Зміст
Вступ
1.Статистичні ряди розподілу, їх елементи
2. Рівномірний розподіл, розподіл Пуассона, експоненціальний розподіл, нормальний розподіл та їх застосування
3.Використання рядів розподілу при дослідженні банківської системи
Висновки
Література
Додаток 1
Вступ
Статистичні ряди розподілу є одним з найбільш важливих елементів статистики. Вони є складовою частиною методу статистичних зведень і угрупувань, але, по суті, жодне із статистичних досліджень неможливо провести, не представивши спочатку отриману в результаті статистичного спостереження інформацію у вигляді статистичних рядів розподілу.
Первинні дані обробляються в цілях отримання узагальнених характеристик явища, що вивчається, за істотними ознаками для подальшого здійснення аналізу і прогнозування; проводиться зведення і угрупування; статистичні дані оформляються за допомогою рядів розподілу в таблиці, внаслідок чого інформація представляється в наочному раціонально викладеному вигляді, зручному для використання і подальшого дослідження; будуються різного роду графіки для найбільш наочного сприйняття і аналіз інформації. На основі статистичних рядів розподілу обчислюються основні величини статистичних досліджень: індекси, коефіцієнти; абсолютні, відносні, середні величини і так далі, за допомогою яких можна проводити прогнозування, як кінцевий висновок статистичних досліджень.
Мета даної роботи – дослідити суть та економічне значення рядів розподілу
Об’єктом дослідження даної курсової роботи є дані про розмір кредитування юридичних осіб банками України станом на 01/01/2009 року.
1.
Статистичн
і ряди розподілу, їх елементи
Найважливішою частиною статистичного аналізу є побудова рядів розподілу (структурного угрупування) з метою виділення характерних властивостей і закономірностей сукупності, що вивчається. Залежно від того, яка ознака (кількісний або якісний) узята за основу угрупування даних, розрізняють відповідно типи рядів розподілу.
Якщо за основу угрупування узята якісна ознака, то такий ряд розподілу називають атрибутивним (розподіл по видах праці, по підлозі, по професії, за релігійною ознакою, національній приналежності і так далі).
Забиваем Сайты В ТОП КУВАЛДОЙ - Уникальные возможности от SeoHammer
Каждая ссылка анализируется по трем пакетам оценки: SEO, Трафик и SMM.
SeoHammer делает продвижение сайта прозрачным и простым занятием.
Ссылки, вечные ссылки, статьи, упоминания, пресс-релизы - используйте по максимуму потенциал SeoHammer для продвижения вашего сайта.
Что умеет делать SeoHammer
— Продвижение в один клик, интеллектуальный подбор запросов, покупка самых лучших ссылок с высокой степенью качества у лучших бирж ссылок.
— Регулярная проверка качества ссылок по более чем 100 показателям и ежедневный пересчет показателей качества проекта.
— Все известные форматы ссылок: арендные ссылки, вечные ссылки, публикации (упоминания, мнения, отзывы, статьи, пресс-релизы).
— SeoHammer покажет, где рост или падение, а также запросы, на которые нужно обратить внимание.
SeoHammer еще предоставляет технологию Буст, она ускоряет продвижение в десятки раз,
а первые результаты появляются уже в течение первых 7 дней.
Зарегистрироваться и Начать продвижение
Якщо ряд розподілу побудований за кількісною ознакою, то такий ряд називають варіаційним. Побудувати варіаційний ряд - означає упорядкувати кількісний розподіл одиниць сукупності по значеннях ознаки, а потім підрахувати числа одиниць сукупності з цими значеннями (побудувати групову таблицю).
Варіаційні ряди залежно від характеру варіації підрозділяються на дискретних (переривчасті) і інтервальних (безперервні) [2].
Дискретний ряд - це такий варіаційний ряд, в основу побудови якого покладені ознаки з переривчастою зміною (дискретні ознаки). До останніх можна віднести тарифний розряд, кількість дітей в сім'ї, число працівників на підприємстві і так далі Ці ознаки можуть приймати тільки кінцеве число певних значень.
Дискретний варіаційний ряд представляє таблицю, яка складається з двох граф. У першій графі указується конкретне значення ознаки, а в другій - число одиниць сукупності з певним значенням ознаки.
Якщо ознаку має безперервна зміна (розмір доходу, стаж роботи, вартість основних фондів підприємства і так далі, які в певних межах можуть набувати будь-яких значень), то для цієї ознаки потрібно будувати інтервальний варіаційний ряд.
Інтервальні ряди розподілу базуються на значенні ознаки, що безперервно змінюється, приймає будь-які (у тому числі і дроби) кількісні вирази, тобто значення ознак таких рядах задається у вигляді інтервалу.
За наявності достатньо великої кількості варіантів значень ознаки первинний ряд є важким для сприйняття, і безпосередній розгляд його не дає уявлення про розподіл одиниць за значенням ознаки в сукупності. Тому першим кроком у впорядкуванні первинного ряду є його ранжирування - розташування всіх варіантів в зростаючому (що убуває) порядку.
Варіаційні ряди будуються на основі кількісної групувальної ознаки. Варіаційні ряди складаються з двох елементів: варіант і частот [3].
Варіанта - це окреме значення варійованої ознаки, яке він приймає у ряді розподілу. Вони можуть бути позитивними і негативними, абсолютними і відносними. Частота - це чисельність окремих варіант або кожної групи варіаційного ряду. Частоти, виражені в долях одиниці або у відсотках до підсумку, називаються частостами. Сума частот називається об'ємом сукупності і визначає число елементів всієї сукупності.
Частості - це частоти, виражені у вигляді відносних величин (долях одиниць або відсотках). Сума частостейдорівнює одиниці або 100 %. Заміна частот частостамидозволяє зіставляти варіаційні ряди з різним числом спостережень.
Сервис онлайн-записи на собственном Telegram-боте
Попробуйте сервис онлайн-записи VisitTime на основе вашего собственного Telegram-бота:
— Разгрузит мастера, специалиста или компанию;
— Позволит гибко управлять расписанием и загрузкой;
— Разошлет оповещения о новых услугах или акциях;
— Позволит принять оплату на карту/кошелек/счет;
— Позволит записываться на групповые и персональные посещения;
— Поможет получить от клиента отзывы о визите к вам;
— Включает в себя сервис чаевых.
Для новых пользователей первый месяц бесплатно.
Зарегистрироваться в сервисе
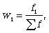
Частота (частота повторення) - число повторень окремого варіанту значень ознаки, позначається fi, а сума частот, рівна об'єму досліджуваної сукупності, позначається

де к - число варіантів значень ознаки. Дуже часто таблиця доповнюється графою, в якій підраховуються накопичені частоти S, які показують, яка кількість одиниць сукупності має значення ознаки не більше, ніж дане значення.
Частоти ряду f можуть замінюватися частостямиw, вираженими у відносних числах (долях або відсотках). Вони є відносинами частот кожного інтервалу до їх загальної суми, тобто:
 
Для побудови дискретного ряду з невеликим числом варіантів виписуються варіанти значень ознаки, що все зустрічаються, а потім підраховується частота повторення варіанту . Ряд розподілу прийнято оформляти у вигляді таблиці, що складається з двох колонок (або рядків), в одній з яких представлені варіанти, а в іншій - частоти.
Для побудови ряду розподілу ознак, що безперервно змінюються, або дискретних, представлених у вигляді інтервалів, необхідно встановити оптимальне число груп (інтервалів), на які слід розбити всі одиниці сукупності, що вивчається [2].
При побудові варіаційного ряду з інтервальними значеннями перш за все необхідно встановити величину інтервалу i, яка визначається як відношення розмаху варіації R до груп m:

де R = xmax- xmin; m = 1 + 3,322 lgn(формула Стерджесса); n - загальне число одиниць сукупності.
Як правило, для отримання узагальнених кількісних характеристик рівня якого або варіюючої ознаки по сукупності однорідних по основних властивостях одиниць конкретного явища або процесу розраховуються середні величини.
Середньою величиною називають показник, який характеризує узагальнене значення ознаки або групи ознак в досліджуваній сукупності[2].
Якщо досліджується сукупність з якісно однорідними ознаками, то середня величина виступає тут як типова середня. Наприклад, для груп працівників певної галузі з фіксованим рівнем доходу визначається типова середня витрат на предмети першої необхідності, тобто типова середня узагальнює якісно однорідні значення ознаки в даній сукупності, якою є частка витрат у працівників даної групи на товари першої необхідності.
При дослідженні сукупності з якісно різнорідними ознаками на перший план може виступити нетиповість середніх показників. Такими, наприклад, є середні показники проведеного національного доходу на душу населення (різні вікові групи), середні показники врожайності зернових культур по всій території Росії (райони різних кліматичних зон і різних зернових культур), середні показники народжуваності населення по всіх регіонах країни, середні температури за певний період і так далі Тут середні величини узагальнюють якісно різнорідні значення ознак або системних просторових совокупностей(міжнародне співтовариство, континент, держава, регіон, район і так далі) або динамічних совокупностей, протяжних в часі (століття, десятиліття, рік, сезон і так далі). Такі середні величини називають системними середніми.
Таким чином, значення середніх величин полягає в їх узагальнювальній функції[2]. Середня величина замінює велике число індивідуальних значень ознаки, виявляючи загальні властивості, властиві всім одиницям сукупності. Це, у свою чергу, дозволяє уникнути випадкових причин і виявити загальні закономірності, обумовлені загальними причинами.
На етапі статистичної обробки можуть бути поставлені самі різні завдання дослідження, для вирішення яких потрібно вибрати відповідну середню. При цьому необхідно керуватися наступним правилом: величини, які є чисельник і знаменник середньою, повинні бути логічно зв'язані між собою.
Використовуються дві категорії середніх величин[2]:
·ступеневі середні;
·структурні середні.
Перша категорія статечних середніх включає: середню арифметичну, середню гармонійну, середню квадратичну і середню геометричну.
Друга категорія (структурні середні) - це мода і медіана.
Різні середні виводяться із загальної формули статечної середньої:

при к = 1 - середня арифметична; к = -1 - середня гармонійна; к = 0 - середня геометрична; к = -2 - середня квадратична.
Середні величини бувають прості і зважені. Зваженими середніми називають величини, які враховують, що деякі варіанти значень ознаки можуть мати різну чисельність, у зв'язку з чим кожен варіант доводиться умножати на цю чисельність. Іншими словами, «вагами» виступають числа одиниць сукупності в різних групах, тобто кожен варіант «зважують» по своїй частоті. Частоту f називають статистичною вагою або вагою середньої.
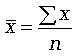
Середня арифметична - найпоширеніший вид середньої. Вона використовується, коли розрахунок здійснюється за незгрупованими статистичними даними, де потрібно отримати середній доданок. Середня арифметична - це таке середнє значення ознаки, при отриманні якого зберігається незмінним загальний об'єм ознаки в сукупності.
Формула середньою арифметичною (простій) має вигляд

де n - чисельність сукупності.
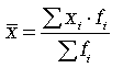
При розрахунку середніх величин окремі значення ознаки, яка усереднюється, можуть повторюватися, тому розрахунок середньої величини проводиться за згрупованими даними. В цьому випадку мова йде про використанні середньої арифметичною зваженою, яка має вигляд

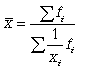
Середня гармонійна. Цю середню називають зворотною середньою арифметичною, оскільки ця величина використовується при к = -1.
Проста середня гармонійна використовується тоді, коли ваги значень ознаки однакові. Її формулу можна вивести з базової формули, підставивши к = -1:

У статистичній практиці частіше використовується гармонійна зважена, формула якої має вигляд

Дана формула використовується в тих випадках, коли ваги (або об'єми явищ) за кожною ознакою не рівні. У початковому співвідношенні для розрахунку середньою відомий чисельник, але невідомий знаменник.
Середня геометрична. Найчастіше середня геометрична знаходить своє застосування при визначенні середніх темпів зростання (середніх коефіцієнтів зростання), коли індивідуальні значення ознаки представлені у вигляді відносних величин. Вона використовується також, якщо необхідно знайти середню між мінімальним і максимальним значеннями ознаки (наприклад, між 100 і 1000000). Існують формули для простою і зваженою середньою геометричною.
Для простої середній геометричний

Для зваженої середньої геометричної

Середня квадратична величина. Основною сферою її застосування є вимірювання варіації ознаки в сукупності (розрахунок середнього квадратичного відхилення).
Формула простої середньою квадратичною

Формула зваженої середньої квадратичної

У результаті можна сказати, що від правильного вибору виду середньої величини у кожному конкретному випадку залежить успішне вирішення завдань статистичного дослідження. Вибір середньою припускає таку послідовність:
а) встановлення узагальнювального показника сукупності;
б) визначення для даного узагальнювального показника математичного співвідношення величин;
в) заміна індивідуальних значень середніми величинами;
г) розрахунок середньою за допомогою відповідного рівняння.
Для визначення структури сукупності використовують особливі середні показники, до яких відносяться медіана і мода, або так звані структурні середні[2]. Якщо середня арифметична розраховується на основі використання всіх варіантів значень ознаки, то медіана і мода характеризують величину того варіанту, який займає певне середнє положення в ранжованому варіаційному ряду.
Медіана (Ме) - це величина, яка відповідає варіанту, що знаходиться в середині ранжируваного ряду.
Для ранжованого ряду з непарним числом індивідуальних величин медіаною буде величина, яка розташована в центрі ряду.
Для ранжованого ряду з парним числом індивідуальних величин медіаною буде середня арифметична величина, яка розраховується з двох суміжних величин.
Чисельне значення медіани визначають по накопичених частотах в дискретному варіаційному ряду. Для цього спочатку слід вказати інтервал знаходження медіани в інтервальному ряду розподілу. Медіанним називають перший інтервал, де сума накопичених частот перевищує половину спостережень від загального числа всіх спостережень.
Чисельне значення медіани зазвичай визначають по формулі

де xме
- нижня межа медіанного інтервалу; i - величина інтервалу; S-1
- накопичена частота інтервалу, яка передує медіанному; f - частота медіанного інтервалу.
Модою (Мо-пермалой) називають значення ознаки, яке зустрічається найчастіше у одиниць сукупності. Для дискретного ряду модою буде варіант з найбільшою частотою. Для визначення моди інтервального ряду спочатку визначають модальний інтервал (інтервал, що має найбільшу частоту). Потім в межах цього інтервалу знаходять те значення ознаки, яке може бути модою.
Щоб знайти конкретне значення моди, необхідно використовувати формулу

де xмо
- нижня межа модального інтервалу; iмо
- величина модального інтервалу; fмо
- частота модального інтервалу; fмо-1
- частота інтервалу, передування модальному; fмо+1
- частота інтервалу, наступного за модальним.
Основною метою аналізу варіаційних рядів є виявлення закономірності розподілу, виключаючи при цьому вплив випадкових для даного розподілу чинників. Цього можна досягти, якщо збільшувати об'єм досліджуваної сукупності і одночасно зменшувати інтервал ряду. При спробі зображення цих даних графічно ми отримаємо деяку плавну криву лінію, яка для полігону частот буде деякою межею. Цю лінію називають кривою розподіли.
Іншими словами, крива розподілу є графічне зображення у вигляді безперервної лінії зміни частот у варіаційному ряду, яке функціонально пов'язане із зміною варіант. Крива розподілу відображає закономірність зміни частот за відсутності випадкових чинників. Графічне зображення полегшує аналіз рядів розподілу
Відомо достатньо багато форм кривих розподілів, по яких може вирівнюватися варіаційний ряд.
РІВНОМІРНИЙ розподіл (прямокутний розподіл) - розподіл вірогідності випадкової величини Х, що набуває значення з деякого інтервалу з постійною щільністю вірогідності.
Випадкова величина має рівномірний безперервний розподіл на відрізку [а,b], якщо


Інтегруючи визначену вище щільність, отримуємо функцію розподілу


Основні моменти безперервного рівномірного розподілу:



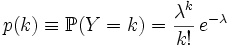
РОЗПОДІЛ ПУАССОНА моделює випадкову величину, що є числом подій, подіям за фіксований час, за умови, що дані події відбуваються з деякою фіксованою середньою інтенсивністю і незалежно один від одного. Розподіл Пуассона грає ключову роль в теорії масового обслуговування.
Виберемо фіксоване число λ> 0 і визначимо дискретний розподіл, що задається наступною функцією вірогідності:

Функція вірогідності :

Функція розподілу 

Функція моментів розподілу Пуассона, що проводить, має вигляд:

Звідки


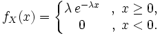
ПОКАЗОВИЙ РОЗПОДІЛ - абсолютно безперервний розподіл, що моделює час між двома послідовними звершеннями однієї і тієї ж події.
Випадкова величина X має експоненціальний розподіл з параметром λ> 0, якщо її щільність має вигляд


Іноді сімейство експоненціальних розподілів параметризують зворотним параметром 1 / λ:

Обидва способи однаково природні, і необхідна лише домовленість, який з них використовується.
Інтегруючи щільність, отримуємо функцію експоненціального розподілу:


Функція моментів для експоненціального розподілу має вигляд:

звідки отримуємо всі моменти:

Зокрема


НОРМАЛЬНИЙ РОЗПОДІЛ, який також називають розподілом Гауса, - розподіл вірогідності, який грає найважливішу роль в багатьох галузях знань, особливо у фізиці. Фізична величина підкоряється нормальному розподілу, коли вона схильна до впливу величезного числа випадкових перешкод. Ясно, що така ситуація украй поширена, тому можна сказати, що зі всіх розподілів в природі найчастіше зустрічається саме нормальний розподіл - звідси і походить одна з його назв.
Нормальний розподіл залежить від двох параметрів - зсуву і масштабу, тобто є з математичної точки зору не одним розподілом, а цілим їх сімейством. Значення параметрів відповідають значенням середнього (математичного очікування) і стандартного відхилення.
Стандартним нормальним розподілом називається нормальний розподіл з математичним очікуванням 0 і стандартним відхиленням 1.
Щільність вірогідності нормального розподілу


Функція розподілу


Функція моментів нормального розподілу має вигляд

Нормальні розподіли утворюють масштабно-зсувне сімейство. При цьому параметром масштабу є d = 1/ , а параметром зсуву c = - m/ .
За допомогою нормального розподілу визначаються три розподіли, які в даний час часто використовуються при статистичній обробці даних.
РОЗПОДІЛ ПІРСОНУ (хі - квадрат) - розподіл випадкової величини

де випадкові величини X1, X2., Xnнезалежні і мають один і той же розподіл N(0,1).
Розподіл хі-квадрат використовують при оцінюванні дисперсії (за допомогою довірчого інтервалу), при перевірці гіпотез згоди, однорідності, незалежності, перш за все для якісних (категорізованих) змінних, що приймають кінцеве число значень, і в багатьох інших завданнях статистичного аналізу даних.
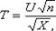
РОЗПОДІЛ СТЬЮДЕНТА - це розподіл випадкової величини

де випадкові величини U і X незалежні, U має розподіл стандартний нормальний розподіл N(0,1), а X - розподіл хі - квадрат з n мірами свободи. При цьому n називається «Числом мір свободи» розподілу Стьюдента.
Розподіл Стьюдента був введений в 1908 р. англійським статистиком Ст. Госсетом, що працював на фабриці, що випускає пиво. Ймовірносно-статистичні методи використовувалися для ухвалення економічних і технічних рішень на цій фабриці, тому її керівництво забороняло В. Госсету публікувати наукові статті під своїм ім'ям. У такий спосіб охоронялася комерційна таємниця, «ноу-хау» у вигляді ймовірносно-статистичних методів, розроблених Ст. Госсетом. Проте він мав можливість публікуватися під псевдонімом «Стьюдент». Історія Госсета - Стьюдента показує, що ще сто років тому менеджерам Великобританії була очевидна велика економічна ефективність ймовірносно-статистичних методів.
В даний час розподіл Стьюдента - один з найбільш відомих розподілів серед використовуваних при аналізі реальних даних. Його застосовують при оцінюванні математичного очікування, прогнозного значення і інших характеристик за допомогою довірчих інтервалів, по перевірці гіпотез про значення математичних очікувань, коефіцієнтів регресійної залежності, гіпотез однорідності вибірок і так далі
Розподіл Фішера - це розподіл випадкової величини

де випадкові величини Х1 і Х2 незалежні і мають розподіли хі - квадрат з числом мір свободи k1і k2відповідно. При цьому пара (k1, k2) - пара «чисел мір свободи» розподілу Фішера, а саме, k1- число мір свободи чисельника, а k2- число мір свободи знаменника. Розподіл випадкової величини F названий на честь великого англійського статистика Р.Фішера (1890-1962), що активно використав його в своїх роботах.
Розподіл Фішера використовують при перевірці гіпотез про адекватність моделі в регресійному аналізі, про рівність дисперсій і в інших завданнях прикладної статистики.
Виразу для функцій розподілу хі - квадрат, Стьюдента і Фішера, їх щільності і характеристик, а також таблиці, необхідні для їх практичного використання, можна знайти в спеціальній літературі.
Якщо потрібно отримати теоретичні частоти f' при вирівнюванні варіаційного ряду по кривій нормального розподілу, то можна скористатися формулою

де - сума всіх емпіричних частот варіаційного ряду; h - величина інтервалу в групах; - середнє квадратичне відхилення; - нормоване відхилення варіантів від середньої арифметичної; решта всіх величин легко обчислюється по спеціальних таблицях.
За допомогою цієї формули ми отримуємо теоретичний (імовірнісне) розподіл, замінюючи ним емпіричний (фактичне) розподіл, по характеру вони не повинні відрізнятися один від одного.
Порівнюючи отримані величини теоретичних частот f' з емпіричними (фактичними) частотами f, переконуємося, що їх розбіжності можуть бути вельми невеликі.
Об'єктивна характеристика відповідності теоретичних і емпіричних частот може бути отримана за допомогою спеціальних статистичних показників, які називають критеріями згоди.
Для оцінки близькості емпіричних і теоретичних частот застосовуються критерій згоди Пірсону, критерій згоди Романовського, критерій згоди Колмогорова[1].
Найбільш поширеним є критерій згоди К. Пірсона, який можна представити як суму відносин квадратів розбіжностей між f' і f до теоретичних частот:

Обчислене значення критерію необхідно порівняти з табличним (критичним) значенням . Табличне значення визначається по спеціальній таблиці, воно залежить від прийнятої вірогідності Р і числа мір свободи до (при цьому до = m - 3, де m - число груп у ряді розподілу для нормального розподілу). При розрахунку критерію згоди Пірсону повинна дотримуватися наступна умова: достатньо великим повинне бути число спостережень (n 50), при цьому якщо в деяких інтервалах теоретичні частоти < 5, то інтервали об'єднують для умови > 5.
Якщо , то розбіжності між емпіричними і теоретичними частотами розподілу можуть бути випадковими і припущення про близькість емпіричного розподілу до нормального не може бути знехтуване.
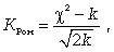
В тому випадку, якщо відсутні таблиці для оцінки випадковості розбіжності теоретичних і емпіричних частот, можна використовувати критерій згоди В.І. Романовського КРом
, який, використовуючи величину , запропонував оцінювати близькість емпіричного розподілу кривої нормального розподілу за допомогою відношення

де m - число груп; до = (m - 3 ) - число мір свободи при численні частот нормального розподілу.
Якщо вищезгадане відношення < 3, то розбіжності емпіричних і теоретичних частот можна вважати випадковими, а емпіричний розподіл - відповідним нормальному. Якщо відношення > 3, то розбіжності можуть бути достатньо істотними і гіпотезу про нормальний розподіл слід відкинути.
Критерій згоди А.Н. Колмогорова використовується при визначенні максимальної розбіжності між частотами емпіричного і теоретичного розподілу, обчислюється за формулою

де D - максимальне значення різниці між накопиченими емпіричними і теоретичними частотами; - сума емпіричних частот.
По таблицях значень вірогідності - критерію можна знайти величину , відповідну вірогідності Р. Еслі величина вірогідності Р значительна по відношенню до знайденої величини, то можна припустити, що розбіжності між теоретичним і емпіричним розподілами неістотні.
Необхідною умовою при використанні критерію згоди Колмогорова є достатньо велике число спостережень (не менше ста).
3. Використання ряд
ів розподілу при дослідженні банківської системи
За первинними даними щодо розміру кредитування юридичних осіб установами комерційних банків України станом на 01/01/2009 р, наведеними в додатку 1, побудуємо статистичний ряд розподілу та розрахуємо основні показники ряду розподілу.
Визначимо кількість груп, скориставшись формулою Стерджесса:

Визначимо розмір інтервалу, скориставшись формулою:

Визначимо верхні та нижні границі інтервалів, а також кількість статистичних одиниць, які потрапили до кожного інтервалу:
| № інтервалу |
Нижня границя інтервалу |
Верхня границя інтервалу |
Кількість статистичних одиниць |
Частота повторення |
| 1 |
17,96 |
3250,95 |
110 |
0,81 |
| 2 |
3250,95 |
6483,94 |
12 |
0,09 |
| 3 |
6483,94 |
9716,93 |
7 |
0,05 |
| 4 |
9716,93 |
12949,92 |
2 |
0,01 |
| 5 |
12949,92 |
16182,91 |
2 |
0,01 |
| 6 |
16182,91 |
19415,9 |
0 |
0,00 |
| 7 |
19415,9 |
22648,89 |
1 |
0,01 |
| 8 |
22648,89 |
25881,9 |
2 |
0,01 |
На основі цих даних будуємо гістограму розподілу установ банків за сумою наданих юридичним особам кредитів:

Графік 1 - Гістограма розподілу установ банків
Таблиця 1 - Розрахуємо основні показники варіаційного ряду, виконавши додаткові розрахунки:
| № інтервалу |
Нижня границя інтервалу |
Верхня границя інтервалу |
 |
 |
| 1 |
17,96 |
3250,95 |
0,809 |
601,1555 |
| 2 |
3250,95 |
6483,94 |
0,088 |
5143,238 |
| 3 |
6483,94 |
9716,93 |
0,051 |
7918,739 |
| 4 |
9716,93 |
12949,92 |
0,015 |
11389,66 |
| 5 |
12949,92 |
16182,91 |
0,015 |
13725,71 |
| 6 |
16182,91 |
19415,9 |
0,000 |
0 |
| 7 |
19415,9 |
22648,89 |
0,007 |
21522,94 |
| 8 |
22648,89 |
25881,9 |
0,015 |
24852,86 |
Середній розмір кредитування юридичних осіб установами банків України визначаємо за формулою середньої арифметичної зваженої:
млн.. грн..
Дисперсія:

Середнє квадратичне відхилення:

Коефіцієнт варіації
- свідчить про неоднорідність досліджуваної сукупності.
Мода:

млн.. грн..
Таким чином, найбільша кількість українських банків кредитують юридичних осіб в інтервалі від 17,96 до 3250,95 млн. грн., який і є модальним.
Медіана:
млн.. грн..
Таким чином, половина установ банків України кредитують юридичні особи у розмірі меншому за 2016,59 млн. грн.., а половина – на більшу суму.
Візуальний аналіз гістограми розподілу свідчить про те, що функція розподілу установ банків за розміром кредитів, наданих юридичним особам, нагадує показниковий (експоненціальний) або логнормальний розподіл.
Перевіримо гіпотезу про експоненціальний розподіл сукупності (при

За формулою щільності ймовірності експоненціального розподілу

Таблиця 1 - Знаходимо теоретичні частоти розподілу
| № інтервалу |
Нижня границя інтервалу |
Верхня границя інтервалу |
 |
 |
 |
| 1 |
17,96 |
3250,95 |
0,809 |
601,1555 |
0,00031451 |
| 2 |
3250,95 |
6483,94 |
0,088 |
5143,238 |
0,00005112 |
| 3 |
6483,94 |
9716,93 |
0,051 |
7918,739 |
0,00001684 |
| 4 |
9716,93 |
12949,92 |
0,015 |
11389,66 |
0,00000420 |
| 5 |
12949,92 |
16182,91 |
0,015 |
13725,71 |
0,00000165 |
| 7 |
19415,9 |
22648,89 |
0,007 |
21522,94 |
0,00000007 |
| 8 |
22648,89 |
25881,9 |
0,015 |
24852,86 |
0,00000002 |
Для оцінки близькості емпіричних та теоретичних частот використаємо критерій Пірсона:

Обчислене значення критерію необхідно порівняти з табличним (критичним) значенням . Критичне значення критерію персона при рівні значущості 0,05 та мірі свободи дорівнює 2,57.
Оскільки табличне значення критерію Персона більше за критичне, то розбіжності між емпіричними і теоретичними частотами розподілу не можуть бути випадковими і припущення про близькість емпіричного розподілу до експоненціального повинно бути відхилено.
Перевіримо гіпотез про логнормальний закон розподілу.
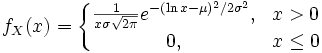
Логнормамльний розподіл в теорії вірогідності - це двохпараметричне сімейство абсолютно безперервних розподілів. Якщо випадкова величина має логнормальний розподіл, то її логарифм має нормальний розподіл.
Функція щільності ймовірності логнормального розподілу має вигляд


Графік щільності ймовірності логнормального розподілу
Таблиця 1 - Теоретичні частоти ряду розподілу:
| № інтервалу |
Нижня границя інтервалу |
Верхня границя інтервалу |
 |
 |
 |
| 1 |
17,96 |
3250,95 |
0,809 |
601,1555 |
0,041521 |
| 2 |
3250,95 |
6483,94 |
0,088 |
5143,238 |
0,004854 |
| 3 |
6483,94 |
9716,93 |
0,051 |
7918,739 |
0,003153 |
| 4 |
9716,93 |
12949,92 |
0,015 |
11389,66 |
0,002192 |
| 5 |
12949,92 |
16182,91 |
0,015 |
13725,71 |
0,001819 |
| 7 |
19415,9 |
22648,89 |
0,007 |
21522,94 |
0,00116 |
| 8 |
22648,89 |
25881,9 |
0,015 |
24852,86 |
0,001005 |
Для оцінки близькості емпіричних та теоретичних частот використаємо критерій Пірсона:

Обчислене значення критерію необхідно порівняти з табличним (критичним) значенням . Критичне значення критерію персона при рівні значущості 0,05 та мірі свободи дорівнює 2,57.
Оскільки табличне значення критерію Персона більше за критичне, то розбіжності між емпіричними і теоретичними частотами розподілу не можуть бути випадковими і припущення про близькість емпіричного розподілу до логнормального повинно бути відхилено.
Висновки
Статистичні ряди розподілу є одним з найбільш важливих елементів статистичного дослідження.
Статистичні ряди розподілу є базисним методом для будь-якого статистичного аналізу.
Статистичним рядом розподілу є впорядкований розподіл одиниць сукупності, що вивчається, на групи за певною варіюючою ознакою, характеризує структуру явища, що вивчається.
Аналізуючи розраховані показники статистичного ряду розподілу, можна робити виводи про однорідність або неоднорідність сукупності, закономірність розподілу і межі варіювання одиниць сукупності.
Вивчивши основні прийоми дослідження і практики застосування рядів розподілу, а також методику обчислення найбільш важливих статистичних величин, необхідно відзначити, що кінцева мета вивчення статистики в цілому - аналіз явища, що вивчається, - украй важливий для всіх сфер людського життя. Аналіз відображає явища в цілому і разом з цим враховує вплив кожного чинника окремо. На підставі проведеного аналізу можна враховувати і прогнозувати чинники, що негативно впливають на розвиток подій.
Аналіз ряду розподілу українських банків за ознакою «розмір кредитів, наданих юридичним особам», дозволив зробити висновки про те, що більш, ніж половина банківських установ надала юридичним особам кредити в розмірі від 17,96 до 3250,95 млн. грн. Середній розмір наданих кредитів становить млн.. грн., а середнє квадратичне відхилення суми наданих кредитів становить млн.. грн..
Візуальна оцінка ряду розподілу дозволила висунути гіпотезу про логнормальний або експоненціальний закон розподілу досліджуваної сукупності, але оцінка за критерієм Пірсона не підтвердила ці гіпотези.
Невідповідність нормальному закону розподілу можна пояснити неоднорідністю досліджуваної сукупності.
Об'єктивність результатів статистичного аналізу залежить від ступеня однорідності статистичної сукупності. Якісно і кількісно однорідною вважається сукупність, одиниці якої мають загальні якісні ознаки і близькі по значеннях кількісні (істотні) ознаки.
Проведені дослідження сукупності українських банків за ознакою ознакою «розмір кредитів, наданих юридичним особам» дають підстави стверджувати, що існуєструктурна неоднорідність банків за цією ознакою, обумовлена відмінністю в характері і об'ємах що проводяться різними по величині банками операцій, їх клієнтурою, відношенням з властями і бізнесом, відношенням до них з боку приватних вкладників, доступністю інструментів управління фінансовими ризиками, здібностями привертати ресурси на зовнішньому ринку і так далі.
Таким чином, моделювання банківського сектора не може обмежуватися сукупними агрегатами банківської системи на макрорівні, а вимагає розробки мікромоделей, що враховують особливості різних банків.
Література
1. Орлов А. И. Прикладная статистика. Учебник. — М.: Экзамен, 2006.
2. Л. В. Щербина. Общая теория статистики. - Эксмо, 2008 г.
3. В. Н. Салин, Э. Ю. Чурилова. Курс теории статистики для подготовки специалистов финансово-экономического профиля. - Финансы и статистика, 2006 г.
4. С. Р. Моисеев, М. В. Ключников, О. М. Акимов, Е. А. Пищу лин. Финансовая статистика: денежная и банковская. - КноРус, 2008 г.
Додаток 1
Таблиця 1 - Дані про розмір кредитування юридичних осіб банками України станом на 01/01/2009 р.
| № |
Установа банку |
Сума кредитування юридичних осіб, млн.. грн |
№ |
Установа банку |
Сума кредитування юридичних осіб, млн.. грн |
| 1 |
ПриватБанк |
25881,9 |
69 |
Аркада |
399,57 |
| 2 |
Райфайзен Банк Аваль |
21522,94 |
70 |
Восточно-Европейский банк |
413,36 |
| 3 |
Укрсиббанк |
14110,09 |
71 |
Финансовый союз Банк |
399,92 |
| 4 |
Укрсоцбанк |
13341,33 |
72 |
Полтава-Банк |
495,91 |
| 5 |
Укрэксимбанк |
23823,82 |
73 |
Астра-Банк |
48,02 |
| 6 |
Надра Банк |
5571,12 |
74 |
Национальный стандарт |
75,46 |
| 7 |
Ощадбанк |
6307,37 |
75 |
Банк инвестиций и сбережений |
704,08 |
| 8 |
ОТП банк |
9110,97 |
76 |
УкрБизнесБанк |
354,51 |
| 9 |
Альфа-банк |
10075,96 |
77 |
Капитал |
370,98 |
| 10 |
ВТБ банк |
12703,36 |
78 |
МистоБанк |
463,33 |
| 11 |
Форум |
8022,54 |
79 |
Меркурий |
414,46 |
| 12 |
ПУМб |
7334,45 |
80 |
Фортуна-Банк |
598,32 |
| 13 |
Брокбизнесбанк |
7344,3 |
81 |
Банк регионального развития |
467,96 |
| 14 |
Финансы и Кредит |
7095,95 |
82 |
Золотые ворота |
353,77 |
| 15 |
Укрпромбанк |
8509,07 |
83 |
Национальные инвестиции |
382,87 |
| 16 |
Кредитпромбанк |
5902,55 |
84 |
Первый инвестиционный банк |
485,96 |
| 17 |
Укргазбанк |
4445,39 |
85 |
Синтез |
96,86 |
| 18 |
Родовид Банк |
5520,83 |
86 |
Петрокомерцбанк Украина |
768,17
|
| 19 |
Сведбанк |
5039,27 |
87 |
Земельный |
530,61 |
| 20 |
Пивденний |
6407,74 |
88 |
Финбанк |
438,58 |
| 21 |
ИНГ Банк Украина |
4790,24 |
89 |
Пивденкомбанк |
297,11 |
| 22 |
УниКредит Банк |
5047,36 |
90 |
Львов |
415,72 |
| 23 |
Эрста Банк |
1266,46 |
91 |
Даниель |
321,74 |
| 24 |
VAB Банк |
3208,15 |
92 |
АРМА |
169,82 |
| 25 |
Донгорбанк |
2831,79 |
93 |
Национальный кредит |
343,43 |
| 26 |
Правэкс-Банк |
232,3 |
94 |
А-Банк |
428,56 |
| 27 |
Универсал Банк |
962,89 |
95 |
Украинский финансовый мир |
396,34 |
| 28 |
Хрещатик |
2557,45 |
96 |
Глобус |
215,51 |
| 29 |
Имэксбанк |
5411,72 |
97 |
Металлург |
229,91 |
| 30 |
Финансовая инициатива |
4067,12 |
98 |
Камбио |
295,68 |
| 31 |
Кредобанк |
2634,39 |
99 |
Артем-Банк |
164,35 |
| 32 |
Дельта Банк |
520,49 |
100 |
Агрокомбанк |
174,55 |
| 33 |
Индустриалбанк |
1736,28 |
101 |
Черноморский банк развития и реконструкции |
173,31 |
| 34 |
сведбанк Инвест |
1968,22 |
102 |
Укргазпромбанк |
261,23 |
| 35 |
Ситибанк Украина |
2314,71 |
103 |
Интеграл |
216,82 |
| 36 |
Киев |
2451,08 |
104 |
Терра Банк |
151,71 |
| 37 |
Киевская Русь |
1831,99 |
105 |
Одесса-Банк |
275,2 |
| 38 |
Индекс-банк |
788,3 |
106 |
Партнер-Банк |
214,72 |
| 39 |
Дочерний банк сбербанка России |
1362,5 |
107 |
АвтоКРАЗБанк |
334,36 |
| 40 |
Кредит-Днепр |
1758,71 |
108 |
ПлюсБанк |
17,96 |
| 41 |
Капион Банк Украина |
2032,36 |
109 |
Укркоммунбанк |
172,36 |
| 42 |
ПроКредит Банк |
526,64 |
110 |
Юнекс |
376,07 |
| 43 |
Морской транспортный банк |
1544,35 |
111 |
Столица |
239,53 |
| 44 |
Мегабанк |
1365,85 |
112 |
Премиум |
250,5 |
| 45 |
Экспресс-Банк |
885,24 |
113 |
Промэкономбанк |
186,19 |
| 46 |
Клиринговый Дом |
1359,17 |
114 |
Контракт |
203,78 |
| 47 |
Кредит Европа Банк |
375,93 |
115 |
Розничный неограниченный сервис |
122,23 |
| 48 |
БМ банк |
1284,72 |
116 |
Грант |
229,87 |
| 49 |
Электрон Банк |
456,05 |
117 |
Порто-Франко |
158,42 |
| 50 |
Пирвус Банк МКБ |
1180,22 |
118 |
Новый Украинский капитал |
242,22 |
| 51 |
Украинский Профессиональный Банк |
977,31 |
119 |
Владимирский |
118,8 |
| 52 |
Экспобанк |
938,08 |
120 |
Причерноморский |
115,03 |
| 53 |
СЕБ банк |
705,83 |
121 |
Легбанк |
251,48 |
| 54 |
Актив-Банк |
765 |
122 |
Банк Строкиевский |
174,19 |
| 55 |
Таврика |
1141,23 |
123 |
Финростбанк |
288,23 |
| 56 |
Укринбанк |
706,37 |
124 |
Банк Руссикий стандарт |
89,27 |
| 57 |
БИГ Энергия |
790,7 |
125 |
Европейский банк рационального финансирования |
175,63 |
| 58 |
Факториал-Банк |
416,44 |
126 |
Банк Богуслав |
100,24 |
| 59 |
АвтоЗАЗбанк |
442,39 |
127 |
ТК Кредит |
151,86 |
| 60 |
Диамант Банк |
790,89 |
128 |
Реал Банк |
99,9 |
| 61 |
Захидинкомбанк |
8013,89 |
129 |
Еврогазбанк |
213,31 |
| 62 |
СКБ "Днистер" |
674,94 |
130 |
УФГ |
99,66 |
| 63 |
Энергобанк |
578,85 |
131 |
Морской |
122,9 |
| 64 |
УБРП |
467,81 |
132 |
Поликомбанк |
98,55 |
| 65 |
Демарк |
720,09 |
133 |
Финексбанк |
133,9 |
| 66 |
Трансбанк |
741,24 |
134 |
Регион-Банк |
80,71 |
| 67 |
БТА банк |
315,1 |
135 |
Траст-капитал |
169,44 |
| 68 |
Базис |
592,89 |
136 |
Сигмабанк |
108,86 |
|