| Виробнича система
характеризується інтенсивністю процесів, зумовлених входом до системи затрат ресурсів і виходом результатів виробництва. Вхідна частина ресурсів характеризується низкою факторів X
= (х1,
х2
,.
.., хт
)
(рис. 5.1), які впливають на виробничий процес. Тоді інформація Q на виході системи характеризує її стан, причому значення Q залежить від стану всіх входів, тобто
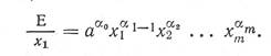
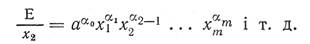
Q
=f (х)
Ця функція визначає показник якості виробничого об'єкта і його працездатність.
Якщо розглядати Q
=f (х)
для кожного аргументу, то можна обчислити ефективність кожного ресурсу у випуску продукції і всього виробництва в цілому. Припустимо, що х1
— трудові ресурси, х2
— матеріальні і х3
— сировинні.
Ефективність системи можна виміряти і за відношенням результату до затрат усіх ресурсів. Наприклад, треба визначити показник продуктивності праці, який становитиме

Аналогічно показник фондовіддачі

Для оцінки критеріїв розвитку виробничо-технічної бази беруть такі показники, які характеризують основну діяльність - технічної служби автотранспортних і автообслуговуючих підприємств: програма технічного обслуговування і ремонту; фонд заробітної плати ремонтно-обслуговуючого персоналу; виробничі фонди (устаткування, конвеєрні лінії, підйомно-транспортні засоби, оснастка, верстати, та ін.);
обсяг кооперованих поставок; трудові і матеріальні затрати; якість технічного обслуговування і ремонту автомобілів; продуктивність праці ремонтно-обслуговуючого персоналу; рівень оснащеності праці ремонтних робітників.

Прийняття рішення про той чи інший напрям виробничо-господарської діяльності підприємств охоплює низку етапів, починаючи з підготовки вихідної інформації і закінчуючи техніко-економічною інтерпретацією досягнутих результатів. Діяльність виробничо-технічної бази аналізують за такою схемою: характер зміни показників затрат; зміна показників, що характеризують результати виробництва; зміна показників, які визначають ефективність роботи технічної служби.
Залежно од відносного значення того чи іншого показника у фіксованій діяльності виробництва визначають незалежні напрями розвитку виробничо-технічної бази.
Для першого напряму розвитку виробництва
характерні такі співвідношення у схемі: «затрати — результати— ефективність». Значення показників ефективності нижчі від показників затрат і результатів. Це свідчить про те, що розвиток виробничо-технічної бази пов'язаний із збільшенням програми технічного обслуговування і ремонту, зростанням виробничих фондів підприємства і матеріальних затрат. При цьому трохи збільшується продуктивність праці ремонтно-обслуговуючого персоналу, що можливе при випереджаючому зростанні обсягу робіт на технічному обслуговуванні і ремонті порівняно із зростанням кількості працюючих, причому збільшення кількості працюючих супроводиться пропорційним зростанням фонду заробітної плати. Проте кінцевий результат за розглядуваний період визначається інтенсивнішим зростанням затрат порівняно із зростанням прибутку. Цей напрям розвитку можна інтерпретувати як тактику, спрямовану на концентрацію виробничо-технічної бази, що спричинена зосередженням рухомого складу у великих автомобільних господарствах.
Забиваем Сайты В ТОП КУВАЛДОЙ - Уникальные возможности от SeoHammer
Каждая ссылка анализируется по трем пакетам оценки: SEO, Трафик и SMM.
SeoHammer делает продвижение сайта прозрачным и простым занятием.
Ссылки, вечные ссылки, статьи, упоминания, пресс-релизы - используйте по максимуму потенциал SeoHammer для продвижения вашего сайта.
Что умеет делать SeoHammer
— Продвижение в один клик, интеллектуальный подбор запросов, покупка самых лучших ссылок с высокой степенью качества у лучших бирж ссылок.
— Регулярная проверка качества ссылок по более чем 100 показателям и ежедневный пересчет показателей качества проекта.
— Все известные форматы ссылок: арендные ссылки, вечные ссылки, публикации (упоминания, мнения, отзывы, статьи, пресс-релизы).
— SeoHammer покажет, где рост или падение, а также запросы, на которые нужно обратить внимание.
SeoHammer еще предоставляет технологию Буст, она ускоряет продвижение в десятки раз,
а первые результаты появляются уже в течение первых 7 дней.
Зарегистрироваться и Начать продвижение
Для другого напряму розвитку виробничо-технічної бази
характер не зростання показників ефективності і відносно стабільний стан показників затрат.
Аналіз усієї сукупності показників свідчить, що зростання продуктивності праці результат.зменшення трудових затрат і відповідного скорочення кількості працюючих. Це підтверджується скороченням фонду заробітної плати робітників.
При такому напрямі розвитку виробництва трохи скорочуються виробничі фонди і збільшується механоозброєність праці. Динаміка зміни показників основної діяльності виробництва в пов'язуванні з його ефективністю дає підстави вважати, що другим напрямом розвитку є поглиблення спеціалізації виробничо-технічної бази за видами обслуговування і ремонту.
Третьому напряму розвитку
властива тенденція збільшення виробітку на одного працюючого, зростання затрат на кооперовані поставки і підвищення ефективності виробничо-технічної бази. При цьому виявляється яскраво виражена тенденція зниження матеріальних затрат. Цього досягають, удосконалюючи технологічні процеси технічного обслуговування і ремонту та підвищуючи рівень механізації виробництва.
Аналіз виробничих процесів на автопідприємствах показав, що цей напрям розвитку пов'язаний із розширенням кооперування виробництва та його структурних підрозділів.
Четвертий напрям розвитку
виробничо-технічної бази пов'язаний із зниженням матеріальних затрат та зміною обсягу трудомісткості технічного обслуговування і ремонту рухомого складу без збільшення основних фондів підприємства. Така ситуація добре узгоджується з висновком про те, що зміна обсягу виробництва є наслідком розглядуваного напряму розвитку та посилення спеціалізації. Скорочення матеріальних затрат у цей період сприяє збільшенню питомої ваги сучасного високопродуктивного технологічного устаткування.
Сервис онлайн-записи на собственном Telegram-боте
Попробуйте сервис онлайн-записи VisitTime на основе вашего собственного Telegram-бота:
— Разгрузит мастера, специалиста или компанию;
— Позволит гибко управлять расписанием и загрузкой;
— Разошлет оповещения о новых услугах или акциях;
— Позволит принять оплату на карту/кошелек/счет;
— Позволит записываться на групповые и персональные посещения;
— Поможет получить от клиента отзывы о визите к вам;
— Включает в себя сервис чаевых.
Для новых пользователей первый месяц бесплатно.
Зарегистрироваться в сервисе
Таким чином, характер зміни локальних показників свідчить про перебудову виробництва, яка супроводиться істотними структурними зрушеннями в технології, організації та економіці підприємства. Це в свою чергу свідчить про створення великих централізованих виробництв технічного обслуговування і ремонту автотранспортних засобів.
Техніко-економічний аналіз показників діяльності підприємств дає змогу виявити головні напрями розвитку виробничо-технічної бази.
До напрямів, які визначають форми організації виробничої бази, належать: концентрація виробництва; спеціалізація його за видами технічного обслуговування і ремонту; кооперація виробничих підрозділів підприємств автомобільного транспорту; створення централізованої служби технічного обслуговування і ремонту рухомого складу.
До напрямів, які визначають форми ефективного оновлення виробничо-технічної бази, належать реконструкція і технічне переоснащення.
Форми розвитку виробничих систем.
Відповідно до діючої класифікації відтворення основних фондів ї напрямів капітальних вкладень розрізняють такі процеси: нове будівництво, розширення, реконструкцію і технічне переоснащення.
Нове будівництво
- це спорудження підприємств автомобільного транспорту (будівлі, споруди, технологічна оснастка, стоянки автомобілів, автозаправні станції, комунікації та ін.) на нових: майданчиках за затвердженим у визначеному порядку проектом до повного завершення будівництва і введення в дію на повну проектну потужність.
Розширення
— будівництво окремих цехів, приміщень виробничих підрозділів, комунікацій та інших об'єктів на території діючого підприємства або його філіалів.
Реконструкція
— оновлення і якісне вдосконалення діючих виробничих фондів за розробленим проектом з допомогою: ліквідації застарілих будівель; заміни морально застарілого і фізично спрацьованого устаткування, його модифікації; докорінної перебудови окремих зон або допоміжних дільниць виробничо-технічної бази з поліпшенням їхньої структури та ефективності використання; механізації та автоматизації процесів технічного обслуговування і ремонту автотранспортних засобів; впровадження прогресивної технології; перепланування і перебудови будівель і споруд у зв'язку з моральним спрацюванням їх або зміною функціональної схеми виробництва; обмеження викидів-у навколишнє середовище та їхнє знешкодження.
Технічне переоснащення
— це оновлення активної частини виробничих фондів за розробленим проектом на підставі:
впровадження нової техніки (технологічного устаткування, пристроїв, оснастки для технічного обслуговування і ремонту автомобілів) і технології; підвищення рівня механізації та автоматизації процесів технічного обслуговування і ремонту автотранспортних засобів; модернізації діючого устаткування; удосконалення форм організації виробництва і праці.
Нове будівництво передбачає єдність процесів створення активної і пасивної частин основних фондів підприємств автомобільного транспорту відповідно до проекту, в якому збалансовані обсяг робіт на технічному обслуговуванні та ремонті і технічний рівень виробничо-технічної бази.
Реконструкція грунтується на оновленні пасивної частини і підвищенні технічного рівня активної частини основних виробничих фондів. При реконструкції обсяг будівельно-монтажних робіт більший, ніж при технічному переоснащенні, оскільки поряд із демонтажем і монтажем технологічного устаткування розв'язують питання зміни об'ємно-планувальних вирішень виробничих приміщень.
Реконструкція і технічне переоснащення спрямовані на приріст виробничих потужностей, підвищення продуктивності праці ремонтних робітників, а також поліпшення інших техніко-економічних показників. Тому з поняттям «реконструкція» нерозривно пов'язане поняття «технічне переоснащення» діючих підприємств автомобільного транспорту.
У практиці розвитку діючих підприємств автомобільного транспорту технічне переоснащення як спосіб впровадження нової техніки, технології, прогресивних форм організації технічного обслуговування і ремонту автомобілів не набуло комплексного застосування з ряду причин.
По-перше, через обмеженість або відсутність принципово нової техніки для заміни на всіх технологічних процесах технічного обслуговування і ремонту автомобілів. На діючих підприємствах автомобільного транспорту здійснюється заміна фізично спрацьованого устаткування аналогічним новим і не по всіх технологічних процесах, а лише на окремих виробничих дільницях. Таке оновлення не вносить якісної зміни у виробничо-технічну базу та її технічний рівень і є екстенсивною формою розвитку.
По-друге, не розроблено організаційних заходів щодо створення умов технічного переоснащення на конкретному підприємстві. До таких заходів слід віднести передусім проект технічного переоснащення, в якому мають бути визначені мета і завдання переоснащення, технічний рівень виробництва, перелік технологічного устаткування для комплексного переоснащення, а також оцінка ефективності здійснюваних заходів.
По-третє, оновлення активної частини фондів поліпшує виробничі ї соціальні умови праці робітників, забезпечує раціональне розміщення нового устаткування в старих (діючих) виробничих приміщеннях. Отже, оновлення технологічного устаткування спричинює перебудову і перепланування будівель і споруд, тобто пасивних фондів.
Таким чином, реконструкція підприємств поєднується із технічним переоснащенням і охоплює (включає) його.
Реальна ситуація, що складається в розвитку виробничо-технічної бази, дає змогу вважати, що реконструкція є найбільш поширеною й узагальненою формою реалізації науково-технічного прогресу на автомобільному транспорті, вона охоплює процес розширення і технічного переоснащення діючих підприємств.
Орієнтація на реконструкцію діючих підприємств свідчить про те, що ця форма оновлення знаменує собою поворот у технічній політиці галузі. Реконструкція забезпечує перехід від індивідуального технічного обслуговування і ремонту в рамках замкнутого технологічного циклу окремого підприємства до розвитку спеціалізованого виробництва і кооперованих форм зв'язків між виробничими підрозділами та створення індустріальної технології технічного обслуговування і ремонту рухомого складу.
При технічному переоснащенні устаткування оновлюється за рахунок принципово нових зразків, які істотно підвищують продуктивність праці ремонтних робітників, знижують питомі поточні затрати на технічне обслуговування і ремонт автотранспортних засобів і поліпшують інші техніко-економічні показники роботи технічної служби підприємств автомобільного транспорту.
Головну роль у процесі оновлення виробничо-технічної бази авто--мобільного транспорту тривалий час відігравало нове будівництво.
Це пояснюється низкою причин: вирішальною роллю нового будівництва у збільшенні обсягу перевезень і створенні умов для полегшення працездатності автомобілів; можливістю залучення до транспортного процесу додаткових трудових, сировинних, енергетичних і матеріальних ресурсів; кращими умовами для розв'язання проблем, пов'язаних із охороною навколишнього середовища; введенням нових виробничих потужностей або створенням нових робочих місць.
Поряд із новим будівництвом неабияку роль у розвитку виробничих фондів відігравало розширення їх. Внаслідок цього вводились нові виробничі фонди, збільшувались загальна виробнича потужність і площі діючих цехів основного та допоміжного виробництв на території діючого підприємства або на додаткових площах. Процес розширення також пов'язаний із залученням додаткових ресурсів.
Тепер реконструкція і технічне переоснащення стають головною формою оновлення виробничо-технічної бази, важливою умовою інтенсифікації транспортного процесу. Пріоритет реконструкції і технічного переоснащення перед новим будівництвом і його розширенням полягає у можливості забезпечення потрібного співвідношення між зростанням продуктивності праці і затратами на неї.
Література
1. Канарчук В.Є., Курінков І.П. Виробничі системи на транспорті: Підручник. – К.: Вища шк., 1997.
|