Министерство транспорта РФ
Федеральное агентство железнодорожного транспорта
ГОУ ВПО Дальневосточный государственный университет путей сообщения
Институт экономики
Кафедра «Экономика транспорта»
РАСЧЕТНО-ГРАФИЧЕСКАЯ РАБОТА
060752 (335)
по дисциплине «Управление затратами
»
Тема:
Позаказный метод индивидуального калькулирования
Содержание
Введение
1. Позаказный метод индивидуального калькулирования
2. Практическая часть
2.1 Задача 1
2.2 Задача 2
2.3 Задача 3
2.4 Задача 4
Заключение
Список литературы
Введение
Дисциплина «Управление затратами» направлена на изучение теоретических основ формирования и управления затратами в рыночной экономике.
В современных условиях создание рыночной системы управления затратами, обеспечивающей постоянную направленность на конечный результат деятельности предприятия, позволяет решать комплекс задач, связанных с эффективным использованием ресурсов.
При прогнозировании затрат активно используются стандарты, сметы, нормы, благодаря чему одновременно с определением результатов по изделиям, заказам, центрам ответственности проводится оперативный анализ отклонений от заранее установленных показателей.
Данная расчетно-графическая работа состоит из двух частей – теоретической и практической. В первой части рассматривается сущность позаказного метода калькулирования. Вторая часть состоит из четырех практических задач.
1.
Позаказный метод индивидуального калькулирования
Калькуляция (англ. costing) – способ определения себестоимости выпускаемой продукции (работ, услуг), когда затраты группируются по объектам и статьям калькуляции.
Калькулирование себестоимости (англ. cost determination) – установленный организацией порядок группировки произведенных в отчетном периоде затрат, позволяющий определить себестоимость единицы отдельных видов, групп продукции или работ, услуг. Калькулирование себестоимости осуществляется различными методами в зависимости от вида, типа продукции, работ, услуг и характера организации производства (технологического процесса).
На различных предприятиях применяются различные способы калькулирования. Одним из них является позаказный метод.
Позаказный метод учета себестоимости используется при изготовлении уникального либо выполняемого по специальному заказу изделия. В промышленности он применяется, как правило, на предприятиях с едичным типом организации производства. Такие предприятия организуются для изготовления изделий ограниченного потребления. Наиболее типичны заводы тяжелого машиностроения, создающие блюминги, прокатные станы, экскаваторы больших мощностей, а также военно-промышленного комплекса, где преобладают механические процессы обработки и производится неповторяющаяся или редко повторяющаяся продукция.
Забиваем Сайты В ТОП КУВАЛДОЙ - Уникальные возможности от SeoHammer
Каждая ссылка анализируется по трем пакетам оценки: SEO, Трафик и SMM.
SeoHammer делает продвижение сайта прозрачным и простым занятием.
Ссылки, вечные ссылки, статьи, упоминания, пресс-релизы - используйте по максимуму потенциал SeoHammer для продвижения вашего сайта.
Что умеет делать SeoHammer
— Продвижение в один клик, интеллектуальный подбор запросов, покупка самых лучших ссылок с высокой степенью качества у лучших бирж ссылок.
— Регулярная проверка качества ссылок по более чем 100 показателям и ежедневный пересчет показателей качества проекта.
— Все известные форматы ссылок: арендные ссылки, вечные ссылки, публикации (упоминания, мнения, отзывы, статьи, пресс-релизы).
— SeoHammer покажет, где рост или падение, а также запросы, на которые нужно обратить внимание.
SeoHammer еще предоставляет технологию Буст, она ускоряет продвижение в десятки раз,
а первые результаты появляются уже в течение первых 7 дней.
Зарегистрироваться и Начать продвижение
Выпуск крупного заказа требует серьезных материальных, трудовых и иных затрат, но им, как правило, нельзя полностью загрузить производственные мощности предприятия. Поэтому оно одновременно может выполнять другие заказы, изготавливать десятки различных по конструкции изделий, но каждое — в весьма ограниченном количестве.
Важнейшими отличительными особенностями единичного типа производства являются:
- большое разнообразие изготавливаемой продукции, значительная часть которой не повторяется и выпускается в небольших количествах по отдельным заказам;
- технологическая специализация рабочих мест и невозможность постоянного закрепления определенных операций и деталей за рабочими местами;
-применение, как правило, универсального оборудования и приспособлений;
- относительно большой удельный вес ручных сборочных и доводочных операций;
- преобладание среди рабочих универсалов высокой квалификации.
Позаказный метод учета себестоимости применяется в производствах, выпускающих опытные образцы продукции, а также во вспомогательных производствах — при изготовлении специальных инструментов, проведении ремонтных работ.
Сферой применения позаказного метода учета являются также мелкосерийные промышленные предприятия. Серия — это некоторое количество одинаковых по конструкции изделий, запускаемых в производство одновременно или последовательно. Мелкосерийные производства организуются для выпуска продукции, требующейся потребителю в незначительных количествах. Поэтому мелкосерийные предприятия загружают относительно большой и довольно разнообразной номенклатурой изделий. В качестве примера можно привести судо- и авиастроение, а также полиграфические, предприятия, выпускающие продукцию сериями, количество которой определяется заказанным тиражом.
Позаказный метод применяется и на предприятиях с физико-химическими процессами при выпуске отдельных видов продукции в ограниченном количестве (например, на предприятиях химической промышленности при выполнении заказов на химические реактивы, предприятиях сборного железобетона при выполнении отдельных заказов на оригинальные изделия из железобетона и др.).
Сервис онлайн-записи на собственном Telegram-боте
Попробуйте сервис онлайн-записи VisitTime на основе вашего собственного Telegram-бота:
— Разгрузит мастера, специалиста или компанию;
— Позволит гибко управлять расписанием и загрузкой;
— Разошлет оповещения о новых услугах или акциях;
— Позволит принять оплату на карту/кошелек/счет;
— Позволит записываться на групповые и персональные посещения;
— Поможет получить от клиента отзывы о визите к вам;
— Включает в себя сервис чаевых.
Для новых пользователей первый месяц бесплатно.
Зарегистрироваться в сервисе
Область применения позаказного метода учета не ограничивается промышленным производством. Он успешно используется в строительстве (проект нуждается в привязке к конкретной местности), научно-исследовательских институтах, учреждениях здравоохранения (калькулируется себестоимость операции каждого больного в зависимости от ее сложности и поставленного диагноза).
Последние годы ознаменовались развитием сферы услуг. При изготовлении мебели, ковров, пошиве одежды по индивидуальным заказам, ремонте автомобилей, часов, телевизоров и оказании прочих услуг мастерские, химчистки, ателье также используют позаказное калькулирование.
Сущность данного метода заключается в следующем: все прямые затраты (затраты основных материалов и заработная плата основных производственных рабочих с начислениями на нее) учитываются в разрезе установленных статей калькуляции по отдельным производственным заказам. Остальные затраты учитываются по местам их возникновения и включаются в себестоимость отдельных заказов в соответствии с установленной базой (ставкой) распределения.
Объектом учета затрат и объектом калькулирования при этом методе является отдельный производственный заказ. При этом под заказом понимается заявка клиента на определенное количество специально созданных или изготовленных для него изделий. Вид заказа определяется договором с заказчиком. В нем же оговаривается стоимость, оплачиваемая заказчиком, порядок расчетов, передачи продукции (работ, услуг), срок выполнения заказа. До момента выполнения заказа все относящиеся к нему затраты считаются незавершенным производством. Другими словами, при этом методе затраты на производственные материалы, оплату труда производственных рабочих и общезаводские накладные расходы относят на каждый индивидуальный заказ или же на произведенную партию продукции. Если заказ представлен единичным изделием, то его себестоимость рассчитывается путем суммирования всех затрат. Если заказом предусмотрено производство нескольких изделий или их партии, то путем суммирования затрат получают себестоимость изготовления всей партии. Для определения себестоимости одного изделия общие производственные затраты делят на количество единиц продукции в партии.
Для учета затрат по заказам для каждого заказа открывают ведомость (карточка). По мере прохождения заказа в ведомости накапливается информация о затратах по прямым материалам, прямым трудозатратам и общезаводским расходам, связанным с его изготовлением. Таким образом, карточка заказа является основным учетным регистром в условиях позаказного метода калькулирования.
Задача 1.
калькуляция позаказный затрата себестоимость
Рассчитать общее отклонение по местам возникновения затрат, отклонения по загрузке, по интенсивности и экономичности. Исходные данные:
Плановая загрузка (мощность оборудования)Nпл
=2200час;
Плановые затраты Епл
=380тыс.руб.;
Доля переменных затрат Кпер
=41%;
Фактическая загрузка оборудования Nф
=2100час;
Уровень выполнения объема работы Vф
=92%;
Фактические затраты Еф
=340тыс.руб.;
Решение
Учет по местам возникновения затрат дает возможность расчета различного рода отклонений.
1.Общее отклонение определяется:
D
E
= E
ф
—
E
’пл
где Епл
- плановые затраты, пересчитанные на фактический объем:
Е’ПЛ
= ЕПЛ *
V
Ф
/100
Епл
= 380*92/100 =
349,6 тыс.руб.
D
Е
= 340 – 349,6 = - 9.6 тыс.руб.
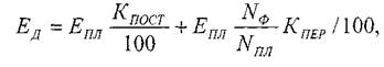
2.Отклонение по загрузке определяется:
D
E
з
= ЕД
- Ез
,
где ЕД
- должные затраты фактической загрузки, тыс.руб.;
Е3
- плановые затраты фактической загрузки, тыс.руб.
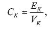
Должные затраты фактической загрузки определяются:

где Кпост
- доля постоянных затрат, %.
Кпост
= 100 – Кпер
Плановые затраты фактической загрузки:
Ез
= 380*2100/2200 = 362,727 тыс. руб.
Кпост
=100 - 41 = 59%
ЕД
=380*59/100+380*2100/2200*41/100=372,918 тыс.руб.
D
Е3
= 372,9 - 362,7 = 10, 2 тыс.руб.
3. Отклонения по интенсивности:
D
ЕИ
= Е3
— Е’пл
D
ЕИ
= 362,727 – 349,6 = 13,127 тыс.руб.
4. Отклонения по экономичности:
D
ЕЗ
= ЕФ
–ЕД
D
ЕЗ
= 340 – 372,918 = - 32,918 тыс.руб.
Задача 2.
Определить расходы и себестоимость единицы продукции при изменении объема работы.
Исходные данные:
Расходы предприятия 1500 тыс.руб.;
Переменные расходы 35%;
Себестоимость продукции 690 р./ед.;
Изменения объема работы - 4,2%.
Решение
Расходы предприятия в зависимости от объема работы делятся на переменные и постоянные. Переменные расходы определяются:
Е
ПЕР
=
Е* КПЕР
/
100,
где Е
- общие расходы предприятия, тыс.руб.;
КПЕР
-
доля переменных расходов, %.
ЕПЕР
= 1500*35/100 = 525 тыс. руб.
Постоянные расходы рассчитываются по формуле:
ЕПОС
= Е(100 - КПЕР
)/100
Епос
=1500*(100 - 35)/100 = 975 тыс. руб.
При изменении объема работы расходы определяются:
E
'=
E
П
EP
*(1 +
D
V
/100) +
Enoc
,
где DV- изменения объема работы, %.
Е' = 525*(1+(- 4.2)/100)+975 = 1477,95 тыс.руб.
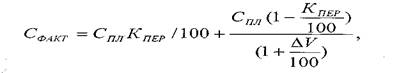
Себестоимость единицы продукции связанна с объемом работы обратной зависимостью, т.е. с ростом (снижением) объема работы себестоимость снижается (возрастает).
Себестоимость в части переменных расходов при изменении объема работы остается постоянной, в части постоянных расходов изменяется обратно пропорционально объему работы.
Фактическая себестоимость рассчитывается:

где Спл
- заданная себестоимость единицы продукции, р/ед.
Cфакт
= 690*35/100 + 690*(1 – 35/100)/(1+(- 4,2)/100) = 709,7 тыс. руб.
Изменение себестоимости продукции рассчитывается:

DС
= 690/709,7*100 = 97,2 руб/ед
Задача 3.
Определить маржинальный вклад по каждому виду работ, его критический объем при установленной структуре перевозок. Исходные данные:
Доля грузовых перевозок 87,5%;
Доля пассажирских перевозок дальнего сообщения 8,6%;
Доля пассажирских перевозок пригородного сообщения 3,9%;
Доходная ставка грузовых перевозок 249,325 коп/10ткм.;
Доходная ставка пассажирских перевозок дальнего сообщения 510,128 коп/10ткм.;
Доходная ставка пассажирских перевозок пригородного сообщения 81,250 коп/10ткм.;
Себестоимость грузовых перевозок в части зависящих расходов 44,837 коп/10ткм.;
Себестоимость пассажирских перевозок дальнего сообщения в части зависящих расходов 254,125 коп/10ткм.;
Себестоимость пассажирских перевозок пригородного сообщения в части зависящих расходов 89,152 коп/10ткм.;
Постоянные расходы 380 млн. руб.
Решение
Величина переменных затрат используется в системе управления финансовыми результатами для получения экономического показателя М, который представляет собой разницу между доходами Д и указанными затратами Епер
, т.е. М = Д - ЕПЕР
. Этот показатель называется маржинальным вкладом (маржинальная прибыль, валовая прибыль, маржинальный доход, сумма покрытия). Для решения хозяйственных задач используется удельный показатель - маржинальный вклад на единицу продукции: М' = Ц - СПЕР
,
где Ц
- доходная ставка (цена) за единицу продукции; СПЕР
-
себестоимость единицы продукции в части переменных затрат.
М’гр
= 249,325 – 44,837 = 204,488 коп/10ткм.;
М
’
дс
=
510,128 – 254,125 = 256,003 коп
/10
ткм
.;
М
’
пс
= 81,250 – 89,152 = - 7,902 коп
/10
ткм
.
Как видно, в пассажирских перевозках пригородного сообщения валовая прибыль отрицательна.
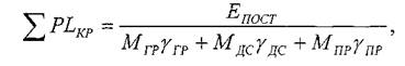
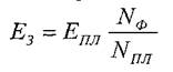
Критический объем приведенной продукции определяется:

где ЕП0СТ
- постоянные расходы, млн.руб.; Мгр
, Мдс
, Мпр
-
маржинальный вклад на единицу продукции, соответственно грузовых перевозок, пассажирских перевозок дальнего и пригородного сообщений, руб.; gГР
, gДС
, gПР
– доля грузовых перевозок, пассажирских перевозок дальнего и пригородного сообщений, %.
SPLКР
= 380000000/(2,05*0,875+2,56*0,086 – 0,07902*0,039) = 189*106
ткм,
Критический объем производства, это объем, при котором величина выручки от реализации продукции равна ее полной себестоимости. Если объем производства ниже критического, тогда предприятие будет иметь убытки, а если выше - прибыль.
Критический объем грузовых перевозок определяется:
S
AL
ГР
=
S
PL
КР
*
g
КР
S
AL
ГР
= 189*106
*0,875 = 165,4*106
ткм.
пассажирских перевозок в дальнем сообщении:
S
AL
ДС
=
S
PL
КР
*
g
ДС
S
AL
ДС
= 189*106
* 0,086 = 16,25*106
ткм.
пассажирских перевозок в пригородном сообщении:
S
AL
ПС
=
S
PL
КР
*
g
ПС
S
AL
ПС
=
189*106
* 0,039 = 7,4*106
ткм
Маржинальный вклад определяется:
- по грузовым перевозкам: Дгр
=М’ГР
*
S
AL
ГР
ДГР
= 204,488 * 165,4*106
= 338,22 млн. руб.
- по пассажирским перевозкам в дальнем сообщении:
ДДС
=М’ДС
*
S
AL
ДС
ДДС
= 256,003 * 16,54*106
= 41,6 млн. руб.
- по пассажирским перевозкам в пригородном сообщении:
ДПС
=М’ПС
*
S
AL
ПС
ДПС
= - 7,902 * 7,4*106
= - 58,5 млн. руб.
Задача 4.
Определить себестоимость единицы продукции, используя попередельный метод калькулирования. Исходные данные:
Основная заработная плата производственных рабочих тыс. руб.:
- по добыче глины 1070;
- по изготовлению кирпича-сырца 890;
- по обжигу кирпича 1190;
Заработная плата за непроработанное время, но по закону оплачиваемое: 12,3%;
Топливо и эл. энергия, тыс.руб.:
- для добычи глины 520;
- изготовления кирпича-сырца 320;
- обжига кирпича 670;
Вспомогательные материалы:
- для добычи глины 200;
- изготовления кирпича-сырца 180;
-обжига кирпича 290;
Цеховые расходы по всем пределам, % от основной зар. платы 48%;
Общезаводские расходы 152 тыс. руб.;
Отчисления на соц. нужды 38,5%;
Заготовлено глины 25 тыс.м3
;
Передано глины на изготовление кирпича-сырца 22 тыс.м3
;
Изготовлено кирпича-сырца 5700 тыс.шт.;
Передано на обжиг кирпича-сырца 5550 тыс.шт.;
Изготовлено кирпича 5350 тыс.шт.
Решение
Сначала определяется себестоимость заготовки глины: СГ
= ЕЗГ
/
V
Г
где ЕЗГ
- расходы связанные с заготовкой глины, тыс.руб.; V
Г
-
заготовлено глины, м3
.
Заработная плата за непроработанное время, но по закону оплачиваемое определяется:

где ЕОЗ
- основная заработная плата производственных, рабочих, тыс.руб.; КДЗ
- коэффициент, учитывающий зар.плату за непроработанное время, %.
Отчисления на соц.нужды определяются от зар. платы установленным процентом.
Общезаводские расходы распределяются по каждому переделу пропорционально основной зар. плате.
Для расчета себестоимости кирпича-сырца необходимо определить расходы по полуфабрикатам:
ЕПФ
= СГ
*
V
ГП
где СГ
-себестоимость глины, руб/м3
; V
ГП
- передано глины на изготовление кирпича-сырца, тыс.м3
; Себестоимость изготовления кирпича-сырца, руб., определяется:

где ЕКС
-
расходы по изготовлению кирпича-сырца, тыс.руб.;
VКС
– изготовлено кирпича-сырца, тыс.шт. Для определения себестоимости кирпича рассчитываются расходы по полуфабрикатам:
ЕПФ
= СКС
*
V
О
где V
О
- передано на обжиг кирпича сырца, тыс.шт. Себестоимость кирпича рассчитывается по формуле:

где ЕК
- расходы на изготовление кирпича, тыс.руб.; VK
-
изготовлено кирпича, тыс.шт.
Расчеты сведены в таблицу 1.
Таблица 1
| Наименование |
Виды переделов |
| Заготовка глины |
Изготовление кирпича-сырца |
Обжиг кирпича |
| Основная зар.плата производственных рабочих тыс.руб., Еоз
|
1070 |
890 |
1190 |
| Зар.плата за непроработанное время, тыс.руб., ЕДЗ
|
134,82 |
112,14 |
149,94 |
| Отчисления на соц. нужды, тыс.руб. |
411,95 |
342,65 |
458,15 |
Топливо и
эл.энергия, тыс. руб.
|
520 |
320 |
670 |
| Вспомогательные материалы |
200 |
180 |
290 |
| Цеховые расходы, тыс.руб. |
513,6 |
427,2 |
571,2 |
Общезаводские расходы, тыс.pyб. |
51,63 |
42,95 |
57,42 |
Расходы по
полуфабрикатам,
тыс.руб., Епф
|
- |
2553,76 |
4739,7 |
| Итого расходов |
2902,0 |
4868,7 |
8126,41 |
| Заготовлено глины, тыс.м3
., Vг
|
25 |
-
|
-
|
| Изготовлено кирпича-сырца, тыс. шт., Vкс
|
- |
5700 |
- |
| Себестоимость глины, руб.м3
., Сг
|
116,08 |
-
|
-
|
| Себестоимость кирпича-сырца, руб/шт., Скс
|
- |
0,854 |
- |
| Выпущено готовой продукции, тыс.шт., Vк
|
- |
-
|
5350 |
| Себестоимость кирпича, руб/шт., Ск
|
- |
-
|
1,52 |
Заключение
В современных условиях рыночной экономики значение управления затратами очень велико. Грамотно организованный учет затрат позволяет вести оперативный анализ себестоимости по статьям затрат и принимать своевременные меры по снижению стоимости выпускаемой продукции (производимых работ, выполняемых услуг), что даёт возможность влиять на их рыночную конкурентоспособность.
Необходимо повысить заинтересованность организаций в использовании учётной информации о затратах и составлении калькуляции для целей оперативного руководства и управления. Более детальное изучение вопроса затрат на производство продукции (работ, услуг) позволит руководителям и бухгалтерам организаций правильно увидеть статьи расходов и умело составить отчёт о производственных затратах, а это, в свою очередь, создаст благоприятную почву для выживания и процветания предприятия в жестких условиях рыночной экономики.
Список литературы
1. Баев И.А., Варламова З.Н., Васильева О.Е. и др. Экономика предприятия. Учебник для вузов. 4-е изд. / Под ред. акад. В. М. Семенова. — СПб.: Питер, 2006.
2. Часова О.В. Учет производственных затрат и калькулирование себестоимости продукции / Учебно-методическое пособие. Саратов. Издательский центр Саратовской государственной экономической академии, 1997.
3. Н.П. Кондраков «Бухгалтерский учет», М.: «ИНФРА-М», 2004 г.
4. Безруких П.С. Учет и калькулирование себестоимости продукции. - М.: Финансы, 1974.
5. Калькуляция себестоимости продукции в промышленности: Учеб. пособие / В.А. Белобородова, А.П. Чечета, В.Т. Слабинский и др. - 2-е изд., перераб. и доп. - М.: Финансы и статистика, 1989.
|