Міністерство освіти і науки України
Львівський національний університет імені Івана Франка
Реферат
на тему:
«Токсини водоростей та морських безхребетних»
Підготувала
студент групи ХМХ-43
Горон Роман
Львів-2010
Вступ
водорость морський безхребетний
Яди біологічного походження називаються токсинами. Токсин (від грец. toxikon — «отрута для використання на стрілах») — отруйна речовина, що виробляється живими клітинами або організмами. Токсини майже завжди є білками, здатними до породження хвороби або й навіть можуть викликати смерть. Важкі отруєння людей та тварин, води прісноводних та морських водойм обумовлені масовим розмноженням («цвітіння» води) токсичних водоростей. Їх токсичні продукти накопичуються в об’єктах другої ланки екологічного ланцюга (молюски, риби), через які передаються відповідно у третю ланку (наземні тварини та людина). Не виключене отруєння травоїдних на водопої при попаданні в шлунок зараженої води та фітопланктону, а також при купанні під час «цвітіння» води. Під час "цвітіння" води у ній утворюється значна біомаса (більше 100–200 г/л та міліони клітин синьозелених водоростей).
Значна частина біомаси мешканців моря припадає на частку безхребетних. Серед них чимало отруйних видів, які належать різним таксонам: губки, кишковопорожнинні, черви, молюски, голкошкірі. У вирішенні проблеми комплексної утилізації продуктів моря важливе значення надається отруйним безхребетним, багато з яких є продуцентами біологічно активних речовин з потенційно корисними властивостями. Особливий інтерес у дослідників викликає та обставина, що гідробіонти часто продукують оригінальні структурні з'єднання, що не зустрічаються у мешканців суші. Не менш важливо знати і особливості вражаючої дії отруйних тварин моря в профілактичних і лікувальних цілях.
Вже кілька десятиліть відбувається інтенсивний пошук і вивчення токсинів з водоростей та морських безхребетних. В результаті цього є виявлення та встановлення будови багатьох незвичайних природних сполук нових типів, і, судячи зі зростаючого інтересу до такого роду досліджень, водні і морські організми ще довго будуть багатим джерелом нових речовин з різноманітними біологічними властивостями. Перший класичний опис «червоних припливів» знаходиться в Біблії: «І вся вода в ріці перетворилась в кров. І риба в річці вимерла, і ріка почала неприємно пахнути, і Єгиптяни не могли пити воду з ріки; і була кров по всій Землі Єгипетській…». Причина цього явища на мілководних частинах моря або поблизу узбережжя, вперше встановлена у 1928р. Г.Соммером. Вона полягає у масовому розмноженні токсичних мікроводоростей дінофлагелатів, головним чином родів Gonyaulax, Glenodinium, Peridinium, Gyrodinium, Noctiluca і Gymnodinium, в результаті чого вода виявляється зараженою їх токсинами і майже всі решта морські мешканці гинуть або рятуються, втікаючи.
Забиваем Сайты В ТОП КУВАЛДОЙ - Уникальные возможности от SeoHammer
Каждая ссылка анализируется по трем пакетам оценки: SEO, Трафик и SMM.
SeoHammer делает продвижение сайта прозрачным и простым занятием.
Ссылки, вечные ссылки, статьи, упоминания, пресс-релизы - используйте по максимуму потенциал SeoHammer для продвижения вашего сайта.
Что умеет делать SeoHammer
— Продвижение в один клик, интеллектуальный подбор запросов, покупка самых лучших ссылок с высокой степенью качества у лучших бирж ссылок.
— Регулярная проверка качества ссылок по более чем 100 показателям и ежедневный пересчет показателей качества проекта.
— Все известные форматы ссылок: арендные ссылки, вечные ссылки, публикации (упоминания, мнения, отзывы, статьи, пресс-релизы).
— SeoHammer покажет, где рост или падение, а также запросы, на которые нужно обратить внимание.
SeoHammer еще предоставляет технологию Буст, она ускоряет продвижение в десятки раз,
а первые результаты появляются уже в течение первых 7 дней.
Зарегистрироваться и Начать продвижение
Дінофлагелят Gonyaulax tamarensis
З токсичних водоростей (Algae ) найбільш важливе токсикологічне й екологічне значення мають токсини синьо-зелених водоростей.
Синьо-зелені водорості є найбільш древнім примітивним відділом фотосинтезуючих нижчих організмів. Вони класифікуються як ціанобактерії й представлені одно-, багатоклітинними й колоніальними формами, що входять до складу планктонів, бентосу й педоценозів. Поряд з фотосинтезом у синьо-зелених водоростей добре розвинутий міксотрофізм (тобто харчування готовими органічними речовинами подібно до грибів), який дозволяє їм харчуватися не тільки мінеральними, але й готовими органічними сполуками, тобто при нестачі в середовищі мінеральних солей, вони тимчасово переходять на міксотрофний тип харчування.
При сприятливих умовах активно розвиваються мікроцистіс, афанізоменон і анабена (явище "цвітіння" води). За вегетаційний період (70 діб) одна материнська клітина водорості може дати близько 1020 дочірніх клітин.
Прижиттєві й посмертні виділення цих водоростей є найсильнішими токсинами, які поєднуються загальною назвою ціанотоксини. Ціанотоксини добре розчинні у воді, безбарвні, не мають запаху, досить стійкі (не руйнуються кип'ятінням), що сприяє їхньому нагромадженню у харчовому ланцюгу й потраплянню в організм тварин і людини.
У більшості синьо-зелених водоростей найбільш активне утворення токсинів відбувається при рН середовища 8,5 - 10,0 і температурі води 25-28°С.
Альготоксини (токсини водоростей) зберігають свою початкову активність у водному середовищі протягом 20-ти діб й погіршують органолептичні показники води.
Наприклад, приведемо характеристику запахів, специфічних для токсинів деяких родів планктонних водоростей:
- Asterionella - при незначному розвитку водоростей ― слабкий землистий запах; при значному ― запах герані; при дуже великому ― сильний рибний запах;
Сервис онлайн-записи на собственном Telegram-боте
Попробуйте сервис онлайн-записи VisitTime на основе вашего собственного Telegram-бота:
— Разгрузит мастера, специалиста или компанию;
— Позволит гибко управлять расписанием и загрузкой;
— Разошлет оповещения о новых услугах или акциях;
— Позволит принять оплату на карту/кошелек/счет;
— Позволит записываться на групповые и персональные посещения;
— Поможет получить от клиента отзывы о визите к вам;
— Включает в себя сервис чаевых.
Для новых пользователей первый месяц бесплатно.
Зарегистрироваться в сервисе
- Tabellaria - ароматний, геранієвий, рибний;
- Pandorina- рибний;
- Eudorina- слабкий рибний;
- Aпаbаeпа - запах цвілі або трави; при великій чисельності водоростей ― запах красолі; при розкладанні водоростей ― запах свинячого хліва;
- Aphanizomenon - запах цвілі, трави;
- Coelosphaerium - запах свіжої трави.
Серед токсичних прісноводних синьо-зелених водоростей відома Anabaena flos-aquae,
Прісноводна синьо-зелена водорость Anabaena
токсичний штамм якої був причиною загибелі скота в Канаді в 1961р. В 1966р. з неї був виділений анатоксин А (2-ацетил-9-азобіцикло(4-2-1)нон-2ен), будову якого встановлено в 1972р. рентгеноструктурним аналізом. Анатоксин А є сильним нейротоксином, що викликає в летальних дозах смерть протягом 2-7хв. Він знаходить широке застосування при вивченні процесів нервово-мязової передачі.
Анатоксин А
Він є потужним стереоспецифічним антагоністом Н-холінорецепторів. Анатоксин А блокує нервово-м’язову передачу по деполяризуючому типу, що проявляється сильною початковою контрактурою з подальшим повним паралічем скелетної та дихальної мускулатури. ЛД50 для мишей та щурів цієї отрути складає 0,5 мг/кг при внутрішньочеревинному введенні, 0,1–1 мг цього токсину пригнічує фермент холінестеразу.
Афанізоменон (Aphanisomenon flos-aquae) (L) Ralfs — продуцент термостабільних у кислому середовищі афантотоксинів, які містять неосакситоксин (90 %) та сакситоксин (10 %). Істотні зміни в токсичності водоростей пов'язані з різними стадіями росту водоростей. Токсичність збільшується зі збільшенням віку і щільності культури. Низька токсичність на ранніх стадіях розвитку водорості обумовлена особливостями обміну в культурі. Утворення токсину також залежить від температури і освітленості. Що стосується освітленості, то чим вона вище, тим більше утворюється токсину. Токсином Aphanizomenon flos-aquae є ендотоксин, який зберігається всередині здорових клітин і вивільняється тільки після їх лізису. Він є дуже активним блокуючим агентом для нервової та м'язової тканин. За хімічною природою він є похідним гуанідину, слабкою основою. Такі ж токсини були виділені у морських піридиній Gonyaulax та Q. amarensis. Механізм дії пояснюється тим, що гуанідинова група молекули вказаних токсинів застрягає в іонотранспортній ділянці Na+-каналу і блокує його.
Мікроцистіс сірувато-зелений (Microcystis aeruginosa) продукує поліпептидні токсини, зокрема мікроцистин, який містить L-тирозин, D-аланін, D-ізоглутамінову кислоту, бета-D-аспарагінову кислоту, N- метилдегідроаланін, L-метіонін; LD50 токсину становить 0,1 мкг для мишей при внутрішньочеревинному введенні.. Токсин викликає тромбоцитопенію з наступними крововиливами в легені та печінку, тромбози, збільшення печінки.
Мікроцистіс сірувато-зелений (Microcystis aeruginosa)
Що стосується дії на безхребетних, то мікроцистіс дуже токсичний для дафній, циклопів і коловерток. Цей токсин також спричиняє тромбоцитопенію, тромбоз легень, збільшення печінки. Розрізняють шлунково-кишкову, шкірно-алергічну, м’язову та змішану форми отруєнь токсинами синьозелених водоростей.
Масову загибель риби і інтоксикацію людей на берегах Флориди і в Мексиканській затоці викликає бреветоксин Ptychodiscus(Gymnodinium) breve.

Ptychodiscus(Gymnodinium)breve
Він продукує цілу групу ліпофільних бреветоксинів, з яких найбільш активним є бреветоксин А.

Бреветоксин А
Основний вклад у дослідженні цих токсинів внесли групи К.Наканісі і Дж.Кларді (США), а структура бреветоксину А встановлена у 1986р. групами Ю.Шшиміцу(Канада) і Дж.Кларді (США). Бреветоксини ― незвичайні поліефірні сполуки, що складаються з 10-11 насичених оксигеновмісних циклів різної величини. Їхня токсичність зумовлена блокуванням нервово-мязової передачі.
При зараженні синьо-зеленими водоростями води водогінної мережі виникають масові отруєння типу токсичного гастроентериту, подібного до дизентерійного чи холерного. Захворювання після вживання зараженої синьозеленими водоростями риби (щука, судак, минь, окунь) починається раптово болем у м’язах верхніх та нижніх кінцівок, попереку, грудної клітини, ціанозом, сухістю в роті, блювотою, появою сечі темного кольору (міоглобін). При цьому можливий розвиток асфіксії через параліч дихальної мускулатури. Хвороба з таким синдромом отримала назву юксовсько-сартландської. Варто зазначити, що одним з показників забруднення води альготоксинами є її сильний рибний запах. В системі профілактичних заходів по попердженню масових отруєнь альготоксинами одне з основних місць посідає гідробіологічний контроль якості води. Для профілактики отруєнь альготоксинами потрібно проводити тривале кип’ятіння води, фільтрацію її через активоване вугілля, озонування води на водоочисних спорудах. Варто нагадати, що розповсюдженість, потенціальна можливість утворюватися у різних середовищах довкілля в природних умовах у великих кількостях, висока токсичність, здатність забруднювати ряд об’єктів довкілля у значних концентраціях та невідворотність контакту людини з цими токсикантами з наступним проникненням в організм різними шляхами (пероральний, аерогенний, черезшкірний) обумовлюють високий ризик масових гострих та хронічних отруєнь.
Хто не пам'ятає з дитинства сакраментальну фразу: «Чистота - запорука здоров'я»? Однак, як виявляється, в цієї медалі є й зворотний бік. Уже не перший рік екологи б'ють на сполох із приводу того, що зростання попиту на синтетичні мийні засоби, які посилено рекламуються по телебаченню, загрожує черговою екологічною кризою. Річ у тім, що в переважній більшості пральних порошків на нашому ринку основним компонентом є фосфатні сполуки, які потім разом зі стічною водою потрапляють у відкриті водойми. Навіть найсучасніші фільтри для очищення води неспроможні затримати їх. Осідаючи на дно, вони стають добривом для синьо-зелених водоростей, що починають активно розмножуватися, і вода «зацвітає». Всього один грам триполіфосфату натрію стимулює утворення 5-10 кілограмів водоростей. А за даними журналу «Бізнес», у 2002 році в Україні було продано 180-220 тисяч тонн пральних порошків. За мінімальними підрахунками, у воду потрапило 27 тисяч тонн триполіфосфату натрію. Не треба бути великим математиком, щоб оцінити масштаби можливої катастрофи. Зрештою, наслідки нашої боротьби за чистоту можна спостерігати неозброєним оком з весни до осені на будь-якій водоймі. Синьо-зелені водорості маленькі й безпечні лише на перший погляд. Їх активне розмноження призводить до погіршення смакових якостей води і виникнення неприємного запаху. Перевищення критичної маси водоростей активізує процес саморозкладу, що призводить до забирання з води кисню і виділення натомість метану, сірководню, аміаку, інших токсичних речовин. У результаті гинуть не лише риби. Відомі випадки масового отруєння домашніх тварин, що пили воду з водойм із синьо-зеленими водоростями. Особливу небезпеку може становити момент початкового етапу розкладу біомаси синьо-зелених, коли клітини мікроорганізмів не втратили в своїй більшості здатності до продукування альготоксинів, а азотомісткі компоненти відмерлих клітин починають розкладатися, виділяючи токсичні продукти розпаду. В останні роки було доведено, що, крім різних видів отруєнь, викликаних водоростями, токсини ціанобактерій активізують розвиток ракових клітин. Щороку смертність серед тих, хто споживає забруднену водоростями воду, в п'ять разів вища, ніж серед тих, хто п'є чисту воду. Досліди в Австралії показали: забруднення питної води синьо-зеленими водоростями призводить до невиношування вагітності, низької ваги новонароджених, уроджених каліцтв, пухлин шлунково-кишкового тракту, підвищення захворюваності та зниження тривалості життя. У спеку водойми можуть нагріватися настільки, що стають небезпечними для людей . Екологи знайшли у таких водах багато шкідливих бактерій і речовин, що дивуєшся наскільки живучі люди, які купаються. Все це відбувається через швидке розповсюдження водоростей та загибель молюсків у надто теплій воді. Юрій Плігін із Інституту гідробіології каже, що через високу температуру, яка часом сягає 29 градусів за Цельсієм, у водоймах гинуть молюски, які відповідають за природнє очищення води. "Ми беремо проби води, аналізуємо її і знаходимо тільки мертві мушлі молюсків. А вони профільтровують і освітляють воду. Зараз цей процес, на жаль, не відбувається. "Окрім відсутності природніх фільтрів води в озерах і особливо у водосховищах поширюються "підступні" синьо-зелені водорості. З одного боку вони продукують кисень і створюють кормову базу для риб. З іншого —виділяють у воду небезпечні органічні речовини (поліпептиди), які викликають алергічну реакцію. Це може бути висипання на шкірі, почервоніння, висока температура і навіть розлад шлунково-кишкового тракту, якщо під час купання людина ковтне трохи води із цими водоростями. Токсини, кажуть науковці, виділяються в товщу води. Тому у чутливих до алергічних реакцій людей такі симптоми можуть виникнути просто від купання у водоймі. Учені радять також остерігатися неглибоких озер та ставків із непроточною водою. Вони швидко нагріваються, і в таких водоймах, імовірно, більше розмножується бактерій. Це можуть бути стафілококи і стрептококи. Найменша подряпина і людина може інфікуватися.
У газеті «Дзеркало Тижня» за 2005 рік була опублікована стаття, в якій говорилося: «У Київському зоопарку справжня екологічна катастрофа – його атакували синьо-зелені водорості. В народі цей процес називають «цвітінням води». Вони заполонили водойми на території зоопарку, а це є досить загрозливим, адже синьо-зелені водорості не лише мають неприємний запах та колір, а ще й токсичні для більшості видів риб та водоплаваючих птахів. Токсини, що виділяються під час своєї життєдіяльності синьо-зелені водорості потрапляють до організму риб через зябра та шкіру, а також з їжею та викликають патолого-анатомічні зміни: крапково-плямисті крововиливи у шкіру, розлади нервової системи. Якщо не почати боротися з водоростями вчасно, весь зоопланктон та риби у водоймі можуть загинути. Натомість розмножаться бактерії, вивести які буде надзвичайно важко. На щастя, зусиллями співробітників Київського зоологічного парку спільно з Державним комітететом рибного господарства України катастрофу у водоймах зоопарку було попереджено за допомогою звичайного негашеного вапна. Воно виявилося дуже ефективним у таких випадках. Процес очищення водойм відбувається таким чином: спочатку акваторію та її береги чистять від надлишку рослинності та органічних відходів, потім доливають свіжої води, а насамкінець додають розведене негашене вапно, що нейтралізує кислу реакцію ґрунту та води.»
Значна частина біомаси мешканців моря припадає на частку безхребетних. Серед них чимало отруйних видів, які належать різним таксонам: губки, кишковопорожнинні, черви, молюски, голкошкірі.
Тип Кишковопоррожнинні (Coelenterata), чи Жалкі (Cnidaria)
Характерною особливістю кишковопорожнинних є наявність жалких клітин (кнідобластів, чи нематоцитів), що виробляють ядовитий секрет і служать для захисту від ворогів.Всі кишковопорожнинні — хижаки. Їжею їм служать різноманітні організми, починаючи від дрібних планктонних рачків і закінчуючи рибами.
Найотруйніша з медуз і, ймовірно, найсмертоносніша із всіх відомих мешканців морів і океанів, є "морська оса", названа за свою токсичність "жахом австралійських пляжів".
 
Медуза "морська оса"
Ця медуза розміром з салатницю може мати до 60 щупалець по 4 метри кожний. Кожне щупальце має 5000 отруйних осередків та достатню кількість токсину, щоб убити 60 чоловік.
Отруйні медузи зустрічаються в теплих водах тропіків і субтропіків. Причиною збільшення їх чисельності вчені вважають глобальне потепління світового океану і діяльність підприємств, які економлять на очисних спорудах, скидаючи в океан «їжу» для медуз.
Медуза корнерот ризостома — Rhizostoma pulmo, належить до Класу Сцифоїдні медузи — Scyphozoa, зустрічається в Чорному і Азовському морях. Вона викликає опіки. В нематоцистах ризосоми міститься токсичний пептид — ризостомін, який спричинює у тварин дихальний параліч і смерть.

Медуза-корнерот Rhizostoma pulmo
До числа найбільш великих сцифомедуз відноситься Ціанея — Cyanea capillata. Цей вид можна зустріти в Баренцевому і Білому морях. Контакт зі щупальцями ціанеї вже через делька секунд призводить до виникнення пекучого болю, до якого через 10—20 хвилин добавляються симптоми ураження шкіри — еритема, інколи набряк, що може тривати від 40 хвилин до 48 годин.

Медуза ціанея Cyanea capillata
У тварин, що загинули при введенні смертельної дози екстракту нематоцист, на розтині відмічені застійні явища у внутрішніх органах і серці. Токсична фракція, виділена з нематоцист, представляє собою суміш білків з Мr~70 000. Введення токсинів мишам викликає затруднення при диханні, судоми і смерть, яка при введенні дози 0,7 мг/кг наступає через 30 хвилин, а при дозі 0,3 мг/кг — через 24 год. Яд вражає провідну систему сердечного мязу.
До класу Коралові поліпи — Anthozoa належить звичайна актинія — Actinia equina Linne. Жалкі клітини актиній пошкоджують шкіру людини, викликають сверблячку і опіки в місці контакту. У важких випадках може розвинутися лихоманка, головна біль, слабість.

Звичайна актинія Actinia equina
Постійне робота з актиніями, наприклад, при наукових дослідженнях, може викликати алергічні реакції. Токсичність неочищенного екстракту зі щупалець становить (DL50) для мишей 13,8 мг/кг при введенні. Виділений з екстракту білок — еквінотоксин має Mr ~20 000. Еквінотоксин володіє гіпотензивною дією, викликає брадикардію і апное. Попереднє введення атропіну чи ваготомії послаблює першу парасимпатичну фазу дії еквінотоксину. Друга фаза його дії характеризується порушенням серцевої діяльності. Еквінотоксин спричинює гемоліз еритроцитів.
Найбільш складним за структурою і другим за активністю (токсичністю) небілковим токсином є палітоксин, вперше виділений Р.Муром і П.Шойєром(США) в1971р. з мяких коралів Palythoa toxica, знайдених на Гавайських островах.
 
мякі корали Palythoa toxica
Встановлення будови і стереохімії палітоксину, завершене в 1981р. об’єднаними групами Й.Хірата і Й.Кіші, виявилось визначною подією в біоорганічній хімії. Молекула палітоксину являє собою унікальну структуру, довгий ланцюг якої побудований з ди-, три- і тетрагідрокситетрагідропіранових і фуранових циклів, сполучених насиченими і ненасиченими зв’язками поліолів, на його N-кінці знаходиться первинна аміногрупа, а С-кінець ацильованим залишком -аміноакриламінопропанолу. Палітоксин володіє потужною дією: при внутрівенному введенні мишам його LD50 становить 0,15 мкг/кг, при внутрічеревному -0,4мкг/кг, а для мавп він ще токсичніший- LD50 0,078 мкг/кг. Летальний кінець наступає через 5-30хв. в результаті звуження судин, аритмії, коронарних спазм і зупинки дихання. Цікаво, що в сублетальних дозах палітоксин проявляє високу протипухлинну активність. Механізм дії палітоксину не повністю зрозумілий, проте відомо, що він аналогічно уабаіну, але значно сильніше, зв’язується з Na+, K+ - АТФазами чутливих клітин(нервової тканини, серця, еритроцитів) і утворює в місцях зв’язування пори в цитоплазматичних мембранах, в результаті чого клітини втрачають іони K+ і Са2+ і гинуть.

Палітоксин
Теалия — Tealia felina Linne належить до класу Кораллові поліпи Anthozoa.
Неочищений екстракт зі щупалець має DL50 для мишей при в/в введені 124 мг/кг,а частково очищений — 69 мг/кг. Симптоми отруєння включають адинамію, гіпотермію, пилоерекцію, тремор і судоми.
Виділений з екстракту токсин — теаліатоксин — має Mr~7800, рI 9. Токсин володіє вираженим гістамінолітичною дією, а також гемолітичною активністю. Токсин спричинює брадикардію, бронхоспазм, утруднює дихання.
Тип Губки (Spongia, Porifera) — типові пасивно-ядовиті тварини, що використовують для захисту свої токсичні метаболіти. Токсичність губок забезпечило збереження цієї найбільш примітивної групи. В сучасній фауні нараховується близько 2500 видів губок. Губки — активні біофільтратори, деякі з них здатні пропускати через своє тіло десятки і сотні літрів води за добу. У людини при контакті з губкою може виникнути сильне свербіння і набряк пальців. В губках міститься широкий спектр біологічно активних сполук з антибіотичними, цитостатичними і токсичними властивостями. За своєю хімічною природою активні сполуки губок дуже різноманітні. Серед них є сесквітерпеноїди і гетероциклічніе сполуки, стерини, біогенні аміни і токсичні білки, в тому числі суберитин, виділений з пробкової губки Suberites domuncula. Пробкова губка цікава тим, що вона має співжителя рака-самітника, який ховає своє мяке черевце в спиральній порожнині всередині губки. Суберитин представляє собою гомогенний білок з Мr~28 000. Він володіє нейротоксичною активністю, яка залежить від наявності залишків триптофана в його молекулі. Суберитин гемолізирує еритроцити, здатний гідролізувати АТФ. На крабів суберитин спричиняє паралітичну дію. При введенні собакам і кролям викликає рвоту, розлад шлунково-кишечного тракту, порушення координації рухів і дихання. Смертельна доза для собак становить 10 мг/кг.
Губки використовують дуже ефективні методи хімічного захисту. Торкатися їх не рекомендується.
Особливо потрібно остерігатися контакту з яскравими губками — оранжевими, жовтими і червоними . Скелетні голки деяких губок здатні пробити навіть резину неопренових перчаток. Токсин, що виробляється губками викликає сильне подразнення шкіри і дерматити.
Тип Немертини — нижчі черви, що мешкають переважно в морях. Діючим ядом озброєних немертин Amphiporus, Paranemertes є анабазеїн, а також його похідні 2,3'-біпіридил і немертиллен.
  
Анабазеїн Немертиллен 2,3'-біпіридил
Токсини володіють нікотиноподібною дією і викликабть параліч у поліхет і ракоподібних. Зі слизового секрету неозброєних немертин Cerebratulus виділені дві групи токсичних поліпептидів: цитолітичні (група А) і нейротоксичні (група В). Так, наприклад, цитотоксин А-III має Мr~20 000, молекула стабілізована чотирма внутрішньомолекулярними дисульфідними звязками. А-III сильний гемолітик і в концентрації 1—10 мкг/мл викликає лізис еритроцитів. В сублетичних концентраціях А-III спричиняє деполяризуючу дію на збуджені нервові і мязові мембрани. В групу нейротоксинів входять поліпептиди B-I—B-IV с Мr~6000. Нейротоксини викликають паралізуючу дію на ракоподібних. Характерним фармакологічним ефектом нейротоксинів групи В є видовження фази реполяризації потенціалу дії в нейронах ракоподібних. Первинна структура нейротоксину B-IV із яда немертини Cerebratulus lacteus представлена нижче:

Тип кільчасті черви. Представник класу багатощетинкові — Polychaeta,Гліцера (Glycera convolute Keferstein)

Екстракт з ії залоз спричиняє зупинку серця дафній і володіє протеолітичною і коллагеназною активністю. З екстракту виділений нейротоксичний білок α-гліцеротоксин з Mr~300 000.
До класу Polychaeta входить Люмбрінеріс( Lumbrineris heteropoda Marenzeller). Він містить сильний інсектицид нереїстоксин, що пошкоджує нервову систему комах. Для хребетних тварин він відносно малотоксичний: DL50 для мишей при в/в введені 30 мг/кг, при п/к — 1000 мг/кг, всередину 118 мг/кг. Добавляння нереїстоксину у воду в експерименті може викликати загибель риби.

Люмбрінеріс
Синтетичний аналог нереїстоксину 1,3-біс (карбамолітіо)-2-NN-диметиламінопропангідрохлорид (інша назва «картап» або «падан») є сильним інсектицидом і застосовується в Японії для боротьби зі шкідниками рису, чаю та сільськогосподарських культур.
 
нереїстоксинпадан
Тип Молюски (Mollusca)
Головоногі (клас Cephalopoda) — найбільш високоорганізовані молюски. Всі головоногі — хижаки. Представником цього класу є восьминіг Дофлейна (Octopus dofleini), який досягає в довжину 3 м, мешкає в Японському морі. Як правило, в місці укусу відчувається гостра біль, развивається місцеве запалення.
В яді восьминогів Octopus dofleini і О. vulgaris, каракатиці Sepia officinalis виявлено біогенні аміни (тирамін, дофамін, норадреналін, гістамін) і токсичні білки (цефалотоксин). Токсин не має холінестеразнї і амінопептидазної дії, проте володіє паралітичним ефектом на ракоподібних. Цефалотоксин, виділений із задніх слюнних залоз восьминога О. dofleini, маєМr~23 000, представляє собою глікопротеїн, що містить залишки 18 амінокислот (74% білка), а також вуглеводи, в том числі 5,8% гексозаміна.
Токсин Gonyaulax catenella, чи G.tamarensis, названий сакситоксином, вперше виділений з аляскінського молюска Saxidomus giganteus Е.Шанцем в 1957р.
Аляскінського молюск Saxidomus giganteus
Структура його остаточно встановлена рентгеноструктурним аналізом в 1975р. незалежно групами Е.Шанца і Г.Рапопорта(США). Пізніше сакситоксин був виявленим також у прісноводних синьо-зелених водоростях Aphanizomenon flos-aquae, а його аналоги — неосакситоксин, сульфовані похідні гонітоксини , та інш. — в ряді морських мікроводоростях, що головним чином зустрічаються у Північній Атлантиці, північній частині Тихого океану і на берегах Японії. Сакситоксин представляє собою дигуанідинове похідне з жорстким трициклічним скелетом, уретановою функцією і гідратованою 12-карбонільною групою в піролідиновому кільці і нагадує тетродотоксин.
 R1 R1 R2
СакситоксинННТетродотоксин
Неосакситоксин ОН Н
Гоніатоксин І Н OSO
Гоніатоксин ІІ OH OSO
За біологічною дією він повністю йому аналогічний, будучи блокатором натрієвих каналів електрозбуджуючих мембран нервових і м’язових клітин.
Одними з найтоксичніших морських молюсків є Gambierdiscus toxicus.

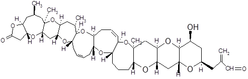
Він продукує одразу два сильних токсини: ліпофільний сігуатоксин, який є причиною багатьох харчових отруєнь у тропічних регіонах з часів епохи Великих географічних відкриттів, і є найсильнішим із відомих небілкових токсинів-майтотоксин; будову поки що не встановлено.
Типголкошкірі (Echinodermata)—морські тварини, дуже чутливі до солоності води.
Отруйними в тій чи іншій мірі представниками цього типу є морські їжаки (клас Echinoidea), морські зірки(клас Asteroidea) і голотурії (клас Holothuroidea).
  
Серед біологічноактивних речовин голкошкірих найбільш вивчені сапоніни морських зірок і голотурій, що володіють широким спектром фізіологічної активності.
Астеросапоніни А і В, що містяться в морській зірці Asterias amurensis, при гідролізі дають стероїдні аглікони - астерогеніни I і II, сірчану кислоту, а також цукор, набір яких специфічний для кожного з астеросапонінов. Так, астеросапонін А пов'язаний глікозидним зв'язком з D-хіновозою і D-фукозою (2:2), тоді як цукри астеросапоніна В представлені D-хіновозою, D-фукозою, D-ксилозою, D-галактозою у співвідношенні 2:1:1:1.
 
фукоза
хіновоза
галактоза
ксилоза
астеросапонін В
Астеросапоніни володіють гемолітичною і іхтіотоксичною дією. У концентрації (1,5-3,0) • 10-4 моль / л блокують нервово-м'язову передачу у хребетних: спочатку викликають швидке скорочення м'яза з наступним розслабленням, на тлі якого розвивається прогресуюче пригнічення передачі збудження на непряму стимуляцію. Ефект має беззворотній характер.
У голотурії Stichopus japonicus, Cucumaria japonica, C. fraundatrix містяться цитотоксичні тритерпенові глікозиди голотоксіни, стіхопозіди і кукумаріозіди. Голотоксіни і стіхопозіди з С. japonica мають ідентичні аглікони, названі стіхопогенінамі. Голотоксіни і стіхопозіди володіють фунгіцидною дією.

голотоксин В
= D-ксилоза
= D-глюкоза
=3-о-метил- D-глюкоза
=D-хіновоза
Кукумаріозиди з С. japonica блокують біосинтез нуклеїнових кислот і білка в яйцях морського їжака, виконують фунгіцидну дію по відношенню до дріжджових грибків Saccharomyces. Цитотоксичну дію кукумаріозидів може бути обумовлено їх впливом на проникність мембран, зокрема транспорт кальцію. У низьких концентраціях (10-6 моль / л) кукумаріозид з С. japonica знижує активність мембрано-зв'язаного ферменту Са2-АТФ-ази без збільшення проникності мембран. При підвищенні концентрації (10-4моль /л) різко збільшується проникність ліпідної фази мембран. Токсичні сполуки морських їжаків мають білкову природу, проте конкретні відомості про токсини морських їжаків наших морів практично відсутні.
Висновок
Мікроскопічні токсичні водорості живуть практично у всіх водоймах. Зазвичай вони нечисленні для того, щоб їхня присутність якось вплинула на інші організми, однак підвищення температури води або потрапляння у воду пилу може провокувати бурхливе розмноження водоростей, що призводить до загибелі риби, молюсків і навіть людей. Багаті на азот опади, які потрапляють до океану в результаті таких катастроф(падіння астероїда, виверження вулканів, зміна клімату), стають також їжею для водоростей. Відбувається вибухове зростання їх чисельності, і різко зростає кількість різних токсинів, що виділяються ними - від подразників шкіри до нервових отрут. Рослини засвоюють токсини з ґрунтових вод, звідки вони потрапляють до організму травоїдних тварин. Крім того, бурхливе розмноження водоростей, а потім їх гниття "висмоктує" з водойм кисень, що також призводить до загибелі морської фауни. Вчені відзначають, що глобальне потепління і зростання температури води в океанах, що спостерігається зараз, також можуть привести до вибухового розмноження водоростей і до нового "всесвітнього отруєння".
Разом з тим варто нагадати, що розповсюдженість, потенціальна можливість утворюватися у різних середовищах довкілля в природних умовах у великих кількостях, висока токсичність, здатність забруднювати ряд об’єктів довкілля у значних концентраціях та невідворотність контакту людини з цими токсикантами з наступним проникненням в організм різними шляхами (пероральний, аерогенний, черезшкірний) обумовлюють високий ризик масових гострих та хронічних отруєнь.
Також не менш токсичні та небезпечні морські безхребетні. Вони налічують багато видів і, відповідно, ж містять багато різних токсинів, що становлять неабияку небезпеку для мешканців морів та людини.
Використана література
1. Овчинников Ю.А. Биоорганическая химия.—М.:Просвещение, 1987. — 815с.
2. Наталія ПОЗНЯК-ХОМЕНКО; Дзеркало Тижня № 1 (529) 15 - 21 січня 2005
3. Стаття «Наука та інновації ― суспільству»
4. www.bbc.co.uk
|