Содержание
1.Анализ эффективности капитальных и финансовых вложений (инвестиционный анализ)
2.Анализ затрат на оплату труда
Практическая часть
Список использованных источников
1
Анализ эффективности капитальных и финансовых вложений (инвестиционный анализ)
инвестиционный анализ финансовый капитальный
По мнению А.В. Шеремета, инвестиции представляют собой денежные средства, целевые банковские вклады, паи, акции и другие ценные бумаги, лицензии, кредиты, любое имущество, имущественные права или интеллектуальные ценности, вкладываемые в объекты предпринимательской и другой деятельности с целью получения прибыли (дохода).
Чтобы вложить средства в инвестиции, необходимо соблюдать основные принципы инвестиционной политики с учетом соотношения временных показателей, использованных в расчете лучшего варианта. Таким образом, стратегия долгосрочного инвестирования предусматривает определение направлений инвестиционного развития предприятия, обеспечивающее положительную текущую стоимость денежных потоков.
В процессе долгосрочного планирования и разработки стратегии инвестиционного развития предприятия большое значение имеет анализ структуры капитальных вложений и источников их финансирования. На этом этапе определяется потенциальная возможность долгосрочного инвестирования с учетом соответствующих средств финансирования. Оптимальная структура источников финансирования капитальных вложений будет зависеть от экономического положения и стратегических приоритетов предприятия. Значительное место занимает обобщающий анализ инвестиционного развития предприятия, на основании которого можно оценить объем и структуру инвестиций, а также капитальные вложения по видам воспроизводства основных фондов. Анализ начинают с оценки динамики объема и структуры капитальных вложений в сметных ценах по основным направлениям воспроизводства основных фондов. Дальнейший анализ динамики объема и структуры инвестиций ведется по конкретным группам и видам основных фондов: изучаются темпы роста незавершенных инвестиций, выясняются причины их увеличения, оценивается изменение удельного веса долгосрочных инвестиций в основные фонды в отчетном периоде по сравнению с предыдущим. Важным моментом инвестиционного анализа является оценкадинамики средств по составу и структуре капитальных вложений. В качестве основных источников финансирования используются собственные (амортизация нематериальных активов и основных средств, чистая прибыль) и привлеченные (кредиты банков, целевое финансирование из бюджета, заемные средства других предприятий) средства.
Забиваем Сайты В ТОП КУВАЛДОЙ - Уникальные возможности от SeoHammer
Каждая ссылка анализируется по трем пакетам оценки: SEO, Трафик и SMM.
SeoHammer делает продвижение сайта прозрачным и простым занятием.
Ссылки, вечные ссылки, статьи, упоминания, пресс-релизы - используйте по максимуму потенциал SeoHammer для продвижения вашего сайта.
Что умеет делать SeoHammer
— Продвижение в один клик, интеллектуальный подбор запросов, покупка самых лучших ссылок с высокой степенью качества у лучших бирж ссылок.
— Регулярная проверка качества ссылок по более чем 100 показателям и ежедневный пересчет показателей качества проекта.
— Все известные форматы ссылок: арендные ссылки, вечные ссылки, публикации (упоминания, мнения, отзывы, статьи, пресс-релизы).
— SeoHammer покажет, где рост или падение, а также запросы, на которые нужно обратить внимание.
SeoHammer еще предоставляет технологию Буст, она ускоряет продвижение в десятки раз,
а первые результаты появляются уже в течение первых 7 дней.
Зарегистрироваться и Начать продвижение
Далее предстоит определить влияние следующих факторов на величину инвестиций:
- объема продукции, работ, услуг;
- уровня налоговых платежей в бюджет;
- доли прибыли, направляемой на финансирование долгосрочных инвестиций;
- структуры источников собственных средств финансирования;
- объема привлеченных средств.
Положительное влияние на величину финансирования долгосрочных инвестиций оказывает повышение рентабельности продукции, работ, услуг и изменение структуры источников собственных средств, способствовавшее увеличению доли амортизации основных фондов. Приобретение ценных бумаг, долевое участие в деятельности другого предприятия, займы под векселя или иные долговые обязательства представляют собой финансовые инвестиции.
Цель финансовых инвестиций - получение дохода и сохранение капитала от обесценивания.
2
Анализ затрат на оплату труда
Для управления себестоимостью расходы на оплату труда анализируются по двум направлениям:
- как элемент затрат на производство;
- статья калькуляции себестоимости продукции.
Рассмотрим порядок анализа заработной платы как статьи калькуляции. В статье «Затраты на оплату труда» отражаются оплата труда работников организации, деятельность которых связана с участием непосредственно (в той или иной степени) в производстве продукции, за фактически выполненную работу, а также другие выплаты, предусмотренные действующим трудовым законодательством, коллективными договорами, локальными нормативными актами организации.
От выполнения плана производства зависит (прямо или косвенно) оплата труда рабочих-сдельщиков и премии, выплачиваемые за производственные результаты. Анализ оплаты труда рабочих-сдельщиков осуществляется по калькуляциям себестоимости отдельных изделий (работ, услуг). В отраслях промышленности, где этот показатель занимает значительный удельный вес в себестоимости продукции, в специальном разделе калькуляции предусматривается его расшифровка. По отдельным операциям приводятся плановые и фактические данные о трудоемкости выполняемых работ и расценках.
Сервис онлайн-записи на собственном Telegram-боте
Попробуйте сервис онлайн-записи VisitTime на основе вашего собственного Telegram-бота:
— Разгрузит мастера, специалиста или компанию;
— Позволит гибко управлять расписанием и загрузкой;
— Разошлет оповещения о новых услугах или акциях;
— Позволит принять оплату на карту/кошелек/счет;
— Позволит записываться на групповые и персональные посещения;
— Поможет получить от клиента отзывы о визите к вам;
— Включает в себя сервис чаевых.
Для новых пользователей первый месяц бесплатно.
Зарегистрироваться в сервисе
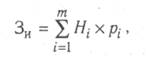
Сумма заработной платы на изделие (Зи) рассматривается в зависимости от этих двух факторов

где Нi - трудоемкость i-й операции при изготовлении данного изделия, нормо-час;
рi - расценка за один нормо-час, руб. (коп.);
m - количество операций при изготовлении изделия;
i= 1, …, m.
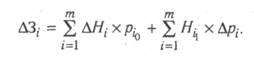
Влияние указанных факторов на изменение сдельной заработной платы по изделию определяют с помощью способа абсолютных отклонений:

Далее выясняют причины отклонений. Так, изменение трудоемкости операции может зависеть от степени выполнения норм выработки и их изменения. Изменение норм определяется уровнем внедрения в производство оргтехмероприятий по совершенствованию техники, технологии и организации производства, соблюдением трудовой дисциплины, рациональностью организации рабочих мест и некоторыми другими факторами. Расценки в свою очередь зависят от принятой системы оплаты труда, квалификации рабочих, выполнения норм выработки и других факторов.
Чтобы определить, насколько изменится себестоимость всей продукции за счет изменения норм трудоемкости и расценок по изделию, следует полученные отклонения умножить на фактический выпуск данных изделий в натуральном выражении в отчетном периоде.
В ходе анализа проверяется также обоснованность норм времени и расценок. Если нормы времени занижены, то они легко перевыполняются. Отсюда возникает переплата заработной платы.
При анализе заработной платы рабочих-повременщиков следует учитывать, что неправильно исчисленная трудоемкость выполняемых ими работ ведет к завышению численности, а следовательно - к перерасходу заработной платы.
Заработная плата всего персонала организации отражается в затратах на производство как элемент «затраты на оплату труда». В этом случае анализ данного показателя может быть осуществлен по следующим направлениям:
- общая оценка использования затрат на оплату труда;
- анализ состава и структуры затрат на оплату труда по категориям персонала;
- изучение изменения заработной платы по факторам.
Цель проведения анализа заключается в изыскании неиспользованных резервов возможной экономии расходов на оплату труда.
Источниками информации для проведения анализа являются показатели плана и отчета по труду, калькуляции себестоимости отдельных изделий, расшифровка затрат на оплату труда (ЗОТ) в регистрах бухгалтерского учета к бухгалтерскому счету 70 «Расчеты с персоналом по оплате труда».
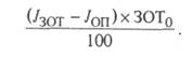
Общая оценка затрат на оплату труда (ЗОТ) заключается в определении абсолютного и относительного отклонения по показателю.

Расчет производится по персоналу в целом и по каждой категории в отдельности. Однако превышение относительно базовой (плановой) суммы оплаты труда может быть вызвано увеличением объема производства продукции, что вполне оправдано. В связи с этим фактические затраты следует сравнивать с базовыми, пересчитанными на темпы роста объема продукции (JОП
):
ΔЗОТОТН
= ЗОТ1
– ЗОТ0
х JОП
.
Расчет относительного отклонения производится по персоналу в
целом и в том числе по категории рабочих. Пересчет базовой суммы заработной платы возможен с учетом поправочного коэффициента, отражающего степень зависимости зарплаты от объема продукции.
Наличие относительной экономии свидетельствует об опережающем росте производительности труда по сравнению с ростом средней заработной платы, что приводит к снижению оплаты труда, приходящейся на рубль объема продукции, и экономии по себестоимости.
Влияние соотношения темпов роста производительности труда и средней заработной платы на себестоимость продукции может быть определено по формуле:

В ходе дальнейшего анализа необходимо установить причины, повлиявшие на изменение заработной платы каждой категории персонала (рисунок 1.1).

Рисунок 1.1 - Схема факторного разложения затрат на оплату труда /11/
В рассматриваемой схеме затраты на оплату труда (ЗОТ) каждой категории персонала представлены в виде следующей трехфакторной мультипликативной модели:
ЗОТ = Т * ч * Зчас = Т * (R/Т) * (ЗОТ/R),
где Т - среднесписочная численность работников;
ч - среднее число часов, отработанных за период одним работником;
R- общее число отработанных работниками человеко-часов;
Зчас
- среднечасовая заработная плата одного работника.
Резервы экономии затрат на оплату труда заключаются прежде всего в ликвидации выплат непроизводительного характера: доплат сдельщикам в связи с изменением условий работы, за работу в сверхурочное время, оплаты вынужденных простоев, брака не по вине рабочих и т.п.
Практическая часть
7.
По данным баланса (см. раздел 5) определите, как изменится коэффициент автономии, если его собственные средства в следующем году возрастут по сравнению с отчётным годом на 70 тыс. руб., а общая величина активов увеличится на 110 тыс. руб. Если организация получит кредит на сумму 5 000 тыс. руб. сроком на 3 года, то как изменится коэффициент финансовой устойчивости.
Решение
Коэффициент автономии
Ка = Собственный капитал / Валюта баланса
Ка отч.пер. = 16992/57380 = 0,296
Ка(прогноз) = (16992+70)/(57380+110) = 17062 / 57490 = 0,297
ΔКа = Ка прог. – Ка отч.пер. = 0,001
ΔКа(%) = Ка прог. / Ка отч.пер. *100 = 0,297/0,296*100 = 100,34
Коэффициент автономии увеличится на 0,001 пункт, или на 0,34%.
Кф.у. = (Собственный капитал + Долгосрочные обязательства) / Валюта баланса
Кф.у. отч.пер. =(16992 + 5255)/57380 = 0,388
Кф.у. (прогно) = (16992+5255+5000)/ 57380 = 0,475
ΔКф.у. = Кф.у. отч.пер. – Кф.у. (прог) = 0,475-0,388 = 0,087
ΔКф.у.(%)= Кф.у. отч.пер. / Кф.у. (прог) *100 = 0,475/0,388 *100 = 122,42%
Коэффициент финансовой устойчивости увеличится на 0,087 пункта или на 22,42%.
33. Банк предлагает 17% годовых за размещение денежных средств. Используя формулу дисконтирования, рассчитать размер первоначального вклада чтобы через 4 года иметь на счёте 180 тыс.руб
Решение
Р = S / (1+r)n
180 * 1 / 1,174
= 96,06 тыс.руб.
Следовательно, для того чтобы на счете через 4 года иметь 180 тыс.руб., необходимо внести первоначальный вклад в размере 96 тыс.руб.
37. На основе данных формы №2 определите общие абсолютные показатели финансового результата организации за прошлый и отчётный год и рассчитайте влияние факторов. Сделайте выводы, дайте оценку и разработайте мероприятия по росту прибыли до налогообложения. Расчёты представьте в таблице
Решение
Факторная модель:
Поб = ВР – Zпол + Доп – Роп + Двн – Рвн
Связь в этой формуле аддитивная.
Следовательно, на прибыль до налогообложения влияют следующие факторы:
1) Прп – прибыль от продаж;
1.1. ВР – выручка от продаж;
1.2. Zпол – полная себестоимость проданных товаров, продукции, работ, услуг;
2) Доп – операционные доходы;
3) Роп – операционные расходы;
4) Двн – внереализационные доходы;
5) Рвн – внереализационные расходы.
Чтобы определить абсолютное влияние каждого фактора, необходимо произвести ряд дополнительных расчетов.
Таблица 2 - Анализ прибыли до налогообложения
| Фактор-показатель |
Базисный период |
Отчетный период |
Изменение |
| абсолют-ное |
доли |
| тыс.руб. |
% к ВР |
тыс.руб. |
% к ВР |
| 1. Выручка от продажи |
19905 |
100 |
15844 |
100 |
-4061 |
0 |
| 2. Себестоимость |
39264 |
197,26 |
28988 |
182,96 |
-10276 |
-14,30 |
| 3. Прибыль от продаж |
-19359 |
-97,26 |
-13144 |
-82,96 |
6215 |
14,30 |
| 4. Операционные доходы |
35692 |
179,31 |
45827 |
289,24 |
10135 |
109,93 |
| 5. Расходы операционные |
33299 |
167,29 |
47161 |
297,66 |
13862 |
130,37 |
| 6. Внереализационные доходы |
18566 |
93,27 |
15836 |
99,95 |
-2730 |
6,68 |
| 7. Внереализационные расходы |
1137 |
5,71 |
1656 |
10,45 |
519 |
4,74 |
| 8. Прибыль до налогообложения |
463 |
2,33 |
-271 |
-1,71 |
-734 |
-4,04 |
Определим абсолютное влияние каждого фактора на изменение чистой прибыли:
1) ΔПоб вр
= (ΔВР * d ) / 100% = (-4028 * 97,26) / 100 =
= -3918тыс.руб.
2) ΔПоб Z
пол
= (ВР1
* d ) / 100% = (15844 * (-14,3))/100 =
= -2297тыс.руб.
Проверка:
ΔПоб Прп
= ΔПобвр
+ ΔПоб Z
пол
= -3918-2297 = -6215 тыс.руб.
3) ΔПобДоп
= Доп1
– Доп0
= 45827-35692 = 10135 тыс.руб.
4) ΔПобРоп
= Роп0
– Роп1
= 32299-47161 = -14862 тыс.руб.
5) ΔПобДвн
= Двн1
– Двн0
= 15836-18566 = -2730 тыс.руб.
6) ΔПобРвн
= Рвн1
– Рвн0
= 1137-1656 = -519 тыс.руб.
Проверка: ΔПоб = ΔПобПрп
+ ΔПобДоп
+ΔПобРоп
+ΔПобДвн
+ΔПобРвн
=
=
6215+10135-14862-2730-519 = -734 тыс.руб.
Проверка показала, что расчеты проведены верно.
Итак, как показывает проведение выше перечисленных расчетов большинство результатов отрицательно повлияли на прибыль до налогообложения.
Отрицательное влияние на изменение прибыли до налогообложения оказало снижение выручки от продаж, увеличение уровня себестоимости, увеличение операционных и внереализационных расходов, снижение внереализационных доходов.
Положительное влияние оказало увеличение операционных доходов, которое привело к увеличению прибыли на 10135 тыс.руб. Несмотря на это положительное влияние данных факторов на результативный показатель оказалось не таким значительным.
Следовательно, мероприятия по росту прибыли до налогообложения могут быть следующими:
- увеличение объемов продаж, для этого необходимо провести маркетинговую работу, т.е. изучить рынок сбыта, выявить продукцию наиболее пользующуюся спросом, увеличить качество выпускаемой продукции, разместить рекламу для привлечение покупателей и заказчиков;
- увеличение поступлений, связанных с предоставлением за плату во временное пользование (временное владение и пользование) активов организации;
- увеличение поступлений, связанных с предоставлением за плату прав, возникающих из патентов на изобретения, промышленные образцы и других видов интеллектуальной собственности;
- увеличение отступлений, связанных с участием в уставных капиталах других организаций (включая проценты и иные доходы по ценным бумагам);
- увеличение прибыли, полученной организацией в результате совместной деятельности (по договору простого товарищества);
- увеличение поступлений от продажи основных средств и иных активов, отличных от денежных средств (кроме иностранной валюты), продукции, товаров;
- увеличение процентов, полученных за предоставление в пользование денежных средств организации, а также проценты за использование банком денежных средств, находящихся на счете организации в этом банке.
41. Прибыль предприятия в предыдущем году равнялась 2 300 тыс. руб. В отчетном году объем продаж возрос на 15% при эффекте операционного рычага 12%. Какова будет прибыль предприятия в отчетном году? Сформулируйте выводы и рекомендации
Решение
Эффект операционного рычага (ЭОР), представляет собой отношение относительного изменения прибыли от продаж (П ) к относительному изменению объема продаж (К).
ЭОР = (Потч /Ппред)/ (Vотч /Vпред)
Потч = (12*15*2300)/100 = 4140 тыс.руб.
Следовательно, прибыль предприятия в отчетном году при росте объемов продаж на 15%, и эффекте операционного рычага на 12% составит в отчетном периоде 4140 тыс.руб.
46. Используя двухфакторную модель прогнозирования банкротства, дайте общую оценку финансового состояния предприятия
Z = -0,3877 - 1,0736 * х, + 0,0579 * х2
,
где х 1
–коэффициент текущей ликвидности;
х 2 –
коэффициент концентрации заёмного капитала.
Решение
Если Z < 0, то вероятность банкротства невелика (если Z > 0, то вероятность банкротства высокая).
х1 = оборотные средства/ краткосрочные обязательства
х1(н.г.) = 28599/27961 = 1,023
х1 (к.г.) = 32272/35133 = 0,919
х2 = заемный капитал / активы
х2 (н.г.) = 37403/54311 = 0,689
х2 (к.г.) = 40388/57380 = 0,704
Z (н.г.) = -0,3877 - 1,0736 * 1,023 + 0,0579 * 0,919 = -1,43
Z (к.г.) = -0,3877 - 1,0736 * 0,919 + 0,0579 * 0,704 = -1,33
Рассчитанный коэффициент вероятности банкротства по данной модели свидетельствует о том, что на предприятии в ближайшее время угроза банкротства невелика (Z<0), однако предприятию необходимо провести ряд мер для повышения эффективности работы и укрепления финансовой устойчивости.
Список использованных источников
1 Анализ бухгалтерской (финансовой) отчетности: учебно-методический комплекс / Под ред. проф. Л.М. Полковского. – М.: Финансы и статистика, 2008. – 384с.
2 Васильева Л.С. Финансовый анализ: учебник / Л.С. Васильева, М.В. Петровская. – М.: КНОРУС, 2006. – 544с.
3 Завьялова З.М. Теория экономического анализа. Курс лекций. – М.: Финансы и статистика, 2006. – 192с.
4 Когденко В.Г. Экономический анализ: Учеб.пособие для студентов вузов. – М.: ЮНИТИ-ДАНА, 2009. – 390с.
5 Комплексный экономический анализ хозяйственной деятельности: учеб. / Л.Т. Гиляровская (и др). – М.: ТК Велби, Изд-во Проспект, 2006. – 360с.
6 Любушин Н.П. Анализ финансового состояния организации: Учебное пособие / Н.П. Любушин. – М.: Эксмо, 2009. – 256с.
7 Мельник М.В., Бердников В.В. Финансовый анализ: система показателей и методика проведения: учеб.пособие / Под ред. М.В. Мельник. – М.: Экономистъ, 2008. – 159с.
8 Радченко Ю.В. Анализ финансовой отчетности: учебное пособие для вузов / Ю.В. Радченко. – Изд. 3-е, доп. и перераб. – Ростов н/Д: Феникс, 2008. – 218с.
9 Савицкая Г.В. Методика комплексного анализа хозяйственной деятельности: Краткий курс. – 2-е изд., испр. – М.: ИНФРА-М, 2003. – 303с.
10 Чуев И.Н., Чуева Л.Н. Комплексный экономический анализ хозяйственной деятельности: Учебник для вузов. – М.: Издательско-торговая корпорация «Дашков и К», 2009. – 368с.
11. Экономический анализ: Основы теории. Комплексный анализ хозяйственной деятельности организации: учебник / Под ред. проф. Н.В. Войтоловского, проф. А.П. Калининой
|