|
Вступ
1 Соціально-економічне значення культури торгівлі в умовах ринкових відносин
2 Складові культури торгівлі, їх характеристика
3 Елементи культури обслуговування та характеристика основних показників рівня культури торговельного підприємства
4 Аналіз рівня культури та якості обслуговування населення на торговельному підприємстві
5 Заходи щодо підвищення культури та якості торговельного обслуговування населення
Висновки та пропозиції
Використана література
В організації торгівлі важливе місце відводиться культурі здійснення торговельної діяльності, проведенню обслуговування клієнтів і споживачів. Дане поняття жодним чином не залежить від економічної моделі господарювання, а визначається загальними вимогами сучасності до рівня життєдіяльності членів суспільства.
Культура торгівлі як підсистема торговельного обслуговування являє собою сукупність матеріальних та духовних цінностей, вироблених спільно торговельними працівниками і споживачами в процесі повсякденної взаємодії включно із самим процесом розподілу спільно створених цінностей.
Суть культури торгівлі найповніше виявляється у взаємодії матеріальних і духовних засад. Матеріальна культура як наслідок реалізації знань, вроджених здібностей людини опосередковується в предметах, технологіях, засобах праці тощо. В торгівлі, як і в інших галузях людської діяльності, вона теж є уречевленою і виступає як важлива умова реалізації послуг. Проте для даної сфери господарювання характерним є спосіб реалізації товарів і послуг у формі безпосереднього спілкування за схемою «людина-людина», а тому тільки матеріальної культури в даному разі недостатньо для досягнення високої якості обслуговування покупців. Тут на передній план виступає поняття духовної культури. Духовна культура сприяє формуванню в споживача раціональних потреб, уявлень та поглядів на товари, асортимент, рівень обслуговування, правові позиції, психологічні нахили та настрої, естетичні та моральні норми. Використання резервів у справі підняття духовної культури приховує в собі невичерпні можливості для залучення покупців.
Органічне поєднання матеріальної і духовної культури дозволяє кардинально підвищувати рівень торговельного обслуговування в цілому і її конкурентоспроможність зокрема.
Забиваем Сайты В ТОП КУВАЛДОЙ - Уникальные возможности от SeoHammer
Каждая ссылка анализируется по трем пакетам оценки: SEO, Трафик и SMM.
SeoHammer делает продвижение сайта прозрачным и простым занятием.
Ссылки, вечные ссылки, статьи, упоминания, пресс-релизы - используйте по максимуму потенциал SeoHammer для продвижения вашего сайта.
Что умеет делать SeoHammer
— Продвижение в один клик, интеллектуальный подбор запросов, покупка самых лучших ссылок с высокой степенью качества у лучших бирж ссылок.
— Регулярная проверка качества ссылок по более чем 100 показателям и ежедневный пересчет показателей качества проекта.
— Все известные форматы ссылок: арендные ссылки, вечные ссылки, публикации (упоминания, мнения, отзывы, статьи, пресс-релизы).
— SeoHammer покажет, где рост или падение, а также запросы, на которые нужно обратить внимание.
SeoHammer еще предоставляет технологию Буст, она ускоряет продвижение в десятки раз,
а первые результаты появляются уже в течение первых 7 дней.
Зарегистрироваться и Начать продвижение
До основних функцій підсистеми культури торгівлі належать:
- світогляд;
- оцінно-нормативна функція;
- комунікативна функція;
- інтегральна функція.
Отже, метою роботи
є вивчення і обґрунтування культури і якості торговельного обслуговування населення та критерії оцінки комерційної діяльності.Завданнями курсової роботи
є:- дослідження сутності культури торгівлі,- визначення складових елементів та основних показників рівня культури торговельного підприємства,- проведення аналізу рівня культури та якості обслуговування населення на торговельному підприємстві- обґрунтування заходів щодо підвищення культури та якості торговельного обслуговування населення.Об’єктом дослідження
є торгівельне підприємство.Предметом дослідження
є культура і якість торговельного обслуговування.
Культура торгівлі означає високий рівень розвитку галузі, сукупності досягнень в ній. В понятті "культура торгівлі" відображені всі особливості торгової галузі і завдання, які стоять перед нею.
В умовах ринкової економіки зростають і якісно змінюються завдання, які стоять перед торгівлею. І одним з головних завдань стає культурно, тобто на самому високому рівні, організувати весь торгово-технологічний процес - вивчення попиту, вплив на промисловість, вдосконалення технології продажу.
В сучасних умовах суть вимог населення до торгівлі зводиться до забезпечення можливостей своєчасно придбати усі необхідні товари високого ґатунку і у потрібному асортименті з найменшими витратами часу за найвигідніших умов.
Згідно з концепціями розвитку внутрішньої торгівлі України основним напрямом структурної перебудови торгівлі є формування ефективного конкурентного середовища у сфері торговельного обслуговування населення, що потребує прискореного розвитку нових форм торгівлі за рахунок залучення до торговельної діяльності якомога більшої кількості господарюючих суб'єктів і суттєвого розширення типової і видової їх різноманітності. Поряд з магазинними формами продажу товарів широкого розвитку набудуть позамагазинні форми торговельного обслуговування населення.
Проте сьогодні все ще багато часу витрачається на придбання товарів: на дорогу до магазину і назад, на подорож по магазинах у пошуках потрібного товару, на очікування обслуговування, на чергу в примірку кімнату або до вузла розрахунку і таке інше. І не лише робітники магазинів винні у цих витратах. Скорочення часу, пов'язаного з купівлею товарів, залежить від раціонального розміщення торгової мережі, вдосконалення асортименту і підвищення ґатунку товарів, які постачаються промисловістю. Лише об'єднання зусиль усіх причетних до торгівлі служб може забезпечити значне підвищення рівня торговельного обслуговування населення. В понятті "культура торгівлі" складовою частиною є, насамперед, виробнича культура.
Товар повинен бути високого ґатунку, задовольняти смаки сучасного покупця. Широкий і сталий асортимент товару - необхідна умова високої культури торгівлі. Культура торгівлі значною мірою визначається станом матеріально-технічної бази галузі. За останні роки відбулися значні кількісні і якісні зміни в її розвитку. З'явилися і функціонують торговельні підприємства, в яких створені усі можливості для забезпечення високої культури обслуговування покупців. Функціонують великі механізовані склади, на яких процеси приймання, зберігання, підготовки виробів до продажу, відбору і комплектування партій товару організовані на самому сучасному рівні. Ці процеси не входять безпосередньо в процес обслуговування покупців, але від їх правильної організації залежить рівень обслуговування покупців, а значить, і культура торгівлі в цілому.
Сервис онлайн-записи на собственном Telegram-боте
Попробуйте сервис онлайн-записи VisitTime на основе вашего собственного Telegram-бота:
— Разгрузит мастера, специалиста или компанию;
— Позволит гибко управлять расписанием и загрузкой;
— Разошлет оповещения о новых услугах или акциях;
— Позволит принять оплату на карту/кошелек/счет;
— Позволит записываться на групповые и персональные посещения;
— Поможет получить от клиента отзывы о визите к вам;
— Включает в себя сервис чаевых.
Для новых пользователей первый месяц бесплатно.
Зарегистрироваться в сервисе
Культура праці робітників торгівлі також обов'язкова частина культури торгівлі. Торговельно-технологічне обладнання магазину, гарне освітлення, відсутність шумів, чисте повітря, нормальна температура, наявність зручних підсобних та побутових приміщень - все це сприяє раціональній організації праці, а, значить, забезпечує можливість для високої працездатності.
З культурою праці безпосередньо пов'язана етична культура тих, хто обслуговує покупців. Вона передбачає ввічливе, уважне відношення робітників магазинів до покупців. Пасивність, черствість, неувага, байдужість - якості, протипоказані робітнику торгівлі.
Естетична культура в торгівлі - це й красиво запакований, зі смаком викладений товар, і наявність вражаючої реклами, і естетика зовнішнього вигляду робітника торговельного залу. Дослідження показали, що покупці охоче користуються послугами магазинів, зі смаком оформлених, що використовують сучасне торговельно-технологічне обладнання, в яких постійно підтримуються чистота і порядок.
Особливе місце в естетичній культурі займає естетика зовнішнього вигляду продавця. Охайний зовнішній вигляд, зібраність, підтягнутість приваблюють покупців, створюють в них особливе ставлення до купівлі.
Отже, товар вироблений, завезений до магазину, обладнаного гарним сучасним обладнанням, викладений на полиці, стелажі і піддони, у контейнери. Залишилось зробити останній крок - продати товар, обслужити покупця.
Продавець - основна фігура у відтворенні процесу продажу товарів. Ось він стоїть в торговельному залі, на своєму робочому місці. Весь товар в наявності. Торгове обладнання розташоване так, що зручно і покупцю, і продавцю. Покупець придивляється, розмірковує, він готовий придбати тут що-небудь. А ось що конкретно із запропонованого у магазині ближче всього його бажанню - повної ясності немає. Тут повинен допомогти, продавець.
Але ще мають місце випадки, коли продавець ніби не бачить розсіяного погляду покупця, на прохання показати річ, що сподобалась, відгукнувся неохоче, на питання про те, чим відрізняються два аналогічних вироби, відповіді не дав. Внаслідок такої поведінки продавця купівля може не здійснитися. Культура поведінки продавця, культура його спілкування з покупцем як складова частина "культури, виявилися не на висоті.
Оцінку культурі обслуговування виставляє покупець. Високої оцінки заслуговує тільки те торговельне підприємство, яке сучасно оформлене, світле, просторе, де покупцеві запропонують високоякісний товар відповідно до попиту, де його культурно обслужать, де немає черг і не треба витрачати дорогоцінний час на стояння в них, продавці охайні, привітні та доброзичливі. Саме в такі магазини покупець приходитиме і надалі.
Розповсюдження методу самообслуговування трохи змістило звичні акценти у взаємодії продавця і покупця. Останньому не треба просити: "Покажіть, будь ласка", - всі товари добре видно - дивися, вибирай. Однак покупець може розгубитися перед такою кількістю виробів! Та й зорієнтуватися серед відділів і секцій не завжди просто. Так що за сучасних форм пропонування товарів організація роботи і оформлення торговельного залу стає важливим засобом активного впливу на весь процес продажу. Треба надати покупцю можливість максимально швидко отримати повне уявлення відносно асортименту товарів, консультацію, що допоможе вибрати потрібний товар, а за необхідності надати й інші торговельні послуги.
Разом з тим відомо, що є ще чимало недоліків в організації торгово-технологічного процесу в магазинах, що знижують рівень культури обслуговування. Це може бути, наприклад, відсутність інформаційних схем і таблиць розміщення товарів, вказівників, обмеженість доступу покупців в секції, недостатня кількість примірочних кабін, невідповідність потоків покупців, нераціональне розташування вузлів розрахунку, відсутність пакувальних матеріалів та ін.
Отже, найбільш важливими елементами культури торгового обслуговування покупців є:
- наявність широкого асортименту товарів;
- відповідність режиму роботи магазину умовам праці та побуту обслуговуючого населення;
- використання прогресивних методів торгівлі;
- відсутність в магазині черг;
- надання покупцям додаткових послуг;
- належний санітарний стан магазину;
- вміння продавця повно і швидко відповісти на запитання покупців;
- ввічливе, уважне ставлення персоналу магазину до покупців;
- акуратний зовнішній вигляд продавців, наявність спеціального форменого одягу.
Значна частина робочого часу працівників роздрібної торговельної мережі припадає на спілкування з покупцями. Тому дуже важливо, щоб торговельний працівник був добре підготовлений як фахівець, міг своєчасно прийти на допомогу покупцеві, зумів переконати його придбати той чи інший товар.
Великий вплив на атмосферу спілкування має манера ведення розмови. Не бажано розмовляти дуже голосно і швидко. У співрозмовника може скластися враження, що йому хочуть нав'язати свою думку. Якщо продавець розмовляє дуже тихо або незрозуміле, то співрозмовник буде вимушений задавати зустрічні запитання, що затягує процес переговорів.
Уявимо, що продавець вирішив продемонструвати Товар, або показати з метою його використання. Клієнту необхідно дати можливість усвідомити його особисті вчинки як потенційного споживача. Незалежно від того, наскільки простий або складний цей виріб, мета демонстрації полягає в тому, щоб показати, що з допомогою придбаного товару може зробити покупець, які вигоди він буде мати при цьому. І якщо тільки потенційний покупець побачить, що цей товар допоможе вирішити ті чи інші проблеми, він уже буде зацікавлений у товарі незалежно від складності самого процесу.
Щоб уміти переконувати, потрібно аргументувати свої висловлення коротко і чітко, утримуватися від пустих обіцянок, проявляти терпимість. Свою думку, відмінну від думки співрозмовника, аргументувати тактично, ні в якому разі не допускати різних випадів і виразів, що принижують людську гідність.
Отже, висока культура торгівлі - це і відповідні попиту якісні товари, і розвинута матеріально-технічна база, і налагоджений механізм комерційних зв'язків торгівлі і виробництва, і висока культура безпосереднього обслуговування покупців у магазині. Далеко не на всі з перелічених факторів можуть вплинути працівники торгівлі. Можна встановити режим роботи магазину, який найбільшою мірою відповідає потребам обслуговуючого населення, можна використати найсучасніше торгове обладнання, можна утримувати всі приміщення в зразковій чистоті, можна оформити магазин відповідно до останніх вимог дизайну, але відсутність в торговому залі товарів, за своєю якістю і асортиментом, що відповідають вимогам покупців, зведе нанівець всі зусилля працівників торгівлі.
Тому основною умовою високої культури торгівлі є постійна наявність в продажу високоякісних товарів у широкому асортименті. Виконання цієї вимоги потребує вивчення попиту покупців працівниками торгівлі, знання кон'юнктури ринку, постійне спостереження і вивчення ситуації на ринку.
Інтенсивне насичення споживчого ринку України різноманітними товарами, особливо імпортного виробництва, і, як свідчить практика, не завжди якісними, ставить в ряд найбільш актуальних завдань на сьогодні просвітницьку роботу серед громадян як потенційних покупців і споживачів продукції. Інформування покупців щодо споживчих властивостей тих чи інших товарів, а також захисту їхніх прав проводиться як на державному рівні, так і на рівні торговельних підприємств. На державному рівні інформують покупців через включення вимог щодо захисту прав споживачів в стандарти, загальноосвітні фахові програми, видання необхідних нормативних документів, що регламентують взаємовідносини між суб'єктами ринку в процесі купівлі-продажу товарів. Левова частка просвітницької роботи з питань інформування покупців-споживачів відносно конкретного асортименту товарів торгового підприємства, їх якості, прав споживачів згідно з чинним Законом України "Про захист прав споживачів" лягає на обслуговуючий персонал магазину. Саме від працівників прилавку повинна надходити інформація покупцям про їх права і необхідні дії щодо їх захисту. Так, наприклад, кожний громадянин, як покупець, повинен знати, що в разі придбання товару неналежної якості, він має право на свій вибір вимагати:
- безкоштовного усунення недоліків товару або повернення витрат на його ремонт споживачем;
- відповідного зменшення купівельної ціни;
- заміни на такий же товар іншої марки (моделі, артикулу) з
відповідним перерахунком купівельної ціни;
- розірвання договору купівлі-продажу.
При цьому споживач має право вимагати також відшкодування збитків, які були завдані йому внаслідок продажу товару неналежної якості.
Широкого розвитку в останні роки набувають позамагазинні форми обслуговування населення, такі як торгівля за каталогами (в США ця форма торговельного обслуговування має назву "директ мейл". Використовується переважно для організації продажу новинок, одягу і навіть харчових продуктів), по телефону, через торгові автомати, продаж вдома у покупця, розносна торгівля.
Своєрідністю прямого продажу є
те, що торговельні агенти різних збутових організацій і підприємств-виробників здійснюють реалізацію продукції, доставляючи її безпосередньо покупцеві додому.
Техніка особистого продажу відрізняється такими характерними рисами:
- передбачає живе безпосереднє спілкування між продавцем і покупцем;
-
сприяє встановленню різноманітних відносин - від формальних відносин "продавець-покупець" до щирої дружби. Справжній продавець прагне встановити з клієнтом довготермінові відносини і завжди приймає його інтереси близько до серця.
Зарубіжна практика свідчить, що основою високого рівня культури торговельного обслуговування населення за позамагазинних форм продажу товарів є ретельний відбір кваліфікованих торговельних агентів. Процедури відбору можуть бути різноманітні: від однієї неформальної бесіди до випробування за відповідними тестами.
До початку роботи з обслуговування населення відібрані агенти проходять курс навчання, завданням якого є:
- знайомство майбутнього торгового агента з фірмою, товарами фірми, їх виробництвом, функціями в різних варіантах виконання;
- отримання знань про особливості клієнтів і конкурентів, про різні типи замовників і їхні потреби, споживацькі мотиви і звички;
- навчання майбутнього торгового агента проведенню торгових презентацій, вивченню головних комерційних аргументів на користь кожного окремого товару (деякі західні фірми практикують показ сценаріїв бесід з клієнтами);
- знайомство з особливостями роботи, обов'язками торгового агента (як розробити найбільш раціональні маршрути поїздок, скласти звіт роботи за день).
Одне з головних завдань навчального курсу - дати знання про мистецтво продажу. Іноземні фірми тратять сотні мільйонів доларів на проведення семінарів, підготовку книг, касет та інших навчальних матеріалів. Багато видається літератури з назвами такого типу: "Як визначити природженого комівояжера", "Як продати що завгодно, кому завгодно", "Як я добився успіху за шість годин завдяки напористому продажу", "Куди йти далі, ставши першим"," Як завоювати друзів і впливати на людей".
2 Складові культури торгівлі, їх характеристика
Підсистема культури торгівлі, своєю чергою, характеризується низкою складових елементів, до яких входять (рис. 1): якісний рівень товару, стан матеріально-технічної бази торговельного підприємства, рівень впровадження прогресивних методів обслуговування покупців, стан системи товаропостачання, культура праці працівників прилавка, етика й естетика обслуговування.
Якісний рівень товару є основоположним у підсистемі культури торгівлі і передбачає безумовну високу якість основного об'єкта торговельної діяльності, глибокий і широкий асортимент стабільного характеру. Товар, що надходить у торговельну мережу, повинен максимально повно задовольняти потреби і запити різних контингентів покупців незалежно від рівня їх доходів.
Матеріальне підґрунтя культури формує фактичний стан матеріально-технічної бази торговельного підприємства, яка безпосередньо залежить від наявних площ, їх пристосованості до конкретних форм і методів обслуговування, рівня технічної оснащеності торговельно-технологічним і допоміжним обладнанням.
Рис. 1.
Складові підсистеми культури торгівлі
Рівень упровадження прогресивних методів обслуговування визначає повноту створення максимальних зручностей покупцям при ознайомленні з асортиментом і вибором необхідного товару під час його відпуску і проведення розрахунків за покупку. Прогресивні методи доповнюються низкою основних і додаткових послуг, що сприяє закріпленню позитивного іміджу торговельного підприємства у покупців і розширенню контингенту обслуговуваних споживачів.
Ритмічне постачання роздрібного торговельного підприємства товарами, повнота і глибина асортименту безпосередньо залежить від поточного стану системи товаропостачання. Вона повинна бути максимально відпрацьованою, здатною до мобільної трансформації під впливом змін у попиті населення, виробничому асортименті товаровиробників чи торговому асортименті гуртових та інших посередників на ринку.
Культура праці працівників прилавку як складова культури торгівлі формується ергономічними, фізіологічними й естетичними зручностями роботи працівників торговельного закладу. Нормальні умови праці, дотримання норм освітленості, температурного режиму, забезпеченість працівників прилавка побутовими приміщеннями сприяють створенню оптимального мікроклімату в колективі, підвищенню продуктивності праці продавців у магазинах.
Етика обслуговування розпочинається із внутрішньої культури працівників роздрібних торговельних підприємств. Вона передбачає уважне, привітне і ввічливе ставлення продавців до різноманітних за типом темпераменту, широтою світогляду і культури покупців. З боку працівників торгівлі високий рівень етичної культури досягається вивченням основ психології і конфліктології, ретельним ознайомленням з товарами і їх властивостями, постійною готовністю до встановлення приязного контакту з покупцем незалежно від його поточного психічного стану.
Естетика обслуговування довершує низку складових елементів культури торгівлі, що жодним чином не применшує її ролі і значення в даній підсистемі. Для естетичної культури в галузі торгівлі важливого значення набуває високий рівень естетичного оформлення всіх компонентів процесу реалізації: товарів; засобів реалізації (обладнання і інвентарю), реклами та інформації; зовнішній вигляд торговельного закладу, його торгового залу і продавців тощо.
У практиці культура торгівлі полягає в оптимальному поєднанні культури і якості обслуговування.
Головною дійовою особою в роздрібній торгівлі залишається покупець — клієнт. Саме через призму його вражень і міри задоволення принесених ним у заклад торгівлі потреб необхідно оцінювати загальний рівень культури обслуговування в кожному конкретному підприємстві торгівлі.
Культура обслуговування покупців — це низка основних показників, що дозволяють характеризувати рівень обслуговування й естетичного оформлення роздрібного торговельного підприємства.
До таких показників відносять:
- стійкість асортименту;
- застосування прогресивних методів продажу товарів;
- надання системи послуг;
- затрати часу на здійснення купівлі;
- дотримання затвердженого режиму роботи;
- інтенсивність використання внутрішньомагазинних засобів інформації і реклами;
- рівень професійної кваліфікації працівників магазину;
- естетичний вигляд працівників прилавка;
- рівень етичної культури продавців;
- естетичний і санітарний стан магазину;
- дотримання встановлених правил продажу товарів.
На основі наведених показників розраховується узагальнюючий показник рівня культури обслуговування покупців за формулою:

де Рк.oбc
— узагальнюючий показник рівня культури обслуговування покупців;
Кстаб
— коефіцієнт стабільності асортименту товарів;
Зп.ст
— значення показника стабільності асортименту товарів, балів;
Квпр
— коефіцієнт впровадження прогресивних методів продажу товарів;
Зп.пр
— значення показника впровадження прогресивних методів продажу товарів, балів;
Кс.пос
— коефіцієнт системи послуг, що надаються в магазині;
Зп.пос
— значення показника системи послуг у магазині, балів;
Кз.ч
— коефіцієнт затрат часу покупців на обслуговування;
Зп.час
— значення показника затрат часу покупців на обслуговування, балів;
Кзав
— коефіцієнт завершеності процесу купівлі;
Зп.з.п
— значення показника завершеності процесу покупки, балів;
Кп.я.п
— коефіцієнт якості праці працівників магазину;
Зп.я.п
— значення показника якості праці працівників магазину, балів;
Кп.д.п
— коефіцієнт культури обслуговування на думку покупців.
У процесі розрахунків узагальнюючого показника культури обслуговування визначаються також часткові коефіцієнти, за якими й обчислюється узагальнююча величина.
Коефіцієнт стабільності асортименту товарів визначається за співвідношенням кількості наявних у торговельному підприємстві різновидів товарів на момент проведення перевірки до кількості найменувань, передбачених асортиментним переліком для даного типу магазину, затвердженого керівництвом.
Коефіцієнт впровадження прогресивних методів продажу товарів можна визначити як частку обороту товарів, реалізованих за допомогою прогресивних методів продажу в загальному обсязі товарообігу магазину.
За фактичною відповідністю на момент перевірки номенклатури основних і додаткових послуг установленій відповідним асортиментним переліком послуг розраховується коефіцієнт системи послуг, що надаються в магазині.
Коефіцієнт затрат часу покупців на обслуговування обчислюється як співвідношення фактичних затрат часу покупців на обслуговування оптимальному розміру часових затрат на обслуговування. При цьому допускається, що при нижчому рівні фактичних затрат від рівня оптимальних затрат часу на обслуговування значення цього показника дорівнює одиниці.
Співвідношення кількості покупців, що здійснили покупку в результаті відвідання магазину, до загальної чисельності відвідувачів за період спостереження дає змогу встановити коефіцієнт завершеності процесу покупки.
Коефіцієнти якості праці працівників магазину і культури обслуговування з погляду покупців є суто якісними характеристиками роботи персоналу торговельного підприємства і мають при цьому доволі суб'єктивний характер. Зокрема, якість праці працівників магазину можна встановити на підставі загальноприйнятих стандартів обслуговування або за аналогами, при цьому найвища якість праці відповідає значенню 1 відповідного коефіцієнта. Культура обслуговування на думку споживачів установлюється на основі опитування як співвідношення оцінок «добре» і «відмінно» до загальної кількості опитаних відвідувачів даного магазину.
Узагальнюючий показник рівня культури обслуговування покупців розраховується в першу чергу для стимулювання праці працівників прилавка і виявлення невикористаних колективом торговельного підприємства резервів для підвищення культури обслуговування, а тим самим — для підвищення його іміджу на споживчому ринку і підвищення конкурентоспроможності в умовах посилення конкурентної боротьби.
Проведені спеціалістами розрахунки засвідчили, що значення окремих складових показників у сумарному показнику загального рівня культури обслуговування покупців у конкретному торговельному підприємстві орієнтовно становить (табл. 1).
Таблиця 1
Значення основних показників культури обслуговування
| Показники культури обслуговування |
Значення показника у загальному рівні культури обслуговування, балів |
| Стійкість асортименту товарів (Зп.ст
) |
0,21 |
| Застосування прогресивних методів продажу (Зп.пр
) |
0,14 |
| Система послуг в магазині (Зп.пос
) |
0,08 |
| Затрати часу покупців на обслуговування (Зп.час
) |
0,18 |
| Завершеність процесу покупки товарів (Зп.з.п
) |
0,18 |
| Якість праці працівників магазину (Зп.я.п
) |
0,21 |
| Загальний рівень культури обслуговування |
1,00 |
У практиці торговельної діяльності вважається, що роздрібне торговельне підприємство може бути віднесене до підприємств з високою культурою обслуговування за умови Рк.обс
³ 0,7 для магазинів з торгівлі непродовольчими товарами і Робсл
³ 0,8 для продовольчих магазинів.
Одним із важливих показників конкурентоспроможності торгового об'єкта є рівень торговельного обслуговування покупців.
Під торговельним обслуговуванням розуміють діяльність (іноді й «невідчутну», бо нематеріальна) роздрібного торговця (продавця) при безпосередній взаємодії з покупцем, яка спрямована на задоволення його потреб у процесі придбання товару та/або послуги.
Рівень торговельного обслуговування обумовлює низка факторів:
· місце споживача на ринку — в умовах ринкової економіки він є його господарем;
· ступінь жорсткості конкуренції на споживчому ринку;
· стан розвитку економіки країни, ступінь її стабільності, рівень інфляції;
· стан розвитку вітчизняного виробництва споживчих товарів;
· життєвий рівень населення, спосіб його життя;
· стан організації товаропостачання і ступінь ефективності взаємодії виробників, оптових посередників і суб'єктів господарювання роздрібної торгівлі;
· фінансовий стан усіх суб'єктів ринку — ланок, що доводять товари від виробників до споживачів;
· мотивація праці, система її оплати і стимулювання;
· рівень професіоналізму і в цілому культурний рівень обслуговуючого персоналу;
· ступінь ефективності державного регулювання в сфері роздрібної торгівлі і забезпечення захисту прав споживачів.
Чим краще вирішується усе вищезазначене на макро- та мікрорівнях, тим досконалішою буде система торговельного обслуговування в країні та вищим рівень його якості у конкретному торговому об'єкті.
Система торговельного обслуговування — це цілісна єдність взаємопов'язаних елементів, що забезпечують здійснення торговельного обслуговування в об'єктах торгівлі.
Якість обслуговування покупців у магазині формується значною кількістю елементів, які відіграють немалу роль у забезпеченні його належного рівня. Слід розрізняти зовнішні елементи, які визначають рівень якості торговельного обслуговування в усіх торгових об'єктах залежно від стану структурно-територіальної організації роздрібної торгової мережі в конкретному населеному пункті, та внутрішні елементи, характерні для окремого торгового об'єкта.
До зовнішніх елементів, що визначають якість системи торговельного обслуговування в цілому, належать:
· забезпечення населення необхідною кількістю різних видів і типів об'єктів торгівлі за спеціалізацією та розмірами;
· оптимальне співвідношення магазину і позамагазинних форм продажу товарів, у тому числі традиційних (ринків, дрібнороздрібної торгової мережі) і новітніх, створених на основі застосування комп'ютерної і телекомунікаційної техніки та технології;
· раціональне розміщення торгових об'єктів на території населеного пункту.
Від стану вирішення цих питань перш за все залежатимуть затрати часу покупців на дорогу до магазинів та інших торгових об'єктів, широта й глибина пропонованого асортименту товарів і різноманітність послуг, зручність та комфорт при їх придбанні. До числа основних внутрішніх елементів, які залежать від суб'єкта господарювання, належать:
1. Повнота асортименту товарів протягом усього робочого дня торгового об'єкта. Забезпечення широкого вибору товарів є важливою умовою задоволення попиту споживачів, а отже й основною передумовою високого рівня, їх обслуговування. Повноту асортименту товарів характеризують:
· коефіцієнт широти товарного асортименту, який визначається як відношення фактичної кількості товарних груп (для універсальних магазинів) і підгруп (для спеціалізованих магазинів) до оптимальної їх кількості, передбаченої асортиментним переліком;
· коефіцієнт глибини товарного асортименту, який визначається як відношення фактичної кількості різновидів товарів за окремими споживчими або якісними ознаками (фасонами, моделями, розмірами та іншим) до оптимальної їх кількості, передбаченої асортиментним переліком.
Широта і глибина асортименту товарів у магазині залежать від ряду факторів, найважливішим з яких є форма його товарної спеціалізації, розмір торгової площі, а також стан товарної пропозиції на споживчому ринку та рівень платоспроможного попиту населення.
Для забезпечення повноти товарного асортименту важливу роль відіграє його сталість, що гарантує постійну можливість здійснення купівлі необхідних товарів.
Коефіцієнт сталості асортименту товарів у магазині (Kс
)визначається за формулою:

де ВАр
— кількість різновидів товарів, відсутніх у продажу на момент перевірки (із передбачених розробленим для магазину асортиментним переліком);
АПр
— кількість різновидів товарів за асортиментним переліком; n — кількість перевірок за аналізовуваний період.
При розрахунку коефіцієнта сталості з асортиментного переліку слід виключити товари сезонного попиту, які в період перевірки не реалізуються. Оптимальне значення коефіцієнта сталості асортименту товарів у магазині повинно бути не нижче:
· для продовольчих магазинів з універсальним асортиментом товарів — 0,90;
· для універмагів — 0,80;
· для магазинів одягу і взуття — 0,75;
· для магазинів з продажу культтоварів, спортивних, господарських і галантерейних товарів — 0,85.
Коефіцієнт сталості товарної пропозиції по якомусь одному виду товару можна розрахувати як відношення числа днів, протягом яких товар був у продажу, до числа днів аналізовуваного періоду (декада, місяць). Для швидкопсувних товарів цей показник визначається аналогічно, але порівнюється кількість годин, протягом яких товар був у продажу, до кількості годин роботи магазину протягом робочого дня.
2. Відповідність асортименту, якості товарів та цін на них попитові покупців. Основним показником, з допомогою якого можна оцінити цю відповідність, є коефіцієнт завершеності купівлі. Оптимальна його величина повинна бути не нижче 0,70. Методом вибіркового обстеження можна визначити кількість покупців, які придбали товар, та загальну кількість покупців, що планували його придбати. Порівнявши їх, можна визначити цей показник.
Для оцінки пропонованого товарного асортименту слід розраховувати й аналізувати і такі показники, як:
· коефіцієнт оновлення товарного асортименту, який дає змогу оцінити співвідношення нових та відомих покупцям товарів, тобто з різними стадіями їх життєвого циклу;
· коефіцієнт гармонійності товарного асортименту, який характеризує співвідношення кількості асортиментних різновидів основної (основних) товарних груп (підгруп) і супутних товарів, що забезпечують більшу комплексність товарної пропозиції.
Важливо також визначити питому вагу кількості товарів відомих торгових марок, які користуються підвищеним попитом покупців, у загальній кількості асортиментних позицій.
3. Широкий перелік послуг, якість і своєчасність їх виконання, доступність їх для більшості споживачів за цінами. Для оцінки рівня надання послуг покупцям порівнюють фактичну їх кількість з оптимальною, тобто кількістю послуг, що можуть пропонувати магазини відповідно до своєї товарної спеціалізації та розміру торгової площі. Це теж важливий елемент якості торговельного обслуговування, бо він підвищує цінність товару для споживача.
4. Оптимальна атмосфера магазину, яка формує умови для успішного здійснення акту купівлі-продажу товарів та послуг, а також його імідж.
Атмосфера магазину формується з багатьох елементів. Основні з них подано на рис. 2.
Знайомство покупця з будь-яким магазином починається з його фасаду та навколишнього оточення. За допомогою фасаду, який створюється розмірами, поверховістю, примітністю та освітленням будівлі, вивісками, вітринами, наявністю парковки, суб'єкт господарювання може представити споживачу консервативний, модний, шикарний, дисконтний або будь-який інший імідж свого магазину. Крім самого фасаду, можна використовувати й інші елементи зовнішнього оформлення: дерева, квіти, фонтани й лавочки перед магазином. Для магазинів, особливо великих, надзвичайно важливою є наявність автопарковки. Простора безплатна парковка, розташована поряд з магазином, створює позитивний його імідж, на відміну від маленької, з великою скупченістю автомашин, дорогокоштної і віддаленої. Деякі потенційні покупці можуть навіть ні разу не відвідати магазин, якщо вже колись мали проблеми з парковкою. Інші можуть дуже швидко оглянути товари й вийти з магазину, поки не закінчився оплачений час парковки. Отже, суб'єкт господарювання повинен створити атмосферу спокою та комфорту, яка сприятиме формуванню позитивного ставлення до цього магазину.
Внутрішня атмосфера магазину формується ще більш значною кількістю елементів. Серед них найбільш важливими є організація основних торгово-технологічних процесів та праці торгового персоналу, а також планування магазину, послідовність розташування товарів у торговому залі, їх викладка на обладнанні, організація роботи розрахункових вузлів. Магазин з сучасними технологіями приваблює покупців своєю ефективністю і швидкістю обслуговування.
Важливу роль у створенні комфортних умов для покупців та праці торгового персоналу відіграє технічне оснащення магазинів необхідним основним та допоміжним торгово-технологічним обладнанням. На рисунках 2 і 3 представлено деякі зразки такого обладнання для сучасних супермаркетів.
Рис. 2
.
Елементи атмосфери магазину
Основними у визначенні рівня культури обслуговування населення є такі показники:
— стійкість асортименту товару;
— рівень додаткового обслуговування покупців;
— затрати часу на очікування обслуговування;
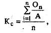
— рівень культури обслуговування на думку покупців. Стійкість асортименту товарів (Кс) визначається за формулою:

де Оn - число різновидів товару, які є у продажу в момент проведення перевірок, з передбачених обов'язковим асортиментним переліком;
А - число різновидів товарів, передбачених обов'язковим переліком товарів;
n — число перевірок.
Для визначення цього показника використовується обов'язковий перелік товарів достатнього асортименту й результати перевірок стійкості їх асортименту. Такі перевірки повинні проводитися не менше двох разів у місяць.
Рівень додаткового обслуговування покупців (Кд) визначається за формулою:
де Yn - число видів додаткових послуг, котрі надавалися покупцям у крамниці у момент перевірок;
Yc - число додаткових послуг, передбачених переліком, затвердженим для даного магазину;
n - число перевірок.
Для визначення цього показника використовуються переліки послуг, затверджені для крамниці, дані про результати перевірок фактичного стану додаткового обслуговування покупців, обсяги наданих окремих послуг.
Перевірки стану додаткового обслуговування проводяться не менше одного разу у місяць. За час перевірок фіксуються надання усіх видів додаткових послуг покупцям, а також відповідно фактично наданих додаткових послуг переліку, затвердженому для даного типу магазину.
Затрати часу покупців на очікування обслуговування (Ко) визначаються за формулою:

де Зо - оптимальні затрати часу покупців на очікування обслуговування;
Зф - середні фактичні затрати часу на очікування.
Середні фактичні затрати часу на очікування обслуговування складаються з: затрат часу покупців на очікування консультації (Зк), на очікування примірки (Зпр), на очікування розрахунку (Зр), на очікування одержання товару (Зо).
Для визначення затрат часу покупців на очікуване обслуговування використовуються хронометражні заміри. Хронометражні заміри затрат часу покупців проводяться у час найбільш інтенсивного потоку покупців у крамниці, але не в період продажу товару підвищеного попиту і не в передвихідні та передсвяткові дні.
Середні затрати часу по кожному з перерахованих елементів визначаються на основі не менше 20 замірів.
Потім додаванням одержаних даних за середніми затратами часу на очікування примірки, консультації, розрахунку та одержання товарів визначаються фактичні затрати часу покупців на очікування обслуговування.
У тих магазинах, де здійснюється продаж декількох груп товарів, середні затрати часу на очікування обслуговування визначаються по кожній групі товарів і використовуються для розрахунку середніх затрат часу на очікування обслуговування в цілому по підприємству:
де Зф - фактичні затрати часу покупців на очікування в цілому по магазину;
Зі - середні затрати часу на очікування обслуговування під час купівлі товарів і-ї групи;
Ті - значущість і-ї товарної групи
в асортименті товарів у магазині;
n - число товарних груп, продаж яких здійснюється у магазині.
Якщо у магазині середні фактичні затрати часу покупців на очікування обслуговування менші від оптимальних, то при визначенні рівня культури обслуговування величина Ко береться рівною до одиниці.
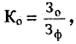
Рівень культури обслуговування на думку покупців (Кп ) визначається за формулою:

де Мп - кількість покупців, які дали відмінну оцінку та оцінку "добре" стану культури обслуговування у крамниці;
Мз - загальна кількість покупців, які оцінили стан культури обслуговування у крамниці.
Для розрахунку цього показника використовується інформація, що є у крамницях, про оцінку стану культури обслуговування покупців, одержана за допомогою технічних засобів, роздачі жетонів, індивідуальних талонів активності робітників торгового залу, опитувань покупців, що проводяться під час конференцій покупців, та таке інше.
Щоб розрахувати узагальнений показник рівня культури обслуговування покупців у крамниці потрібно мати на увазі, що показники, про які йшла мова вище, не однаковою мірою впливають на загальний рівень культури обслуговування. Тому потрібно визначити важливість кожного з них. Значення окремих показників в загальному рівні культури обслуговування
покупців становить (в балах):
Стійкість асортименту (З1
)______________________________ 0,45
Додаткове обслуговування покупців (З2
)___________________0,20
Затрати часу покупців на очікування обслуговування (З3
)_____0,35
Рівень культури обслуговування на думку покупців _________1,00
З урахуванням усього сказаного узагальнюючий коефіцієнт рівня культури обслуговування покупців у крамниці (К5,) визначається за формулою:

Залежно від величини узагальнюючого показника магазини можуть бути віднесені до різних категорій за рівнем обслуговування. Якщо цей показник дорівнює 0,901, або перевищує це значення, то підприємство слід вважати підприємством з високим рівнем культури обслуговування покупців; за показника від 0,701 до 0,900 - підприємство відноситься до групи підприємств, що забезпечують задовільний рівень культури; якщо ж цей показник нижчий за 0,700, то на підприємстві культура обслуговування перебуває на низькому рівні.
4 Аналіз рівня культури та якості обслуговування населення на торговельному підприємстві
культура якість торговельне обслуговування
Визначення якості торговельного обслуговування набуває для практичних працівників галузі важливого значення, оскільки на її основі керівники торговельних підприємств мають можливість визначити резерви покращання власної діяльності.
Якість торговельного обслуговування — це сукупність ознак і показників, які дозволяють установити ступінь відповідності основних і допоміжних торговельно-технологічних процесів у торговельному підприємстві вимогам споживачів.
У загальному розумінні якість торговельного обслуговування в роздрібній торгівлі — це відповідність рівня сервісу зовнішнім або внутрішнім стандартам обслуговування торговельного підприємства. При цьому зовнішні стандарти обслуговування формуються спільними зусиллями всіх суб'єктів споживчого ринку і коригуються державними органами і громадськими організаціями і є обов'язковими до виконання всіма суб'єктами роздрібної торговельної діяльності. Внутрішні стандарти встановлюються керівництвом торговельної фірми (підприємства) з урахуванням існуючих зовнішніх і є зазвичай значно вищими від них.
Для досягнення високого рівня якості обслуговування, зафіксованого у зовнішніх і внутрішніх стандартах, суб'єкти роздрібної торговельної діяльності повинні вирішити три такі проблеми:
1) прийняти рішення про потенційний рівень сервісу, що може бути наданим суб'єктом торгівлі споживачам (установити внутрішній стандарт обслуговування);
2) розробити стратегію і передбачити низку тактичних заходів для усунення виявлених недоліків у фактичному рівні якості сервісу проти зафіксованого стандартом;
3) установити пріоритетні цілі для подолання різниці між реальним рівнем якості обслуговування і стандартним.
Обслуговування справді високого рівня, що цілком відповідає найвищим потребам і запитам споживачів, може бути забезпечене лише тими учасниками товарного ринку, які прагнуть до досягнення вимог найвищих стандартів.
Кількісна оцінка якості торговельного обслуговування здійснюється за допомогою такої системи показників (рис. 2):
Рис. 2.
Система показників оцінки якості обслуговування
Найбільшою за кількістю оцінки показників для оцінки якості торговельного обслуговування є група показників стану роздрібної торговельної мережі. Вона включає:
- ступінь забезпеченості населення торговельною площею, в м2
на 1 тис. осіб;
- коефіцієнт щільності торговельної мережі в районі обслуговування, торговельних підприємств на 1 або 100 га;
- середня кількість потенційних покупців на 100 м2
торговельної площі, осіб на 100 м2
;
- середня кількість потенційних покупців на 1 підприємство роздрібної торгівлі, осіб на 1 магазин;
- рівень спеціалізації торговельної мережі, %;
- середній розмір підприємства торгівлі за масштабами торговельної площі, м2
на 1 підприємство;
- середній розмір товарообігу в крамницях, тис. грн. на 1 крамницю;
- середній радіус дії (зони охоплення) торговельного підприємства, км;
- ступень забезпеченості торговельних підприємств торговельним обладнанням, %.
Показником упровадження прогресивних методів продажу є частка магазинів, в яких упроваджені прогресивні методи продажу в загальній кількості роздрібних торговельних підприємств досліджуваного регіону.
До показників системи послуг належать:
- обсяг наданих платних послуг магазином або мережею торговельних підприємств, тис. грн.;
- кількість найменувань платних послуг, що надаються в крамницях, од.;
- коефіцієнт повноти послуг, що надаються в торговельній мережі.
Показники повноти і стабільності асортименту виражаються за допомогою коефіцієнтів повноти і стабільності асортименту в торговельних підприємствах.
Показниками динаміки товарообігу є:
- структура роздрібного товарообігу, %;
- товарообіг у розрахунку на душу населення, тис. грн. на особу;
- процент охоплення купівельних фондів населення, %;
- ритмічність виконання завдання з товарообігу.
Як показник затрат часу покупців на здійснення купівлі використовується розрахунок оптимального часу на придбання товарів, а як показник завершеності купівлі — її коефіцієнт.
Комплексну оцінку якості торговельного обслуговування окремо взятого торговельного підприємства або регіону (зони) можна здійснити, провівши розрахунок перелічених вище показників і порівнявши отримані результати з аналогічними за основними параметрами об'єктами дослідження. При цьому необхідно враховувати низку факторів, які безпосередньо впливають на інтегральний показник якості торговельної діяльності: показники потужності торговельних одиниць, мобільність системи товаропостачання мережі, наявність сучасного торговельно-технологічного обладнання, ефективність використання наявних ресурсів, постановка роботи з торговельним асортиментом тощо.
Якість торговельного обслуговування покупців формується під впливом багатьох факторів і складається із значної кількості елементів. Основними показниками, що акумулюють вплив цих факторів і відображають стан товарної пропозиції, організації процесу продажу товарів і обслуговування покупців, є:
- коефіцієнт завершеності купівлі (
Как
);
- коефіцієнт, що характеризує рівень надання послуг (К
п
);
- коефіцієнт, що характеризує затрати часу покупців на купівлю товарів (
Кзч
);
- коефіцієнт, що характеризує якість обслуговування покупців на їх думку за даними анкетного опитування або інших способів збирання інформації (К
п
).
Зазначені показники неоднаковою мірою впливають на загальний рівень якості торговельного обслуговування. Найбільшу вагу має оцінка якості торговельного обслуговування самими покупцями, тому величина К
д
п
дорівнюватиме одиниці. Сума трьох інших показників теж становитиме одиницю, а більш вагомим з них є коефіцієнт завершеності купівлі (0,45), оскільки покупців перш за все цікавить наявність необхідних товарів і можливість задовольнити свій попит. Тому при визначенні узагальнюючого показника враховують важливість кожного з чотирьох вищезазначених показників. Отже, узагальнюючий коефіцієнт рівня якості обслуговування покупців у магазині (Куз
) розраховується за формулою:

Залежно від величини узагальнюючого показника магазини можуть бути віднесені до різних категорій за рівнем обслуговування. Якщо цей показник дорівнює 0,901 або перевищує його значення, то слід вважати, що це магазин з високим рівнем якості обслуговування покупців. Магазин з показником від 0,701 до 0,900 належить до групи магазинів із задовільним рівнем якості обслуговування, а до 0,700 — до магазинів з низьким рівнем обслуговування.
На основі ретельного аналізу стану якості обслуговування покупців, порівняння досягнутих показників зі стандартом обслуговування, які слід розробляти суб'єктам господарювання, необхідно виявити слабкі сторони, недоліки, встановити причини їх виникнення і визначити шляхи удосконалення товаропостачання, підвищення ефективності взаємодії з виробниками та оптовими посередниками, удосконалення організації процесу продажу товарів і обслуговування покупців.
5 Заходи щодо підвищення культури та якості торговельного обслуговування населення
Атмосферу магазину створює торговий персонал. Оптимальна чисельність персоналу, раціональна організація праці, високий професіоналізм, ввічливість, охайний вигляд — усе це невід'ємні елементи високоякісного обслуговування покупців.
Від роботи торгового персоналу, організації його праці і в цілому торгово-технологічних процесів залежать затрати часу покупців на пошук товарів у торговому залі, огляд, вибір та розрахунок за них. Для оптимізації затрат часу покупців необхідно періодично проводити хронометражні заміри затрат часу покупців на здійснення купівлі за окремими елементами (на очікування консультації, примірки, розрахунку, одержання товару) і порівнювати їх з оптимальними відповідними показниками.
Торговий персонал повинен дотримуватися моральних зобов'язань поводитися з покупцями відповідно до певних етичних принципів. Для цього суб'єктові господарювання необхідно розробити етичний кодекс і забезпечити його виконання. Прикладом етичної поведінки повинні бути перш за все керівники підприємства. На працівників торгівлі покладається й велика соціальна відповідальність за здійснення своєї діяльності. Продаж фальсифікованих, недоброякісних та небезпечних то варів, що можуть нанести шкоду здоров ю людини та навколишньому середовищу, неприпустимий.
Працівники торгівлі несуть соціальну відповідальність за продаж алкогольних напоїв та тютюнових виробів неповнолітнім покупцям. Вони повинні сприяти формуванню у членів суспільства здорового способу життя, вихованню культури споживання, забезпечувати і захищати перед виробниками й іншими постачальниками товарів інтереси та права споживачів.
Високоякісне обслуговування покупців неможливе без ефективної реклами, достовірної та повної інформації для покупців щодо правил торговельного обслуговування, правил продажу товарів, їх обміну, розміщення відділів, товарів тощо. Формуванню іміджу торгового об'єкта сприяють різні рекламні акції, спрямовані на ознайомлення покупців з новими товарами, які стимулюють їх продаж.
Для стимулювання продажу товарів і підвищення результативності роботи торгового об'єкта необхідно використовувати різні заходи: виставки товарів, конкурси, лотереї, купони, програми для постійних покупців (продаж товарів за дисконтними картками, надання різних видів знижок тощо), призи, безплатні зразки, демонстрації товарів у дії, подарунки та інші. Важливою складовою високоякісного обслуговування покупців є оптимальний режим роботи торгового об'єктна, який повинен відповідати його товарній спеціалізації, місцю розміщення, інтенсивності потоків покупців протягом робочого дня та тижня, з урахуванням свят та інших факторів.
Автоматизація торгових об'єктів. Найбільш ефективна робота сучасного магазину можлива лише в умовах автоматизації бізнес-процесів. На рисунку 4представлено програмно-технологічний комплекс автоматизації торгового об'єкта, який базується на сучасних інформаційних технологіях із застосуванням штрихового кодування і засобів автоматизованої обробки інформації про рух товарів.
Використання такого комплексу дає змогу істотно поліпшити якість обслуговування покупців, визначати обсяг і структуру їх платоспроможного попиту, вивчати мотивацію поведінки різних категорій споживачів, визначати затрати їх часу на придбання товарів, управляти товарним асортиментом, оптимізувати товарні запаси й інші витрати, більш ґрунтовно вирішувати різні аналітичні та прогностичні завдання. Це, у свою чергу, створює величезні передумови для прибуткового функціонування торгового об'єкта, а отже й наявності необхідного ресурсного потенціалу для забезпечення високого рівня обслуговування покупців.
Для того щоб правильно оцінити якість обслуговування покупців, суб'єкти господарювання використовують еталонне тестування. Це означає, що суб'єкт господарювання встановлює власні стандарти і оцінює результати своєї роботи,
порівнюючи їх з досягненнями у своєму секторі роздрібної торгівлі, окремих конкурентів, результативних підприємств та/або з власними попередніми показниками роботи.
За результатами порівняльного аналізу визначають індекс задоволеності споживачів
або індекс якості обслуговування,
елементами якого є:
· загальні очікування відносно якості обслуговування;
· очікування відносно індивідуального підходу;
· очікування відносно надійності обслуговування (як часто щось робиться не так);
· загальна оцінка вражень;
· оцінка вражень відносно індивідуального підходу;
· оцінка вражень відносно надійності обслуговування;
· оцінка відповідності якості обслуговування рівневі цін на товари та послуги;
· оцінка відповідності цінового рівня на товари та послуги їх якості;
· загальне задоволення;
· обмануті очікування (рівень обслуговування вищий або нижчий очікуваного);
· рівень обслуговування порівняно з ідеалом з точки зору споживача;
· рівень невдоволення споживача;
· імовірність повторної покупки;
· допустимі зміни (підвищення) ціни при повторній купівлі товару;
· необхідність зміни (зниження) ціни для стимулювання повторної купівлі товару.
Визначення індексу якості обслуговування покупців дає змогу відповісти на два питання: «Збільшується чи зменшується ступінь задоволеності споживачів і оцінка ними якості обслуговування? Як змінюються ці показники для певних секторів економіки, для конкретних галузей і дчя конкретних компаній?» Для визначення індексу відповідності використовується шкала від 0 до 100 балів.
Вивчаючи результати роботи інших, роздрібний торговець оволодіває найкращими методами ведення справ у сфері роздрібної торгівлі, не тільки конкурентів, а й компаній, що належать до інших секторів бізнесу.
У журналі Chain
Store
Age
щорічно публікується список найкращих методів роботи «найрезультативніших роздрібних торговців». Це відкриті акціонерні компанії США, індекс ефективності роздрібної торгівлі
яких значно вищий середнього. Цей індекс визначають на основі тенденцій зростання обсягу продажу товарів і прибутку за 5 років і середнього доходу на активи за 6 років. Причому при визначенні індексу ефективності за показником доходу на активи, через його важливість для відкритих акціонерних компаній, йому присвоюється удвічі більша «вага», ніж показникам зростання обсягу продажу товарів та прибутку. Індекс загальної ефективності, рівний 100%, прийнято за середнє значення. Виділивши найбільш ефективні підприємства, що функціонують у різних категоріях роздрібної торгівлі, майбутня або існуюча компанія може вивчати їх стратегії і спробувати перейняти (або адаптувати) у них найкращі методи роботи.
Після визначення еталонів щодо власного підприємства проводять аналіз розривів (невідповідностей),
на основі якого компанія може порівняти свої теперішні показники з потенційними, а потім визначити ті сфери, в яких необхідно досягти поліпшення. Як показано на рисунку 5, аналіз розривів складається з чотирьох етапів:
встановлення стандартів ефективності; оцінки результатів роботи (як даної компанії, так й інших підприємств); визначення різниці (невідповідності) результатів (функціонує компанія краще, так само або гірше, ніж бажалося б) і коригування стратегії і тактики у разі потреби.
Рис. 5
.
Етапи аналізу розривів (невідповідностей) в обслуговуванні покупців
На задоволеність покупців рівнем обслуговування впливають очікування
(вони залежать від типу торгового об'єкта) і минулий досвід.
Причому оцінка покупцями рівня обслуговування нерідко залежить не стільки від реальності, скільки від сприйняття. Різні люди можуть зовсім по-різному оцінювати один і той же рівень сервісу. Більше того, внаслідок «невідчутності» природи сервісу одна й та ж особа в різні моменти може оцінювати його по-різному.
Для того щоб забезпечити мінімізацію розривів у процесі формування відносин з покупцями, зробити їх довготривалими, роздрібні торговці спираються на таке:
1. Розуміння споживача.
Аналізуються сегменти цільових ринків і відома інформація про споживачів, проводиться їх сегментація залежно від обсягу продажу, витрат і прибутковості.
2. Стислі відомості про споживачів.
Постійно збирається інформація про споживачів. Аналізуються дані про обсяг і структуру продажу товарів та послуг залежно від способу життя споживачів, щоб скласти достатньо повне уявлення про їх склад, мотивацію поведінки.
3. Модель життєвого циклу споживача.
Визначається, як споживачі взаємодіють з роздрібним підприємством на різних етапах свого життя. Демографічні дані використовуються для того, щоб побудувати моделі життєвого циклу для кожного сегмента ринку. Детально вивчається вартість обслуговування кожного життєвого циклу в межах кожного сегмента, на основі чого визначається прибуток чи збиток від обслуговування клієнтів у кожному сегменті. Таким чином розраховується вартість життєвого циклу для кожного сегмента.
4. Розширена модель бізнесу.
Використовуються результати аналізу третього і четвертого етапів, щоб з'ясувати, які клієнти відповідають моделі бізнесу роздрібного торговельного підприємства, які способи є найкращими для взаємодії з ними і який підхід буде оптимальним для побудови тривалих взаємовідносин. Проводиться опитування клієнтів, щоб визначити, який тип індивідуального підходу зможе краще за все задовольнити їхні потреби, який тип взаємодії максимально відповідає їхньому способу життя. Конкретні плани взаємодії будуються на основі об'єктивно визначених пропозицій і тісних взаємовідносин.
5. Планування і розробка програми побудови взаємовідносин.
Визначаються всі електронні та фізичні (магазини та інші торгові об'єкти) канали, які формують зв'язки між роздрібним торговцем і споживачами, а також інформація, яку їм слід передавати одне одному. Для підтримки взаємодії зі споживачами використовують різні способи спілкування з ними (особисті контакти, розсилання рекламно-інформаційних матеріалів через пошту, телефон, факс, кабельне телебачення, персональний комп'ютер, відеокіоск) та розробляють спеціальні комп'ютерні програми. Визначається, як необхідно перебудувати процеси роботи, які потрібні організаційні зміни, та проводиться навчання співробітників. При цьому вибираються способи та процедури, спрямовані на задоволення існуючих і залучення нових клієнтів, підвищення коефіцієнта утримання клієнтів, збільшення розмірів їх купівель при кожному візиті до магазину або акті купівлі-продажу через позамагазинні канали роздрібного продажу товарів, а також зростання прибутковості в розрахунку на одного покупця.
6. Реалізація.
Забезпечується інтеграція маркетингу, обслуговування клієнтів і збуту в єдину систему. Потім тестується базова модель програми встановлення взаємовідносин зі споживачами, яка поступово доповнюється та доводиться до повномасштабної реалізації.
Культура праці робітників торгівлі — обов'язкова частина культури торгівлі. Торговельно-технологічне обладнання магазину, гарне освітлення, відсутність шумів, чисте повітря, нормальна температура, наявність зручних підсобних та побутових приміщень - все це сприяє раціональній організації праці, а, значить, забезпечує можливість для високої працездатності.
З культурою праці безпосередньо пов'язана етична культура тих, хто обслуговує покупців. Вона передбачає ввічливе, уважне відношення робітників магазинів до покупців. Пасивність, черствість, неувага, байдужість - якості, протипоказані робітнику торгівлі.
Отже, найбільш важливими елементами культури торгового обслуговування покупців є:
- наявність широкого асортименту товарів;
- відповідність режиму роботи магазину умовам праці та побуту обслуговуючого населення;
- використання прогресивних методів торгівлі;
- відсутність в магазині черг;
- надання покупцям додаткових послуг;
- належний санітарний стан магазину;
- вміння продавця повно і швидко відповісти на запитання покупців;
- ввічливе, уважне ставлення персоналу магазину до покупців;
- акуратний зовнішній вигляд продавців, наявність спеціального форменого одягу.
Основною умовою високої культури торгівлі є постійна наявність в продажу високоякісних товарів у широкому асортименті. Виконання цієї вимоги потребує вивчення попиту покупців працівниками торгівлі, знання кон'юнктури ринку, постійне спостереження і вивчення ситуації на ринку.
На основі ретельного аналізу стану якості обслуговування покупців, порівняння досягнутих показників зі стандартом обслуговування, які слід розробляти суб'єктам господарювання, необхідно виявити слабкі сторони, недоліки, встановити причини їх виникнення і визначити шляхи удосконалення товаропостачання, підвищення ефективності взаємодії з виробниками та оптовими посередниками, удосконалення організації процесу продажу товарів і обслуговування покупців.
Отже, висока культура торгівлі - це і відповідні попиту якісні товари, і розвинута матеріально-технічна база, і налагоджений механізм комерційних зв'язків торгівлі і виробництва, і висока культура безпосереднього обслуговування покупців у магазині. Далеко не на всі з перелічених факторів можуть вплинути працівники торгівлі. Можна встановити режим роботи магазину, який найбільшою мірою відповідає потребам обслуговуючого населення, можна використати найсучасніше торгове обладнання, можна утримувати всі приміщення в зразковій чистоті, можна оформити магазин відповідно до останніх вимог дизайну, але відсутність в торговому залі товарів, за своєю якістю і асортиментом, що відповідають вимогам покупців, зведе нанівець всі зусилля працівників торгівлі.
1. Аванесов Ю.А. и др. Основы коммерции на рынке товаров и услуг: Учеб. для вузов. / Ю.А Аванесов, А.Н. Клочко, Е.В. Васькин. – М.: Люкс-арт, 1995
2. Апопій В.В., Міщук І.П., Ребицький В.М. та ін. Організація торгівлі: Підручник; 2-ге вид., перероб. та доп. / за редакцією В.В. Апопія. – Київ: Центр навчальної літератури, 2005. – 616 с.
3. Бланк И.А. Торговый менеджмент. – К.: УФИМБ, 1997. – 408 с.
4. Бурмистров В.Г. Организация торговли непродовольственными товарами. – М. Экономика, 1988. – 304 с.
5. Дашков Л.П., Памбухчиянц В.К. Организация, технология и проектирование торговых предприятий: Учебник для студентов высших учебных заведений. – 5-е изд., перераб. и доп. – М.: Издательско-торговая корпорация "Дашков и К°", 2003. – 520 с.
6. Дашков Л.П., Памбухчиянц В.К. Коммерция и технология торговли: Учеб. для вузов. – М.: Информ.- внедр. центр "Маркетинг", 1999
7. Інфраструктура товарного ринку. – К., 2002. – 588 с.
8. Комерційна діяльність на ринку товарів та послуг (за ред. проф. Апопія В.В., проф.. Гончарука Я. А.). – Львів, Видавництво ЛКА, 2001. – 450 с.
9. Левенко В.Л., Костюк Н. Т. Формирование ассортимента технически сложных товаров.– К. : Техніка, 1987. – 205 с.
10. Леви М., Вейтц Б.А. Основы розничной торговли: Пер. с англ. – СПб: изд-во "Питер", 1999.-448с.
11. Мазаракі А.А., Лігоненко Л.О., Ушакова Н.М. Економіка торговельного підприємства: Підручник (Під ред. Н.М. Ушакової). – К.: Хрещатик, 1999. – 800 с.
12. Новиков М.Л. Организация торговли непродовольственными товарами. – М. Экономика, 1989. – 239 с.
13. Организация и технология торговых процессов: Учебник / Ф.Г. Панкратов, Э.А. Арустамов, П.Ю. Балабан и др.; Рук. авт. колл. Ф.Г. Панкратов. – М.: Экономика, 1990. – 304с.
14. Осипова Л.В., Синеева И.М. Основы коммерческой деятельности: Учеб. для вузов. – М.: ЮНИТИ, 2000.
15. Панкратов Ф.Г. Серегина Т.К. Коммерческая деятельность: Учеб. для вузов. – М.: Информ.-внедр. центр "Маркетинг", 2000
16. Панкратов Ф.Г., Серьогіна Т.К. Комерційна справа: Навчальний посібник для вузів. Інформаційно-видавнича агенція "Вертекс", 2001 – 352 с.
17. Товароведение непродовольственных товаров: Учеб. пособ. / В.А. Агбаш и др. – М.: Экономика, 1989.
18. Товароведение непродовольственных товаров: Учеб. пособ. В 4-х т. – М.: Экономика, 1972.
19. Товароведение промышленных товаров: Учеб. пособ. Т.2. – М.: Экономика, 1969.
20. Экономика и организация деятельности торгового предприятия: Учебник / Под общ. ред. А.Н. Соломатина. – 2-е изд., перераб.и доп. – М.: ИНФРА-М, 2002. – 292 с.
|