Содержание
1. Основные понятия. Критерии эффективности. Целевая функция
2. В поисках эффективного менеджмента
3. Расчеты эффективного менеджмента
Библиографический список
Под эффективностью менеджмента понимается его качество, обеспечивающее организации достижение намеченных целей. Количественно эффективность менеджмента определяется как отношение результата к необходимым для этого затратам.
Различают внутреннюю и внешнюю эффективность.
Внутренняя эффективность – это экономичность, т. е. способность наилучшим (оптимальным) образом распределять и использовать имеющиеся ресурсы.
Внешняя эффективность – результативность менеджмента, характеризующаяся степенью достижения организацией ее цели.
Далее будут раскрываться оба указанных аспекта эффективности менеджмента.
Центральным понятием эффективности является критерий эффективности (показатель успешности) менеджмента.
Критерии эффективности менеджмента – это количественные показатели (числа), характеризующие его результативность и экономичность.
В качестве критериев эффективности должны избираться такие показатели, которые дают возможность:
– прогнозировать ожидаемый результат – достижение организацией ее цели;
– оценивать фактическую степень достижения цели;
– сравнивать различные варианты достижения цели между собой.
Для этого критерии эффективности должны вскрывать сущность решаемой организацией задачи, определять главные, решающие связи и пути совершенствования менеджмента.
Примерами критериев эффективности менеджмента могут служить доход, прибыль (убытки),
издержки, рентабельность, ликвидность, стабильность, рост и т. д.
Критерий эффективности менеджмента должен отвечать следующим требованиям:
1. Соответствовать целям, стоящим перед организацией. Так, если целью коммерческой организации является извлечение прибыли, то естественно взять в качестве показателя ее успешности прибыль, а если цель некоммерческой организации – решение определенной социальной проблемы (например, снижение уровня безработицы), то показатель успешности должен свидетельствовать о ее решении (это может быть количество безработных на определенный день).
2. Быть связанным с внешней и внутренней обстановкой, в которой организация решает свои задачи. Так, если организация находится в состоянии кризиса, уместно использовать в качестве критериев эффективности такие, как стабильность, ликвидность и т. п. Если же организация процветает, на первый план выходят такие показатели, как рентабельность, прибыльность и т. п.
Забиваем Сайты В ТОП КУВАЛДОЙ - Уникальные возможности от SeoHammer
Каждая ссылка анализируется по трем пакетам оценки: SEO, Трафик и SMM.
SeoHammer делает продвижение сайта прозрачным и простым занятием.
Ссылки, вечные ссылки, статьи, упоминания, пресс-релизы - используйте по максимуму потенциал SeoHammer для продвижения вашего сайта.
Что умеет делать SeoHammer
— Продвижение в один клик, интеллектуальный подбор запросов, покупка самых лучших ссылок с высокой степенью качества у лучших бирж ссылок.
— Регулярная проверка качества ссылок по более чем 100 показателям и ежедневный пересчет показателей качества проекта.
— Все известные форматы ссылок: арендные ссылки, вечные ссылки, публикации (упоминания, мнения, отзывы, статьи, пресс-релизы).
— SeoHammer покажет, где рост или падение, а также запросы, на которые нужно обратить внимание.
SeoHammer еще предоставляет технологию Буст, она ускоряет продвижение в десятки раз,
а первые результаты появляются уже в течение первых 7 дней.
Зарегистрироваться и Начать продвижение
3. Обладать полнотой, достаточной для принятия необходимых решений. Например, широко известный показатель «тонно-километры» не позволяет судить, за счет чего достигнут требуемый результат: то ли за счет тонн (перегруз?), то ли за счет километров (далеко возили?).
4. Быть пригодным для использования, т. е. простым, понятным (иметь физический смысл) и выраженным в количественной форме. Вряд ли можно считать полноценными критериями эффективности качественные характеристики типа «ходовой товар», «высокое качество», «большой спрос» и т. п.
5. Быть доступным для получения. Так, некоторые критерии эффективности, имеющие статистическую основу (например, вероятности достижения определенной цели), безупречны с точки зрения теории, но требуют длительных и дорогостоящих экспериментов и сложных расчетов, что делает их малопригодными для практики.
Основной принцип выбора критерия эффективности обоснован в 1945 году академиком А. Н. Колмогоровым и состоит в установлении строгого соответствия между целью, которая может быть достигнута организацией в результате ее действий, и принятым показателем успешности. В этом смысле показатель успешности (критерий эффективности) называют целевой функцией.
Как из многих вариантов решения задачи определить наилучший, правильный, самый хороший или, как часто говорят, оптимальный? Какой смысл вкладывают в понятия «правильное», «оптимальное» решение экономической задачи?
Начнем с ПРИМЕРА.
Маркетинговое исследование показано, что в требуемый срок партия однотипного товара может быть продана по цене:
30 у. д. ед. за штуку – в количестве 100 штук;
40 у. д. ед. за штуку – в количестве 80 штук;
50 у. д. ед. за штуку в количестве 60 штук.
По какой из этих цен следует продавать товар? Иными словами, какое из трех возможных ценовых решений лучше? Не торопитесь с ответом. Ибо лучшего решения как такового на все случаи жизни не бывает. О качестве решения можно судить, лишь зная цель операции. Таких целей здесь может быть несколько:
– продать товар по максимальной цене;
– продать максимальное количество товара;
– продать товар по цене, обеспечивающей максимальную выручку.
Сервис онлайн-записи на собственном Telegram-боте
Попробуйте сервис онлайн-записи VisitTime на основе вашего собственного Telegram-бота:
— Разгрузит мастера, специалиста или компанию;
— Позволит гибко управлять расписанием и загрузкой;
— Разошлет оповещения о новых услугах или акциях;
— Позволит принять оплату на карту/кошелек/счет;
— Позволит записываться на групповые и персональные посещения;
— Поможет получить от клиента отзывы о визите к вам;
— Включает в себя сервис чаевых.
Для новых пользователей первый месяц бесплатно.
Зарегистрироваться в сервисе
Зная цель, можно сказать, какое, отвечающее ей решение, лучше:
если цель – продать товар по максимальной цене – лучшее решение «продавать по 50 у. д. ед»;
если цель – продать максимальное количество товара – лучшее решение «продавать по 30 у. д. ед.»;
если цель – продать товар по цене, обеспечивающей максимальную выручку, - лучшее решение «продавать по 40 у. д. ед.».
Таким образом, качество решения определяется степенью его соответствия цели: чем с меньшими затратами ресурсов и времени может быть достигнута цель при данном решении, тем оно лучше и правильнее.
Непонимание цели предстоящей экономической операции лишает решение смысла: ведь чтобы получить правильный ответ, нужно задать правильный вопрос. Весьма образно сказал по этому поводу немецкий философ И. Кант: «Если вопрос сам по себе бессмыслен и требует бесполезных ответов, то кроме стыда для вопрошающего он имеет иногда еще тот недостаток, что побуждает неосмотрительного слушателя к нелепым ответам и создает смешное зрелище: один (по выражению древних) доит козла, а другой держит под ним решето».
Примером неправильно сформулированного оптимального решения может служить расхожая фраза: «Получение максимума доходов и минимума расходов» (ее первоисточник: «Максимум надоев при минимуме кормов»). Вдумаемся. Поскольку, как известно, увеличение доходов до максимума отнюдь не ведет к снижению расходов до минимума, совершенно не ясно, какое решение принимать. То ли добиваться, чтобы доходов стало как можно больше, то ли чтобы расходов – как можно меньше. Правильным было бы сформулировать оптимальное
решение как «получение максимума доходов при данных расходах» или «получение данных доходов при минимуме расходов».
Из всего сказанного ясно, что исследование операций и экономико-математические методы не ограничиваются лишь словесным формулированием цели, а речь идет о количественном обосновании решений. Мало сказать «хорошее» или «оптимальное» решение, нужно уметь оценить его с помощью конкретной цифры. Как же связать цель, к которой мы стремимся, с определенным числом?
В самом общем виде выбор наилучшего варианта решения задачи достижения цели организацией можно представить математически как отыскание максимума целевой функции ( W):

где ai
– заданные параметры (показатели) решения задачи, например количество выделенных ресурсов;
bj
– управляемые параметры решения задачи, т. е. такие, которые мы можем изменять, например цены, сроки;
xk
– неизвестные параметры решения задачи, например рыночная конъюнктура, курс рубля, индекс инфляции.
Задача выбора наилучшего варианта решения
при этом может быть сформулирована следующим образом: найти такие значения управляемых параметров b1
, b2
, ..., которые при заданных параметрах a1
a2
, ..., с учетом неизвестных параметров x
1
,
x
2
,...,
обеспечивают максимум целевой функции – критерия эффективности.
Столь простой на первый взгляд путь выбора наилучшего варианта на практике наталкивается на ряд существенных трудностей. Главная из них та, что выбор одного из многих вариантов требует перебора столь огромного числа параметров, что это в приемлемые сроки не под силу даже электронно-вычислительной машине (общее число расчетных операций может исчисляться миллиардами). Поэтому для решения подобных задач созданы специальные методы (см. главу 7 – методы исследования операций), которые вместо сплошного «слепого» перебора применяют направленный перебор. Важнейшим из этих методов является линейное программирование, пример применения которого будет рассмотрен в настоящей главе.
Обоснование эффективного менеджмента, помимо количественных методов, должно основываться также и на методах описательных, которые построены на анализе достижений в управлении, полученных современными предприятиями. В этом смысле подлинным кладезем управленческой мудрости является книга известных американских специалистов Т. Питерса и Р. Уотермена «В поисках эффективного управления (опыт лучших компаний)».
В названной выше книге Т. Питерса и Р. Уотермена, которая пользуется огромным спросом во всем мире, обобщен и проанализирован опыт лучших североамериканских компаний, работающих в разных отраслях промышленности и сферы обслуживания. Сделано это авторами с единственной целью – разобраться, как компании сумели добиться успеха.
Отбор лучших из лучших проводился в три тура. В первом в разряд хороших были включены компании, рекомендованные экспертами. Ко второму туру были допущены предприятия, выделяющиеся по важнейшим экономическим показателям роста и прибыли при возрасте предприятий не менее 20 лет. Третий тур отбирал претендентов по признаку обновления: новизна товаров и услуг, быстрота реагирования на изменения спроса и т. п. В итоге остались 43 образцовые компании, которые подверглись основательнейшей проверке и анализу. В результате этой большой аналитической работы было выделено восемь главных признаков, которые делают предприятие самым лучшим. Вот эти признаки.
Первый –
«лицом к потребителю».
Это ключевое качество. «Другие компании об этом говорят, образцовые делают это». Что же это означает? Вот как об этом говорят авторы. «Производят ли они металлоизделия, жарят ли котлеты или сдают комнаты, практически все успешно работающие компании, по-видимому, фактически считают себя предприятиями обслуживания. Потребитель для них – это царь и бог. Ему не пытаются всучить продукцию, произведенную по неотработанной технологии или покрытую ненужной позолотой. Он – получатель надежной долговечной продукции или же услуг, оказываемых безотлагательно». Центральная фигура здесь – агент по сбыту. Об их самоотверженности ходят легенды. В одной из компаний («Фритолэй», производящей картофельные хлопья) сбытом занято 10 тысяч агентов из 25 тысяч работников предприятия.
Компания ИБМ набирает из числа агентов по сбыту специальных помощников управляющего фирмой. Их главная задача – в течение суток отреагировать на любую жалобу, принять самые чрезвычайные меры, вплоть до доставки нужного специалиста или техники по воздуху из любой точки земного шара.
В некоторых фирмах (например, «Дисней») из персонала создают так называемую труппу, которая работает с публикой «на сцене». Публика именуется «гостями». Проводится необходимое обучение персонала и репетиции. Обслуживание рассматривается как целое представление, шоу. Отрабатываются формы поведения на все возможные варианты обстановки. Главное – гости должны получить удовольствие.
Руководители фирм наносят регулярные визиты к основным клиентам. Принято, что все руководители периодически выполняют обязанности агентов по сбыту, вступая в непосредственный контакт с потребителем. Отказ заказчика от услуг фирмы рассматривается как чрезвычайное событие.
В лучших фирмах существует культ качества, доходящий до одержимости. Срыв качества влечет за собой экономические санкции всему персоналу компании. В интересах качества фирма готова нести огромные расходы, материальные потери, но зато она может потом с гордостью заявить: «Моими товарами торгуют мои товары».
В истории американского бизнеса нередки случаи, когда основные идеи и даже сами прототипы товаров фирмы брали у своих клиентов. Так было, например, со знаменитыми джинсами «Леви Страус». Стальные заклепки для них предложил один из клиентов фирмы. Покупателям принадлежит и идея использования клейкой декоративной ленты для внешней отделки автомобилей, на которой потом были заработаны миллионы, а также упаковочной липкой ленты «скотч».
Вторая отличительная черта образцовых компаний
названа «производительность – от человека».
Она предусматривает демократический стиль управления, уважение руководителей к своему персоналу, веру в способности работников. Вот замечательные рекомендации на этот счет: «Обращайтесь с людьми как со взрослыми. Относитесь к ним, как к партнерам: уважайте их достоинство, будьте к ним внимательны. Смотрите на них, а не на капиталовложения и не на автомашину – как на главный источник роста производительности». Практически эти принципы реализуются в том, что все работники имеют право на информацию о делах предприятия и на участие в этих делах. Им гарантируется определенный социально-экономический статус. Работники обращаются друг к другу по имени, независимо от занимаемого положения (в телефонном справочнике компании алфавит сделан не по фамилиям, а по именам). Помещения делаются открытыми, с прозрачными перегородками, без отдельных кабинетов. Руководители приучают себя не только терпеливо, но и с интересом выслушивать подчиненных. Вот потрясающий пример единения персонала: во время промышленного спада семидесятых годов, чтобы избежать увольнения части работников, служащие компании «Хьюлетт – Паккард», включая высших руководителей фирмы, решили сократить свою зарплату на 20 % (сократив, правда, соответственно и рабочее время). Интересен и такой, основанный на доверии, прием активизации персонала указанной фирмы. Работники получают открытый доступ на склад с электронными элементами, используемыми для производства. При этом поощряется использование этих деталей в личных целях для домашнего творчества. Фирма рассчитывает, что активная изобретательская самодеятельность послужит хорошим импульсом для развития новаторства и на производстве, повысит компетентность работников, их творческий потенциал.
Показателем доверия к персоналу и демократичности отношений служит и доска почета фирмы ИБМ в Нью-Йорке, на которую помещены все до одного служащие компании. В подобной атмосфере неизбежно возникает и высокая требовательность к качеству работы каждого члена коллектива, причем, в отличие от традиционных предприятий, центр этой требовательности перемещается от начальников к рядовым членам коллектива: все на равных требуют друг от друга хорошей работы.
Третий признак лучших компаний –
«пристрастие к действию».
Суть этого признака в том, что здесь ставят «действие выше планирования, дело – выше размышлений, конкретное – выше абстрактного». Эти требования направлены против бюрократизма, канцелярщины, имитации деятельности. Бюрократические, чисто административные методы руководства оказываются бессильными при появлении нестандартных, уникальных ситуаций, столь характерных для современного динамичного производства. Большое значение приобретают временные рабочие группы, создаваемые для оперативного, неформального решения творческих задач. Размер этих групп невелик (в среднем 7 человек). В них не гнушаются входить руководители и специалисты высокого уровня. Создаются такие группы быстро (крупнейшая авиастроительная компания «Боинг» создает подобные подразделения за две недели) и существуют, как правило, недолго – не более полугода. Состав групп подбирается на добровольной неформальной основе, действует без каких-либо инструкций, при минимуме документации.
Особое значение придается столь нелюбимым бюрократами смелым экспериментам. Например, гостиничная фирма «Холидей иннз» имеет двести экспериментальных отелей, где испытываются новые цены, номера для постояльцев и новые ресторанные меню. Фирма «Макдональд» постоянно экспериментирует с разновидностями кафе-закусочных, меню, ценами, видами блюд. При этом принято не увлекаться детальными теоретическими разработками, а смело идти на ощупь, так за шагом, все время оценивая последствия каждого из них.
Отчетность в лучших компаниях сокращена до минимума. Крупная фирма может удовлетворяться в ежедневном отчете своих отделений всего двумя показателями: количеством отгруженной продукции и приблизительной оценкой прибыли. Количество целей деятельности также сводится к минимуму. Существует афоризм: «Больше двух целей – это отсутствие целей».
Четвертый важный принцип успеха –
это «самостоятельность и предприимчивость».
Этот принцип особенно важен в случае применения всевозможных новаций, столь характерных для образцовых предприятий. Основа любой новации – человек, приверженный новому делу, одержимый им. Авторы называют его «энтузиастом или поборником продукта». Были проанализированы 24 важнейшие деловые инициативы в фирмах США и Японии. Из них успешными оказались пятнадцать. Так вот знаменательно, что в четырнадцати из этих пятнадцати легко было обнаружить яркую фигуру «энтузиаста продукта». В девяти же неудачных начинаниях подвижник был выявлен всего в трех случаях. Особо интересно здесь то, что данное правило оказалось верным и для японцев, успехи которых обычно связывают не с энтузиазмом отдельных личностей, а с целеустремленностью коллективов.
Поскольку данный признак успеха компании связан с личностью человека, лучшие фирмы придают большое значение индивидуальным свойствам работника и прежде всего его эмоциям, чувствам и даже страстям. Считается, что для стимулирования появления у людей необходимых полезных личных качеств не следует жалеть усилий.
Роль личности в успехе фирмы подтверждает и то странное на первый взгляд обстоятельство, что чаще всего новации появляются не на крупных, а на малых и средних предприятиях. Именно в небольших коллективах легче культивировать и отмечать выдающиеся способности и энтузиазм отдельных работников. На крупных предприятиях самостоятельность и предприимчивость встречаются много реже, чем на мелких.
Рассматриваемый признак, казалось бы, противоречит сделанному Т. Питерсом и Р. Уотерменом выбору: ведь все без исключения выделенные ими образцовые компании – крупные. На самом деле здесь нет никакого противоречия: любая из избранных компаний на поверку состоит из многих десятков частей – отделений, работающих вполне самостоятельно. Количество персонала отделения всегда меньше тысячи человек (некоторые компании специально строят для стимулирования такого дробления малые здания). Но и отделениями дело не ограничивается. Внутри себя отделения создают еще более мелкие самостоятельные подразделения – бригады. Именно бригады формируются около упомянутого энтузиаста-подвижника, становясь основным звеном большого предприятия.
Но и бригада – не последний рубеж самостоятельности. Многие компании создают и культивируют так называемых «вольных сотрудников». Это специалисты, получающие полную свободу действий сроком на несколько лет. Их роль – генерация новых, «безумных» идей, способных перевернуть сложившийся на предприятии порядок вещей в сфере производства, организации труда и т. д. Именно таким «вольным стрелкам» во многом обязана своими успехами знаменитая фирма по производству электронно-вычислительной техники ИБМ.
Компании поощряют конкуренцию между своими подразделениями, не связывают новаций с определенными сложившимися организационными формами. Управляющие всех уровней получают значительные вознаграждения за любые новшества, принятые ими к разработке, независимо от их авторства.
Проведение рассматриваемого принципа в жизнь приводит порой к организационной неразберихе, дублированию функций, создает впечатление стихийности, Но это не останавливает лучшие фирмы. Ведь цель их не во внешней «прилизанности» и благопристойности, а совсем в другом – экономическом, рыночном эффекте.
Образцовые компании, стремясь добиться нужного эффекта, прилагают огромные усилия для создания благоприятных возможностей неформального общения персонала. Одна из фирм, например, заменила для этого лифты эскалаторами, в другой – персонал, начиная с президента, носит на груди табличку со своим именем, в третьей – в столовой сделан общий стол, в четвертой – на всех этажах устроены небольшие конференц-залы с учебными креслами и грифельными досками.
Очень интересен и культивируемый на лучших фирмах подход к критике новшеств: если кто-то собирается опровергнуть проект, то не автор доказывает плодотворность своей идеи, а опровергатель – ее несостоятельность (так называемый принцип «презумпции невиновности автора»).
Важнейшим принципом творчества становится терпимое отношение к неудачам, право новатора на риск, осознание того факта, что предпринимательский риск в отдельных случаях предполагает возможность неудачи.
Пятый признак образцовости
связан с управлением персоналом предприятия. Он формулируется как «побуждение через ценности, активная включенность руководителя в дела персонала».
Суть данного признака проявляется в особом стиле и методах руководства, характерных для менеджеров лучших компаний. Их отличительная особенность – неприятие командных, силовых приемов, пренебрежение подробными мелочными указаниями, детальными инструкциями, скрупулезными распоряжениями. Эффективность управления, ясность руководства, взаимопонимание работников на всех уровнях достигаются внутренним единством персонала, исходящего из общих целей, одинакового представления о путях их согласованного достижения.
Это предполагает формирование у всех членов коллектива общей системы ценностей. Вот ее основные элементы, носящие характер веры:
– вера в свое превосходство;
– вера в важность мелких частностей, всех деталей дела;
– вера в значимость человека – личности;
– вера в высшее качество продукции и обслуживания;
– вера в появление новаторов, в необходимость поддержки тех из них, кто потерпел неудачу;
– вера в важность неформального общения и форм работы;
– вера в экономический эффект высокого конечного результата, оптимальные решения и максимальную прибыль.
Эти символы веры должны настойчиво и ненасильственно, личным примером руководителей внедряться в сознание коллектива компании, что требует от менеджеров всех уровней особого энтузиазма, желания и умения работать в гуще людей, «управлять путем хождения повсюду».
Шестой признак благополучия фирмы –
«приверженность своему неповторимому делу». Это
предполагает самобытность – способность компании сохранить свое лицо при любом изменении обстановки и при любом развитии дела (подобно тому как для отдельного человека самобытность – признак высокого качества личности).
Отступление от этого принципа ведет к потере фирмой своей марки и как следствие – нажитого авторитета, доверия потребителей. Особенно часто это случается после поглощения фирмы или ее слияния с другими компаниями.
Требование самобытности не исключает возможности освоения фирмой новых видов продукции, новых форм деятельности, дробления фирмы или изменения ее состава. Все дело в том, чтобы не потерять своего главного умения – той изюминки, которая делает фирму, ее продукцию оригинальной, незаменяемой, а значит, нужной людям. Фирма может ветвиться, проникать в смежные области, но ни в коем случае не должна распыляться по многим направлениям, теряя свое лицо.
Седьмой важнейший признак лучших компаний –
«простая форма, скромный штат управления».
Это непросто осуществить, особенно для крупных предприятий: известно, что чем крупнее хозяйственный организм, тем сложнее управление им. В том-то и смысл, что требуется сделать сложное дело понятным для многих тысяч людей. А понятное многим – значит простое.
Для соблюдения данного принципа необходимо добиться такого формирования и функционирования организационной структуры управления, которые позволили бы совместить необходимую стабильность (консерватизм) этих структур и гибкость системы. Для решения этой труднейшей задачи в лучших компаниях вместо традиционных линейно-функциональных структур управления широко используются целевые, построенные по проблемному признаку структуры. Это дает возможность значительно сократить бюрократический аппарат. Центром приложения управленческих усилий становится отделение, специализирующееся на конкретной продукции. Вместе с тем целевые структуры не препятствуют необходимым реорганизациям. Важно лишь создать обстановку, когда эти изменения не сказываются на благополучии персонала, сопровождаются чувством его уверенности в своем будущем.
Аппарат управления образцовых фирм обычно невелик. При этом действует так называемое «правило 100» – не более ста человек на десять тысяч работников, даже при миллиардных оборотах. Такое становится возможным лишь при делегировании большинства полномочий отделениям.
Обязательной является ротация управленческих кадров с производства в управление и обратно. Так, фирма ИБМ установила у себя трехлетний цикл такой ротации. В этих условиях нет смысла «держаться за кресло», невыгодно плодить около себя бюрократов, зная, что это потом обернется против тебя, придется «на твою шею».
Авторы книги резко критикуют распространенную в США (да, кстати, и у нас) систему управления, исходящую из принципа, что на одного руководителя должно приходиться не более 5–7 человек. Для того чтобы управлять многотысячным коллективом, нужно создать множество уровней между первым руководителем и рядовыми исполнителями. Действительно, у Форда таких уровней оказывалось пятнадцать. Современная японская система управления предполагает возможность управления из одного центра даже несколькими сотнями людей. Поэтому в «Тойоте» между председателем правления и руководителем нижнего звена всего пять уровней. Образцовые американские компании все больше приближаются к этой японской модели.
Восьмой,
последний признак лучших компаний –
«свобода действий и жесткость одновременно».
Смысл его в сочетании свободы, неформализованности управления со строжайшим порядком и дисциплиной всех работников. Обеспечивается это тем, что со многими мягкими «можно» соседствуют и железные «нельзя». Такими «табу» являются вопросы, связанные с конечными целями деятельности компании, прежде всего снижение качества продукции и обслуживания потребителя. Так, в компании ИБМ нарушение принципа «ИБМ означает обслуживание» влечет безоговорочное увольнение. Соблюдение этих требований обеспечивается строжайшим и эффективным контролем. Особенно результативным и неотвратимым является контроль неформальный, осуществляемый самим персоналом. Контролю способствует и ограниченное число показателей, и большая самостоятельность подразделений, и высокая квалификация всех работников. Не последнее место занимает и самоконтроль, основанный на острой заинтересованности всего персонала в конечном результате работы, и постоянные эксперименты, показывающие наглядные плоды деятельности.
Разговор о рецептах эффективного менеджмента будет неполным, если не упомянуть еще об одном замечательном достижении рыночной экономики – современном японском опыте.
Среди многочисленных достижений японского бизнеса и менеджмента особого внимания заслуживает принцип, получивший название «точно вовремя».
Он предельно прост и не требует для своей реализации больших материальных средств и сложной (например, компьютерной) техники.
Идея метода вообще-то не нова. Требуется производить и поставлять все товары и их составные элементы ко времени: сырье и материалы – к моменту сборки деталей, отдельные детали – к моменту сборки узлов, комплектующие узлы – к моменту сборки из них готовых изделий, готовые изделия – к моменту их реализации.
В западном деловом мире существует шутка о том, что японцы производят малые партии товаров «точно в срок», а американцы – огромные партии «на всякий случай». Сами японцы указывают, что термин «точно в срок» не следует понимать буквально. Полное осуществление его нереально даже для Японии. Однако к выполнению этого принципа следует стремиться, принимать для этого все необходимые усилия, и это даст потрясающие результаты. Тут есть следующая аналогия: высочайшее качество изделий, работа без брака ведь тоже есть нечто идеальное и полностью недостижимое, однако стремление к такому качеству, управление им вполне возможно и результативно.
Принцип «точно вовремя» заключается в активном, регулируемом использовании всех материалов и комплектующих в производственном процессе, в резком сокращении их запасов (японцы называют это «из ложки прямо в рот»). При этом основой производственного процесса является подетальное производство и продвижение изделий. Главной в принципе становится система постоянного контроля производственных запасов. Поэтому иногда принцип «точно вовремя» называют производством без запасов, или «канбан» (в переводе буквально «карточка», «зрительная система записи»).
В качестве мер, предпринимаемых при реализации принципа, можно назвать выпуск изделий мелкими партиями (так легче управлять временем), сокращение времени наладки оборудования (это делает более точным выполнение производственных задач), усиление мероприятий по сокращению брака и повышению качества изделий, оптимизацию размеров заказов, отказ от резерва запасов, создание групп борьбы (добровольных!) за улучшение работы и т. д.
Применение принципа «точно вовремя» повышает производительность труда и улучшает качество продукции. Результаты работы делаются более наглядными на каждом рабочем месте, что повышает ответственность работников и их заинтересованность в конечном результате.
Принцип «точно вовремя» наряду с производственной сферой применяется также в области торговли, организации сбыта продукции, снабжения предприятий, особенно закупок сырья и материалов.
Важно отметить, что принцип «точно вовремя», как и многие другие японские достижения, может быть применен не только в Японии (как пытаются представить некоторые наши «теоретики»), но в любой стране с развитой промышленностью. Об этом, в частности, свидетельствует опыт США – страны, активно и целеустремленно использующей японские нововведения.
менеджмент эффективность расчет
Здесь в качестве примеров расчетов эффективного менеджмента будут рассмотрены:
расчеты дохода, прибыли и рентабельности;
расчеты коэффициентов эффективности деятельности фирмы;
расчеты оптимального использования ресурсов.
Расчеты дохода, прибыльности и рентабельности
Доход
предприятия – это финансовые поступления от всех видов его деятельности: выручка от операций по реализации продукции, работ и услуг, средства от реализации основных фондов (помещений, оборудования) и иного имущества предприятия, средства от внереализационных операций (доходы от долевого участия в деятельности других предприятий, сдачи имущества в аренду, дивиденды по акциям).
Прибыль
(или чистый доход)
предприятия – это разница между доходом (соответствующими финансовыми поступлениями) и затратами (расходами) на их получение:
ПР = Д – З (1)
Прибыль предприятия облагается одним из главных налогов – налогом на прибыль. Разность между прибылью и налогом на прибыль называют чистой прибылью
:
ЧПР = ПР-НПР (2)
Прибыль, соответствующая бухгалтерским расчетам на определенную дату, называется балансовой прибылью.
Суммарный доход (суммарная прибыль) от операций по реализации продукции, работ или услуг (Дри
), реализации основных фондов и иного имущества (Доф
) и внереализационных операций (Двро
) называется валовым доходом (валовой прибылью):
ВД = Дри
+ Доф
+ Двро
; (3а)
ВПР = ПРри
+ ПРоф
+ ПРвро
(3б)
Прибыль от реализации продукции,
работ или услуг рассчитывается как разность между соответствующей выручкой и затратами (расходами) на производство и реализацию продукции (работ, услуг):
ПРри
= Ври
- Зри
. (4)
Перечень затрат, включаемых в себестоимость
продукции (себестоимость услуг), определяется правительством и включает расходы на использование в процессе производства природных ресурсов, сырья, материалов, топлива, энергии, основных фондов, трудовых ресурсов, а также дополнительные расходы на подготовку и освоение новых видов продукции, работ или услуг.
Прибыль от реализации основных фондов
и иного имущества предприятия представляет собой разность между их продажной ценой (ПЦ) и первоначальной (ПС) либо остаточной (ОС) стоимостью, с учетом инфляции
Прибыль от внереализационных операций
представляет собой разность между доходами от долевого участия в деятельности других предприятий, сдачи имущества в аренду, дивидендов по акциям, а также другими доходами, не связанными с производством продукции и ее реализацией, и затратами (расходами) по этим операциям:
ПРвро
= Двро
- Звро
(5)
Важнейшим показателем эффективности единовременных и текущих затрат предприятия является рентабельность (процентный капитал).
Рентабельность представляет собой отношение прибыли к единовременным либо текущим затратам, благодаря которым она была получена.
Различают рентабельность производства и рентабельность продукции (работ или услуг).
Рентабельность производства
характеризует результативность использования имущества предприятия. Она представляет собой процентное отношение годовой прибыли (или чистой прибыли) к авансируемому капиталу. Авансированный капитал (АК) – это сумма среднегодовой стоимости основных фондов (ОФ) и оборотных средств (ОС).
С помощью данного показателя можно определить срок, в течение которого авансированный капитал будет возвращен полностью. Так, если Рпроизв
= 25 %, то это означает, что полный оборот капитала произойдет через 4 года

Рентабельность продукции,
работ или услуг характеризует результативность текущих затрат предприятия. Она представляет собой процентное отношение прибыли к себестоимости продукции (работ или услуг) – затраты на ее производство и реализацию.
Данный показатель дает возможность определить целесообразность производства отдельных видов продукции, работ или услуг.
ПРИМЕРЫ НА РАСЧЕТЫ ДОХОДА, ПРИБЫЛИ И РЕНТАБЕЛЬНОСТИ
1. Выручка (доход) от реализации продукции составила 100 000 д. ед. Материальные затраты - 50 000 д. ед., накладные расходы – 10 000 д. ед., затраты на заработную плату - 10 000 д. ед.
Необходимо рассчитать: 1) прибыль, 2) налог на прибыль (35 %), 3) чистую прибыль.
Решение
1. Общие затраты составляют:
З = 50 000 + 10 000 + 10 000 = 70 000 д. ед.
По формуле (5):
ПР = 100 000 - 70 000 д. ед. = 30 000 д. ед.
2. Налог на прибыль составляет:
НПР = 35 % от 30 000 = 10 500 д. ед.
3. По формуле (2):
ЧПР = 30 000 - 10 500 = 19 500 д. ед.
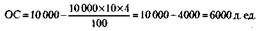
2. Продажная цена основных фондов равна 100 000 д. ед. Первоначальная стоимость основных фондов – 10 000 д. ед. Процент износа основных фондов за год – 10 %.Срок использования основных фондов - 4 года. Индекс инфляции - 10.
Необходимо рассчитать: 1) прибыль от реализации основных фондов, 2) налог на прибыль (35 %), 3) чистую прибыль.
Решение
1. По формуле (5):

По формуле (16.56):
ПРоф
= 100 000 - 6000 х 10 = 40 000 д. ед.
2. Налог на прибыль составляет:

3. По формуле (2):
ЧПР = 40 000 - 14 000 = 26 000 д. ед.
3. Выручка от продажи продукции составила 100 млн руб. Торговые издержки - 20 млн руб., оплата труда рабочих предприятия 25 млн руб., материальные затраты – 10 млн руб., накладные расходы – 5 млн руб.
Необходимо рассчитать: 1) прибыль, 2) рентабельность продукции.
Решение
1. Общие затраты составляют:
З = 20 + 25 + 10 + 5 = 60 млн руб.
По формуле (16.4):
ПР= 100 - 60 = 40 млн руб.
2. По формуле (4):

Расчеты коэффициентов эффективности деятельности фирмы
В качестве примеров коэффициентов (показателей) эффективности деятельности фирмы рассмотрим следующие:
1. Срок выплат по счетам.
2. Запасы в дневной стоимости реализованных товаров.
3. Срок счетов кредиторов в днях закупки.
4. Основной капитал как процент продажи.
Три первых коэффициента рассчитываются в днях, четвертый – в процентах.
Расчеты коэффициентов эффективности
за 1-й год деятельности предприятия
<
Аналогичным путем рассчитываются коэффициенты эффективности за 2-й и 3-й годы деятельности предприятия (табл. 1).
Таблица 1
| Коэффициенты эффективности |
l-й год |
2-й год |
3-й год |
| 1. Срок выплат по счетам (в днях) |
33,3 |
30,9 |
26,9 |
| 2. Запасы в дневной стоимости реализованных товаров (в днях) |
83,2 |
94,6 |
86,7 |
| 3. Срок счетов кредиторов в днях закупки (в днях) |
36,6 |
35,3 |
27,0 |
| 4. Основной капитал как процент продажи (в %) |
5,5 |
4,0 |
2,9 |
Анализ коэффициентов эффективности
позволяет сделать следующие выводы:
1. Срок выплат по счетам показывает, какое число дней в году фирма за свою работу не получала денег, торгуя в кредит (выплаты по счетам соответствуют продаже в кредит). Это соответствует времени ожидания оплаты с момента продажи. Соотнесение данного показателя со сроками продажи показывает, выдерживаются ли установленные сроки кредита. Это дает основание к регулированию кредитных отношений с покупателями. Следует помнить, что чем больше этот показатель, тем больше требуется фирме денег и тем большую выгоду получает покупатель, использующий за это время деньги фирмы. С другой стороны, лишая покупателя кредита, мы рискуем сократить число желающих купить товар. Поэтому нужно находить для данного коэффициента оптимальное значение.
2. Запасы в дневной стоимости реализованных товаров характеризуют возможность их реализации в будущем. Поэтому их соотносят со стоимостью реализованных товаров. Этот коэффициент показывает, как быстро товар проходит через фирму – от дня получения до дня продажи. Рост данного показателя свидетельствует об избыточности запасов, а также их устаревании. Чем выше этот показатель, тем больше сумма замороженных в запасах средств, тем больше расходы на хранение и обновление товаров. Вместе с тем определенное количество запасов требуется для того, чтобы быть готовым удовлетворить покупателя. Следовательно, данный показатель должен носить оптимальный характер.
Иногда для определения скорости прохождения товаров через фирму используют еще один дополнительный показатель – коэффициент оборачиваемости товаров, который равен:
Этот показатель для 1, 2 и 3-го годов деятельности предприятия равен соответственно 4,4 раза, 3,8 раза, 4,2 раза. Результаты сделанного с его помощью анализа скорости прохождения товара через фирму совпадают с теми, которые дает коэффициент «Запасы в дневной стоимости товара».
3. Срок счетов кредиторов в днях закупки характеризует покупку товаров в кредит. Он показывает, сколько дней требовалось фирме, чтобы оплатить товар, купленный в долг. Это дает возможность сделать выводы о степени зависимости предприятия от торгового кредита. Если данный показатель больше определенной величины (она дается практикой), это может означать, что кредитор вот-вот прекратит поставки или потребует немедленной выплаты долгов. Пострадает и репутация фирмы. С другой стороны, выплачивая кредиты раньше этого срока, фирма также сокращает свои возможности.
Для контроля и регулирования платежей удобен следующий порядок соглашений об оплате поставок, действующий во многих странах. Поставщик предлагает срок поставок и их оплаты в следующей форме: «1/7, чистый 30», что означает скидку в 1 % при оплате в течение недели при конечном сроке оплаты в 30 дней. Поскольку ставка процентов торгового кредита значительно выше, чем 1 % (она может быть и 15–20 %), то подобная скидка всегда выгодна фирме. Рассматриваемый коэффициент может оказаться весьма полезным для подобных расчетов. Он позволит сопоставить состояние кредитных расчетов на предприятии с предложениями поставщиков о скидке, учитывая при этом и действующий банковский процент (возможности предприятия получить ссуду в банке для расчетов с поставщиками).
4. Основной капитал как процент продажи свидетельствует о том, сколь успешно используются основные фонды предприятия (рентабельность).
Расчеты оптимального использования ресурсов
.
Успешность решения подавляющего большинства экономических задач зависит от наилучшего, наивыгоднейшего способа использования ресурсов. В процессе экономической деятельности приходится распределять такие важные ресурсы, как деньги, товары, сырье, оборудование, рабочую силу и др. И от того, как будут распределяться эти, как правило ограниченные, ресурсы, зависит конечный результат деятельности, бизнеса.
Суть методов оптимизации
заключается в том, что исходя из наличия определенных ресурсов выбирается такой способ их использования (распределения), при котором обеспечивается максимум (или минимум) интересующего нас показателя. При этом учитываются определенные ограничения, налагаемые на использование ресурсов условиями экономической ситуации.
В качестве методов оптимизации в экономике находят применение все основные разделы математического программирования (планирования): линейное, нелинейное и динамическое.
Линейное программирование (планирование)
– математический метод отыскивания максимума или минимума линейной функции при наличии ограничений в виде линейных неравенств или уравнений. (Линейное здесь означает, что на графике функции изображаются в виде прямых линий, обозначающих 1-е степени соответствующих величин.)
Максимизируемая (минимизируемая) функция представляет собой принятый критерий эффективности решения задачи, соответствующий поставленной цели. Она носит название целевой функции.
Ограничения
характеризуют имеющиеся возможности решения задачи.
Существо решения задач линейного программирования заключается в нахождении условий, обращающих целевую функцию в минимум или максимум.
Решение, удовлетворяющее условиям задачи и соответствующее намеченной цели, называется оптимальным планом.
Линейное программирование (планирование) служит для выбора наилучшего плана распределения ограниченных однородных ресурсов в целях решения поставленной задачи.
В общем виде постановка задачи линейного программирования заключается в следующем.
Условия задачи представляются с помощью системы линейных уравнений или неравенств, выражающих ограничения, налагаемые на использование имеющихся ресурсов.
где Xj
–
искомые величины, содержащие решение поставленной задачи;
aij
и bi
–
известные постоянные величины, характеризующие условия задачи.
Условия задачи (ограничения) могут быть заданы также в виде неравенств. В этих случаях можно привести систему линейных ограничений к виду (16.10), вводя в каждое линейное ограничение дополнительные неотрицательные неизвестные:

Целевая установка оптимизации заключается в том, чтобы свести ожидаемые при решении данной задачи издержки предприятий к минимуму.
Требуется обратить в минимум величину

где с
j
–
показатель, характеризующий издержки предприятий.
Пусть т –
общее число различных видов ресурсов, которыми располагает собственник, а п –
число типов предприятий, между которыми эти ресурсы должны быть распределены. При этом известно, какое количество однородных ресурсов различного вида (i = 1, 2,... т)
может быть реализовано на каждом из предприятий данного типа (j
= 1, 2,... п),
атакже общее количество ресурсов данного вида (
bi
).
Известно также относительное значение издержек на каждом из предприятий (
cj
).
Задача заключается в том, чтобы наилучшим (оптимальным) образом распределить имеющиеся ресурсы по предприятиям, т. е. найти неизвестные величины xj
, требуемые для этого количества предприятий данного типа.
ПРИМЕР. Собственник располагает четырьмя видами ресурсов (m = 4). Это, например, денежные средства, производственные помещения, оборудование, сырье. Ресурсы необходимо распределить между шестью предприятиями (п = 6). Предприятия различаются по экономическим условиям деятельности: месту расположения, системе налогообложения, стоимости энергии, оплате труда и т. д., в связи с чем имеют разные издержки производства. Относительные уровни издержек заданы табл. 2.
Таблица 2
Относительные уровни издержек на предприятиях
| Предприятия |
1 |
2 |
3 |
4 |
5 |
6 |
| Издержки |
0,4 |
0,5 |
0,2 |
0,8 |
0,6 |
0,3 |
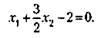
Распределение ресурсов по предприятиям сопряжено с необходимостью учета ряда ограничений, которые могут быть описаны системой четырех уравнений с шестью неизвестными, аналогичной системе:
Смысл первого уравнения в нашем примере в том, что ресурс вида 1, общий ресурс которого составляет 16 единиц, может размещаться в количестве четырех единиц на предприятии первого типа и одной единицы – на предприятии четвертого типа. Аналогично раскрывается смысл второго и последующих уравнений. Последнее условие говорит о том, что число предприятий не может быть отрицательным.
Необходимо определить, какое количество предприятий каждого типа следует иметь, чтобы общие издержки были минимальными.

Рис. 1.
График оптимального распределения ресурсов
В нашем примере, когда п - т
= 2, каждое из ограничительных линейных уравнений, а также линейная функция могут быть представлены геометрически в двухмерном пространстве (на плоскости).
Чтобы представить ограничения и целевую функцию на графике, необходимо выразить все известные через независимые величины. Например, x
1
и х2
,
соответствующие координатным осям, относительно которых будет производиться построение (рис. 1).
Каждому из неравенств на графике рис. 1 соответствует полуплоскость, в пределах которой находятся все допускаемые данным неравенством значения переменной величины xj
(
j
=
1, 2,..., 6). Так, неравенству x
1
³ 0 соответствует полуплоскость вправо от оси х2
(граница ее заштрихована). Неравенству x
3
= 8x
1
+ 12х2
- 16 ³ 0 соответствует полуплоскость вправо и вверх от линии граничного значения данного неравенства (при х3
= 0). Уравнение этой линии:

Таким же образом можно построить границы, определяемые другими уравнениями.
Неравенствам соответствует некоторая область – шестиугольник ABCDEF
,
образованный границами упомянутых выше полуплоскостей. Эта область может быть названа областью допустимых планов, поскольку любая точка в ее пределах отвечает требованиям наложенных ограничений.
Из всех допустимых планов нас интересует оптимальный план, при котором функция цели у
достигает минимума.
Целевой функции соответствует семейство параллельных прямых. Рассмотрим одну из них, проходящую через начало координат, что будет иметь место при у =
22,8. При этом x
2
= 3
x
1
.
Интересующая нас прямая у =
22,8, как видно на рис. 16.1, имеет наклон вправо от оси х2
.
Задаваясь различными значениями у,
получим семейство прямых линий, параллельных прямой у =
22,8, проходящей через точку 0. При этом чем меньше будет значение у,
тем, очевидно, правее будет располагаться соответствующая прямая.
Поскольку мы добиваемся минимального значения у,
то нас будет интересовать прямая, расположенная в наибольшем удалении вправо от прямой у =
22,8 и проходящая через многоугольник ABCDEF
, –
прямая ymin
.
Единственной точкой, соответствующей оптимальному плану, будет та вершина многоугольника ABCDEF
,
которая одновременно принадлежит области допустимых планов и отвечает требованию минимизации целевой функции у, -
вершина С.
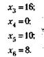
Из уравнения прямой ЕС,
проходящей через точку С,
следует, что х1
= 4. Из уравнения прямой DC
,
проходящей через ту же точку, следует, что x
2
= 0.
Подставляя полученные значения x
1
= 4 и x
2
= 0 в уравнения, определим величины остальных переменных, составляющих оптимальный план:

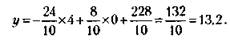
Таким образом, оптимальный план будет следующим:

Линейная форма (величина издержек) при этом будет минимальной:

На практике встречается ряд задач, аналогичных рассмотренному примеру, но требующих максимизации целевой функции (например, величины дохода или прибыли).
При решении этих задач целевая функция рассчитывается по формуле:

где у* –
целевая функция, подлежащая максимизации. Отличие заключается в том, что знаки перед всеми постоянными коэффициентами меняются на обратные

Библиографический список
1. Управление в гибком производстве (в соавт.).– М.: Радио и связь, 2010.-126 с.
2. Основы математического программирования. – М.: ВОК, 2006.-89 с.
3. Автоматизация управления (в соавт.). – М.: Радио и связь, 2009. – 262 с.
4. Основы исследования операций. – М.: ВОК, 2007.-316 с.
5. Разработка систем управления (в соавт.). – М.: ЛИМТУ, 2009.-83 с.
6. Введение в теорию выработки решений (в соавт.). - М: В-дат, 2008.- 39 с.
7. Основы теории игр и статистических решений (в сб.). - М.: ВОК, 2006. - 91 с.
8. Справочник по исследованию операций (в соавт.). - М.: В-дат, 2008. - 361 с.
9. Уроки бизнеса. – СПб.: Образование, 2008. – 190 с.
10. Принятие решений в услових неполной информации. - М.: ЛИМТУ 2007.
|