Федеральное агентство по образованию РФ
Рубцовский индустриальный институт
ГОУ ВПО «Алтайский государственный технический университет им. И.И. Ползунова»
Реферат
По дисциплине
Гидравлика
На тему
Теория гидродинамической смазки в гидравлике
Выполнила: Никифорова А.О.
группы АТ-81
Проверил: Люкшин П.А.
Рубцовск 2011 г.
Содержание
Введение
1 Зарождение теории гидродинамической смазки
2 Основы гидродинамической теории
3 Трение смазочного слоя между шипом и подшипником
Заключение
Список используемой литературы
Введение
гидродинамическая теория смазки подшипник
Значение гидродинамической теории смазки для народного хозяйства громадно, так как она дает возможность к рациональному проектированию подшипников, которые в современных быстроходных машинах играют столь важную роль. Поэтому понятно, что этому вопросу были посвящены работы выдающихся ученых и инженеров. Вопрос о поведении смазочных веществ в очень узком канале между поверхностями шипа и подшипника давно занимал инженеров, но, несмотря на усилия выдающихся исследователей, сущность происходящих здесь явлений оставалась не выясненной.
Поскольку подшипники работают в условиях жидкостной смазки, недостатки этого метода поняты очень давно. Вывод собственно уравнений гидродинамической смазки относится к давнему веку (ПЕТРОВ Н.Н. 1883 год). Одна из первых попыток применить гидродинамическую теорию к расчету подшипников ДВС относится к 1937 году (Орлов П.И.).
Данный реферат содержит краткое изложение гидродинамической теории смазки, методики использования уравнений этой теории и результаты расчетов, и анализ работы подшипников.
Основной вывод, который, следует, из приведенного материала состоит в том, что для дальнейшего совершенствования подшипников автомобильных двигателей их расчет необходимо вести методом гидродинамической теории смазки.
1 Зарождение гидродинамической теории смазки
В период 1883-1886 гг. появились не зависимо друг от друга два замечательных исследования, которые вполне разъяснили сущность происходящих при смазочном трении явлений. В первых трех книгах Инженерского журнала за 1883 г. Появилась статья профессора Петербургского технологического института Н.П. Петрова, в которой были изложены основы гидродинамической теории смазки, вследствие чего многие ученые во главе с знаменитым физиком профессором А. Зоммерфельдом считают профессора Н.П. Петрова отцом этой теории. Следует сказать, что в то время явление движения вязких жидкостей были мало исследованы, так как работы Осборна Рейнольдса, которые разъяснили сущность ламинарного и турбулентного режимов течения жидкости, были тогда ещё мало известны, а следовательно, не было известно, когда возможно применение уравнений движения вязкой жидкости. В виду этого Петров посвятил значительную часть своей работе доказательству самой возможности применения упомянутых уравнений к вопросу о движении жидкости, а затем принимая поверхности шипа и подшипника за соосные круглые цилиндры и принимая возможность скольжение жидкости на обеих поверхностях, он получил свою знаменитую формулу:
Забиваем Сайты В ТОП КУВАЛДОЙ - Уникальные возможности от SeoHammer
Каждая ссылка анализируется по трем пакетам оценки: SEO, Трафик и SMM.
SeoHammer делает продвижение сайта прозрачным и простым занятием.
Ссылки, вечные ссылки, статьи, упоминания, пресс-релизы - используйте по максимуму потенциал SeoHammer для продвижения вашего сайта.
Что умеет делать SeoHammer
— Продвижение в один клик, интеллектуальный подбор запросов, покупка самых лучших ссылок с высокой степенью качества у лучших бирж ссылок.
— Регулярная проверка качества ссылок по более чем 100 показателям и ежедневный пересчет показателей качества проекта.
— Все известные форматы ссылок: арендные ссылки, вечные ссылки, публикации (упоминания, мнения, отзывы, статьи, пресс-релизы).
— SeoHammer покажет, где рост или падение, а также запросы, на которые нужно обратить внимание.
SeoHammer еще предоставляет технологию Буст, она ускоряет продвижение в десятки раз,
а первые результаты появляются уже в течение первых 7 дней.
Зарегистрироваться и Начать продвижение

гидродинамическая теория смазки подшипник
где Q - поверхность трения, µ - абсолютная вязкость смазочной жидкости, λ – коэффициенты внешнего трения на границах с шипом и подшипником, δ – расстояние между поверхностями шипа и подшипника.
Для проверки своей теории Н.П. Петров произвел обширные опыты, много способствовавшие выяснению вопроса. В ряде опытов с вагонной осью среднее гидродинамическое давление в смазывающей жидкости достигало 90 атмосфер. Этими опытами при употреблении разнообразных смазывающих жидкостей, при изменении окружной скорости шипа весьма широких пределах, при различных температурах окружающей среды, теория Н.П. Петрова получила удовлетворительное подтверждение.
Присоединив сюда гипотезу об охлаждении шипа пропорционально разности температур смазывающего слоя и окружающей температуры и пользуясь так называемыми графиками абсолютной вязкости, Н.П. Петров получил возможность графически выражать зависимость между многими величинами, входящими в состав явления трения хорошо смазанного шипа в подшипнике.
Главными недостатками теории Н.П. Петрова были: отсутствие возможности определения величины гидродинамического давления в различных частях смазывающего слоя, в гипотезе совпадение осей цилиндрических поверхностей шипа и подшипника, допущение существования смазочного слоя во всем пространстве между поверхностями шипа и подшипника, тогда как в действительности в большинстве случаев практики дуга охвата шипа подшипником не достигает и половины цилиндра.
2 Основы гидродинамической теории
Трения в машинах и влияние на него смазывающей жидкости является одной из основных проблем современного машиностроения.
Сервис онлайн-записи на собственном Telegram-боте
Попробуйте сервис онлайн-записи VisitTime на основе вашего собственного Telegram-бота:
— Разгрузит мастера, специалиста или компанию;
— Позволит гибко управлять расписанием и загрузкой;
— Разошлет оповещения о новых услугах или акциях;
— Позволит принять оплату на карту/кошелек/счет;
— Позволит записываться на групповые и персональные посещения;
— Поможет получить от клиента отзывы о визите к вам;
— Включает в себя сервис чаевых.
Для новых пользователей первый месяц бесплатно.
Зарегистрироваться в сервисе
При наличии смазочного материала между трущимися поверхностями создается слой, который участвует в движении вместе со смазываемыми поверхностями. Даже при вращении цапфы в подшипники между поверхностью цапфы и внутренней поверхностью вкладышей подшипника создается и поддерживается слой смазки. При расчете валов делается проверка на не выдавливание смазочного материала из подшипника, поскольку в противном случае вместо трения смазываемых поверхностей возникает сухое трение, что может привести к перегреву подшипника и последний выйдет из строя.
Основы гидродинамической теории смазки были изложены в труде профессора И.П. Петрова «Трение в машинах и влияние на него смазывающей жидкости» Согласно его тории сила трения, возникающая между движущимися смазываемыми поверхностями, определяется не родом трущихся поверхностей, а физическими свойствами смазочного материала. Поэтому при изучении движения жидкости в слое смазки следует механическую задачу о теории заменить на гидродинамическую задачу об изучении движения вязкой жидкости.

Рис 1. Схема вращения цапфы в подшипнике при соосном расположении (а) и с эксцентриситетом (б)
l – слой смазочного материала, 2 – цапфа, 3 – подшипник, r – радиус цапфы, u – окружная скорость цапфы, δ – толщина зазора, λ- эксцентриситет
Для краткого ознакомления с теорией смазки рассмотрим трение цапфы радиусом r и длиной l в подшипнике при ее концентричном вращении (рис.1, а).
Предположим, что слой смазочного материала, покрывающий цапфу, имеет одинаковую толщину δ. При вращении цапфы с окружной скоростью uчастицы смазочного материала на поверхности цапфы будут иметь ту же скорость. По мере удаления от цапфы эта скорость будет уменьшаться и на поверхности подшипника станет равной нулю.
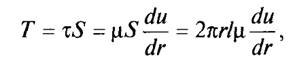
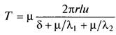
Сила трения между цапфой и смазочным материалом

где - площадь поверхности цапфы.
Приняв, что скорость вращения частиц смазочного материала на толщине слоя δ линейно изменяется от u до нуля, можно определить градиент скорости как du/dr = u/δ. Тогда

Н.П. Петров получил более точное выражение для силы трения цапфы

Где λ – коэффициенты трения для внутреннего и внешнего цилиндров.
Сила трения прямо пропорциональна вязкости жидкости и числу оборотов и обратно пропорциональна толщине смазывающего слоя.
Предложенная Н.П. Петровым гидродинамическая теория смазки в дальнейшем была развита Н.Е. Жуковским и C.А. Чаплыгиным в труде «О трении смазочного слоя между шипом и подшипником»
3 Трение смазочного слоя между шипом и подшипником
Движение вязкой жидкости, заключенной в смазочном слое между шипом и подшипником, было сначала исследовано Н.П. Петровым, который положил основание гидродинамической теории шипа. Н.П. Петров принимал смазочный слой ограниченный двумя концентрическими цилиндрами. Влияние на рассматриваемое явление эксцентричности шипа и подшипника было с помощью приближенного анализа обстоятельно исследовано Осборном Рейнольдсом. Довольно сложный анализ был упрощен Зоммерфельдом, который установил теоретическую зависимость между моментом сил трения, нагрузкою и скоростью шипа и показал, пропорциональность момента сил трения его скорости или его нагрузки суть два предельные случая общего закона трения шипа и подшипника, причем первый предельный случай получается при больших, а второй при малых скоростях шипа. Точное решение задачи о движении вязкой жидкости в двух измерениях между двумя эксцентрическими окружностями, равно как решение аналитической задачи о равновесии упругой пластины, ограниченной двумя эксцентрическими окружностями, до сих пор ещё не найдено.
Заключение
Расчет подшипников на основании гидродинамической теории смазки раскрывает многие стороны работы подшипников недоступные расчету на основе средних удельных давлений. Для дальнейшего совершенствования подшипников автомобильных двигателей абсолютно необходимо вести их расчет методом гидродинамической теории. Применение данной методики определения движения шейки коренного подшипника невозможно без дальнейшей доработки.
Список используемой литературы
1. Гидравлика, гидромашины и гидропневмопривод: учеб. Пособие для студ. Высшее учеб. Заведение [Т.В. Артемьева, А.Н. Румянцева, С.П. Стесин]; под ред. С.П. Стесина – 4-е изд., М.: Издательский центр «Академия», 2008. – 336 с.
2. Ухин Б.В., Гусев А.А. Гидравлика: Учебник. – М.: ИНФРА – М, 2008, - 432 с – (среднее профессиональное образование)
3. Машиностроительная гидравлика. Башта Т.М., «Машиностроение», 1971, 672 с.
|