Министерство образования Российской Федерации
Сибирская Государственная Геодезическая Академия
Реферат
по дисциплине: «Экономика отрасли»
на тему: « Монополистическое конкурентное поведение»
Выполнил: Дианова Е.В.
гр. ЭУСз-65
Проверил: Горошко
г.Новосибирск 2010
1. Монополия и доминирующее поведение
В действующем российском законодательстве отсутствует общееопределение понятия "монополия". Термин "монополия" используется в нормативных актах и юридической литературе для характеристики: доминирующего положения субъекта предпринимательства на рынке, особых полномочий (привилегий, прав) субъектов предпринимательства на осуществление какого-либо вида предпринимательской деятельности на рынке.
Несмотря на подобную неоднозначность характеристик монополии, ее правовая сущность заключается именно в определенном исключительном положении субъекта предпринимательства (или нескольких таковых) на рынке, дающем ему (им) возможность оказывать решающее влияние на общие условия оборота товаров (работ, услуг) на данном рынке (в основном, на их цену).
Монополия (монопольное положение)
- это доминирующее положение одного или нескольких субъектов предпринимательства (группы лиц) на соответствующем рынке.
Следует различать основные типы монополий:
1) создаваемые в результате непосредственного регулирующего воздействия государства;
2) образуемые вследствие самостоятельных действий субъектов предпринимательства без непосредственного регулирующего воздействия государства;
3) возникающие в результате обладания исключительными правами.
Указанные типы монополий можно также классифицировать в зависимости от того, защищены они от конкуренции или нет. Речь идет о том, что некоторые монополии не допускают наличие конкуренции со стороны других субъектов предпринимательства на законных основаниях. В литературе эти монополии получили различные наименования: "закрытые", "легальные", "юридические" монополии. К ним относятся: 1) монополии, непосредственно регулируемые государством, и 2) монополии обладателей исключительных прав.
Остальные монополии не могут быть защищены от конкуренции, а должны подчиняться экономическим законам конкурентного рынка (взаимодействия спроса и предложения), что является основополагающим правилом (принципом) рыночной экономики и предпринимательства.
Забиваем Сайты В ТОП КУВАЛДОЙ - Уникальные возможности от SeoHammer
Каждая ссылка анализируется по трем пакетам оценки: SEO, Трафик и SMM.
SeoHammer делает продвижение сайта прозрачным и простым занятием.
Ссылки, вечные ссылки, статьи, упоминания, пресс-релизы - используйте по максимуму потенциал SeoHammer для продвижения вашего сайта.
Что умеет делать SeoHammer
— Продвижение в один клик, интеллектуальный подбор запросов, покупка самых лучших ссылок с высокой степенью качества у лучших бирж ссылок.
— Регулярная проверка качества ссылок по более чем 100 показателям и ежедневный пересчет показателей качества проекта.
— Все известные форматы ссылок: арендные ссылки, вечные ссылки, публикации (упоминания, мнения, отзывы, статьи, пресс-релизы).
— SeoHammer покажет, где рост или падение, а также запросы, на которые нужно обратить внимание.
SeoHammer еще предоставляет технологию Буст, она ускоряет продвижение в десятки раз,
а первые результаты появляются уже в течение первых 7 дней.
Зарегистрироваться и Начать продвижение
Монополии первого типа (монополии, непосредственно регулируемые государством) создаются по воле государства с целью обеспечения государственных и общественных интересов. Они защищены от конкуренции со стороны хозяйствующих субъектов, не являющихся субъектами данных монополий. Представляется, что эти монополии можно назвать государственными в широком смысле, учитывая их сходную правовую природу.
Существуют следующие разновидности монополий рассматриваемого типа:государственные монополии; естественные монополии.
Под государственной
понимается монополия
, созданная в соответствии с законодательством РФ, определяющим товарные границы монопольного рынка, субъекта монополии (монополиста), формы контроля и регулирования его деятельности, а также компетенцию контролирующего органа (разд.1 Государственной программы демонополизации экономики и развития конкуренции на рынках РФ).
Государственные монополии создаются в целях защиты экономических интересов государства и потребителей, укрепления безопасности, внешнеторговых, военно-политических позиций государства и т.д. Эти монополии устанавливаются в императивном порядке на основании норм законодательства и направлены в основном на обеспечение публично-правовых интересов.
Осуществление государственной монополии регламентируется федеральными нормативными актами (в частности, Федеральными законами "О государственном регулировании внешнеторговой деятельности" (ст.17-18), "О драгоценных металлах и драгоценных камнях" (ст.4), "О военно-техническом сотрудничестве Российской Федерации с иностранными государствами" (п.2 ст.4, п.1 ст.12) и др.).
Осуществляется государственная монополия с помощью различных средств, установленных в нормативных актах. Например, государственная монополия на экспорт или импорт отдельных видов товаров (определяемых федеральным законом) реализуется посредством лицензирования такой деятельности. Лицензии на ее осуществление выдаются исключительно особым хозяйствующим субъектам - государственным унитарным предприятиям, которые в соответствии с законодательством РФ и общепризнанными международно-правовыми нормами обязаны совершать сделки по экспорту (импорту) товаров. Указанные сделки, совершаемые в нарушение государственной монополии, являются ничтожными (ст.17 Закона о регулировании внешнеторговой деятельности).
Сервис онлайн-записи на собственном Telegram-боте
Попробуйте сервис онлайн-записи VisitTime на основе вашего собственного Telegram-бота:
— Разгрузит мастера, специалиста или компанию;
— Позволит гибко управлять расписанием и загрузкой;
— Разошлет оповещения о новых услугах или акциях;
— Позволит принять оплату на карту/кошелек/счет;
— Позволит записываться на групповые и персональные посещения;
— Поможет получить от клиента отзывы о визите к вам;
— Включает в себя сервис чаевых.
Для новых пользователей первый месяц бесплатно.
Зарегистрироваться в сервисе
Естественная монополия
- состояние товарного рынка, при котором удовлетворение спроса на этом рынке эффективнее в отсутствие конкуренции в силу технологических особенностей производства этих товаров (услуг) и иных указанных в законе причин (ст.3 Закона о естественных монополиях).
Закон устанавливает следующие так называемые естественные основания таких монополий:
1) существенное понижение издержек производства определенных товаров (услуг) на единицу товара по мере увеличения объема их производства;
2) товары (услуги), производимые субъектами естественной монополии, не могут быть заменены в потреблении другими товарами;
3) спрос на данном товарном рынке на товары, производимые субъектами естественных монополий, в меньшей степени зависит от изменения цены на этот товар, чем спрос на другие виды товаров.
Существование данного вида монополий объясняется тем, что в определенных сферах предпринимательской деятельности конкуренция по объективным экономическим причинам является неэффективной вследствие того, что один субъект предпринимательства может снабжать весь рынок, имея более низкие издержки на единицу продукции, чем имели бы несколько конкурентов. Однако для того, чтобы какая-либо сфера деятельности приобрела статус естественной монополии, необходимо признание ее в качестве таковой со стороны государства. Поэтому в целях эффективного функционирования субъектов предпринимательства, осуществляющих свою деятельность в данных сферах, получения ими экономически обоснованной прибыли, а также достижения баланса интересов потребителей и предпринимателей, государство объявляет подобные сферы предпринимательской деятельности естественными монополиями.
Существует перечень сфер деятельности, в которых вводится режим естественной монополии:
а) транспортировка нефти и нефтепродуктов по магистральным трубопроводам;
б) транспортировка газа по трубопроводам;
в) услуги по передаче электрической и тепловой энергии;
г) железнодорожные перевозки;
д) услуги транспортных терминалов, портов, аэропортов;
е) услуги общедоступной электрической и почтовой связи (ст.4 Закона о естественных монополиях).
Субъектом естественной монополии признается лишь хозяйствующий субъект, созданный в форме юридического лица, занятый производством (реализацией) товаров в условиях естественной монополии (ч.3 ст.3 Закона о естественных монополиях).
В указанных сферах предпринимательской деятельности государство вводит особый правовой режим регулирования и контроля деятельности субъектов естественных монополий. С этой целью образуются специальные органы регулирования, являющиеся федеральными органами исполнительной власти, которые могут создавать свои территориальные органы. К ним, в частности, относятся: Федеральная энергетическая комиссия РФ (Указ Президента РФ от 29 ноября 1995 г. N 1194 (с изм. от 4 сентября 2001 г. N 1091)*(470), Министерство по антимонопольной политике и поддержке предпринимательства РФ (МАП РФ).
Органами регулирования естественных монополий могут применяться следующие методы регулирования деятельности субъектов естественных монополий:
а) ценовое регулирование, осуществляемое посредством определения (установления) цен (тарифов) или их предельного уровня;
б) определение потребителей, подлежащих обязательному обслуживанию, и (или) установление минимального уровня их обеспечения в случае невозможности удовлетворения в полном объеме потребностей в товаре, производимом (реализуемом) субъектом естественной монополии, с учетом необходимости защиты прав и законных интересов граждан, обеспечения безопасности государства, охраны природы и культурных ценностей (ст.6 Закона о естественных монополиях).
Монополии второго типа (так называемые рыночные) создаются в результате самостоятельных действий субъектов предпринимательства при осуществлении ими своей деятельности под воздействием различных факторов на рынке (экономических, внеэкономических) без непосредственного регулирующего воздействия государства.
Такие монополии могут появиться в связи с победой в добросовестной конкуренции над определенным субъектом предпринимательства и выходом с рынка других конкурентов, посредством концентрации капиталов и объединения субъектов предпринимательства, неразвитости рынка и т.д. В данной ситуации субъект предпринимательства на определенное время становится единственным производителем (продавцом) определенного товара. При этом юридических ограничений для конкуренции не существует, другие субъекты имеют право осуществлять аналогичную предпринимательскую деятельность на данном рынке и конкурировать между собой.
И, наконец, о монополиях третьего типа. Монопольное положение может также возникать из обладания (использования) субъектом предпринимательской деятельности исключительными правами на результаты интеллектуальной деятельности и приравненные к ним средства индивидуализации предпринимателя, продукции (работ, услуг). Таковыми являются права на изобретения, полезные модели, промышленные образцы, товарные знаки, знаки обслуживания, наименования мест происхождения товаров, фирменные наименования и т.п. (п.1 ст.138 ГК РФ).
Субъект предпринимательской деятельности может занимать монопольное положение на рынке по использованию этих объектов исходя из самого факта юридического признания за ним статуса их обладателя (например, обладатели патентов на изобретения, промышленные образцы или свидетельств о регистрации товарных знаков). Обладание правами на подобные объекты ставит субъекта предпринимательской деятельности в положение, при котором использование этих объектов всецело зависит лишь от его усмотрения.
Возможность занятия на рынке монопольного (доминирующего) положения вследствие обладания данными правами связана прежде всего с монопольным характером самих этих прав на указанные нематериальные блага (объекты права промышленной собственности). Обладатель имеет возможность монопольно обладать объектом, как используя его в своей деятельности, так и не делая этого (что является позитивной стороной права), а также запрещать всем другим лицам пользоваться им без специально выданного разрешения или лицензии (негативная сторона права). Возможность правообладателя отстранять всех остальных лиц от использования объектов промышленной собственности дает предпринимателям реальные преимущества в конкурентной борьбе и реальную возможность занятия монопольного (доминирующего) положения на рынке.
Доминирующее положение субъекта предпринимательства на рынке.
Сущность и содержание монопольного положения раскрывается через категорию доминирующего положения субъекта предпринимательства на рынке.
Российское антимонопольное законодательство предусматривает два основных критерия для определения доминирующего положения субъекта предпринимательства на рынке: качественный (основной) и количественный (вспомогательный) критерии.
Качественный критерий содержит указание на сущность поведения субъекта предпринимательства на определенном рынке.
В частности, под доминирующим положением
на товарном рынке понимается исключительное положение хозяйствующего субъекта (нескольких хозяйствующих субъектов) на рынке товара, не имеющего заменителя, либо взаимозаменяемых товаров, дающее ему (им) возможность оказывать решающее влияние на общие условия обращения товара на соответствующем товарном рынке или затруднять доступ на рынок другим хозяйствующим субъектам (ч.8 ст.4 Закона о конкуренции на товарных рынках).
Доминирующее положение на финансовом рынке характеризуется как объем финансовых услуг, предоставляемых финансовой организацией (несколькими финансовыми организациями) на рынке финансовых услуг, дающий ей (им) возможность оказывать решающее влияние на общие условия предоставления финансовых услуг на рынке финансовых услуг или затруднять доступ на этот рынок другим финансовым организациям (ч.7 ст.3 Закона о конкуренции на финансовых рынках).
Количественный (вспомогательный) критерий доминирующего положения позволяет определить долю рынка, которую субъект предпринимательства должен занимать, чтобы иметь возможность оказывать решающее влияние на общие условия оборота товаров (работ, услуг) на рынке или затруднять доступ на него другим конкурентам.
Указание на долю на товарных рынках содержится в Законе о конкуренции на товарных рынках. Доминирующим признается положение хозяйствующего субъекта, доля которого на рынке определенного товара составляет 65% и более, за исключением тех случаев, когда хозяйствующий субъект докажет, что, несмотря на превышение указанной величины, его положение на рынке не является доминирующим. Доминирующим признается также положение хозяйствующего субъекта, доля которого на рынке определенного товара составляет менее 65%, если это установлено антимонопольным органом, исходя из стабильности доли хозяйствующего субъекта на рынке, относительно размера долей на рынке, принадлежащих конкурентам, возможности доступа на этот рынок новых конкурентов или иных критериев, характеризующих товарный рынок. Не может быть признано доминирующим положение хозяйствующего субъекта, доля которого на рынке определенного товара не превышает 35% (ч.8 ст.4 Закона о конкуренции на товарных рынках).
Доля финансовой организации, необходимая для доминирования на рынке финансовых услуг, не определена Законом о конкуренции на финансовых рынках. Он содержит лишь общее указание на то, что конкретная доля устанавливается исходя из отношения суммы ее оборота по определенному виду финансовых услуг к общей сумме оборота финансовых организаций в установленных границах рынка финансовых услуг (п.2 ст.4 Закона о конкуренции на финансовых рынках). Во исполнение указанной нормы закона постановлением Правительства РФ от 7 марта 2000 г. N 194 утверждена Методика определения оборота и границ рынка финансовых услуг финансовых организаций.
Конкретные доли на некоторых финансовых рынках установлены подзаконными актами МАП РФ. В частности, доминирующим признается положение страховщика, лизинговой организации и негосударственного пенсионного фонда на соответствующем рынке, если доля каждой из этих организаций превышает на федеральном рынке 10% или на региональном - 25%.
Доминирующее положение отражает степень монопольного господства одного или нескольких субъектов предпринимательства на рынке. Так, занятие доминирующего положения на рынке одним субъектом предпринимательства свидетельствует о наличии абсолютной ("чистой") монополии. Наличие на рынке олигополии (а иногда монополистической конкуренции), соответственно, уменьшает долю доминирования конкретного субъекта предпринимательства.
Доминирующее положение на рынке могут занимать субъекты, относящиеся к различным типам монополий: субъекты государственных и естественных монополий, субъекты "рыночных" монополий, обладатели исключительных прав.
Субъектам предпринимательской деятельности не запрещается занимать доминирующее положение на рынке. Такое положение само по себе не является противоправным. Как уже отмечалось, оно может возникнуть по воле государства, либо в результате неразвитости определенного рынка, или эффективного осуществления субъектом предпринимательства добросовестной конкуренции и победы в конкурентной борьбе, и т.п. В последнем случае доминирующее положение производно от конкуренции и является ее закономерным итогом.
Однако, если доминирующее (монопольное) положение предпринимателя явилось следствием его неправомерных действий, нарушающих нормы законодательства, то такие действия будут квалифицированы как правонарушения (монополистическая деятельность), а вызванное ими "доминирование" - как вредоносные последствия (ограничение или устранение конкуренции).
2. Монополистическое поведение
Многочисленные публикации о «неправильном» поведении монополий, о «злых намерениях» олигархов и т.д. кажутся экономисту попыткой неадекватного описания действительно существующих проблем. К экономическим проблемам пытаются применить неэкономические (в данном случае, психологические) методы и критерии.
Тот факт, что любой монополист, как правило, заинтересован в понижении объема предоставляемых услуг (или выпускаемой продукции) и в повышении цен на услуги (продукцию), выглядит благодаря подобным публикациям как некое волюнтаристское решение "злокозненного" монополиста или следствием его «плохости». Экономист не может с этим согласиться, не может видеть основную причину такого поведения монополиста только в личности конкретного человека (хотя принципиально верно, что в «олигархи» попадают в основном люди с несентиментальным складом характера).
Скорее все вместе: и личность (природа) человека, и ситуации монопольного положения на рынке, – заставляют монополиста ограничивать предоставление услуг (выпуск продукции) и увеличивать расценки на них (на нее). «Плохость» практически любого человека, ставшего монополистом и играющего по правилам максимизации прибыли (частной выгоды), предсказуема.
Микроэкономические основы поведения фирмы в условиях совершенной конкуренции
В условиях совершенной конкуренции фирмы являются слишком маленькими для того, чтобы увеличивая или уменьшая предоставление услуг или выпуск продукции, в какой бы то ни было степени влиять на цену, существующую на рынке. Какое бы количество продукции или услуг фирма ни поставила на рынок, она продаст это количество по имеющейся рыночной цене р (по большей цене никто не купит, а по меньшей цене фирме в условиях совершенной конкуренции не имеет смысла продавать). В силу этого в условиях совершенной конкуренции рыночная цена р воспринимается фирмами как нечто заданное, и фирмы для того, чтобы максимизировать прибыль, вариируют (увеличивают) объем выпускаемой продукции.
Максимум прибыли достигается при таком выпуске (Q* единиц продукции), при котором функция f=p•Q–c(Q)==>maxQ достигает максимума, а предельные издержки равны рыночной цене, МС(Q*)=р, здесь р – цена, Q – объем выпускаемой продукции, Q* – оптимальный объем выпускаемой продукции, с(Q) – функция издержек, МС=dC(Q)/dQ – предельные издержки и максимизация происходит по Q. Если средние издержки АС(Q)=с(Q)/Q при этом меньше рыночной цены р, то фирма получает положительную экономическую прибыль (рис. 1), что привлекает на рынок новые фирмы и уменьшает экономическую прибыль, если средние издержки с(Q)/Q больше рыночной цены р, то экономическая прибыль меньше нуля, и некоторые фирмы покидают рынок, что увеличивает экономическую прибыль. В долгосрочные плане при совершенной конкуренции рыночная цена равна средним издержкам в отрасли. При этом экономическая прибыль равна нулю (рис. 2).

Рис. 1. Фирма (очень маленькая часть рынка) в условиях совершенной конкуренции (источник: Замков и др. (1995))

Рис. 2. Рынок совершенной конкуренции (источник: Замков и др. (1995))
Микроэкономические основы поведения монополиста
Если фирма является монополистом и вход возможных конкурентов на рынок по тем или иным причинам невозможен, то количество выпускаемой и поставляемой фирмой на рынок продукции (услуг) влияет на цену продукции (услуг). В этом случае фирма максимизирует прибыль, вариируя цену выпускаемой продукции и оптимизируя функцию f=p*Q(p)–c(Q(p))==>maxp. Легко показать, что в результате монополист увеличивает цену и соответственно уменьшает количество поставляемой на рынок продукции (услуг). Поведение монополиста логично и закономерно «злонамеренно», так как следует законам рынка (рис. 3).

Рис. 3. Монополистический рынок (источник: Замков и др. (1995))
Подобное поведение монополиста не является Парето-эффективным и ведет, во-первых, к уменьшению благосостояния общества, и, во-вторых к перераспределению общественных доходов, делая потребителей беднее относительно и абсолютно, а монополиста богаче относительно, а часто и абсолютно. В силу этого, большинство правительств стараются, регулируя рынки и создавая условия для более-менее справедливой конкуренции (сюда относятся такие меры, как антимонопольное законодательство, раздробление монополистов, создание условий для беспрепятственного входа на рынок большого числа относительно маленьких и независимых друг от друга производителей, регулирование цен (т.е. законодательное установление цены исходя из МС(Q)=р) и т.д.), не допустить появления на рынке монопольных структур.
Проблемы естественных монополий.
Многие стандартные антимонопольные действия правительства зачастую невозможны, если отрасль, например, в силу большой минимально оптимальной величины производства или в силу возможности получения прибыли/выживания производителями сырья только в условиях вертикальной интеграции и т.д., характеризуется склонностью к появлению в ней так называемой естественной монополии.

Рис.4 Иллюстрация непреминимости стандартных методов антимонопольного регулирования к естественным монополиям (источник: Замков и др.(1995)).
Если применять к естественной монополии стандартные антимонопольные меры, например, законодательно установить цены, исходя из МС(Q)=р, то естественная монополия станет убыточной, так как в этом случае средние издержки будут больше цены выпускаемого монополистом товара, АС(Q)>р (рис. 4).
Если не регулировать естественную монополию, то в силу MR(р)=р*[1+1/e(p)]=МС(р) в полной мере проявятся описанные выше эффект ухудшения благосостояния общества из-за увеличения цены и уменьшения выпуска, а также эффект перераспределения общественных доходов (относительное и абсолютное ухудшение благосостояния потребителей и относительное (часто и абсолютное) обогащение монополиста (рис. 3).
В теории, как правило, обсуждаются два решения: 1. национализация естественного монополиста и 2. государственное (на федеральном или на региональном уровне) его регулирование.
1. При национализации производство естественной монополии субсидируется государством, за счет чего становится возможным установление цены МС(Q)=р и увеличение объема продукции до уровня Q(к). Однако национализация, как правило, сопровождается в долгосрочном плане коррупцией и неэффективностью производства. Национализация естественных монополистов часто нецелесообразна, так как государственной бюрократии легче избежать государственных же проверок, необходимых для подсчета средних и предельных издержек производства отрасли естественного монополиста (рис. 5).
2. При государственном регулировании государственные субсидии отменяются, но антимонопольная комиссия ежегодно анализирует издержки естественного монополиста и назначает цену р*, исходя из уровня средних издержек, т.е. МС(Q)Q*=Q(ср)>Q(м). Этот случай считается так называемый субоптимальным решением (second best solution) проблемы естественного монополиста. При таком регулировании, в случае если возможен некоррумпированный подсчет средних издержек естественного монополиста, общество достигает минимальных потерь благосостояния (рис. 5).

Рис. 5. Оптимальное регулирование естественного монополиста (источник: Замков и др. (1995))
Таким образом, основная проблема заключается в том, как осуществить некоррумпированный подсчет средних издержек производства естественного монополиста, а также заинтересовать естественного монополиста в снижении своих средних издержек? С первой задачей должны справиться Счетная палата и органы правопорядка, вторая задача решаема только динамически, например, с помощью «zero base budgeting».
В идеальном случае меры антимонопольного регулирования работают. Стандартное антимонопольное регулирование не срабатывает в случае так называемых естественных монополий. В этом случае необходимо не запретительное, но регулирующее вмешательство государства (общества).
3. Соперничество и конкуренция
Субъекты рынка могут находиться в отношениях конкуренции или соперничества, соответственно быть конкурентами или соперниками. Союз "или" выражает здесь не тождественность, а, напротив, различение связываемых им понятий. С самого начала следует понять, что в экономической теории в отличие от обыденной речи термины "конкуренция" и "соперничество" не синонимичны, они имеют разное содержание. И это особенность не только русского языка. Приведем соответствующие пары терминов из экономической лексики основных европейских языков.
Русский: конкуренция ≈ соперничество.
Английский: competition ≈ rivalry.
Немецкий: Konkurrenz≈ Wettbewerb.
Французский: concurrence ≈ rivalite.
Небольшой экскурс в область сравнительного языкознания и этимологии для любознательных. Слова конкуренция, Konkurrenz, concurrence происходят от латинского concurro ≈ сбегаться, сталкиваться (con ≈ вместе, curro ≈ бежать); тогда как английское competition восходит к латинскому competitionem (com = con + + petito ≈ стремление достать что-то, добиться чего-либо, притязать на что-то). Английское rivalry и французское rivalite восходят к латинскому rivalitas ≈ соперничество (ср.: rivalis ≈ пользующийся водой из того же ручья, сосед по оросительному каналу). Интересно (и полезно) заметить, что к той же латинской основе многие лингвисты возводят и русское соревнование, хотя это мнение нередко оспаривается,1 а вот русское соперничество происходит от несохранившегося пьря (ср.: прения, спор). Наконец, немецкое Wettbewerb является производным от глагола bеwerben ≈ добиваться чего-либо, состязаться, соревноваться. Обратите внимание, что, хотя в немецком языке есть слово той же этимологии и с тем же объемом понятия, что и английское rivalry и французское rivalite ≈ rivalitat, в качестве термина в немецкоязычной литературе по экономике используется не оно, а, как уже говорилось, Wettbewerb. To же самое произошло и с русскими словами соревнование и соперничество.
Для нас важно, конечно, не этимологическое, а содержательное различие терминов "конкуренция" и "соперничество". В самом общем виде оно заключается в следующем: "В современном понимании термин «соперничество» относится к действительному поведению, тогда как термин «конкуренция» относится к определяющей строение рынка модели, используемой для предсказания поведения на определенном рынке".Вернувшись к классификации товарных рынков, нетрудно понять, что поведение экономических агентов может иметь характер соперничества лишь при олигопольном строении рынка, когда их взаимозависимость положительна и достаточно высока (0 < еpi,j < ╔) и они не могут игнорировать реакцию соперников на свои действия. С другой стороны, поведение монополиста или полиполиста не может характеризоваться как соперничество, поскольку на рынках такого строения взаимозависимость экономических субъектов ничтожно мала (еpi,j > 0). Таким образом, обусловленная недостаточностью ресурсов конкуренция между альтернативными целями их использования, о которой говорилось в разделе, может принять форму соперничества субъектов рынка, в которых эти цели персонифицированы.
В чем проявляется соперничество? Среди продавцов (производителей) оно проявляется в предложении новых продуктов, улучшении качества уже выпускаемых, рекламировании своих товаров, специальных мерах по продвижению их на рынок и т. п. Среди покупателей (потребителей) соперничество может принять характер поиска более выгодных (во всех отношениях) поставщиков, стремления получить ценовые скидки, предложения более высокой цены за дефицитные блага, попыток подкупа должностных лиц, представляющих интересы контрагентов, и т. д. Ярко выраженное соперничество может наблюдаться в поведении субъектов, которые в то же время не могут быть названы совершенными конкурентами, как например крупнейших автомобилестроительных компаний. Но и наоборот, совершенная конкуренция наблюдается на тех рынках, где такое явное соперничество отсутствует, например среди фермеров или крестьян-собственников.
Из сказанного выше очевидно, что различение конкуренции и соперничества могло возникнуть лишь с появлением и развитием теории строения рынка, его морфологии. Действительно, экономисты-классики не различали этих понятий, говоря обычно просто о свободной конкуренции. Именно свободная конкуренция в ее противопоставлении монополии и была стержнем парадигмы классиков. Но, говоря о свободной конкуренции, они прежде всего имели в виду соперничество. Как заметил Дж. Стиглер, «конкуренция» вошла в экономическую теорию из бытового языка, и в течение длительного времени это слово обозначало только независимое соперничество двух или более лиц". Адам Смит, например, прямо отождествлял конкуренцию с "опытом" или "обострением соперничества".
Классики понимали, конечно, что не всегда и не везде свободная конкуренция совершенно и одинаково свободна, они признавали, что ее собственные последствия могут быть в некоторых ситуациях ограничены или перекрыты действием каких-то других факторов, например обычаев. Поэтому-то, чтобы, применяя выводы "политической экономии" к явлениям реального мира, избежать ошибок, Дж. С. Милль требовал учитывать "не только то, что произойдет при воображаемом условии максимального господства конкуренции, но и то, насколько изменится результат, если господство конкуренции будет неполным". Реализовать данное требование экономисты смогли, однако, лишь тогда, когда эта степень неполноты "господства конкуренции" получила свою (качественную) меру в теории строения рынков, их типологии.
Следствием становления и развития этой теории стало столь глубокое очищение понятия конкуренции от каких-либо элементов соперничества, что теперь «глагол «конкурировать» (to compete), если он используется не в отношении таких видов деятельности, которые в некотором смысле являются «монополистическими», не имеет никакого содержания в экономической теории". Более того, в той обособившейся от основного корпуса микроэкономической теории науке (и учебной дисциплине), центром внимания которой является поведение предприятий, в той или иной мере обладающих рыночной или, если говорить о товарных рынках, монопольной властью, и которую называют организацией, или экономикой, промышленности (англ, industrial organization or economics), стандартным стало использование термина соперничество (rivalry, rivalite, Wettbewerb) и производных от него, а не термина "конкуренция".
Понимание различия данных терминов является непременным условием усвоения этой части курса. Так, вы должны быть готовы к пониманию того, что поведение предприятий на рынке совершенной конкуренции не содержит никаких признаков соперничества, тогда как поведение субъектов олигополистического рынка, относимого обычно к рынкам несовершенной конкуренции, характеризуется прежде всего и главным образом именно соперничеством.
4. Модель Курно
Основателем теории считается французский экономист Августин Курно. Рассматривая взаимодействие олигополистов, он показал, что каждая фирма предпочитает производить такое количество продукции, которое максимизирует ее прибыль. При этом он исходил из того, что объем продаваемых товаров у конкурентов остается неизменным. Курно сделал два главных вывода:
· для любой отрасли существует определенное и стабильное
равновесие между объемом продаж и ценой товара;
· цена равновесия зависит от числа продавцов.
При единственном продавце возникает монопольная цена. По мере увеличения количества продавцов цена равновесия падает, пока она не приблизится к. предельным издержкам. Таким образом, модель Курно показывает, что конкурентное равновесие достигается тем больше, чем больше возрастает число продавцов. Многие экономисты постулировали, что фирмы ожидают реакции своих соперников на изменение цен или объемов продаж. Модель Курно, в которой допускается бездействие соперника (объем его продаж фиксирован), подвергалась критике.
Предположим, что у фирмы цена за единицу продукта ОР, а объем продаж ОХ (рис. 6, а), DEF — кривая спроса на товары фирмы- Она принимает решение повысить цену на свои товары. Новая цена ОР1
Другой вариант: она понижает цену до ОР2
. Предположим далее, что соперники следуют за фирмой при установлении цен. В таком случае GЕН представляла бы кривую спроса фирмы, совпадающую с кривой спроса ее соперников. На практике же, если фирма поднимает цену, соперники не следуют за ней и не повышают цену, с тем чтобы увеличить свою долю рынка за счет фирмы. Если фирма понижает цену, соперники реагируют на такое сокращение, с тем чтобы предотвратить потерю своей доли рынка. Таким образом, завершающая кривая спроса составляется из двух сегментов DЕ и ЕН с
переломом в точке Е. Сотрем отрезки СЕ и ЕЕ и получим ломаную кривую спроса в данной отрасли DЕН (рис. 6, б). Фирмы не реагируют на повышение цен и снижают цены вслед за снижением цен одной из них.

Рис. 6.
Ломаная кривая спроса
При высокой рыночной концентрации ценовые решения продавцов взаимозависимы. Олигополистические фирмы исходят из того, что прибыли будут выше, когда проводится общая политика, чем когда каждая фирма преследует свои узкоэгоистическиё интересы. Фирмы, действующие в рамках олигополистической структуры рынка, стремятся к созданию системы связей, которая позволила бы координировать поведение в общих интересах. Одной из форм такой координации является так называемое лидерство в
ценах.
Оно состоит в том, что изменения в справочных ценах объявляются определенной фирмой; которая признается лидером всеми остальными, следующими в ценовой политике за ней. Различают три типа ценового лидерства: лидерство доминирующей фирмы, тайный сговор о лидерстве и барометрическое лидерство.
Лидерство доминирующей фирмы
— ситуация на рынке, когда одна фирма (предприятие) контролирует не менее 50% производства, а остальные фирмы слишком малы, чтобы оказывать влияние на цены путем индивидуальных ценовых решений.
Личная дискриминация —
цены назначаются в зависимости от уровня доходов покупателей. Более богатые могут уплачивать более высокую цену, так Как их спрос неэластичен. Продавец тайно делает скидку для покупателя, который может уйти от него к конкуренту
Групповая дискриминация
— цены систематически снижаются только на рынке, который обслуживается конкурентом («убей конкурента»), цена включает одинаковые транспортные издержки независимо от местоположения покупателя.
Продуктовая дискриминация —
различия в цене превышают несоответствия в издержках под предлогом неодинакового качества товара (книги в твердой и мягкой обложке). Фирмы распространяют физически однородные продукты под различными торговыми марками, назначая более высокие цены за хорошо известные торговые марки.
Модель Курно исходит из того, что на рынке действуют только две фирмы и каждая фирма принимает цену и объем производства конкурента неизменными, а затем принимает свое решение. Каждый из двух продавцов допускает, что его конкурент всегда будет удерживать свой выпуск стабильным. В модели предполагается, что продавцы не узнают о своих ошибках. Фактически же эти предположения продавцов о реакции конкурента, очевидно, изменятся, когда они узнают о своих предыдущих ошибках.
Модель Курно представлена на рис. 7

Рис. 7 Модель дуополии Курно
Предположим, что первым начинает производство дуополист 1, который в первое время оказывается монополистом. Его выпуск (рис. 7) составляет q1, что при цене Р позволяет ему извлекать максимальную прибыль, ибо в этом случае MR = = МС = 0. При данном объеме выпуска эластичность рыночного спроса равна единице, а общая выручка достигнет максимума. Затем производство начинает дуополист 2. В его представлении объем выпуска сдвинется вправо на величину Oq1 и совместится с линией Aq1. Сегмент AD' кривой рыночного спроса DD он воспринимает как кривую остаточного спроса, которой соответствует кривая его предельной выручки MR2. Выпуск дуополиста 2 будет равен половине неудовлетворенного дуополистом 1 спроса, т. е. сегмента q1D', а величина его выпуска равна q1q2, что даст возможность получить максимум прибыли. Данный выпуск составит четверть всего рыночного объема спроса при нулевой цене, OD'(1/2 x 1/2 = 1/4).
На втором шаге дуополист 1, допуская, что выпуск дуополиста 2 сохранится стабильным, решит покрыть половину оставшегося все еще неудовлетворенным спроса. Исходя из того что дуополист 2 покрывает четверть рыночного спроса, выпуск дуополиста 1 на втором шаге составит (1/2)x(1- 1/4), т.е. 3/8 всего рыночного спроса, и т. д. С каждым последующим шагом выпуск дуополиста 1 будет уменьшаться, в то время как выпуск дуополиста 2 будет увеличиваться. Такой процесс окончится уравновешиванием их выпуска, и тогда дуополия достигнет состояния равновесия Курно.
Модель Курно многие экономисты считали наивной по следующим основаниям. Модель допускает, что дуополисты не делают никаких выводов из ошибочности своих предположений относительно реакции конкурентов. Модель закрыта, т. е. число фирм ограничено и не меняется в процессе движения к равновесию. Модель ничего не говорит о возможной продолжительности этого движения. И наконец, нереальным представляется предположение о нулевых операционных издержках. Равновесие в модели Курно можно изобразить через кривые реагирования, показывающие максимизирующие прибыль объемы выпуска, который будет осуществляться одной фирмой, если даны объемы выпуска конкурента.
На рис. 8 кривая реагирования I представляет максимизирующий прибыль выпуск первой фирмы как функцию от выпуска второй. Кривая реагирования II представляет максимизирующий прибыль выпуск второй фирмы как функцию от выпуска первой.

Рис. 8 Кривые реагирования
Кривые реагирования можно использовать для того, чтобы-показать, как устанавливается равновесие. Если следовать стрелкам, нарисованным от одной кривой к другой, начиная с выпуска q1 = 12 000, то это приведет к осуществлению равновесия Курно в точке Е, в которой каждая фирма производит 8000 изделий. В точке Е пересекаются две кривые реагирования. Это и есть равновесие Курно. Им впервые была предложена формула D = F(P), где D - спрос, Р - цена, согласно которой спрос является функцией цены.
Основные положения модели:
На рынке действует фиксированное число N > 1 фирм, выпускающих экономическое благо одного наименования;
Вход на рынок новых фирм и выход из него отсутствуют;
Фирмы обладают рыночной властью. Замечание: сам Курно не знал, что такое рыночная власть. Этот термин появился позднее.
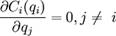
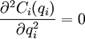
Фирмы максимизируют свою прибыль и действуют без кооперации. Общее количество фирм на рынке N предполагается известным всем участникам. Каждая фирма, принимая свое решение, считает выпуск остальных фирм заданным параметром (константой). Функции издержек фирм ci(qi) могут быть различны и также предполагаются известными всем участникам.
Функция спроса представляет собой убывающую функцию от цены блага. Цена блага задана как цена равновесия отраслевого рынка (величина отраслевого предложения равна величине спроса на данное экономическое благо при одной и той же цене).
Вычисление равновесия.
Рассмотрим модель с двумя фирмами (дуополию). Для определения равновесной цены вычислим наилучшие ответы каждой из фирм.
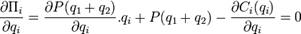
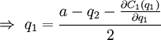
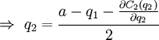
Прибыль i-й фирмы имеет вид:
Рi = P(q1 + q2).qi − Ci(qi).
Ее наилучшим ответом является объем выпуска qi, максимизирующий прибыль Рi при заданном объеме выпуска другой фирмы . Производная Рi по переменной qi имеет вид:

Приравнивая ее к нулю, получим:

Значения qi, удовлетворяющие данному условию, являются наилучшими ответами фирмы i. Равновесие в данной модели достигается, если q1 является наилучшим ответом на q2, а q2 - наилучшим ответом на q1.
Пример.
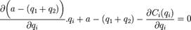
Пусть обратная функция спроса имеет вид: P(q1 + q2) = a − (q1 + q2), а издержки фирмы i Ci(qi) таковы, что ,
; .
Тогда прибыль фирмы i составит:

Решение задачи максимизации имеет вид:

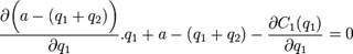
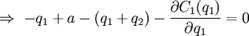
Таким образом, задача фирмы 1:



Из симметрии рассматриваемой системы:

Полученные выражения представляют собой функции наилучших ответов. В равновесии Нэша обе фирмы будут придерживаться стратегий, являющихся решениями пары этих уравнений. Подставляя q2 в наилучший ответ фирмы 1, получим:



Равновесием Нэша в этой системе являются объемы выпуска (q1 * ,q2 * ), а равновесная рыночная цена будет представлять собой величину P(q1 + q2) = a − (q1 + q2).
Список используемой литературы
1. Гальперин В.М., Игнатьев С.М., Моргунов В.И. ,“ Микроэкономика”, 2004
2. А.С. Булатов, Экономика, 3-е изд. М.:Юристъ, 2002. – 896 с.
3. М.А. Сажина / Г.Г. Чибриков, Экономическая теория, НОРМА 2003, 456 с.
4. Носова С.С. Экономическая теория: Учеб. для вузов. - М.: Гуманит. изд. центр ВЛАДОС, 2000. - 520 с.
5. Р. Нуреев. Типы рыночных структур: несовершенная конкуренция. Антимонопольное законодательство. - Вопросы экономики, 1995
|