительного и высококачественного труда при возможно меньших физических усилиях и минимальном нервном напряжении. Рабочее место – это первичное звено производственной структуры предприятия, оно является объектом организации труда по всем ее вышеназванным направлениям. Рабочее место – это зона приложения труда, определенная на основании трудовых и других действующих норм и оснащенная необходимыми средствами, предназначенными для трудовой деятельности одного или нескольких исполнителей. Рабочее место как место занятости человека предопределяет условия труда (нормальные, тяжелые), режимы труда и отдыха, характер труда работника (разнообразный, монотонный и др.).
Рабочие места принято классифицировать по:
· профессиям;
· числу исполнителей (индивидуальные, коллективные);
· степени специализации (универсальные, специализированные);
· уровню механизации (механизированные, автоматизированные и т.д.);
· по количеству оборудования (одностаночные, многостаночные);
· может быть стационарным или подвижным, находиться под землей, на высоте и т.д.
Организация рабочего места – это система мероприятий по его планированию, оснащению средствами и предметами труда, размещению их в определенном порядке, обслуживанию рабочего места и его аттестации.
Планировка рабочего места – это наиболее рациональное пространственное размещение материальных элементов производства – оборудования, средств связи, технологической и организационной остатки и т.п., а также работника. Рабочее место обычно включает рабочую, оперативную и вспомогательную зоны. В основной зоне, обычно ограниченной пределами досягаемости рук человека в горизонтальной и вертикальной плоскостях, размещаются орудия труда, постоянно используемые в работе, остальная площадь вспомогательная зона, где располагаются предметы, применяемые значительно реже.
Исключительную роль в организации труда играет организация обслуживания рабочих мест, ибо практика показывает, что примерно две трети всех внутрисменных потерь рабочего времени связаны с недостатками в обслуживании рабочих мест. Обслуживание рабочих мест осуществляется по следующим функциям: подготовительной, производственной, инструментальной, наладочной, энергетической, контрольной и др. Все эти функции должны выполняться бесперебойно и в определенных организационных формах. В числе последних выделяют стандартное, планово-предупредительное, дежурное обслуживание рабочих мест.
Для приведения в действие имеющихся резервов в использовании производственного потенциала, повышения производительности труда, обеспечения сбалансированности рабочих мест с трудовыми ресурсами используется механизм аттестации и рационализации отдельных рабочих мест, а также аттестация технологических процессов, производств, участков и цехов. В ходе аттестации комплексно оцениваются их техническое, организационное состояние, условия труда и техника безопасности, рассматриваются возможности роста фондоотдачи, квалификационный потенциал работников. В результате аттестации по каждому рабочему месту (технологии, участку и т.п.) принимается одно из следующих решений: продолжать эксплуатацию без внесения изменений, дозагрузить, рационализировать с целью доведения всех показателей до нормативного уровня, ликвидировать. Организация работы по проведению аттестации рабочих мест включает несколько этапов: учет рабочих мест, подготовительные и разъяснительные мероприятия, формирование специальных рабочих групп для ее реализации, оценка эффективности данной работы.
Обслуживание рабочего места — это система мероприятий, направленных на обеспечение работы всем необходимым для бесперебойного хода производственного процесса.
Качество обслуживания рабочих мест зависит от состояния оперативно производственного планирования и уровня организации вспомогательных служб предприятия и цеха. Каждый рабочий на своем рабочем месте обязан осуществлять такие функции:
• до начала работы подготовить оборудование к работе, ознакомиться со сменным заданием, подготовить инструмент и т. п.;
• во время работы поддерживать порядок и чистоту на рабочем месте, исправлять мелкие дефекты, смазывать оборудование, сигнализировать обслуживающему персоналу о необходимых услугах;
• после работы сдать или убрать инструмент и приспособления, убрать рабочее место и передать его сменщику
На основе функционального разделения труда существуют следующие функции обслуживания рабочих мест: ремонтная, обеспечения инструментом, наладочная, материального снабжения, транспортная, технического контроля, организационная.
Организация и обслуживание рабочих мест в значительной степени зависят от типа производства:
• в единичном и мелкосерийном производствах на рабочих местах выполняется большое количество разнообразных операций. Они оснащены универсальным оборудованием, разнообразным технологическим инвентарем;
• в серийном производстве преобладают рабочие места, на которых выполняется ограниченное количество технологических операций. Они оснащены специализированным оборудованием и инструментом;
• в массовом производстве на рабочих местах выполняются, как правило, одна-две технологические операции, поэтому они оснащены специальным оборудованием и инструментом.
Одним из важнейших показателей организации рабочих мест является механовооруженность. По ней различают рабочие места ручной, механизированной и автоматизированной работы. При организации рабочих месте преобладанием ручных приемов в операциях определяется возможность механизации выполняемых работ. При этом особое внимание обращается на проектирование и внедрение рациональных методов труда. На механизированных рабочих местах организация направлена на согласование работы человека и машины, обеспечение синхронности трудового и технологического процесса, удобство и безопасность работы. На автоматизированных рабочих местах (АРМ) технологический процесс осуществляется без непосредственного участия рабочего, за которым сохраняются только функции обслуживания: контроль, регулировка, ремонт, подача и вывоз деталей. Внедрение промышленных роботов увеличивает количество АРМ, позволяет организовать их в условиях серийного и мелкосерийного производств.
В организации рабочих мест большое значение имеет их специализация. Под специализацией рабочего места понимается определение его рационального производственного профиля, который формируется путем закрепления за пим сходных деталеопераций, сгруппированных по признаку конструктивно-технологического подобия, точности обработки и др. Сокращение номенклатуры обрабатываемых деталей или количества выполняемых операций на рабочем месте, т. е. сужение его специализации, способствует совершенствованию трудовых приемов, повышению производственных навыков и культуры труда, а также производительности труда.
Основой специализации рабочих мест являются унификация изделий и их конструктивных элементов, а также типизация технологических процессов. Эти и другие меры позволяют сократить номенклатуру обрабатываемых изделий, повысить уровень серийности и уменьшить количество переналадок оборудования.
Оснащение рабочих мест определяется их производственным профилем, специализацией, степенью механизации и автоматизации технологических процессов. Например, в машиностроении в комплект типового оснащения рабочего места входят:
• основное технологическое оборудование — станок, пульт;
• вспомогательное оборудование — подъемно-транспортное оборудование, подставки, сиденья;
• инвентарь — инструментальные шкафы, тумбочки, полки, стел лажи и т. п.;
• тара заготовок и готовых деталей — ящики, поддоны, кассеты, штативы, конвейеры;
• технологическая оснастка и инструмент — зажимы и базирующие устройства, ключи, режущий и мерительный инструмент;
• организационная оснастка (оргоснастка) — устройства связи и сигнализации, планшеты для документации;
• устройства охраны труда, санитарно-гигиенические и культурно-бытовые устройства — ограждения, защитные экраны, промышленная вентиляция и освещение, устройства сбора производственных отходов, предметы интерьера.
При выборе основного технологического оборудования главным требованием является обеспечение на рабочем месте необходимой производительности труда при соблюдении заданных параметров технологических процессов. Оборудование должно соответствовать требованиям эргономики и эстетики, а рабочему должны быть созданы комфортные и безопасные условия труда. Для повышения уровня автоматизации управления технологическими процессами основное оборудование обеспечивается микропроцессорными установками, активными средствами контроля и т. п.
Вспомогательное оборудование рабочего места должно быть надежным, удобным и безопасным в эксплуатации, соответствовать антропометрическим характеристикам работников, быть оформленным в соответствии с требованиями производственной эстетики.
Оснащение вспомогательным оборудованием (подъемно-транспортными средствами, рольгангами, склизами, кантователями и т. п.) в дополнение к общецеховым устройствам осуществляется с у четом производственного профиля рабочего места. При оснащении рабочих мест индивидуальными транспортными средствами особое внимание следует уделять бесприводным средствам (рольгангам, склизам), применение которых при незначительных затратах способствует снижению утомляемости рабочего и повышению производительности труда. В настоящее время широко применяются загрузочные устройства с использованием роботов и автооператоров, оснащенных программным управлением, сенсорными и телевизионными устройствами.
Подбор вспомогательного оборудования для РРМ направлен на расширение универсальности и технологических возможностей этих рабочих мест. Он ориентирован на расширение функций транспортной системы, промышленного робота и станка на рабочем месте.
К вспомогательному оборудованию, расширяющему функции транспортной системы на РРМ, относятся - загрузочное оборудование и бункера, транспортеры, манипуляторы с программным управлением.
Оборудование, расширяющее функции станка, обеспечивает:
• автоматизацию технологических процессов;
• контроль смазки и охлаждения.
Основной задачей при оснащении является оптимальное распределение функций между роботом и вспомогательным оборудованием, которое зависит от действующей технологии, степени автоматизации используемых средств вычислительной техники, программного обеспечения.
Рабочее место как первичная производственная ячейка должно быть связано с системой обслуживания и управления информационными каналами, т. е. системой промышленной связи и сигнализации. Эта система применяется для информационного обслуживания рабочего места и автоматизированной системы управления предприятием (АСУП).
Одним из важных вопросов организации рабочих мест является рациональная их планировка.
1.3 Классификация затрат рабочего времени
Труд - это любые умственные и физические усилия, прилагаемые людьми в процессе хозяйственной деятельности. Время, в учение которого человек трудится, называется рабочим днем, или рабочим временем.
Продолжительность рабочего времени величина изменчивая, но и она имеет определенные границы. Его максимальная продолжительность определяемся двумя факторами: во-первых, человек не может работать двадцать четыре часа в сутки, поскольку ему необходимо время для сна, отдых, принятия пищи, т.е. на восстановление способности трудиться. Во-вторых, граница рабочего времени определяется требованиями морального и социального характера, ведь человеку необходимо не только физическое восстановление сил, но и удовлетворение каких-то духовных потребностей. На фактическую продолжительность рабочего времени оказывают влияние такие факторы, как интенсивность труда, движение фаз промышленного цикла, уровень безработицы. Продолжительность рабочего времени наемных работников определяется соглашениями между предпринимателями и профсоюзами.
Использование рабочего времени делится на следующие категории:
1. Подготовительно-заключительное время-это знакомство с заданием, получение инструментов, материалов, их раскладка в начале смены или в начале обработки партии и все это же в конце смены;
2. Оперативная работа время но преобразованию предметов труда, которое делится на основное и вспомогательное;
3. Oрганизация обслуживания рабочего места - время, которое рабочий тратит на поддержание рабочего места в состоянии готовности, для производительной работы;
4. Отдых и личные надобности, зависят от условий труда;
5. Непроизводительная работа время-время, которое рабочий тратит на работу, которая не является его основной операцией;
6. Нарушение трудовой дисциплины;
7. Перерывы по оргтехпричинам, т.е. не зависящие от работника
8. Регламентированные перерывы, обусловленные технологиями
Категории, возможные затраты и потери рабочего времени, их индексы более подробно рассмотрены в таблице 1.
Таблица 1. Классификация затрат и потерь рабочего времени
Категории рабочего Индексы
Времени
|
Наименование затрат и потерь рабочего времени |
Подготовительно-
заключительное время
|
Ознакомление с нарядом
Получение инструктажа ознакомление с особенностью обработки заказа
Наладка оборудования
Получение и сдача работы
Ознакомление с чертежом, схемой, конструкцией
|
ПЗ |
 Оперативное время |
Выполнение предусмотренной операцией работы |
ОП |
| Время обслуживания |
Раскладка и уборка инструмента, заголовок,
рабочего места
полуфабрикатов, химикатов и др.
Подготовка и уборка рабочего места
Заточка инструмента (мела, карандаша)
Чистка, смазка, наладка оборудования
Смена иглы, ниток
|
ОБС |
Отдых и личные
надобности
|
Отдых
Личные надобности
|
ОЛН |
Время
непроизводительной
работы
|
Исправление брака Производство ремонта оборудования, инструмента самим рабочим. Работа, не предусмотренная организационной операцией.
Участие в проведении примерки вместе с закройщиком.
Выполнение транспортных работ при наличии транспортных рабочих
|
НР |
Время перерывов по
оргтехническим
|
Проведение совещаний, собраний в рабочее время Ожидание транспортных средств, отсутствие энергии
Ожидание ремонта наладки оборудования Ожидание инструмента и хождение за ним Ожидание работы
|
ОТП
|
Время перерывов,
вызванных нарушением
трудовой дисциплины
|
Посторонние разговоры
Неслужебные отлучки
Позднее начало и раннее окончание работы
|
НТД |
С целью систематизации и учета всех категорий затрат рабочего времени и для дальнейшего сокращения потерь рабочее время принято классифицировать.
Затраты классифицируют по отношению к:
1. производственному процессу (схема 1.1)
2. оборудованию (схема 1.2)
3. исполнителю (приложение 2)
Все потери рабочего времени подразделяются на: целодневные и внутрисменные.
Целодневные потери рабочего времени
Данные о величине и причинах возникновения целодневных потерь рабочего времени можно получить и табеля (первичной документации) или из отчетов предприятия о величине целодневных потерь посредством сопоставления фактических невыходов с плановым балансом рабочего времени.
К целодневным потерям рабочего времени относят: праздничные дни, выходные, очередные отпуска, учебные отпуска, отпуска подросткам, отпуск по беременности и родам, неявки по болезни, отпуска в связи с условиями труда, отвлечения на сельхоз. работы, прогулы, выполнение государственных, общественных обязанностей, неявка по разрешению администрации и т.д.
Внутрисменные потери рабочего времени
Определение величины внутрисменных потерь рабочего времени и причин их возникновения проводится с помощью фотографий рабочего времени. Наблюдения за использованием бригадой сменного времени по участку, рекомендуется проводить неоднократно, на протяжении всей смены с максимальным охватом количества наблюдаемых. [2, c. 211].
Внутрисменные потери рабочего времени состоят из потерь не зависимых от рабочего и потерь зависимых от рабочего. Примеры данных потерь представлены в табл. 2.
Таблица 2. Состав внутрисменных потерь рабочего времени
| Потери независимые от рабочего |
Потери зависимые от рабочего |
-сокращенный рабочий день подростка
-неполный рабочий день пенсионеров;
-укороченный день по условиям труда
-отсутствие сырья, материалов, полуфабрикатов
-хождение за сырьем, материалом, полуфабрикатами
ожидание транспортных средств
- транспортировка предметов труда при наличии транспортных рабочих
- отсутствие инструментов, приспособлений и хождение за ними
- ожидание ремонта оборудования и т.д.
|
- позднее начало и преждевременное окончание работы;
- личные разговоры
- отвлечения без уважительных причин
- микротравмы
- сокращенный рабочий день по разрешению администрации
- скрытые потери и т.д.
|
1.4 Хронометраж и фотография рабочего времени
Под методом нормирования понимается совокупность приемов установления норм труда, включающих: анализ трудового процесса; проектирование рациональной технологии и организации труда; расчет норм. Выбор метода нормирования труда определяется характером нормируемых работ и условиями их выполнения.
По принципиальной схеме установления норм методы нормирования труда делятся на аналитические и суммарные.
Аналитические методы включают: анализ конкретного трудового процесса, разделение его на элементы, проектирование рациональных режимов работы оборудования, организации труда и необходимых затрат времени по элементам трудового процесса, установление норм на операции.
Суммарные методы предполагают установление норм труда без разделения процесса на элементы и проектирования рациональной организации труда, т. е. на основе либо опыта нормировщика (опытный метод), либо статистических данных о выполнении аналогичных работ (статистический метод). Нормы, установленные с помощью суммарных методов, называют опытно-статистическими. Такие нормы не позволяют эффективно использовать производственные ресурсы и должны заменяться нормами, установленными аналитическими методами.
По методике получения исходных данных аналитические методы делятся на аналитически-расчетные, при которых базой расчета норм являются нормативные материалы, и аналитически-исследовательские, когда исходная информация получается путем наблюдений или экспериментов. Аналитически-расчетные методы в настоящее время являются основными. Они обеспечивают необходимую степень обоснованности норм при значительно меньших по сравнению с исследовательскими методами затратах на сбор исходной информации.
В условиях массового, а иногда и серийного производства аналитически-расчетные и аналитически-исследовательские методы применяются в комплексе: предварительный вариант нормы рассчитывается по нормативам, а затем уточняется на основе наблюдений.
Нормы, установленные на основе аналитических методов, обычно называют технически обоснованными, реже — научно обоснованными. Последнее название отражает комплексный характер обоснования нормы, необходимость которого общепризнанна. Термин "технически обоснованные нормы" обычно применяется как практическими работниками по нормированию труда, так и рабочими, поэтому отказываться от него в настоящее время нецелесообразно, лучше наполнить его новым (комплексным) содержанием, т. е. учитывать не только технические, но также и экономические, социальные и другие факторы. В настоящее время принято считать правильным употребление обоих названий — технически обоснованные нормы и научно обоснованные нормы. Для обозначения норм, установленных аналитическими методами, можно использовать также термин "аналитические нормы".
Аналитический подход, предусматривающий выделение элементов трудового процесса, проектирование рациональной технологии, приемов и методов труда, всегда считался основным при установлении норм. В практике нормирование труда наибольше распространение получили:
Аналитически-исследовательский метод основан на исследовании операций в производственных условиях, изучение затрат рабочего времени на её выполнение происходить при помощи хронометража или фотографии рабочего дня.
Особое значение этот метод приобретает при изучении и обобщении передовых приёмов труда. При этом методе производят следующие действия: изучают процесс в конкретных ситуациях; анализируют и проектируют рациональную структуру операции; разрабатывают и внедряют мероприятия по совершенствования организации труда на рабочем месте; рассчитывают и внедряют технически обоснованные нормы времени.
Хронометраж. Хронометраж операции – это способ изучения затрат времени на выполнение циклических повторяющихся ручных и машинно-ручных элементов операций. Процесс хронометража включает в себя: расчленение технологической операции на отдельные элементы; установление продолжительности этих элементов; анализ результатов наблюдений; проектирование оптимальной продолжительности каждого элемента операции. Объектом наблюдения являются операция, а целью - установление основного и вспомогательного времени на операцию.
Хронометраж бывает сплошным и выборочным. Процесс хронометража включает в себя три этапа:
1. Подготовка к наблюдению. Заключается в выборе рабочего места для хронометража, расчленение операции на переходы, определение фиксажных точек, т.е. моментов указывающих на начало и конец операции, установление необходимого количества замеров, установление важнейших факторов влияющих на продолжительность каждого элемента.
2.Хронометрирование. Производиться с помощью специальных средств: секундомеры, хронометры, видеоаппаратуры. Измеряются элементы изучаемой операции и записывается продолжительность каждого элемента в хронометражную карту по текущему времени или по отдельным отчётам с остановкой приборов.
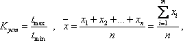
3. Получение результата и его анализ. Ряд замеров называется хронометражным рядом. Каждый хронометражный ряд имеет колебания по величине замеров. Относительные размеры этих колебаний характеризуют степень его устойчивости, которая называется коэффициентом устойчивости хронометражного ряда (Куст). Он представляет собой отношение максимальной продолжительности замера () ряда, к минимальной продолжительности () ряда.
Время продолжительности операции или отдельных её частей определяется как среднее арифметическое хронометражного ряда
(2.11)
рабочий трудовой время хронометраж
где - время на выполнение элементов операций или операции (сек., мин.);
- число замеров;
- хронометражный ряд операции.
Фотография рабочего дня. Представляет собой наблюдение, которое проводится для изучения всех затрат рабочего времени в течении смены или ее части. Фотография может быть индивидуальной, групповой, бригадной и самофотографией.
Цель фотографии: выявление потерь рабочего времени, установление причин их вызывающих, разработка мероприятий по устранению потерь, получение данных для создания нормативов времени и численности рабочих.
Фотография рабочего дня проводиться в следующем порядке: после подготовки к наблюдению, наблюдатель осуществляющий фотографирование регистрирует все без исключения затраты времени, при этом он отмечает на наблюдательном листе какую работу выполняет исполнитель и время её начала и окончания. Обработка фотографий заключается в определении состава и структуры рабочего времени, а также выявленные его потерь.
Далее составляется баланс рабочего времени и с учётом полученных результатов происходит его оптимизация.
2. Анализ состояния и организации труда на ООО «КОП – Русская кухня»
2.1 Характеристика предприятия по основным экономическим показателям
ООО «КОП – Русская кухня» было действует на рынке с 22 ноября 2006 года. ООО «КОП – Русская кухня» имеет три учредителя, один из которых назначен приказом руководителем. Предприятие действует на основе Устава, сумма уставного капитала составляет 1 млн. руб.
Как юридическое лицо Общество имеет соответствующую атрибутику: круглую печать, содержащую полное фирменное наименование. Общества и указания на его место нахождения штампы бланки со своим наименованием собственную эмблему другие средства визуальной идентификации. Для осуществления расчетов Общество в установленном порядке открывает в банковских учреждениях расчетные счета.
Предприятие ООО «КОП – Русская кухня» расположено в городке Нефтяников по ул. Королёва 26. Помещение предприятия арендуется, как часть главного здания ГНУ СибНИИСхоз, поэтому проводятся ежемесячные отчисления за арендную плату в размере 40 000 руб.
Основным видом деятельности общества является предоставление услуг общественного питания: организация банкетов, свадеб, юбилеев, столовая, организация выездных горячих обедов на другие предприятия и офисы.
Предприятие имеет линейно – функциональную структуру управления.
Численность работающих на предприятии - 13 человека. Планирование кадровой политики направлено на привлечение высококлассных специалистов и раскрытие их творческого потенциала, что достигается через отбор, обучение, поощрение. Отбор работников производится на основе испытательного срока. Поощрения включают как материальные выплаты, так и мероприятия морального характера.
Всем сотрудникам выплачивается заработная плата в зависимости от занимаемой должности. Оплата труда построена на основе должностных окладов и зависит от величины фактически отрботаннго времени и достижения конечных результатов деятельности предприятия.
Столовая реализует широкий перечень товарных групп с очень глубоким ассортиментом. Работает столовая с 12:00 до 16:00, а рабочий день всех сотрудников 8-ми часовой, за исключением дней, когда планируется и проводится праздник
Согласно учетной политике в ООО «КОП – Русская кухня» применяется метод реализации по оплате.
Рассмотрим основные технико-экономические показатели ООО «КОП – Русская кухня» в виде таблицы 3.
Таблица 3. Основные технико-экономические показатели
| № п/п |
Показатели
|
2007 г. |
2008 г. |
Темп роста, % |
| План |
Факт |
% выпплана |
План |
Факт |
% вып. пла на |
| 1. |
Объем розничного товарооборота, тыс. руб. |
5 500,00 |
4 780,00 |
0,87 |
6 300,00 |
5 730,50 |
0,91 |
119,88 |
| 2. |
Численность пром. прозв. персонала, чел. |
9 |
9 |
100 |
9 |
9 |
100 |
100 |
| 3. |
Численность персонала предприятия, чел. |
13 |
13 |
100 |
13 |
13 |
100 |
100 |
| 4. |
Выработка на одного работника, |
423,076 |
367,692 |
0,87 |
484,615 |
440,807 |
0,91 |
119,88 |
| 5. |
Фонд оплаты труда, тыс. руб. |
140,00 |
147,00 |
1,05 |
155,00 |
167,00 |
1,07 |
113,61 |
| 6. |
Средняя зр. пл. работников,
тыс. руб.
|
10,77
|
11,31
|
1,05
|
11,92
|
12,85
|
1,08
|
113,61
|
| 7. |
Себестоимость реализованной продукции, тыс. руб. |
2 310,00 |
2 560,00 |
1,12 |
2 620,00 |
2 870,00 |
1,09 |
112,12 |
Из таблицы можно сделать следующие выводы: предприятие увеличивает из года в год объём розничного товарооборота, о чём свидетельствует темп его роста равный 119,88%. Но в результате свей деятельности, предприятие плановые значения этого показателя не достигает. Численность персонала предприятия стабильная и достигает 13 человек, из которых 9 человек промышленно-производственный персонал, а это 69% от всей численности. Причём выработка на одного работника выросла в 2008 году на 19,88% по сравнению с 2007 годом. Фонд оплаты труда в 2008 году фактически вырос по сравнению с планом почти как и в 2008 году на 1,05%. Но в целом в 2008 году средняя заработная плата выросла на 13, 61% .
2.2 Организация и обслуживание рабочих мест на предприятии
Анализ организации и обслуживания рабочих мест можно провести с помощью таблиц 4 и 5.
Таблица 4. Обслуживание рабочего места
| № п/п |
Функции обслуживания |
Содержание обслуживания |
Исполнитель |
Затраты времени, мин. |
| 1. |
Получение продукции и документации |
Получение продуктов и проверка сертификатов |
Зав. производст-вом
|
30
|
| 2. |
Наладка и подналадка оборудования |
Устранение сбоев в работе оборудования |
разнорабочий |
30 |
| 3. |
Ремонт оборудования |
Устранение поломок |
До полного устранение поломки |
| 4. |
Упаковка полученных товаров |
Распределение, упаковка |
повара
|
20 – 30
|
| 5. |
Уборка отходов и не качественной продукции |
Уборка рабочего места |
Повара, раздатчица
|
15-20
|
| 6. |
Сдача денег инкассаторам |
Заполнение кассовой книги и сдача денег в бухгалтерию |
кассир |
30 – 40 |
По данным, приведенным в таблице можно сделать следующие выводы:
На ремонт оборудования уходит очень много времени, а все остальные показатели остаются приемлемыми. Организация обслуживания рабочего места означает его обеспечение средствами, предметами труда и услугами, необходимыми для осуществления трудового процесса. Рассмотрим оснащение рабочих мест на ООО «КОП – Русская кухня» с помощью данных таблицы 5. Где будет рассмотрено оснащение рабочего места в столовой.
Таблица 5. Характеристика рабочего места повара на предприятии
| Характеристика рабочего места |
| Вид оборудования |
Инвентарный номер |
Количество |
Приспособления |
Инструмент |
-ножи для резки продуктов
-щипцы
-столовая посуда
|
7
8
6
|
5
2
645
|
+
+
+
|
-стеллажи
-прилавки
-холодильные шкафы
-весы
-контрольно – кассовое оборудование
|
4
5
1
3
2
|
2
2
2
3
1
|
+ +
+
+
+
|
Из таблицы видно, что большую часть оснащённости составляет столовая посуда, относительно малое количество щипцов, всё остальное оборудование и приспособления в наличии в расчёте на каждого повара и составляет ножи для резки продуктов 5 шт., а всё остальное имеет достаточное количество для обеспечения рациональной работы предприятия и его сотрудников. Но на предприятии нет ни одного овощечистящего оборудования, в связи с этим у работников возникают проблемы с физической усталостью к концу трудового дня, увеличение времени на заготовку продуктов, а это ведёт к переработке. Из-за этого труд становится не рациональным.
2.3 Нормирование и оплата труда на ООО «КОП – Русская кухня»
На ООО «КОП – Русская кухня» существуют следующие нормы: численности, выработки, норма рабочего времени.
Таблица 6. Виды действующих норм на предприятии
| № п/п |
Виды норм |
2007 г. |
2008 г. |
Темп роста, % |
| 1 |
Нормы времени |
540 |
540 |
100 |
| 2 |
Нормы численности |
13 |
13 |
100 |
| 3 |
Нормы выработки на одного человека, тыс. руб |
400,00 |
420,00 |
105 |
Численность персонала в магазине составляет 13 человек. Каждый работник работает в соответствующем отделе: цех выпечки, цех приготовления первых и вторых блюд, рыбный цех, моечная, склад. Рабочий день у поваров составляет 9 часов. Норма выработки на одного повара составляет 400 тыс. руб. в год.
2.4 Использование рабочего времени
Полноту использования трудовых ресурсов можно оценить по количеству отработанных дней и часов одним работником за анализируемый период, а также по степени использования фонда рабочего времени. Такой анализ проводится по каждой категории работников, по каждому производственному подразделению и в целом по предприятию (табл. 7).
Таблица 7. Использование трудовых ресурсов предприятия
| Показатель |
Отчётный год |
Отклонение от плана |
| план |
факт |
| 1 |
2 |
3 |
4 |
| Среднегодовая численность рабочих (ЧР) |
13 |
13 |
0 |
| Отработано дней 1 рабочим за год (Д) |
225 |
215 |
-10 |
| 1 |
2 |
3 |
4 |
| Отработано часов 1 рабочим за год (Ч) |
1980 |
2310 |
+330 |
| Средняя продолжительность рабочего дня (П), ч |
8,8 |
10,7 |
+1,9 |
| Общий фонд рабочего времени (ФРВ), чел.-ч |
25 740 |
30 030 |
+4 290 |
Фонд рабочего времени (ФРВ) зависит от численности рабочих, количества отработанных дней одним рабочим в среднем за год и средней продолжительности рабочего дня:
ФРВ=ЧР*Д*П
На анализируемом предприятии фактический фонд рабочего времени меньше планового на 4 290 ч, в том числе за счёт изменения продолжительности рабочего дня.
Как видно из приведённых данных, имеющиеся трудовые ресурсы предприятие использует не эффективно и трудоёмко. В среднем одним рабочим отработано по 215 дней вместо 225, из-за чего сверхплановые целодневные потери рабочего времени составили на одного рабочего 10 дней. Из-за увеличения продолжительности рабочего дня на 1,9 часа, увеличивается весь фонд рабочего времени на 4 290 часов.
Для боле глубокого анализа рабочего времени сопоставляют данные фактического и планового баланса рабочего времени (табл. 8).
Таблица 8. Анализ использования фонда рабочего времени, дни
| Показатель |
На одного рабочего |
Отклонение от плана |
| план |
факт |
На 1 рабочего |
На всех рабочих |
| 1 |
2 |
3 |
4 |
5 |
| Календарное количество дней |
365 |
365 |
- |
- |
| 1 |
2 |
3 |
4 |
5 |
В том числе:
Праздничные и выходные дни
|
101 |
101 |
- |
- |
| Номинальный фонд рабочего времени |
264 |
264 |
- |
- |
| Неявки на работу |
- |
3 |
+3 |
+39 |
В том числе:
Ежегодные отпуска
|
5 |
4 |
-1 |
-13 |
| Отпуска по учёбе |
1 |
2 |
+1 |
+13 |
| Дополнительные отпуска с разрешения администрации |
- |
1 |
+1 |
+13 |
| Болезни |
2 |
4 |
+2 |
+26 |
| Прогулы |
- |
1 |
+1 |
+13 |
| Явочный фонд рабочего времени |
225 |
215 |
-10 |
-1640 |
| Продолжительность рабочей смены, ч |
9 |
10,5 |
-0,2 |
-2,6 |
| Бюджет рабочего времени, ч |
2025 |
2 257,5 |
-232,5 |
-3 022,5 |
| Предпраздничные сокращённые дни, ч |
20 |
20 |
- |
- |
| Внутрисменные простои, ч |
5 |
7,5 |
+2,5 |
+32,5 |
| Полезный фонд рабочего времени |
1755 |
1612,5 |
-142,5 |
-23 370 |
| Сверхурочно отработанное время, ч |
- |
330 |
+330 |
+4290 |
| Непроизводительные затраты рабочего времени, ч |
- |
1 |
+1 |
+13 |
Потери могут быть вызваны разными объективными и субъективными обстоятельствами, не предусмотренными планом: дополнительными отпусками с разрешения администрации, заболеваниями рабочих с временной потерей трудоспособности, прогулами, простоями из-за неисправности оборудования, машин, механизмов, из-за отсутствия работы, сырья, материалов, электроэнергии, топлива и т.д. Каждый вид потерь анализируется более подробно, особенно те, которые зависят от предприятия. Уменьшение потерь рабочего времени по причинам, зависящим от трудового коллектива, является резервом увеличения производства продукции, который не требует дополнительных капитальных вложений и позволяет быстро получить отдачу.
На предприятии ООО «КОП – Русская кухня» большая часть потерь [(13 + 13)* 10,5 + 32,5 =305,5 ч] вызвана субъективными факторами: дополнительные отпуска с разрешения администрации, прогулы, что можно считать неиспользованными резервами увеличения фонда рабочего времени.
Существенны на данном предприятии и непроизводительные затраты труда, которые складываются из затрат рабочего времени в результате изготовления забракованной продукции и исправления брака, а также в связи с отклонениями от технологического процесса. Они составляют 13 часов.
Необходимо изучить потери рабочего времени на предприятии и проанализировать. Их изучение осуществляется с помощью хронометража и фотографии рабочего времени.
Рассмотрим потери времени на ООО «КОП – Русская кухня» с помощью фотографии рабочего дня повара таблица 9.
Таблица 9. Фотография рабочего дня повара
| № п/п |
Наименование затрат рабочего времени |
Текущее время, часы и минуты |
Продолжи- тельность, мин. |
Индекс |
| 1 |
2 |
3 |
4 |
5 |
| 1 |
Пришел на работу |
8:00 |
5 |
ПЗ |
| 2 |
Приемка товара |
8:05 |
30 |
ОП |
| 3 |
Раскладка товара по витринам |
8:35 |
25 |
ОП |
| 4 |
Подготовка рабочего места |
9:00 |
10 |
ОМ |
| 5 |
Подготовка продуктов |
9:10 |
20 |
ОМ |
| 6 |
Включил оборудование |
9:30 |
10 |
ОМ |
| 7 |
Приступил к работе |
9:40 |
140 |
ОП |
| 8 |
Обслуживание покупателей |
12:00 |
70 |
ОП |
| 9 |
Отрыв от работы по личным надобностям |
13:10 |
5 |
ОЛН |
| 10 |
Обслуживание покупателей |
13:15 |
45 |
ОП |
| 11 |
Обед |
14:00 |
60 |
ОЛН |
| 12 |
Приступил к работе |
15:00 |
2 |
ОП |
| 13 |
Обслуживание покупателей |
15:02 |
58 |
ОП |
| 14 |
Подготовка заготовок на следующий день |
16.00 |
120 |
ОП |
| 15 |
Уборка рабочего места и столовой |
18:00 |
30 |
ОМ |
| 16 |
Уход домой |
18:30 |
| Итого: |
630 |
Для того, чтобы узнать рационально ли используется рабочее время поваром в столовой рассмотрим показатели в сравнении.
Таблица 10. Баланс затрат рабочего времени продавца
| № п/п |
Категория затрат |
Индекс |
Сумма фактических затрат, мин. |
| 1 |
Подготовительно – заключительное время |
ПЗ |
5 |
| 2 |
Время оперативной работы |
ОП |
490 |
| 3 |
Время на отдых и личные надобности |
ОЛН |
65 |
| 4 |
Время обслуживание места |
ОМ |
70 |
| Итого: |
630 |
По данным таблиц можно сделать следующие выводы:
- Время оперативной работы равно 490 минут из 540 минут рабочей смены. Это говорит о том, что оно используется не рационально и требует улучшения.
- Время обслуживания места занимает 70 минуты значит продавец работает не оперативно.
- Время на отдых и личные надобности занимает 65 минут 60 из них время обеденного перерыва. Следовательно, оно не представляет больших потерь.
Рассчитаем коэффициент использования рабочего времени, он находится по следующей формуле:
Кисп. = (ОП + ПЗ + ОМ + ОЛН)/ время рабочей смены * 100%
Кисп. = (490+ 5 + 70 + 65)/ 540 * 100% = 116,66%
Коэффициент потерь рабочего времени будет равен нулю, так как потери времени на незапланированные перерывы отсутствует.
Коэффициент использования рабочего времени составляет 166,66%, а коэффициент его потерь равен нулю, из этого можно сделать следующий вывод, в целом рабочее время всего дня используется не рационально. На оперативную работу слишком много времени уходит у работника, поэтому он задерживается на работе на 90 минут.
2.5 Технологический и трудовой процессы на предприятии
Рационально спроектировать трудовой процесс, обеспечить обоснованность норм труда можно только на базе исходной информации и специальных исследований. Оптимизация структуры трудового процесса достигается путем сокращения количества трудовых движений и совершенствования способов их выполнения. Следовательно, важным фактором построения рационального трудового процесса является классификация трудовых движений на предприятии таблица 8.
Таблица 11. Классификация трудовых движений на предприятии
| Признаки классификации трудовых движений |
Разновидность трудовых движений |
| Длительность |
Длинные и короткие |
| Направление |
Горизонтальные, радиальные, прямолинейные |
| Совмещение |
Отдельные (единичные), совмещенные (параллельные) |
| Точность |
Принаравительные, решительные |
| Регламент |
Прерывистые с постоянным или переменным направлением |
| Функциональное назначение |
Необходимые, поправочные |
| Физическая тяжесть |
Легкие, напряженные |
Под операцией понимается часть производственного процесса выполняемая над определённым предметом труда одним или группой рабочих на одном рабочем месте. Производственная операция расчленяется на отдельные составные части:
а) Трудовое движение. Является первоначальным элементом трудового процесса и представляет собой однократные действия рабочего.
б) Рабочий приём. Представляет собой законченную совокупность действий рабочего, характеризуемое целевым назначением.
в) Комплекс приёмов. Группа приёмов объединённых по технологическому признаку.
г) Проход - повторяющиеся действия, проводимые над одним и тем же предметом труда на одном рабочем месте.
д) Переход - часть операции по обработке поверхности при неизменности используемого инструмента и настройке оборудования. В операции бывает несколько переходов – черновая обработка, чистовая обработка, подрезка и т.д.
В ходе изучения трудового процесса и его нормирования решаются две задачи: определение фактических затрат времени на выполнение операции и ее элементов; определение структуры затрат времени на протяжении смены (или ее части).
Выбор рациональных трудовых движений, с учетом их классификации, должен сводиться к следующему: при проектировании трудового процесса следует отдавать предпочтение коротким движениям, так как они являются менее утомительными. Горизонтальные движения рук более быстрые и менее утомительные, чем вертикальные.
Совмещение трудовых движений (рук и ног), помимо экономии времени сокращает утомляемость работников.
Чтобы проследить трудовой процесс по обслуживанию покупателей проведем его графический анализ.
Таблица 12. Графический анализ трудового процесса раздатчицы по обслуживанию покупателей
| № |
Приемы |
Продолжительность действий, мин. |
Корпус |
Ноги |
Левая рука |
Правая рука |
| 1. |
Взяла поварёшку |
0,08 |
| 2. |
Взяла тарелку |
0,09 |
| 3. |
Подошла к витрине |
0,07 |
| 4. |
Налила первое |
0,10 |
| 5. |
Положила поварёшку и поставила тарелку на весы |
0,25 |
| 6. |
Взяла стакан |
0,1 |
| 7. |
Взяла тетропак с соком и открыла его |
0,20 |
| 8. |
Налила сок |
0,05 |
| 9. |
Поставила на прилавок покупку |
0,10 |
| ИТОГО: |
1,04 |
Из данной таблицы хорошо прослеживается количество совершаемых движений корпусом, ногами и руками продавца, а так же время, затраченное на их выполнение.
Итак, процесс обслуживания покупателя занимает 1 минуту 4 секунды. Корпус продавца, практически, находится стоя на протяжении всего процесса (из 9 приемов, 8 выполняются стоя, 1 согнувшись, что связано с взятие тетропака сока).
Ноги продавца задействованы ходьбой, либо совершают простой, который необходим для выполнения какого – либо приема. Незапланированных простоев нет. Что касается рук, можно проследить следующее: большинство приемов выполняется правой рукой (держание, транспортировка сока, первого блюда, взятие тарелки, стакана, поварёшки), т.е. она задействована во всех приемах. Левая рука совершает меньше движений, которые являются, в основном, вспомогательными (поставить товар, держать), либо совершает простой.
Из всех вышеописанных приемов, на мой взгляд, подлежит улучшению реализация сока и взятие посуды, т.к., для того, чтобы взять тетропак, открыть его и налить в стакан у раздатчицы уходит 0,2 минуты, что составляет 19% от времени всего процесса продажи блюда.
Для создания оперативного обслуживания покупателей необходимо введение мероприятия по устранению потерь рабочего времени.
2.6 Условия труда работников
Условия труда — это совокупность факторов производственной среды, оказывающих влияние на функциональное состояние организма работающих, их здоровье и работоспособность в процессе труда. Они определяются применяемым оборудованием, технологией, предметами и продуктами труда, системой защиты рабочих, обслуживанием рабочих мест и внешними факторами, зависящими от состояния производственных помещений, создающими определенный микроклимат. [12, с. 63]
Таким образом, исходя из характера выполняемых работ, условия труда специфичны как для каждого производства, цеха и участка, так и для каждого рабочего места. Рассмотрим условия труда работников на ООО «КОП – Русская кухня».
Таблица 13. Санитарно-гигиенические условия труда
| № п/п |
Исследуемые факторы |
Ед. измерения |
Норма |
Фактически |
Отклонение |
| 1 |
Температура воздуха |
С° |
25 |
20 |
-5 |
| 2 |
Влажность воздуха |
% |
75 |
70 |
-5 |
| 3 |
Скорость движения воздуха |
М/сек |
0-0,2 |
0,2 |
5 |
| 5 |
Освещённость |
Люкс |
100 |
100 |
- |
На предприятии применяется оптимизация режимов труда и отдыха, современное оборудование с минимальным шумовым воздействием. Так же, большое внимание оказывает температура, влажность и скорость движения воздуха на рабочем месте. На ООО «КОП – Русская кухня» значения этих факторов соответствуют санитарно – гигиеническим нормам: влажность воздуха не превышает 75%, температура не более 25 градусов, при движении воздуха от 0 до 0,2 м/с. Для поддержания таких значений в столовой используются кондиционеры и вентиляция. Застекление окон предохраняет от вторжения потоков воздуха и ветра. Большую роль в процессе труда играет освещение. При этом необходимо учитывать, что естественный свет стимулирует жизнедеятельность организма, это говорит о том, что искусственное освещение должно быть минимальным и использоваться только при необходимости. В рассматриваемом столовой искусственное освещение используется при необходимости утром и вечером, а так же частично на протяжении всего рабочего дня.
2.7 Персонал подразделения и его профессионально-квалификационный состав на предприятии
Кадры - это состав работающих на предприятии. В организации ООО «КОП -Русская кухня» численность сотрудников составляет 13 человек. На предприятии ведётся штатное расписание, где указывается состав персонала, количество штатных единиц, тарифная ставка, надбавки и оклад сотрудников (приложение 1).
Все кадры на производстве делятся на промышленно-производственный и непромышленный персонал.
Промышленный персонал - это все работники цехов и участков. Расходы на оплату труда этого персонала относят на себестоимость продукции.
Проанализируем состав сотрудников на предприятии ООО «КОП – Русская кухня» с точки зрения их профессионализма и квалификации.
Таблица 14. Профессионально-квалификационный состав работников на предприятии
№
п/п
|
Поразделение |
ФИО |
Занимаемая должность |
Образование |
Разряд
|
| Высшее |
Ср.
специальное
|
| 1 |
Руководитель |
Кох С.А |
Директор |
+ |
- |
| 2 |
Бухгалтерия |
Леманова М.Ю. |
Глав. бухгалтер |
+ |
- |
| Кимигина Ю.М. |
Пом. бухгалтера |
+ |
- |
| 3 |
Обслуживающий отдел |
Памыкин Р.Ю. |
Кассир |
+ |
- |
| Арзамазцева И.С. |
раздатчица |
+ |
- |
| Кобух А. В. |
Водитель |
+ |
- |
4
|
Производственный отдел |
Полькина О.П |
Зав. производст-вом |
+ |
4 |
| Кирясова О.Р. |
Повар |
+ |
3 |
| Дроздова Е.Д. |
Повар |
+ |
+ |
4 |
| Матрушова А.Д. |
Повар |
+ |
3 |
| Рамова С.Н. |
Повар |
+ |
3 |
| Дмитриев Д.С. |
Помощник повара |
+ |
+ |
1
|
| 5 |
Вспомогательный персонал |
Шмелёв А.А. |
Разнорабочий |
+ |
- |
Из данной таблицы видно, что на предприятии существует 5 подразделений. Высшее образование имеют 46% сотрудников предприятия, причём из них 2 человека имеют диплом высшего и среднего образования. Среднее образование в основном у производственных и вспомогательных работников. Причём сотрудники производственного отдела имеют разряд от 1 до 4. на мой взгляд, на предприятии достаточно полный профессиональный и квалификационный состав работник и в каких-либо изменениях не нуждается.
3. Расчет эффективности предлагаемых мероприятий по устранению потерь рабочего времени на ООО «КОП – Русская кухня»
3.1 Мероприятия по совершенствованию организации рабочего времени на предприятии
Подводя итоги данной курсовой работы можно выделить следующие мероприятия по устранению потерь рабочего времени в столовой ООО «КОП – Русская кухня».
1. Переорганизация и перепланировка рабочего места раздатчицы, так как в результате анализа было выявлено, что у неё много времени уходит на то чтобы взять ту или иную посуду, напитки, перейти от одного стола к другому;
2. Покупка овощечистящего оборудования (картофелечистка), так как было установлено, что сотрудники перерабатывают, потому что много времени занимает ручная подготовка продуктов питания для приготовления блюд;
3. Предоставление абонементов на массаж, в бассейн работникам, сотрудники очень устают, из-за работы, которая осуществляется всё время стоя;
3.2 Расчёт одного из мероприятий по совершенствованию рабочего времени
Для расчёта годового экономического эффекта на предприятии было выбрано мероприятие №2.
Таблица 15. Исходные данные
| № |
Показатели |
Единицы измерения |
Значение показателей |
| 1. |
Число работников охваченных мероприятием |
чел |
1 |
| 2. |
Сокращение потерь рабочего времени для одного работника в смену |
мин
|
90
|
| 3. |
Годовой фонд рабочего времени |
дни |
262 |
| 4. |
Среднемесячный фонд заработной платы |
Тыс. руб. |
12 |
| 5. |
Нормативный коэффициент сравнительной экономической организационных мероприятий |
0,15
|
| 6. |
Единовременные затраты |
Тыс. руб. |
35 |
Рассчитаем, чему будет равен годовой экономический эффект, если предприятие приобретут картофелечистку по формуле:
Эг=Эс/с - Зед*Ен
Эс/с - экономия от снижения себестоимости
Зед. – затраты единовременные
Ен. – коэффициент сравнительной экономии от внедрения организационных мероприятий
1. Экономия численности:
Эч=Ст/Фг.вр., где
Ст.- разность расходов до внедрения мероприятия и после его внедрения
Фг.вр. – годовой фонд рабочего времени
Эч=(630-540)/261=0,35 чел.час
2.Экономия по заработной плате:
Эз/п=Эч*ФОТ,где
ФОТ-фонд оплаты труда 1 рабочего
Эз/п=0,35*144 000 =50 400 руб.
3.Экономия на социальные нужды:
Эсоц=(Эз/п*%отчисл.соц.нужды)/100%, где
Эз/п*%отчисл.соц.нужды=26%
Эсоц=(50400*26)/100%=13 104 руб.;
4.Экономия от снижения себестоимости:
Эс/с=Эз/п + Эсоц.
Эс/с=50 400+13 104=63 504 руб.
Таким образом можно рассчитать годовой экономический эффект от внедрения на предприятии новой должности по работе с кадрами:
Эг=63 504 – 35 000*0,15= 58 254 руб.
В результате мы видим, что внедрение новой должности является целесообразным, так как достигается большой годовой экономический эффект.
Заключение
В ходе работы над курсовым проектом был проведен анализ использования рабочего времени на ООО «КОП – Русская кухня», который включил в себя:
- анализ организации и обслуживания рабочего места работником;
- определение величины внутрисменных потерь рабочего времени с помощью фотографии рабочего дня;
- составление баланса рабочего времени;
- графический анализ трудового процесса;
- условия труда работников на предприятии.
В результате анализа было выявлено, что трудовые ресурсы используются предприятием недостаточно эффективно. Из-за ручного трудового процесса увеличивается время и нагрузка осуществления той или иной операции, в результате увеличивается утомляемость работников к концу трудового дня.
Итогом анализа использования рабочего времени является выявление резервов для повышения эффективности использования рабочего времени и предложение мероприятий для их использования. По итогам рекомендательной части курсового проекта можно сказать, что в результате внедрения второго мероприятия, связанного с улучшением технологической оснастки рабочего места, а именно покупка нового оборудования, ожидаемый годовой эффект составит 58 254 руб. Внедрение нового оборудования позволит сократить рабочее время до установленного 9 часового рабочего дня, и уменьшить утомляемость сотрудников. Трудовой процесс будет более механизированным и современным.
Список литературы
1. Адамчук В. В., Романов О.В., Сорокина М.С. Экономика и социология труда: Учебник для вузов. – М. : ЮНИТИ, 2000. – 407с.
2. Бычин Б.В., Малинин С.В. Организация и нормирование труда: учебник по специальности «Экономика труда» / В.Б. Бычин, С.В. Малинин, Е.В. Шубенкова; под ред. Ю.Г. Одегова; Российская экономическая академия им. Плеханова. – М.: ''Экзамен'', 2003. – 461 с.;
3. Власов В.В., Г.Б. Кац, В.И. Козырев Организация, планирование и управление предприятием массового машиностроения: Учебное пособие для студентов машиностроительных специальностей вузов. М.: Bысш. Шк., 1985. – 432с.: ил.
4. Военков Д.Д., Л.Г. Головач, Т.А. Горская и др. Организация и планирование радиотехнического производства. Управление предприятием радиопромышленности: Учебник для радиотехнических специальностей вузов.– М.: Высш. Шк., 1987. – 351с.: :ил.
5. Генкин Б.М. Экономика и социология труда. – М.: НОРМА-ИНФРА- М, 1999. – 394с.;
6. Зельдович., Н.И. Сафонова, М.А. Павлова. Организация и планирование полиграфического производства. – М.: Книга, 1990. – 401с.
7. Кравченко А.И., Н.И. Дряхлова, Социология труда: Учебник -М.: Издательство Московского университета, 1993. – 368с.
8. Кобец Е.А., М.Н. Косаков. Организация, нормирование и оплата труда на предприятиях отрасли» Учеб. Пособие. Таганрог: Изд-во ТРТУ, 2006г.
9. Новожилова С.Ф. Нормирование труда в торговле. – М.: Экономика, 1989. – 419с.
10. Разумов И.М., Л.А. Глаголева, М.И. Ипатов, В.П. Ермилов. Организация, планирование и управление предприятием машиностроения: Учебник для студентов машиностроительных специальностей вузов М.: Машиностроение, 1982. – 544с.: ил.
11. Пашуто В.П. Организация и нормирование труда на предприятии: Учебное пособие для студентов экон. спец. вузов. Мн.: Новое знание, 2002.
12. Степанов А.П., И.М. Разумов, С.В. Смирнов и др. Научная организация труда и нормирование труда в машиностроении: Учебник для инженерно - экономических вузов и факультетов/ М.: Машиностроение, 1984. – 464с.: ил.
13. Туровец О.Г., Бухалков М.И., Родинов В.Б. и др. Организация производства и управление предприятием: учебник.; Под.ред. О.Г. Туровца. – 2-е изд. – М.: ИНФРА-М, 2006. – 544с. – ISBN 5-16-002153-1.
14. Шапиро И.И. Научная организация труда рабочих в машиностроении. – М.: Машиностроение, 1987. – 256с.: ил.
15. Фатхутдинов Р.А. Организация производства/Р.А. Фатхутдинов. – М.: ИНФРА-М, 2006. – 528 с. - ISBN 5-16-002372-0.
|