Коммуникации в менеджменте
Основу процесса управления составляет взаимодействие между элементами управленческой структуры — подразделениями, должностями, отдельными лицами, осуществляемое с помощью соединяющих их коммуникационных каналов, создаваемых в процессе личных контактов, обмена документами, функционирования электронных средств связи и т.п. По содержанию такое взаимодействие может быть информационным, административным или техническим.
В рамках информационного взаимодействия субъекты управленческой деятельности обмениваются сведениями, необходимыми для принятия решений. Эти сведения бывают официальными, закрепленными юридически, и неофициальными, не обладающими никаким правовым статусом, но помогающими ориентироваться в ситуации.
В процессе административного взаимодействия вышестоящие звенья управленческой структуры передают нижестоящим управленческие полномочия и ответственность, различные распоряжения, инструкции, рекомендации, получают от них отчеты, осуществляют процесс контроля.
По своему назначению административное взаимодействие бывает координационным и интеграционным. С помощью первого, которые осуществляют межфункциональные органы — комитеты, специальные группы, стратегические хозяйствующие центры и т.п., обеспечивается добровольное согласование интересов отдельных звеньев управленческой структуры и поддерживается единство их автономных действий. С помощью вторых происходит объединение элементов управленческой структуры в единое целое и их подчинение руководящему центру организации — совету директоров, правлению, штаб-квартире.
Техническое взаимодействие между субъектами управленческой структуры реализуется в процессе их участия в практической деятельности, например, в подготовке и проведении совещаний, переговоров, обмене опытом, ведении делопроизводства, сборе, фиксации, хранении, выдаче различного рода документов и пр.
По характеру взаимодействие в организации может быть прямым или косвенным. Прямое основывается на контактах сторон. Косвенное подразумевает, что одна из сторон создает условия, при которых другая, несмотря на отсутствие каких бы то ни было команд, выполняет требующиеся от нее действия.
Забиваем Сайты В ТОП КУВАЛДОЙ - Уникальные возможности от SeoHammer
Каждая ссылка анализируется по трем пакетам оценки: SEO, Трафик и SMM.
SeoHammer делает продвижение сайта прозрачным и простым занятием.
Ссылки, вечные ссылки, статьи, упоминания, пресс-релизы - используйте по максимуму потенциал SeoHammer для продвижения вашего сайта.
Что умеет делать SeoHammer
— Продвижение в один клик, интеллектуальный подбор запросов, покупка самых лучших ссылок с высокой степенью качества у лучших бирж ссылок.
— Регулярная проверка качества ссылок по более чем 100 показателям и ежедневный пересчет показателей качества проекта.
— Все известные форматы ссылок: арендные ссылки, вечные ссылки, публикации (упоминания, мнения, отзывы, статьи, пресс-релизы).
— SeoHammer покажет, где рост или падение, а также запросы, на которые нужно обратить внимание.
SeoHammer еще предоставляет технологию Буст, она ускоряет продвижение в десятки раз,
а первые результаты появляются уже в течение первых 7 дней.
Зарегистрироваться и Начать продвижение
Если при контактах между элементами управленческой структуры отсутствует промежуточное звено, говорят о непосредственном взаимодействии. Однако сегодня в крупных организациях оно возможно в ограниченных масштабах, и в большинстве случаев субъекты взаимодействуют опосредованно, то есть через кого-то, скажем, через заместителей или руководителей низового уровня.
Совокупность каналов, с помощью которых осуществляется взаимодействие субъектов управления, образует его коммуникационную структуру, которая может быть глобальной, когда охватывает организацию в целом, и локальной, если относится только к одной ее части, например, подразделению.
Осуществление взаимодействия только через одно какое-то центральное звено означает, что коммуникационная структура является централизованной, а само это звено выступает в качестве не только посредника, но и источника и контролера коммуникаций, имеющих в основном форму вертикальных связей.
В то же время структура коммуникаций может быть полицентричной, предполагающей наличие нескольких равноправных субъектов, осуществляющих концентрацию и перераспределение информации, или децентрализованной, когда большая ее часть (обычно по содержанию второстепенная) минует центральное звено.
Наличие в коммуникационной структуре параллельных и пересекающихся каналов свидетельствует о ее сложности, дающей гарантию того, что желаемое взаимодействие состоится даже в условиях тех или иных сбоев и неполадок в ней. В то же время в сложной структуре заложена потенциальная возможность искажения обмениваемой информации.
Рассмотрим теперь более подробно сами коммуникационные каналы, связывающие отдельные элементы управленческой структуры, которые выступают в роли источников, получателей, посредников, контролеров управленческой информации.
Прежде всего, эти каналы различаются техническими возможностями, например, пропускной способностью, то есть реальной величиной информации, которая может проходить через них за единицу времени, скоростью ее движения и возможными потерями.
Другой характеристикой каналов является направленность коммуникации. Она может быть односторонней, когда, например, управленческая информация движется только в одном направлении — от источника к получателю (доска приказов в организации), или двусторонней, скажем при беседе, в процессе которой имеет место обратная связь и получатель информации может должным образом доводить свою реакцию до сведения отправителя.
Сервис онлайн-записи на собственном Telegram-боте
Попробуйте сервис онлайн-записи VisitTime на основе вашего собственного Telegram-бота:
— Разгрузит мастера, специалиста или компанию;
— Позволит гибко управлять расписанием и загрузкой;
— Разошлет оповещения о новых услугах или акциях;
— Позволит принять оплату на карту/кошелек/счет;
— Позволит записываться на групповые и персональные посещения;
— Поможет получить от клиента отзывы о визите к вам;
— Включает в себя сервис чаевых.
Для новых пользователей первый месяц бесплатно.
Зарегистрироваться в сервисе
Коммуникационные каналы внутри организации могут быть формальными и неформальными. Первые связывают между собой должности или подразделения, а вторые — частных лиц. По формальным каналам осуществляются передача только официальной информации; по неформальным — как официальной, так и личной.
Если коммуникационные каналы связывают элементы управленческой структуры, принадлежащие к различным ее уровням, они являются вертикальными, а если к одному — горизонтальными. Каналы, связывающие элементы, относящиеся не только к разным уровням, но и к различным частям структуры могут быть названы диагональными. Обычно они предназначены для осуществления не административных, а в основном информационных и технических связей между участниками различного рода комитетов, комиссий, специальных групп. Большинство горизонтальных и диагональных каналов сегодня еще относятся к разряду неофициальных или полуофициальных.
По вертикальным каналам сверху вниз передаются команды и инструкции, а в обратном направлении — отчеты о проделанной работе и, если позволяет сложившийся стиль управления — советы и рекомендации руководству. Поскольку работники разных уровней не всегда хорошо понимают и представляют себе работу друг друга, при обмене информацией между ними имеют место ее значительные потери. Исследования показывают, что в крупных организациях при переходе от одного уровня к другому теряется до 30% информации, а в целом по цепочке при движении сверху вниз ее потери достигают 80% , а снизу вверх — 90%.
Горизонтальные каналы непосредственно связывают равные по положению или статусу элементы организации, обеспечивают наиболее эффективное решение общих проблем за счет повышения оперативности этого процесса, возможности действовать инициативно и самостоятельно с учетом конкретной ситуации. Поскольку сотрудники одного уровня, даже работающие в разных подразделения лучше знают и понимают проблемы друг друга (не в последнюю очередь благодаря неформальным контактам), потери информации здесь не столь велики — обычно не более 10%.
Коммуникационные сети и их разновидности
В организациях, где занято более двух человек, коммуникационные каналы объединяются в так называемые сети, связывающие элементы управленческой структуры в единое целое, и столь же многоуровневые, как она сама. Они объединяют в себе формальные и неформальные коммуникационные каналы, как дублирующие, так и дополняющие друг друга. На практике можно выделить три вида коммуникационных сетей: открытые, замкнутые и комбинированные. В открытых движение команды или информации может быть остановлено, потому что оно попадает в тупик, то есть к элементу структуры управления, находящемуся в конце канала. Оно может также наткнуться на "посредника" или "контролера" (промежуточное звено в сети коммуникации), который по каким-то причинам этому движению препятствует (останавливает, искажает, направляет в другую сторону) и которого нельзя минуть. В замкнутых сетях тупики и контролеры либо отсутствуют, либо могут быть обойдены. Комбинированные сети сочетают в себе оба принципа построения и присущи больше крупным многоуровневым организациям.
Рассмотрим более обстоятельно каждый из видов сетей, их достоинства и недостатки, помня при этом, что речь идет об их принципиальных схемах, а не о "портретах" тех или иных реальных организаций или подразделений.
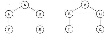
Наиболее простой вид открытой коммуникационной сети — линейная, называемая змеей (схема 6.1). Она характеризуется тем, что элементы структуры управления А и Б, которые она соединяет, находятся в тупиках, а В выполняет роль не только посредника коммуникаций, но может контролировать их. Такая сеть соединяет работников одного уровня управления, имея чаще всего неформальный характер, или является элементом более сложной сети.

Схема 6.1. Сеть типа "Змея"
Сети, состоящие из двух и более уровней, присущи, прежде всего, формальным иерархическим структурам и имеют центральное звено, служащее исходным пунктом вертикальных коммуникационных каналов.
Если число звеньев, принадлежащих к нижнему уровню иерархии управленческой структуры, не выходит за пределы диапазона контроля, наиболее подходящей для нее является коммуникационная сеть, которая носит название звезда (схема 6.2). Она позволяет оперативно получать информацию, концентрировать ее в центральном звене и в кратчайшие сроки направлять исполнителям Б, В, Г. Звену А легко поддерживать порядок в управлении, поскольку при коммуникациях отсутствуют посредники и неформальные каналы, что делает невозможным появление различного рода "возмущений".
Однако для крупных управленческих структур такая коммуникационная сеть непригодна. Центральное звено А уже не в состоянии вырабатывать самостоятельно все решения и доводить их до исполнителей. У него появляется помощник (посредник) Б, конкретизирующий команды и распределяющий информацию между исполнителями В, Г, Д.


Схема 6.2. Сеть типа "Звезда" Схема 6.3. Сеть типа "Шпора"
Являясь представителем среднего уровня управления и играя де-юре вторые роли, на деле он получает огромную власть, так как контролирует информацию и может навязывать свою волю первому лицу. Такая сеть получила название шпора (схема 6.3).
В сетях типа "звезда" и "шпора" число коммуникационных каналов, сходящихся к центральному элементу, на практике может бесконечно расти и в конце концов превысить возможности отдельного человека их контролировать. Это обстоятельство ставит естественный предел развитию управленческих структур, а, следовательно, препятствует расширению самих организаций, обусловленному ростом масштабов производства.
Поэтому для крупных многопрофильных функциональных структур свойственны иные коммуникационные сети, например, тент (схема 6.4) и его модификации. Суть этих модификаций, получивших название палатка и дом (схема 6.5 и 6.6), состоит в официальном допущении наряду с вертикальными горизонтальных коммуникационных каналов, посредством которых подчиненные могут напрямую самостоятельно решать многие второстепенные проблемы, что позволяет руководству не отвлекаться на них и сосредоточиться на главном.

Схема 6.4. Сеть типа "Тент" Схема 6.5. Сеть типа'"Палатка"
В "палатке" допускается один уровень горизонтальной коммуникации — между вторыми лицами; в "доме" же такие каналы возможны на всех уровнях управленческой структуры, что придает ему характер замкнутой сети. Практика показывает, однако, что вследствие относительно свободного пользования коммуникационными каналами здесь могут возникать определенные целенаправленные деформации, с помощью которых отдельные субъекты управленческой структуры могут быть сначала выключены пи системы коммуникаций, а затем удалены из нее.
Например, на основе предварительной договоренности субъект Д может направлять информацию для А через Б и Г, минуя В, что должен делать в соответствии с формальными предписаниями. Через некоторое время будет нетрудно доказать принципиальную ненужность В и возможность исключения его из управленческой структуры.
В целом открытые коммуникационные структуры присущи бюрократическим организациям, где имеет место жесткое подчинение одних звеньев другим, и преобладают формальные связи. Однако в рамках таких организаций могут существовать и гибкие структуры — консультационные и совещательные (комитеты, комиссии, специальные творческие группы), которые основаны преимущественно па неформальных или полуформальных внутренних связях м принципах, самоуправления.

Схема 6.6. Сеть типа "Дом" Схема 6.7. Сеть типа "Круг"
Одной замкнутых сетей является сеть типа «круг» (схема 6, 7). В крупной организации он может быть сложным, включающим дополнительные коммуникационные каналы, связывающие всех со всеми. "Круг" характерен для структур с благоприятным морально-психологическим климатом. Он помогает объединять людей, облегчать обмен информацией и идеями, стимулирует творческие процессы.

Схема 6.8.Сеть типа "Колесо"
Творчеством, конечно, нельзя командовать, в условиях отсутствия координации оно развивается все же не достаточно эффективно. Такая координация обеспечивается с помощью коммуникационной сети типа "колесо" (схема 6.8), в которой имеется центральный субъект, облегчающий и ускоряющий процесс коммуникаций. Однако это не отдающий распоряжения администратор, а общепризнанный лидер, ведущий за собой остальных. В крупных организациях творческие группы могут быть связаны друг с другом, и тогда коммуникационная структура принимает вид "сот" (схема 6.9). Это — сеть комбинированная, в сущности, представляющая собой единство открытой "змеи" и замкнутого "колеса" или "круга". Процесс коммуникаций имеет уже здесь свои тупики, а связники легко превращаются в контролеров. Эти тупики при необходимости можно преодолеть замыканием самой "змеи" с использованием принципа "соединительного звена", о котором речь пойдет ниже.

Схема 6.9. Сеть типа "Соты"
Управленческие решения в менеджменте
В процессе управленческой деятельности решение занимает центральное, ключевое место. Практические любое действие руководителя начинается с принятие того или иного решения. От того, какое решение будет принято правильное или не правильное, зависят результаты деятельности организации и влияет как на весь коллектив, так и на отдельного работника.
Что собой представляет управленческое решение?
Под управленческим решением можно понимать обдуманный вывод о необходимости осуществить какие-то действия, прямо или косвенно связанные с достижением целей, стоящих перед организацией и ее членами, либо наоборот, воздержаться от них.
Проблемы как предпосылки принятия решений
Необходимость принятия решений обусловлена существованием связанных с ее деятельностью проблем, то есть сложных теоретических вопросов или практических ситуаций, характеризующихся разрывом между тем, что есть и, что должно быть, между необходимым (или желаемым) и существующим состоянием.
Например, такой разрыв может существовать между ожиданиями по отношению к организации со стороны ее членов, деловых партнеров, общества в целом и ее способностью эти ожидания удовлетворить.
Проблемы всегда имеют:
- определенное содержание (что?);
- связаны с каким-то конкретным местом (где?);
- временем возникновения и разрешения, частотой повторяемости (когда?);
- количественными параметрами (сколько?);
- кругом лиц, так или иначе причастных к ним (кто?). Эти лица могут быть виновниками возникновения проблем, инициаторами или участниками их разрешения, заинтересованными в их сохранении.
Обычно бывают, неясны:
- либо причины возникновения проблем,
- либо пути их преодоления,
- либо то и другое одновременно,
а поэтому поиск решения требует специальных исследований, на основе которых можно понять структуру самих проблем и внутренние взаимосвязи их отдельных элементов.
Наиболее важным видом таких взаимосвязей является причинна-следственная зависимость, при которой изменения в одном элементе порождают соответствующие изменения в другом.
Эта зависимость может быть:
- как строгой, так и не строгой.
- она может быть односторонней или двусторонней, если к прямой связи добавляется обратная: следствия не только порождаются причинами, но в свою очередь влияют на них.
- Зависимость между элементами может быть не только линейной, но и нелинейной, отражающей непропорциональные изменения взаимосвязанных переменных.
Поскольку зависимость между переменными далеко не всегда отчетливо видна, для выявления ее необходим причинно-следственный анализ. Он основывается на наличии очевидных нежелательных или отличающихся от запланированных результатов тех или иных действий. Анализ позволяет выявить и подтвердить наиболее вероятные причины, которые вызвали к жизни данную проблему.
Чаще всего речь может идти о следующих факторах.
Во-первых, о неверных принципах, на которых основывается де¬ятельность организации. Например, низкий уровень рентабельности, в результате чего получаемой прибыли не будет хватать даже для уплаты налогов.
Во-вторых, об ошибочных критериях оценки деятельности организации, подразделения, коллектива или отдельного работника. (Завышенные критерии покажут наличие проблемы там, где ее в действительности нет, а заниженные, наоборот, приуменьшат ее реальное значение).
В-третьих, о нарушениях в процессе достижения поставленных целей, которые могут иметь в качестве причины не только случайные, но и умышленно инспирированные ошибки, обусловленные стремлением нанести ущерб организации или отдельному лицу.
В-четвертых, о непредвиденных обстоятельствах, которые иногда сложно предвидеть, (например, стихийных бедствиях, техногенных катастрофах типа чернобыльской, политических и экономических катаклизмах).
Если, например, проблема существует изначально, и с первого дня функционирования организации, получаемые результаты отличаются от намеченных, необходимо начать с изучения обоснованности стандартов деятельности и соответствия реальных внешних условий ожидаемым. Если с той и другой стороны все в порядке, в поисках причины нужно двигаться вглубь или вовне организации.
Если проблема обнаружилась позже и о ее причинах сразу же можно сделать определенные предположения, в задачу анализа вхо¬дит проверка их истинности, подтверждение наличия связей между ними и следствиями, которые можно наблюдать в реальной жизни, В том случае, когда в результате произведенной корректировки ничего не меняется, осуществляется поиск факторов, нарушающих обычную причинно-следственную зависимость. К ним может, например, относиться попытка самостоятельного исправления положения не достаточно компетентными лицами. При проведении причинно-следственного анализа необходимо учитывать имеющийся опыт, для чего проблема обсуждается всеми людьми, кого она в той или иной степени касается, или кто прежде сталкивался с аналогичными ситуациями. Здесь, конечно, может иметь место определенный субъективизм и предвзятость оценок и суждений, но при достаточно большом круге лиц происходит усреднение мнений и формируется оценка, достаточно адекватно отражающая реальность.
Предпосылкой и результатом причинно-следственного анализа является классификация возникших проблем, которая может быть осуществлена по ряду признаков:
- одним из них является степень важности для организации. Так, важные проблемы, например, нехватка средств для инвестиций или устаревшая структура производственного аппарата, оказывают воздействие не только на текущее, но и на будущее положение организации. В то же время от малозначительных проблем, скажем, от отсутствия денег для своевременной выплаты премий, как говорится, не умирают.
- другим классификационным признаком проблем можно считать их масштабность, характеризующуюся числом членов организации, которых эти проблемы в той или иной степени затрагивают.
- проблемы можно различать по степени риска, связанного с их существованием. Он измеряется вероятностью нежелательных для организации последствий и проявляется, например, цепочкой новых проблем, порожденных прежними, крупного экономического или иного ущерба, подрывающего устойчивость организации или угрожающего ее существованию вообще.
Понятно, что проблемы, существование которых сопряжено с риском, необходимо решать как можно скорее, пока не произошло дальнейшего ухудшения ситуации. Иными словами они являются срочными, хотя обратное утверждение было бы не вполне верным — не все срочные проблемы связаны с большим риском.
Срочность проблемы чаще всего находится в обратном соотношении с ее важностью. В момент своего возникновения важные проблемы обычно не являются "горящими", что дает формальное основание отодвинуть их на некоторое время в сторону, а потом в суете и вовсе забыть. В итоге благоприятный момент для их решения может оказаться упущенным, а сами они превратятся в срочные, а возможно, и рискованные.
Управленческие проблемы можно различать также по степени структуризации и формализованности:
- одни проблемы легко формулируются, поддаются расчленению на отдельные элементы, между которыми хорошо просматриваются взаимосвязи. Их удобно выражать в количественных показателях, что открывает прямую дорогу для математического моделирования и решения с помощью формальных методов.
- другие проблемы структурируются только в основном, поэтому у них удается количественно описать и формализовать только главные элементы и взаимосвязи, что затрудняет использовать приемы моделирования.
- третьи вовсе не могут быть структурированы и поддаются только качественному описанию, не допускающему возможности формализации.
Наконец, проблемы можно классифицировать в зависимости от возможности их решения. Некоторые, хотя таких на самом деле не столь много, нельзя решить в принципе ни при каких обстоятельствах; другие не могут быть решены лишь в данных условиях, скажем, из-за нехватки средств; для решения третьих препятствий вообще не существует, и оно может быть реализовано в любой момент.
Однако проблемы лучше все же не решать, а предотвращать путем проведения профилактических мероприятий, позволяющих снизить вероятность появления нежелательных ситуаций.
Решение и его разновидности
Решение проблем, больших и малых, сложных и простых, важных и второстепенных, составляющее суть процесса управления, представляет собой волевое воздействие субъекта процесса управления на объект, ради достижения стоящих перед ним целей.
Результаты управленческих решений, особенно в рамках крупных организаций, затрагивают интересы множества людей, например:
- на подчиненных, можно влиять прямо и непосредственно;
- для других воздействие может быть лишь опосредованным, через смежные с ними факторы (скажем, снизить цены на свободном рынке удается, не регулируя их. напрямую, а создав избыточное предложение товаров и услуг);
- третьи факторы просто приходится "принимать к сведению" и стараться их нейтрализовать, либо застраховаться от их последствий.
Управленческие решения можно рассматривать с разных точек зрения. По степени влияния на будущее организации они делятся на: стратегические и тактические.
- Стратегические определяют основные пути ее развития;
- Тактические — конкретные способы продвижения по ним.
Так, решение организации выйти на внешний рынок будет в этом смысле стратегическим, а решение о проведении необходимых мероприятий с целью повышения конкурентоспособности выпускаемой продукции — тактическим. Обычно стратегические решения принимаются на высшем уровне управления организацией, а тактические на низших.
Стратегические решения чаще всего диктуются обстоятельствами, под влиянием которых высшее руководство берет на себя инициативу их принятия, поэтому они являются инициативными; тактические решения, конкретизирующие поступающие сверху указания, имеют характер предписанных.
В соответствии с временным горизонтом можно говорить о перспективных решениях, реализуемых в будущем, и текущих, ориентированных на нужды сегодняшнего дня. К разряду первых можно отнести решение об инвестировании средств в реконструкцию предприятия; ко вторым — о вложении временно свободных денег в краткосрочные ценные бумаги.
В зависимости от продолжительности периода реализации принято выделять:
- долгосрочные (свыше 5 лет) и имеют прогнозный характер; -- среднесрочные (от года до 5 лет) отражаются уже в обязательных для исполнения планах и программах, в соответствии с которыми осуществляются конкретные практические мероприятия.
- краткосрочные (до одного года) решения и отражаются в устных или письменных приказах или распоряжениях.
По степени обязательности исполнения решения подразделяются на: директивные, рекомендательные и ориентирующие.
Так, директивные решения обычно разрабатываются высшими органами управления в стабильных условиях по поводу наиболее важных текущих и перспективных проблем организации и предназначены для обязательного исполнения на ее низших уровнях.
Рекомендательные решения готовятся совещательными органами — различного рода комитетами или комиссиями. Их исполнение желательно, но не обязательно, поскольку те, к кому эти решения относятся, не подчиняются тем, кто их принимает.
Наконец, ориентирующие решения, как и директивные, предназначены для низших уровней управления, однако действующих в условиях значительной свободы от центра. Ориентирующими по сути можно считать прогнозные решения, являющиеся как бы "маяком" для плановых.
По функциональному назначению можно выделить:
- организационные (об учреждении акционерного общества, распределении служебных обязанностей и т.п);
- координирующие, например, распределение текущей работы среди исполнителей.
- регулирующие, которые предписывают способ осуществления в определенных ситуациях тех или иных действий и выражаются в в виде правил, распорядка, графиков, нормах, нормативах и пр.
- активизирующие, (дополнительные )
- и контролирующие решения - служат для оценки результата тех или иных действий подчиненных.
По способу принятия можно выделить: выборочные и систематические решения.
В зависимости от числа участников они делятся на единоличные и коллективные (последние бывают консультативными, совместными и парламентскими).
Консультативное решение предполагает, что лицо, которое его окончательно принимает, советуется с окружающими — подчиненными или экспертами, а затем, с учетом высказанных рекомендаций делает собственный выбор. Совместное решение принимается в результате взаимного согласия всех участников на основе консенсуса, а парламентское базируется на том, что большинство причастных к нему лиц выражает с ним свое согласие.
По широте охвата выделяются общие и специальные решения:
- общие касаются одинаковых проблем, например, о времени начала и окончания рабочего дня, обеденных перерывов, сроках выплаты заработной платы и т.п.
- специальные решения относятся к узким проблемам, присущим только одному подразделению или группе работающих в нем людей.
С точки зрения предопределенности управленческие решения принято делить на:
- запрограммированные (например, на транспорте при наступлении обусловленного срока дается сигнал об отправлении поезда)
- и незапрограммированные (принимаются в неординарных обстоятельствах и требует индивидуального творческого подхода, интегрирующего разносторонний опыт, данные специальных исследований, искусство и чутье менеджера.
По сфере реализации решения могут быть связаны с производством, сбытом, научными исследованиями, кадрами и т.п.,
а по содержанию бывают:
- техническими (использования оборудования, технологий),
- экономическими (связаны с затратами, которые несет организация, и обусловленными ими результатами),
- социальными (условий труда персонала, его оплаты, льгот, гарантий).
Решения можно классифицировать по способам принятия:
- Интуитивное решение имеет в своей основе предположение руководителя, что его выбор правилен. На него влияет так называемое "шестое чувство", своего рода озарение, посещающее наиболее опытных менеджеров, обладающих широким кругозором и одновременно располагающих минимальным временем, не позволяющим долго раздумывать над ситуацией. При принятии таких решений весьма велик риск ошибок, поэтому они допустимы лишь, в крайнем случае, скорее как исключение, а не правило.
- Адаптационное решение основывается на общих знаниях, здравом смысле и имеющемся у руководителя негативном и позитивном опыте. Оно предполагает действия, которые в аналогичной ситуации в прошлом были успешными, с поправкой, разумеется, на сегодняшний день. Положительной стороной такого решения является простота и оперативность принятия, однако оно имеет ряд существенных недостатков.
Так, здравый смысл на практике встречается весьма редко; опыт, на который при этом возлагаются столь большие надежды, может отсутствовать, особенно, если решение принимается впервые. Действуя же по аналогии в известном направлении, легко упустить другие, гораздо более выгодные варианты решений.
Слабой стороной обоих видов решений является их субъективность, которая обусловлена, прежде всего, характером руководителя, в соответствии с чем они могут быть рискованными или взвешенными, инертными или импульсивными, а также компетентностью, опытом, образованием, от которых зависит уровень понимания ситуации и проблем.
Психологи считают, что необходимые для принятия решений трезвость, выдержка, умение системно мыслить и т.п. приходят к большинству людей в возрасте около 45 лет и, по крайней мере, до 60 лет остаются довольно высокими.
Но даже с учетом этого опасность субъективизма при принятии интуитивного и адаптационного решений не ослабевает. Она устраняется только при выработке и принятии рационального решения.
Рациональное решение и этапы его принятия
В основе рационального решения лежит объективный анализ условий, в которых организация действует в настоящий момент и которые предположительно будут иметь место в перспективе. Такое решение подготавливается и принимается в несколько этапов.
На первом этапе на основе анализа ситуации в целом определяется так называемое проблемное поле, в рамках которого с помощью изучения отдельных симптомов, то есть признаков, самих по себе ничего не объясняющих, выявляются и формулируются стоящие перед организацией проблемы.
Вторым этапом поиска рационального решения является анализ проблемы, о котором уже говорилось.
Третий этап процесса выработки и решения проблем состоит в постановке конкретных задач и формулировке общих условий их решения, что позволяет выбрать наиболее эффективный и рациональный способ практических действий.
Четвертый этап заключается в определении возможности и целесообразности решения возникших проблем. (мозговая атака, метод обсуждения (участники взвештвают все «за» и «против»), метод Дельфи, морфологический метод (поэлементный анализ) )
Пятый этап работы предполагает определение критериев отбора окончательного варианта.. Это необходимые критерии - правовые, технические, экологические и иные сходные с ними нормы и нормативы, технические условия эксплуатации, требования законодательства.И желательные критерии, например эргономические (обеспечение удобства и комфорта для работника); социальные (его защищенность, поддержка, безопасность
На шестом этапе выработки и принятия рационального реше¬ния происходит формулировка его различных вариантов. Выбрать один из вариантов решения — значит найти такое сочетание их качественных и количественных переменных, которое в наибольшей степени будет отвечать этой задаче.
С точки зрения принципиального подхода к вариантности выделяют несколько видов решений: безальтернативные, бинарные, многовариантные и инновационные. Рассмотрим их подробнее.
Безальтернативное решение (когда все ясно и есть только один выход из положения, что обычно характерно для несложных стандартных ситуаций и проблем, называемых на управленческом языке закрытыми. Например, по достижении шестилетнего возраста родители обязаны послать детей в школу.
Однако большинство проблем является открытыми, то есть допускающими больше одного решения. так называемое бинарное решение, предполагающее два достаточно различающихся варианта действий, позволяющих сделать между ними выбор.
Конечно, это лучше, чем один, но все же достаточной уверенности в том, что один из вариантов будет оптимальным, нет. Такая уверенность появляется при принятии многовариаптного решения, предполагающего возможность выбора из достаточно большого числа способов действия.
Однако может быть так, что ни один из них не даст оптимального результата, и тогда можно попытаться выработать так называемое инновационное решение. Делается это на основе искусственного комбинирования отдельных наиболее подходящих и не противоречащих друг другу характеристик тех решений, которые были в целом отклонены. Поскольку такой подход носит в основном механистический характер, удовлетворительный результат здесь получить довольно сложно, а порой и невозможно. Он может рассматриваться, скорее, как временный или как основа для продолжения работы в данном направлении.
Седьмой этап на пути принятия рационального решения состоит в выборе его окончательного варианта, который будет реализовываться на практике.
Если варианты решения могут быть формализованы и выражены в количественных показателях, обычно сложностей при выборе наиболее подходящего не возникает. Сначала отбираются лучшие до техническим параметрам, а затем происходит оптимизация по социально-экономическим, прежде всего по критерию минимума затрат, максимума прибыли или их наиболее благоприятного соотношения.
Однако на практике варианты решения далеко не всегда удается формализовать, и в этом случае для выбора наиболее подходящего из них пользуются методом экспертных оценок.
Восьмой этап на пути принятия рационального решения заключается в согласовании его основных положений с исполнителями и заинтересованными лицами (план мреоприятий).
Наконец, на девятом этапе происходит утверждение решения руководством организации или подразделения.
Реализаций решений
1. составление графика ввода его в действие
2. контроль за этим процессом. По форме и методам проведения он может быть: сплошным или выборочным, внутренним (взаимным или с помощью специального подразделения) или внешним (аудиторская фирма).
Способы или методы реализации решения должны быть прак тически применимыми, экономичными, должны обладать достаточной точностью, и быть надежными, не допускающими значительных ошибок.и не создающими ситуаций с повышенным риском.
Успех в деле решения проблем обусловлен влиянием трех групп, факторов: организационных, материальных и личных. К организационным факторам относится, прежде всего, способность организации своевременно перестроиться для нужд решения проблемы в соответствии с изменившимися условиями, приспособиться к ним. Другим фактором является своевременность обнаружения проблемы, и наличие необходимого запаса времени для выхода из сложившейся ситуации. Нужно иметь в виду, что в условиях цейтнота очень легко принять неверное решение и пойти по пути, уводящему в сторону. Еще одним организационным фактором, влияющим на процесс реализации решений, являются его возможные последствия. Если прогноз хороший, то исполнители будут работать с подъемом, а если плохой — спустя рукава, так что в первом случае результат окажется лучше ожидаемого, а во втором — хуже.
Наконец, на эффективность реализации решения во многом оказывает влияние стабильность, надежность функционирования организации, ее устойчивость в отношении разного рода помех, создающих возможность отклонений от намеченного пути.
К материальным факторам, оказывающим влияние на успешность решения проблем, относится наличие необходимых для этого ресурсов — естественных, технологических, информационных и т.п. — и возможность свободного маневрирования ими.
Наконец, личными факторами является необходимый уровень квалификации, знаний и опыта сотрудников, занимающихся решением проблем, степень понимания решений, обусловливающая соответствующее отношение к делу; ожидаемое вознаграждение в случае успеха или, наоборот, боязнь возможного наказания при неудаче; общий морально-психологический климат в организации. Существует ряд обстоятельств, которые на практике крайне неблагоприятно влияют на эффективность решения проблем. Прежде всего это недооценка их важности, сложности, возможных последствий. В итоге могут начать стремительно развиваться негативные тенденции, ставящие под вопрос благополучие и стабильность организации в будущем. Крайне отрицательно на эффективность решений воздействует и субъективизм их авторов, ориентация их исключительно на личный опыт, интуицию, вдохновение, симпатии или антипатин к кому-то или чему-то, преследование собственной выгоды, заслоняющей все остальное.
|