Зміст
Вступ
1. Теоретичні основи управління інвестиціями підприємства та їх економічна сутність
1.1 Eкономічна сутність інвестицій та їх класифікація
1.2 Теоретичні аспекти управління інвестиційною діяльності на підприємстві
1.3 Характеристика напрямів інвестування на підприємстві
2.Аналіз управління інвестиційною діяльністю підприємства
2.1 Аналіз управління фінансовими інвестиція підприємства
2.2 Аналіз управління реальними інвестиціями підприємства
2.3 Аналіз управління альтернативними інвестиційними проектами на підприємстві
3. Шляхи вдосконалення процесу управління інвестиційною діяльністю підприємства
3.1 Основні напрямки оптимізації процесу управління інвестиціями підприємства
3.2 Основні проблеми управлінням інвестиційною діяльністю підприємства та шляхи їх вирішення
Висновки
Список використаних джерел
Додатки
Вступ
На сучасному етапі розвитку економіки одним з перспективних напрямків господарсько-фінансової діяльності підприємств, держави, фізичних осіб є інвестиційна діяльність.
Вона полягає у вкладанні майнових та інтелектуальних цінностей в об'єкти підприємницької та інших видів діяльності, в результаті чого створюється прибуток (доход) або досягається соціальний ефект.
При цьому інвестори - суб'єкти інвестиційної діяльності, які приймають рішення про вкладення власних, позичкових і залучених майнових та інтелектуальних цінностей в об'єкти інвестування, для того, щоб уникнути збитків, повинні чітко визначати доцільність інвестицій саме в те чи інше підприємство.
Відповідно до закону України "Про інвестиційну діяльність" від 18.09.1991р., під інвестиціями розуміються усі види майнових і інтелектуальних цінностей, що вкладаються в об'єкти підприємницької та інших видів діяльності, в результаті чого створюється прибуток, або досягається соціальний ефект.
Інвестиції торкаються самих глибинних основ господарської діяльності, визначаючи процес економічного росту в цілому. У сучасній ситуації інвестиції виступають найважливішим засобом забезпечення умов виходу України зі стану економічної кризи, здійснення структурних зрушень у народному господарстві, упровадження сучасних досягнень технічного прогресу, підвищення якісних показників господарської діяльності на мікро- і макрорівнях. Активізація інвестиційного процесу є одним з найбільш діючих механізмів подальших соціально-економічних перетворень.
Забиваем Сайты В ТОП КУВАЛДОЙ - Уникальные возможности от SeoHammer
Каждая ссылка анализируется по трем пакетам оценки: SEO, Трафик и SMM.
SeoHammer делает продвижение сайта прозрачным и простым занятием.
Ссылки, вечные ссылки, статьи, упоминания, пресс-релизы - используйте по максимуму потенциал SeoHammer для продвижения вашего сайта.
Что умеет делать SeoHammer
— Продвижение в один клик, интеллектуальный подбор запросов, покупка самых лучших ссылок с высокой степенью качества у лучших бирж ссылок.
— Регулярная проверка качества ссылок по более чем 100 показателям и ежедневный пересчет показателей качества проекта.
— Все известные форматы ссылок: арендные ссылки, вечные ссылки, публикации (упоминания, мнения, отзывы, статьи, пресс-релизы).
— SeoHammer покажет, где рост или падение, а также запросы, на которые нужно обратить внимание.
SeoHammer еще предоставляет технологию Буст, она ускоряет продвижение в десятки раз,
а первые результаты появляются уже в течение первых 7 дней.
Зарегистрироваться и Начать продвижение
Враховуючи наявні інфляційні процеси, стабілізувати розвиток економіки в нині діючих ринкових умовах без залучення фінансових інвестицій практично неможливо. Умови залучення і використання фінансових інвестицій мають бути такими, які б задовольняли як інтереси інвесторів, так і підприємців-виробників, які беруть фінансові інвестиції під розвиток того чи іншого виробництва.
В умовах ринкової економіки можливостей для інвестування досить багато. Разом з тим будь-яке підприємство має обмежені вільні фінансові ресурси, доступні для інвестування. Тому встає задача оптимізації інвестиційного портфеля.
Інвестиційна діяльність завжди здійснюється в умовах невизначеності, ступінь якої може значно мінятися. Так, у момент придбання нових основних засобів ніколи не можна точно передбачити економічний ефект цієї операції. Тому нерідко рішення приймаються на інтуїтивній основі.
Прийняття рішень інвестиційного характеру, як і будь-який інший вид управлінської діяльності, ґрунтується на використанні різних формалізованих і неформалізованих методів. Ступінь їхнього сполучення визначається різними обставинами, у тому числі і тим з них, наскільки менеджер знайомий з наявним апаратом, застосованим у тім чи іншому конкретному випадку. У вітчизняній і закордонній практиці відомий цілий ряд формалізованих методів, розрахунки за допомогою яких можуть бути основою для прийняття рішень в області інвестиційної політики. Якогось універсального методу, придатного для усіх випадків життя, не існує. Проте, маючи деякі оцінки, отримані формалізованими методами, нехай навіть певною мірою умовні, легше приймати остаточні рішення.
Актуальність даної теми полягає в тому що, в Україні зараз економічна криза, тому сьогодні як ніколи необхідні зусилля для пожвавлення господарчого життя з метою забезпечення стабілізації економіки й економічного зростання. Такого результату можна досягти на основі більш точного управління інвестиційною діяльністю на підприємстві.
Об’єктом даної роботи є особливості управління інвестиційною діяльністю на підприємстві.
Предметом даної роботи є основні аспекти управління інвестиційною діяльністю на підприємстві.
Мета курсової роботи дослідити теоретичні основи інвестиційних ресурсів підприємства, та на практиці досліджуваного підприємства розробити проект інвестиційної діяльності.
Сервис онлайн-записи на собственном Telegram-боте
Попробуйте сервис онлайн-записи VisitTime на основе вашего собственного Telegram-бота:
— Разгрузит мастера, специалиста или компанию;
— Позволит гибко управлять расписанием и загрузкой;
— Разошлет оповещения о новых услугах или акциях;
— Позволит принять оплату на карту/кошелек/счет;
— Позволит записываться на групповые и персональные посещения;
— Поможет получить от клиента отзывы о визите к вам;
— Включает в себя сервис чаевых.
Для новых пользователей первый месяц бесплатно.
Зарегистрироваться в сервисе
Завданням даної роботи є:
-розгляд теоретичних основ управління інвестиційною діяльністю на підприємстві.
оцінка процесу управління інвестиційною діяльністю на підприємстві.
-визначення основних шляхів оптимізації управління інвестиційною діяльністю на підприємстві.
Метою даної роботи є розкриття особливостей та вдосконалення управління інвестиційною діяльністю на підприємстві. Задачі, які сприяють досягненню даної мети полягають в розгляді та визначенні суті та значення інвестиційної діяльності підприємства.
Дослідженням даного питання займались як, вітчизняні так і зарубіжні науковці, серед яких можна виділити: Пилипенко О.І.,
Гриньова В.М., Щабельська І.В., Шевченко І В.
1. Теоретичні основи управління інвестиціями підприємства та їх
економічна сутність
1.1Eкономічна сутність інвестицій та їх класифікація
Економічна діяльність суб’єктів господарювання значною мірою характеризується обсягами та формами інвестицій.
Термін „інвестиція” походить від лат. Invest, що означає вкладати. Нині інвестиції – це вкладання капіталу з метою подальшого його збільшення. Приріст капіталу в результаті його інвестування є компенсацією за ризик втрат від інфляції та неодержання процентів від банківських вкладень капіталу .
Інвестиціями є всі види майнових та інтелектуальних цінностей, що вкладаються в об'єкти підприємницької та інших видів діяльності, в результаті якої створюється прибуток (доход) або досягається соціальний ефект.
Такими цінностями можуть бути:
-кошти, цільові банківські вклади, паї, акції та інші цінні папери;
-рухоме та нерухоме майно (будинки, споруди, устаткування та інші матеріальні цінності);
-майнові права інтелектуальної власності;
-сукупність технічних, технологічних, комерційних та інших знань, оформлених у вигляді технічної документації, навиків та виробничого досвіду, необхідних для організації того чи іншого виду виробництва, але не запатентованих ("ноу-хау");
-права користування землею, водою, ресурсами, будинками, спорудами, обладнанням, а також інші майнові права;
-інші цінності.
У сучасній зарубіжній літературі термін "інвестування" часто трактується як придбання цінних паперів (акцій, облігацій). В Україні цей термін ідентифікується з терміном "капітальні вкладення". Інвестиції в цьому разі розглядаються як вкладання у відтворення основних фондів (споруд, обладнання, транспортних засобів). Водночас інвестиції можуть спрямовуватись на поповнення обігових коштів, придбання нематеріальних активів (патентів, ліцензій, ноу-хау).[4,ст.34 ]
Окремі автори, визначаючи термін "інвестиції", вважають, що останні існують тільки у грошовій формі. Але інвестування капіталу може здійснюватися також у будь-якій іншій майновій формі або у формі немайнових активів (досвіду роботи, пакетів програм, інших форм інтелектуальної власності); сукупності технічних, технологічних, комерційних та інших знань; виробничого досвіду; права використання землі, води, ресурсів, споруд, а також інших майнових прав.
Джерелом приросту капіталу, основним мотивом інвестування є одержуваний прибуток. Обидва процеси – вкладання капіталу і одержання прибутку – відбуваються в певному поточному часі, а саме: можна поступово вкладати капітал, а потім одержати прибуток; паралельно вкладати капітал й отримувати прибуток; вкладати капітал з інтервалами, а через деякий час отримати прибуток. У першому випадку прибуток буде одержано одразу після завершення інвестування в повному обсязі; у другому випадку прибуток можливий за умови повного завершення процесу інвестування; у третьому випадку між періодом інвестування та одержанням прибутку минає певний час, що залежить від форми інвестування та особливостей інвестиційного проекту.
У сучасній зарубіжній літературі термін "інвестування" часто трактується як придбання цінних паперів (акцій, облігацій). В Україні цей термін ідентифікується з терміном "капітальні вкладення". Інвестиції в цьому разі розглядаються як вкладання у відтворення основних фондів (споруд, обладнання, транспортних засобів). Водночас інвестиції можуть спрямовуватись на поповнення обігових коштів, придбання нематеріальних активів (патентів, ліцензій, ноу-хау). [8,ст. 35]
Окремі автори, визначаючи термін "інвестиції", вважають, що останні існують тільки у грошовій формі. Але інвестування капіталу може здійснюватися також у будь-якій іншій майновій формі або у формі немайнових активів (досвіду роботи, пакетів програм, інших форм інтелектуальної власності); сукупності технічних, технологічних, комерційних та інших знань; виробничого досвіду; права використання землі, води, ресурсів, споруд, а також інших майнових прав.
Законом України «Про інвестиційну діяльність» інвестиції визначаються як усі види майнових та інтелектуальних цінностей, що вкладаються в об’єкти підприємницької та інших видів діяльності, у результаті якої створюється прибуток (дохід) або досягається соціальний ефект [1, ст.24].
Це визначення в основному відповідає міжнародному підходу до уявлень про інвестиційну діяльність як процесу вкладання ресурсів (благ, майнових й інтелектуальних цінностей) з метою одержання прибутку в майбутньому.
Дещо неточною є та частина визначення, де йдеться про здійснення інвестицій з метою досягнення соціального ефекту. Цей ефект може досягатись не тільки від прямих інвестицій у підприємництво, а через збільшення доходів від інвестиційної діяльності і відповідних надходжень до держбюджету, що використовуються на фінансування соціальних програм. Таким чином, прийнятнішим терміном для вкладання коштів буде фінансування, а не інвестування.
Слід звернути увагу, що інвестиції спрямовуються не тільки на створення прибутку (доходу) або досягнення соціального ефекту, а і на інші форми забезпечення розвитку і підаищення ринкової вартості підприємства, що знаходить відбиття у зростанні суми вкладеного капіталу.
Інвестиції, у першу чергу реальні інвестиції, грають винятково важливу роль в економіці країни і будь-якого підприємства, тому що вони виступають основою для:
- систематичного відновлення основних виробничих фондів підприємства і здійснення політики розширеного відтворення;
- прискорення НТП і поліпшення якості продукції;
- структурної перебудови суспільного виробництва і збалансованого розвитку всіх галузей народного господарства;
- створення необхідної сировинної бази промисловості;
- вирішення чи пом'якшення проблеми безробіття;
Таким чином, інвестиції потрібні для оздоровлення економіки країни і на цій основі вирішення багатьох соціальних проблем, насамперед - підйому життєвого рівня населення.
Під час економічної кризи інвестиційна діяльність в Україні значно знизилася. Попит на інвестиції падав значно швидше чим виробництво валового продукту. Однієї з причин цього, було те що інфляція значно знецінювала інвестиційні засоби. Протягом останніх років, незважаючи на значне уповільнення темпів інфляції, зменшується частина довгострокових кредитів, наданих суб'єктам господарювання усіх форм власності в загальному обсязі кредитів в економіці країни.[14,ст. 45]
Пріоритетними напрямками для залучення і підтримки стратегічних інвесторів можуть бути визначені ті, де Україна має традиційні виробництва, володіє необхідним ресурсним потенціалом і формує значну потребу ринку у відповідній продукції, а саме: виробництво легкових і вантажних автомобілів; тракторо- і комбайнобудування; авіа- і ракетобудування; суднобудування; замкнутий цикл виробництва палива для АЕС; розвиток енергогенерируючих потужностей; нафтогазовидобуток, зокрема на Чорноморському шельфі; упровадження енергозберігаючих технологій; переробка сільгосппродукції; транспортна інфраструктура .
Інвестиції у відтворення основних фондів і на приріст матеріально-виробничих запасів здійснюються у формі капітальних вкладень.
Інвестиції в об'єкти підприємницької діяльності класифікуються за певними ознаками.(див. Додатлк 1)
За об'єктами вкладання коштів (майна) розрізняють інвестиції реальні та фінансові. Під реальними інвестиціями розуміють вкладання коштів (майна) у реальні активи — матеріальні та нематеріальні (іноді інвестиції в нематеріальні активи, що пов'язані з науково-технічним прогресом, характеризують як інноваційні). Фінансові інвестиції — це вкладання коштів у фінансові інструменти (активи), серед яких превалюють цінні папери.
За характером участі в інвестуванні розрізняють інвестиції прямі та непрямі. Пряме інвестування здійснюють інвестори, які безпосередньо добирають об'єкти інвестування та вкладають в них кошти (майно, активи). Як правило, інвестори добре обізнані з об'єктом інвестування і знають механізми інвестування. Непрямі інвестиції здійснюють інвестиційні чи фінансові посередники. Оскільки не всі інвестори мають необхідну кваліфікацію для ефективного добору об'єктів інвестування та управління інвестиціями, то певна їх частина купує цінні папери, які випускають інвестиційні та фінансові посередники. Зібрані кошти посередники вкладають у найефективніші, на їхній погляд, об'єкти інвестування, керують ними, а потім розподіляють одержаний прибуток між своїми клієнтами — інвесторами.[9,ст. 34]
За періодом інвестування інвестиції поділяють на коротко- та довгострокові. Короткострокові інвестиції здійснюють на період до одного року. До них належать короткострокові депозитні вклади, придбання короткострокових ощадних сертифікатів. Довгострокові інвестиції здійснюють на період понад рік. Великі інвестиційні компанії розподіляють їх на чотири види: до двох років; від двох до трьох років; від трьох до п'яти років; понад п'ять років.
За формами власності інвесторів розрізняють інвестиції приватні, державні, іноземні та спільні. Приватні інвестиції здійснюють фізичні особи, а також юридичні особи з приватним капіталом, державні — державні та місцеві органи влади, державні (казенні) підприємства з бюджетних і позабюджетних фондів, власних і позичкових коштів, іноземні— фізичні та юридичні особи іноземних держав, спільні— суб'єкти певної держави та іноземних держав.
За регіональною ознакою розрізняють інвестиції в державі та поза її межами. Внутрішні інвестиції здійснюють в об'єкти інвестування в межах держави, а іноземні — поза її межами. До іноземних інвестицій належить також придбання різних фінансових інструментів інших держав — акцій іноземних компаній, облігацій інших держав тощо.
1.2 Теоретичні аспекти управління інвестиційною діяльності на підприємстві
Поточний стан економіки визначається діяльністю господарюючих суб'єктів, майбутній — обсягами інвестицій у виробництво.
У процесі виготовлення продукції та надання послуг зношуються основні фонди підприємств: будівлі, споруди, машини, обладнання. Для їх відновлення нагромаджується амортизаційний фонд. Обсяг амортизаційних фондів підприємств, нарахований за певний період часу, визначає обсяг коштів, необхідних для простого відновлення зношених основних фондів. Основні фонди підприємств відновлюються у процесі інвестиційної діяльності. Якщо обсяг інвестицій дорівнює обсягу амортизаційного фонду, відбувається просте відновлення.
Інвестиційна діяльність являє собою сукупність практичних дій юридичних осіб, держави та громадян щодо реалізації інвестицій. Нинішня правова система України складається з більше ніж 100 законів та інших нормативних актів, що регулюють інвестиційну діяльність.[21,ст. 137]
Інвестиційна діяльність здійснюється на основі:
1. Івестування, здійснюваного громадянами, недержавними підприємствами, господарськими асоціаціями, спілками і товариствами, а також громадськими і релігійними організаціями, іншими юридичними особами, заснованими на колективній власності;
2. Државного інвестування, здійснюваного органами влади і управління України, Кримської АРСР, місцевих Рад народних депутатів за рахунок коштів бюджетів, позабюджетних фондів і позичкових коштів, а також державними підприємствами і установами за рахунок власних і позичкових коштів;
3. Іноземного інвестування, здійснюваного іноземними громадянами, юридичними особами та державами;
4. Спільного інвестування, здійснюваного громадянами та юридичними особами України, іноземних держав.
Об'єктами інвестиційної діяльності в Україні є:
-новоутворювані та ті, що реконструюються, основні фонди, а також обігові кошти в усіх галузях народного господарства;
-цінні папери (акції, облігації та ін.);
-цільові грошові внески;
-науково-технічна продукція та інші об'єкти власності; майнові права та права на інтелектуальну власність.
Забороняється інвестування в об'єкти, створення і використання яких не відповідає вимогам санітарно-гігієнічних, радіаційних, екологічних, архітектурних та інших норм, встановлених законодавством України, а також порушує права та інтереси громадян, юридичних осіб і держави, що охороняються законом. [3,ст.13 ]
Об'єктами інвестиційної діяльності не можуть бути об'єкти житлового будівництва, фінансування спорудження яких здійснюється з використанням недержавних коштів, залучених від фізичних та юридичних осіб, у тому числі в управління. Інвестування та фінансування будівництва таких об'єктів може здійснюватися виключно через фонди фінансування будівництва, фонди операцій з нерухомістю, інститути спільного інвестування, недержавні пенсійні фонди, які створені та діють відповідно до законодавства, а також через випуск безпроцентних (цільових) облігацій, за якими базовим товаром виступає одиниця такої нерухомості.
Суб'єктами інвестиційної діяльності є:
- інвестори (замовники);
- виконавці робіт (підрядники);
- користувачі об'єктів інвестиційної діяльності;
- постачальники товарно-матеріальних цінностей, обладнання та проектної продукції;
-юридичні особи (банківські, страхові та посередницькі організації, інвестиційні фонди та компанії та ін.);
-громадяни України;
-іноземні юридичні та фізичні особи, держави та міжнародні організації.
Суб'єкти інвестиційної діяльності зобов'язані:
-додержувати державних норм і стандартів, порядок встановлення яких визначається законодавством України;
-виконувати вимоги державних органів і посадових осіб, що пред'являються в межах їх компетенції;
-подавати в установленому порядку бухгалтерську і статистичну звітність;
- не допускати недобросовісної конкуренції і виконувати вимоги законодавства про захист економічної конкуренції;
-сплачувати податки, збори (обов'язкові платежі) в розмірах та у порядку, визначених законами України.
Інвестиційна діяльність може здійснюватись за рахунок:
- власних фінансових ресурсів інвестора (прибуток, амортизаційні відрахування, відшкодування збитків від аварій, стихійного лиха, грошові нагромадження і заощадження громадян, юридичних осіб тощо);
- позичкових фінансових коштів інвестора (облігаційні позики, банківські та бюджетні кредити);
- залучених фінансових коштів інвестора (кошти, одержані від продажу акцій, пайові та інші внески громадян і юридичних осіб);
- бюджетних інвестиційних асигнувань;
- безоплатних та благодійних внесків, пожертвувань організацій, підприємств і громадян
Інвестори - суб'єкти інвестиційної діяльності, які приймають рішення про вкладення власних, позичкових і залучених майнових та інтелектуальних цінностей в об'єкти інвестування.
Інвестори можуть виступати в ролі вкладників, кредиторів, покупців, а також виконувати функції будь-якого учасника інвестиційної діяльності.
Інвестиційна діяльність суб'єктів України за її межами регулюється законодавством іноземної держави, на території якої ця діяльність здійснюється, відповідними договорами України, а також спеціальним законодавством України.[12,ст.102 ]
За рішенням інвестора права володіння, користування і розпорядження інвестиціями, а також результатами їх здійснення можуть бути передані іншим громадянам та юридичним особам у порядку, встановленому законом. Взаємовідносини при такій передачі прав регулюються ними самостійно на основі договорів.
Для інвестування можуть бути залучені фінансові кошти у вигляді кредитів, випуску в установленому законодавством порядку цінних паперів і позик.
Майно інвестора може бути використано ним для забезпечення його зобов'язань. У заставу приймається тільки таке майно, яке перебуває у власності позичальника або належить йому на праві повного господарського відання, якщо інше не передбачено законодавчими актами України. Заставлене майно при порушенні заставних зобов'язань може бути реалізовано відповідно до чинного законодавства.
Інвестор має право володіти, користуватися і розпоряджатися об'єктами та результатами інвестицій, включаючи реінвестиції та торговельні операції на території України, відповідно до законодавчих актів України.
Для державних підприємств, що виступають інвесторами за межами України та яким відкрито іпотечний кредит, встановлюється гарантія по цих інвестиціях з боку держави. [17,ст.95]
Інвестор має право на придбання необхідного йому майна у громадян і юридичних осіб безпосередньо або через посередників за цінами і на умовах, що визначаються за домовленістю сторін, якщо це не суперечить законодавству України, без обмеження за обсягом і номенклатурою.
Інвестор у випадках і порядку, встановлених законодавством України, зобов'язаний:
- подати фінансовим органам декларацію про обсяги і джерела здійснюваних ним інвестицій;
- одержати необхідний дозвіл або узгодження відповідних державних органів та спеціальних служб на капітальне будівництво;
- одержати позитивний комплексний висновок державної експертизи щодо додержання в інвестиційних програмах та проектах будівництва діючих нормативів з питань санітарного і епідемічного благополуччя населення, екології, охорони праці, енергозбереження, пожежної безпеки, міцності, надійності та необхідної довговічності будинків і споруд, а також архітектурних вимог.
Для проведення господарської діяльності, яка підлягає ліцензуванню, учасники інвестиційної діяльності повинні одержати відповідну ліцензію, що видається в порядку, встановленому законодавством.[15,ст.38 ]
Основним правовим документом, який регулює взаємовідносини між суб'єктами інвестиційної діяльності, є договір (угода).
Укладання договорів, вибір партнерів, визначення зобов'язань, будь-яких інших умов господарських взаємовідносин, що не суперечать законодавству України, є виключною компетенцією суб'єктів інвестиційної діяльності.
Втручання державних органів та посадових осіб у реалізацію договірних відносин між суб'єктами інвестиційної діяльності зверх своєї компетенції не допускається.
1.3 Характеристика напрямів інвестування
на підприємстві
Існує два види інвестування – пряме і портфельне, об’єктом вкладання коштів яких є проект.
Різноманітність визначень поняття проект пояснюється передусім різними методологічними підходами, і тому проект – це:
- будь-яке велике починання, що планується або замислюється;
- певне підприємство із початково встановленими цілями, досягнення яких означає завершення проекту;
- окреме підприємство з конкретними цілями, які часто включають вимоги до часу, вартості та якості результатів, що досягаються;
- певне завдання з визначеними вихідними даними й встановленими результатами (цілями), що обумовлюють спосіб його вирішення.
Чітка орієнтація на результативність заходів, необхідність їх досягнення у визначений проміжок часу в умовах обмеженості ресурсного забезпечення – це найважливіші складові тлумачення проекту, а прив’язка його до засобів і суб’єктів фінансування, а також чітке визначення фінансових результатів, породжує якісно нове поняття – інвестиційний проект.[2,ст. 45]
На основі аналізу наведених визначень та ознак бізнес-проекту можна сформулювати визначення поняття інвестиційного бізнес-проекту. Інвестиційний проект - це обмежена за часом цілеспрямована зміна системи зі встановленими вимогами до якості результатів, можливими межами витрат коштів та ресурсів і специфічною організацією з його розробки та реалізиції.
Цілями проекту можуть бути економічні і соціальні результати, наприклад, збільшення виробничих потужностей підприємства, створення чи реконструкція інфраструктури, вирішення екологічних і соціальних проблем тощо.
Необхідно розуміти відмінності між поняттями "план", "програма", "проект".
План –це фіксація системи цілей, задач і засобів, які передбачають спрямовану зміну ситуації при передбаченому стані середовища.
Програма –це запланований комплекс економіко-соціальних, науково-дослідних заходів, спрямованих на досягнення генеральних цілей або реалізацію певного напряму розвитку.
Під інвестиційним проектом розуміють пакет інвестицій і пов’язаних з ними видів діяльності. Відмінними рисами проекту є:
1) Виникнення, існування та закінчення проекту у певному оточенні.
2) Зміна структури проекту протягом його життєвого циклу.
3) Наявність певних зв’язків між елементами проекту як системи.
4) Можливість відміни вхідних ресурсів проекту.
Виходячи з визначення проекту, виділяють такі головні ознаки проекту (рис.1.1):
1.
Системне функціонування проекту.
2.
Обмеженість у часі.
3. Обмеженість ресурсів.
4. Кількісне вимірювання.
5. Неповторність.
6.
Наявність певних зовнішніх умов.
Рисунок 1.1 - Основні ознаки інвестиційного проекту
Системне функціонування проекту означає, що елементи проекту взаємопов’язані. Однак склад проекту не завжди залишається незмінним: реалізація проекту завжди пов’язана зі змінами у системі і є цілеспрямованим її перетворенням з існуючого стану на бажаний, який визначається метою проекту.
Обмеженість у часі означає, що будь-який прект має термін початку і термін завершення.
Обмеженість ресурсів означає, що будь-який проект має свій обсяг матеріальних, людських та фінансових ресурсів, які використовуються за встановленим і лімітованим бюджетом.
Кількісне вимірювання –це визначення конкретних кількісних витрат і прибутків від проекту, оскільки аналітик дає оцінку проекту, спираючись на цифри.[21,ст.45 ]
Неповторність означає, що проект повинен відрізнятися від іншого (або від програми чи плану) рівнем інновацій, комплексності та структурованості.
Наявність певних зовнішніх умов. Проект існує в певному зовнішньому середовищі, елементи якого впливають на проект. Тому треба аналізувати проект з урахуванням умов середовища, в якому він здійснюється. Життєздатність проекту значною мірою залежить від точного опису оточення проекту з позиції його взаємодії з середовищем. Оточення проекту –це чинники впливу на його підготовку і реалізацію.
Зовнішні чинники поділяються на політичні, економічні, суспільні, правові, науково-технічні, культурні та природні.
До внутрішніх чинників належать чинники, пов’язані з організацією проекту. Організація проекту є розподілом прав, відповідальності та обов’язків між учасниками проекту.
Серед головних учасників проекту виділяють ініціаторів, замовників, інвесторів, керуючих та контракторів проекту.
Ініціатор проекту – сторона, яка є автором ідеї проекту, його попереднього обґрунтування та пропозицій щодо здійснення проекту. Ним може бути будь-який учасник проекту, але ділова ініціатива щодо здійснення проекту може виходити від замовника проекту.
Замовник проекту –головна сторона, яка зацікавлена у здійсненні проекту та досягненні його мети і буде користуватися його результатами. Замовник висуває основні вимоги до проекту, його масштабу, здійснює фінансування за власні кошти інвесторів, укладає угоди щодо забезпечення його реалізації, керує процесом взаємодії між всіма учасниками проекту.
Інвестор(и) –сторона(и), що вкладає інвестиції в проект і зацікавлена у максимізації вигод від своїх вкладень. Якщо інвестор і замовник не одна і та сама особа, то інвесторами частіше всього виступають банки, інвестиційні компанії та інші організації. Інвестори вступають у ділові відносини із замовником, контролюють виконання контрактів і здійснюють розрахунки з іншими сторонами під час виконання проекту. [8,ст.93 ]
Керуючий проектом –юридична або фізична особа, якій замовник та інвестор делегують повноваження щодо управління проектом: планування, контроль та координація дій учасників проекту. Склад функцій і повноважень керуючого проектом визначається контрактом із замовником. Керуючий для виконання своїх функцій утворює команду проекту у складі виконавців, які реалізують ці функції.
Контрактор проекту(генеральний контрактор) –сторона чи учасник проекту, що за угодою із замовником бере на себе відповідальність за виконання певних робіт, пов’язаних з проектом. До функцій генерального контрактора алежать укладання контракту із замовником або інвестором, добір та укладання угод із субконтракторами, забезпечення координації їх робіт та прийняття виконаного обсягу, оплата праці співвиконавців. Контрактором може виступати керівник проекту чи інші активні учасники проекту.
До учасників проекту відносять також субконтракторів, постачальників, органи влади, споживачів продукції проекту тощо.
Результатом будь-якого інвестиційного проекту є одержання прибутку(доходу) чи зростання вкладеного капіталу. Інакше кажучи, усі учасники проекту повинні бути зацікавлені в його організації та ефективному завершенні. Саме таким чином реалізуються індивідуальні інтереси учасників інвестиційної діяльності:
- інвестори повертають вкладені капітали та одержують передбачені дивіденди;
- замовники одержують реалізований інвестиційний проект та доходи від його використання;
- керівник проекту та його команда одержують плату за контрактом, додаткову винагороду за результатами роботи та формування прибутку, а також підвищення професійного рейтингу;
- органи влади одержують податки з усіх учасників, а отже, задоволення громадських, соціальних та екологічних потреб і вимог у довіреній їм сфері;
- споживачі мають необхідні їм товари, продукти, послуги, плата за які відшкодовує витрати на здійснення інвестиційної діяльності та формує прибуток;
- інші зацікавлені сторони отримують задоволення своїх інтересів.
Для досягнення найбільшого ефекту від здійснення інвестування необхідно зважити на такі внутрішні та зовнішні фактори, які притаманні нашій економіці:
- нестабільність;
- дефіцит та обмеженість коштів і ресурсів;
- поява та посилення конкуренції;
- соціальні проблеми та вимоги;
- екологічні зміни та вимоги;
- проблеми споживчого ринку;
- зростаючі вимоги до якості робіт.
Якщо ж ці зміни не аналізуються та не враховуються при управлінні інвестиційною діяльністю, це може призвести до негативних результатів, а саме:
- зниження доходів і прибутків учасників;
- перевищення встановлених за контрактом вартостей, тривалості та строків завершення інвестиційного проекту;
- підвищення встановлених лімітів та спожиті трудові та матеріально-технічні ресурси;
- збільшення штрафів за порушення зобов’язань;
- запізнення з введенням нових технологій, відставання з впровадженням і практичним використанням результатів наукових досягнень і дослідно-конструкторських розробок;
- відставання появи нової продукції на споживчому ринку;
- непродуманості прийнятих рішень;
- низької ефективності інвестицій та збільшення строків окупності проектів
Оскільки існують фінансові і реальні інвестиції, то, відповідно, і проекти можуть розрізнятися залежно від засобів(коштів) інвестування.
Фінансові проекти передбачають одержання прибутків від вкладень капіталу в інвестиційні(фондові) інструменти – акції, облігації, паї, внески тощо.
З боку інвестора як власника активів проекти можуть бути споживчі, паперові та підприємницькі (за об’єктами інвестицій).
Споживчі – це плани вкладення заощаджень(нагромаджень) у предмети особистого або сімейного довгострокового використання – житло, засоби транспорту та ін. Ці вкладення безпосередньо не пов’язані з одержанням прибутку, проте в окремих випадках вони можуть використовуватись для цих цілей або брати участь в інвестиційному проекті як гарантія, застава або як засіб захисту від інфляції в періоди спаду інвестиційної активності.
Паперові проекти – це плани придбання активів у вигляді цінних паперів, як майнових, так і боргових(кредитних), які будуть не тільки приносити інвестору прибуток(дохід), але й гарантувати йому певний рівень безпеки вкладених коштів. [15,ст.37 ]
Підприємницькі проекти –це плани вкладення капіталу в будь-який вид підприємницької(виробничої або комерційної) діяльності.
За напрямами інвестування розрізняють, у першу чергу: інвестиції прямі, тобто безпосередньо спрямовані на створення виробничих потужностей, і портфельні, тобто зумовлені сукупністю паперових представників(документів), що віддзеркалюють, як правило, права власності на активи, або прибуток, який вони приносять.
Інноваційні проекти – це вкладення капіталів у наукомісткі, високотехнологічні виробництва, які одночасно є високоризиковими і потребують захисту з боку держави. За допомогою ризикового капіталу можуть створюватися мегаполіси, вільні економічні зони, де на пільгових умовах капітали спрямовуються в новітні високі технології, тобто інновації.
За мотивацією, тобто з точки зору прибутковості проектів, їх можна ранжувати від таких, де інвестиції не дадуть прибутків(вимушені проекти), до таких, де очікують надприбутки.
За рівнем ризику проекти також можуть бути ранжовані від поза ризикових (придбання державних цінних паперів) до авантюрних.
Нарешті, проекти можна класифікувати за рівнем технологічної готовності і формами відтворення. Так, зародкові та попередні проекти належать до передінвестиційних досліджень і не потребують глибоких обґрунтувань, інші потребують всебічних техніко-економічних обґрунтувань.
2.Аналіз управління інвестиційною діяльністю підприємства
2.1Аналіз управління фінансовими інвестиція підприємства
Фінансові інвестиції передбачають одержання прибутків від вкладення капіталу в інвестиційні цінні папери — облігації, акції, паї, внески тощо. У процесі формування портфеля фінансових інвестицій підприємству необхідно насамперед проаналізувати співвідношення таких основних характеристик, як дохідність та рівень ризику.
Дохідність цінних паперів залежить від двох чинників:
• очікуваної норми дохідності;
• норм та правил оподаткування доходів від операцій з цінними паперами.
Ризик вкладення капіталу в цінні папери не однорідний за своїм змістом, тому його треба визначати як сукупність основних ризиків, на які наражається інвестор у процесі придбання та зберігання цінних паперів, а саме: ризик ліквідності цінних паперів; ризик їх дострокового відкликання; інфляційний ризик; відсотковий, кредитний та діловий ризик; ризик, пов'язаний із тривалістю періоду обігу цінного паперу.
Рішення щодо купівлі чи продажу певних фінансових інструментів необхідно приймати після ретельного аналізу та обчислення як рівня їх дохідності, так і рівня ризиковості. Ми спочатку розглянемо методику аналізу дохідності фінансових інвестицій, а вже потім — основні підходи до аналізу ризиків.[19,ст.103 ]
Фінансові інвестиції характеризуються такими показниками, як ринкова ціна (Р), внутрішня (теоретична або розрахункова) вартість (F), рівень дохідності (норма прибутку). Значення ринкової ціни та внутрішньої вартості часто не збігаються, оскільки кожен інвестор має власні міркування щодо внутрішньої вартості цінного паперу, покладаючись на свої суб'єктивні очікування та на результати проведеного ним аналізу.
Ринкова ціна — це задекларований показник, що об'єктивно існує на ринку. Ціна цінного паперу відображається у відповідних котируваннях і називається курсовою ціною. У будь-який момент часу на ринку існує тільки одна ціна для певного фінансового інструменту.
Внутрішня вартість фінансової інвестиції — це розрахунковий показник, а тому він залежить від тієї аналітичної моделі, на базі якої проводяться обчислення. Унаслідок цього в будь-який момент часу цінний папір може мати кілька значень внутрішньої вартості, причому теоретично їх кількість дорівнює кількості учасників ринку, які користуються різними моделями. Отже, оцінка внутрішньої вартості є до певної міри суб'єктивною.
У процесі аналізу співвідношення ринкової ціни та внутрішньої вартості визначається доцільність тих чи інших управлінських рішень щодо конкретного цінного паперу. Якщо внутрішня вартість цінного паперу, що її розраховано потенційним інвестором, є вищою за поточну ринкову ціну, то такий папір вигідно в цей момент придбати, оскільки його недооцінили на ринку. Якщо на думку конкретного учасника ринкова ціна цінного паперу перевищує його внутрішню вартість, то немає сенсу купувати такий папір, оскільки його ціну завищено. Водночас таке співвідношення ціни та вартості вказує на те, що його вигідно продати, коли він уже є в портфелі інвестора. Якщо ринкова ціна та внутрішня вартість цінного паперу збігаються, то це означає, що операції спекулятивного характеру (з метою одержання доходу від різниці між ціною продажу та купівлі) навряд чи можливі.
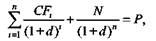
У сучасній економічній літературі існують різні підходи до визначення внутрішньої вартості фінансових інструментів, але на практиці найпоширенішою є фундаменталістська теорія, згідно з якою внутрішня вартість цінних паперів розраховується за формулою, запропонованою Дж. Вільямсом ще 1938 року:

де V(f) — внутрішня вартість цінних паперів у момент t;
CFt, — очікуваний потік відсоткових виплат за цінним папером в n-й період
(ζ = 1, ...,n);d— прийнятна або очікувана дохідність цінного паперу (норма прибутку).
Як випливає з формули, яку надалі називатимемо базовою моделлю, внутрішня вартість цінного паперу залежить від трьох чинників:
• з очікуваних грошових надходжень;
• тривалості періоду обігу цінного паперу (або періоду прогнозування для безстрокових інструментів);
• норми прибутку.
Наведену модель можна використати для розв'язання різних задач, що постають під час прийняття інвестиційних рішень. Спираючись на модель, інвестор може розрахувати внутрішню вартість інвестиції за різних значень вихідних параметрів (грошових потоків та норми прибутку) у процесі імітаційного моделювання. Знаючи поточну ринкову ціну та узявши її за таку, що дорівнює внутрішній вартості, можна обчислити норму прибутку цього цінного паперу та порівняти одержане значення з альтернативними варіантами інвестування коштів. Методику аналізу дохідності фінансових інвестицій розглянемо на прикладі двох найпоширеніших видів цінних паперів: облігацій та акцій.[7,ст.256 ]
Облігації належать до класу боргових цінних паперів, які є зобов'язаннями емітента, розміщеними на фондовому ринку з метою запозичення грошей на певних умовах. Облігації різняться за умовами емісії, характером і термінами обігу, способами забезпечення та виплати доходу.
Залежно від цих характеристик виділяють облігації з нульовим купоном, облігації з фіксованою або змінною купонною ставкою, безвідкличні та відкличні облігації. Відповідно до виду облігації модифікується й аналітична модель, за якою проводиться розрахунок внутрішньої вартості та норми прибутку.
Умовами емісії виплату відсотків за такими цінними паперами не передбачено. Дохід інвестора формується як різниця між номінальною вартістю та емісійним курсом облігації, встановленим на дисконтній основі (тобто нижче за номінал). Отже, облігації з нульовим купоном належать до дисконтних цінних паперів. Така облігація генерує грошовий потік лише один раз, дохід інвестор одержує в момент погашення, тому формула (11.4) набирає вигляду

де N— номінальнасумаоблігації, якавиплачуєтьсязаїїпогашення; η — тривалістьперіодудопогашенняоблігації (роки).
Приклад
1
Проаналізуємодоцільністьпридбанняоблігаціїзнульовимкупономномінальноюсумою1000 грн, яка продається за ціною 750 грн і яку буде погашено через 2 роки. Зважимо, що підприємство має можливість альтернативного розміщення коштів із нормою прибутку 14 %. Аналіз проведемо двома способами.
1. Розрахуємо теоретичну вартість облігації, спираючись на норму прибутку альтернативного варіанта розміщення коштів, та порівняємо її з поточною ринковою ціною.
2. Обчислимо дохідність облігації за формулою, похідною від

Порівняємо цю формулу з нормою прибутку альтернативного проекту, що дасть можливість вибрати прибутковіший напрям інвестування коштів. За першим способом
V(f) = 1000 : (1 + 0,14)2= 769,5 грн.
Як показав розрахунок, теоретична вартість облігації (769,5 грн) вища за її поточну ціну (750 грн), що дає підстави розглядати її як вигідний об'єкт інвестування.
За другим способом:

Оскільки одержане значення дохідності облігації вище, ніж в альтернативному варіанті на 1,4 %, то придбання такого цінного паперу також слід визнати доцільним.
Облігації з фіксованою купонною ставкою. Облігації, умовами емісії яких передбачено виплату відсотків у розрахунку на номінальну суму інвестиції, називаються купонними. Виплати тут здійснюються за купонами — відрізними талонами з указаною на них величиною купонної ставки. Розрізняють облігації з фіксованою купонною ставкою та з плаваючою, тобто такою, яка може змінюватися упродовж періоду обігу. Купонні облігації можуть продаватися як за номінальною вартістю, так і з дисконтом або премією — залежно від кон'юнктури ринку та їх привабливості для інвесторів. Тому за облігаціями з фіксованою купонною ставкою очікуваний дохід інвестора складається з двох частин:
• рівномірних за періодами надходжень відсоткових виплат, обіцяних емітентом;
• імовірних капітальних прирощень (збитків) унаслідок зміни ринкової ціни облігації.
Базова модель у такому разі має вигляд:

де А: — купонна ставка облігації.
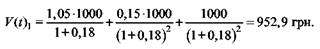
Приклад 2
Проаналізуємо доцільність придбання підприємством дворічної облігації номіналом 1000 грн зі щорічною виплатою купонної ставки 15 %. Облігацію можна придбати за ціною 950 грн; середньорин-кова норма дохідності становить 17 %.
Як і в попередньому прикладі, аналіз можна провести двома способами. Перший спосіб полягає в розрахунку теоретичної вартості на основі середньоринкової дохідності та її порівнянні з ринковою ціною. Другий спосіб — це розрахунок очікуваної норми дохідності облігації (d), як невідомої величини рівняння , за умови, що внутрішня вартість дорівнює ринковій ціні. Порівняння одержаної норми дохідності із середньоринковою уможливить прийняття обґрунтованого рішення щодо придбання цього виду цінних паперів. Скористаємося цим способом і розрахуємо очікувану норму дохідності облігації.[18,ст.59 ]
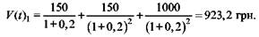
Отже, формула — це рівняння з одним невідомим d— дохідністю облігації. Для визначення невідомої величини знову вдамося до способу послідовних ітерацій, описаного. Нехай дохідність цінного паперу до моменту погашення дорівнює 4=18 %, тоді:

Ця сума (953 грн) вища за поточну ціну облігації, тому реальна норма дохідності має бути вищою за 18 %. Виконаємо обчислення за умови, що d2 = 20 %:

Сума 923,2 грн нижча за поточну ціну облігації 950 грн, тому значення невідомої величини й? міститься в межах від 18 до 20 % і становить 18,2%:

Отже, дворічна облігація з купоном 15 %, придбана з дисконтом 50 грн, має очікуваний рівень дохідності до моменту погашення 18,2%. Оскільки отримане значення перевищує середньо-ринкову норму дохідності (17 %), то придбання такої облігації можна визнати доцільним.
Якщо умовами емісії облігації рівень купонної ставки не зафіксовано і вона змінюється залежно від рівня інфляції чи ставки відсотка за кредитами, то такі цінні папери називаються облігаціями з плаваючою купонною ставкою. Внутрішня вартість таких облігацій обчислюється за формулою:

де CFt — грошовіпотоки, щоїхгенеруєоблігаціявг'-муперіоді.
Процедура аналізу облігацій з плаваючою купонною ставкою не відрізняється від описаних вище, за винятком того, що грошовий потік у кожному із періодів може змінюватися.
Облігації, умови випуску яких передбачають право емітента погасити їх до закінчення періоду обігу, називаються відкличними. У процесі аналізу дохідності відкличних облігацій до уваги береться не номінал облігації, а її викупна ціна (ціна дострокового відкликання), тобто ціна, за якою емітент викупає облігацію до настання строку погашення. Як правило, за дострокового відкликання викупна ціна облігацій не збігається з їх номіналом. Іноді щодо відкличних облігацій встановлюється ще й термін захисту від дострокового погашення, тривалість якого теж впливає на рівень дохідності такої облігації.[9,ст. 134]
Така сама ситуація виникає також і за умови продажу цінного паперу до настання строку погашення. Підприємство може вдатися до дострокового продажу цінних паперів з різних причин, наприклад у разі активного підходу до управління портфелем цінних паперів. Іноді цінні папери продають достроково для підтримування ліквідності, а іноді через необхідність реструктуризації активів.
За умови дострокового відкликання (або продажу) дохідність цінного паперу за період зберігання обчислюється за формулою

деη — кількістьперіодів, упродовжякихоблігаціябулавобігу; Ρ — викупнацінаабопоточнаринковаціна, заякоюоблігаціюможнапродати; d—дохідністьцінногопаперудомоментувідкликанняабозаперіодзберігання (невідомавеличина). Отже, формула (11.8) єрівняннямзоднимневідомима, аджевсііншівеличини, утомучислійвикупнацінаР, євідомими. Аналіз дохідності таких облігацій проводять так само, як і в попередніх прикладах.
Крім зазначених, на ринку можуть обертатися безстрокові облігації, які передбачають невизначено тривалий час виплати доходів за фіксованою чи плаваючою ставкою. У такому разі методи обчислення внутрішньої вартості облігації не відрізняються від аналогічних розрахунків щодо акцій.
2.2 Аналіз управління реальними інвестиціями на підприємстві
Реальні інвестиції (капіталовкладення) можуть здійснюватись в декількох основних формах:

Рисунок 2.1 - Форми реальних інвестицій
До нового будівництва відноситься зведення підприємств, споруд на нових будівничих майданчиках згідно із затвердженими проектами.
Під реконструкцією діючого підприємства розуміється здійснюване за єдиним проектом повне або часткове переобладнання виробництва без будівництва нових та розширення діючих цехів основного виробничого призначення. Реконструкція може супроводжуватися будівництвом нових і розширенням діючих об’єктів допоміжного та обслуговуючого призначення, заміною морально застарілого та фізично зношеного обладнання, механізацією та автоматизацією виробництва, усуненням диспропорцій в технологічних ланках і допоміжних службах.[12,ст. 54]
Технічнепереозброєннядіючогопідприємствавключаєвиконанняувідповідностідопланутехнічногорозвиткупідприємствакомплексузаходівпопідвищеннютехнічногорівняокремихділяноквиробництва, агрегатів, установокшляхомвпровадженняновоїтехнікитатехнології, механізаціїтаавтоматизаціївиробництва, модернізаціїізамінизастарілогоіфізичнозношеногообладнанняновим, більшпродуктивним, атакожіншіорганізаційнітатехнічнізаходи, щопокращуютьпоказникироботипідприємства.
Вибірконкретноїформиреальногоінвестуваннязалежитьвідбагатьохфакторів: завданьгалузевої, товарноїтарегіональноїдиверсифікаціїдіяльностіпідприємства; можливостейвпровадженняновихтехнологій; наявностівласнихінвестиційнихресурсіві/абоможливостівикористанняпозиковихабозалученихресурсів.
Процес реального інвестування включає в себе ряд етапів і стадій (рис.2.2.).

Рисунок 2.2. - Етапиреальногоінвестування
Процесздійсненняреальногоінвестуванняпочинаєтьсязпошукуівиборуінвестиційноїідеїзврахуваннямцілейрозвиткупідприємства. Рішення про здійснення реальних інвестицій може прийматися на підставі наступних цільових установок підприємства:
- стримання або стимулювання частини ринку товару, що виробляється, або послуг, що надаються;
- необхідність випуску нового товару або послуги;
- формування або підтримка іміджу підприємства;
- досягнення максимального використання ресурсів підприємства.
Також при визначенні інвестиційної ідеї підприємство враховує досвід проведення реальних інвестицій, галузеві особливості своєї діяльності, кваліфікацію персоналу, наявність фінансових ресурсів для інвестування тощо.
На підставі наведених можливостей підприємство може сформулювати ідею тільки укрупненого інвестиційного проекту, тобто обрати напрямок здійснення реального інвестування. В тому випадку, якщо обрана ідея відповідає концепції розвитку, вона опрацьовується більш ретельно, що передбачає збір та аналіз додаткової інформації і розробку конкретного інвестиційного проекту.[11,ст.136 ]
В подальшому, залежно від конкретного виду реального інвестування, підприємство деталізує вимоги до капіталовкладення в інвестиційному проекті. Він має особливо важливе значення при залученні зовнішнього фінансування. Інвестиційний проект дозволяє, в першу чергу, підприємству, а потім й іншим інвесторам всебічно оцінити очікувану ефективність і доцільність здійснення конкретних реальних інвестицій.

Рисунок 2.3 - Складовіінвестиційногопроекту
Головнимкритеріємоцінкиінвестиційєокупність, тобтошвидкістьповерненняінвесторувкладенихкоштівуформігрошовихпотоків, якігенеруютьсявтіленнямужиттяфінансованихпроектів. Цеможутьбутиприбуткивідреалізаціїпродукції, якщоінвестиційнийпроектпов’язанийзвиробництвомпродукції (товарів, робіт, послуг), дивідендиіпроцентинавкладенийкапіталвакціїіншихпідприємств, прибутоквідвкладеннякоштівуторгівлю, іншіпосередницькіорганізації, процентинадепозитивкомерційнихбанкахтощо.
Головнимпитаннямприздійсненніоцінкиспіввідношеннявеличиниінвестованихфінансовихресурсівзодержанимизаїхрахунокгрошовимипотоками (саменацьомуґрунтуютьсярозрахункиокупностіінвестицій) єпроблемазіставностісумиінвестиційзодержанимидоходамизурахуваннямусіхфакторівзміницінностейгрошейучасі, втомучислітакогофактора, яксередньоринкові (абоіншіприйнятнідляінвестора) нормидоходності (рентабельності) вкладеногокапіталу.
Для вирішення цієї проблеми у фінансовому менеджменті оперують такими поняттями, як вартість початкових грошових вкладень і склад інвестиційних витрат на проекти.[10,ст.56 ]
Вартість початкових грошових вкладень у проект, без яких він не може здійснюватися, тобто так званих капітальних вкладень, представляє собою суму інвестицій. Такі вкладення мають довгостроковий характер, причому, якщо за їх рахунок створені нові основні засоби і нематеріальні активи, вартість цих активів протягом тривалого часу (більше року) поступово зменшується, переноситься на продукцію, що виробляється. Протягом “життєвого циклу” проекту капітал, вкладений у такі активи, повертається інвесторові у вигляді амортизаційних відрахувань як частина грошового потоку, а капітал, вкладений у оборотні активи (в тому числі, грошові), по закінченні “життєвого циклу” проекту має залишатися у інвестора у незмінному вигляді і розмірі. Сума інвестицій у фінансові активи представляє собою номінальну суму витрат на створення цих активів.
Склад інвестиційних витрат на проекти, пов’язані з виробництвом товарів і послуг, посередництвом, торгівлею, включає витрати на будівництво будівель і споруд, у тому числі і на їх проектування, на придбання устаткування, його монтаж і налагодження, на реконструкцію виробництва, на удосконалення технологічних процесів. Для визначення суми інвестицій у такі проекти обов’язково треба врахувати також суму авансування в оборотні активи для створення мінімальних запасів сировини, матеріалів, незавершеного виробництва, готової продукції, грошових коштів для здійснення розрахунків та інших оборотних активів, без яких здійснення проекту є неможливим.
При визначенні суми початкових витрат на інвестиції треба враховувати (у бік зменшення) так звану ліквідаційну вартість основних засобів, якщо капітальний проект пов’язаний з впровадженням нових об’єктів (наприклад, устаткування) замість застарілих. У разі реалізації об’єктів основних засобів, які підлягають заміні, сума початкових витрат на проект зменшується на продажну вартість об’єкта (остання ж приймається за мінусом податку на прибуток, сплаченого від операцій з продажу).
Правильне визначення обсягу початкових витрат на проект, тобто суми інвестицій, – запорука якості розрахунків окупності інвестицій, бо саме вони і є об’єктом оцінки окупності.[8,ст. 254]
Методи, які використовуються при аналізі управління інвестиційною діяльністю підприємств, можна поділити на дві групи в залежності від того, враховується чи не враховується параметр часу:
а) засновані на дисконтованих оцінках;
б) засновані на облікових оцінках.
Перша група методів
Метод розрахунку чистої теперішньої вартості (Net Present Value – NPV). В основу даного методу покладено завдання основної цільової установки, яка визначається власниками компанії, – підвищення цінності фірми, кількісною оцінкою якої є її ринкова вартість. Метод заснований на зіставленні величини інвестиції (IC) із загальною сумою дисконтованих чистих грошових надходжень, які генеруються протягом планового терміну. Оскільки приплив грошових коштів розподілений в часі, він дисконтується за допомогою коефіцієнту r. Цей коефіцієнт інвестор встановлює самостійно, виходячи з щорічного проценту повернення, який він бажає (або може) отримати на інвестований ним капітал.
Якщо існує прогноз, що інвестиція (ІС) буде генерувати протягом n років річні доходи в розмірі P1, P2 , …Pn., то відповідно загальна накопичена величина дисконтованих доходів (Present Value – PV) та чиста теперішня вартість розраховуються за формулами:


Якщо:
NPV > 0, то проект можна прийняти;
NPV < 0, то проект потрібно відхилити;
NPV = 0, то проект не прибутковий і не збитковий.
Метод розрахунку коефіцієнту рентабельності інвестиції (Рrofitability Index – Pl). Коефіцієнт рентабельності (РІ) розраховується за формулою:

Якщо:
РІ > 1, то проект потрібно прийняти;
РІ < 1, то проект потрібно відхилити;
РІ = 1, то проект не прибутковий і не збитковий.
На відміну від чистої теперішньої вартості індекс рентабельності – це відносний показник, який характеризує рівень доходів на одиницю витрат, тобто показує ефективність вкладень: чим більше значення цього показника, тим вища віддача кожної гривні, інвестованої в даний проект. Завдяки цьому, критерій РІ дуже зручний при виборі одного проекту із ряду альтернативних, які мають приблизно однакові значення чистої теперішньої вартості (у випадку, якщо два проекти мають однакові значення NPV, але різні обсяги необхідних інвестицій, то очевидно, що вигідніший той з них, який забезпечує більшу ефективність вкладень), або при комплектуванні портфелю інвестицій з метою максимізації сумарного значення NPV.[6,ст. 64]
Метод розрахунку внутрішньої ставки доходу (Internal Rate of IRR). Під внутрішньою ставкою доходу інвестиції (синоніми: внутрішня норма прибутку, внутрішня окупність) розуміють значення коефіцієнту дисконтування r, при якому чиста теперішня вартість (NPV) проекту дорівнює нулю:
IRR = r, при якому NPV = f (r) = 0.
Іншими словами, якщо позначити IC = Р0
, то IRR знаходять з рівняння:

Змістрозрахункувнутрішньоїставкидоходуприаналізіефективностіінвестицій, щоплануються, якправило, полягаєвнаступному: IRR показуєочікуванудоходністьпроектуівідповідний, максимальнодопустимий, відноснийрівеньвитрат, якіможутьбутипов’язанізданимпроектом. Наприклад, якщо проект повністю фінансується за рахунок позики комерційного банку, то значення внутрішньої ставки доходу (IRR) показує верхню межу рівня банківської процентної ставки, перевищення якої робить проект збитковим.
Економічний зміст критерію внутрішньої ставки доходу (IRR) полягає в наступному: підприємство може приймати будь-які інвестиційні рішення, рівень рентабельності яких не нижчий поточного значення показника ціни капіталу (Cost of Capital – CC), під яким розуміється або WACC, якщо джерело коштів точно не ідентифіковане, або ціна цільового джерела, якщо таке є. Саме з показником ціни капіталу (СС) порівнюють внутрішню ставку доходу (IRR), розраховану для контролю проекту, при цьому зв’язок між ними такий:
якщо
ІRR > СС, то проект потрібно прийняти;
ІRR < СС, то проект потрібно відхилити;
ІRR = СС, то проект не прибутковий і не збитковий.
Незалежно від того, з чим порівнюють внутрішню ставку доходу (IRR), зрозуміло, що проект приймають, якщо його IRR більша деякої граничної величини. Тому при стійких рівних умовах більше значення IRR, як правило, вважається переважаючим критерієм аналізу. Розрахунок IRR здійснюють або на спеціалізованому фінансовому калькуляторі, або методом послідовного підбору. В останньому випадку можливі два варіанти розрахунку, що залежать від виду грошового потоку.[5,ст.53 ]
Метод визначення терміну окупності і дисконтованого терміну окупності інвестицій (Discounted Payback Period – DPP). Цей метод є одним з найпростіших і широко розповсюджених в світовій обліково-аналітичній практиці, не передбачає упорядкованості грошових надходжень в часі. Алгоритм розрахунку терміну окупності інвестицій (РР) залежить від рівноваги розподілу прогнозованих доходів від інвестиції. Якщо дохід розподілений по роках рівномірно, то термін окупності розраховують шляхом ділення одночасних затрат на величину річного доходу, обумовленого ними. При отриманні дробового числа його округлюють в сторону збільшення до найближчого цілого. Якщо прибуток розподілений нерівномірно, то термін окупності знаходять прямим підрахунком кількості років, протягом яких інвестиція буде погашена кумулятивним доходом. Загальна формула розрахунку показника терміну окупності інвестицій (РР) має вигляд:
РР = min n,при якому

Нерідкопоказниктермінуокупностіінвестицій (РР) розраховуютьточніше, тобторозглядаютьідрібнішучастинуроку; прицьомупередбачають, щогрошовіпотокирозподіленірівномірнопротягомкожногороку.
Деякіспеціалістипідчасрозрахунківпоказникатермінуокупностіінвестицій (РР) рекомендуютьвраховуватичасовийаспект. В цьому випадку до розрахунку включають грошові потоки, дисконтовані за показником середньозваженої ціни капіталу (WACC), а відповідна формула для розрахунку дисконтованого терміну окупності (DPP) має вигляд:
DPP = min n,при якому

Для зручності розрахунків можна користуватися дисконтуючим множником FM2 (r %, n). Очевидно, що у випадку дисконтування термін окупності збільшується, тобто завжди DPP < PP. Іншими словами, проект, припустимий за критерієм терміну окупності інвестицій (РР), може виявитися недопустимим за критерієм дисконтованого терміну окупності (DPP).
В оцінці інвестиційних проектів критерії РР і DPP можна використовувати двояко:
а) проект приймається, якщо окупність має місце;
б) проект приймається тільки в тому випадку, коли термін окупності не перевищує деякої межі, встановленої фірмою.
В нашій країні критерій терміну окупності інвестицій (РР) протягом багатьох років був одним з основних критеріїв оцінки. Не зважаючи на суттєві недоліки, він популярний серед практичних працівників і в економічно розвинутих країнах Заходу. В.В. Ковальов зазначає, що близько 70 % найбільших британських компаній використовують цей критерій, а серед компаній, які орієнтуються на декілька критеріїв, 90 % розраховують і значення РР. [2,ст.54 ]
Існує ряд ситуацій, в яких використання методу, заснованого на розрахунку терміну окупності затрат, є доцільним. Це, наприклад, ситуація, коли керівництво компанії в більшій мірі заклопотане вирішенням проблеми ліквідності, а не прибутковості проекту, – головне, щоб інвестиції окупилися і якнайшвидше. Метод також прийнятний в ситуації, коли інвестиції пов’язані з високим ступенем ризику: відомо, що чим коротший термін окупності, тим менш ризикований проект. Така ситуація характерна для галузей або видів діяльності, де велика ймовірність достатньо швидких технологічних змін. Таким чином, на відміну від критеріїв NPV, IRR і РІ критерій РР дозволяє отримати оцінки ліквідності і ризику проекту, хоча і дещо неточні. Поняття ліквідності проекту тут умовне – з двох проектів більш ліквідний той, у якого менший термін окупності. Порівняльна оцінка ризику проектів за допомогою критерію РР полягає в тому, що грошові надходження віддалених від початку реалізації проекту років важко прогнозуються, тобто є більш ризиковими в порівнянні з надходженнями перших років, тому з двох проектів менш ризикований той, у якого менший термін окупності.
Методрозрахункусередньоїставкидоходу (Accounting Rate of Return – ARR). Цей метод має дві характерні риси: по-перше, він не передбачає дисконтування показників доходу; по-друге, доход характеризується показником чистого прибутку PN (прибуток за мінусом відрахувань до бюджету). Коефіцієнт ефективності інвестиції, який називається також обліковою нормою прибутку (ARR), розраховується діленням середньорічного прибутку (PN) на середню величину інвестиції (коефіцієнт береться в процентах). Середню величину інвестиції знаходять діленням вихідної суми капітальних вкладень на 2, якщо передбачається, що після закінчення терміну реалізації проекту, який аналізується, всі капітальні затрати будуть списані. Якщо допускається наявність залишкової або ліквідаційної вартості (RV), то її оцінка повинна бути врахована в обчисленнях. Алгоритм обчислення показника ARR наведено нижче:
ARR = 
Методика визначення чистої теперішньої вартості має три основні переваги. Перша – всі розрахунки ведуться, виходячи з грошових потоків, а не з чистих доходів. Грошові потоки (чисті доходи + амортизація) враховують амортизаційні відрахування як джерело коштів. Це важливо тому, що амортизаційні відрахування не є витратами “готівки” того року, в якому нараховується знос.[9,ст. 445]
Друга – методика NPV враховує зміну вартості грошей з часом. Чим більше впливає час на вартість грошей, тим вищою є дисконтна ставка. Тобто, зміна вартості грошей з часом для проекту віддзеркалюється в дисконтній ставці, яку дуже ретельно має обирати фінансист. Загалом дисконтна ставка має тенденцію до зростання, якщо можливість додаткового залучення фінансування обмежена і очікується підвищення процентів за позикові кошти.
Третя – ухвалюючи проекти лише з позитивним значенням NPV, підприємство буде нарощувати свій капітал за рахунок цих проектів. Приріст капіталу фірми – це, фактично, підвищення ціни її акцій, і, відповідно, добробуту власників. З огляду на те, що завданням сучасних фінансів є постійне збільшення добробуту власників, методику NPV слід вважати основним засобом оцінки доцільності інвестицій.
2.3 Аналіз управління альтернативними інвестиційними проектами на підприємстві
Цілі створення підприємства власниками є не стільки обмежувальним фактором, скільки фактором розвитку. Обмеженість фінансових ресурсів – головна причина обрання одного інвестиційного проекту замість кількох. Лімітування фінансових коштів для інвестицій є фіксована межа річного обсягу капітальних вкладень, які може дозволити собі фірма виходячи із свого фінансового стану. За наявності фінансових обмежень на інвестиції підприємство повинно приймати рішення про інвестиційні проекти, у такій комбінації, що забезпечить найбільший ефект.
Наприклад, у підприємства є наступні пропозиції (табл. 2.1) для інвестування коштів, виставлені у спадному порядку за коефіцієнтом рентабельності (PI):
Таблиця 2.1 - Характеристики інвестиційних проектів
| Інвестиційні пропозиції |
3 |
7 |
4 |
2 |
6 |
1 |
| Індекс рентабельності |
1,22 |
1,2 |
1,9 |
1,13 |
1,08 |
1,04 |
| Первісні затрати, тис. грн. |
8000 |
2000 |
3500 |
2500 |
4000 |
2000 |
Зважаючи на свій фінансовий стан підприємство планує вкласти в інвестиції 20000 грн. Тоді підприємство вибере з запропонованих проектів ті, які обіцяють найбільшу рентабельність, а сума стартових капіталів дорівнює 20000 грн. (8000+2000+3500+2500+4000). В наведеному прикладі – це пропозиції 3, 7, 4, 2 і 6.
Підприємство не буде приймати пропозицію 1, хоча первісні затрати значно поступаються іншим проектам, а його індекс рентабельності хоча і перевищує одиницю, але поступається за розміром іншим проектам.
Аналізуючи ряд альтернативних інвестиційних проектів в залежності від обраного методу його економічної оцінки, можна отримати далеко неоднозначні результати, які, як правило, суперечать один одному. Разом з тим між розглянутими показниками ефективності інвестицій (NPV, PI, IRR) існує певний взаємозв’язок.
Так, якщо NPV>0, то одночасно IRR>CC і РІ>1;
при NPV=0, одночасно IRR>CC і РІ=1.
Для підтвердження висновків про те, яким критерієм краще скористатися в спірних ситуаціях, розглянемо приклад.
Як зазначалося, при оцінці інвестицій віддається перевага показнику NPV, що пояснюється наступними факторами:
-даний показник характеризує величину приросту капіталу підприємства у випадку реалізації пропонованого інвестиційного проекту;
-проектуючи використання декількох інвестиційних проектів, можна додавати показники NPV кожного з них, що дає в агрегованому вигляді величину приросту капіталу.
При аналізі альтернативних інвестиційних проектів використання показника внутрішньої норми доходності – IRR в силу ряду притаманних йому недоліків повинно носити обмежений характер.
Розглянемо деякі з них.
1. У зв’язку з тим, що IRR є відносним показником, то безпосередньо з його величини неможливо зробити висновок про розмір збільшення капіталу підприємства при розгляді альтернативних проектів.
Наприклад, візьмемо два альтернативних інвестиційних проекти, які наведені в таблиці 2.2
Таблиця 2.2 - Характеристики альтернативних інвестиційних проектів
| Проект |
Розмір інвестицій, грн. |
Грошовий поток за роками |
IRR, % |
NPV при доходності
15 %, грн.
|
| 1-й |
2-й |
3-й |
| 1 |
79500 |
45000 |
57000 |
65000 |
45 |
45512 |
| 2 |
194900 |
80000 |
110000 |
150000 |
30 |
56460 |
Якщо робити висновки по проектах тільки за показником IRR, то проект 1 кращий. Разом з тим приріст капіталу він забезпечує в меншому розмірі, ніж проект 2.
Якщо підприємство має можливість реалізувати проект Б без залучення позикових коштів, тоді він стає більш привабливим для фірми.
2. З визначення сутності показника IRR випливає, що він показує максимальний відносний рівень витрат, пов’язаних з реалізацією інвестиційних проектів. Отже, якщо даний показник однаковий для двох інвестиційного проекту і він перевищує ціну інвестицій (наприклад, банківського відсотку на позичковий капітал, призначений для реалізації проекту), то для вибору проекту потрібно використовувати інші критерії.
3. Показник IRR не придатний для аналізу проектів, в яких грошовий потік чергується притоком і відтоком капіталу. В цьому випадку висновки, зроблені на підставі показника IRR, можуть бути некоректні.
При порівнянні проектів різної тривалості доцільно використовувати наступний алгоритм.
1) Визначити загальне кратне для числа років реалізації кожного проекту. Наприклад проект А має тривалість 2 роки, а проект Б – 3 роки, отже загальне кратне для цих проектів складе 6 років. Тому можна зробити припущення, що протягом 6 років проект А може бути здійснений тричі (три цикли), а проект Б– два рази (два цикли)
Отже, проект А буде мати три потоки річних платежів: 1–2-й роки, 3–4-й роки і 5–6-й роки, а проект – два потоки: 1–3-й роки і 3–6-й роки.
2) Вважаючи, що кожний з проектів буде повторюватися декілька циклів, необхідно розрахувати сумарне значення показника NPV проектів, що повторюються.
3) Вибрати той проект, у якого сумарне значення NPV потоку, що буде повторюватися найбільше.
Сумарне значення NPV потоку, що повторюється розраховується за формулою:
NPV(j; n) = NPV(j)(1+ ,
де NPV(j) – чиста приведена вартість стартового проекту, що повторюється;
j – тривалість даного проекту;
n – кількість повторів (циклів) стартового проекту;
і – відсоткова ставка, що використовується при дисконтуванні (необхідний рівень доходності).
Інфляція спотворює результати аналізу ефективності довгострокових інвестицій. Основна причина полягає в тому, що амортизаційні відрахування розраховуються виходячи з первісної вартості об’єкту, а не його вартості при заміні.
В результаті при зростанні доходу одночасно із зростанням інфляції збільшується база оподаткування, тому що стримуючий фактор – амортизаційні відрахування залишаються незмінними, в наслідок чого реальні грошові потоки відстають від інфляції. [4,ст.53 ]
Реальні грошові потоки після оподаткування поступаються номінальним потокам, і вони стабільно зменшуються з часом. Це пояснюється тим, що амортизаційні відрахування не змінюються в залежності від інфляції, тому все зростаюча частина прибутку стає об’єктом оподаткування.
В той же час розглянутий приклад носить досить умовний характер, так як індекси інфляції на продукцію підприємства і сировину, що ним використовується, можуть суттєво відрізнятися від загального рівня інфляції. Найбільш коректною є методика, яка передбачає коригування всіх факторів, що впливають на грошові потоки інвестиційних проектів.
При наявності вибору декількох привабливих інвестиційних проектів і відсутності необхідних грошових ресурсів для участі в кожному виникає завдання оптимального розміщення інвестицій. Нижче наводиться ряд ситуацій, що потребують використання методів оптимального розміщення інвестицій.
Під просторовою оптимізацією слід розуміти розв’язання задачі, направленої на отримання максимального сумарного приросту капіталу, при реалізації декількох незалежних інвестиційних проектів, вартість яких перевищує фінансові ресурси, що є у інвестора.
Дана задача передбачає різні методи розв’язку в залежності від того, можливий чи ні розподіл проектів, що розглядаються.
Проекти, що піддаються поділу. При можливості поділу проектів передбачається реалізація кількох з них в повному обсязі, а деяких тільки – частково. По відношенню до останніх приймається до розгляду частина інвестицій і грошових надходжень.[13,ст.95 ]
Загальна сума, направлена на реалізацію проектів, не повинна перевищувати ліміт грошових ресурсів, призначених інвестором для цих цілей.
Розглянута задача вирішується в наступній послідовності:
Для кожного проекту розраховується індекс рентабельності – РІ.
Проекти ранжируються за ступенем зменшення РІ.
До реалізації приймаються перші k проектів, вартість яких в сумі не перевищує ліміту коштів, призначених на інвестиції.
При наявності залишку інвестиційних коштів вони вкладаються в черговий проект, але не в повному його обсязі, а лише в тій його частині, в якій він може бути профінансований.
Приклад 3
Фірма планує інвестувати в основні фонди 72 тис. грн.; ціна джерел фінансування складає 10 %. Розглядаються чотири інвестиційні проекти із наступними потоками платежів (тис. грн.):
проект А: – 42; 13,2; 19,2; 21,6; 20,4;
проект Б: – 30; 10,8; 15,6; 20,4; 12;
проект В: – 54; 20,4; 24; 24; 24;
проект Г: – 24; 10,8; 12; 13,2; 13,2.
Необхідно скласти оптимальний план розміщення інвестицій.
Розрахуємо чистий приведений ефект (NPV) та індекс рентабельності (РІ) для кожного проекту.
Проект А: NPV = 16,01; РІ = 1,38.
Проект Б: NPV = 16,22; РІ = 1,54.
Проект В: NPV = 18,78; РІ = 1,35.
Проект Г: NPV = 14,66; РІ = 1,61.
Проекти, проранжовані за ступенем зменшення РІ, розміщуються в наступному порядку: Г, Б, А, В.
Таблиця 2.3 - Виходячи з результатів, визначимо інвестиційну стратегію
| Проект |
Обсяг інвестицій, тис. грн. |
Частка інвестицій, що включається в інвестиційний портфель, % |
NPV, тис. грн. |
| Г |
24 |
100,0 |
14,66 |
| Б |
30 |
100,0 |
16,22 |
| А |
72–(24+30)=18 |
(18 / 42) 100=42,86 |
16,01*0,4286=6,86 |
| РАЗОМ: |
72,0 |
37,74 |
У випадку, коли інвестиційний проект може бути прийнятий тільки в повному обсязі, для знаходження оптимальних варіантів проводять розгляд поєднань проектів з розрахунком їх сумарного NPV. Комбінація, яка забезпечує максимальне значення сумарного NPV. Комбінація, що забезпечує максимальне значення сумарного NPV, вважається оптимальною.
3. Шляхи вдосконалення процесу управління інвестиційною діяльністю підприємства
3.1 Основні напрямки оптимізації процесу управління інвестиціями підприємства
Аналіз вітчизняного і зарубіжного досвіду управління інвестиційним процесом дозволяє зробити висновок про те, що багато аспектів інвестиційної діяльності і оцінки її ефективності досить повно відображені в роборах вітчизняних і зарубіжних учених. Її гносеологічними джерелами є положення економічної теорії, що розглядають взаємозв'язки ресурсних і результативних параметрів економічного розвитку: теорії накопичення, теорії відтворення, теорії економічної динаміки, теорії економічного зростання. Недостатня теоретична опрацьованість цих проблем не дозволяє підприємствам ефективно вирішувати цілий ряд управлінських завдань. Тому проблеми зростання ефективності управління інвестиційним процесом необхідно розглядати і вирішувати в тісному взаємозв'язку між макро- і мікрорівнями, що вимагає створення ефективних механізмів управління інвестиційною діяльністю на транспортних підприємствах.[6,ст.87 ]
Сучасна система управління інвестиційною діяльністю в Україні, її функціонування вимагають моделювання як бізнес-процесів, так і бізнес-систем на основі досвіду практичної роботи по управлінню інвестиційною діяльністю, його наукового узагальнення, переходу від методу «проб і помилок» до стрункої методології аналізу і проектування процедур управління інвестиційною діяльністю.
Одним з основних напрямів підвищення ефективності управління інвестиційними процесами на мікрорівні є використання комплексного підходу до інвестування. Комплексне інвестиційне проектування — системно інтегрований процес управління сукупністю інвестиційних проектів, які підпорядковані єдиному стратегічному задуму, орієнтованому на успішну реалізацію інвестиційної програми підприємства. Взаємодія елементних проектів в раціонально складеному комплексному проекті носить синергетичний характер.
В умовах обмежених власних фінансових ресурсів комплексне інвестиційне проектування може розглядатися як один з прийнятних підходів до управління інвестиційною діяльністю на транспортному підприємстві. Застосування даної концепції при реалізації інвестиційної програми підприємства може сприяти оптимізації управлінських рішень в інвестиційній сфері, ефективнішому використанню обмежених інвестиційних ресурсів підприємства, зниженню потреби в ресурсах, що залучаються, позитивній динаміці основних показників фінансово-господарської діяльності.
Сьогодні ефективність інвестиційної діяльності підприємства в значній мірі залежить від організації управління інвестиційною діяльністю в компанії. Ухвалення рішень про інвестиції є найбільш складним і важливим завданням управління, у зв'язку з чим виникає необхідність інтеграції діяльності всіх учасників процесу управління інвестиційною діяльністю компанії, яку можливо реалізувати тільки через єдину структуру управління інвестиціями в рамках існуючої організаційної структури управління.
Для забезпечення підвищення ефективності управління інвестиційною| діяльністю підприємства на наш погляд необхідно сконцентрувати увагу на маркетинговій технології управління інвестиційною діяльністю, активізуючою внутрішні резерви підприємства і сприяючою ефективному залученню зовнішніх.
Мобілізацію внутрішніх ресурсів підприємства доцільно проводити по наступних напрямах:
- реструктуризація підприємства;
- вдосконалення структури акціонерного капіталу;
- амортизаційна політика;
- реалізація інвестиційних кадрових проектів і так далі
Одним з найважливіших внутрішніх ресурсів підприємства, тісно пов'язаних з реалізацією маркетингу, є реструктуризація, під якою нами розуміється оптимізація структури підприємства з метою підвищення ефективності і стійкості фінансово-господарської діяльності і інвестиційної привабливості.
Реструктуризація може полягати як в розділенні підприємства на юридично самостійні господарюючи суб’єкти,що пов’зв'язані або не повв'язані між собою, так і в зміні внутрішньої структури підприємства у вигляді організації нових служб, підрозділів або впорядкуванні функцій тих, що діють.
Проведені дослідження на підприємствах показали необхідність в серйозному коректуванні існуючої амортизаційної політики.
По-перше, амортизаційна політика повинна бути пов'язана із загальною стратегією інвестиційної діяльності. Для цього необхідно з'єднати в єдину систему податкові відрахування від прибутку підприємства, прискорену амортизацію, пільги по інвестиційному кредиту і витрати на НІОКР. Тільки в цьому випадку амортизаційні відрахування дійсно стимулюватимуть модернізацію виробництва і сприятимуть підвищенню эфективності інвестиційних вкладень. [5,ст.77 ]
По-друге, необхідно чітко визначити об'єкти, застосування прискореної амортизації. Доцільно застосовувати прискорену амортизацію тільки на високотехнологічне устаткування.
Підвищення ефективності інвестиційної діяльності на стадії розробки інвестиційного проекту може бути досягнуте за рахунок скорочення терміну проектування; закладення в проект прогресивних форм реалізації проекту; широкого застосування там, де це можливо і доцільно, хороших типових проектів, які вже виправдали себе на практиці, що дозволяє значною мірою понизити витрати на проектування, а також різко зменшити ризики; застосування в проекті самих передових технологій з урахуванням вітчизняних і зарубіжних досягнень; оснащення проектного відділу компанії - системами автоматизованого проектування (САПР); підвищення загального технічного рівня проектування і ін.
Структурувати і оптимізувати процес управління дозволяє система бюджетування. При цьому основний акцент робиться на тому, що система бюджетування повинна будуватися за проектним принципом. Управління інвестиційною діяльністю на підприємстві, на думку автора, повинне бути побудоване на чіткому регламенті і корпоративному порядку.
Проведені дослідження показали, що господарська і інвестиційна діяльність на підприємствах України зараз протікає в умовах дії цілого ряду несприятливих чинників, 80 – 90 % яких мають інформаційну природу. У зв'язку з цим, на думку автора, найбільш ефективним способом управління інвестиційною діяльністю є впровадження заходів по зниженню негативної дії ризиків на діяльність підприємства, через впровадження сучасної системи фінансового планування. Якщо зовнішні ризики (політичні, економічні, правового регулювання і так далі) можуть піддаватися лише прогнозуванню, то боротьба з внутрішніми ризиками може бути дуже успішною за допомогою системи бюджетного планування діяльності підприємства. При цьому недопущення збитку основної діяльності підприємства можна розглядати як джерело додаткових доходів. [4,ст. 64]
У сучасній системі управління інвестиціями автором пропонується виділяти два основні компоненти – прогнозування для вироблення рішень і ухвалення рішень, при цьому, якщо прогнозування реалізується спеціальними алгоритмами: методами, методиками, регуляторами і процедурами на варіантній основі, то ухвалення рішень – це вольовий процес.
На нашу думку, внутрішньофірмове планування і саме управління інвестиційною діяльністю, в сучасних умовах через специфіку української дійсності зіткнулося з серйозними труднощами із-за наявного розриву в ієрархії управління, оскільки обґрунтувати різні варіанти господарювання, адекватні відповідним прогнозним сценаріям розвитку, неможливо без планування своєчасних рішень.
В управлінні інвестиційною діяльністю підприємства сьогодні все частіше використовується інвестиційний бюджет, який включає доходи і витрати від інвестиційної діяльності, а також потребі в інвестиційних ресурсах по всіх вибраних напрямах і інвестиційним проектам. При цьому для управління окремим інвестиційним проектом використовується бюджет інвестиційного проекту, який включає як операційний, так і фінансовий бюджет і є детально розробленим фінансовим планом інвестиційного проекту, що охоплює всі сторони його реалізації.
Проходження всіх етапів бюджетування при розробці і ухваленні управлінських рішень забезпечує: по-перше, детальне опрацьовування самих інвестиційних проектів, по-друге, комплексний розгляд інвестиційної діяльності в рамках всієї фінансово-господарської діяльності підприємства і аналіз її впливу на фінансовий стан підприємства, по-третє, організацію контролю над подальшою реалізацією кожного окремого проекту і виконанням інвестиційного бюджету в цілому.
На наш погляд, ще одним з методів підвищення ефективності управління інвестиційною діяльністю, є використання принципів крізного планування при формуванні і реалізації інвестиційних проектів. Це дозволить підвищити ефективність інвестиційної діяльності і забезпечити системний взаємозв'язок інвестиційної програми із стратегічною програмою інвестиційної політики, а так само прозорий контроль за ступенем досягнення цільових інвестиційних завдань.[3,ст.53 ]
Сьогодні ефективність інвестиційної діяльності підприємства в значній мірі залежить від організації управління інвестиційною діяльністю в компанії. Ухвалення рішень про інвестиції є найбільш складним і важливим завданням управління, у зв'язку з чим виникає необхідність інтеграції діяльності всіх учасників процесу управління інвестиційною діяльністю компанії, яку можливо реалізувати тільки через єдину структуру управління інвестиціями в рамках існуючої організаційної структури управління. В умовах швидкоплинної кон'юнктури ринку, коли стоїть завдання нарощування конкурентних переваг, ефективніший, на наш погляд, дивізійний тип структури управління інвестиційною діяльністю, де здійснюється делегування частини управлінських функцій (ціноутворення, маркетинг, персонал, економіка, бізнес-планування) в нижчі структурні ланки що дозволяє підрозділам частково або повністю узяти відповідальність за реалізацію інвестиційної діяльності. В результаті управлінські ресурси верхнього ешелону організації вивільняються для вирішення стратегічних завдань.
Підвищення ефективності управління інвестиційною діяльністю з урахуванням чинника невизначеності залежить від:
-оптимального поєднання централізації і децентралізації управління інвестиційною діяльністю;
-науковості процесу організації аналітичного забезпечення управління інвестиційною діяльністю;
-вироблення нових цілей і завдань по вдосконаленню організації аналітичного забезпечення методичного апарату управління інвестиційною діяльністю;
-безперервне вдосконалення управління інвестиційною діяльністю;
-взаємодія і розумна регламентація;
-постійність аналітичного забезпечення і інформаційної достатності управління інвестиційною діяльністю;
-відповідність характеру роботи потенційним можливостям виконавця|;
-безперервність підвищення кваліфікації менеджерів по управлінню інвестиційною діяльністю.
Для підвищення якості роботи по управлінню інвестиційною діяльністю на транспортних підприємствах доцільно автоматизувати процеси інвестиційної діяльності.
Впровадження автоматизації здатне вирішити ряд проблем, пов'язаних із спрощенням системи управління фінансово-господарською діяльністю підприємства в цілому, а також із спрощенням процесу управління інвестиційною діяльністю зокрема. Стратегічною метою проекту автоматизації є| підвищення ефективності інвестиційної діяльності за рахунок вдосконалення системи управління і впровадження сучасних інформаційних технологій управління інвестиціями.
Впровадження в практику господарської діяльності підприємств України пропонованих рекомендацій дозволять підвищити їх конкурентноздатність і зайняти гідне місце в світовій економічній системі.
3.2 Основні проблеми управлінням інвестиційною діяльністю підприємства та шляхи їх вирішення.
Сучасний стан української економіки після 18 років трансформаційного періоду свідчить про певніреформаційні перетворення й позитивні практичні зрушення. Данірезультати ми маємо внаслідок суспільно-економічних змін в державі, асаме: лібералізації торгівлі, реформування власності, поступовогорозширення приватного сектора в економіці, деякого «потеплінняінвестиційного клімату».
Разом з тим розвитку української економіки значною мірою має сприятиефективна інвестиційна діяльність усіх суб’єктів господарювання,оскількиза будь-яких умов вона створює матеріальну базу для суспільстваі сприяє покращенню добробуту населення. [4,ст.46 ]
Отже, з розвитком ринкових відносин та посилення чинників ризику,управління та оцінка ефективності інвестиційних проектів значноускладнилася. Розрахунки обсягів реалізації, доходу, прибутку наперспективу стали більш складними внаслідок лібералізації цін.1, 2009
Розрахунки коефіцієнтів економічної ефективності інвестиційних проектів ьу разі відсутності нормативів для порівняння також втратили сенс. Тому на сьогоднішній день актуальність та необхідність поглиблення теоретичних і методичних основ управління інвестиційноюдіяльністю (інвестиційними проектами) на підприємстві, а також достовірна оцінка ефективності проектів посідають важливе місце в процесі обгрунтування вибору альтернативних варіантів вкладення коштів.
Існуючи підходи до оцінки ефективності інвестиційних проектів базуються на дисконтній методиці, усі показники якої розраховуються на основі грошових потоків, приведених до теперішньої вартості шляхом дисконтування. Дана методика реалізується через розрахунок широковідомих показників: чиста приведенавартість (NPV), внутрішня норма прибутковості (IRR), індекс рентабельності (PI). Проте підходи мають принциповий недолік: значна трудомісткість процесу оцінки економічної ефективності інвестиційних проектів(значна кількість обчислень).
Метою статті є сформувати теоретико-методологічну базу та розробитипрактичні рекомендації щодо удосконалення процесу управлінняінвестиційною діяльністю на підприємстві.
Виклад основного матеріалу дослідження. На сьогоднішній деньоцінка економічної ефективності проектів є чи не найбільш трудомісткимі відповідальним аспектом інвестиційного аналізу. У зв’язку з тим, щоцей етап обов’язково пов’язаний із виконанням математичних розрахунків,особливу увагу слід приділяти не лише правильності і точності їхвиконання, а й адекватності методів і критеріїв оцінки, що застосовуютьсяпри цьому. Тому, виходячи з цього, серед низки проблем, які існують приуправлінні інвестиційною діяльністю на підприємстві є недосконалістьта неефективність існуючих методик, а також відсутність застосуванняновітніх методологічних підходів до оцінки ефективності інвестиційнихпроектів в умовах розвитку ринкових перетворень в Україні. [23,ст.452 ]
Також однією з проблем управління інвестиційною діяльністю є те,що сучасний фінансовий та інвестиційний менеджмент налічує істотнукількість традиційних показників і критеріїв для оцінки інвестиційнихпроектів (NPV, PP, IRR, PI тощо), яким властиві певні досить суттєвінедоліки, а саме:
1) неоднозначність у визначенні строків для розрахунку показників(NPV, IRR, PI), внаслідок чого один і той самий проект може бутипредставлений вбільш або менш привабливому вигляді;
2) відсутність врахування повного економічного ефекту від реалізаціїпроекту, особливо в період, що виходить за рамки розрахункового;
3) не можливість враховувати вплив ринкових чинників на прибутковість проектів.
Оцінка економічної ефективності інвестиційних проектів – доситьскладне завдання, яке потребує комплексного проблемно-орієнтованогопідходу до його рішення. Проблемно-орієнтований підхід управлінняінвестиціями вимагає вибір найбільш ефективних інвестиційних проектіві забезпечення реалізації окремих інвестиційних програм. Особлива увагапри цьому має приділятися саме вибору інвестиційних проектів, щоздійснюються на основі оцінки їх ефективності при забезпеченніпослідовності проведення аналізу.
Головним критерієм оцінки інвестицій є їх окупність, тобто швидкістьповернення інвестору вкладених коштів у формі грошових потоків, якігенеруються втіленням у життя фінансових проектів.
Аналіз теоретико-економічної сутності поняття “інвестиційнийпроект”, проведений на основі узагальнення наявних його трактувань(табл.3.1), дозволяє виділити його основні змістовні елементи:
1) визначення розміру інвестованого капіталу на основі показникагрошового потоку, який формується за рахунок сум чистого прибутку таамортизаційних відрахувань у процесі експлуатації інвестиційних проектів;
2) обов’язкове приведення до теперішньої вартості як інвестованогокапіталу, так і сумгрошового потоку;
3) вибір диференційованої ставки процента у процесі дисконтуваннягрошового потоку для різних інвестиційних проектів.
№22/1, 2009
Таблиця 3.1 - Тлумачення сутності інвестиційного проекту
Автор та
Джерело
|
Тлумачення
|
| І. Бланка [5] |
завдання з певними вихідними даними і бажаними результатамицілями), які обумовлюють спосіб його вирішення |
| Я. Єлейко [9] |
розроблений план споруд, устаткування, обладнання будь-чого;попередній текст будь-якого документу |
| А. Пересада [12] |
комплекс взаємопов’язаних заходів, розроблених для досягненняевних цілей протягом заданого часу при встановлених ресурснихбмеженнях |
| Г. Бірман [4] |
спеціальним способом підготовлена документація, що міститьмаксимально повний опис і обгрунтування всіх особливостеймайбутнього інвестування |
| Д. Норткотт [11] |
комплекс заходів, що здійснюються інвестором з метою реалізаціїсвого плану нарощування капіталу |
Отже, розглянувши різноманітні підходи до тлумачення сутності інвестиційного проекту, можна запропонувати новий підхід, до його визначення: інвестиційний проект – це система організаційно-правових та розрахунково-фінансових документів, які визначають систему взаємо- пов’язаних у часі й просторі та узгоджених з ресурсами організаційних заходів і дій, спрямованих на розвиток підприємства.
Досліджуючи механізм оцінки економічної ефективності інвестицій- них проектів, слід звернути увагу на значну кількість показників і методів визначення ефекту та витрат за інвестиційними проектами різних видів.
Використання цих показників і методів передбачає, що в процесі розробки інвестиційного проекту вже проведено необхідні технологічні, маркетингові, організаційні та інші дослідження і складено капітальний бюджет за ними, який включає всі види необхідних інвестиційних витрат у кожному інтервалі часу.
Методи оцінки проектів, які використовуються в аналізі інвестиційноїдіяльності, можна поділити на дві групи:
1) методи, які засновані на дисконтованих оцінках (NPV, PI, IRR);
2) методи, що засновані на облікових оцінках (РР, ARR).
З огляду на те, що дисконтна методика оцінки економічної ефективності інвестиційних проектів не завжди є адекватною реальності, авторомпідтримується принципово новий методологічний підхід до оцінкиефективності інвестиційних проектів, що ґрунтується на використанніальтернативного показника ефективності інвестування (IEI), який
розраховується за наступною формулою:
 
де Tj – фінансовийефект (віддача) відоб’єктаінвестиційу j-ийперіодчасу, грош. од.;
Rj – вивільнення, повернення інвестованих коштів у j-ий період часу, грош;
MVp – ринкова (оцінна) вартість об’єкта інвестицій на кінець розрахункового періоду р, грош. од.;
Ij – сума інвестиційних вкладень в об’єкт інвестицій у j-ий період часу, грош. од.;
dj – коефіцієнт дисконтування в j-ий період часу, %.
Під вивільненням, або поверненням, інвестованих коштів (R) може розумітися як повернення коштів у разі закінчення терміну вкладення, так і реалізація об’єкта інвестицій (цінних паперів, устаткування тощо).
Елемент MVp є ринковою вартістю об’єкта інвестицій на кінець розрахункового періоду цього проекту. Даний показник матиме місце лише в тому разі, якщо об’єкт інвестицій, як і раніше, перебуває у власності підприємства, тобто якщо до моменту часу р не відбулося повного вибуття об’єкта інвестицій (R) з проекту.
Показник IEI є відношенням суми всіх можливих надходжень, пов’язаних з експлуатацією об’єкта інвестицій протягом розрахункового періоду, а також його ринкової вартості на кінець розрахункового періоду до суми інвестиційних вкладень в нього з урахуванням графіка розподілу всіх фінансових потоків у часі. [9,ст.53 ]
Для демонстрації можливості і практичної доцільності використання запропонованого підходу розглянемо розрахунок показника IEI на основі інвестиційних проектів підприємства «ЛУКОЙЛ- Нафтохім»:
1) інвестиційний проект “Установка гідрування фракцій С4, С5” (проект А);
2) інвестиційний проект “Установка діафрагмового електролізу з використанням мембранної технології”(проект Б).
Вихідні дані, для розрахунку показника IEI подані в табл. 3.2.
22/1, 2009
Таблиця 3.2 - Вихідні дані за проектами А і Б для розрахунку показника IEI, млн. грн.
Показники
|
Інвестиційні проекти |
| Проект А |
Проект Б |
| Фінансовий ефект (віддача) від об’єкта інвестицій(Tj) |
36000 |
24000 |
| Вивільнення, повернення інвестованих коштів (Rj) |
15000 |
13000 |
| Ринкова вартість об’єкта інвестицій (MVp) |
470 |
480 |
| Сума інвестованих вкладень в об’єкт інвестицій (Ij) |
57000 |
58000 |
| Коефіцієнт дисконтування (dj), |
10 |
12 |
| Розрахунковий період (dp), роки |
2 |
4 |
Виходячи з даної таблиці, показник ефективності інвестування IEI за проектом А становить:
;
за проектом Б:

Отже, згідно з проведеними розрахунками можна зробити наступний висновок:
1) обидва проекти передбачають майже однаковий обсяг первинних інвестицій, однак віддача від проектів Tj та залишкова вартість MVp об’єктів інвестування досить істотно відрізняються, а саме: так, за проектом А рівень рентабельності операційної діяльності є значно вищим (Tj=36000 млн. грн.), ніж за проектом Б (Tj =24000 млн. грн.), що зумовлено низькими поточними витратами;
2) виконуючи оцінку запропонованих альтернативних проектів підпри- ємстіва «ЛУКОЙЛ- Нафтохім» за допомогою традиційних показників, можна дійти висновку, що проект А є привабливішим, за проект Б, оскільки забезпечує інвесторові більший обсяг грошових потоків в рамках розрахункового періоду (NPVA=14919 млн. грн., за проектом Б становить тільки – NPVБ=13858 млн. грн.) та коротший період окупності (PРA=1,4 роки, PРБ =2,9 років);
3) цьому також свідчить значення показника IEI, тобто з урахуванням вартості проектів на кінець розрахункового періоду та перспективи їх подальшого функціонування, доцільнішим є здійснення проекта А (установка гідрування фракцій С4, С5), оскільки саме цей проект може вважатися більш ефективним (так як IEI > 1) і привабливішим з економічної точки зору, ніж проект Б (установка діафрагмового електролізу з використанням мембранної технології.
Висновки
Велике значення в ефективному функціонуванні та розвитку підприємства має інвестиційне забезпечення, що базується на реалізації інвестиційних програм. При цьому результати інвестиційної діяльності, впровадження окремих інвестиційних проектів доцільно розглядати з позицій отримання соціального ефекту.
Глибокий спад в інвестиційній сфері, котрий серйозно перевищує зниження обсягів виробництва, обумовлений тим, що інвестиції в промислові підприємства не забезпечують простого відтворення капіталу. Інвестиційна діяльність на підприємстві повинна розглядатися як єдність процесів вкладення ресурсів і отримання доходів у майбутньому, що відбуваються в різній часовій послідовності. У трансформаційній економіці якісно змінився соціально-економічний механізм інвестування: економічний зміст категорії інвестиції наповнюється новими сучасними формами залучення і руху ресурсів, а також відносинами між учасниками інвестиційного процесу.
Оцінка ефективності інвестиційних проектів повинна засновуватися на додержанні основних принципів, які включають розгляд усіх стадій життєвого циклу, моделювання грошових потоків, можливість порівняння умов реалізації різних проектів, позитивність і максимум ефекту, врахування фактора часу та найбільш істотних наслідків, а також врахування впливу інфляції, невизначеності й ризиків. Інвестиційна привабливість підприємства залежить від моделі його інвестиційної поведінки, що включає систему мотивації, яка спонукала б його до активізації інвестиційної діяльності.
Головною метою управління інвестиційною діяльністю підприємства є отримання можливого максимального прибутку не тільки в поточному, а й у перспективному періодах. Це вимагає розробки таких задач управління, які забезпечують реалізацію головної мети інноваційної діяльності, що полягає у забезпеченні: достатньої інвестиційної підтримки необхідних темпів розвитку поточної діяльності підприємства; балансу максимальної прибутковості з урахуванням прийнятного ступеня ризику; ліквідності інвестицій, можливостей швидкого реінвестування капіталу при змінах факторів внутрішнього та зовнішнього середовищ; можливості реалізації програм соціального розвитку колективу.
Одним із важливих напрямків стратегічного управління інвестиційною діяльністю на підприємстві є розробка стратегії з метою зайняття на ринку сильних позицій і розробки підходів до її успішної реалізації в умовах невизначеності зовнішнього середовища, сильної конкуренції та внутрішніх проблем. Розробка такої стратегії повинна базуватися на принципах системного підходу, врахуванні загальної базової стратегії розвитку підприємства тощо та сполученні зі стратегією соціального розвитку підприємства.
Трансформаційні перетворення характеризуються значним зростанням інвестицій у людський капітал, який включає знання, навички, мотивацію, що використовуються в процесі виробництва економічних благ. Людський капітал у сучасних умовах розглядається як джерело високого доходу в майбутньому. Вкладення в цей вид капіталу пов’язані як з економічною, так і з соціальною стороною діяльності підприємства, тому важливим є визначення соціально-економічної ефективності інвестиційної діяльності, пов’язаної з інтересами працівників підприємства і його власників. При цьому необхідно враховувати той факт, що в сучасних умовах пріоритетним є отримання соціальних результатів, а економічні результати розглядаються як засіб їх досягнення. Підвищення соціально-економічної ефективності інвестиційної діяльності передбачає необхідність розробки відповідної організаційно-економічної моделі, яка включає також розробку напрямків соціальної захищеності персоналу підприємства.
Список використаних джерел
1. Закон України „Про інвестиційну діяльність” від 18 вересня 1991 рокуN 1560-XII // Інфодиск: Законодавство України..
2. Закон України «Про цінні папери та фондовий ринок» від 23 лютого 2006 рокуN 3480-IV // Інфодиск: Законодавство України
3. Закон України«Про інноваційну діяльність» від 4 липня 2002 рокуN 40-IV// Інфодиск: Законодавство України.
4. Глазунов В.Н. Финансовый анализ и оценка риска реальных инвестиций. - М.: Финстатинформ, 2007. - 135 с.
5. Губський Б. Проблеми міжнародного інвестування в Україні. // Економіка України. – 2006. - №1. – С.34.
6. Данілов О.Д., Івашина Г.М., Чумаченко О.Г. Інвестування: Навчальний посібник. – К, 2001, 364 с.
7. Дацій О.І. Фінансування інвестиційної діяльності підприємств // Економіка та підприємництво, 2006р. - №4. – С.117-121.
8. Жураховська Л. Глобальні стандарти результативності інвестування // Фінансовий ринок України. – 2006. - №12. – С.18-25.
9. Ковалев В.В. Методы оценки инвестиционных проектов - М.: Финансы и статистика, 2000. – 257с.
10. Коваль Р.Г. Формування умов інвестування соціально-економічного розвитку підприємства // Економіка та держава. - №12. – 2006. – С.49-51.
11. Савчук А.В. Анализ эффективности инвестиционных проектов и экономических условий их реализации / НАН Украины; Институт проблем рынка и экономико-экологических исследований. — О., 2007. — 176с.: рис. — Библиогр.: с. 140-144.
12. Старик Д.Э. Как рассчитать эффективность инвестиций? Монография. М.: АО “Финансстатинформ”, 2004. – 192с.
13. Шевчук В. Я., Рогожин П. С. Основи інвестиційної діяльності. – К.: Генеза, 1997. – 384 с.
14. Щербак А.В. Інформаційне забезпечення інвестиційної діяльності на підприємстві // Актуальні проблеми економіки. 2006р. - №3. – С.103-107.
15. Майорова Т.В. Інвекстиційна діяльність: Навчальний посібник. – К.: Центр навчальної літератури, 2004. – 376.
16. Селіверстова Л.С. Шляхи формування ефективної стратегії підприємства//Актуальні проблеми економіки. – 2008. - №7.
17. Хрущ Н.А. Стратегія компанії: механізм формування й адаптації в сучасному інвестиційному середовищі. – 2008. - №8.
18. Гриньова В.М., Щабельська І.В. Методичні рекомендації по розробці інвестиційної політики підприємства.//Вісник ХДЕУ.–2001 – №3(19). –С. 49-51.
19. Щабельська І.В. Оцінка сталості й ефективності інвестиційного проекту. // Управління розвитком. – ХДЕУ. – 2002. – №2. – С. 23-26.
20. Щабельська І.В.Соціальні аспекти управління інвестиційною діяльністю на підприємстві. Економіка: проблеми теорії та практики. Збірник наукових праць №143. – Дніпропетровськ. ДНУ – 2002. – С. 135-140.
21. Щабельська І.В.Управління інвестиційною діяльністю підприємства.// Материалы 6-й Международной научно-технической конференции ”Физические и компьютерные технологии в народном хозяйстве” – Харків. – 2002. – С.227-229.
22. Шевченко І В. Методичні засади реалізації інвестиційного проекту.// Материалы 7-й Международной научно-технической конференции ”Физические и компьютерные технологии в народном хозяйстве” – Харків. – 2003. – С. 182-184.
Додатки
Додаток А

Додаток Б

|