Министерство образования и науки Украины
Кафедра ММК и ПМ
Реферат
На тему "Фрикционные остановы"
Выполнил: ст. гр. ММК – 08 – 1
Плетнёв М. И.
Проверил: Ульяницкий В. Н.
Алчевск 2010
Фрикционные остановы
а) Кулачкового типа.

Применяются редко, так как имеют существенные недостатки:
- изгибают вал;
- не защищены от попадания грязи и масла;
- большой износ поверхностей из-за постоянного трения.
б) Роликовые остановы (муфты свободного хода).

1 - муфта свободного хода, 2 - вал, 3 - ролик, 4 - неподвижный тормозной барабан.
При вращении муфты против часовой стрелки ролики не препятствуют движению. При смене направления вращения муфты ролики попадают в узкую часть выемки, где и заклиниваются.Обеспечивается большая плавность срабатывания, безударное приложение нагрузок и высокая надежность (система закрытая). Все ролики подпружинены для обеспечения постоянной готовности к заклиниванию.Наибольший крутящий момент при заклинивании роликов с учётом динамических нагрузок

где M - номинальный крутящий момент от груза на валу останова, kg = kgв + kм - коэффициент динамичности, причем kgв - коэффициент, учитывающий вид применяемого двигателя, а kм - коэффициент, учитывающий вид ГПМ (для кранов kм = 2).

Расчетный крутящий момент роликового останова

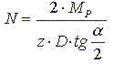
где kT = 0,6...0,9 - коэффициент, характеризующий точность изготовления и монтажа останова.Нормальное давление на ролик:

где z - число роликов, D - внутренний диаметр корпуса, a - угол заклинивания. При этом угол заклинивания выбирается из условия

где ρ и f - соответственно угол и коэффициент трения.Для обеспечения саморасклинивания роликового останова принимают a = 6...8 град. Обычно назначают z= 3...5. Причем длину ролика выбирают из соотношения l= (1,25...1,5) d , а внутренний диаметр корпуса останова D= 8 d, где d - диаметр ролика.Расчет останова ведут на смятие

где E - приведенный модуль упругости контактирующих деталей останова.
Список литературы
1. Курсовое проектирование грузоподъёмных машин . Ред . Козак С.А.
-М:Высш. шк., 1989.-319 с.
2. Справочник по кранам . Александров М.П.,Гохберг М.М., том 1,2.
-Л:Машиностроение ,1988.
3. Подъёмно-транспортные машины . Атлас конструкций .,под ред. Александрова М.П. и Решетникова Д.Н.-М.:1987.
|