Федеральное агентство по образованию
Новосибирский государственный университет экономики и управления
Кафедра экономической теории
КУРСОВАЯ РАБОТА
по теме
: Эволюция теории экономического роста
2009 г.
Содержание
Введение. 3
1 Сущность экономического роста: виды и динамика развития. 5
2 Факторы и модели экономического роста, их эффективность. 12
3 Самые известны экономические модели. 19
3.1 Модель Кобба-Дугласа. 20
3.2 Динамическая модель Солоу. 21
3.3 Модель Р. Харрода и Е. Домара. 24
3.4 Другие модели. 26
Заключение. 30
Список используемых источников. 32
Актуальность работы заключается в том, что теории развития в мире понимаются как совокупности родственных народов, объединенных общностью культуры, исторической судьбы, экономических и социально-политических отношений, связываются процессы развития с модификациями цивилизаций в ходе исторического процесса и сменой лидирующих цивилизаций.
Поскольку экономика охватывает жизненно важные стороны практической деятельности человека, говорить об экономических проблемах любили еще древние, которых отличало от современного человека гораздо большее желание осмыслить окружающую действительность. Уже великие древние Платон и Аристотель заложили основы экономики как науки. В знаменитом «Государстве» Платона вводились такие до сих пор обсуждаемые меры регулирования рынка, как «пределы колебания цены», а Аристотель, предвосхищая споры последующих тысячелетий, считал, что обмен уравнивает потребности, а не издержки.
В современной экономической науке активно действует и соперничает несколько научных направлений. Это:
кейнсианцы, отличительной чертой которых является акцентированное внимание на проблемах государственного регулирования рынка ;
неоклассики, в основном придерживающиеся принципа минимизации вмешательства государства в рыночную экономику;
монетаристы, считающие, что основным регулирующим фактором экономики являются денежные агрегаты;
институционалисты, анализирующие экономическую систему через призму ее основных институтов, т.е. формальных (нормативно и законодательно оформленных) и неформальных (традиции, обычаи делового оборота и т.д.) правил экономического и социального поведения.
Забиваем Сайты В ТОП КУВАЛДОЙ - Уникальные возможности от SeoHammer
Каждая ссылка анализируется по трем пакетам оценки: SEO, Трафик и SMM.
SeoHammer делает продвижение сайта прозрачным и простым занятием.
Ссылки, вечные ссылки, статьи, упоминания, пресс-релизы - используйте по максимуму потенциал SeoHammer для продвижения вашего сайта.
Что умеет делать SeoHammer
— Продвижение в один клик, интеллектуальный подбор запросов, покупка самых лучших ссылок с высокой степенью качества у лучших бирж ссылок.
— Регулярная проверка качества ссылок по более чем 100 показателям и ежедневный пересчет показателей качества проекта.
— Все известные форматы ссылок: арендные ссылки, вечные ссылки, публикации (упоминания, мнения, отзывы, статьи, пресс-релизы).
— SeoHammer покажет, где рост или падение, а также запросы, на которые нужно обратить внимание.
SeoHammer еще предоставляет технологию Буст, она ускоряет продвижение в десятки раз,
а первые результаты появляются уже в течение первых 7 дней.
Зарегистрироваться и Начать продвижение
Такое разделение хотя и достаточно общепринято, но весьма условно. Методологические подходы ряда школ взаимно перекрываются. Имеется немало известных ученых, работы которых имеют синтетический характер и не могут быть отнесены к какому-либо одному из вышеперечисленных научных направлений. Что касается математического аппарата и моделей, то представители всех школ используют практически идентичную математическую технику анализа. При этом важно заметить, что в современной западной экономике трудно найти ученых, получивших выдающиеся результаты без использования математического моделирования. Любое общество может существовать и улучшать материальные и духовные условия жизни людей, если оно осуществляет расширенное воспроизводство валового национального продукта, рабочей силы и экономических отношений. Расширенное воспроизводство находит свое воплощение в экономическом росте (ЭР), означающем количественное увеличение и качественное совершенствование всех параметров воспроизводства.
Цель работы – исследовать особенности становления экономического роста.
В работе были поставлены следующие задачи:
1.
Отразить сущность экономического роста: виды и динамику развития;
2. Провести анализ факторов и моделей экономического роста, их эффективности;
3. Показать самые известны экономические модели.
В работе использовалась учебная литература таких авторов как: А.Г. Худокормова, Г.Б. Поляка, А.Н. Маркова, Д.С. Макконнелла К.Р. Максютова А.А., Р.М. Нуреева, Михайлушкина А.И., Акопова Е.В.Д. Камаева.
1. Сущность экономического роста: виды и динамика развития
Прежде чем конкретно рассматривать сущность экономического роста, отметим некоторые особенности в отношении развития теории мировой экономики
различаются[1]
:
•движущими силами, лежащими в основе развития мировой экономики;
•качественными характеристиками, определяющими стадийность, периодизацию роста.
Важно отметить, что процесс экономического развития, обусловливается четырьмя параллельно идущими эволюционными процессами: среди самих людей; в сфере технологий; в сфере организаций-институций и среди различных цивилизаций
(Приложение 1).
В экономической науке активно действует и соперничает несколько научных направлений. Это: кейнсианцы, неоклассики, монетаристы, институционалисты (Приложение 2).
Любое общество может существовать и улучшать материальные и духовные условия жизни людей, если оно осуществляет расширенное воспроизводство валового национального продукта, рабочей силы и экономических отношений. Расширенное воспроизводство находит свое воплощение в экономическом росте (ЭР),
означающем количественное
увеличение и качественное
совершенствование всех параметров воспроизводства.
Сервис онлайн-записи на собственном Telegram-боте
Попробуйте сервис онлайн-записи VisitTime на основе вашего собственного Telegram-бота:
— Разгрузит мастера, специалиста или компанию;
— Позволит гибко управлять расписанием и загрузкой;
— Разошлет оповещения о новых услугах или акциях;
— Позволит принять оплату на карту/кошелек/счет;
— Позволит записываться на групповые и персональные посещения;
— Поможет получить от клиента отзывы о визите к вам;
— Включает в себя сервис чаевых.
Для новых пользователей первый месяц бесплатно.
Зарегистрироваться в сервисе
Экономический рост определяется: 1) как увеличений объема реального ВНП или ЧНП за некоторый период времени или 2) как увеличение реального ВНП или ЧНП на душу населения за некоторый период времени. Экономический рост измеряется годовыми темпами роста в процентах.
Родоначальниками теории ЭР являются Ж.Б. Сэй, Н.Г. фон Тюнен и К. Маркс. Позднее в ее разработку внесли вклад У. Джевонс и Дж.Б. Кларк. Анализ факторов ЭР получил развитие в трудах С. Кузнеца, В. Леонтьева, Э. Де-нисона, Дж. Кендрика, Д. Джоргенсона, А. Меддинсона, Я. Тинбергека, Р. Солоу, а также А.И. Анчишкина, В. Дада-яна, В. Камаева, В. Немчинова, С.С. Шаталина и др[2]
.
История знает два основных типа ЭР.
Во-первых, это экстенсивный тип ЭР,
при котором объем производства происходит в результате простого наращивания количества используемых факторов. Во-вторых, интенсивный тип ЭР,
который характеризуется тем, что прирост производства обеспечивается за счет совершенствования факторов производства, связанных с использованием достижений НТР[3]
.
Экстенсивный тип ЭР, являясь наиболее простым, исторически предшествовал интенсивному. Он позволяет в период индустриализации страны широко использовать природные ресурсы и ликвидировать безработицу, наращивать технико-экономическую мощь страны. Однако в дальнейшем экстенсивный тип ЭР исчерпывает себя, поскольку имеет весьма серьезные недостатки и ограничения. Ему свойствен технический застой и затратный характер, неизменный уровень производительности труда и капиталоотдачи, общей эффективности производства.
Поэтому экстенсивный тип ЭР, ведущий страну в тупик, сменяется на интенсивный ресурсосберегающий
его тип, основанный на активном использовании более совершенных и эффективных факторов, достижений НТР. При этом особое значение приобретает не только трудосберегающий
вид интенсификации, связанный с повышением производительности труда, но и ее капиталосберегающий вид,
основанный на применении более эффективной техники, прогрессивных видов сырья и материалов, на экономном расходовании всех средств производства. В современных условиях следует обеспечить всесторонний тип ЭР,
при котором эффективно используются все трудовые и вещественные формы ресурсосбережения. Такой подход соответствует эффективному ЭР, обусловленному действием закона экономии совокупного (живого и овеществленного) труда, который требует сопоставления результатов с затратами[4]
.
Теоретически и практически возможна классификация ЭР по его темпам: высокие, низкие, нулевые.
Обычно считается, что высокие темпы ЭР
всегда предпочтительнее, поскольку будет произведено больше товаров и можно лучше решать социально-экономические проблемы. Показательно в этой связи, что в США разница между темпами роста в 3% и 4% не окажет большого влияния на уровень жизни населения. Для населения же бедной страны снижение в темпах ЭР всего на 0,5% может усилить нищету, недоедание и голод. Последнее связано с тем, что в этих странах ежегодный прирост населения по своим темпам значительно превосходит темпы развития экономики. В результате реальный доход на душу населения в них значительно ниже, чем в развитых странах. Например, в Индии ВНП больше, чем в Швейцарии, но по уровню жизни населения Индия значительно отстает от Швейцарии. Естественно, что в этих условиях жизненно необходимо обеспечить высокие темпы ЭР[5]
.
Однако нельзя сказать, что высокие темпы ЭР всегда дают положительный эффект, поскольку не сопровождаются улучшением его качества.
Может быть такое положение, когда в структуре ВНП значительно преобладают продукты I подразделения общественного воспроизводства (средства производства) и военного потребления, а доля предметов потребления и услуг низка. При таком положении высокие темпы ЭР не будут иметь безусловного преимущества перед более низкими, но социально ориентированными.
Не всегда оправдано отрицательное отношение к нулевому ЭР.
Так, нет большой беды, если при этом в результате использования достижений НТР будут снижены издержки производства и доля средств производства в ВНП, а освободившиеся ресурсы будут направлены на решение социальных проблем. Показательно, что члены «Римского клуба» и сторонники движения «зеленых» предлагают «нулевой экономический рост» при улучшении экологии и повышении качества жизни. Таким путем, считают они, можно прекратить пагубные последствия растущего давления производства на природу, уберечь сырьевые и энергетические ресурсы нашей планеты, предохранить окружающую среду от загрязнения, сохранить ее способность к самовосстановлению. «Зеленые» утверждают, что сохранение современных темпов ЭР уже в XXI веке приведет к истощению биосферы, катастрофическому ухудшению биологической жизни на Земле. Противники быстрых темпов ЭР высказывают мысль, что это не решает многие острые социально-экономические проблемы, в частности, не гарантирует от неравенства в доходах, безработицы, потери творческого характера труда и др.
Однако, несмотря на эти призывы, США, ФРГ, Франция, Япония и другие развитые страны стараются осуществлять высокие темпы ЭР, увеличивая при этом размеры средств на охрану окружающей природной среды и поддержку бедных.
Сложные проблемы в отношении содержания ЭР, его целей и темпов стоят перед Россией.
При этом предстоит не только преодолеть тенденцию падения темпов ЭР, которая началась еще с 60-х годов в СССР, но и современное тяжелое кризисное состояние экономики страны. Современный этап экономической реформы в России должен привести к преодолению глубокого спада производства, к стабилизации и ускорению темпов ЭР с тем, чтобы обеспечить их оптимальную величину. В этих целях необходимо осуществлять преимущественно интенсивный ресурсосберегающий тип ЭР в условиях перехода к рыночным отношениям. Путем преимущественно экстенсивного типа ЭР при господстве централизованной планово-распределительной системы хозяйства невозможно решить социально-экономические проблемы переходного периода, связанные с формированием цивилизованного рынка, войти в современное мировое хозяйство в качестве полноправного члена с конкурентной экономикой, занять достойную великой державы нишу в мировой экономике, международном разделении труда.
Для современного типа ЭР,
его макроэкономической динамики характерны всесторонняя интенсификация и высокая эффективность производства, его антизатратная ориентация. При этом резко возрастает технический уровень производства и улучшается качество продукции при снижении ее стоимости, осуществляется, таким образом, становление нового, более высокого технологического способа производства.
Интенсивный тип ЭР наиболее соответствует современному этапу НТР, при котором происходит переход от традиционного машинно-фабричного к высокопроизводительному комплексно-автоматизированному производству, функционирующему на кибернетических принципах. Все шире применяются новые прогрессивные конструкционные материалы с заранее заданными технико-экономическими свойствами, а также интенсивные технологические процессы (быстротекущие, непрерывные, безотходные, ресурсосберегающие и др.), основанные на использовании достижений НТР, знаменующие превращение науки в непосредственную производительную силу общества. Ускоренными темпами развиваются отрасли производственной инфраструктуры: системы электро-, нефте-, газоснабжения, а также прогрессивные отрасли транспорта, связи и других средств информации. Все это способствует ускорению ЭР, более равномерному размещению производства в стране, повышению его эффективности[6]
.
Современный тип ЭР
проявляется в возрастающей экономичности производства ЧНП,
что предполагает уменьшение затрат совокупного (живого и овеществленного) труда на единицу чистого продукта. Причем сокращается доля промежуточного продукта и соответственно возрастает удельный вес конечного продукта, идущего на потребление[7]
.
Для интенсивного ресурсосберегающего типа ЭР характерны иные пропорции воспроизводственного процесса, чем при экстенсивном, когда наблюдается более высокий рост 1-го подразделения общественного производства (производство средств производства) по сравнению со 11-м подразделением (производство предметов потребления), то есть производство растет как бы ради самого себя. При современном типе ЭР, наоборот, возникает тенденция к преимущественному, более быстрому росту производства предметов потребления по сравнению со средствами производства. Это позволит увеличить долю потребления в ЧНП, реально повысить уровень и качество жизни народа, социальную эффективность ЭР.
При переходе к интенсивному ресурсосберегающему типу ЭР
должны совершенствоваться рыночные формы и методы общественной организации и управления производства, стимулирования трудовой активности. Как видно, ЭР, являясь прежде всего категорией материального производства, связан вместе с тем и с такими фазами воспроизводственного процесса, как распределение, обмен и потребление.
Данная выше характеристика перспектив перехода к интенсивному ресурсосберегающему типу ЭР, хотя и носит в известной мере прогнозный характер, не является лишь умозрительной абстракцией. Развитые страны, реализуя достижения НТР, на практике осуществляют расширенное. воспроизводство на началах интенсивного типа ЭР. Думается, что Россия, располагающая огромными ресурсами, имеет все возможности, чтобы идти по этому пути. Однако, чтобы эта возможность превратилась в действительность, необходимо при переходе к рынку эффективно использовать все факторы ЭР, определяющие его масштабы и темпы, качество и социальные последствия.
Таким образом, стабилизация и прогресс экономики России зависят от перехода к интенсивному ресурсосберегающему типу ЭР, при котором увеличение производства достигается за счет качественного совершенствования всех факторов производства, активного использования достижений НТР. При этом обеспечивается всесторонний тип ЭР,
требующий как повышения производительности живого труда, так и эффективного использования материально-технических и природных ресурсов, перехода от традиционного машинно-фабричного к комплексно-автоматизированному производству, функционирующему на кибернетических принципах, т.е. более высокому технологическому способу производства.
В этих условиях возникает новая воспроизводственная возможность перехода к преимущественному, более быстрому росту производства предметов потребления (II подразделение общественного производства) по сравнению со средствами производства (I подразделение общественного производства). Это позволит повысить долю потребления товаров и услуг в ВНП, реально повысить уровень жизни народа, социальную отдачу ЭР[8]
.
Среди факторов ЭР,
являющихся его непосредственными
материальными и трудовыми источниками, можно выделить следующие четыре основных: 1) земля и другие природные ресурсы; 2) трудовые ресурсы; 3) основной капитал (производственные основные фонды); 4) НТП, использование его достижений. Данные факторы непосредственного воздействия на ЭР, без которых невозможно производство ВНП, можно объединить как факторы предложения.
Именно от этих факторов прежде всего зависит производство товаров в условиях рыночной экономики[9]
.
Кроме того, имеются рыночные факторы,
которые воздействуют на ЭР косвенно
через рассмотренные выше факторы предложения. К ним относятся, во-первых, факторы рыночного спроса,
связанные с платежеспособными потребностями населения в отношении товаров (средств производства, предметов потребления, роскоши и др.) и услуг; во-вторых, факторы распределения,
связанные с эффективностью распределения всех видов ресурсов.
Однако при всем значении экономических факторов спроса, предложения и распределения ресурсов, основное внимание при рассмотрении проблем ЭР обычно уделяется факторам предложения, то есть производственно-техническим возможностям непосредственного воздействия на ЭР. Такой подход разделяется сторонниками «экономики предложения».
Они делают упор на факторы, повышающие производственный потенциал и рост общественного продукта. При полной занятости и полной загрузке производственных мощностей, предлагают снизить налоги, рассматривая это в качестве средства, стимулирующего сбережения и инвестиции, предпринимательский риск и трудовую активность.
Среди факторов предложения ЭР особое место принадлежит природным ресурсам
(земля, полезные ископаемые, леса, воды, воздух и др.). Поскольку многие природные факторы ЭР ограничены, редки и невосполнимы[10]
.
Для обеспечения более рационального и экономного использования природных факторов ЭР, уменьшения загрязнения окружающей среды требуется применять не только административные, законодательные, но и экономические меры,
охватывающие кредитование и финансирование, налоговую и страховую системы, ценообразование и другие рыночные инструменты. Поскольку значительная часть природных ресурсов рассматривается в качестве «общей собственности» и не имеет цены, они часто используются слишком интенсивно и хищнически, что ведет к их расхищению и загрязнению. Воздействие природных факторов ЭР особенно важно длясельского хозяйства
– этой самой обширной и жизненно важной отрасли экономики, где главным средством производства является земля. Проблема использования земли
включает в себя не только экстенсивное, т.е. пространственное освоение земель,
пригодных для сельского хозяйства, но и их интенсивное использование,
предполагающее увеличение производства более дешевой продукции с единицы земельной площади. Отсюда необходимость добавочных вложений в одни и те же земельные участки, экономического стимулирования НТП, создания в сельском хозяйстве развитой системы машин для комплексной механизации, электрификации, химизации и мелиорации производства. Чтобы осуществить меры по интенсификации сельского хозяйства на индустриальной основе, требуется создать технические, экономические и другие рыночные условия для опережающего
развития ведущей сферы АПК, обеспечивающей его средствами производства, и завершающей сферы, занимающейся заготовкой, транспортировкой, переработкой и сбытом конечной продукции комплекса, по сравнению с центральной сферой АПК, включающей собственно сельское хозяйство. Это улучшит структуру АПК, обеспечит его более динамичный и пропорциональный экономический рост, повысит производительность труда и увеличит конечный продукт комплекса[11]
.
Важнейшая составная часть системы ЭР – трудовые ресурсы,
включающие население в трудоспособном возрасте, эго профессионально-квалификационный уровень. Для обеспечения интенсивного ресурсосберегающего ЭР, основанного на использовании достижений НТР, требуются дальнейшие адекватные структурные изменения в составе личного фактора производства, повышение эффективности его использования[12]
.
Эффективность функционирования трудовых ресурсов непосредственно зависит от такого фактора ЭР, как основной капитал
(производственные основные фонды), к которым относятся машины и оборудование предприятий, транспортные и другие средства труда, образующие производственный аппарат всех отраслей народного хозяйства. Капитальные вложения в основной капитал (производственные основные фонды) далеко не всегда сопровождаются повышением производительности труда. Показательно, что за 1980–1989 гг. производственные основные фонды России выросли на 17,5%, а валовой общественный продукт – лишь на 14,8%. Еще показательнее данное соотношение в сельском хозяйстве, где оно соответственно составило 19% и 5,9%.
Эта неблагоприятная динамика, свидетельствующая о низкой капиталоотдаче, является результатом физического и морального износа техники,
ее неэффективного использования и низкой производительности труда, темпы роста которой отстают от темпов увеличения основного капитала. Здесь налицо преобладание экстенсивного капиталоемкого типа ЭР, при котором все еще велики затраты совокупного (живого и овеществленного) труда
на производство единицы продукции.
Следующим непосредственным фактором ЭР выступает современная НТР,
которая подготовлена историческим процессом развития науки, техники и производства. Можно выделить три основные последовательные стадии прогресса техники,
которым соответствуют определенные формы общественной организации производства[13]
.
Первая (начальная) стадия
характеризуется тем, что технической основой производства являются ручные орудия труда; к данной стадии относятся ремесло, простая кооперация, а затем мануфактура, функционирующая в условиях разделения ручного труда.
Вторая стадия
означает переход от машинно-фабричного производства, основанного на трехзвенной системе машин, включая рабочую машину, двигатель (паровой, внутреннего сгорания, электрический и др.) и передаточный механизм; при этом все еще сохраняются технологические принципы, сложившиеся на базе ручного труда.
Третья стадия
знаменуется переходом к комплексно-автоматизированному производству в результате превращения прежней трехзвенной системы в четырехзвенную, четвертым звеном которой является автоматическая управляющая машина, своеобразный «мозговой центр», осуществляющий функции контроля и управления. Наиболее современные автоматические машины, функционирующие на кибернетических принципах, могут накапливать и перерабатывать информацию, поступающую в ходе работы, чтобы автоматически производить переналадку и выбирать оптимальный режим работы в новых условиях. Такие автоматы, обладающие обратной связью, функционируют на принципах самонастройки и самообучения. Они исключают применение не только физических, но и многих логических и контрольно-управленческих функций человека в процессе производства, При этом возникает возможность несовпадения во времени и в пространстве процесса живого труда и самого автоматического процесса производства, а человек выводится из непосредственного процесса производства, перестает быть его главным агентом, становится с ним рядом в качестве верховного контролера и регулировщика.
Современная НТР не сводится к отдельным научным открытиям и техническим усовершенствованиям, а сильно воздействует на все факторы ЭР. Она знаменует глубокие преобразования самого технологического способа производства,
экономических форм организации и управления производством. Эти преобразования находят свое выражение в изменении роли науки в развитии производства; широком применении совершенной автоматической техники; создании искусственных предметов труда и конструкционных материалов с высокими, заранее заданными физико-механическими, биологическими и другими свойствами; преобразовании энергетической базы производства, использовании атомной и других видов энергии; в переходе к непрерывным и интенсивным безотходным технологическим процессам, при которых традиционные механические методы воздействия на предмет труда заменяются химическими, физико-химическими, электрическими, электронными и др., в изменении роли работника в производстве, повышении производительности его труда и эффективности производства.
Таким образом, современная НТР
– это совокупность коренных, качественных и взаимосвязанных преобразований в средствах производства (прежде всего, в орудиях и других средствах труда), а также в технологии, организации и управлении общественным производством, на основе превращения науки в непосредственную производительную силу. Происходит формирование интенсивного ресурсосберегающего комплексно-автоматизированного производства и изменение функциональной роли работника, повышение производительности труда и социально-экономической эффективности производства[14]
.
Преимущественное развитие в условиях НТР наиболее важных и актуальных направлений науки и техники, играющих лидирующую роль, не исключает, а предполагает фронтальные научные исследования, чтобы обеспечить развитие и таких направлений в науке, которые потенциально содержат в себе теоретические основы будущего научно-технического прогресса. Поэтому все большее значение приобретает прогнозирование развития науки, чтобы не только определить главные направления НТР, но и выявить ее тенденции.
Ускорение НТР и эффективное использование ее достижений возможны лишь при переходе в России к цивилизованным рыночным отношениям,
проведении обоснованной экономической и технической политики, нацеленной на преодоление кризиса и стабилизацию экономики, обеспечение ее интенсивного роста[15]
.
Однако формирование интенсивного ЭР в России не ограничивается традиционными макроэкономическими рыночными методами, а требует их рационального сочетания с методами государственного экономического регулирования.
Для этого представляется целесообразным усилить роль программно-целевого планирования, адекватного рыночной экономике, задачам решения сложных проблем преодоления структурного кризиса и спада производства, обеспечения ЭР. Это предполагает достижение конкурентоспособности промышленности на мировом рынке, преодоление разницы в техническом уровне производства отраслей и предприятий, нормализацию воспроизводственного процесса в таких крупнейших народнохозяйственных комплексах, как АПК, ТЭК и ВПК, в котором сосредоточены наукоемкие и высокотехнологичные производства.
Решение данных проблем требует как соответствующей ценовой, кредитной, налоговой, инвестиционной политики и активного использования рыночных инструментов, так и прямой поддержки за счет государственного и местного бюджетов развития здравоохранения и образования, профессиональной подготовки и переподготовки рабочей силы, системы НИОКР, транспортной, информационной и управленческой инфраструктуры, малого и среднего бизнеса, актуальных социальных программ и др.
И что важно заметить, ускорение ЭР на основе НТР невозможно без соответствующей организационно-экономической структуры производства,
позволяющей эффективно использовать рыночный хозяйственный механизм. Решению этих задач, по данным Института народнохозяйственного прогнозирования РАН, могут способствовать крупные финансово-промышленные группы. (ФПГ),
позволяющие концентрировать материальные, трудовые, финансовые и другие ресурсы в точках экономической динамики. Крупное производство должно сочетаться с широким развитием малого предпринимательства,
играющего важную роль в обеспечении ЭР, решении экономических и социальных задач.
Для России, осуществляющей переход к рыночной экономике, создание сектора малого предпринимательства должно стать одной из институциональных основ социальной трансформации общества
3. Самые известные экономические модели
При оценке ЭР, его факторов и современных тенденций наряду со статистическими методами применяется моделирование, которое строится на экономико-математических методах. Важнейшую роль и, можно сказать, основную направляющую экономической теории составляют математические модели, перечень основных математических моделей, некоторые из которых уже упоминались при описании соответствующих экономических теорий. С развитием компьютерной техники использование математических моделей позволило не только осуществить математически строгое оформление экономических теорий и гипотез, но и превратить экономику в экспериментальную науку, где проверку теорий и гипотез можно осуществлять в ходе имитационных компьютерных экспериментов. Знание основных экономических моделей сегодня абсолютно необходимо. Ниже кратко опишем основные модели в основном в хронологическом порядке[16]
.
Можно выделить три ведущие теории и соответственно три направления моделирования ЭР: во-первых, неокейнсианские направления; во-вторых, неоклассические; в-третьих, историко-социологические.
Среди различных моделей ЭР (У. Ростоу, Е. Домара, Р. Харрода, Д. Хикса, Р. Гудвина, Р. Солоу и др.) интерес представляет расчет производственной функции.
Она содержит количественную взаимосвязь между темпом прироста результатов производства и факторами ЭР, а также между самими факторами. Имеет место как однофакторная модель зависимости, когда анализируется влияние одного фактора, так и многофакторная, которые позволяют показать влияние каждого фактора производства на ЭР в отдельности с учетом действия других в их взаимозаменяемости. Причем предполагается выделение в модели экстенсивных и интенсивных факторов ЭР, хотя, в реальности воздействие этих факторов переплетается.
Впервые производственная функция,
позволяющая определить влияние ряда факторов на результаты производства, была предложена Е. Коббом и Н. Дугласом в 1928 г.
В функции (модели) Кобба-Дугласа
фигурируют только два основных фактора производства: труд и капитал, а роль природных и других факторов не учитывается. Поэтому в дальнейшем были предприняты попытки ученых (Э. Денисона, Я. Тинбергена, Р. Солоу, Д. Мида и др.) учесть затраты природных факторов, достижений НТП и других факторов.
В дальнейшем Э. Денисон на примере ряда развитых стран проанализировал факторы производства, представленные рабочей силой, средствами производства и НТП по 23 параметрам. Он пришел к выводу, что в США за 1929–1982 гг. основным фактором, обеспечивающим рост продукта и национального дохода, является повышение производительности труда.
Доля этого фактора в росте национального дохода достигла 68%, в том числе: технического прогресса – 28%, затрат капитала – 19%, образования и профподготовки работников – 14%. Доля же трудозатрат составила всего 32%.
Таким образом, для характеристики ЭР необходима целая система факторных, результативных, социальных и других показателей,
причем эффект от их совокупного воздействия на экономику значительно больше, чем от воздействия каждого фактора в отдельности. Наряду со статистическими методами при анализе ЭР применяется макроэкономическое моделирование.
Наибольший интерес среди многофакторных моделей ЭР представляет модель Кобба-Дугласа с ее производственной функцией, содержится количественная взаимосвязь между темпами прироста результатов производства и затратами капитала, труда, природных ресурсов, использованием достижений НТР и других факторов ЭР. Важным этапом в развитии экономической теории и практики является разработка моделей оптимального ЭР,
которые используются для прогнозирования и перспективного планирования, в частности, для определения вариантов динамичного межотраслевого баланса.
Модель Солоу
предназначена для объяснения и прогнозирования экономических процессов на больших интервалах. Р. Солоу использовал модифицированную функцию Кобба-Дугласа, учитывающую чрезвычайно важную в современной экономике инновационную составляющую. Опираясь на статистические данные, Солоу показал, что только 12% роста выпуска в послевоенные годы в США было достигнуто за счет увеличения капитала, а 88% пришлось на инновации.
Исходными данными модели выступают – свободная конкуренция, в том числе на рынке факторов производства, и равенство инвестиций и сбережений в рамках национальной экономики. Данную модель можно представить в виде системы из пяти уравнений.
1. Y = F (K, L) для всей экономики, *=> Y/L = F (K/L, 1) j=> Y/L = у, K/L = к или у = f(k) для одного работника, где
Y – объем ВВП страны;
у – продукт, произведенный одним работником; F или f – показатель функциональной зависимости; К. – объем капитальных затрат в производстве страны; L – объем трудовых затрат в производстве страны; к – капиталовооруженность одного работника.
Первое уравнение ставит объем ВВП в стране в зависимость от объема затрат капитала и труда. Важным допущением является то, что Солоу предполагает постоянный эффект масштаба, так как объем ВВП зависит от производительности труда отдельного работника, то необходимо перейти к показателю единичной производительности. Для этого обе части равенства следует разделить на количество работников в стране. Получится производительность (у) и капиталовооруженность одного работника (к). Причем производительность каждого работника зависит от объема применяемого капитала.
2. у = с + i, еслис = (1 – s)*y, тоу = (1 – s)*y + i *=> i= s*y или i = s*f(k),
где
с – потребление, приходящееся на одного работника; i – инвестиции, приходящиеся на одного работника; s – сбережения, приходящиеся на одного работника.
Согласно второму уравнению, продукция, произведенная работником (его доход), распределяется между потребительскими и производственными (инвестиционными) расходами отдельного работника: у = с + i. В силу того что из 100% дохода одна часть потребляется, а другая – сберегается, объем потребления работника (с) можно представить в виде с = (1 – s) • у. Тогда доход работника представляется в форме у = (1 – s) • у + I. Отсюда получаем, что i = s • у или i = s • f (k). В данном случае и объем инвестиций, и объем потребления зависят от величины дохода (для одного работника).
3. с = f (k) – (о + n + g)*k, где
а – величина амортизации (выбытия основного капитала); п – величина, отражающая рост численности населения (работников) в стране;
g – величина, отражающая темп трудосберегающего научно-технического прогресса (НТП) в стране.
Чтобы определить величину устойчивого потребления (максимального потребления при имеющихся запасах капитала), в третьем уравнении надо из объема продукта, произведенного одним работником, вычесть уменьшение капиталовооруженности (на одного работника): с = f (к) – (о + п + g)*k. Ведь амортизация, рост населения и трудосберегающий НТП снижают капиталовооруженность работника. Следовательно, устойчивый уровень потребления представляет собой разницу между увеличением и сокращением капитальных активов или между выпуском и инвестициями, или выбытием капитала.
4. Ak = i – о*к – п*к – g*k Лк = s*f (к) – (о + n + g)*k, где
Дк – изменение капиталовооруженности одного работника
Четвертое уравнение отражает зависимость экономического роста от увеличения капитала. Следует помнить, что различные процессы, происходящие в экономике страны, вызывают как рост, так и сокращение капитала. С одной стороны, увеличение капитала имеет место вследствие расширения инвестиций, С другой стороны, такие факторы, как амортизация, рост численности населения и НТП, ведут к уменьшению капитальных активов в расчете на одного работника. В данном случае трудосберегающий НТП аналогичен увеличению работников вследствие роста эффективности груда. Отследить изменения в запасах капитала можно по формуле:
Ak = i – о* к – п* к – g* к или
Ak = s* f(k) – (o + n + + g)* к. То есть для поддержания величины капитала на постоянном уровне размер инвестиций как минимум должен обеспечивать замену изношенного оборудования и новых рабочих капиталом, исходя из достигнутого уровня капиталовооруженности.
5. МРК = о + n + g МРК – о = n + g, где
МРК предельная производительность капитала (marginal productivity of capital)
Наконец, пятое уравнение показывает, что для постоянного экономического роста требуется равенство предельного продукта капитала и темпа прироста объема производимой продукции: МРК = с + n + g или МРК – о = n + g. Если предельный продукт капитала больше прироста объема продукции, то имеет место увеличение капиталовооруженности (инфляционный разрыв). Если прирост объема продукции больше предельною продукта капитала, то капиталовооруженность сокращается (дефляционный разрыв). Изменение капиталовооруженности будет происходить до тех пор, пока обе величины не сравняются.
Солоу делает вывод, что из всех величин пятого уравнения только НТП является постоянно растущим элементом, гарантирующим экономический рост. По мнению Солоу, увеличение сбережений также повышает темпы экономического роста. Однако они будут увеличиваться до тех пор, пока объем выпуска не сравняется с объемом выбытия капитала.
Итак, в силу того что в неоклассической модели Кобба – Дугласа, в ее производной модели Тинбергена, а также в модели Солоу учитываются разные факторы производства, их называют многофакторными. Неокейнсианские модели Домара и Харрода включают только один фактор производства – капитал и называются однофакторными.
3.3 Модель Р. Харрода и Е. Домара
Динамическая модель Харрода
учитывает влияние научно-технического прогресса на экономический рост. Р. Харрод предложил систему из трех уравнений, первое из которых описывает фактический экономический рост, второе – гарантированный рост (отвечающий пожеланиям предпринимателей), а третье – потенциально возможный рост (определяемый объемом имеющихся ресурсов).
Однофакторная модель определения темпов экономического роста была предложена английским экономистом Роем Харродом (1900–1978) и американским экономистом Евсеем Домаром (р. 1914). В их модели, которую обычно называют моделью Харрода–Домара, учитывается только капитал в качестве единственного фактора роста. Этот фактор как бы синтезирует в себе функционирование всех остальных факторов. Предполагается, что задействованы все факторы; прирост спроса равен приросту предложения. Как считают авторы, в случае повышения производительности труда коэффициент капиталоемкости, т.е. отношение капитала к выпуску продукции, существенно не изменится. Возрастет и соотношение «капитал–труд», и отношение выпуска продукции к трудовым затратам. Поэтому показатель однофакторной модели – соотношение «капитал–выпуск» практически останется прежним.
Модель Харрода–Домара
служит вспомогательным инструментом при рассмотрении проблемы экономического роста в долгосрочном периоде. Модель помогает уяснить характер взаимосвязей в динамике, представив их в наиболее простой и наглядной форме. Формула модели:
G=S:C,
где G – искомый темп экономического роста; С – соотношение «капитал–выпуск» (коэффициент капиталоемкости); S – доля сбережений в национальном доходе.
Чем больше величина чистых сбережений (S), тем больше размер инвестиций, а значит и выше темп роста. Чем выше капиталоемкость (С – отношение капитала к размеру производимой продукции), тем ниже темп экономического роста.
Используя данные об основных экономических параметрах, можно прогнозировать ожидаемые темпы экономического роста на перспективу, где фактические темпы будут отличаться от расчетных, но отличие будет не столь значительным, если на прогнозируемый период сохранятся постоянной доля сбережений в национальном доходе S и неизменным коэффициент капиталоемкости С. При высоких темпах экономического роста коэффициент капиталоемкости будет «подстегивать» этот рост. В условиях же депрессии, снижающихся темпах роста для поддержания желаемых темпов инвестиций будет недоставать. Модель Харрода–Домара помогает представить, как будет выглядеть кривая экономического роста не в относительно короткий, а в длительный период. Модель «подскажет», какие условия необходимы для поддержания постоянного и относительно равномерного роста.
Модель Кенэ.
Французский экономист, доктор медицины, физиократ Ф. Кенэ, бывший придворным врачом Людовика XV и начавший заниматься экономикой только в 60 лет, в своих знаменитых таблицах создал первую модель межотраслевого баланса, оказавшую огромное влияние на все развитие моделирования. В таблицах было показано, какие материальные и финансовые потоки перетекают из одной отрасли в другую. Математические приемы Ф. Кенэ и других физиократов, по словам К. Маркса, «впервые превратили политическую экономию в систему». Таблицы Кенэ, количественно описывающие обмен товарами между отраслями и годовой кругооборот продуктов и доходов, почти на два века предвосхитили методологию советских межотраслевых балансов планирования и известной модели межотраслевого баланса В. Леонтьева.
Модель Юма.
Д. Юм создал первую количественную теорию денег и окончательно оформил в виде модели частично известное еще меркантилистам основное уравнение количественной теории денег:

где М
– объем денежной массы в стране; V
–
скорость обращения денег; Т
– совокупный объем товарной массы; Р
– ее средняя цена[17]
.
Это соотношение известно также как закон денежного обращения.
Модель Вальраса.
Французский экономист Л. Вальрас в своей основной работе «Элементы чистой политэкономии» (1874) предложил модель общего равновесия, занимающего сейчас центральное место в моделировании рынка. В этой модели производство и потребление связаны между собой через рынки товаров и услуг. Суть данной модели заключается в том, что и спрос, и предложение зависят от цен на рынке. Механизм рынка находит такие цены, при которых спрос на все товары и услуги становится равным предложению.
Модель Кейнса.
Как уже было сказано при описании кейнсианской теории, Дж. Кейнс ввел понятие предельной склонности к потреблению и теоретически обосновал мультипликативный эффект «умножения дохода».
Модель Хикса,
IS
/
LM
‑модель.
Д. Хикс дал четкую математическую формализацию кейнсианской теории в известнейшей IS/LM‑модели. В ней в фазовом пространстве совокупного дохода (Y
)
и банковского процента (/) анализируются изменения линий уровня (равенства) инвестиций – сбережений (
IS
),
с одной стороны, и равновесия денежного рынка (
LM
),
с другой. Равенство спроса и предложения денег при больших доходах может достигаться только при высоких банковских процентах. Поэтому линия уровня LM
имеет положительный наклон. В то же время при малых значениях банковского процента большая часть средств направляется в инвестиции, что ведет к увеличению совокупного дохода. Поэтому линия IS
имеет отрицательный наклон. Пересечение линий IS
и LM
дает точку равновесия на денежном рынке и равенство сбережений и инвестиций. Поиск и анализ таких равновесных ситуаций осуществляются с помощью модели Хикса. Эта модель предназначена для анализа только близких к равновесию ситуаций и для непродолжительных периодов, когда цены меняются незначительно.
IS
/
LM
/
BP
‑модель.
В 1962 г. в связи с ростом международной торговли закрытая IS/LM‑модель была модифицирована независимо Р. Манделлом и Д. Флемингом в открытую IS/LM/BP‑модель, в которой рассматривается влияние на равновесные ситуации в модели Хикса внешнеэкономических отношений и курса национальной валюты. IS/LM/BP‑модель предназначена для поиска и анализа равновесных ситуаций в открытых экономических системах.
Модель Фридмана.
М. Фридман создал логичную и математически изощренную модель движения денег в экономике. В ее основе лежит уравнение, связывающее денежную базу Н
(сумма выпущенных в обращение наличных денег +остатки на резервных счетах коммерческих банков в центральном банке) с общим количеством денег в экономике М: М
= тН.
Коэффициент т
называют денежным мультипликатором. Он определяется по формуле[18]
:

где С
– сумма наличных денег, находящихся в частном секторе и у населения;
D
– банковские депозиты; R
–
деньги, хранящиеся в качестве банковских резервов.
Поскольку центральный банк может контролировать все эти величины, он контролирует и денежную массу. Фридман и его последователи считали, что через контроль денежной массы можно эффективно влиять на экономическое развитие страны. Фридмана иногда противопоставляют Кейнсу. Однако он скорее сумел посмотреть на экономический процесс с другой, еще малоизученной стороны, дополняя пробелы и исправляя уже обнаруженные практикой ошибки кейнсианских моделей.
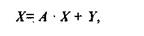
Модель Леонтьева.
Наш соотечественник лауреат Нобелевской премии В. Леонтьев предложил модель межотраслевого баланса. В простейшем варианте леонтьевская модель межотраслевого баланса представима в виде:

где X
– вектор выпуска отраслей, размерность которого в различных вариантах может варьироваться от 10–12 до нескольких тысяч; А –
матрица прямых затрат, элемент которой показывает, сколько продукции одной отрасли необходимо для производства единицы продукции другой отрасли; Y– вектор конечного потребления.
Модель Леонтьева оказалась чрезвычайно продуктивной при практическом применении для перспективного планирования в ряде стран, в частности в Японии. В 20-е годы В. Леонтьев работал в советских плановых органах и был воспитан в духе принятого уже у нас нормативно-планового метода. После эмиграции в США в конце 20-х он, естественно, развивал теорию моделирования в этом направлении.
Заключение
Проведя анализ данной работы можно сказать, что в результате длительного развития экономической мысли сформировалась концепция макроэкономики. Экономика представляется как взаимосвязанная система, подчиненная определенным закономерностям (в отличие от простой совокупности отдельных субъектов), успешное развитие которой не возможно без вмешательства государства. В соответствии с экономическими теориями государству отводится роль регулятора экономических процессов с целью недопущения кризиса в важнейших отраслях народного хозяйства. Причем государство не должно регулировать все сферы деятельности, а только те, в которых невозможна эффективная деятельность индивида. Государственному регулированию (под которым многие авторы подразумевают элемент социалистической системы) сопутствует свободное капиталистическое производство, т.е. экономическая система является системой смешанного типа (капиталистическое и социалистическое производство в одной экономике).
Так, важно отметить, что процесс экономического развития, обусловливается четырьмя параллельно идущими эволюционными процессами: среди самих людей; в сфере технологий; в сфере организаций-институций и среди различных цивилизаций.
Обобщая опыт мировой экономики, можно заключить, что периодические колебания между либеральной и социально ориентированной моделями являются закономерными для рыночной экономики и служат важной мотивацией экономического и политического развития.
Любое общество может существовать и улучшать материальные и духовные условия жизни людей, если оно осуществляет расширенное воспроизводство валового национального продукта, рабочей силы и экономических отношений. Расширенное воспроизводство находит свое воплощение в экономическом росте, означающем количественное увеличение и качественное совершенствование всех параметров воспроизводства.
Родоначальниками теории ЭР являются Ж.Б. Сэй, Н.Г. фон Тюнен и К. Маркс. Позднее в ее разработку внесли вклад У. Джевонс и Дж.Б. Кларк. Анализ факторов ЭР получил развитие в трудах С. Кузнеца, В. Леонтьева, Э. Де-нисона, Дж. Кендрика, Д. Джоргенсона, А. Меддинсона, Я. Тинбергека, Р. Солоу, а также А.И. Анчишкина, В. Дада-яна, В. Камаева, В. Немчинова, С.С. Шаталина и др.
История знает два основных типа ЭР – экстенсивный тип ЭР, при котором объем производства происходит в результате простого наращивания количества используемых факторов; интенсивный тип ЭР, который характеризуется тем, что прирост производства обеспечивается за счет совершенствования факторов производства, связанных с использованием достижений НТР.
Среди факторов ЭР, являющихся его непосредственными материальными и трудовыми источниками, можно выделить следующие четыре основных: 1) земля и другие природные ресурсы; 2) трудовые ресурсы; 3) основной капитал (производственные основные фонды); 4) НТП, использование его достижений. Данные факторы непосредственного воздействия на экономический рост, кроме того, имеются рыночные факторы, которые воздействуют на экономический рост косвенно через рассмотренные выше факторы предложения. К ним относятся факторы рыночного спроса, связанные с платежеспособными потребностями населения в отношении товаров (средств производства, предметов потребления, роскоши и др.) и услуг; факторы распределения, связанные с эффективностью распределения всех видов ресурсов.
Список используемых источников
1. История экономических учений/ Под общ. ред. А.Г. Худокормова. – М.: ИНФРА-М, 2004. – 733 с.
2. История мировой экономики / Под ред. Г.Б. Поляка, А.Н. Маркова. – М.: ЮНИТИ, 2006. – 670 с.
3. Львов Д.С. Экономический рост и качество экономики. – М.: Гудок: Рус. кн., 2004. – 111 с.
4. Макконнелл К.Р. Экономикс. – М.: ИНФРА-М, 2007. – 939 с.
5. Максютов А.А. Экономический анализ. – М.: ЮНИТИ: Единство, 2005. – 543 с.
6. Михайлушкин А.И. Экономика. – М.: Высш. шк., 2006. – 488 с.
7. Многоликая глобализация: Культ. разнообразие в современном мире / Под ред. П.Л. Бергера и С.П. Хантингтона. – М.: Аспект Пресс, 2006. – 379 с.
8. Нуреев Р.М. Экономика развития: модели становления рыночной экономики. – М.: ИНФРА-М, 2006. – 240 с.
9. Современная экономика / Под ред. Акопова Е. – Ростов н/Д: Феникс, 2008. – 608 с.
10. Экономическая теория: полит. экономия / Под ред. И.К. Ларионова [и др.]. – М.: Дашков и К°., 2006. – 637 с.
11. Экономическая теория / Под ред. В.Д. Камаева. – М.: Владос, 2007. – 639 с.
[1]
Многоликая глобализация: Культ. разнообразие в современном мире / Под ред. П. Л. Бергера и С.П. Хантингтона. - М. : Аспект Пресс, 2006. - 379 с.
[2]
Экономическая теория: полит. экономия / Под ред. И. К. Ларионова. - М. : Дашков и К°., 2006. - 637 с.
[3]
Нуреев Р. М. Экономика развития: модели становления рыночной экономики. - М. : ИНФРА-М, 2006. - 240 с.
[4]
Максютов А. А. Экономический анализ. - М. : ЮНИТИ : Единство, 2005. - 543 с.
[5]
Львов Д. С. Экономический рост и качество экономики. - М. : Гудок: Рус. кн., 2004. - 111 с.
[6]
Львов Д. С. Экономический рост и качество экономики. - М. : Гудок: Рус. кн., 2004. - 111 с.
[7]
Нуреев Р. М. Экономика развития: модели становления рыночной экономики. - М. : ИНФРА-М, 2006. - 240 с.
[8]
Максютов А. А. Экономический анализ. - М. : ЮНИТИ : Единство, 2005. - 543 с.
[9]
Нуреев Р. М. Экономика развития: модели становления рыночной экономики. - М. : ИНФРА-М, 2006. - 240 с.
[10]
Львов Д. С. Экономический рост и качество экономики. - М. : Гудок: Рус. кн., 2004. - 111 с.
[11]
Максютов А. А. Экономический анализ. - М. : ЮНИТИ : Единство, 2005. - 543 с.
[12]
Экономическая теория: полит. экономия / Под ред. И. К. Ларионова. - М. : Дашков и К°., 2006. - 637 с.
[13]
Нуреев Р. М. Экономика развития: модели становления рыночной экономики. - М. : ИНФРА-М, 2006. - 240 с.
[14]
Экономическая теория: полит. экономия / Под ред. И. К. Ларионова. - М. : Дашков и К°., 2006. - 637 с.
[15]
Максютов А. А. Экономический анализ. - М. : ЮНИТИ : Единство, 2005. - 543 с.
[16]
Максютов А. А. Экономический анализ. - М. : ЮНИТИ : Единство, 2005. - 543 с.
[17]
Максютов А. А. Экономический анализ. - М. : ЮНИТИ : Единство, 2005. - 543 с.
[18]
Максютов А. А. Экономический анализ. - М. : ЮНИТИ : Единство, 2005. - 543 с.
|