Московский Энергетический Институт
(Технический Университет)
Реферат по курсу «Биофизика»
на тему: «Принципы томографии»
Выполнила: А. О.
Группа: ЭР-16-07
Преподаватель:
Лобов Г. Д.
Москва, 2010 г.
Предисловие
За последние годы метод магнитно-резонансной томографии (МРТ) стал популярным методом формирования послойных изображений внутренней структуры органов. Это не случайно; метод МРТ прошел стремительный поэтапный цикл развития, начиная со дня открытия. Сегодня почти каждая больница или клиника для диагностики патологии имеет один или несколько МР сканеров, позволяющих получать более точные и четкие изображения внутренних органов. В настоящее время метод продолжает активно развиваться.
В сочетании с превосходным контрастным разрешением изображения, МРТ безопасна для человека, в пределах разумного, за счет использования радиоволн и магнитного поля, в отличие от рентгеновских и КТ исследований, применяющих рентгеновское излучение.
По мере распространения МРТ повышается потребность в более квалифицированном персонале. С разработкой каждого нового программного обеспечения управление МР сканером упрощается, но необходимость надлежащего понимания принципов работы МРТ остается. В МРТ используются такие совокупности параметров, как время повторения, время эхо, угол переворота, фазовое кодирование и др. Понимание этих параметров важно для получения качественных МР изображений.
Содержание
томограф ядерный магнитный резонанс
Предисловие
Из истории МРТ
Почему МРТ?
Исследование МР томографии и устройство МР томографа.
Физические основы явления ЯМРЭнергетические уровниПереходы
Диаграммы энергетических уровней
Стационарный МР метод
Статистика Больцмана
Спиновые пакеты
T1
-процессы
T2
-процессы
Вращающаяся система координат
Импульсные магнитные поля
Спиновая релаксация
Уравнения Блоха
Сбор данных
Вычисление и вывод на экран
Аппаратное обеспечение
Типы магнитов
РЧ катушки
Заключение
Список литературы
Из истории МРТ
История МРТ начинается приблизительно в 1946 году, когда Феликс Блох
открыл новые свойства атомного ядра, за что ему была присуждена Нобелевская премия. Он установил, что ядро ведет себя подобно магниту, а заряженная частица, такая как протон, вращающаяся вокруг собственной оси, имеет магнитное поле, известное как магнитный момент ядра. Открытие было сведено им в уравнение, названное уравнением Блоха. Теоретические исследования были подтверждены экспериментально в начале 1950-х годов. В 1960 году были разработаны спектрометры ядерно-магнитного резонанса для аналитических целей. На протяжении 1960 и 1970 годов ЯМР спектрометры широко использовались в академических и индустриальных исследованиях. Спектрометрия используется для анализа молекулярного строения вещества, основанного на его ЯМР спектре.
Забиваем Сайты В ТОП КУВАЛДОЙ - Уникальные возможности от SeoHammer
Каждая ссылка анализируется по трем пакетам оценки: SEO, Трафик и SMM.
SeoHammer делает продвижение сайта прозрачным и простым занятием.
Ссылки, вечные ссылки, статьи, упоминания, пресс-релизы - используйте по максимуму потенциал SeoHammer для продвижения вашего сайта.
Что умеет делать SeoHammer
— Продвижение в один клик, интеллектуальный подбор запросов, покупка самых лучших ссылок с высокой степенью качества у лучших бирж ссылок.
— Регулярная проверка качества ссылок по более чем 100 показателям и ежедневный пересчет показателей качества проекта.
— Все известные форматы ссылок: арендные ссылки, вечные ссылки, публикации (упоминания, мнения, отзывы, статьи, пресс-релизы).
— SeoHammer покажет, где рост или падение, а также запросы, на которые нужно обратить внимание.
SeoHammer еще предоставляет технологию Буст, она ускоряет продвижение в десятки раз,
а первые результаты появляются уже в течение первых 7 дней.
Зарегистрироваться и Начать продвижение
В конце 1960 годов Раймонд Дамадиан
обнаружил, что злокачественная ткань отличается от нормальной ЯМР параметрами. Он предположил, что на основании этих различий можно характеризовать ткани. Опираясь на это открытие, в 1974 году он получил первое ЯМР изображение опухоли у крысы. В 1977 году Дамадиан и его помощники сконструировали первый сверхпроводящий ЯМР сканер и получили первое изображение тела человека, сканирование которого заняло почти 5 часов.
Одновременно Пол Лаутербур
проводил подобные исследования в этой же области. Вопрос о том, кто же является родоначальником МРТ спорный, хотя, следует признать, что оба ученых внесли свой вклад.
Годом основания магнитно-резонансной томографии принято считать 1973, когда профессор химии Пол Лотербур опубликовал в журнале Nature статью «Создание изображения с помощью индуцированного локального взаимодействия; примеры на основе магнитного резонанса». Позже Питер Мэнсфилд усовершенствовал математические алгоритмы получения изображения.
Впоследствии в начале 1980 годов почти каждый производитель оборудования для получения медицинских изображений разрабатывал и производил МР сканеры. За изобретение метода МРТ в 2003 Питер Мэнсфилд
и Пол Лотербур
получили Нобелевскую премию в области медицины. Томография позволяет визуализировать с высоким качеством головной, спинной мозг и другие внутренние органы. Современные методики МРТ делают возможным неинвазивно (без вмешательства) исследовать функцию органов — измерять скорость кровотока, тока спинномозговой жидкости, определять уровень диффузии в тканях, видеть активацию коры головного мозга при функционировании органов, за которые отвечает данный участок коры (функциональная МРТ).
Почему МРТ?
Изображение тела пациента, полученное с помощью рентгеновского излучения, малоинформативно, так как обладает низким общим контрастным разрешением. Чтобы увеличить контраст изображения, можно менять контраст среды, применяя контрастные вещества на основе бария или йода. С помощью КТ сканеров можно получить изображения с гораздо большим контрастом для обнаружения поражений мягких тканей.
Сервис онлайн-записи на собственном Telegram-боте
Попробуйте сервис онлайн-записи VisitTime на основе вашего собственного Telegram-бота:
— Разгрузит мастера, специалиста или компанию;
— Позволит гибко управлять расписанием и загрузкой;
— Разошлет оповещения о новых услугах или акциях;
— Позволит принять оплату на карту/кошелек/счет;
— Позволит записываться на групповые и персональные посещения;
— Поможет получить от клиента отзывы о визите к вам;
— Включает в себя сервис чаевых.
Для новых пользователей первый месяц бесплатно.
Зарегистрироваться в сервисе
В большинстве случаев МРТ предоставляет гораздо более широкие возможности для диагностики, чем компьютерная томография. Так, магнитно-резонансная томография позволяет получить изображения высокой точности структуры головного и спинного мозга .
Также магнитно-резонансная томография лучше, чем компьютерная диагностика, выполняет анализ состояния мягких тканей – мышц, связок, жировой ткани, и так далее. Заболевания и нарушения внутренних органов, суставов и костей также прекрасно определяются при МРТ диагностике, но вот состояние полых органов (легких, кишечника, желудка и т.д.) лучше проверять при помощи компьютерной томографии. Принцип МРТ основан на резонировании атомов водорода, а полости, таким образом, аппарату практически неподвластны. Однако при использовании специальной рентгеновской пленки пространственное разрешение рентгеновских изображений отличное. Это особенно полезно при исследовании структуры кости.
В этом случае пространственное разрешение МРТ уступает рентгену.
Вообще, рентген и КТ используются для визуализации структуры кости, тогда как МРТ полезна для обнаружения повреждений мягких тканей.
Исследование МР томографии и устройство МР томографа
Прежде всего, пациента помещают внутрь большого магнита, где имеется довольно сильное постоянное (статическое) магнитное поле, ориентированное в большинстве аппаратов вдоль тела пациента. Под воздействием этого поля ядра атомов водорода в теле пациента, которые представляют собой маленькие магнитики, каждый со своим слабым магнитным полем, ориентируются определенным образом относительно сильного поля магнита. Добавляя слабое переменное магнитное поле к статическому магнитному полю, выбирают область, изображение к. надо получить.Затем пациента облучают радиоволнами, причем частоту радиоволн подстраивают таким образом, чтобы протоны в теле пациента могли поглотить часть энергии радиоволн и изменить ориентацию своих магнитных полей относительно направления статического магнитного поля. Сразу же после прекращения облучения пациента радиоволнами протоны станут возвращаться в свои первоначальные состояния, излучая полученную энергию, и это переизлучение будет вызывать появление электрического тока в приемных катушках томографа.Зарегистрированные токи являются МР сигналами, к. преобразуются компьютером и используются для построения (реконструкции) МРТ.Соответственно этапам исследования основными компонентами любого МР томографа являются:• магнит, создающий постоянное (статическое), так называемое внешнее,• магнитное поле, в которое помещают пациента• градиентные катушки, создающие слабое переменное магнитное поле в центральной части основного магнита, называемое градиентным, которое позволяет выбрать область исследования тела пациент• радиочастотные катушки - передающие, используемые для создания возбуждения в теле пациента, и приемные - для регистрации ответа возбужденных участков• компьютер, который управляет работой градиентной и радиочастотной катушек, регистрирует измеренные сигналы, обрабатывает их, записывает в свою память и использует для реконструкции МРТ.Всякое магнитное поле характеризуется индукцией магнитного поля, которую обозначают В
. ( [
B
]
= 1 Тл )В МРТ в зависимости от величины постоянного магнитного поля различают несколько типов томографов:• со сверхслабым полем 0,01 Тл - 0,1 Тл• со слабым полем 0,1 - 0,5 Тл• с средним полем 0,5 - 1.0 Тл• с сильным полем 1.0 - 2,0 Тл• со сверхсильным полем >2,0 Тл Физические основы явления ЯМР
Водород – не единственный элемент, который можно использовать для формирования МРТ изображений. Почти каждый элемент периодической таблицы имеет изотоп с ядерным спином, отличным от нуля. 
ЯМР может быть представлен только на тех изотопах, чья встречаемость в природе достаточна велика для обнаружения. Можно применять любой элемент, который имеет нечетное число частиц в ядре. Вот некоторые элементы, которые могут использоваться. Подходящие элементы для МРТ.
| Изотоп |
Обозначение |
Спиновое квантовое число |
Гиромагнитное отношение (MГц/T) |
| Водород |
1
H |
1/2 |
42.6 |
| Углерод |
13
C |
1/2 |
10.7 |
| Кислород |
17
O |
5/2 |
5.8 |
| Фтор |
19
F |
1/2 |
40.0 |
| Натрий |
23
Na |
3/2 |
11.3 |
| Магний |
25
Mg |
5/2 |
2.6 |
| Фосфор |
31
P |
1/2 |
17.2 |
| Сера |
33
S |
3/2 |
3.3 |
| Железо |
57
Fe |
1/2 |
1.4 |
Энергетические уровни
 Для понимания того, как частицы со спином ведут себя в магнитном поле, представим протон. Этот протон обладает свойством, называемым спином. Представим, что спин этого протона, является вектором магнитного момента, который заставляет протон вести себя как очень маленький магнит с северным и южным полюсами.
Когда протон помещен во внешнее магнитное поле, вектор спина располагается как магнит, по отношению ко внешнему полю. Состояние, когда полюса расположены N-S-N-S, является низкоэнергетическим
, а N-N-S-S - высокоэнергетическим.
Переходы
Частица может подвергаться переходу между двумя энергетическими состояниями, поглощая фотон. Частица на нижнем энергетическом уровне поглощает фотон и оказывается на верхнем энергетическом уровне. Энергия данного фотона должна точно соответствовать разнице между этими двумя состояниями. Энергия протона, Е, связана с его частотой, , через постоянную Планка (h = 6.626x10-34
Дж с).
E = h 
В ЯМР и МРТ величина называется резонансной или частотой Лармора.
Диаграммы энергетических уровней
Энергия двух состояний спина может быть представлена с помощью диаграммы энергетических уровней.
Известно, что = B и E = h , поэтому, для того, чтобы вызвать переход между двумя спиновыми состояниями, фотон должен обладать энергией
E = h B
Когда энергия фотона соответствует разнице между двумя состояниями спина, происходит поглощение энергии. В ЯМР экспериментах частота фотона соответствует радиочастотному (РЧ) диапазону. Для ядер водорода в ЯМР-спектроскопии, находится в пределах 60 и 800 MГц. В клинической МРТ, для отображения водорода, как правило находится между 15 и 80 MГц.
Стационарный МР метод
Самым простым ЯМР исследованием является стационарный МР (или свип-МР) метод. Существуют два пути проведения этого эксперимента. При первом, непрерывное РЧ облучение с постоянной частотой, исследует энергетические уровни, в то время как магнитное поле варьируется. Энергия этой частоты представлена синей линией на диаграмме энергетических уровней.
Стационарный метод может также быть проведен с постоянным магнитным полем, когда варьируется частота. Величина постоянного магнитного поля представлена положением вертикальной синей линией на диаграмме энергетических уровней.
Статистика Больцмана
Когда несколько спинов помещены в магнитное поле, каждый принимает одну из двух возможных ориентаций.
При комнатной температуре количество спинов на нижнем энергетическом уровне, N+
, незначительно превосходит количество на верхнем уровне N-
. Статистика Больцмана показывает, что
N-
/N+
= e-E/kT
.
Е - разность энергии между спиновыми состояниями,
k - постоянная Больцмана
(1.3805x10-23
Дж/К) и Т - абсолютная температура.
При уменьшении температуры уменьшается отношение N-
/N+
. При увеличении температуры отношение увеличивается.
Сигнал в ЯМР-спектроскопии получается из разности между поглощенной энергией спинами, которые подверглись переходу с более низко энергетического уровня на более высокий и энергией, испускаемой спинами, которые одновременно перешли с более высокого энергетического уровня на более низкий. Сигнал пропорционален разности в заселенностях уровней. ЯМР является достаточно чувствительной спектроскопией, поскольку может различать такие небольшие различия в заселенностях. Резонанс или энергетический обмен между спинами и спектрометром на определенной частоте придают ЯМР такую чувствительность.
Спиновые пакеты
Весьма обременительным является описание ЯМР на микроскопическом уровне. Макроскопическая картина более удобна. Первым шагом к созданию макроскопической картины определим спиновый пакет. Спиновый пакет - это группа спинов испытывающих на себе одну и ту же силу магнитного поля. В этом примере, спины внутри каждой секции решетки представляют собой спиновый пакет. В любой момент времени магнитное поле, соответствующее спинам в каждом спиновом пакете может быть представлено вектором намагниченности.

    
  
    

Величина каждого вектора пропорциональна (N+
- N-
).
Сумма всех векторов намагниченности всех спиновых пакетов является суммарной (общей) намагниченностью. Для описания импульсного ЯМР необходимо пользоваться термином суммарной намагниченности.



Для преобразования в общепринятую ЯМР систему координат, внешнее магнитное поле и вектор общей намагниченности направляются вдоль оси Z.
T1
-процессы
В состоянии равновесия, вектор суммарной намагниченности параллелен направлению примененного магнитного поля Bo
и называется равновесной намагниченностью Mo
. В этом состоянии, Z-составляющая намагниченности MZ
равна Mo
. Еще MZ
называется продольной намагниченностью. В данном случае, поперечной (MX
или MY
) намагниченности нет. 
Суммарную намагниченность можно изменить, подвергнув ядерный спин воздействию энергией частоты равной разности энергии между спиновыми состояниями. Если в систему поступило достаточно энергии, можно насытить спиновую систему и сделать MZ
=0.
Временная константа, описывающая, как MZ
возвращается к равновесному значению, называется временем спин-решеточной релаксации (T1
). Это явление описывается уравнением, являющимся функцией от времени t, которое после преобразования имеет вид:
Mz
= Mo
( 1 - e-t/T1
)
поэтому T1
определяется как время, необходимое для того, чтобы изменить Z-составляющую намагниченности коэффициентом е.
Если суммарная намагниченность стала направлена вдоль отрицательного направления оси Z, она постепенно вернется в состояние своего равновесия вдоль положительного направления оси Z, со скоростью, определяемой T1
. Это явление описывается уравнением, являющимся функцией от времени t, которое после преобразования имеет вид:
Mz
= Mo
( 1 - 2e-t/T1
)
Время спин-решеточной релаксации (T1
) - это время необходимое для уменьшения разности между продольной намагниченностью (MZ
) и ее равновесным значением с коэффициентом е.
Если суммарная намагниченность расположена в плоскости XY , она будет вращаться вокруг оси Z с частотой, равной частоте фотона, который вызывает переход между двумя энергетическими уровнями спина. Эта частота называется частотой Лармора. 
T2
-процессы
В дополнение к вращению вектор суммарной намагниченности начинает сдвигаться по фазе (расфазировываться) из-за того, что каждый спиновый пакет испытывает магнитное поле, немного отличающееся от магнитного поля, испытываемого другими пакетами, и вращается со своей собственной частотой Лармора. Чем больше проходит времени, тем больше фазовая разница. В данном случае, вектор суммарной намагниченности изначально направлен вдоль положительного направления оси Y. Для этого примера и других примеров расфазировок представим себе этот вектор, как несколько более тонких перекрывающихся векторов от отдельных спиновых пакетов.
Временная константа, описывающая поведение поперечной намагниченности, MXY
, называется спин-спиновым временем релаксации, T2
.

MXY
=MXYo
e-
t
/
T
2
T2
всегда меньше чем T1
. Суммарная намагниченность в плоскости XY стремится к нулю, и затем продольная намагниченность возрастает до тех пор пока Mo
не будет вдоль Z.
Любая поперечная намагниченность ведет себя таким же образом. Поперечный компонент вращается вокруг направления намагниченности и расфазировывается. Скорость возвращения продольной намагниченности определяется T1
.
Подводя итоги, время спин-спиновой релаксации, T2
, это время необходимое для уменьшения поперечной намагниченности с коэффициентом е. До этого, T2
-и T1
-процессы для простоты рассматривались отдельно. Например, перед возрастанием вдоль оси Z, вектора намагниченности полностью заполняли плоскость XY . В действительности же, оба процесса имеют место одновременно, лишь с тем ограничением, что T2
меньше или равно T1
.
Два фактора приводящие к уменьшению поперечной намагниченности: 1) молекулярные взаимодействия (приводят к чистому T2
молекулярному эффекту) 2) изменения в Bo
(приводят эффекту неоднородности T2
). Сочетание этих факторов приводит к уменьшению поперечной намагниченности. Объединенная временная постоянная носит название T2
со звездочкой и обозначается символом T2
*. Зависимость T2
от молекулярных процессов и от неоднородностей магнитного поля имеет следующий вид:
1/T2
* = 1/T2
+ 1/T2inhomo
.
Вращающаяся система координат
Мы только что увидели поведение спинов в лабораторной системе координат. Удобнее было бы использовать вращающуюся систему координат, которая вращалась бы вокруг оси Z с частотой Лармора. Мы будем отличать эту систему координат от лабораторной системы по штрихам у обозначений осей X и Y, X'Y'.
Вектор намагниченности, вращающейся с частотой Лармора в лабораторной системе координат, окажется неподвижным, в системе, вращающейся вокруг оси Z. Во вращающейся системе релаксация намагниченности MZ
в ее равновесное значение будет выглядеть также, как выглядело в лабораторной системе.
Вектор поперечной намагниченности, вращающийся вокруг оси Z с той же скоростью, что и вращающаяся система, окажется неподвижным в ней. Вектор намагниченности, двигающийся быстрее, чем вращающаяся система, будет вращаться по часовой стрелке вокруг оси Z. Вектор намагниченности, двигающийся медленнее, чем вращающаяся система, будет вращаться против часовой стрелки вокруг оси Z. В исследуемом объекте присутствуют спиновые пакеты, которые двигаются как быстрее, так и медленнее, чем вращающаяся система.
Импульсные магнитные поля
Катушка провода, помещенная вокруг оси X, при пропускании по ней постоянного электрического тока, создаст магнитное поле вдоль оси X.

Переменный ток создаст магнитное поле, которое меняется по направлению, обратному стрелке.
В системе координат, вращающейся вокруг оси Z с частотой равной частоте того переменного тока, магнитное поле вдоль оси X' будет постоянным, как в случае с постоянным током в лабораторной системе.

Это то же самое, что движение катушки вокруг вращающейся системы с частотой Лармора. В магнитном резонансе, магнитное поле, создаваемое катушкой при пропускании по ней переменного тока частоты Лармора, называется магнитным полем B1
. Когда переменный ток в катушке включается и выключается, он создает импульсное магнитное поле B1
вдоль оси X'.
Спины в ответ на этот импульс заставляют реагируют так, что вектор суммарной намагниченности начинает вращаться вокруг направления примененного поля B1
. Угол вращения зависит от продолжительности наличия поля и его величины B1
.
= 2 B1
.
В следующих примерах будет предполагаться, что значительно больше, чем T1
и T2
.
90o
-импульс - это такой импульс, который вращает вектор намагниченности на 90o
по часовой стрелке вокруг оси X'. 90o
-импульс перемещает равновесную намагниченность на ось Y'. В лабораторной системе, равновесная намагниченность по спирали двигается вокруг оси Z на плоскость XY.
180o
-импульс в 180o
будет вращать вектор намагниченности на 180 градусов. Этот импульс перемещает равновесную намагниченность вдоль отрицательного направления оси Z.
Суммарная намагниченность любого направления будет подчиняться уравнению вращения. Например, вектор суммарной намагниченности направленный вдоль оси Y', после воздействия 180o
-импульсом B1
вдоль оси X' станет направлен вдоль отрицательного направления оси Y'.
Вектор суммарной намагниченности между осями X' и Y' останется между ними после воздействия 180o
-импульса B1
вдоль оси X'.
Матрица вращения, может быть также использована для вычисления результата вращения. - угол вращения вокруг оси X', [X', Y', Z
] - начальное положение вектора и [X", Y", Z"
] - положение вектора после вращения.
Спиновая релаксация
Движения в растворе, вызванные изменяющимися во времени магнитными полями, приводят к спиновой релаксации.
Поля, изменяемые во времени с частотой Лармора, вызывают переходы между спиновыми состояниями и ,следовательно, изменяют MZ
. Эта диаграмма показывает поле для зеленого атома водорода в молекуле воды во время его вращения во внешнем поле Bo
и магнитном поле синего атома водорода.

  


Заметим, что поле, испытываемое зеленым атомом водорода, представляет собой синусоиду.
В исследуемом объекте из молекул, существует распределение частот вращения. На T1
влияют только частоты, которые равны частоте Лармора. Так как частота Лармора пропорциональна Bo
, то T1
будет меняться как функция от напряженности магнитного поля. В общем, T1
обратно пропорционально числу молекулярных движений с частотой Лармора.
Распределение частот вращения зависит от температуры и вязкости раствора. Поэтому T1
будет изменяться как функция от температуры.
На частоте Лармора, обозначаемой o
, T1
(280 K ) <T1
(340 K). Изменения температуры человеческого тела недостаточны для того, чтобы оказать значимое влияние на T1
. Плотность же значительно отличается у разных тканей и оказывает влияние на T1
, как это показано на следующем графике зависимости молекулярных движений от плотности объекта исследования.
Флуктуирующие поля, которые возмущают энергетические уровни спиновых состояний, вызывают расфазировку поперечной намагниченности. Это можно увидеть на графике Bo
, испытываемого красными атомами водорода на молекуле воды.

 
Число молекулярных движений с частотой меньшей или равной частоте Лармора, обратно пропорционально T2
.
В общем, из-за уменьшения в случайных движениях молекул компонентов частот, влияющих на релаксацию, с увеличением Bo
время релаксации растет.
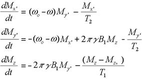
Уравнения Блоха
Уравнениями Блоха является система сдвоенных дифференциальных уравнений, которая используется для описания поведения вектора намагниченности в любых условиях.

Правильное интегрирование, уравнения Блоха дает X', Y', и Z-составляющие намагниченности, как функции от времени.
Сбор данных
Во время процессов релаксации протоны излучают избыточную энергию, полученную от 90º РЧ импульса, в виде радиоволн. Для создания изображения необходимо собрать эти волны прежде, чем они исчезнут в пространстве.
Это можно осуществить с помощью приемной катушки
. Приемная катушка может быть как передающей
, так и только приемной.
Интересный и чрезвычайно важный факт позиционирования приемной катушки.Приемная катушка должна быть помещена под определенными углами к главному магнитному полю (B0
). Неправильное расположение приведет к формированию изображения без сигнала. И вот почему: если мы откроем катушку, мы по существу ничего не увидим, кроме петли медного провода. При прохождении магнитного поля через петлю, в ней индуцируется ток. петлю, в ней индуцируется ток. B0
- очень сильное магнитное поле; намного сильнее, чем РЧ сигнал, который мы хотим получить. Это означает, что про помещении катушки определенным образом, B0
, проходя сквозь катушку, индуцирует огромный ток, а небольшой ток, вызванный РЧ волной, подавляется. На изображении мы увидим только много зерен (называемых шумом).
Поэтому мы должны убедиться, что приемная катушка расположена таким образом, что B0
не проходит сквозь нее. Единственный способ выполнить это требование заключается в помещении приемной катушки под правильными углами к B0
как показано на рисунке. Расположение катушки под правильными углами к B0
преследует цель получение сигналов только от тех процессов, которые происходят под определенными углами к B0
. Это не что иное, как T2 релаксация. T2 релаксация – затухающий процесс, означающий высокую фазовую когерентность в начале процесса, но быстро уменьшающуюся до полного исчезновения когерентности в конце.
Следовательно, полученный сигнал в начале сильный, но быстро ослабевает за счет T2 релаксации.
Сигнал называется спадом магнитной индукции (FID - Free Induction Decay). FID– сигнал, полученный в отсутствии магнитного поля. При действии магнитного поля спад T2 происходит быстрее за счет локальной (микроскопической) неоднородности магнитного поля и химического сдвига, известные как T2* эффекты. Полученный сигнал гораздо короче T2. Фактический сигнал ослабевает очень быстро; за ± 40 миллисекунд он уменьшается почти до нуля.Вычисление и вывод на экран
Полученный сигнал поступает в компьютер и, через четверть секунды изображение появляется на экране. Рисунок иллюстрирует весь процесс графически.

Аппаратное обеспечение
МРТ сканеры очень разнообразны. Можно выбрать постоянный, резистивный, сверхпроводящий магнит, открытого или сквозного типа, с гелием или без него, с низкой или высокой напряженностью поля. Выбор магнита главным образом зависит от того, для чего планируется его использовать и сколько денег в распоряжении. Возможно использование высокопольных и низкопольных магнитов.
Первые МР-системы были низкопольными – их магниты имели силу поля 0,02-0,35 Тесла (Тл). Потом, стараясь получить более сильный сигнал, производители сделали крен в сторону высокопольных (1,0-1,5 Тл) систем. В первую половину 90-х годов ХХ века качество изображений более экономичных низко- и среднепольных систем удалось существенно улучшить и их доля в числе установленных приборов стала увеличиваться. Анализ развития МРТ показывает, что в западных странах МРТ достигала трети от числа установленных систем, а в России превышала 90%.
Однако, со второй половины 90-х годов ХХ века стало очевидным, что полный спектр возможностей МРТ (МР-ангиография, исследования сердца, быстрая томография, исследования скорости кровотока, спектроскопия) в наибольшей степени могут быть реализованы только на высокопольных системах. Поэтому, в западных странах большинство новых МР-систем вновь стали составлять томографы с высоким полем (более 90% рынка). В России также в последние годы было установлено значительное количество высокопольных МР-систем. Существенно, что растет популярность систем с полем в 3 Тл (более 10% от числа новых систем), хотя их преимущества в клинической практике перед системами в 1,5 Тл пока не доказаны. Достоинства 3-тесловых МРТ (более дорогих, чем модели с меньшим полем) при исследованиях органов тела (сердца, печени, почек и других органов) пока не очевидны.
Конструктивно 3-тесловые МР-системы по своим габаритам сейчас сопоставимы с 1-1,5 Тл аппаратами. Но достоинства этих приборов не определяются линейной функцией силы магнитного поля. На сегодняшний день стало очевидным, что 3-тесловые МРТ имеют определенные преимущества при исследованиях головного мозга, выполнении спектроскопии, функциональной МРТ, трактографии, МР-ангиографии церебральных сосудов и при некоторых других видах специальных исследований. По этой причине большинство западных университетских центров покупают более дорогие 3-тесловые МРТ как вторые или третьи системы, на которых выполняются различные научные исследования. Для целей клинической диагностики высокого уровня «флагманами» по-прежнему остаются 1,5-тесловые томографы.
Типы магнитов
Постоянные магниты.
Постоянный магнит состоит из материала, который намагничен таким образом, что магнитное поле не ослабевает (подобно магниту для заметок, который вы приклеиваете на холодильник). Напряженность поля обычно очень низкая и колеблется между 0.064T ~ 0.3T (единица напряженности магнитного поля – Тесла. 1 Тесла = 10000 Гаусс). Постоянные магниты имеют обычно открытую конструкцию, более удобную для пациента.
На рисунке представлен томограф Access от Toshiba с полем 0.064 Т.
Access был первым в мире МРТ сканером открытого типа.
ПРЕИМУЩЕСТВА
|
НЕДОСТАТКИ |
Низкое энергопотребление
Низкие эксплуатационные расходы
Маленькое поле неуверенного приема
Без криогена
|
Ограниченная напряженность поля (<0.3T)
Очень тяжелый
Нет быстрого охлаждения
Нет аварийного снижения магнитного поля
|
Резистивные магниты
Резистивные магниты – очень большие электромагниты, подобные тем, которые используются на автомобильных свалках для переноса корпусов. Магнитное поле порождается током, который течет по обмоткам проводов. Резистивные магниты существуют в двух вариантах: с воздушным и со стальным сердечниками. Напряженность поля может достигать 0.3 Т. Эти магниты выделяют много тепла, что требует водяного охлаждения. К тому же они потребляют большое количество электроэнергии, и в целях ее экономии их обычно выключают в перерывах между исследованиями. Их, как правило, открытая конструкция снижает проблему клаустрофобии.
Рисунок демонстрирует систему Airis (с воздушным сердечником) фирмы Hitachi с полем 0.3Т.
| ПРЕИМУЩЕСТВА |
НЕДОСТАТКИ |
Низкая стоимость
Легкий вес
Может быть отключен
|
Высокое энергопотребление
Ограниченная напряженность поля (<0.2T)
Требуется водяное охлаждение
Большое поле неуверенного приема
|
Сверхпроводящие магниты.
В настоящее время наиболее широко используются сверхпроводящие магниты. Магнитное поле порождается током, который течет по обмоткам проводов. Провод окружен хладагентом, таким как жидкий гелий, для уменьшения электрического сопротивления.
При температуре 4 Кельвина (-269°C) электрический провод “теряет” электрическое сопротивление. Однажды возбужденный в сверхпроводящем кольце ток позволяет поддерживать магнитное поле. Сверхпроводимость используется в системах с очень высокой напряженностью поля до 12 Т. Наиболее часто в клинической практике применяются системы с напряженностью поля до 1.5 Т. Большинство сверхпроводящих магнитов – магниты сквозного типа.
На рисунке представлена структура сверхпроводящего магнита. Вакуумный слой, окружающий кольцо, действует как термоизоляционная защита. Эта защита предотвращает слишком быстрое выкипание гелия.
Рисунок показывает несколько примеров магнитов сквозного типа разных производителей. 
| ПРЕИМУЩЕСТВА |
НЕДОСТАТКИ |
Высокая напряженность поля
Высокая однородность поля
Низкое энергопотребление
Высокое отношение сигнал/шум
Быстрое сканирование
|
Высокая стоимость
Высокие расходы на криогенное обеспечение
Акустический шум
Артефакты движения
Техническая сложность
|
В 1997 году фирма Toshiba представила первый в мире сверхпроводящий магнит открытого типа. В системе используется специальный металлический сплав, который проводит низкую температуру, необходимую для сверхпроводимости. Преимущество этого состоит в том, что система не нуждается в заправке гелия, поэтому резко сокращаются эксплуатационные расходы. Открытая конструкция уменьшает беспокойство и клаустрофобию пациента.

На рисунке представлена система OPART фирмы Toshiba с полем 0.35 T, которая совмещает открытую конструкцию с преимуществами, присущими сверхпроводящим магнитам.
Другим преимуществом открытой конструкции магнита является возможность проведения интервенционных процедур во время сканирования.

Рисунок иллюстрирует сверхпроводящую систему “двойного кольца” фирмы General Electric с полем 0.5 T. Хирург стоит между двумя полюсами магнита. Хотя такая конструкция максимально удобна для проведения интервенционных процедур за счет свободного доступа к пациенту, применение двух систем с полем 1.5 T значительно повышает стоимость установки.
РЧ катушки
РЧ катушки необходимы для передачи и приема радиочастотных волн, используемых в МР сканерах. РЧ катушки – один из наиболее важных компонентов, оказывающих влияние на качество изображения. Современные МРТ сканеры имеют ряд РЧ катушек, позволяющих получать изображения всех частей тела. Существует два типа РЧ катушек: объемные и поверхностные.
Объемные РЧ катушки.
Конструкция объемной катушки имеет седловидную форму, которая гарантирует однородность РЧ поля внутри катушки. Объект исследования помещается внутрь объемной катушки. Они используются для передачи и приема сигнала, хотя иногда катушки применяются только для приема сигнала.
| На рисункахпредставлены две объемные катушки. |
Катушка для головы
передающая / принимающая
|
Коленная катушка только принимающая сигнал |
 |
 |
Поверхностные катушки.
Из названия следует, что поверхностные катушки помещаются над областью исследования, такой как височно-нижнечелюстной сустав, орбита или плечо. Катушка состоит из отдельного или двойного кольца медного провода. Они имеют высокое отношение сигнал - шум (SNR) и обеспечивают формирование изображения с очень высоким разрешением. Недостатком таких катушек является быстрая потеря однородности сигнала по мере удаления от катушки. В случае круглой поверхностной катушки, глубина проникновения равняется приблизительно половине ее диаметра.
На рисунках представлено несколько примеров поверхностных катушек:
Квадратурные катушки.
Квадратурные катушки или катушки с круговой поляризацией могут быть седловидной формы или относиться к поверхностным катушкам. Общей чертой этих катушек является содержание не менее двух проводов, помещенных под определенными углами друг к другу. Преимущество этой конструкции состоит в том, что они формируют сигнал в √2 раз больший по сравнению с катушками с одним проводом. В настоящее время, большинство объемных катушек – квадратурные катушки. Представленные на рисунке ранее объемные катушки – квадратурные.
Катушки с фазовой решеткой.
Катушки с фазовой решеткой состоят из многочисленных поверхностных катушек. Поверхностные катушки обладают самым высоким отношением сигнал - шум, но имеют ограниченную область чувствительности. Путем объединения 4 или 6 поверхностных катушек можно создать катушку с большой областью чувствительности.
Квадратурная катушка
с решеткой для всего тела
|
Квадратурная катушка
с решеткой для позвоночника
|
 |
 |
Квадратурная катушка с решеткой для всего тела относится к объемным катушкам, тогда как катушка с решеткой для позвоночника – к поверхностному типу. Катушки с фазовой решеткой формируют сигнал почти в √2 раз больший по сравнению с квадратурными катушками. Современные системы МРТ поставляются с квадратурными катушками и катушками с фазовой решеткой.
Другие аппаратные средства
Для функционирования системы МРТ требуется большое количество аппаратных средств. Очень важную роль играет радиочастота цепь (РЧ), которая генерирует РЧ сигнал, зондирующий пациента, и принимает РЧ сигнал от пациента. Фактически, приемная катушка является частью РЧ цепи. Частотный диапазон, применяемый в МРТ – тот же самый, который используется для передач радио волн. Именно поэтому МРТ сканеры помещаются в клетку Фарадея
, чтобы предотвратить проникновение радиоволн в помещение сканера, вызывающих артефакты в МРТ изображениях. Кто-то однажды сказал: "МРТ – подобно просмотру телевизора с радио".
Кроме того, требуется процессор для обработки полученного сигнала и управления сложной операцией сканирования.
Градиентные катушки представляют собой набор проводов в магните, которые позволяют создавать дополнительные магнитные поля, в некотором отношении, накладывающиеся на главное магнитное поле B0
.
 Заключение
Основой прогресса современной лучевой диагностики (в том числе и МРТ) является развитие цифровых технологий, обеспечивающих возможность математической обработки изображений (например, создание многоплоскостных и трехмерных реконструкций), компьютерного моделирования хирургических вмешательств, получения функциональной информации (например, картирование коры головного мозга). Основное технологическое совершенствование современной МРТ состоит в постоянном увеличении скорости томографии, дальнейшей специализации обследований и развитии программ компьютерной обработки изображений.
В значительной части случаев МРТ используется как метод уточняющей диагностики у пациентов, ранее обследованных с помощью рентгенографии, УЗИ, КТ, сцинтиграфии. При этом МРТ обеспечила переход в лучевой диагностике от принципа “от простого к сложному” к принципу “наибольшей информативности”, заменив собой целый ряд ранее использовавшихся методик. Несмотря на высокую стоимость МР-обследования, присущие этому методу оптимальное соотношение стоимость/эффективность и высокая клиническая значимость – при правильно выбранных показаниях к исследованию – определяют продолжающееся бурное развитие и распространение МРТ.
Список литературы.
1. Эверт Блинк. Основы магнитно-резонансной томографии: Физика.
(можно скачать по адресу http://www.twirpx.com/file/84209/)
2. Хорнак Дж. П. Основы МРТ (1996-1999) http://www.cis.rit.edu/htbooks/mri/inside-r.htm
3. История МРТ. http://www.medsyst.ru/publications/mrt-history.html
|