Банк рефератов содержит более 364 тысяч рефератов, курсовых и дипломных работ, шпаргалок и докладов по различным дисциплинам: истории, психологии, экономике, менеджменту, философии, праву, экологии. А также изложения, сочинения по литературе, отчеты по практике, топики по английскому.
Реклама
Полнотекстовый поиск
Всего работ:
364139
Теги названий
Реклама
VisitTime.ru — сервис, который превращает запись в понятный и быстрый процесс.
📅 Вы создаёте расписание и правила приёма, а клиенты выбирают удобный слот онлайн, без ожидания и звонков.
🕒 В результате меньше путаницы, больше точных визитов и ровная загрузка на неделю вперёд.
💡 Подходит тем, кто оказывает услуги по времени: мастерам, студиям, кабинетам и небольшим командам.
Начать пользоваться сервисом



Разделы
Авиация и космонавтика (304)
Административное право (123)
Арбитражный процесс (23)
Архитектура (113)
Астрология (4)
Астрономия (4814)
Банковское дело (5227)
Безопасность жизнедеятельности (2616)
Биографии (3423)
Биология (4214)
Биология и химия (1518)
Биржевое дело (68)
Ботаника и сельское хоз-во (2836)
Бухгалтерский учет и аудит (8269)
Валютные отношения (50)
Ветеринария (50)
Военная кафедра (762)
ГДЗ (2)
География (5275)
Геодезия (30)
Геология (1222)
Геополитика (43)
Государство и право (20403)
Гражданское право и процесс (465)
Делопроизводство (19)
Деньги и кредит (108)
ЕГЭ (173)
Естествознание (96)
Журналистика (899)
ЗНО (54)
Зоология (34)
Издательское дело и полиграфия (476)
Инвестиции (106)
Иностранный язык (62791)
Информатика (3562)
Информатика, программирование (6444)
Исторические личности (2165)
История (21319)
История техники (766)
Кибернетика (64)
Коммуникации и связь (3145)
Компьютерные науки (60)
Косметология (17)
Краеведение и этнография (588)
Краткое содержание произведений (1000)
Криминалистика (106)
Криминология (48)
Криптология (3)
Кулинария (1167)
Культура и искусство (8485)
Культурология (537)
Литература : зарубежная (2044)
Литература и русский язык (11657)
Логика (532)
Логистика (21)
Маркетинг (7985)
Математика (3721)
Медицина, здоровье (10549)
Медицинские науки (88)
Международное публичное право (58)
Международное частное право (36)
Международные отношения (2257)
Менеджмент (12491)
Металлургия (91)
Москвоведение (797)
Музыка (1338)
Муниципальное право (24)
Налоги, налогообложение (214)
Наука и техника (1141)
Начертательная геометрия (3)
Оккультизм и уфология (8)
Остальные рефераты (21692)
Педагогика (7850)
Политология (3801)
Право (682)
Право, юриспруденция (2881)
Предпринимательство (475)
Прикладные науки (1)
Промышленность, производство (7100)
Психология (8692)
психология, педагогика (4121)
Радиоэлектроника (443)
Реклама (952)
Религия и мифология (2967)
Риторика (23)
Сексология (748)
Социология (4876)
Статистика (95)
Страхование (107)
Строительные науки (7)
Строительство (2004)
Схемотехника (15)
Таможенная система (663)
Теория государства и права (240)
Теория организации (39)
Теплотехника (25)
Технология (624)
Товароведение (16)
Транспорт (2652)
Трудовое право (136)
Туризм (90)
Уголовное право и процесс (406)
Управление (95)
Управленческие науки (24)
Физика (3462)
Физкультура и спорт (4482)
Философия (7216)
Финансовые науки (4592)
Финансы (5386)
Фотография (3)
Химия (2244)
Хозяйственное право (23)
Цифровые устройства (29)
Экологическое право (35)
Экология (4517)
Экономика (20644)
Экономико-математическое моделирование (666)
Экономическая география (119)
Экономическая теория (2573)
Этика (889)
Юриспруденция (288)
Языковедение (148)
Языкознание, филология (1140)

Курсовая работа: Факторы и резервы роста производительности труда на промышленном предприятии

Название: Факторы и резервы роста производительности труда на промышленном предприятии
Раздел: Рефераты по экономике
Тип: курсовая работа Добавлен 01:29:36 04 марта 2011 Похожие работы
Просмотров: 14446 Комментариев: 20 Оценило: 7 человек Средний балл: 4 Оценка: 4     Скачать

Введение

21 апреля 2009 года в Москве состоялась презентация результатов исследования московского офиса международной консалтинговой компании McKinsey & Company и McKinsey Global Institute (MGI) – «Эффективная Россия: производительность как фундамент роста».

По результатам исследования начавшийся в 2008 году мировой финансовый кризис вновь привлек внимание к российской экономике, поставив под сомнение устойчивость ее достижений последних лет. Экономический рост последних лет дался стране «достаточно легко» и был в значительной степени обеспечен загрузкой имевшихся свободных мощностей. Впрочем, эти источники экономического роста оказались практически исчерпаны еще до начала кризиса. Фундаментом дальнейшего экономического роста станет повышение производительности: страна должна научиться эффективнее распоряжаться своими трудовыми ресурсами и капиталом. Это наилучший путь к достижению устойчивого экономического роста и конкурентоспособности, полагают эксперты. В условиях экономического кризиса становится ясно, что задача повышения производительности – уже не желательное, а необходимое условие восстановления и сохранения экономического роста. Модель же, обеспечивавшая до 2008 года рост в российской экономике, исчерпала все ресурсы, ее поддерживающие. России нужна новая парадигма роста, основанная на высокой производительности, а не на благоприятной конъюнктуре сырьевого рынка, пишут авторы доклада.

Высокая производительность – основа устойчивого экономического роста. Однако на сегодняшний день производительность в России, несмотря на заметную положительную динамику последнего времени, по-прежнему низка: в среднем по проанализированным исследователями секторам она составляет лишь 26% от уровня производительности в США. Это отставание, по мнению аналитиков, объясняется рядом факторов, каждый из которых всесторонне анализируется в исследовании на конкретных примерах.

В результате исследования были выявлены основные причины низкой производительности в России:

1. Неэффективная организация труда.

2. Непрозрачное и избыточное регулирование.

3. Устаревшие мощности и методы производства.

4. Редкое применение комплексного подхода к планированию развития территорий.

5. Дефицит профессиональных навыков.

6. Неразвитость финансовой системы.

Сохраняющееся отставание в производительности от других стран в большей мере обусловлено отсутствием серьезных стимулов к ее повышению. Что обусловило актуальность изучения темы «Факторы и резервы роста производительности труда на промышленном предприятии».

Реклама

Для максимально полного раскрытия темы был определен следующий перечень задач:

1) рассмотреть сущность экономического понятия «производительность труда»;

2) рассмотреть и охарактеризовать факторы повышения производительности;

3) рассмотреть и охарактеризовать резервы роста производительности труда.

Раскрытие поставленных нами задач позволит выполнить главную цель написания данной работы.

Цель – самостоятельно изучить материалы по выявлению факторов и резервов роста производительности труда на промышленном предприятии и сделать основные выводы.


1. Сущность экономического понятия производительность труда

Производительность труда – весьма важный и емкий показатель в экономике. Классики экономики правы, что к экономии рабочего времени сводится всякая экономия. Производительность труда – один из важнейших показателей экономической эффективности. [7, С. 93]

Производительность труда это выработка продукции на одного работающего в единицу времени или затраты труда на производство единицы продукции. [15]

Производительность труда является частным показателем производительности в общем виде, соизмеряющим результаты деятельности с затратами живого труда. [6, С. 80]

Повышение производительности труда позволяет:

– снизить затраты на производство и реализацию продукции, если рост производительности труда опережает рост средней заработной;

– увеличить объем производства и реализации продукции при прочих равных условиях, а следовательно, обеспечить рост прибыли;

– повысить оплату труда работникам;

– повысить конкурентоспособность продукции предприятия. Для измерения производительности труда используются такие основные показатели, как выработка и трудоемкость. [11, С. 166]

Исходя из такого определения производительности труда, следуют и ее показатели и измерители. К важнейшим из них относятся следующие.

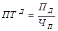
1. Выработка продукции в единицу времени одним работником:

(1.1.)

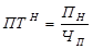
где: П – объем произведенной продукции (в натуральном, условно-натуральном и денежном выражениях), Ч – численность работающего персонала, чел. Если на предприятии промышленности производится однородная продукция (), то объем продукции и соответственно показатель производительности труда измеряются в натуральном выражении:

(1.2.)

Если на предприятии вырабатывается разнородная, но физически соизмеримая продукция (Пу-н), то объем продукции и соответственно выработка на одного работающего измеряются в условно-натуральном выражении (условные банки, машины, тонны):

Реклама

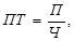
(1.3.)

Если же на предприятии промышленности в отрасли производится неоднородная и физически несоизмеримая продукция, то объем продукции и производительность труда измеряются в денежном выражении (товарная, условно-чистая, чистая):

(1.4.)

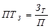
2. Трудоемкость продукции:

(1.5.)

где: – затраты труда в человеко-днях, человеко-часах.

Это общепринятые в целом в народном хозяйстве и промышленности показатели производительности труда. В отдельных отраслях промышленности используются специфические для данной отрасли показатели. Так, в сахарной промышленности уровень и динамику производительности труда более прямо и точно характеризует показатель затрат труда на 100 тонн переработанной свеклы, сахара-сырца. В машиностроении чаще используют показатель трудоемкости в человеко-часах.

Многочисленные факторы повышения производительности труда можно свести к двум – производительной силе труда (внешние, не зависящие от работника, факторы) и напряженности, интенсивности труда (внутренние, зависящие от работника факторы).

Многочисленные же резервы роста производительности труда в зависимости от сферы деятельности можно свести к межотраслевым, отраслевым и внутрихозяйственным (внутризаводским).

Пути повышения производительности труда будут также многочисленными и конкретными в каждой отрасли промышленности. Однако общими для них будут следующие.

1. Улучшение качества перерабатываемого сырья и обеспечение достаточного его объема для полной загрузки производственной мощности при наличии спроса на выпускаемый продукт. Улучшение качества сырья – повышение полезных веществ в нем и извлекаемости их при том же объеме сырья и востребованной численности работающих увеличит выход продукции, а значит повысит производительность труда.

2. Снижение затрат сырья и полезных веществ в нем на всех этапах добычи, выращивания, уборки, хранения, переработки, транспортировки. Увеличивая объем сырья и полезных веществ в нем, соответственно увеличивается и количество вырабатываемой продукции, а значит повышается производительность труда.

3. Механизация и автоматизация производственных процессов как основных, так и вспомогательных. Это прямо высвобождает численность, а значит повышает производительность труда.

4. Масштабное внедрение ресурсосберегающих, безотходных и малоотходных технологий. При этом растет объем выпускаемой продукции, следовательно и повышается производительность труда.

5. Использование трудосберегающей техники и технологии. Снижение трудозатрат обеспечивает рост производительности труда. Внедрение более производительного оборудования также повышает производительность труда.

6. Увеличение масштабов производства, концентрация производства. Производительность труда растет за счет условно-постоянной численности, то есть тех категорий работников, численность которых мало зависит от роста объема производства (руководящий персонал, рабочие, занятые на аппаратурных процессах, охрана и т.д.). С удвоением масштабов производства, как правило, в любой отрасли промышленности производительность труда возрастает в полтора раза.

7. Рост до оптимального уровня специализации, кооперирования и комбинирования производства.

8. Совершенствование организации управления, труда и производства.

9. Материальное и моральное стимулирование повышения производительности труда. Хотя сам рынок является универсальной стимулирующей системой, но в рамках отдельных отраслей, фирм и предприятий должны быть и свои стимулирующие системы с учетом конкретных условий их функционирования.

10. Внедрение научно-обоснованного нормирования труда и научной организации труда.

В каждой конкретной отрасли промышленности имеются свои конкретные факторы, резервы и пути роста производительности труда.

Они определяются спецификой отрасли, характером добываемого и перерабатываемого сырья, производимой готовой продукции, используемой организации производства, труда и управления, применяемой системы машин, аппаратов, технологии в целом и т.п. [5, С. 60–65]

На сегодняшний момент в России сложная экономическая ситуация создает дополнительные стимулы для решения проблемы низкой производительности: с одной стороны, низкая эффективность и потери, характерные для десятилетия быстрого роста, стали сегодня непозволительной роскошью, с другой – кризис дает возможность заложить основы долгосрочного устойчивого роста в будущем. Российское правительство уже реализовало ряд антикризисных мер, направленных на повышение ликвидности, однако целесообразно было бы также принять меры по стимулированию роста производительности в масштабах всей экономики.

Для повышения уровня производительности государству необходимо решить следующие задачи:

1. Стимулировать рост конкуренции путем устранения административных барьеров.

2. Внедрить комплексный подход к развитию территорий.

3. Реализовать программы поддержки мобильности трудовых ресурсов и социальной защиты.

4. Реализовать меры по поддержанию численности трудоспособного населения.

5. Повысить уровень развития финансовой системы.

6. Модернизировать систему профессионального образования и переподготовки. [13]

2. Факторы повышения производительности труда

При изучении вопросов производительности труда необходимо рассмотреть факторы роста производительности труда. Факторы роста производительности труда – это причины, под влияниемкоторых изменяется ее уровень и динамика. [12, С. 155]

Факторами роста производительности труда (или его резервами) считается совокупность объективных и субъективных причин, обусловливающих изменение уровня производительности труда. Классическое определение роли повышения производительности труда и основных его факторов дал Адам Смит: «Годовой продукт земли и труда любого народа не может быть увеличен… иначе как только посредством увеличения числа его производительных работников и производительной силы уже занятых… в результате увеличения капитала, то есть фондов… или в результате более целесообразного разделения и распределения занятых». За время, прошедшее с момента написания этих слов, произошла лишь небольшая конкретизация указанных факторов. [10, С. 56]

Под факторами роста производительности труда понимают движущие силы, источники, в результате влияния которых изменяется уровень производительности труда. Факторы производительности труда очень разнообразны и многогранны, поэтому на макро- и микроуровне для целей прогнозирования и планирования роста производительности труда на предприятии, а также их системного восприятия применяются различные группировки. [7, С. 110]

Многочисленные факторы повышения производительности труда можно свести к двум – производительной силе труда (внешние, не зависящие от работника, факторы) и напряженности, интенсивности труда (внутренние, зависящие от работника факторы). [1, С. 112]

На рисунке 2.1. отражена классификация факторов роста производительности труда.

Материально-технические факторы повышения производительности труда включают создание, освоение и внедрение новой техники; освоение и применение прогрессивных технологий; повышение качества и конкурентоспособности продукции на внутреннем и внешнем рынках; комплексную автоматизацию производства и управления производственными процессами; модернизацию действующего оборудования и производства; поддержание конкурентоспособности. [9, С. 110–111]

Научно-технический прогресс – главный источник всестороннего и последовательного роста производительности труда. Поэтому для внедрения в производственный процесс достижений научно-технического прогресса в современных условиях требуется направление инвестиций в первую очередь на реконструкцию и техническое перевооружение действующих производств, повышение доли затрат на активную часть основных производственных фондов – машин, оборудования.

Комплекс материально-технических факторов и их влияние на уровень производительности труда можно характеризовать следующими показателями:

– энерговооруженностью труда – потреблением всех видов энергии на одного промышленного рабочего;

– электровооруженностью труда – потреблением электроэнергии на одного промышленного рабочего;

– технической вооруженностью труда – объемом основных производственных фондов, приходящихся на одного работника;

– уровнем механизации и автоматизации – долей рабочих, занятых механизированным и автоматизированным трудом;

– химизацией производства, применением прогрессивных материалов и химических процессов – соотношением химизированных процессов производства в общем его объеме.

Одним из основных материально-технических факторов является повышение качества продукции – удовлетворение общественных потребностей меньшими затратами средств и труда, так как изделия высокого качества заменяют большее количество изделий низкого качества. Повышение долговечности изделий равнозначно дополнительному увеличению их выпуска. Материально-технические факторы наиболее важны, поскольку обеспечивают экономию не только живого, но и овеществленного труда. [14]

К организационно-экономическим и структурным факторам относятся перестройка производства под требования рынка; совершенствование организации производства; развитие прогрессивных структур и функций управления производством и персоналом, повышение качества продукции, ее конкурентоспособности. [9, С. 111]

Организационные факторы определяются уровнем организации труда, производства и управления.

К ним относятся:

1. Совершенствование организации управления производством:

– совершенствование структуры аппарата управления;

– совершенствование систем управления производством;

– улучшение оперативного управления производственным процессом;

– внедрение и развитие автоматизированных систем управления производством;

– включение в сферу действия АСУП максимально возможного количества объектов.

2. Совершенствование организации производства:

– улучшение материальной, технической и кадровой подготовки производства;

– улучшение организации производственных подразделений и расстановки оборудования в основном производстве;

– совершенствование организации вспомогательных служб и хозяйств (транспортного, складского, энергетического, инструментального, хозяйственного и других видов производственного обслуживания).

3. Совершенствование организации труда:

– улучшение разделения и кооперации труда, внедрение многостаночного обслуживания, расширение сферы совмещения профессий и функций;

– внедрение передовых методов и приемов труда;

– совершенствование организации и обслуживания рабочих мест;

– внедрение технически обоснованных норм затрат труда, расширение сферы нормирования труда рабочих-повременщиков и служащих;

– внедрение гибких форм организации труда;

– профессиональный подбор кадров, улучшение их подготовки и повышение квалификации;

– улучшение условий труда, рационализация режимов труда и отдыха;

– совершенствование систем оплаты труда, повышение их стимулирующей роли.

Без использования этих факторов невозможно получить полный эффект и от факторов материально-технических. [14]

Экономико-правовые и нормативные факторы создают материальные, административные и методические предпосылки для повышения производительности труда на всех уровнях и зависят от роли государства и правительства в содействии субъектам реального сектора экономики в работе по повышению производительности труда. К данным факторам относятся:

♦ совершенствование нормативно-правового обеспечения роста производительности труда;

♦ усиление экономических стимулов и развитие самоорганизации на микро- и макроуровне;

♦ создание базы научно-методического обеспечения и информации для субъектов экономики.

Факторы, материально стимулирующие работников, включают повышение уровня тарифной ставки; совершенствование системы оплаты труда; совершенствование системы поощрений и др.

Социально-психологические факторы играют также большую роль в повышении производительности труда. Они определяются стилем руководства в подразделениях, на предприятии в целом; мотивацией управления экономикой. Их влияние характеризуется естественными и общественными условиями, в которых трудятся работники предприятия; уровнем подготовки коллективов, степенью дисциплинированности работников, их трудовой и творческой активностью, системой ценностных ориентиров коллектива; качеством, а также социально-демографическим составом трудовых коллективов.

Факторы роста производительности труда и пути ее повышения на уровне предприятия считаются приоритетными и одновременно являются залогом повышения производительности труда на макроуровне.

Использование каждой группы факторов непосредственно связано с анализом существующих резервов возможного повышения производительности труда в определенных организационно-экономических условиях производства по каждому структурному производственному подразделению и предприятию в целом. [9, С. 110–111]

Все перечисленные факторы тесно связаны и взаимозависимы, они должны изучаться комплексно. Это необходимо для того, чтобы более точно оценить влияние каждого фактора, так как действия их неравноценны. Действие одних дает устойчивый прирост производительности труда, а влияние других является преходящим. [4, С. 179]

Высокая производительность труда достигается за счет его рациональной организации, снижения трудовых и материальных затрат. Особое значение при этом имеет нормирование труда. На основе норм определяются задания по загрузке оборудования, устанавливается оптимальная численность работников, их профессионально-квалификационный состав, рассчитывается фонд оплаты труда и решаются другие экономические задачи. [2, С. 155–156]

При планировании производительности труда на предприятии используются различные методы, но наиболее часто используется пофакторный метод анализа динамики производительности труда и ее планирования. При использовании пофакторного метода расчет производится путем определения экономии рабочего времени или численности работников по факторам роста производительности труда в соответствии с их типовой классификацией. Типовая классификация факторов роста производительности труда предполагает анализ и планирование изменения производительности труда по следующим направлениям:

– изменение технического уровня производства (ввод в эксплуатацию нового оборудования, модернизация оборудования, совершенствование управления, организации производства и труда (расширение зон обслуживания, сокращение внутрисменных простоев, изменение и углубление специализации, сокращение потерь рабочего времени);

– изменения природных условий;

– изменение объема и структуры производства (изменение доли кооперированных поставок, изменение доли различных методов производства, доли вновь осваиваемой продукции);

– прочие факторы.

При анализе и планировании изменения производительности труда по различным ее факторам выявляются резервы роста производительности труда на каждой конкретной фирме. [11, С. 167–168]

3. Резервы роста производительности труда

Под резервами роста производительности труда понимаются объективные возможности снижения затрат рабочего времени на единицу продукции. Сопоставляя показатели данного предприятия с показателями передовых предприятий отрасли, можно определить размер этих резервов. Под резервами роста производительности труда понимают неиспользованные реальные возможности экономии затрат живого и овеществленного труда. Резервы используются и вновь возникают под влиянием различных факторов (рассмотренных выше). Количественно наличие резервов можно определить как разницу между достигнутым и максимально возможным уровнями производительности труда за определенный промежуток времени.

Если совокупность резервов классифицировать в соответствии с классификацией факторов, то при проведении анализа облегчается выявление основных причин потерь и непроизводительных затрат труда по каждому фактору производительности труда и определение путей их устранения. 9, С. 111]

Резервы роста производительности труда классифицируют по таким признакам:

1) направлению;

2) месту возникновения;

3) времени возникновения.

По направлению резервы роста производительности труда подразделяются на резервы улучшения использования рабочего времени (они зависят от совершенствования организации производства и труда) и резервы снижения трудоемкости изготовления продукции (они связаны с внедрением новой техники и технологии, новых материалов, с совершенствованием организации труда и производства, с повышением квалификации кадров).

По месту возникновения резервы роста производительности труда представлены на рисунке 3.1.

Общегосударственные – это макроэкономические резервы. Их использование оказывает влияние на рост производительности труда в реальном секторе экономики страны. Они связаны с рациональным размещением производства по территории страны с учетом наличия сырьевых и других материальных ресурсов, квалифицированной рабочей силы, состоянием занятости населения, недоиспользованием рыночных методов хозяйствования и т.д.

Наличие региональных резервов свидетельствует о возможности более рационального и оптимального использования производительных сил, характерных для данного региона.

Межотраслевые резервы определяются необходимостью улучшения межотраслевых связей, транспортных потоков продукции, укрепления договорной дисциплины между предприятиями разных отраслей.

Отраслевые резервы указывают на возможности повышения производительности труда за счет развития эффективной специализации и кооперации предприятий внутри конкретной отрасли экономики.

Самую большую группу резервов роста производительности труда составляют внутрипроизводственные резервы. Они определяются недостатками в использовании на предприятии сырья, материалов, оборудования, рабочего времени и рабочей силы. Серьезные резервы этой группы обусловлены низким уровнем механизации и автоматизации труда на вспомогательных работах и в подсобных производствах. [2, С. 154–155]

Пример, резерва экономии рабочей силы.

Наибольший удельный вес в трудоемкости изготовления автомобилей ИЖ составляют слесарно-сборочные работы (ИЖ-2126 – 37,95% и ИЖ-2717 – 33,5%), механообработка (13,3% и 12,1%) и лакокрасочные работы (11,23% и 12,35% соответственно). Наибольший удельный вес в трудоемкости изготовления автомобиля ВАЗ составляют слесарно-сборочные работы – 42,5%, лакокрасочные – 17,6% и сварочные – 16,7%. В связи с незанятостью запускных цехов в изготовлении модификаций автомобиля ВАЗ низок процент штамповочных работ и механической обработки.

За счет внедрения мероприятий было проведено снижение трудоемкости изделий в нормо-часах (см. табл. 3.1.).

Экономию численности по предлагаемым ниже мероприятиям определяем по формуле:

Эч = (ТРпл -ТРб )*Q*Км

ФРВ*Кв.н.

где, ТР – удельная трудоёмкость базовая, плановая

Q – объём производства продукции

Фр.в. – эффективный фонд рабочего времени, ч

Км – коэффициент, учитывающий срок внедрения мероприятия

Кв.н. – коэффициент выполнения норм

За счет проведения таких мероприятий, как:

– замена механической обработки заготовки детали таким способом изготовления, как холодная штамповка на модели ИЖ-2126, при плане выпуска автомобилей данных моделей 28128 шт. Снижение трудозатрат составит 0,23 н-ч.

Эч =(0,23*28128*12)/(1890*1,12)=37

– использование более передовых технологии покраски автомобиля и его комплектующих на моделях ИЖ-2717, ИЖ-27171. Снижение трудозатрат составит 0,2 н-ч и 0,3 н-ч соответственно, выпуск 12394 шт. и 89 шт.

1) ИЖ-2717

Эч =(0,2*12394*12)/(1890*1,12)=14

Экономия численности составит 14 человек;

2) ИЖ-27171

Эч =(0,3*89*12)/(1890*1,12)=0,15

Экономии численности нет из-за маленького объема производства.

– использование более новых способов сварки при выпуске моделей ВАЗ – 2106 в количестве 37625 шт. Снижение трудозатрат составит 0,2 н-ч.

Эч =(0,2*37625*12)/(1890*1,12)=43 чел..

Экономия численности составит 57 человек.

Приведенные выше расчеты производились при плановом коэффициенте выполнения норм, равном 1,12 и при плановом фонде рабочего времени 1890 ч. со сроком введения с 1 января. [8, С. 256–257]

По времени возникновения резервы роста производительности труда классифицируются на перспективные и текущие. Перспективные резервы – это возможности снижения трудоемкости изготовления продукции, которые реализуются через длительное время. Использование их в большинстве случаев связано с капитальными вложениями. К текущим относятся резервы, использование которых возможно в ближайшее время, эти резервы не требуют значительных капитальных вложений. По своему характеру они связаны в основном с увеличением фонда времени работы.

Одним из основных направлений повышения эффективности использования персонала фирмы является усиление мотивации труда, прежде всего - денежных стимулов, связанных с оплатой труда. [11, С. 168]

Для использования резервов на предприятиях разрабатываются планы организационно-технических мероприятий, в которых указываются виды резервов роста производительности труда, мероприятия по их реализации, планируемые затраты для этого, сроки проведения работ, ответственные исполнители. [14]

производительность труд резерв повышение

Заключение

Рассмотрев основные факторы и резервы роста производительности труда на промышленном предприятии мы тем самым выполнили поставленные перед нами задачи, а именно рассмотрели сущность экономического понятия «производительность труда»; рассмотрели и охарактеризовать факторы повышения производительности; рассмотрели и охарактеризовали резервы роста производительности труда.

Раскрытие поставленных нами задач позволило выполнить главную цель написания данной работы: самостоятельно изучить материалы по выявлению факторов и резервов роста производительности труда на промышленном предприятии и сделать основные выводы.

Основными нашими выводами, сформулированными в ходе изучения научных материалов явились:

1) Производительность – ключевой фактор конкурентоспособности экономики и стабильного экономического роста. Производительность труда – показатель эффективности использования ресурсов труда (трудового фактора). Производительность труда измеряется:

– либо количеством продукции в натуральном или денежном выражении, произведенным одним работником за определенное, фиксированное время (час, день, месяц, год);

– либо количеством времени, затрачиваемым на производство единицы товарной продукции;

2) все факторы повышения производительности тесно связаны и взаимозависимы, они должны изучаться комплексно. Это необходимо для того, чтобы более точно оценить влияние каждого фактора, так как действия их неравноценны. Действие одних дает устойчивый прирост производительности труда, а влияние других является преходящим;

3) если совокупность резервов классифицировать в соответствии с классификацией факторов, то при проведении анализа облегчается выявление основных причин потерь и непроизводительных затрат труда по каждому фактору производительности труда и определение путей их устранения.


Список использованной литературы

1. Адамчук В.В. Экономика и социология труда. Изд-во М, ЮНИТИ, 2001. – 344 с.

2. Белоусова Н.М., Богацкая С.Г., Богомолова В.А. Экономика отрасли (полиграфическая промышленность): учеб. пособие. – М.: МГУП, 2007. – 250 с.

3. Волгина Н.А., Одегова Ю.Г. Экономика труда. Социально-трудовые отношения. – М.:ЭКЗАМЕН, 2006. – 735 с.

4. Деева А.И. Экономика ремонтно-строительного производства: Учебное пособие. – 2-е изд., доп. и перераб. – М.: МИКХиС, 2005. – 591 с.

5. Керашев М.А. Экономика промышленного производства. Учебник. Краснодар: Изд-во Печатный двор Кубани, 2000. – 173 с

6. Лебедева С.Н., Мисникова Л.В. Экономика и организация труда: Учебник для студентов высших учебных заведений по специальности «Экономика и управление на предприятии» ─ Мн.: ООО «Мисанта», 2002. – 166 с.

7. Немцев В.Н. Экономический анализ эффективности промышленного предприятия: Учебное пособие. 2-е изд. Магнитогорск: МГТУ, 2004. – 208 с.

8. Орефков В.В. Эргономическая экспертиза рабочих мест. Изд-во Института Экономики и Управления УдГУ, Ижевск 2000. 355 с.

9. Остапенко Ю.М. Экономика труда: Учеб. пособие. – 2-е изд., – М: ИНФРА-М, 2007. – 272 с, – (Высшее образование).

10. Савицкая Г.В. Анализ хозяйственной деятельности предприятия. ВУЗ. Учебник. 4-е изд., перераб. – М.: Инфра-М, 2007. – 512 с.

11. Толмачев Е.А., Монахов Б.Е. Экономика строительства: Учебное пособие. – М.: ИД Юриспруденция, 2003. – 224 с.

12. Хромова П.А. Производительность труда – важнейший фактор повышения эффективности производства. – М.: Издательство «Наука», 1982. – 359 с.

13. www.gtmarket.ru Новости Гуманитарных технологий. Тема «Исследование McKinsey & Company: главная проблема российской экономики – низкая производительность труда» от 29.04.2009 г.

14. www.portal.rea.ru Попов Л.А. Экономика и социология труда: Электронный учебник

15. www.slovari.yandex.ru Большая советская энциклопедия

Размещено н

Оценить/Добавить комментарий
Имя
Оценка
Комментарии:
Хватит париться. На сайте FAST-REFERAT.RU вам сделают любой реферат, курсовую или дипломную. Сам пользуюсь, и вам советую!
Никита05:49:57 03 ноября 2021
.
.05:49:55 03 ноября 2021
.
.05:49:53 03 ноября 2021
.
.05:49:51 03 ноября 2021
.
.05:49:50 03 ноября 2021

Смотреть все комментарии (20)
Работы, похожие на Курсовая работа: Факторы и резервы роста производительности труда на промышленном предприятии

Назад
Меню
Главная
Рефераты
Благодарности
Опрос
Станете ли вы заказывать работу за деньги, если не найдете ее в Интернете?

Да, в любом случае.
Да, но только в случае крайней необходимости.
Возможно, в зависимости от цены.
Нет, напишу его сам.
Нет, забью.



Результаты(294402)
Комментарии (4230)
Copyright © 2005 - 2024 BestReferat.ru / реклама на сайте