Содержание
Введение
1.
Сущность, задачи и функции контроллинга. Причины возникновения контроллинга
2.
Взаимосвязь контроллинга с функциями управления на предприятии
3.
Виды контроллинга и их сущность
4.
Структура и содержательная характеристика разделов контроллинга
5.
Объекты контроллинга
6.
Методика анализа цепочки ценностей
7.
Бюджет предприятия «Аврора» на 2008 год
Список используемой литературы
Введение
Контроллинг
- новое явление в теории и практике современного управления, возникшее на стыке экономического анализа, планирования, управленческого учета и менеджмента. Контроллинг переводит управление предприятием на качественно новый уровень, интегрируя, координируя и направляя деятельность различных служб и подразделении предприятия на достижение оперативных и стратегических целей.
1.
Сущность задачи и функции контроллинга. Причины возникновения контроллинга
Контроллинг
− это функционально обособленное направление экономической работы на предприятии, связанное с реализацией финансово-экономической комментирующей функции в менеджменте для принятия оперативных и стратегических управленческих решений.
Слово контроллинг произошло от английского to control - контролировать, управлять, которое в свою очередь происходит от французского слова, означающего «реестр, проверочный список». Но по иронии судьбы в англоязычных источниках термин "контроллинг" практически не используется: в Великобритании и США укоренился термин «управленческий учет» (managerialaccounting, managementaccounting), хотя работником, в чьи должностные обязанности входит ведение управленческого учета, там называют контроллерами (cnntroller). Собственно термин "контроллинг" принят в Германии, откуда он и пришел в Россию. Поскольку отечественная терминология пока не устоялась, в России используют оба термина: и контроллинг, и управленческий учет. Однако термин "контроллинг" более информационно емкий, он передает характер этого современногоявления в управлении и включает в себя не только чисто учетные функции, но весь спектр управления процессом достижения конечных целей и результатов фирмы.
Забиваем Сайты В ТОП КУВАЛДОЙ - Уникальные возможности от SeoHammer
Каждая ссылка анализируется по трем пакетам оценки: SEO, Трафик и SMM.
SeoHammer делает продвижение сайта прозрачным и простым занятием.
Ссылки, вечные ссылки, статьи, упоминания, пресс-релизы - используйте по максимуму потенциал SeoHammer для продвижения вашего сайта.
Что умеет делать SeoHammer
— Продвижение в один клик, интеллектуальный подбор запросов, покупка самых лучших ссылок с высокой степенью качества у лучших бирж ссылок.
— Регулярная проверка качества ссылок по более чем 100 показателям и ежедневный пересчет показателей качества проекта.
— Все известные форматы ссылок: арендные ссылки, вечные ссылки, публикации (упоминания, мнения, отзывы, статьи, пресс-релизы).
— SeoHammer покажет, где рост или падение, а также запросы, на которые нужно обратить внимание.
SeoHammer еще предоставляет технологию Буст, она ускоряет продвижение в десятки раз,
а первые результаты появляются уже в течение первых 7 дней.
Зарегистрироваться и Начать продвижение
Основная цель контролинга – ориентация управленческого процесса на достижение всех целей, стоящих перед предприятием. Для этого контролинг обеспечивает выполнение следующих функций:
· координация управленческой деятельности по достижению целей предприятия;
· информационная и консультационная поддержка принятия управленческих решений;
· создание и обеспечение функционирования общей информационной системы управления предприятием;
· обеспечение рациональности управленческого процесса.
Необходимость появления на современных предприятиях такого феномена, как контроллинг, можно объяснить следующими причинами:
· повышение нестабильности внешней среды выдвигает дополнительные требования к системе управления предприятием:
− смещение акцента с контроля прошлого на анализ будущего;
− увеличение скорости реакции на изменения внешней среды, повышение гибкости предприятия;
− необходимость в непрерывном отслеживании изменений, происходящих во внешней и внутренней средах предприятия;
− необходимость продуманной системы действий по обеспечению выживаемости предприятия и избежанию кризисных ситуаций;
· усложнение систем управления предприятием требует механизма координации внутри системы управления;
· информационный бум при недостатке релевантной (существенной, значимой) информации требует построения специальной системы информационного обеспечения управления;
· общекультурное стремление к синтезу, интеграции различных областей знания и человеческой деятельности.[2; с. 8]
2.
Взаимосвязь контроллинга с функциями управления на предприятии
При этом формирование учетно-экономической информации на предприятии должно осуществляться таким образом, чтобы были задействованы и учтены все аспекты его финансово-хозяйственной деятельности. В связи с этим первоочередной задачей контроллинга является обеспечение оптимизации взаимосвязей и зависимостей информационных потоков между всеми основными функциями управления, что даст возможность получения релевантной (полезной) информации, необходимой для принятия управленческих решений.
Логическим продолжением вышеприведенных аргументов является рассмотрение данных взаимосвязей. По исторически − бухгалтерской ориентации (исторически было так определено, что деятельность бухгалтера ориентировалась только на формирование учетной информации; следующим этапом трансформации учетных данных является их обработка системой контроллинга таким образом, чтобы информация была полезной − релевантной − для менеджеров в принятии управленческих решений) контроллинг делает информацию бухгалтерского учета полезной для принятия решений. Повышающиеся требования к руководству предприятия относительно совершенствования методов управления привело к необходимости анализа различных сторон финансово-хозяйственной деятельности. Основываясь на данных бухгалтерского учета как на источнике ин формации, служба контроллинга изучает явления и процессы на предприятии, выявляет слабые места, проводит сравнение фактических показателей с запланированными и анализирует причины отклонений, а также предлагает меры по улучшению ситуации на предприятии. Разработкой концепций эффективного управления контроллинг освобождает руководство от ряда проблем по планированию, контролю и обеспечению информацией. В его деятельности преобладают элементы планирования на основе знаний процессов на предприятии и внешней среды (экономической, технологической, политико-правовой), а также информационных технологий.
Сервис онлайн-записи на собственном Telegram-боте
Попробуйте сервис онлайн-записи VisitTime на основе вашего собственного Telegram-бота:
— Разгрузит мастера, специалиста или компанию;
— Позволит гибко управлять расписанием и загрузкой;
— Разошлет оповещения о новых услугах или акциях;
— Позволит принять оплату на карту/кошелек/счет;
— Позволит записываться на групповые и персональные посещения;
— Поможет получить от клиента отзывы о визите к вам;
— Включает в себя сервис чаевых.
Для новых пользователей первый месяц бесплатно.
Зарегистрироваться в сервисе
Следовательно, находясь на пересечении функций учета, контроля, анализа и планирования, контроллинг занимает особое место в информационно-аналитической системе управления предприятием. Он синтезирует, связывает воедино все вышесказанные функции, интегрирует и координирует их, не подменяя собой ни одну из функций управления, а лишь переводя управление предприятием на качественно новый уровень. [1; с. 27]
контроллинг управление бюджет
3.
Виды контроллинга и их сущность
Современный менеджмент разделяет цели предприятия на две группы: оперативные (краткосрочные) и стратегические (долгосрочные, перспективные). Поэтому контроллинг позволяет осуществлять постоянный контроль за достижениями как стратегических, так и оперативных целей деятельности предприятия. Следовательно, контроллинг как система включает в себя два основных аспекта: стратегический и оперативный.
Цель стратегического контроллинга
− обеспечение выживаемости предприятия и «отслеживание» движения предприятия к намеченной стратегической цели развития.
Установление стратегических целей начинают с анализа информации о внешних и внутренних условиях работы предприятия.
Стратегический контроллинг несет ответственность за обоснованность стратегических планов. Прежде чем осуществлять контроль за достижением какой-либо цели, необходимо установить, насколько обоснованно она выбрана и насколько реально ее достижение. Проверка стратегических планов включает в себя, как минимум, проверку на полноту планов, их взаимоувязку и отсутствие внутренних противоречий.
По результатам проведенной проверки следует либо разработать систему контроля за выполнением плана, либо приступить к разработке альтернативных вариантов стратегического плана.
Если выбранный вариант стратегического плана нас устраивает, то для разработки системы следящего контроля за достижением стратегических целей необходимо выбрать области контроля:
· стратегические цели (как качественные, так и количественные);
· критические внешние и внутренние условия, лежащие в основе стратегических планов;
· узкие и слабые места, выявленные в результате анализа стратегического плана.
При определении системы подконтрольных показателей необходимо помнить о следующих требованиях:
· объем показателей должен быть ограничен;
· показатели должны содержать данные по всему предприятию в целом, а также по всем его подразделениям;
· выбранные показатели должны быть динамичными и перспективными (необходимо обеспечить возможность сопоставления данных, как минимум, за пять лет);
· показатели должны иметь характер раннего предупреждения;
· при выборе показателей необходимо обращать внимание на то, чтобы они были сопоставимыми (с прошлыми достижениями, с другими предприятиями отрасли и т.п.).
Анализ выбранных подконтрольных показателей включает в себя следующее:
· сравнение нормативных и фактических значений с целью выявления отклонений;
· выявление причин и виновников отклонений;
· определение зависимости между полученными отклонениями и конечными результатами деятельности предприятия;
· анализ влияния полученных отклонений на конечные результаты.
Аналитическую информацию передают с определенной периодичностью руководству предприятия для принятия управленческих решений. [2; с. 15]
Цель оперативного контроллинга
− создание системы управления достижением текущих целей предприятия, а также принятие своевременных решений по оптимизации соотношения затраты − прибыль.
В отличие от стратегического оперативный контролинг ориентирован на достижение краткосрочных целей.
Основные подконтрольные показатели:
· рентабельность капитала;
· производительность;
· степень ликвидности.
Систему оперативного контроллинга используют для поддержания оперативных решений по недопущению кризисного состояния.
4.
Структура и содержательная характеристика разделов контроллинга
Установление целей
− определение качественных и количественных целей предприятия и выбор критериев, по которым можно оценить степень достижения поставленных целей.
Планирование
− превращение целей предприятия в прогнозы и планы. Первый шаг планирования − анализ сильных и слабых сторон предприятия, возможностей и опасностей (так называемый SWOT-анализ). На основе этот разрабатывают сначала стратегию предприятия, а затем − план. План позволяет предприятию оценить, насколько реально достижение поставленных целей, что помогает, а что мешает их достичь. План − это количественное выражение целей предприятия и разработка путей их достижения. Планы разрабатывают как по всему предприятию в целом, так и по каждому подразделению. Контроллинг участвует в разработке методики планирования, координирует деятельность разных подразделений и служб предприятия в процессе планирования, а также оценивает планы, определяя насколько они соответствуют целям предприятия, насколько они стимулируют к действию, насколько реально их выполнение.
Оперативный управленческий учет
− отражение всей финансово-хозяйственной деятельности предприятия в ходе выполнения плана. Как элемент системы контроллинга он принципиально отличается от бухгалтерского учета. Специфика управленческого учета состоит в том, что он ориентирован на информационные потребности руководителей предприятия и подразделений, на поддержку принятия управленческих решений, а бухгалтерский учет нацелен прежде всего на внешних пользователей (государственные органы, банки и др.).
Система информационных потоков
− важнейший элемент системы контроллинга на предприятии. Сам процесс управления часто рассматривают как процесс преобразования информации: управленческие воздействия − это информация особого рода. В теории информации математически доказано, что существует некий минимальный объем информации, без которого эффективное управление невозможно. Причем чем более разнообразной может быть реакция объекта управления, тем больше, нужно информации. Применительно к предприятию это означает, что чем более изменчива экономическая среда, чем сложнее внутреннее устройство самого предприятия − тем больше информации нужно для эффективного управления. Поэтому управлять, не владея информацией, сегодня невозможно. Одна из основных задач контроллинга − информационная поддержка управления, решить ее можно только при условии четкого и слаженного функционирования системы информационных потоков на предприятии.
Контроллинг является поставщиком информации, необходимой для функционирования системы управления на предприятии. Информация − это совокупность сведений, уменьшающих степень неопределенности. Поэтому информация, которую поставляет система контроллинга, должна отвечать следующим требованиям:
· достоверность;
· полнота;
· релевантность (существенность);
· полезность (эффект от использования информации должен превышать затраты на ее получение);
· понятность;
· своевременность;
· регулярность.
Таким требованиям должна отвечать любая информация, в том числе информация традиционного бухгалтерского (финансового) учета. Однако значимость различных требований может быть различной: если для бухгалтерского (финансового) учета главное − это достоверность информации, то в системе контроллинга − релевантность информации (насколько она существенна для принимаемого управленческого решения). Все остальные требования к информации в рамках контроллинга играют подчиненную роль: несущественная информация, даже если она вполне достоверна, не может помочь в принятии управленческих решений; в то же время существенная, но достоверная лишь на 95%, − может оказаться большим подспорьем руководителю.
Релевантными для принятия управленческого решения можно считать только те сведения, которые непосредственно связаны с данным решением:
· условия, в которых принимается решение;
· целевые критерии;
· набор возможных альтернатив (какие решения в принципе можно принять);
· последствия принятия каждой из альтернатив (что произойдет, если будет принято то или иное решение).
Владея информацией, руководитель может осуществлять мониторинг
всей финансово-хозяйственной деятельности предприятия − отслеживание протекающих на предприятии процессов в режиме реального времени; составление оперативных отчетов о результатах работы предприятия за наиболее короткие промежутки времени (день, неделя, месяц); сравнение целевых результатов с фактически достигнутыми. На основании такого сравнения делают выводы о сильных и слабых сторонах предприятия, динамике их изменения, а также о благоприятных и неблагоприятных тенденциях развития внешних условий, в которых предприятию приходится работать. Изменение условий внешней и внутренней сред предприятия влечет за собой пересмотр целевых параметров: необходимо проверить насколько оптимальны поставленные цели в новых условиях, сможет ли предприятие ввиду произошедших изменений добиться поставленных целей. На основании измененных целевых параметров, а также прогноза изменений сильных слабых сторон самого предприятия корректируется план действий по достижению целей, и уже этот новый, пересмотренный план воплощается в жизнь, т.е. круг замыкается. [2; с. 19]
5.
Объекты контроллинга
Характеризуя сущность управленческого учета, важным является определение его предмета. В переводе с латинского предмет означает объект. В философском понимании объект выражает то, что противостоит субъекту в его практической и познавательной деятельности. Суть контроллинга заключается в предоставлении информации определенной емкости, необходимой менеджерам в процессе управления предпринимательской деятельностью. Следовательно, с одной стороны, стоит субъект, т.е. орган, который целенаправленно использует информацию контроллинга, с другой стороны − объекты, которые наблюдаются и познаются субъектами при помощи контроллинга.
В современной экономической литературе отсутствует четкое определение предмета контроллинга. Вместе с тем, совершенствование процессов управления на предприятиях требует применения адекватных методов накопления и обработки информации. И, в особенности, это затрагивает процессы:
· моделирования систем учета затрат и доходов на предприятиях с различной организационной структурой;
· влияния изменяющихся внешних факторов (инфляция, структурное перевооружение промышленности и др.) на природу и поведение внутренних факторов предприятия.
Это, в свою очередь, способствует изменению объектов и субъектов как управления в целом, так и контроллинга в частности.
Предмет контроллинга − это совокупность объектов, имеющих место в процессе всего цикла управления производством (распределение затрат) и предприятия в целом.
Содержание предмета раскрывают его многочисленные объекты, которые возможно систематизировать по двум основным группам. К ним относятся производственные ресурсы, хозяйственные процессы и их результаты, а также их кругооборот в процессе хозяйственной деятельности предприятия.
Классификация объектов контроллинга должна отвечать основным целям управления. Исходя из этого, их группировка может быть представлена в различных интерпретациях, которые соответствуют запросам менеджеров уровней управления предприятием.Между тем, изначальным элементом деятельности любого предприятия являются затраты, которые уже произведены или только планируются. За размеры затрат на предприятии несут ответственность менеджеры различных уровней управления (центров ответственности). Следовательно, объектами контроллинга являются затраты и центры ответственности.
В отечественной экономической литературе термины «издержки», «затраты», «себестоимость» и «расходы» воспринимаются как синонимы. В бухгалтерском учете и финансово-хозяйственном контроле рыночной экономики правильная интерпретация понятий направлена на достоверное формирование финансового результата (прибыли или убытка). Наиболее обобщающим понятием, относящимся как к затратам, так и к расходам, воспринимаются издержки. Под издержками понимается денежное измерение суммы расходов, используемых с какой-то целью. Такой точки зрения придерживается известный американский исследователь Энтони Р. который отождествляет понятия «издержки» и «себестоимость».
Затраты − самое неопределенное слово в управлении, которое определяется суммой издержек, понесенных предприятием (хозяйствующим субъектом) в момент приобретения товаров или услуг. Оно употребляется во множестве различных значений. Слово «cost» (стоимость, издержки, затраты) приобретает более точное значение, когда оно сопровождается определением: прямые затраты; косвенные затраты и т.д. [1; с. 49]
Таблица 1.
Классификация затрат по основным признакам
| Классификационный признак |
Элементы классификации |
| 1 |
2 |
| Экономический элемент |
· материальные затраты
· затраты на оплату труда
· отчисления на социальные нужды
· амортизация основных фондов др.
|
| Калькуляционная статья |
· сырье и материалы
· покупные изделия, полуфабрикаты, услуги и работы производственного характера
· топливо и энергия на технические цели
· основная заработная плата производственных рабочих
· дополнительная заработная плата производственных рабочих
· отчисления на социальные нужды производственных рабочих
· расходы на подготовку и освоение производства
· общепроизводнные расходы
· общехозяйственные расходы прочие производственные расходы
· коммерческие расходы
|
| По отношению к объему производства |
· постоянные
· условно – постоянные
· переменные:
− пропорциональные
− прогрессивные
− дигрессивные
|
| По отношению к себестоимости |
· прямые
· косвенные, относимые на себестоимость пропорционально базе:
− основной заработной плате производственных рабочих
− прямым затратам и др.
|
| По составу затрат |
· простые (одноэлементные)
· комплексные (сложные)
|
| По отношению к процессу производства |
· затраты предметов труда
· затраты средств труда
· затраты живого труда
|
| По отношению к сфере кругооборота средств |
· производственные (затраты сферы производства)
· непроизводственные (затраты сферы обращения)
|
| По отношению к периоду |
· единовременные
· текущие
· периодические
|
| По отношению к процессу планирования |
· планируемые
· не планируемые
|
| По отношению к продукции |
· общие (суммарные)
· затраты на единицу продукции
|
| По отношению к объекту управления |
· |
Принимая во внимание вышеизложенное, отметим, что службы управления в лице менеджеров различных центров ответственности нуждаются в самой разной информации, сгруппированной различным образом.
Эффективность процесса управления затратами обусловливается необходимостью определения узких мест на предприятии, т.е. установления зон повышенного риска, возникновения отклонений, а также субъектов, способных это сделать. В связи с этим представляется целесообразным разделение полномочий и ответственности в сфере руководства и оперативного управления, что, в свою очередь, расширит возможности и повысит эффективность менеджмента.
Решение вопросов разделения полномочий и взаимоотношений между менеджерами различных уровней связано с формированием структуры предприятия, которая отражает состав и взаимосвязь его подразделений. Следует отметить, что никакой тип организационной структуры не является обязательным для тех или иных предприятий на всех этапах его роста и развития. Однако при этом один принцип организации имеет универсальное значение. Для обеспечения эффективности управления полномочия и ответственность должны быть четко определены и закреплены.
Центр ответственности − это подразделение предприятия, где ответственным лицом (менеджером) контролируемая появление затрат, получение прибыли, использование инвестируемой прибыли (рис. 2).
Рис. 2 дает описание сути − внутреннего содержания каждого центра ответственности. Из всей представленной совокупности центр ответственности за формированием затрат можно считать самым мелким подразделением, поскольку остальные центры ответственности, наряду с осуществлением контроля за формированием затрат, несут ответственность за формирование доходов (центр прибыли) и капитальных вложений (цент инвестиций).
Деятельность центров затрат не всегда приносит доход, но она обязательно требует вложения затрат, которые возможно достоверно определить и зарегистрировать.
6. Методика анализа цепочки ценности
В настоящее время повышенное внимание уделяется анализу цепочки ценности как средству повышения степени удовлетворения запросов потребителей и более эффективному управлению расходами. Цепочка ценности показана на рис. 3
На рис. 3 представлен взаимосвязанный набор видов деятельности, создающих ценность, начиная от поставки основных исходных материалов до поставки конечного продукта или услуги заказчику. Координированность отдельных составляющих цепочки ценности создает условия для повышения степени удовлетворения запросов потребителей, особенно с точки зрения эффективности продукции, затрат, качества и своевременности доставки. Предприятие, которое выполняет определенные виды деятельности, входящие в цепочку ценности, более эффективно и с меньшими расходами, чем его соперники, получает конкурентное преимущество на рынке товаров и услуг.
Следовательно, необходимо определить, каким образом выполняются виды деятельности, входящие в цепочку ценности, и как они взаимодействуют друг с другом. Очевидным является тот факт, ЧТО виды деятельности не являются набором независимых составляющих, а представляют собой систему взаимосвязанных этапов, в которых результаты одного из них влияют на расходы других.
Целесообразно также исследовать цепочку ценности с точки зрения потребителя, когда каждое последующее звено рассматривается как потребитель продукции предыдущего звена. При этом, если в цепочке ценности каждое звено разработано •гак, чтобы обеспечить потребности своих заказчиков (следующих звеньев), то удовлетворение конечного потребителя будет гарантировано. Более того, если рассматривать каждое звено в цепочке ценности как зависимость между поставщиком и потребителем, то мнения потребителей могут использоваться в качестве полезной обратной связи для оценивания услуг, поставляемых поставщиком. В этом случае появляются возможности для совершенствования видов деятельности на всем протяжении цепочки ценности.
Цель анализа цепочки ценности − поиск связей между видами деятельности, добавляющими ценность продукции, в результате чего происходит получение возможности снижения расходов и (или) получение повышенной дифференциации продукции. Эти связи могут быть установлены как внутри самого предприятия, так и между предприятием и его поставщиками и потребителями.
Американские ученые Шенк и Говиндараджан считают, что предприятие должно анализировать свою цепочку ценности в сравнении с аналогичными цепочками ценности, имеющимися у соперников или в отрасли в целом. Данный анализ может быть осуществлен, придерживаясь следующей последовательности:
1. Выявить цепочку ценности в отрасли, а затем уточнить значение расходов, поступлений и активов применительно к каждому звену этой цепочки. Эти виды деятельности являются "строительными блоками", при помощи которых, входящие в данную отрасль предприятия создают продукт, который покупатели считают для себя ценным.
2. Осуществить диагностику факторов затрат, регулирующих каждый из указанных видов деятельности.
3. Разработать устойчивое конкурентное преимущество, даже если значение контролируемых предприятием факторов затрат выше, чем у соперников, или переформировать всю цепочку ценности. За счет систематического анализа расходов, поступлений и активов по каждому виду деятельности предприятие может выйти на более низкие затраты. Это достигается сравнением цепочки ценности предприятия и цепочек ценности ее основных соперников, а также выявлением видов деятельности, необходимых для управления цепочкой ценности лучше, чем это делают менеджеры соперников в отношении своих цепочек.
Сфокусированность на результатах применения анализа цепочки ценности приводит к необходимости применения широкого стратегического подхода к управлению расходами. В этой связи необходимо отметить, что оперативный контроллинг делает ставку на внутренние аспекты, однако, если исходить из подхода, в основе которого лежит анализ цепочки ценности, такой контролинг начинается слишком поздно и заканчивается слишком рано. Так, когда анализ затрат по закупкам начинается только с закупок, то упускаются все возможности для анализа связей с поставщиками предприятия, а завершение анализа в месте продаж продукции не позволяет отслеживать связи предприятия с потребителями. [1;с.247]
7. Бюджет предприятия «Аврора» на 2008 год
Предлагаемая структура операционного бюджета
Бюджет продаж
| Показатель |
Корпус для помп |
Корпус для насосов |
всего |
| Объем продаж, ед. |
6 000 |
2 000 |
− |
| Цена за ед. |
700 |
900 |
− |
| Доход от продаж, грн. |
4 200 000 |
1 800 000 |
6 000 000 |
График ожидаемых денежных поступлений
| Показатель |
Сумма, грн. |
| Дебиторская задолженность на начало периода |
500 000 |
| Поступление оплаты от покупателей за реализованную продукцию |
| В отчетном периоде |
5 400 000 |
| В следующем периоде |
600 000 |
| Всего денежных поступлений |
5 900 000 |
| Остаток на конец дебиторской задолженности за товары, работы, услуги |
600 00 |
Бюджет производства
| Показатель |
Корпус для помп |
Корпус для насосов |
| Объем продаж ,ед. |
6 000 |
2 000 |
| Необходимый запас готовой продукции на конец периода, ед. |
1 000 |
500 |
| Всего, ед. |
| Запас готовой продукции на начало периода, ед. |
200 |
150 |
| Объем производства, ед. |
6 800 |
2 350 |
Бюджет использования и приобретения материалов
Показатель
|
Корпус для помп |
Корпус для насосов |
Всего
|
| Объем производства, ед. |
6 800 |
2 350 |
9 150 |
| Материальные затраты на ед. продукции: |
| Материал А, кг. |
10 |
10 |
| Материал Б, кг. |
6 |
8 |
| Производственная необходимость в материалах: |
| Материал, А, кг. |
68 000 |
23 500 |
91 500 |
| Материал, Б кг. |
40 800 |
18 800 |
59 600 |
| Необходимый запас на конец периода: |
| Материал А |
8 500 |
| Материал Б |
2 400 |
| Общая потребность: |
| Материал, А, кг. |
100 000 |
| Материал, Б кг. |
62 000 |
| Начальный запас материалов: |
| Материал, А, кг. |
7 000 |
| Материал, Б кг. |
6 000 |
| Объем закупки материалов: |
| Материал, А, кг. |
93 000 |
| Материал, Б кг. |
56 000 |
| Средневзвешенная цена: |
| Материал, А, грн./кг. |
8,93 |
| Материал, Б грн./кг. |
10,9 |
| Прямые материальные затраты на производство грн. |
1 051 960 |
414 775 |
1 466 735 |
График ожидаемых платежей за приобретенные материалы
| Показатель |
Сумма, грн. |
| Кредиторская задолженность на начало |
250 000 |
| Затраты на покупку материалов |
1 453 000 |
| Остаток на конец кредиторской задолженности за приобретенные материалы |
720 000 |
| Ожидаемые платежи за материалы |
983 000 |
Бюджет прямых затрат на оплату труда
| Показатель |
Корпус для помп |
Корпус для насосов |
Всего |
| Объем производства, ед. |
6 800 |
2 350 |
| Трудовые затраты час./ед. |
4 |
6 |
| Всего трудозатрат, час. |
27 200 |
14 100 |
| Ставка 1 час./грн. |
20 |
20 |
| Всего затрат на заработную плату, грн. |
544 000 |
282 000 |
826 000 |
| ОГФСС на ФОТ рабочих |
206 720 |
107 160 |
313 880 |
Бюджет общепроизводственных затрат
| Показатель |
Сумма, грн. |
| переменные расходы |
постоянные расходы |
Итого |
| Вспомогательные материалы непрямого использования |
36 600 |
36 600 |
| Оплата труда вспомогательных рабочих |
18 300 |
18 300 |
| ОГФСС с ФОТ вспомогательных рабочих |
6 954 |
6 954 |
| Оплата энергии на технические цели |
45 750 |
45 750 |
| Ремонтные работы |
27 450 |
30 000 |
57 450 |
| Амортизация основных средств |
250 000 |
250 000 |
| Оплата труда линейных руководителей |
200 000 |
200 000 |
| ОГФСС с ФОТ линейных руководителей |
76 000 |
76 000 |
| Энергия на нетехнические нужды |
150 000 |
150 000 |
| Затраты на аренду помещения |
22 000 |
22 000 |
| Итого |
135 054 |
728 000 |
863 054 |
Бюджет себестоимости изготовленной продукции
| Показатель |
Сумма, грн. |
| Корпус для помп |
Корпус для насосов
|
Итого
|
| Незавершенное производство на начало, грн. |
− |
− |
− |
| Затраты на производство: |
| прямые материалы, грн. |
1 051 960 |
414 775 |
1 466 735 |
| прямая заработная плата. грн |
544 000 |
282 000 |
826 000 |
| ОГФСС с прямой заработной платы, грн. |
206 720 |
107 160 |
313 880 |
| Общепроизводственные накладные расходы: |
| Переменные. грн. |
100 368 |
135 054 |
| Постоянные, грн. |
541 027,31 |
728 000 |
| Итого затрат на производство, грн |
641 395,31 |
863 054 |
Незавершенное производство на конец ,
периода, грн.
|
− |
− |
− |
| Себестоимость произведенной продукции, грн. |
2 444 075,39 |
3 469 669 |
| Себестоимость продукции, грн./ед. |
359,42 |
795,84 |
Бюджет себестоимости реализованной продукции
| Показатель |
Корпус для помп |
Корпус для насосов |
Итого |
| Остаток готовой продукции на начало |
| ед. |
200 |
150 |
| Цена |
150 |
133,33 |
| сумма |
30 000 |
20 000 |
50 000 |
| Изготовлено за период |
| ед. |
6 800 |
2 350 |
| Цена |
359,42 |
436,42 |
| Сумма |
2 444 056 |
1 025 587 |
3 469 643 |
| Остаток готовой продукции на конец периода, ед. |
| ед. |
1 000 |
500 |
| Цена |
353,43657 |
418,2348 |
| Сумма |
353 436,57 |
209 117,4 |
562 553,97 |
| Себестоимость реализованной продукции |
2 120 619,43 |
836 469,6 |
2 957 089,3 |
Бюджет операционных расходов
| Показатель |
Сумма грн. |
| 1 Комиссионные выплаты продавцам продукции |
− |
| 2. Реклама |
100 000 |
| З Оплата труда продавцам по твердым ставкам |
100 000 |
| 4. Командировочные расходы |
90 000 |
| 5Оплата труда работникам администрации |
260 000 |
| 6 Почтиво-телеграфныл расходы |
70 000 |
| 7 Расходы на канцелярские принадлежности |
40 000 |
| ФСС 38% |
136 800 |
| 8 Прочие расходы |
10 000 |
| Итого |
806 800 |
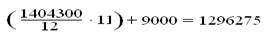
График денежных расходов на выплату заработной платы и ФСС
| Показатель |
Зарплата, грн. |
ОГФСС, грн. |
| Кредиторская задолженность на начало |
9000 |
| Начислена заработная плата |
| производственным рабочим |
826000 |
313880 |
| общепроизводственному персоналу |
218300 |
82954 |
| администрации и работникам сбыта |
360000 |
136800 |
| Итого начислено |
1404300 |
533634 |
| К оплате в отчетном году |
1296275 |
489164,5 |
| Кредиторская задолженность на конец периода |
117025 |
44469,5 |
График денежных расходов на прочие выплаты
| Показатель |
Сумма, грн. |
| Вспомогательные материалы и МБП |
76600 |
| Электроэнергия |
195750 |
| Ремонт и обслуживание оборудования |
57450 |
| Аренда |
22000 |
| Реклама |
100000 |
| Командировочные расходы |
90000 |
| Прочие расходы |
80000 |
| Налоги |
1000 |
| Итого выплат |
622800 |
Предлагаемая структура финансового бюджета
Бюджетный отчет по прибыли
| Статьи |
Сумма, грн. |
| Доход от реализации |
6 000 000 |
| Себестоимость реализованной готовой продукции |
2957089,1 |
| Валовая прибыль |
3042910,9 |
| Операционные расходы |
806800 |
| Операционная прибыль |
2236110,9 |
| Налог на прибыль |
559027,72 |
| Чистая прибыль |
1677083,2 |
Бюджет денежных средств
| Статьи |
Сумма, грн. |
| Остаток денежных средств на начало периода |
2000 |
| Поступления от реализации |
5900000 |
| Всего денежных средств |
5902000 |
| Платежи: |
| За приобретённые прямые материалы |
983000 |
| На выплату заработной платы |
1296275 |
| На выплату в ОГФСС |
489164,5 |
| Прочие платежи |
622800 |
| Всего платежей |
3391239,5 |
| Остаток денежных средств на конец периода |
2510760,5 |
Бюджетный баланс
| Активы (имущество предприятия), грн |
Пассивы (источники), грн. |
| Статья |
На начало |
На конец |
Статья |
На начало |
На конец |
| 1.Долгосрочные активы: |
1.Собственные источники:
|
| основные средства |
22 000 000 |
22 000 000 |
уставный капитал |
10 026 000 |
100 026 000 |
| износ основных средств |
(8 000 000) |
8 250 000 |
накопленная прибыль |
10 342 000 |
10 342 000 |
| основные средства по остаточной стоимости |
14 000 000 |
13 750 000 |
Итого собственных
источников
|
20 368 000 |
22 045 083 |
| незавершенные капитальные вложения |
6 000 000 |
6 000 000 |
2.Долгосрочные финансовые обязательства
|
40 000 |
40 000 |
| Итого долгосрочных активов |
20 000 000 |
19 750 000 |
3.Краткосрочные финансовые
обязательства:
|
| 2. Текущие активы: |
расчеты с кредиторами
|
250 000 |
720 000 |
| производстненные запасы |
116 000 |
102 256 |
расчеты с бюджетом |
1000 |
559027,72 |
| готовая продукция |
50 000 |
562579,9 |
Расчеты по заработной плате |
9000 |
117 025 |
| денежные средства |
2000 |
2510760,5 |
Расчеты с фондами
социального страхования
|
44469,5 |
| расчеты с дебиторами |
500 000 |
600 000 |
Итого краткосроч-ных финансовых
обязательств
|
260 000 |
1440522,2 |
| Итого текущих активов |
668 000 |
3775605,4 |
| Всего баланс
|
20 668 000 |
23 525 605 |
Всего баланс
|
20 668 000 |
23 525 605 |
Операционный бюджет
Объем производства материала А = 6000 + 1000 – 200 = 6800
Материала Б = 200 + 500 – 150 = 2350
Производственная необходимость в материалах = 6800 10 = 68000 (помпы А)
Б = 6800 6 = 40800 (помпы Б)
Насосы А = 2350 10 = 23500
Насосы Б = 2350 6 = 18800
Объемы закупки А = 91500 + 8500 – 7000 = 93000
Б = 59600 + 2400 – 6000 +56000
Средневзвешанная цена А = (56000 + 837000): 10000 = 8,93
Б = 
Прямые материальные затраты на производство
Помпы = (68000 8,93) + (40800 10,9) = 1051960
Насосы = (23500 8,93) + (18800 10,9) = 414775
Затраты на закупку материалов = (93000 9) + (56000 11) = 1453000
Остатки на конец кредиторской задолженности за приобретенные материалы = 
Ожидаемые платежи за материалы = 250000 + 1453000 – 720000 = 983000
Вспомогательные материалы непрямого использования = (6800 + 2350) 4 = 36600
Оплата вспомогательным рабочим = (6800 + 2350) 2 = 18300
ОГФСС вспомогательных рабочих

Оплата энергии на тех. цели = 9150 5 = 45750
Ремонтные работы = 9150 3 = 27450
ОГФСС с ФОТ линейных руководителей =

Общепроизводственные накладные расходы
Переменные:
Помпы = 
Насосы = 
Постоянные:
Помпы = 
Насосы = 
Себестоимость продукции:
Помпы = 
Насосы = 
Остаток готовой продукции на конец периода


Себестоимость реализованной готовой продукции
Помпы = 30000 + 2444056 – 353436,57 = 2120619,43
Насосы = 20000 + 1025587 – 209117,4 = 836469,6
ФСС 38% = (100000 + 260000) 38 = 136800
К оплате в отчетном году = 
ОГФСС = 
Финансовый бюджет
Валовая прибыль = 6 000 000 – 2957089,1 = 3042910,9
Операционная прибыль = 3042910,9 – 806800 = 2236110,9
Налог на прибыль = 2236110,9: 4 = 5590927,72
Чистая прибыль = 2236110,9 – 559027,72 = 1677083,2
Производственные запасы = 116000 + 1453000 – 1466735 = 102265
Готовая продукция = 50000 + 3469669 – 2957089,1 = 562579,9
Остаток денежных средств на конец периода = 5902000 – 3391239,5 = 2510760,5
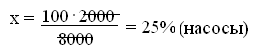
Комбинация продаж

8000 – 100%

8000 – х %
СМ – маржинальный доход на единицу
Помпы = Цена за ед. – Себестоимость на ед. = 700 – 359,42 = 340,58
Насосы = 900 – 436,42 = 463,58
WCM – средневзвешенный маржинальный доход
WCM = CM Комбинацию продаж = (340,58 0,75) + (463,58 0,25) = 374,34 (грн.)
Точка безубыточности = общ. пост. зат. :
WCM
728000 :
371,34 = 1960,47
помпы = 1960,47 0,75 = 1470,35
насосы = 1960,47 0,25 = 490,12
В условиях получения предприятием в учетном году чистой прибыли в размере 1677083,2 грн., есть возможность приобретения нового производственного оборудования стоимостью в 100 тыс. грн.
На основе проведенных расчетов операционного и финансового бюджетов можно сделать следующие выводы, предприятие не работает себе в убыток, оно значительно увеличило свои денежные средства по сравнению с предыдущим периодом, что позволило приобрести новое производственное оборудование, незначительно уменьшились производственные запасы, увеличилась готовая продукция, долгосрочные финансовые обязательства не изменились, а краткосрочные увеличились.
(728000 – 500000) :
(700 – 359,42) = 963,06 (помпы)
(728000 – 500000) :
(900 – 436,42) =- 751,29 (насосы)
Таким образом для достижения чистой прибыли в 500 000 необходимо установить объем реализации помп в размере 963 штук, а насосов 751 штуки.
Список используемой литературы
1. Контроллинг/Учебное пособие – К.: Ника – Центр, 2003 – 328 с.
2. Контролинг как инструмент управления предприятием/Н.Г. Данилочкина – М.: Аудит, 1998 ь- 279 с.
3. С.Ф. Голов. Управленческий бухгалтерский учет – К.: «Сокровища», 1998 – 384 с.
|