|
Исходные данные
Наибольший диаметр обрабатываемой детали, [мм] 
Наименьший диаметр обрабатываемой детали, [мм] 
Длина первого перехода, [мм] 
Длина второго перехода, [мм] 
Скорость резания первого перехода, [м/мин] 
Скорость резания второго перехода, [м/мин] 
Скорость резания третьего перехода, [м/мин] 
Скорость резания четвертого перехода, [м/мин] 
Скорость резания пятого перехода, [м/мин] 
Усилие резания первого перехода, [Н] 
Усилие резания второго перехода, [Н] 
Скорость резания третьего перехода, [м/мин] 
Скорость резания четвертого перехода, [м/мин] 
Скорость резания пятого перехода, [м/мин] 
Передаточное число 1 коробки скоростей 
Передаточное число 2 коробки скоростей 
Момент инерции коробки скоростей, [ ] 
Тип электродвигателя: АД (асинхронный двигатель):
Способ торможения: ДТ (динамическое торможение):

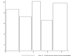
Статическая нагрузочная диаграмма электропривода
Определим мощности резания для каждого перехода:
,
где i =1..5 — номер перехода;
FZi
— сила резания для каждого перехода;
Vi
— скорость резания для каждого перехода.

Максимальная мощность резания
=8.48 кВт
Коэффициент загрузки:
;

КПД для каждого перехода:
;





Мощность на валу двигателя для каждого перехода:
;





Мощность потерь в станке при холостом ходе:
;

Частоты вращения шпинделя для каждого перехода:
,
где d — диаметр обрабатываемой детали (при отрезке, подрезке принимается наибольшим), мм.





Машинное (рабочее) время для каждого перехода:
,
где l — длина перехода, мм.
Определим длины переходов:

Определим подачу на переходах (принимается самостоятельно [1..6] мм):
S1 := 1;
S2 := 2;
S3 := 4;
S4 := 4;
S5 := 5;
Определим машинное (рабочее) время для каждого перехода:





Время паузы при работе станка tпо
(время на установку детали, промер при точении, снятие детали, управление станком) принимаем равным 0,6 мин.
Время паузы равномерно распределяется между рабочими операциями:
;

Таким образом, статическая нагрузочная диаграмма будет состоять из следующих участков: технологическая пауза ( ), рабочий участок ( ), технологическая пауза ( ), рабочий участок ( ),технологическая пауза ( ), рабочий участок ( ),технологическая пауза ( ), рабочий участок ( ),технологическая пауза ( ), рабочий участок ( ), технологическая пауза ( ).
Забиваем Сайты В ТОП КУВАЛДОЙ - Уникальные возможности от SeoHammer
Каждая ссылка анализируется по трем пакетам оценки: SEO, Трафик и SMM.
SeoHammer делает продвижение сайта прозрачным и простым занятием.
Ссылки, вечные ссылки, статьи, упоминания, пресс-релизы - используйте по максимуму потенциал SeoHammer для продвижения вашего сайта.
Что умеет делать SeoHammer
— Продвижение в один клик, интеллектуальный подбор запросов, покупка самых лучших ссылок с высокой степенью качества у лучших бирж ссылок.
— Регулярная проверка качества ссылок по более чем 100 показателям и ежедневный пересчет показателей качества проекта.
— Все известные форматы ссылок: арендные ссылки, вечные ссылки, публикации (упоминания, мнения, отзывы, статьи, пресс-релизы).
— SeoHammer покажет, где рост или падение, а также запросы, на которые нужно обратить внимание.
SeoHammer еще предоставляет технологию Буст, она ускоряет продвижение в десятки раз,
а первые результаты появляются уже в течение первых 7 дней.
Зарегистрироваться и Начать продвижение
Время всего цикла:

Статическая нагрузочная диаграмма приведена на рисунке 1.1.

Рисунок 1.1 — Статическая нагрузочная диаграмма
электропривод загрузка мощность вал
Предварительный выбор электродвигателя по мощности и скорости
Из статической нагрузочной диаграммы определим среднеквадратичную мощность:
;

Условие предварительного выбора двигателя по мощности:

Предварительно выбираем двигатель 4A132M2У3 с параметрами:
Номинальная мощность, [кВт]: Pn := 11;
Номинальное напряжение, [В]: Un := 380;
Частота питающего напряжения, [Гц]: f1 := 50;
Синхронная частота, [мин^(-1)]: nc := 3000;
Номинальная (асинхронная) частота, [мин^(-1)]: nn := 2900;
Ток на роторе, [А]: In :=21.20;
Момент инерции, [кг*м^2]: Jdv := 0.023;
Коэффициент сдвига фаз: cosfi := 0.9;
КПД двигателя: nu_dv := 0.88;
Коэффициент перегрузки двигателя (Mmax / Mном): Kp := 2.8;
Номинальное скольжение: Sn := 0.023;
Масса двигателя, [кг]: m_dv := 93;
Проверим выбранный двигатель по мощности:
,
где nн
— номинальная частота вращения вала двигателя;
— коэффициент ухудшения теплоотдачи на i-м переходе.
,
где — коэффициент ухудшения теплоотдачи при неподвижном якоре.






Условие выполняется, значит двигатель выбран правильно.
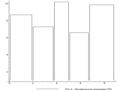
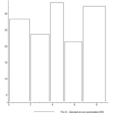
Динамическая нагрузочная диаграмма электропривода
При построении динамической нагрузочной диаграммы необходимо учитывать, что вращающий момент и скорость на валу двигателя мгновенно изменится не могут. Время переходного процесса изменения скорости от до в начале и конце каждого перехода:
,
где — угловая скорость вращения вала двигателя в начале переходного процесса, с-1
;
,
где — скорость идеального холостого хода.
,
где — номинальная скорость двигателя, с-1
;
;
.
UH
— номинальное напряжение, В;
IН
— номинальный ток, А;
;
.
rЯ
— сопротивление якоря, Ом.
.
.
— угловая скорость вращения вала двигателя в конце переходного процесса, с-1
;
;





— вращающий момент двигателя в начале переходного процесса, Н·м;
;
=3.24 Н·м
— вращающий момент двигателя в конце переходного процесса, Н·м;
;





J — приведенный к валу двигателя момент инерции, кг·м2
.
,
где KJ
— коэффициент, учитывающий моменты инерции масс деталей, вращающихся медленнее, чем вал двигателя: для привода с механическим регулированием скорости KJ
=1,3;
Jд
— момент инерции ротора двигателя по паспортным данным;
Jм
=0.0069
Jд
=0,023 кг·м2
.






Время технологических пауз с учетом времени переходных процессов:


Динамические нагрузочные диаграммы приведены на рисунках 1.3, 1.4 и 1.5.
Сервис онлайн-записи на собственном Telegram-боте
Попробуйте сервис онлайн-записи VisitTime на основе вашего собственного Telegram-бота:
— Разгрузит мастера, специалиста или компанию;
— Позволит гибко управлять расписанием и загрузкой;
— Разошлет оповещения о новых услугах или акциях;
— Позволит принять оплату на карту/кошелек/счет;
— Позволит записываться на групповые и персональные посещения;
— Поможет получить от клиента отзывы о визите к вам;
— Включает в себя сервис чаевых.
Для новых пользователей первый месяц бесплатно.
Зарегистрироваться в сервисе

Рисунок 1.3 — Динамическая нагрузочная диаграмма (мощности)

Рисунок 1.4 — Динамическая нагрузочная диаграмма (моменты)

Рисунок 1.5 — Динамическая нагрузочная диаграмма (скорости)
Эквивалентную мощность при электрическом способе регулирования скорости найдем как
,
где ,
.
— время переходного процесса при максимальном перепаде скоростей;
,
где — пусковой момент;
=36,22 ( )


.

— средняя мощность потерь в электродвигателе за время переходного процесса для каждого перехода, Вт;

где — изменение энергии потерь в двигателе;
















Используя полученные значения, рассчитаем эквивалентную мощность:

Так как выполняется условие , то двигатель не будет нагреваться.
|