Київський Національний Університет Культури і Мистецтв
Міністерство культури і туризму України
Міністерство освіти і науки України
Реферат з дисципліни економіка туризму:
Показники прибутку та рентабельності підприємств туристичного бізнесу
Виконала:
студентка ІV курсу
групи ММТ - 36с
денної форми навчання
Крилова Людмила
Викладач: Манов М.А.
Київ - 2010
Показники прибутку та рентабельності підприємств туристичного бізнесу
Прибуток будь-якого підприємства виміряється абсолютною величиною, тобто сумою, що виступає узагальнюючим підсумковим показником господарсько-фінансової діяльності. Однак абсолютна величина прибутку не характеризує рівень ефективності діяльності підприємства в цілому та ефективності використання його ресурсів і дотримання режиму економії. Тому для оцінювання ефективності економічної діяльності підприємства, характеристики рівня раціональності використання його ресурсів і витрат використовується відносний показник, який називається рентабельністю.
Прибуток як абсолютний синтетичний показник визначається на основі розподілу доходу з урахуванням діючої системи оподаткування доходу і прибутку.
Сума прибутку - це перевищення доходів над витратами, податковими й обов'язковими платежами, а рентабельність визначається як відсоткове відношення суми отриманого прибутку до якого-небудь іншого показника (рис.1.).
Прибуток показує абсолютний ефект діяльності підприємства без урахування використаних при цьому ресурсів, тому його слід доповнювати показником рентабельності. Ступень прибутковості підприємства і характеризує рентабельність. Рентабельність - це якісний, вартісний показник, що характеризує рівень віддачі витрат або ступень використання ресурсів, що є в наявності, в процесі виробництва і реалізації продукції. Фірма рентабельна, якщо суми виторгу достатньо не тільки для сплати витрат на виробництво, але і для утворення прибутку. Таким чином, рентабельність характеризує ефективність роботи підприємства, дає уявлення про спроможність підприємства збільшувати свій капітал.

Рис.1. Система показників рентабельності підприємства
Система рентабельності охоплює дві групи показників:
- рентабельність діяльності підприємства;
- рентабельність використовуваних ресурсів;
Рентабельність діяльності характеризує, скільки прибутку припадає на одиницю виручки (доходу) від реалізації турпослуг або на одиницю витрат підприємства. Рентабельність виручки являє собою частку прибутку в середній ціні турпродукту (послуги).
Забиваем Сайты В ТОП КУВАЛДОЙ - Уникальные возможности от SeoHammer
Каждая ссылка анализируется по трем пакетам оценки: SEO, Трафик и SMM.
SeoHammer делает продвижение сайта прозрачным и простым занятием.
Ссылки, вечные ссылки, статьи, упоминания, пресс-релизы - используйте по максимуму потенциал SeoHammer для продвижения вашего сайта.
Что умеет делать SeoHammer
— Продвижение в один клик, интеллектуальный подбор запросов, покупка самых лучших ссылок с высокой степенью качества у лучших бирж ссылок.
— Регулярная проверка качества ссылок по более чем 100 показателям и ежедневный пересчет показателей качества проекта.
— Все известные форматы ссылок: арендные ссылки, вечные ссылки, публикации (упоминания, мнения, отзывы, статьи, пресс-релизы).
— SeoHammer покажет, где рост или падение, а также запросы, на которые нужно обратить внимание.
SeoHammer еще предоставляет технологию Буст, она ускоряет продвижение в десятки раз,
а первые результаты появляются уже в течение первых 7 дней.
Зарегистрироваться и Начать продвижение
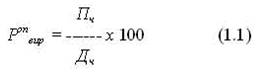
Розрахунок показників рентабельності туристичних підприємств залежить від виду їх діяльності. Для туроператора розраховується рентабельність у відсотках до виручки (доходу) від реалізації турпродукту та окремих послуг (Роп
вир
) за формулою
де Пч
-
чистий прибуток туроператора;
Дч
-
чистий доход (виручка) від реалізації туроператора.
Для турагентської діяльності розраховується рентабельність комісійної винагороди (Раг
кв
) за формулою
Пч -
чистий прибуток турагента;
KB
- комісійна винагорода турагента.
Рентабельність витрат визначається як відношення суми прибутку підприємства до суми його витрат за певний період і виражається у відсотках. Цей показник характеризує ефективність поточних витрат підприємства, їхню окупність і величину прибутку, що припадає на одиницю витрат.
Особливе місце в оцінюванні ефективності витрат займає рентабельність, обчислена до фонду оплати праці, яка означає, скільки чистого прибутку підприємства припадає на 100 грн заробітної плати трудового колективу. Формула для розрахунків цього показника не залежить від виду підприємства і має такий вигляд:
де Рфоп
-
рентабельність фонду оплати праці, %;
ФОП -
фонд оплати праці підприємства.
Однак показники рентабельності діяльності підприємств не характеризують економічну ефективність використання їхніх ресурсів. Рентабельність діяльності може бути високою навіть при низькій ефективності використання ресурсів. Тому використовується друга група показників рентабельності,
які визначаються як відношення прибутку до середньої вартості певних видів ресурсів, виражене у відсотках.
Виняток складає лише рентабельність використання трудових ресурсів (Ртр),
яка розраховується як відношення прибутку до середньооблікової чисельності працівників підприємства:
де Чоб
-
середньооблікова чисельність працівників.
Цей показник характеризує величину прибутку, яку забезпечує підприємству один середньообліковий працівник. Він виражається в гривнях на одного працівника.
Рентабельність основних фондів (Роф
)
підприємства визначається за формулою
де ОФн
, ОФк -
відповідно основні фонди на початок і кінець періоду.
Рентабельність оборотних активів
розраховується аналогічно рентабельності основних фондів з тією лише різницею, що в знаменнику використовується середня сума оборотних активів.
Сервис онлайн-записи на собственном Telegram-боте
Попробуйте сервис онлайн-записи VisitTime на основе вашего собственного Telegram-бота:
— Разгрузит мастера, специалиста или компанию;
— Позволит гибко управлять расписанием и загрузкой;
— Разошлет оповещения о новых услугах или акциях;
— Позволит принять оплату на карту/кошелек/счет;
— Позволит записываться на групповые и персональные посещения;
— Поможет получить от клиента отзывы о визите к вам;
— Включает в себя сервис чаевых.
Для новых пользователей первый месяц бесплатно.
Зарегистрироваться в сервисе
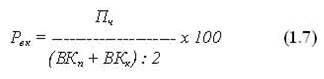
Рентабельність капіталу підприємства
може розраховуватися стосовно сукупного капіталу, авансованого в діяльність підприємства, або окремих його складових:
- рентабельність сукупного капіталу (Рск
):
де ВБп,
ВБк
- відповідно сума валюти балансу на початок і на кінець періоду;
- рентабельність власного капіталу (Рвк
)
де ВКп
, ВКк -
відповідно власний капітал на початок і кінець періоду -рентабельність чистого оборотного капіталу (Рчок
)
де ЧОКп
, ЧОКк -
відповідно чистий оборотний капітал на початок і кінець періоду;
рентабельність перманентного капіталу (Рпк):
показник прибуток рентабельність туристичний
де ПКн
, ПКк -
відповідно перманентний капітал на початок і кінець періоду.
Чистий оборотний капітал - це сума власного оборотного капіталу, а до перманентного капіталу відноситься той капітал, що знаходиться в довгостроковому розпорядженні підприємства. Величина перманентного капіталу (ПК) дорівнює сумі всіх джерел власного капіталу і довгострокових кредитів на певну дату:
ПК = ВК + Кдс
(
1.10)
де Кдс
-
сума довгострокових кредитів.
Усі показники рентабельності можна розраховувати як на основі чистого прибутку, так і оподаткованого прибутку.
Розрахунки рентабельності за даними чистого прибутку дозволяють оцінити вплив податкових та інших обов'язкових платежів на рентабельність.
В процесі аналізу фінансового стану можуть розраховуватися і інші приватні показники: рентабельність поза обернених активів, рентабельність інвестицій.
Усі показники рентабельності можуть бути плановими і фактичними. Відмінність полягає в тому, що для визначення планової рентабельності беруть заплановані дані, а для визначення фактичної - фактичні.
Стратегія економічного управління прибутком підприємств
Стратегія управління прибутком підприємства пов'язана з визначенням головної мети його діяльності. Найчастіше ця головна мета формулюється як досягнення певного рівня рентабельності на вкладений капітал і одержання бажаної маси чистого прибутку.
Послідовність етапів обґрунтування стратегії економічного управління прибутком підприємства представлена на рис.1.3.

Рис.1.2 Етапи обґрунтування стратегії управління прибутком туристичного підприємства
На першому етапі визначається цільова сума прибутку підприємства, величина якої залежить від стадії життєвого циклу підприємства, стратегічних завдань і тактики їхнього вирішення. При визначенні обсягу цільового прибутку виходять з того, що він повинен забезпечити заплановане самофінансування розвитку підприємства.
На другому етапі для туроператора визначаються обсяги реалізації турпродукту і послуг, а для турагента - обсяги агентської винагороди, які забезпечать одержання цільового прибутку при заданих розмірах витрат.
Розрахований обсяг реалізації турпродукту (послуг) узгоджують з ринковим попитом на основі результатів маркетингових досліджень і розробляють асортиментну структуру турпродукту (послуг). Маркетинговий підхід до вивчення ринкового попиту охоплює і систему цін (тарифів), яка використовується як основа розробки цінової політики. Метою цінової політики є визначення оптимальних цін реалізації турпродукту і послуг на основі маркетингу. На цих етапах розробки стратегії головна увага приділяється маркетингу, оскільки величина прибутку залежить від: правильності вибору напрямів маршрутів і комплектування пакетів туристичних послуг; створення конкурентоздатних умов продажу своїх туристичних послуг (ціна, якість обслуговування); системи надання знижок та ін.
Особливе місце в обґрунтуванні стратегії економічного управління прибутком посідає пошук резервів збільшення обсягів реалізації і зниження собівартості турпродукту. Це потребує врахування та прогнозування всіх факторів зовнішнього і внутрішнього середовища, що впливають на доход і витрати. Формування ресурсної політики передбачає вибір ефективних джерел залучення всіх видів ресурсів для здійснення туристичної діяльності.
Управління доходом і поточними витратами здійснюється відповідними методами. Стратегічний план досягнення цільового прибутку приймається на основі оцінки можливостей його одержання з урахуванням доходу і поточних витрат, особливо змінних.
Висновки
Оцінка фінансового-економічного стану підприємства здійснюється на підставі аналізу документів - про фінансові результати, рух грошових коштів, власний капітал і системи розрахункових показників.
Фінансові результати підприємства вимірюються двома показниками - прибутком і рентабельністю. Прибуток виражає абсолютний ефект без урахування використаних ресурсів. Тому для аналізу його доповнюють показником рентабельності.
Рентабельність - це відносний показник ефективності роботи підприємства, котрий у загальній формі обчислюється як відношення прибутку до витрат. Рентабельність має кілька модифікованих форм залежно від того, який саме прибуток і ресурси використовують у розрахунках
Розрахунок показників рентабельності туристичних підприємств залежить від виду їх діяльності.
Однак показники рентабельності діяльності підприємств не характеризують економічну ефективність використання їхніх ресурсів. Рентабельність діяльності може бути високою навіть при низькій ефективності використання ресурсів. Тому використовується друга група показників рентабельності,
які визначаються як відношення прибутку до середньої вартості певних видів ресурсів, виражене у відсотках.
Усі показники рентабельності можна розраховувати як на основі чистого прибутку, так і оподаткованого прибутку.
Розрахунки рентабельності за даними чистого прибутку дозволяють оцінити вплив податкових та інших обов'язкових платежів на рентабельність.
Рівень рентабельності всіх організацій та установ залежить від величини прибутку, товарної продукції, витрат виробництва, величини основних виробничих фондів і нормованих обігових засобів. Важливими факторами, що забезпечують зростання прибутку і рентабельності підприємства, є підвищення продуктивності праці, фондовіддачі, економія матеріальних ресурсів, рівень технічного прогресу, а саме, механізації та автоматизації трудомістких технологічних процесів, удосконалення організації виробництва та ін. Урахування підприємством таких факторів дасть змогу підвищувати ефективність його діяльності.
Система рентабельності туристичних підприємств охоплює дві групи показників:
- рентабельність діяльності підприємства;
рентабельність використовуваних ресурсів;
Рентабельність діяльності характеризує, скільки прибутку припадає на одиницю виручки (доходу) від реалізації турпослуг або на одиницю витрат підприємства. Рентабельність виручки являє собою частку прибутку в середній ціні турпродукту (послуги).
Розрахунок показників рентабельності туристичних підприємств залежить від виду їх діяльності і є надзвичайно важливим показником ефективності діяльності підприємств в індустрії туризму.
Використана література
1. Боголюбов В.С., Орловская В.П. Экономика туризма. - М.: Академия, 2005. - 192 с.
2. Дядечко Л.П. Економіка туристичного бізнесу. - К.: Центр учбової літератури, 2007. - 224 с.
3. Папирян Г.А. Международные экономические отношения. Экономика туризма. - М.: Финансы и статистика, 2000. - 208 с.
4. Пуцентейло П.Р. Економіка і організація туристично-готельного підприємництва: Навчальний посібник. - К.: Центр учбової літератури, 2007. - 344 с.
5. Соболева Е.А., Соболев И.И. Финансово-экономический анализ деятельности турфирмы
6. Фролова Т.А. Конспект лекций по курсу Экономика и предпринимательство в сфере социально-культурного сервиса и туризма.
|