міністерство фінансів україни
Дніпропетровська державна фінансова академія
Кафедра економіки підприємства
реферат
з дисципліни: «Економіка підприємства»
на тему: «Обгрунтування інвестиційних проектів»
Дніпропетровськ – 2011
Інвестиційний проект потрібний інвестору, його партнерам, його кредиторам, які сформували позичену частину інвестованого капіталу. За відсутності проекту зникає предмет переговорів і ухвалення рішення між інвестором, його партнерами й майбутніми кредиторами. А на етапі реалізації інвестування без наявності документованого проекту неможлива ефективна координація зусиль учасників проекту. Координуюча роль проекту, звичайно, поступово замінюється реальними укладеними договорами між учасниками, але як довгостроковий план проект не втрачає свого значення щодо повного здійснення намірів інвестора.
Інвестиційний проект як документований план інвестування складається з таких документів.
1. Економічний опис— бізнес-план і матеріали для його обґрунтування.
2. Технічна документація.
3. Технологічна документація.
4. Контрактне супроводження, тобто набір уже укладених або підготовлених контрактів (договорів) чи більш м'яких форм закріплення майбутніх взаємовідносин між можливими і реальними учасниками проекту.
5. Експертне супроводження як набір експертних висновків, оцінок або інших форм представлення висновків фахівців (фізичних або юридичних осіб), компетентних в оцінці процесів та явищ, з якими буде пов'язана реалізація проекту.
6. Інші документи, їх копії або аналітичні матеріали, що характеризують: учасників проекту, ситуацію на ринку, установчі документи підприємств, копії звітів підприємств про фінансово-господарську діяльність, прогнози, свідоцтва про права власності, нормативно-законодавчі акти державного та місцевого рівня, які впливають на проект.
Інвестиційний проект — це сукупність поєднаних в одне ціле намірів і практичних дій з метою здійснення інвестиційних вкладень, з метою забезпечення визначених конкретних фінансових, економічних, виробничих і соціальних заходів з метою отримання прибутку.
Інвестиційні проекти поділяються на:
· виробничі
· науково-технічні
· комерційні
· фінансові
· економічні
Забиваем Сайты В ТОП КУВАЛДОЙ - Уникальные возможности от SeoHammer
Каждая ссылка анализируется по трем пакетам оценки: SEO, Трафик и SMM.
SeoHammer делает продвижение сайта прозрачным и простым занятием.
Ссылки, вечные ссылки, статьи, упоминания, пресс-релизы - используйте по максимуму потенциал SeoHammer для продвижения вашего сайта.
Что умеет делать SeoHammer
— Продвижение в один клик, интеллектуальный подбор запросов, покупка самых лучших ссылок с высокой степенью качества у лучших бирж ссылок.
— Регулярная проверка качества ссылок по более чем 100 показателям и ежедневный пересчет показателей качества проекта.
— Все известные форматы ссылок: арендные ссылки, вечные ссылки, публикации (упоминания, мнения, отзывы, статьи, пресс-релизы).
— SeoHammer покажет, где рост или падение, а также запросы, на которые нужно обратить внимание.
SeoHammer еще предоставляет технологию Буст, она ускоряет продвижение в десятки раз,
а первые результаты появляются уже в течение первых 7 дней.
Зарегистрироваться и Начать продвижение
· соціально-економічні
Форма та зміст інвестиційних проектів можуть бути найрізноманітнішими - від плану будівництва нового підприємства до оцінки доцільності придбання нерухомого майна. У всіх випадках, проте, присутній часовий лаг (затримка) між моментом початку інвестування та моментом, коли проект починає приносити прибуток. Часовий чинник грає ключову роль в оцінці інвестиційного проекту В зв'язку з цим доцільно представити весь цикл розвитку проекту як три основні фази розвитку проекту: передінвестиційну, інвестиційну та експлуатаційну. Сумарна тривалість цих стадій складає термін життя проекту [project lifetime].
Перша фаза, безпосередньо передуюча основному обсягу інвестицій, у багатьох випадках не може бути визначена досить точно. На цьому етапі проект розробляється, готується його техніко-економічне обґрунтування, проводяться маркетингові дослідження, здійснюється вибір постачальників сировини та устаткування, ведуться переговори з потенційними інвесторами і учасниками проекту. Також тут може здійснюватися юридичне оформлення проекту (реєстрація підприємства, оформлення контрактів і тому подібне) і проводитися емісія акцій та інших цінних паперів. Як правило, в кінці передінвестиційної фази має бути в наявності розгорнутий бізнес-планом інвестиційного проекту. Всі вище перелічені дії, зрозуміло, вимагають не лише часу, але і витрат. В разі позитивного результату і переходу безпосередньо до здійснення проекту понесені витрати капіталізуються і входять до складу так званих "перед виробничих витрат" з подальшим віднесенням на собівартість продукції через механізм амортизаційних відрахувань.
Наступний відрізок часу відводиться під стадію інвестування або фазу здійснення [investment/implementation phase]. Принципова відмінність цієї фази розвитку проекту від попередньої і подальшій фаз полягає, з одного боку, в тому, що починають робитися дії, що вимагають набагато більших витрат і що носять вже безповоротний характер (закупівля устаткування або будівництво), а, з іншого боку, проект ще не в змозі забезпечити свій розвиток за рахунок власних засобів. На даній стадії формуються постійні активи підприємства. Деякі види супутніх витрат (наприклад, витрати на навчання персоналу, на проведення рекламних заходів, на пуско-наладку та інші) частково можуть бути віднесені на собівартість продукції (як витрати майбутніх періодів), а частково - капіталізовані (як перед виробничі витрати).
Сервис онлайн-записи на собственном Telegram-боте
Попробуйте сервис онлайн-записи VisitTime на основе вашего собственного Telegram-бота:
— Разгрузит мастера, специалиста или компанию;
— Позволит гибко управлять расписанием и загрузкой;
— Разошлет оповещения о новых услугах или акциях;
— Позволит принять оплату на карту/кошелек/счет;
— Позволит записываться на групповые и персональные посещения;
— Поможет получить от клиента отзывы о визите к вам;
— Включает в себя сервис чаевых.
Для новых пользователей первый месяц бесплатно.
Зарегистрироваться в сервисе
З моменту введення в дію основного устаткування (в разі промислових інвестицій) або після придбання нерухомості або іншого вигляду активів починається третя стадія розвитку інвестиційного проекту - експлуатаційна [operational] фаза. Цей період характеризується початком виробництва продукції або надання послуг і відповідними вступами і поточними витратами. Значний вплив на загальну характеристику проекту надаватиме тривалість експлуатаційної фази. Вочевидь, що, чим далі буде віднесена в часі її верхній кордон, тим більшою буде сукупна величина доходу.

Рис. Схема етапів обґрунтування реального інвестиційного проекту
Оцінка і обґрунтування інвестиційних проектів супроводжується однією із найскладніших задач, що постають перед дослідниками - розрахунком ставки дисконтування. Правильний вибір ставки дисконтування дозволяє підвищити точність показників економічної ефективності оцінюваного інвестиційного проекту (таких як чиста зведена вартість (NPV), дисконтований строк окупності інвестицій, рентабельність інвестицій та капіталу та ін.) і забезпечити адекватність виконуваних розрахунків економічним умовам того ринкового середовища, в якому планується реалізація проекту.
Актуальність даної теми визначається складністю обґрунтування і розрахунку ставки дисконтування в процесі оцінки інвестиційних проектів.
Метою дослідження є розрахунок ставки дисконтування в контексті ситуації, що склалася в Україні, коли методи інвестиційного аналізу, які широко розповсюджені у практиці західних країн, але відносно нові для вітчизняних підприємців та інвесторів, набувають все більшого застосування у нашій країні.
У даний час для більшості проектів питанню оцінки ставки дисконтування приділяється мало уваги, внаслідок чого величина поточної вартості інвестиційного проекту виходить завищеною (рідше заниженою, в залежності від цілей оцінювача) і це пов'язано з високою чутливістю результатів розрахунку до величини ставки дисконту. Для прикладу: при періоді прогнозування 3-5 років при зміні ставки дисконтування на 1% поточна вартість змінюється на 1,5-2%.
У країнах з перехідною економікою, і в Україні зокрема, при розрахунку ставки дисконтування в даному випадку застосовується норма дисконтування, прийнята у практиці країн з розвиненою економікою, при цьому ця величина не адаптується до вітчизняних умов, або ж ставка розраховується на основі іноземних методик, що дають можливість враховувати індикатори вітчизняного фінансового ринку, особливості конкретних компаній і проектів. Але в даному випадку виникає два проблемних питання: які індикатори застосувати у якості базисних і як оцінити об'єктивність експертної оцінки тієї частини ставки дисконтування, яка не піддається точному кількісному аналізу [2].
При практичному розрахунку ставки дисконтування потрібно вирішити такі взаємопов'язані задачі: 1) вибір визначення ставки в залежності від цілей і умов розрахунку; 2) вибір методики розрахунку ставки і підбір базових орієнтирів для розрахунку; 3) обґрунтування коректності обраного визначення і методів розрахунку з погляду об'єктивності відображення ними умов проекту. Саме вирішення останньої задачі є найпроблематичнішим моментом у дослідженні.
Базою для розрахунку ставки дисконтування служать дві групи факторів:
1) внутрішні, що залежать від структури проекту, його ризикованості, новизни і т.д. і 2) зовнішні, що не залежать від ходу реалізації проекту - ризики, притаманні конкретній країні, політичні ризики, інфляція, ставки дохідності [5].
Основні схеми розрахунку ставки дисконтування для оцінки інвестиційного проекту, такі як модель капітальних активів (САРМ) і середньозваженої вартості капіталу (WACC) враховують обидві групи факторів, хоча перша більше зорієнтована на зовнішні індикатори, а друга - на внутрішні показники діяльності компанії.
У нормально функціонуючій ринковій економіці ставки дисконтування, визначені за різними методами мають бути приблизно однаковими. В Україні використання цих методів призводить до абсолютно різних результатів. При застосування моделі WACC виникають труднощі, викликані тим, що ціна власного капіталу (дивіденди акціонерів) не відповідає ринковому рівню дохідності, така ситуація має місце, наприклад, коли акції компанії не котируються на відкритому ринку. Ціна позичкового капіталу часто викривлена через пільговий характер надання кредитів, коли ставка відсотку не відповідає вартості капіталу на ринку кредитів, заплутаність схем кредитування чи наявність простроченої заборгованості.
Застосування метода САРМ стикається з проблемою визначення безризикової і середньоринкової ставки дохідності, коефіцієнта |3, що є мірою систематичного ризику (його визначення викликає значні труднощі для вітчизняних підприємств), а також експертна оцінка супутніх ризиків. Наведені аргументи свідчать про необхідність розробки єдиної системи індикаторів чи методики розрахунку ставки дисконтування, адаптованої до українських реалій [2,3].
Отже, в даний час існує декілька схем розрахунку ставки дисконтування, що в основному базуються на моделях оцінки вартості капіталу і за базу оцінки обирається:
очікувана дохідність безризикових активів;
вартість використовуваних інвестиційних ресурсів.
До моделей першої групи відноситься модель оцінки капітальних активів (САРМ) і модель кумулятивної побудови.
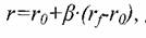
В моделі САРМ ставка дисконту розділяється на ставку доходу від безризикової інвестиції і додаткову ставку доходу для компенсації невизначеності, пов'язаною з інвестуванням у дане підприємство:
де r - необхідна
ставка дисконтування, що виражає очікуваний доход на вкладений капітал, r0
-безризикова відсоткова ставка,
- норма очікуваного доходу на ринковий портфель,
- коефіцієнт бета, міра систематичного ризику вкладень в даний проект [3].
Варто звернути увагу, що модель заснована на низці припущень, серед яких ефективний ринок капіталу і досконала конкуренція інвесторів, що очевидно не є притаманним українському ринку.
В якості безризикової ставки, як правило, застосовується ставка по депозитам в найбільш надійних банках, доходність по державним борговим зобов'язанням.
Показник середньоринкової норми дохідності повинен розраховуватися на основі довгострокового аналізу цін акцій підприємств, що важко в українських умовах, по-перше, внаслідок відсутності відповідної бази, по-друге, в наших умовах ціна акцій підприємства часто не відображає вартість капіталу підприємства, а ціни на акції формуються під впливом сторонніх чинників.
Значення коефіцієнта бета визначається на основі ретроспективних даних фондового ринку, що публікуються в деяких довідниках і періодичних виданнях. В Україні говорити про наявність репрезентативних баз даних для визначення бета коефіцієнта хоча б по галузям взагалі не варто.
Іншим методом визначення ставки дисконтування є метод кумулятивної побудови, відповідно до якого до безризикової ставки додаються премії за різні види ризику, пов'язані з конкретним інвестиційним проектом (страховий, ризик ненадійності учасників проекту, ризик неотримання передбачених проектом доходів). При цьому величина премії по кожному виду ризику визначається експертним шляхом, що вносить значну долю суб'єктивізму при визначенні ставки. Цей метод найчастіше застосовується в процесі оцінки інвестиційних проектів, він найкраще враховує всі види ризикових інвестиційних вкладень, пов'язаних з факторами загального характеру для певної галузі і економіки в цілому, так і зі специфікою оцінюваного підприємства [2]. Він також може застосовуватися за умов недостатнього розвитку фондового ринку, або коли акції компанії не обертаються на ринку, а підприємство — аналог знайти важко [6].
Моделі другої групи основані на оцінці вартості інвестиційних ресурсів (власних і позичкових), що використовуються для фінансування проекту. Оскільки проект може фінансуватися з різних джерел, то застосовується модель, яка має компенсувати ризики інвестування власних коштів і затрати на залучення позичкового капіталу. Це все враховує модель середньозваженої вартості капіталу (WACC), що розглядає середнє із вартостей окремих компонент, зважених по їх долі в загальній структурі капіталу:
(1)
Де: Vі
- частка джерел фінансування, ri
; - вартість і-го джерела капіталу, V- загальна величина капіталу.
WACCв даному випадку обирається в якості ставки дисконтування чи основи їх визначення [3].
При застосуванні методу WACC, як вже було сказано вище, виникають проблеми відносно адекватності ціни власного та позичкового капіталу, що можуть бути спотвореними в силу різних причин.
Крім того, WACCне враховує різницю в ризиках різних інвестицій. Якщо вибирати ставку дисконтування за таких умов, середньозважену вартість капіталу можна розглядати як мінімально допустиме значення величини альтернативних витрат, збільшуючи необхідну норму дохідності залежно від характеру капіталовкладень і ризику. Якщо масштаб інвестицій настільки великий, що суттєво змінює структуру фінансових джерел компанії, то цей метод не рекомендується для визначення ставки дисконту. Проте незважаючи на певні недоліки, цей метод вважається найбільш об'єктивним [7].
Існують також інші альтернативні підходи до розрахунку ставки дисконтування, наприклад за допомогою теорії арбітражного ціноутворення чи методу дивідендного росту, проте вони досить складні і рідко застосовуються на практиці.
Отже, вибір коректного коефіцієнта дисконтування повинен базуватися на основних теоретичних підходах до його визначення, при цьому ставка дисконту має включати мінімально гарантований рівень дохідності, що не залежить від виду вкладення, темп інфляції і коефіцієнт, що враховує міру ризику конкретного типу інвестування. І розрахунок ставки буде достовірнішим, якщо буде враховуватися одночасний вплив усіх трьох факторів. Потрібно обрати найбільш прийнятний метод розрахунку відповідно до того середовища, в якому планується здійснити інвестиційний проект, і відповідно скорегувати його таким чином, щоб він максимально враховував усі його умови та особливості.
Правильний вибір ставки дисконтування є надзвичайно важливим, адже застосування більш низької ставки може завищити дисконтовану вартість майбутніх грошових надходжень, в результаті чого інвестори можуть вибрати неефективний проект і понести збитки. Відповідно застосування занадто високої ставки може призвести до втрат через втрачену можливість отримання доходу. Через це необхідно ретельно обґрунтовувати ставку дисконтування і саме цим потрібно серйозно займатися в Україні, адже методи інвестиційного аналізу почали стрімко поширюватися в нашій країні, тому необхідно розробляти власні методики розрахунку ставки дисконтування, що будуть адаптованими до українських умов.
На наш погляд, враховуючи реалії української економіки та умови інвестування в нашій країні, для розробки власних методик вибору ставки дисконтування при оцінці інвестиційних проектів потрібно враховувати переваги та недоліки кожного з сучасних методів, що широко застосовуються в інших країнах, і на основі них виробити найбільш ефективну методику, що враховуватиме особливості розвитку нашої країни. На нашу думку, досить перспективним може бути застосування методу кумулятивної побудови, адже він, у порівнянні з іншими, найкраще враховує всю сукупність ризиків, пов'язаних з тим чи іншим інвестиційним проектом, і таким чином може дати більш достовірне значення ставки дисконтування.
інвестиційний проект дисконтування
Список літератури
1. Бланк И.А. Инвестиционный менеджмент. - К.: Зльга-Н, Ника-Центр.-2001. -536 с.
2. Бодня Д.Н. Разработкаэкспертной системи оценкиэффективностиинвестиционныхпроектов по критерию ставки дисконтирования.// http
://
masters
.
donntu
.
edu
.
ua
/
publ
2004/
kita
/
kita
_
bodnya
.
pdf
.
3. Бригхзм Ю., Зрхардт М. Финансовьш менеджмент. 10-е изд. / Пер. с англ. под ред. к. з. н. Н. А. Дорофеева. - Спб.:Питер. - 2007. - 960с.
4. Горохов М.Ю., Малев В.В. Бизнес-планирование и инвестиционныйанализ. -М.: Информационно-издательскийдомФилинь. - 1998. - 670с.
5. Липсиц И.В., Коссов В.В. Инвестиционный проект: методыподготовки и анализа. - М.: Издательство БЕК. - 1999. - 560с.
6. Крыканова О. Выбор ставки дисконтирования при расчетестоимостиинвестиционногопроекта. // "Финансоваягазета".- 2006. -№ 42 .
7. Мамаева З.М. Выбор ставки дисконтирования при оценкеинвестиционныхпроектов // http
://
www
.
unn
.
ru
/
pages
/
vestnikijournals
.
8. Хобта В.М. Управлениеинвестициями: механизм, принципи, методи. - Д., 1996.-235с.
9. Шарп У., Александер Г., Бэйли Д.. Инвестиции. - М.: Инфра-М. - 1997. -1027с.
|