Содержание
1. Баланс предприятия
2. Счет прибылей и убытков предприятия
3. Анализ хозяйственно-финансовой деятельности предприятия
4. Анализ изменений в хозяйственно-финансовом положении предприятия
5. Планирование хозяйственно-финансовой деятельности предприятия
Планирование счета прибылей и убытков предприятия
Планирование баланса предприятия
Анализ чувствительности показателей хозяйственно-финансовой деятельности предприятия
Библиографический список
Финансовое положение фирмы наиболее полно отражается в балансовом отчете (
далее - балансе)
предприятия. Это как бы моментальная фотография финансового положения предприятия в определенный день года, например 31 декабря 2011 года.
С помощью баланса устанавливается, какими средствами располагает предприятие и какая у него задолженность.
То, чем располагает предприятие, называется активами.
Они помещаются в левой части баланса. Задолженности называются пассивами
и располагаются в правой части баланса. Кроме того, в правой стороне указывается также собственный (
в акционерном обществе его называют акционерным) капитал предприятия - стоимость его имущества за вычетом обязательств.
Итог,
подводимый в левой части, должен быть равен итогу в правой.
Активы -
это вся собственность предприятия: товары, ценности, ценные бумаги, земля, здания, оборудование, наличные деньги, деньги - выплаты предприятия по кредитам и задолженностям, завершенное и незавершенное производство.
Пассивы
включают долги и денежные обязательства предприятия, в том числе банковские ссуды и неоплаченные счета поставщикам, претензии, штрафы и т.п.
Собственный капитал
предприятия - это сумма долей его вкладчиков, включающая начальные капиталовложения (уставной капитал) плюс (или минус) накопленные предприятием доходы с момента его создания.
Начнем с примера.
ПРИМЕР
ОТКРЫТОЕ АКЦИОНЕРНОЕ ОБЩЕСТВО "ФАБРИКА ДЕТСКИХ ИГРУШЕК"


Баланс предприятия (рис.1) содержит три части:
А. Активы - собственность предприятия, включающая: I. Оборотный капитал; II. Капиталовложения во внешние объекты; III. Основной капитал и IV. Нематериальные активы.
Б. Пассивы - задолженности предприятия, включающие: I. Текущие (сроком до 1 года) и II. Долгосрочные долги.
Забиваем Сайты В ТОП КУВАЛДОЙ - Уникальные возможности от SeoHammer
Каждая ссылка анализируется по трем пакетам оценки: SEO, Трафик и SMM.
SeoHammer делает продвижение сайта прозрачным и простым занятием.
Ссылки, вечные ссылки, статьи, упоминания, пресс-релизы - используйте по максимуму потенциал SeoHammer для продвижения вашего сайта.
Что умеет делать SeoHammer
— Продвижение в один клик, интеллектуальный подбор запросов, покупка самых лучших ссылок с высокой степенью качества у лучших бирж ссылок.
— Регулярная проверка качества ссылок по более чем 100 показателям и ежедневный пересчет показателей качества проекта.
— Все известные форматы ссылок: арендные ссылки, вечные ссылки, публикации (упоминания, мнения, отзывы, статьи, пресс-релизы).
— SeoHammer покажет, где рост или падение, а также запросы, на которые нужно обратить внимание.
SeoHammer еще предоставляет технологию Буст, она ускоряет продвижение в десятки раз,
а первые результаты появляются уже в течение первых 7 дней.
Зарегистрироваться и Начать продвижение
В. Собственный капитал - сумма долей, вложенных акционерами: I. Акционерный капитал;
II. Нераспределенная прибыль.
По итогам года должно соблюдаться равенство:
Активы = Пассивы + Собственный капитал
либо
Собственный капитал = Активы - Пассивы.

Рис.1.
Схема баланса предприятия
А. АКТИВЫ содержат:
I. Оборотный капитал -
состоит из наличных денег и тех средств, которые обращены в наличные в течение года до даты отчета при нормальном ходе событий производственно-хозяйственной деятельности. Составляющие оборотного капитала перечисляются в порядке убывания их ликвидности. Оборотный капитал включает: наличные деньги, рыночные ценные бумаги, выплаты по счетам, товарно-материальные ценности, авансированные платежи.
1. Наличные деньги -
денежные средства в натуральном виде или на счету в банке.
2. Рыночные ценные бумаги -
вложения временно свободных наличных денег в краткосрочные процентные ценные бумаги, легко реализуемые на рынке (высоколиквидные). Это краткосрочные государственные облигации, сертификаты на вклады и т.д. В скобках обычно устанавливается их рыночная стоимость.
3. Выплата по счетам -
средства, на которые покупатели взяли товары в кредит у предприятия и которые должны быть ему возвращены. Кредит такого рода обычно предоставляется на 1, 2 или 3 месяца. Из суммы выплат должны быть исключены те, которые вызывают сомнения; разность даст чистые выплаты по счетам, реальные на день отчета.
4. Товарно-материальные запасы -
товары, подлежащие продаже в оптовой и розничной торговле по рыночным ценам. Сюда входят запасы материалов, незавершенного производства и готовой продукции. Обычно устанавливается самая низкая возможная цена реализации - так называемая чистая цена.
5. Авансированные платежи -
это те расходы, которые были сделаны заблаговременно, заранее и распространяются на определенное время после балансового отчета.
II. Капиталовложения -
это вложения средств во внешние объекты: вложения в дочерние предприятия, другие вложения.
прибыль убыток хозяйственный финансовый
1. Вложения в дочерние предприятия -
стоимость акций, вложенных в учрежденные фирмой предприятия, связанные с основным, в которых фирма имеет контрольный пакет акций.
2. Другие вложения -
то же самое, что п.1, но для предприятий, где фирма не обладает контрольным пакетом акций. Здесь обычно указывается и рыночная стоимость вложения.
Сервис онлайн-записи на собственном Telegram-боте
Попробуйте сервис онлайн-записи VisitTime на основе вашего собственного Telegram-бота:
— Разгрузит мастера, специалиста или компанию;
— Позволит гибко управлять расписанием и загрузкой;
— Разошлет оповещения о новых услугах или акциях;
— Позволит принять оплату на карту/кошелек/счет;
— Позволит записываться на групповые и персональные посещения;
— Поможет получить от клиента отзывы о визите к вам;
— Включает в себя сервис чаевых.
Для новых пользователей первый месяц бесплатно.
Зарегистрироваться в сервисе
Указанные в статье "Капиталовложения" активы не предназначены для продажи.
III. Основной капитал (
основные фонды) - это стоимость земли, а также предприятия (фабрики), его имущества и оборудования, срок службы которых больше 1 года и не предназначен для продажи. Все части основного капитала, кроме земли, оцениваются по начальной цене за вычетом аккумулированных (реализованных) амортизационных отчислений. Амортизация -
это распределение стоимости основных фондов на время их эксплуатации. Для земли устанавливается начальная цена. Составляющие основного капитала перечисляются в порядке убывания их постоянства:
1. Земля.2. Фабрика.3. Машинное оборудование.4. Конторское оборудование. Содержание этих статей соответствует их названиям.
IV. Нематериальные активы -
это часть активов, не носящая материального, "вещественного" характера. Она включает благосклонность, патенты и права на привилегии, организационные расходы.
1. Благосклонность -
это условная стоимость деловых связей предприятия. Стоимость этого актива может быть установлена лишь после продажи предприятия или ее оценки покупателем, который готов заплатить за деловые связи и репутацию (имидж) фирмы дополнительные деньги. Они-то и есть благосклонность. Благосклонность может включать также и оценку хорошо обученного, компетентного персонала, для которой в отчете нет другого места.
2. Патенты и права на привилегии -
это фактически затраченные деньги, которые могут быть также представлены и как расходы на развитие предприятия либо превращены в акционерный капитал (капитализированы).
3. Организационные расходы -
идут на формирование организационно-правовой структуры предприятия: регистрацию, разработку необходимых документов и материалов.
Б. ПАССИВЫ содержат:
I.
Текущие пассивы (текущие долги) -
это те суммы, которые предприятие должно будет вернуть в предстоящем (следующем за отчетным) году. Сюда относят:
1. Векселя к оплате -
это деньги, которые были заняты в банке или у других кредиторов под векселя, плюс суммы процентов по ним.
2. Счета кредиторов -
это выплаты долгов за товары и услуги, предоставленные ранее в кредит. Следует иметь в виду, что этот пассив может быть уменьшен при расчете наличными.
3. Накапливаемые издержки
включают оплату товаров и услуг, не поставленных (не выполненных) в полном объеме. Это выплаченная авансом зарплата, гонорары юристам, художникам и архитекторам и т.д. Сюда же относится досрочная выплата процентного дохода по облигациям.
4. Налоговые платежи -
это налоги, пенсионные и другие обязательные платежи, которые выплачиваются постепенно авансом.
5. Текущая часть долгосрочных долгов
- та часть долгосрочных (более года) долгов, которая выплачивается в течение ближайшего отчетного года.
II. Долгосрочные долги -
долги, которые должны быть уплачены в срок более года после данного отчета. Это облигации, закладные, некоторые займы. Следует иметь в виду, что будущий процентный доход кредитора не считается долгом, пока не пройдет время платежа. К долгосрочным долгам относятся:
1. Облигации, обеспеченные первой закладной, -
это деньги, которые предприятие получило от физических и юридических лиц за выпущенные им облигации. Обеспечение первой закладной означает, что держатели облигаций имеют первоочередное право на имущество предприятия, если его придется заложить при невыплате долгов.
2. Облигации акционерной компании -
это долги предприятия держателям выпущенных им акций.
3. Отсроченные долги -
выплаты по налогам, допускающим льготную отсрочку по решению правительства.
В. СОБСТВЕННЫЙ КАПИТАЛ содержит:
I. Акционерный капитал -
это доля акционеров в капитале предприятия за исключением нераспределенной прибыли. Для индивидуальных предприятий это вся доля владельца в капитале предприятия. Акционерный капитал включает:
1. Привилегированные акции -
акции, по которым производится первоочередная выплата при заранее объявленных фиксированных процентах. Они не дают акционерам права голоса.
2. Обыкновенные акции -
голосующие акции, проценты по которым выплачиваются лишь
после выплаты владельцам привилегированных акций.
3. Ажио -
разница между курсовой стоимостью акции и их номиналом.
II. Нераспределенная прибыль -
разность между доходом и расходами предприятия за вычетом распределенных дивидендов.
Баланс предприятия, несмотря на всю свою важность, далеко не исчерпывает информацию о хозяйственно-финансовой деятельности предприятия. Он дает лишь сведения о положении его финансов на определенный момент. Для того чтобы судить о деятельности предприятия за определенный промежуток времени (обычно за год), понять динамику бизнеса, а главное, познакомиться с механизмом получения прибыли и убытков, необходим отдельный документ - "Счет прибылей и убытков предприятия".
Основным документом, характеризующим динамику получения предприятием прибыли (убытка), является "Счет прибылей и убытков предприятия".
В счете прибылей и убытков имеют место следующие понятия и соотношения:
I. Продажа -
это выручка от продажи товаров.
II. Чистая продажа -
это продажа минус убытки при продаже.
III. Стоимость реализованных товаров -
это стоимость товаров, подлежащих продаже, минус стоимость запасов готовой продукции на конец отчетного года.
IV. Стоимость товаров, подлежащих продаже, -
это стоимость запасов готовой продукции на конец предыдущего отчетного года плюс стоимость произведенных товаров.
V. Валовая прибыль -
это чистая продажа минус стоимость реализованных товаров.
VI. Эксплуатационные расходы -
это общие (повседневные) затраты предприятия, не связанные с производством или продажей конкретного товара.
VII. Чистый доход от производственной деятельности -
это валовая прибыль минус эксплуатационные расходы.
VIII. Чистый доход -
это чистый доход от производственной деятельности плюс другие доходы, минус расходы и проценты.
IX. Чистая прибыль -
это чистый доход минус налоги на прибыль.
Счет прибылей и убытков предприятия показывает, сколько денег предприятие получило (или потеряло) за определенное время, обычно за производственный цикл или календарный год.
В счете прибылей и убытков устанавливается соответствие доходов (в первую очередь от реализации продукции) и понесенных при этом расходов за отчетный период. Их разность и есть чистая прибыль предприятия за это время.
Счет прибылей и убытков показывает лишь факт и сумму дохода и расхода по заключенным сделкам и не отражает реального движения денег, которые могут быть переведены на счет предприятия (или сняты с него) и позже.
Главная задача данного документа - проследить источники дохода и расхода, оценить поступающие и уходящие суммы и понять механизм образования прибыли предприятия.
Начнем с примера.


Рис.2.
Схема счета прибылей и убытков предприятия
Позиции счета прибылей и убытков предприятия нуждаются в некоторых пояснениях (рис.2).
I. Продажа -
это выручка от продажи товара.
II. Чистая продажа -
это продажа за вычетом сопровождающих ее убытков. Иногда чистую продажу называют "доход от основной деятельности" (авиакомпании, театры, предприятия бытового обслуживания). В качестве скидок могут быть, например, льготы за быструю оплату, оплату наличными и т.д.
III. Стоимость товаров, подлежащих продаже,
равна стоимости запасов готовой продукции на конец года, предшествующего отчетному, плюс стоимость произведенных товаров за отчетный год.
IV. Стоимость произведенных товаров (себестоимость)
имеет важное значение как для предприятия, так и для покупателей. Приведем в качестве примера ведомость стоимости произведенных на фабрике товаров.
ПРИМЕР 2.
ОТКРЫТОЕ АКЦИОНЕРНОЕ ОБЩЕСТВО "ФАБРИКА ДЕТСКИХ ИГРУШЕК"
ВЕДОМОСТЬ СТОИМОСТИ ПРОИЗВЕДЕННЫХ ТОВАРОВ
за год с 31 декабря 200. года по 31 декабря 200. года (в у. д. ед.)

Таким образом, в себестоимость продукции включаются все затраты на преобразование сырья и производство из него нового товара.
Статья ведомости "Труд" предполагает работу по производству продукции (работа на станках и т.п.). В статье "Контроль" имеется в виду оплата работников ОТК и среднего управляющего персонала (начальники цехов). "Овеществленный фабричный труд" - это стоимость текущих ремонтов, уборки помещений, технического обслуживания. Статья "Энергия" - энергия для работы оборудования, а "Тепло и свет" - для отопления и освещения фабрики. Статья "Амортизация" - расходы на возмещение износа фабричного оборудования, непосредственно участвующего в производстве товара. Под другими расходами понимается стоимость страхования фабрики и ее оборудования, а также стоимость вспомогательных материалов, расходуемых при техническом обслуживании фабрики (масла, краски и т.п.).
Возвращаясь к счету прибылей и убытков предприятия, напомним, что стоимость произведенных товаров включается в стоимость товаров, подлежащих продаже (п. III.2).
Исключая из стоимости товаров, подлежащих продаже, стоимость запасов готовой продукции на конец отчетного года, получают стоимость реализованных товаров (п. IV).
В непроизводственных компаниях (например, в торговых фирмах) нет работы по переработке сырья в конечный продукт, поэтому стоимость реализованных товаров включает лишь затраты на приобретение продукции и ее доставку. Ведомость стоимости реализованных товаров (теперь она так называется) существенно упрощается и имеет следующий вид.
ПРИМЕР 3.
ОБЩЕСТВО С ОГРАНИЧЕННОЙ ОТВЕТСТВЕННОСТЬЮ"ДЕТСКАЯ ИГРУШКА" (ТОРГОВАЯ ФИРМА, УЧРЕЖДЕННАЯ "ФАБРИКОЙ ДЕТСКИХ ИГРУШЕК")
ВЕДОМОСТЬ СТОИМОСТИ РЕАЛИЗОВАННЫХ ТОВАРОВ
за год с 31 декабря 200. года по 31 декабря 200. года (в у. д. ед.)

Снова возвращаемся к счету прибылей и убытков предприятия.
V. Валовая прибыль
находится как разность между "Чистой продажей" (п. II) и только что рассмотренной "Стоимостью реализованных товаров".
VI. Эксплуатационные расходы -
это общие (повседневные) затраты, не связанные непосредственно с производством или продажей конкретного товара. Они делятся на общефирменные и административные, а также торговые. Сюда же относятся и амортизационные расходы (отчисления).
К общефирменным
и административным расходам
относятся затраты высшего звена администрации, оплата электричества в здании управления фабрикой, рента и другие затраты.
Торговые расходы -
это зарплата работников торговли, стоимость презентаций, деловых поездок и т.п.
Амортизационные отчисления
здесь же, которые не связаны с основными фондами (обстановка офисов, автомобильный транспорт для администрации и т.д.). Здесь, как и в основных фондах, указывается та часть амортизационных отчислений, которая производится за отчетный период.
VII. Чистый доход от производственной деятельности
представляет собой разность валовой прибыли и эксплуатационных расходов.
VIII. Чистый доход -
это прибыль от производственной деятельности с учетом других доходов и расходов.
Другие доходы
представляют собой доходы от продажи собственности предприятия, а также так называемые внереализационные доходы: плату за аренду, проценты по облигациям и акциям и т.п.
Другие расходы -
это проценты, которые предприятие платит по долгам, другие аналогичные расходы.
IX. Чистая прибыль -
чистый доход за вычетом налога на прибыль. Если чистая прибыль отрицательна, уместно назвать ее "чистым убытком".
Для того чтобы совместно проанализировать балансовый отчет и отчет о прибылях, связать собственность предприятия и механизм получения на ее основе прибыли, составляется отдельный счет нераспределенной прибыли.
Под нераспределенной прибылью
понимается та часть прибыли, которая остается предприятию после выплаты дивидендов по привилегированным и обыкновенным акциям. Если предприятие вместо прибыли останется с убытком, ведется счет этому дефициту прибыли.
ПРИМЕР 4.
ОТКРЫТОЕ АКЦИОНЕРНОЕ ОБЩЕСТВО "ФАБРИКА ДЕТСКИХ ИГРУШЕК"
СЧЕТ НЕРАСПРЕДЕЛЕННОЙ ПРИБЫЛИ
За год с 31 декабря 200. года по 31 декабря 200. года (в у. д. ед.)

В качестве основных показателей хозяйственно-финансовой деятельности предприятия используются следующие: прибыльность, стабильность, ликвидность, рост и эффективность. Все они положительного характера: чем показатели выше, тем лучше для предприятия.
1. Прибыльность
характеризует превышение доходов предприятия над его расходами. Это важнейший показатель. Его иногда называют "критерий нижней линии" (строка чистой прибыли нижняя в отчете о прибылях). Чем превышение доходов над расходами выше, тем выше прибыльность.
2. Стабильность
характеризует финансовую устойчивость предприятия. Она во многом зависит от финансовой структуры, т.е. от соотношения собственного капитала и капитала, взятого в долг. Чем больше доля собственного капитала, тем стабильность выше.
3. Ликвидность
характеризует возможность превращения капитала предприятия в наличные деньги. Ликвидность зависит от возможности предприятия выполнять свои финансовые обязательства.
4. Рост -
увеличение размеров предприятия, его капитала.
5. Эффективность -
отношение результатов к затратам, прежде всего отношение прибыли к расходам. Это наиболее общий интегральный показатель.
Ни один из показателей не является исчерпывающим. В различных ситуациях любой из них либо их группа могут оказаться важнейшими.
Для оценки хозяйственно-финансовой деятельности существует несколько способов. Наиболее употребительны два:
анализ изменений в хозяйственно-финансовом положении предприятия путем сравнения баланса и счетов прибылей и убытков предприятия за ряд лет;
оценка коэффициентов, характеризующих показатели хозяйственно-финансовой деятельности предприятия.
Рассмотрим последовательно оба способа.
В качестве материала для анализа используются балансы и счета прибылей и убытков предприятия за ряд лет, условно названных 1-й, 2-й и 3-й годы деятельности предприятия.
ПРИМЕР 1.
ОБЩЕСТВО С ОГРАНИЧЕННОЙ ОТВЕТСТВЕННОСТЬЮ "ДОМ РОЗНИЧНОЙ ТОРГОВЛИ"
БАЛАНСОВЫЕ ОТЧЕТЫ

ПРИМЕР 2.
ОБЩЕСТВО С ОГРАНИЧЕННОЙ ОТВЕТСТВЕННОСТЬЮ "ДОМ РОЗНИЧНОЙ ТОРГОВЛИ" ОТЧЕТЫ О ПРИБЫЛЯХ за три
следующих друг за другом года, заканчивающихся 31 декабря каждый (в у. д. ед.)


На основании сравнения балансов предприятия за ряд лет готовится документ "Изменения в финансовом положении предприятия"
Содержание этого документа сводится к анализу 1) источников наличных денег и 2) использования наличных денег на предприятии.
Так, сравнивая балансы за 1-й и 2-й годы деятельности "Дома розничной торговли", в качестве одного из важнейших результатов можно отметить увеличение итога активов на 3 у. д. ед. (или, что то же самое, увеличение на эту цифру суммы собственного капитала и пассивов). За счет чего это произошло? Одна из возможных причин - появление у предприятия на 2-м году деятельности дополнительных наличных денег. Сравнительный анализ балансов за 1-й и 2-й год дает возможность найти источники этого увеличения. Для этого прежде всего следует выписать все основные изменения основных статей балансов за 1-й и 2-й годы.
Можно отметить следующие источники наличных денег:
Наличные деньги, увеличение на 7 у. д. ед.
Выплаты по счетам, уменьшение на 4 у. д. ед.
Запасы, увеличение на 7 у. д. ед.
Основной капитал, уменьшение на 7 у. д. ед.
Счета кредиторов, уменьшение на 2 у. д. ед.
Векселя к оплате (банк), уменьшение на 1 у. д. ед.
Налоговые платежи, уменьшение на 2 у. д. ед.
Накапливаемые издержки, увеличение на 4 у. д. ед.
Долгосрочные долги, уменьшение на 5 у. д. ед.
Обыкновенные акции, без изменений
Нераспределенная прибыль, увеличение. …… на 9 у. д. ед.
Рассмотрим некоторые из этих изменений.
Уменьшение суммы выплат по счетам
означает, что в распоряжении предприятия остались дополнительно 4 у. д. ед., которые фирма, безусловно, использует для получения прибыли. Сокращение основного капитала
в связи с его продажей или амортизацией означает, что его стоимость обращена в наличные деньги. Увеличение наличных денег
означает и рост задолженности предприятия кредиторам, и увеличение накапливаемых издержек. Ведет к увеличению наличных денег и рост нераспределенной прибыли
за счет отсрочки в уплате дивидендов акционерам. Если просуммировать возможности всех перечисленных источников, получится внушительная сумма. Итак, рост наличности на предприятии за 1-й год его деятельности шел по следующим направлениям:

Анализ балансов предприятия совместно со счетами прибылей и убытков, в свою очередь, дает возможность установить следующие пути использования наличных денег:
1. Стоимость конечных запасов товаров увеличилась на 7 у. д. ед. Это отразилось на уменьшении наличных денег (см. баланс за 3-й год), так как часть их придется потратить на покупку дополнительных запасов.
2. Уменьшение сумм в статьях балансовых отчетов "Счета кредиторов" на 2 у. д. ед., "Векселя к оплате (банк)" - на 1 у. д. ед., "Налоговые платежи" - на 2 у. д. ед., "Долгосрочные долги" - на 5 у. д. ед. связано с неиспользованием наличных денег. 3. В то же время появление в счетах прибылей и убытков 8 у. д. ед. амортизационных отчислений и связанное с
ним уменьшение на эту же сумму основного капитала вызвано износом основных фондов, а не их продажей. И результат хозяйственной деятельности за 2-й год составляет 14 у. д. ед. (чистая прибыль после амортизационных отчислений). Этот результат не связан с получением наличных денег. Итак, неиспользование наличных денег шло следующими путями:
Увеличение запасов на 7 у. д. ед.
Уменьшение счетов кредиторов на 2 у. д. ед.
Уменьшение сумм "векселя к оплате (банк)" на 1 у. д. ед.
Уменьшение налоговых платежей на 2 у. д. ед.
Уменьшение долгосрочных долгов на 5 у, д. ед.
Итого 17 у. д. ед.
Сравнение этого итога с ростом наличных средств на предприятии за 1-й год деятельности (24 у. д. ед.) показывает, что приток наличных денег составил 7 у. д. ед. Вышеизложенный анализ источников и путей использования наличных денег удобно показать в отдельном обобщающем документе "Отчет об изменениях в финансовом положении предприятия".
ПРИМЕР 3. ОБЩЕСТВО С ОГРАНИЧЕННОЙ ОТВЕТСТВЕННОСТЬЮ. "ДОМ РОЗНИЧНОЙ ТОРГОВЛИ" ИЗМЕНЕНИЯ В ФИНАНСОВОМ ПОЛОЖЕНИИ За 200. год (1-й год деятельности), в у. д. ед.

Продолжая анализ, можно отметить, что предприятие разумно распорядилось дополнительными наличными деньгами, пустив их на увеличение продаж и тем самым нарастив сбыт фирмы. Именно для этой цели, видимо, и было произведено наращивание запасов.
Для более глубокого количественного анализа хозяйственно-финансовой деятельности предприятия прибегаем к следующему способу - анализу показателей финансовой деятельности.
Оценка коэффициентов, характеризующих показатели хозяйственно-финансовой деятельности предприятия
Каждому из показателей хозяйственно-финансовой деятельности, описанных выше, соответствуют свои количественные критерии, или коэффициенты. Рассмотрим их по порядку
I.
Коэффициенты прибыльности
1. Отношение стоимости реализованных товаров к продаже.
2. Отношение валовой прибыли к продаже.
3. Отношение эксплуатационных расходов к продаже.
4. Отношение чистой прибыли к продаже.
5. Отношение чистой прибыли к среднегодовому капиталу (прибыль на вложения).
Все эти коэффициенты рассчитываются в процентах.

* Собственный капитал на конец года, предшествующего 1-му = Итоговый собственный капитал 1 - го года минус Чистая прибыль 1 - го года = 72 - 10 = 62.
Аналогичным путем рассчитываются коэффициенты прибыльности и на 2-й и 3-й годы деятельности предприятия. В итоге мы получаем данные, которые позволяют судить как о величине коэффициентов, так и о характере их изменений. Эти данные представлены в процентах в табл.1.
Таблица 1
| Коэффициенты прибыльности |
1-й год |
2-й год |
3-й год |
| 1. Отношение стоимости |
77,1 |
76,2 |
77,5 |
| реализованных товаров |
| и услуг к продаже |
| 2. Отношение валовой |
22,8 |
23,8 |
22,5 |
| прибыли к продаже |
| 3. Отношение эксплуатационных |
19,1 |
21,4 |
20,4 |
| расходов к продаже |
| 4. Отношение чистого дохода |
3,6 |
2,4 |
2,0 |
| от производственной |
| деятельности к продаже |
| 5. Отношение чистой прибыли |
14,7 |
7,6 |
7,0 |
| к среднегодовому собственному |
| капиталу (прибыль на вложения) |
Анализ коэффициентов прибыльности
позволяет сделать следующие выводы:
1. Произведенный вертикальный анализ (
он проводится в балансовых отчетах и отчетах о прибылях сверху вниз) дает возможность получить не абсолютную, а относительную, т.е. сравнительную, картину использования финансовых ресурсов.
2. Первые два показателя прибыльности - отношение стоимости реализованных товаров и валовой прибыли к продаже - наглядно показывают, какая доля выручки (продажи) остается в стоимости реализованных товаров, а какая идет в прибыль (напомним, что в сумме эти показатели составляют 100 %). Тенденция к увеличению доли прибыли в сумме выручки является весьма желательной и свидетельствует о финансовых успехах. Такое увеличение может быть достигнуто уменьшением доли стоимости реализованных товаров в продаже за счет более выгодных цен произведенных или приобретенных предприятием товаров, а также увеличением их продажной цены. При этом необходимо рассмотреть как начальные и конечные запасы товаров, так и их закупки, из которых складывается стоимость реализованных товаров.
3. Отношение эксплуатационных расходов к продаже показывает, какая доля выручки связана с закупками в ходе эксплуатации предприятия. Оценка целесообразности этих затрат может быть дана лишь в сопоставлении с долей чистого дохода от производственной деятельности в продаже.
4. Если рост доли чистого дохода от производственной деятельности опережает рост доли эксплуатационных расходов, значит, эти расходы полезны, и наоборот. Целесообразно рассмотреть долю в продаже не только совокупных эксплуатационных расходов, но также каждого их компонента (общефирменных и административных расходов, торговых издержек, амортизации).
5. Отношение чистой прибыли к среднегодовому собственному капиталу (прибыль на вложения) - важнейший показатель финансового состояния компании. Именно на основе этого показателя акционеры принимают решение, стоит ли вкладывать деньги в акции данного предприятия. Этот показатель носит интегральный характер и показывает эффективность деятельности предприятия в целом.
П. Коэффициенты стабильности
1. Отношение собственного капитала к итоговой сумме активов.
2. Отношение долга (итоговой суммы пассивов) к итоговой сумме активов.
3. Покрытие процентов.
Два первых коэффициента рассчитываются в процентах, третий - в кратах (разах).
ПРИМЕР 5. РАСЧЕТЫ КОЭФФИЦИЕНТОВ СТАБИЛЬНОСТИ
за 1-й год деятельности предприятия


Аналогичным путем рассчитываются коэффициенты стабильности и за 2-й и 3-й годы деятельности предприятия (табл.2).
Таблица 2
| Коэффициенты стабильности |
1-й год |
2-й год |
3-й год |
| 1. Отношение собственного |
52,1 |
57,2 |
55,3 |
| капитала к итоговой сумме активов (в %) |
| 2. Отношение долга (итоговой суммы пассивов) к итоговой сумме активов (в %) |
47,9 |
42,8 |
44,7 |
| 3. Покрытие процентов (кол-во раз) |
20 |
12,5 |
6,9 |
Анализ коэффициентов стабильности
позволяет сделать следующие выводы:
1. Коэффициент отношения собственного капитала к итогу активов показывает, какая доля активов предоставлена компании ее владельцами (в виде акций или нераспределенной прибыли). Чем больше этот показатель, тем больше желание у владельцев умножать свое состояние с помощью данного предприятия. Уменьшение показателя свидетельствует об изменении интересов акционеров к делам компании. Это может быть вызвано, например, тем, что компания не заботится о своих вкладчиках-акционерах.
2. Отношение долга к итогу активов - это дополнение предыдущего показателя до 100 %. Его анализ позволяет сделать те же выводы, что и по первому показателю, только здесь он будет вместо увеличения уменьшаться.
3. Коэффициент покрытия процентов свидетельствует о возможности предприятия уплатить кредиторам проценты на вложенный капитал. Чем выше этот показатель, тем меньше риск капиталовложений и тем больше желание их производить. Следует учитывать, что сведение этого показателя к минимуму свидетельствует о необходимости прибегнуть к решительным мерам, например, выплачивать долги из наличных денег или других активов, что весьма нежелательно. Это является сигналом о низкой возможности получения предприятием кредитов и одним из симптомов возможного банкротства.
III. Коэффициенты ликвидности
1. Текущий коэффициент.
2. Отношение кассовой наличности и дебиторской задолженности к текущим обязательствам предприятия.
3. Рабочий капитал.
Первых два показателя рассчитываются как отношение к единице, третий показатель - в у. д. ед.
ПРИМЕР 6.
РАСЧЕТЫ КОЭФФИЦИЕНТОВ ЛИКВИДНОСТИ
за 1 - й год деятельности предприятия

Аналогичным путем рассчитываются коэффициенты ликвидности и на 2-й и 3-й год деятельности предприятия (табл.3).
Таблица 3
| Коэффициенты ликвидности |
l-й год |
2-й год |
3-й год |
| 1. Текущий коэффициент |
2,2: 1 |
2,4: 1 |
2,3: 1 |
| 2. Коэффициент отношения кассовой наличности и дебиторской задолженности к текущим обязательствам предприятия |
0,8: 1 |
0,8: 1 |
0,7: 1 |
| 3. Рабочий капитал (в у. д. ед.) |
65 |
76 |
82 |
Анализ коэффициентов ликвидности
позволяет сделать следующие выводы:
1. Текущий коэффициент - основная мера ликвидности, показывающая, как соотносятся краткосрочные активы (оборотные средства) с краткосрочными пассивами - долгами. Если этот показатель равен, скажем, 2,4: 1, то это означает, что на каждую денежную единицу долга приходится 2,4 денежной единицы активного капитала, т.е. можно достаточно быстро выполнить свои краткосрочные обязательства. Это гарантирует кредиторам безопасность. Если же этот коэффициент менее 1: 1, то такая безопасность отсутствует. Однако в сумму активов входят не только наличные деньги, но и запасы, возможности использования которых для погашения долгов ограничены. Поэтому наряду с текущим коэффициентом применяется и более жесткий показатель, исключающий возможность использования запасов при расчетах. Это коэффициент отношения кассовой наличности или средств, которые могут быть быстро получены или обращены в наличность, к краткосрочным долгам фирмы.
2. Коэффициент отношения кассовой наличности и дебиторской задолженности к текущим обязательствам предприятия показывает возможность выплаты краткосрочных долгов за счет той части оборотного капитала, которая всегда под рукой: оборотные средства минус запасы (запасы требуют времени для их реализации). Иногда запасы не реализуемы, так как их изготовление требует дополнительного времени (например, выдержка вина).
3. Рабочий капитал показывает, какая часть оборотных средств после выплаты долгов останется для работы.
IV. Коэффициенты роста
1. Рост продаж.
2. Рост чистой прибыли.
3. Рост активов.
4. Рост собственного капитала.
Эти коэффициенты имеют размерность процентов либо той величины, рост которой определяется.
ПРИМЕР 7.
РАСЧЕТЫ КОЭФФИЦИЕНТОВ РОСТА
с начала 1-го года к началу 2-го года деятельности предприятия

Аналогичным путем рассчитываются коэффициенты роста с начала 2-го к началу 3-го года деятельности предприятия. В табл.13.4 данные приводятся в процентном выражении.
Таблица 4
| Коэффициенты роста |
1-й год |
2-й год |
| 1. Рост продаж |
-3,0 |
27,8 |
| 2. Рост чистой прибыли |
-40 |
0 |
| 3. Рост активов |
2,1 |
9.6 |
| 4. Рост собственного капитала |
12,2 |
6,0 |
Анализ коэффициентов роста
позволяет сделать следующие выводы:
1. Произведенный горизонтальный анализ (
он производится в балансовых отчетах и отчетах о прибылях и убытках в строках по горизонтали) дает возможность получить как абсолютные, так и относительные значения изменений, необходимых для анализа показателей.
2. Все показатели роста наглядно характеризуют динамику основных результатов деятельности предприятий за определенное время.
Коэффициенты эффективности
подробно описаны в главе 16.
Наряду с рассмотренными в менеджменте используется и ряд других коэффициентов.
Среди них три показателя, которыми пользуются акционеры-вкладчики для оценки эффективности своих капиталовложений:

Коэффициент характеризует процент дохода от покупки акций.
Он показывает целесообразность вложения денег в этот вид ценных бумаг, дает возможность дать оценку такой инвестиции по сравнению с вложением в другие объекты.

Коэффициент характеризует доходность данных акций. Он показывает, во сколько раз нужно потратить денег больше, чем окажется прибыль. Этот коэффициент желательно иметь поменьше. Он может быть использован при выборе акций при их покупке.

Коэффициент характеризует прибыльность обыкновенных акций и служит для обоснованного выбора при их покупке.
Наряду с анализом изменений каждого отдельного коэффициента интерес представляет также и совместный анализ нескольких из них. Так, уменьшение показателей прибыльности может быть объяснено и оправдано увеличением показателя роста активов, собственного капитала и т.п.
При анализе показателей важным является сравнение их величины со средними показателями у конкурентов (если они доступны). Одним словом, в каждом конкретном случае подход к показателям может быть различным. Например, рассматривая коэффициент "Срок счетов кредитов в днях закупки", показывающий способность предприятия расплатиться с долгом, нужно соотнести его с аналогичными возможностями других предприятий отрасли и конкурентов. Вряд ли будет экономически оправдано, если стараться намного опередить их с расчетом по долгам.
Итак, финансовые коэффициенты - это не более чем инструмент в руках умелого и опытного менеджера. Инструмент - дело, безусловно, важное, но главный источник успеха все-таки не голый инструмент, а голова и руки его хозяина.
Планирование -
это подробное расписание деятельности предприятия на определенный период. План должен содержать конкретные цифры и отвечать на вопросы: что, когда, где и кем будет сделано для решения необходимых предприятию задач. При разработке плана должны быть предусмотрены ресурсы, необходимые для его осуществления.
Основой хозяйственно-финансового планирования является планирование прибылей и собственности -
будущего баланса и счета прибылей и убытков.
Каждая цифра планов должна быть хорошо обоснована, для чего указываются соответствующие обоснования показателей плана или к нему делаются примечания, например: "Объем запасов вычислен на основе средней дневной стоимости запасов, равной 20 дням, исходя из того, что в течение предшествующих трех лет этот срок колебался в пределах 15-20 дней".
Большую трудность при составлении текущих отчетов представляет обеспечение баланса конечных результатов. В планируемом балансе предприятия малую балансировку удобнее всего делать в самом конце разработки плана, уравнивая показатели за счет манипулирования суммами наличных денег и платежей по кредитам.
В планируемом счете прибылей и убытков такое уравнивание удобно, например, сделать за счет манипулирования закупками в статье "Стоимость реализованных товаров". Показатель, с помощью которого производится последнее уравнивание результатов, называется балансовым числом.
Разработку планируемых отчетов целесообразно начинать с плана счета прибылей и убытков. Затем разрабатывается планируемый баланс и, наконец, если требуется, планируются изменения в финансовом положении предприятия.
Рекомендуется такая последовательность работы над планируемым счетом прибылей и убытков предприятия.
Первый шаг.
Оценка предполагаемого плана продажи - ожидаемой выручки. Источник такой оценки - экспертный опрос менеджеров торговли и изучение имевших место в прошлые годы тенденций. Учитывается изменение в стимулировании продажи, изменение рыночной конъюнктуры, индекса инфляции.
Второй шаг.
Оценка стоимости реализованных товаров, исходя из рассчитанных по прошлым годам коэффициентов прибыльности (вертикальный анализ).
Третий шаг.
Оценка валовой прибыли на тех же основаниях, что и во втором шаге.
Четвертый шаг.
Оценка суммы эксплуатационных расходов на тех же основаниях, что и во втором и третьем шагах.
Пятый шаг.
Детализация эксплуатационных расходов. Так, если принимается решение об уменьшении стимулирования сбыта (путем изменения стимулирования потребителей, сферы торговли, собственного торгового персонала), то это, видимо, приведет к уменьшению торговых издержек.
Остальные показатели либо остаются на прежнем уровне, либо меняются в соответствии с вновь принятыми нормативными документами (например, налог на прибыль).
Иногда целесообразно рассчитать несколько вариантов планируемого счета прибылей и убытков, с тем чтобы остановиться на наиболее приемлемом.
Ниже рассматривается пример одного из возможных вариантов планируемого счета прибылей и убытков на 4-й год деятельности предприятия.
ПРИМЕР 1.
ОБЩЕСТВО С ОГРАНИЧЕННОЙ ОТВЕТСТВЕННОСТЬЮ "ДОМ РОЗНИЧНОЙ ТОРГОВЛИ"
ПЛАНИРУЕМЫЙ СЧЕТ ПРИБЫЛЕЙ И УБЫТКОВ
за год с 31 декабря 200. года по 31 декабря 200. года (4-й год деятельности предприятия), в у. д. ед.

Сложность планирования изменений в собственности, в отличие от планирования прибыли, в том, что тут нет такого начального опорного числа, как сумма продаж. Поэтому каждая статья текущего баланса предприятия рассчитывается самостоятельно и лишь после этого производится общая балансировка.
Вот примерная последовательность такой работы.
Первый шаг.
Определяется основная балансовая стоимость плана баланса. Это могут быть наличные деньги, платежи по банковским кредитам и др.
Второй шаг.
Заполняются статьи, которые, по всей вероятности, не претерпят изменений. Например, статья "Основной капитал", если не предполагаются реализация и приобретение основных фондов.
Третий шаг.
Заполняются статьи, которые меняются и будут иметь уже известные расчетные значения. Например, размер предполагаемой прибыли из плана счета прибылей и убытков позволит рассчитать нераспределенную прибыль. Этой же цели будет способствовать и знание планов распределения прибыли, плана выплаты дивидендов и т.д.
Четвертый шаг.
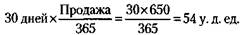
Ряд статей планируемого баланса может быть рассчитан, исходя из знания финансовых коэффициентов за прошлые годы. Например, если по анализу финансовых коэффициентов на 4-й год деятельности предприятия срок выплат по счетам принять 30 дней, а продажу оценить в 650 у. д. ед., то выплаты по счетам на 4-й год составят:

Таким же способом можно планировать конечные запасы и счета кредиторов.
Пятый шаг.
Расчет балансового числа,
т.е. того показателя, который уравнивает активы с суммой пассивов и собственного капитала. Рассмотрим пример составления плана баланса на 4-й год деятельности предприятия.
ПРИМЕР 2.
ОБЩЕСТВО С ОГРАНИЧЕННОЙ ОТВЕТСТВЕННОСТЬЮ "ДОМ РОЗНИЧНОЙ ТОРГОВЛИ"
ПЛАНИРУЕМЫЙ БАЛАНС
на 31 декабря 200. года (4-й год деятельности предприятия), в у. д. ед.


Располагая балансами за 3-й и 4-й годы деятельности предприятия, при необходимости можно по изложенным выше правилам рассчитать планируемые изменения в финансовом положении и провести их анализ.
Для полноты анализа хозяйственно-финансовой деятельности предприятия весьма важно не только получить планируемые показатели по ожидаемым изменениям в собственности и прибыли, но установить, от чего зависят их изменения. Эта работа получила название анализа чувствительности показателей хозяйственно-финансовой деятельности предприятия.
Под анализом чувствительности хозяйственно-финансовой деятельности предприятия понимается определение того, как различные факторы, положенные в основу расчета финансовых документов, влияют на интересующие нас показатели.
Анализ чувствительности показателей целесообразно проводить в следующем порядке.
Первый шаг.
Прежде всего необходимо продумать, какой или какие из показателей мы собираемся изменить.
Второй шаг.
Определяем, за счет какого фактора это можно сделать.
Третий шаг.
Выбираем варианты избранного фактора, которые предстоит проанализировать.
Четвертый шаг.
Рассчитываем значения интересующего нас показателя для каждого из вариантов принятого фактора.
Пятый шаг.
Рассчитываем, как это отразится на балансовом числе.
Шестой шаг.
Находим соответствующие значения интересующего нас показателя.
Седьмой шаг.
Выбираем тот вариант, который отвечает интересам и возможностям фирмы и ведет в конечном итоге к росту прибыли.
Анализ чувствительности показателей рассмотрим на следующем примере.
ПРИМЕР 3
Исходя из данных планируемого балансового отчета на 4-й год деятельности предприятия, принято решение рассмотреть возможности изменения банковской задолженности (первый шаг).
В качестве фактора, влияющего на банковскую задолженность, рассмотрим предполагаемые сроки выплат по счетам (второй шаг).
Примем варианты сроков выплат по счетам в 15, 45 и 60 дней (третий шаг). Рассчитаем суммы чистых выплат по счетам для каждого из рассматриваемых вариантов (четвертый шаг). Рассчитаем, как повлияет изменение суммы чистых выплат на балансовые числа для каждого из вариантов (пятый шаг). Найдем, исходя из новых балансовых чисел, величину банковской задолженности для каждого из вариантов (шестой шаг).
Описанные действия удобно представить в виде табл.5.
Таблица 5
Результаты анализа чувствительности показателя - банковской задолженности
| Варианты сроков выплат по счетам, дней |
Чистые выплаты по счетам*, у. д. ед. |
Изменения в балансовом числе у. д. ел. |
Банковская задолженность на 31 декабря 200. года |
| 30 |
54 |
0 |
41 |
| 15 |
27 |
-27 |
13 |
| 45 |
81 |
+ 27 |
68 |
| 60 |
108 |
+ 54 |
95 |
* Чистые выплаты по счетам рассчитываются по

Анализируя изменения в банковской задолженности предприятия при разных вариантах, менеджер выберет тот из них, при котором величина этой задолженности отвечает интересам бизнеса. Так, если предприятие заинтересовано в наращивании активов, то будет выбран вариант сроков выплат по счетам 60 дней (седьмой шаг).
1. Справочник по исследованию операций (в соавт.). - М.: В-дат, 2008. - 361 с.
2. Управление в гибком производстве (в соавт.). - М.: Радио и связь, 2010. - 126 с.
3. Основы математического программирования. - М.: ВОК, 2006. - 89 с.
4. Основы исследования операций. - М.: ВОК, 2007. - 316 с.
5. Разработка систем управления (в соавт.). - М.: ЛИМТУ, 2009. - 83 с.
6. Введение в теорию выработки решений (в соавт.). - М: В-дат, 2008. - 39 с.
7. Основы теории игр и статистических решений (в сб.). - М.: ВОК, 2006. - 91 с.
8. Принятие решений в услових неполной информации. - М.: ЛИМТУ 2007. - 36 с.
9. Уроки бизнеса. - СПб.: Образование, 2008. - 190 с.
10. Автоматизация управления (в соавт.). - М.: Радио и связь, 2009. - 262 с.
|