̳í³ñòåðñòâî îñâ³òè ³ íàóêè Óêðà¿íè
Êè¿âñüêèé ³íñòèòóò ì³æíàðîäíî¿ åêîíîì³êè òà ï³äïðèºìíèöòâà
Ôàêóëüòåò ̳æíàðîäíî¿ åêîíîì³êè (Åêîíîì³÷íèé, Åêîíîì³÷íî¿ ê³áåðíåòèêè, Çàî÷íèé)
Êàôåäðà ì³æíàðîäíî¿ åêîíîì³êè (åêîíîì³êè ï³äïðèºìñòâà; îáë³êó òà àóäèòó; åêîíîì³÷íî¿ ê³áåðíåòèêè)
Ñïåö³àëüí³ñòü: 6.050100 “̳æíàðîäíà åêîíîì³êà” (6.050100 “Åêîíîì³êà ï³äïðèºìñòâà”, 6.050100 “Îáë³ê òà àóäèò”, 6.050100 “Åêîíîì³÷íà ê³áåðíåòèêà”)
Забиваем Сайты В ТОП КУВАЛДОЙ - Уникальные возможности от SeoHammer
Каждая ссылка анализируется по трем пакетам оценки: SEO, Трафик и SMM.
SeoHammer делает продвижение сайта прозрачным и простым занятием.
Ссылки, вечные ссылки, статьи, упоминания, пресс-релизы - используйте по максимуму потенциал SeoHammer для продвижения вашего сайта.
Что умеет делать SeoHammer
— Продвижение в один клик, интеллектуальный подбор запросов, покупка самых лучших ссылок с высокой степенью качества у лучших бирж ссылок.
— Регулярная проверка качества ссылок по более чем 100 показателям и ежедневный пересчет показателей качества проекта.
— Все известные форматы ссылок: арендные ссылки, вечные ссылки, публикации (упоминания, мнения, отзывы, статьи, пресс-релизы).
— SeoHammer покажет, где рост или падение, а также запросы, на которые нужно обратить внимание.
SeoHammer еще предоставляет технологию Буст, она ускоряет продвижение в десятки раз,
а первые результаты появляются уже в течение первых 7 дней.
Зарегистрироваться и Начать продвижение
ÄÎÏÓÑÒÈÒÈ ÄÎ ÇÀÕÈÑÒÓ:
Çàâ³äóâà÷ êàôåäðîþ
_______________________
“___” ____________ 20__ð.
ÁÀÊÀËÀÂÐÑÜÊÀ ÐÎÁÎÒÀ
ÒÅÌÀ: Àâòîìàòèçàö³ÿ óïðàâë³ííÿ çàïàñàìè òîðã³âåëüíîãî ï³äïðèºìñòâà
Ðîçðîáèâ(ëà):
Êåð³âíèê:
Êè¿â–2008
Çì³ñò
Âñòóï
Ðîçä³ë 1. Ñóòí³ñòü óïðàâë³ííÿ çàïàñàìè â êîìåðö³éí³é ä³ÿëüíîñò³ òîðãîâî-ïîñåðåäíèöüêîãî ï³äïðèºìñòâà
1.1 Çàäà÷à óïðàâë³ííÿ çàïàñàìè â êîìåðö³éíèõ ï³äïðèºìñòâàõ íà ñó÷àñíîìó åòàï³ ðîçâèòêó åêîíîì³êè òà íàóêîâèõ äîñë³äæåíü
Сервис онлайн-записи на собственном Telegram-боте
Попробуйте сервис онлайн-записи VisitTime на основе вашего собственного Telegram-бота:
— Разгрузит мастера, специалиста или компанию;
— Позволит гибко управлять расписанием и загрузкой;
— Разошлет оповещения о новых услугах или акциях;
— Позволит принять оплату на карту/кошелек/счет;
— Позволит записываться на групповые и персональные посещения;
— Поможет получить от клиента отзывы о визите к вам;
— Включает в себя сервис чаевых.
Для новых пользователей первый месяц бесплатно.
Зарегистрироваться в сервисе
1.2 Ñòðàòåã³ÿ êîìåðö³éíî¿ ä³ÿëüíîñò³ ï³äïðèºìñòâ â ãàëóç³ óïðàâë³ííÿ çàïàñàìè
1.3 Ïðèíöèïè îïòèì³çàö³¿ óïðàâë³ííÿ çàïàñàìè â êîìåðö³éí³é ä³ÿëüíîñò³ òîðãîâî-ïîñåðåäíèöüêèõ ï³äïðèºìñòâ
1.4 Âèñíîâêè ðîçä³ëó 1
Ðîçä³ë 2. Êîìåðö³éíà ä³ÿëüí³ñòü òîðãîâîãî ï³äïðèºìñòâà «Ìîíîëèò Ïëàñò» ³ îïòèì³çàö³ÿ çàäà÷ ï³äïðèºìñòâà â ãàëóç³ óïðàâë³ííÿ çàïàñàìè
2.1 Àíàë³ç êîìåðö³éíî¿ ä³ÿëüíîñò³ ÏÏ «Ìîíîëèò Ïëàñò» ïî îïòîâèì çàêóïêàì òà çáóòó ñàíòåõí³÷íî¿ ïðîäóêö³¿
2.2 Çàãàëüíà ïîñòàíîâêà çàäà÷³ óïðàâë³ííÿ çàïàñàìè ï³äïðèºìñòâà ÏÏ «Ìîíîëèò Ïëàñò» (ÀÂÑ+XYZ – ìåòîäîëîã³ÿ)
2.3 Îö³íêà åôåêòèâíîñò³ âïðîâàäæåííÿ ïðîåêò³â àâòîìàòèçàö³¿ óïðàâë³ííÿ çàïàñàìè ÏÏ «Ìîíîëèò Ïëàñò» íà áàç³ ñïîëó÷åííÿ ÀÂÑ òà XYZ – àíàë³ç³â
2.4 Âèñíîâêè ðîçä³ëó 2
Âèñíîâêè
Ñïèñîê âèêîðèñòàíèõ äæåðåë
Äîäàòêè
Âñòóï
Ç òîãî ìîìåíòó, ÿê ñóñï³ëüñòâî ï³øëî â³ä ïëàíîâî¿ åêîíîì³êè é âñòóïèëî â ðèíêîâ³ â³äíîñèíè óìîâè ôóíêö³îíóâàííÿ ï³äïðèºìñòâ ïîâí³ñòþ çì³íèëèñÿ, òîáòî ùîá âèæèòè, ï³äïðèºìñòâó íåîáõ³äíî ïðîÿâëÿòè ³í³ö³àòèâó, çàïîâçÿòëèâ³ñòü é îùàäëèâ³ñòü äëÿ òîãî, ùîá ï³äâèùèòè åôåêòèâí³ñòü
Àêòóàëüí³ñòü äîñë³äæåíü òîâàðíî¿ ïîë³òèêè òà ìåòîä³â óïðàâë³ííÿ çàïàñàìè íà òîðã³âåëüíîìó ï³äïðèºìñòâ³ ïîëÿãຠâ òîìó, ùî â äàíèé ÷àñ ëèøå äåÿê³ òîðãîâåëüí³ ô³ðìè â³äíîñÿòüñÿ äî ôîðìóâàííÿ àñîðòèìåíòíî¿, ö³íîâî¿ ³ çáóòîâî¿ ïîë³òèêè òàê ñåðéîçíî, ÿê öå íàïèñàíî â á³ëüøîñò³ âèäàíü. Öå äຠ¿ì ïåâí³ ïåðåâàãè – çíàòè ðèíîê, ç íàéá³ëüøîþ ³ìîâ³ðí³ñòþ ïðîðîêóâàòè ïîâåä³íêó ïîïèòó, çàâîéîâóâàòè ïîêóïö³â ³ ³í. Çäîáóâàþ÷è, òàêèì ÷èíîì, ô³íàíñîâó ì³öü òàê³ ï³äïðèºìñòâà º ñåðéîçíîþ ïåðåøêîäîþ íà øëÿõó ðîçâèòêó äð³áíèõ îïòîâèõ ô³ðì, ó ðåçóëüòàò³ ÷îãî äð³áí³ ô³ðìè, ùî ïðàöþþòü ó áëèçüêîìó ñåãìåíò³, çìóøåí³ çíàõîäèòè îáõ³äí³ øëÿõè.
Ìåòîþ ðîáîòè º îïòèì³çàö³ÿ óïðàâë³ííÿ òîâàðíèì àñîðòèìåíòîì òà åôåêòèâí³ñòþ êîìåðö³éíî¿ ä³ÿëüíîñò³ ï³äïðèºìñòâà ÏÏ «Ìîíîëèò Ïëàñò» ç âèêîðèñòàííÿì àâòîìàòèçîâàíèõ ñèñòåì àíàë³çó àñîðòèìåíòó ïðîäàæ òà ïðîãíîçó îïòèìàëüíîãî â³äíîâëåííÿ òîðãîâèõ çàïàñ³â.
Äëÿ äîñÿãíåííÿ ïîñòàâëåíî¿ ìåòè íåîáõ³äíî âèð³øèòè íàñòóïí³ çàâäàííÿ: âèâ÷èòè òåîðåòè÷í³ ïèòàííÿ ïî îðãàí³çàö³¿ é îö³íêè åôåêòèâíîñò³ êîìåðö³éíî¿ ä³ÿëüíîñò³ íà ï³äïðèºìñòâ³, à òàêîæ ðîçãëÿíóòè îñíîâí³ øëÿõè âäîñêîíàëåííÿ óïðàâë³ííÿ çàïàñàìè â êîìåðö³éí³é ä³ÿëüíîñò³ ï³äïðèºìñòâà.
Îá'ºêòîì äîñë³äæåííÿ º ï³äïðèºìñòâî – ÏÏ «Ìîíîëèò Ïëàñò» (Äí³ïðîïåòðîâñüê).
Ïðåäìåòîì äîñë³äæåííÿ º ìåòîäîëîã³ÿ óïðàâë³ííÿ çàïàñàìè â êîìåðö³éí³é ä³ÿëüíîñò³ òîðã³âåëüíîãî ï³äïðèºìñòâà é ñïîñîáè ¿¿ óäîñêîíàëåííÿ.
Ïðåäñòàâëåíà ðîáîòà ñêëàäàºòüñÿ ³ç äâîõ ÷àñòèí. Ó ïåðø³é ðîçãëÿíóò³ òåîðåòè÷í³ ïèòàííÿ ñóòíîñò³ òà àëãîðèòì³â óïðàâë³íÿ çàïàñàìè â êîìåðö³éí³é ä³ÿëüíîñò³ òîðã³âåëüíîãî ï³äïðèºìñòâà. Ó äðóãîìó ðîçä³ë³ âèêîíàíà åêîíîì³÷íà ä³àãíîñòèêà ä³ÿëüíîñò³ ï³äïðèºìñòâà òà ìåòîäè óïðàâë³ííÿ çàïàñàìè, ÿê³ âèêîðèñòàþòüñÿ íà âèâ÷åíîìó ï³äïðèºìñòâ³. Ïðîàíàë³çîâàíà íåîáõ³äí³ñòü äîäàòêîâî¿ àâòîìàòèçàö³¿ é ïðåäñòàâëåíèé ïðîåêò ïðîâåäåííÿ ÀÂÑ+XYZ-àíàë³çà òîâàðíèõ àñîðòèìåíò³â äëÿ îïòèì³çàö³¿ ïðîãðàìè çàêóïîê òîâàðíèõ ãðóï ïðîäóêö³¿ çã³äíî ñòàòèñòè÷íèì òåíäåíö³ÿì ïîïåðåäí³õ ðîê³â.
Ìåòîäè äîñë³äæåíü : ïðîâåäåííÿ ãîðèçîíòàëüíîãî(³íäåêñíî-õðîíîëîã³÷-íîãî) òà âåðòèêàëüíîãî(ñòðóêòóðíî-õðîíîëîã³÷íîãî) àíàë³çó áàëàíñó òà ô³íàíñîâî¿ çâ³òíîñò³ ï³äïðèºìñòâà, àíàë³ç ô³íàíñîâèõ êîåô³ö³ºíò³â, ñòðóêòóðíèé àíàë³ç òîâàðíî¿ íîìåíêëàòóðè òà ¿¿ êëàñèô³êàö³ÿ.
²íôîðìàö³éíî-ìåòîäîëîã³÷íà áàçà äîñë³äæåíü — ô³íàíñîâî-ñòàòèñòè÷í³ ùîð³÷í³ äîêóìåíòè ÏÏ «Ìîíîëèò Ïëàñò» çà 2005-2007 ðîêè òà ïîêâàðòàëüí³ æóðíàëè ðåàë³çàö³¿ òîâàð³â çà 2005 – 2007 ðîêè.
Ïðàêòè÷íà ö³íí³ñòü îòðèìàíèõ ðåçóëüòàò³â äèïëîìíîãî äîñë³äæåííÿ ïîëÿãຠâ òîìó, ùî îòðèìàí³ ðåçóëüòàòè âèñíîâê³â òà ïðîãíîç³â àâòîìàòèçî-âàíî¿ ñèñòåìè óïðàâë³ííÿ çàïàñàìè, ïîáóäîâàíî¿ íà äåòàëüíîìó óïðàâë³íí³ àñîðòèìåíòíèìè ãðóïàìè òîâàð³â, äîçâîëÿþòü åôåêòèâíî ïðîãíîçóâàòè ïîäàëü-ø³ ðîçâèòîê âèñîêîðèçèêîâàíî¿ ä³ÿëüíîñò³ ÏÏ «Ìîíîëèò Ïëàñò» ç âèêîðèñ-òàííÿì àëãîðèòì³â êåð³âíèöòâà çàêóïêàìè àñîðòèìåíòíèõ ãðóï òîâàðíî¿ íîìåí-êëàòóðè ïðîäóêö³¿ çã³äíî ìàòðèö³ ðåçóëüòàò³â ñï³ëüíîãî ÀÂÑ-XYZ –àíàë³ç³â.
Ðîçä³ë 1. Ñóòí³ñòü óïðàâë³ííÿ çàïàñàìè â êîìåðö³éí³é ä³ÿëüíîñò³ òîðãîâî-ïîñåðåäíèöüêîãî ï³äïðèºìñòâà
1.1 Çàäà÷à óïðàâë³ííÿ çàïàñàìè â êîìåðö³éíèõ ï³äïðèºìñòâàõ íà ñó÷àñíîìó åòàï³ ðîçâèòêó åêîíîì³êè òà íàóêîâèõ äîñë³äæåíü
Êîìåðö³ÿ – öå òîðã³âëÿ, òîáòî âñÿêèé çáóò òîâàð³â, ÿê âèä ïðîìèñëó, íåçàëåæíî â³ä òîãî, ÷è âèðîáëåí³ âîíè îñîáîþ, ùî çáóâàº, àáî ïðèäáàí³ ó ³íøèõ îñ³á.
Êîìåðö³éíà ä³ÿëüí³ñòü – ä³ÿëüí³ñòü, íàïðàâëåíà íà îòðèìàííÿ êîìåðö³éíîãî ïðèáóòêó [22, c.12]. Öå ï³äïðèºìíèöüêà ä³ÿëüí³ñòü ó ñôåð³ òîðã³âë³, ïîñåðåäíèöòâà, òîâàðíî-ãðîøîâèõ ³ ñóòî ô³íàíñîâèõ îïåðàö³ÿõ. Ïîíÿòòÿ êîìåðö³éíà ä³ÿëüí³ñòü øèðøå çà ïîíÿòòÿ òîðãîâà ä³ÿëüí³ñòü ³ ì³ñòèòü ó ñîá³ åêîíîì³÷íå óòðèìàííÿ â³äíîñèí òîâàðîâèðîáíèê³â, òîâàðîîáì³íó, ðåãóëüîâàíèõ ó çàêîíîäàâ÷îìó ïîðÿäêó [21, c.27].
Êîìåðö³éíà ä³ÿëüí³ñòü - øèðîêå é ñêëàäíå ïîíÿòòÿ. Öå êîìïëåêñ ïðèéî-ì³â ³ ìåòîä³â, ùî çàáåçïå÷óþòü ìàêñèìàëüíó âèã³äí³ñòü áóäü-ÿêî¿ òîðãîâåëüíî¿ îïåðàö³¿ äëÿ êîæíîãî ç ïàðòíåð³â ïðè âðàõóâàíí³ ³íòåðåñ³â ê³íöåâîãî ñïîæè-âà÷à.
Ãîëîâíà ìåòà êîìåðö³éíî¿ ä³ÿëüíîñò³ – îäåðæàííÿ ïðèáóòêó ÷åðåç çàäî-âîëåííÿ êóï³âåëüíîãî ïîïèòó ïðè âèñîê³é êóëüòóð³ òîðãîâåëüíîãî îáñëóãîâó-âàííÿ. Öÿ ìåòà ð³âíîþ ì³ðîþ âàæëèâà ÿê äëÿ îðãàí³çàö³é ³ ï³äïðèºìñòâ, òàê ³ äëÿ îêðåìèõ îñ³á, ùî çä³éñíþþòü îïåðàö³¿ êóï³âë³-ïðîäàæó íà ðèíêó òîâàð³â ³ ïîñëóã .
Çì³ñò îñíîâ êîìåðö³éíî¿ ä³ÿëüíîñò³ âêëþ÷ຠòàê³ íàïðÿìêè:
− çàêóï³âëÿ ìàòåð³àëüíî-òåõí³÷íèõ ðåñóðñ³â ïðîìèñëîâèìè ï³äïðèºìñòâàìè é òîâàð³â îïòîâî-ïîñåðåäíèöüêèìè é ³í. òîðãîâåëüíèìè ï³äïðèºìñòâàìè;
− ïëàíóâàííÿ àñîðòèìåíò³â ³ çáóòó ïðîäóêö³¿ íà ïðîìèñëîâèìè ï³äïðèºìñòâàìè;
− îðãàí³çàö³ÿ çáóòó ïðîäóêö³¿ ï³äïðèºìñòâàìè – âèãîòîâëþâà÷àìè;
− âèá³ð íàéêðàùîãî ïàðòíåðà â êîìåðö³éí³é ä³ÿëüíîñò³;
− îðãàí³çàö³ÿ îïòîâîãî ïðîäàæó òîâàð³â ³ êîìåðö³éíå ïîñåðåäíèöòâî;
− ðîçäð³áíà òîðã³âëÿ, ÿê ôîðìà êîìåðö³éíî-ïîñåðåäíèöüêî¿ ä³ÿëüíîñò³.
Êîìåðö³éí³ â³äíîñèíè ìîæóòü ðîçâèâàòèñÿ â óìîâàõ åêîíîì³÷íî¿ âîë³ ñóá'ºêò³â ä³ëîâèõ â³äíîñèí, ùî ïðèïóñêຠâîëîä³ííÿ êàï³òàëîì é óì³ííÿ óïðàâëÿòè ô³íàíñàìè. Òàê ñàìî, öå ïåðåäáà÷ຠîð³ºíòàö³þ íà âèòÿã ìàêñèìàëüíî ìîæëèâîãî äëÿ ñêëàäíèõ óìîâ ïðèáóòêó é íàéá³ëüø âèã³äí³ ñïîñîáè ¿¿ êàï³òàë³çàö³¿, óì³ííÿ óïðàâëÿòè êîìåðö³éíèì ðèçèêîì, ôîðìóâàííÿ òàêèõ îðãàí³çàö³éíèõ ñòðóêòóð êîìåðö³¿, ÿê³ çäàòí³ ïðèñòîñîâóâàòèñÿ äî ì³íëèâèõ óìîâ, ñïðèéíÿòëèâ³ñòü äî çì³í ó ïîòðåáàõ ðèíêó, ïîâíà ð³âíîïðàâí³ñòü ïàðòíåð³â. Ó òîé æå ÷àñ íå ìîæíà ââàæàòè åêîíîì³÷íîþ âîëåþ â êîìåðö³éí³é ä³ÿëüíîñò³ ïîâíó íåçàëåæí³ñòü â³ä ³íòåðåñ³â ³ ä³é ñóá'ºêò³â ðèíêó, îñê³ëüêè â ðÿä³ âèïàäê³â äëÿ äîñÿãíåííÿ ÿêèõ-íåáóäü ñòðàòåã³÷íèõ ö³ëåé íåîáõ³äíèé êîìïðîì³ñ ³ç ä³ëîâèìè ïàðòíåðàìè. Êð³ì òîãî, âîëÿ êîìåðö³éíèõ âçàºìèí ìîæå îáìåæóâàòèñÿ óìîâàìè çîâí³øíüîãî ñåðåäîâèùà, êîìåðö³éíîþ òàºìíèöåþ é ³íøèìè îá'ºêòèâíèìè ôàêòîðàìè.
Äëÿ äîñÿãíåííÿ ïîñòàâëåíèõ çàäà÷ íåîáõ³äíî êåðóâàòèñÿ íàñòóïíèìè îñíîâíèìè ïðèíöèïàìè:
− íåðîçðèâíèé çâ'ÿçîê êîìåðö³¿ ³ç ïðèíöèïàìè ìàðêåòèíãó;
− ãíó÷ê³ñòü êîìåðö³¿, ¿¿ ñïðÿìîâàí³ñòü íà îáë³ê ïîñò³éíî ì³íëèâèõ âèìîã ðèíêó;
− óì³ííÿ ïåðåäáà÷àòè êîìåðö³éí³ ðèçèêè;
− âèä³ëåííÿ ïð³îðèòåò³â;
− ïðîÿâ îñîáèñòî¿ ³í³ö³àòèâè;
− âèñîêà â³äïîâ³äàëüí³ñòü çà âèêîíàííÿ ïðèéíÿòèõ çîáîâ'ÿçàíü ïî òîðãîâåëüíèõ óãîäàõ;
− íàö³ëåí³ñòü íà äîñÿãíåííÿ ê³íöåâîãî ðåçóëüòàòó - ïðèáóòêó.
Âèä³ëåííÿ ïð³îðèòåò³â ó êîìåðö³éí³é ä³ÿëüíîñò³ íå ìåíø âàæëèâî, í³æ ó âèðîáíèöòâ³. Ðåàë³çàö³ÿ öüîãî ïðèíöèïó ïðèïóñêຠïîñò³éíå âèâ÷åííÿ é çíàííÿ âñ³õ äåòàëåé êîìåðö³éíî¿ ä³ÿëüíîñò³.
Çã³äíî ñòàíäàðòó [6] çàïàñè – öå àêòèâè ï³äïðèºìñòâà, ÿê³:
- óòðèìóþòüñÿ äëÿ ïîäàëüøîãî ïðîäàæó çà óìîâ çâè÷àéíî¿ ãîñïîäàðñüêî¿ ä³ÿëüíîñò³;
- ïåðåáóâàþòü ó ïðîöåñ³ âèðîáíèöòâà ç ìåòîþ ïîäàëüøîãî ïðîäàæó ïðîäóêòó âèðîáíèöòâà;
- óòðèìóþòüñÿ äëÿ ñïîæèâàííÿ ï³ä ÷àñ âèðîáíèöòâà ïðîäóêö³¿, âèêîíàííÿ ðîá³ò òà íàäàííÿ ïîñëóã, à òàêîæ óïðàâë³ííÿ ï³äïðèºìñòâîì.
Çàïàñè âèçíàþòüñÿ àêòèâîì, ÿêùî ³ñíóº ³ìîâ³ðí³ñòü òîãî, ùî ï³äïðèºìñòâî îòðèìຠâ ìàéáóòíüîìó åêîíîì³÷í³ âèãîäè, ïîâ'ÿçàí³ ç ¿õ âèêîðèñòàííÿì, òà ¿õ âàðò³ñòü ìîæå áóòè äîñòîâ³ðíî âèçíà÷åíà.
Äëÿ ö³ëåé áóõãàëòåðñüêîãî îáë³êó çàïàñè âêëþ÷àþòü:
- ñèðîâèíó, îñíîâí³ é äîïîì³æí³ ìàòåð³àëè, êîìïëåêòóþ÷³ âèðîáè òà ³íø³ ìàòåð³àëüí³ ö³ííîñò³, ùî ïðèçíà÷åí³ äëÿ âèðîáíèöòâà ïðîäóêö³¿, âèêîíàííÿ ðîá³ò, íàäàííÿ ïîñëóã, îáñëóãîâóâàííÿ âèðîáíèöòâà é àäì³í³ñòðàòèâíèõ ïîòðåá;
- íåçàâåðøåíå âèðîáíèöòâî ó âèãëÿä³ íå çàê³í÷åíèõ îáðîáêîþ ³ ñêëàäàííÿì äåòàëåé, âóçë³â, âèðîá³â òà íåçàê³í÷åíèõ òåõíîëîã³÷íèõ ïðîöåñ³â. Íåçàâåðøåíå âèðîáíèöòâî íà ï³äïðèºìñòâàõ, ùî âèêîíóþòü ðîáîòè òà íàäàþòü ïîñëóãè, ñêëàäàºòüñÿ ç âèòðàò íà âèêîíàííÿ íåçàê³í÷åíèõ ðîá³ò (ïîñëóã), ùîäî ÿêèõ ï³äïðèºìñòâîì ùå íå âèçíàíî äîõîäó;
- ãîòîâó ïðîäóêö³þ, ùî âèãîòîâëåíà íà ï³äïðèºìñòâ³, ïðèçíà÷åíà äëÿ ïðîäàæó ³ â³äïîâ³äຠòåõí³÷íèì òà ÿê³ñíèì õàðàêòåðèñòèêàì, ïåðåäáà÷åíèì äîãîâîðîì àáî ³íøèì íîðìàòèâíî-ïðàâîâèì àêòîì;
- òîâàðè ó âèãëÿä³ ìàòåð³àëüíèõ ö³ííîñòåé, ùî ïðèäáàí³ (îòðèìàí³) òà óòðèìóþòüñÿ ï³äïðèºìñòâîì ç ìåòîþ ïîäàëüøîãî ïðîäàæó;
- ìàëîö³íí³ òà øâèäêîçíîøóâàí³ ïðåäìåòè, ùî âèêîðèñòîâóþòüñÿ ïðîòÿãîì íå á³ëüøå îäíîãî ðîêó àáî íîðìàëüíîãî îïåðàö³éíîãî öèêëó, ÿêùî â³í á³ëüøå îäíîãî ðîêó;
³äîìî, ùî ðåñóðñè ï³äïðèºìñòâà ³ âèìîãè ðåíòàáåëüíî¿ ðîáîòè äåÿêîþ ì³ðîþ îáìåæóþòü ìàíåâðóâàííÿ ÿê àñîðòèìåíòîì òîâàð³â, òàê ³ ö³íàìè íà íèõ. Àëå ñàìå îð³ºíòàö³ÿ íà ïîïèò ïîêóïö³â ³ éîãî àêòèâíå ôîðìóâàííÿ ïîâèíí³ âèç-íà÷àòè âèêîðèñòàííÿ íàÿâíèõ ðåñóðñ³â. Óñï³øíà ðåàë³çàö³ÿ òîâàð³â çàáåçïå÷óº åôåêòèâí³ñòü ðîáîòè ï³äïðèºìñòâà.
Òàáëèöÿ 1.1
Ñèñòåìà ïîêàçíèê³â îö³íêè êîìåðö³éíî¿ ðîáîòè ï³äïðèºìñòâ òîðã³âë³ [14]
| Íàïðÿìîê êîìåðö³éíî¿ ä³ÿëüíîñò³ |
Ïîêàçíèê åôåêòèâíîñò³ êîìåðö³éíî¿ ðîáîòè |
| Àñîðòèìåíò òîâàð³â ³ éîãî ôîðìóâàííÿ |
Øèðîòà àñîðòèìåíòó
Ãëèáèíà àñîðòèìåíòó
Êîåô³ö³ºíò â³äíîâëåííÿ àñîðòèìåíòó
Êîåô³ö³ºíò ñò³éêîñò³ àñîðòèìåíòó
|
| Ïëàíóâàííÿ òîâàðíî¿ ïðîïîçèö³¿ ³ çàáåçïå÷åííÿ òîâàðàìè |
²íäåêñ ðîñòó òîâàðîîá³ãó
Ïðèð³ñò (ñêîðî÷åííÿ) ÷àñó îáåðòàííÿ òîâàð³â
Ñòóï³íü â³äïîâ³äíîñò³ òîâàðíèõ çàïàñ³â íîðìàòèâîâ³
²íäåêñ âèêîíàííÿ ïëàíó çàêóï³âåëü
Ñòóï³íü âèêîíàííÿ äîãîâ³ðíèõ çîáîâ'ÿçàíü ïîñòà÷àëüíèêàìè
Ðèòì³÷í³ñòü íàäõîäæåííÿ òîâàð³â ïî àñîðòèìåíò³
Êîåô³ö³ºíò ïðèïóñòèìîãî ð³âíÿ ÿêîñò³ òîâàð³â
²íäåêñ âàëîâîãî äîõîäó
|
| Ôîðìóâàííÿ ³ ñòèìóëþâàííÿ ïîïèòó |
³äïîâ³äí³ñòü îáñÿãó ³ ñòðóêòóðè òîâàðíî¿ ïðîïîçèö³¿ îáñÿãîâ³ ³ ñòðóêòóð³ êóï³âåëüíîãî ïîïèòó
Ñòóï³íü â³äíîâëåííÿ àñîðòèìåíòó
Êîåô³ö³ºíò çàâåðøåííîñòè ïîêóïêè
Îáñÿã ³ ñòðóêòóðà íåçàäîâîëåíîãî ïîïèòó
Ðåíòàáåëüí³ñòü ðåêëàìíèõ çàõîä³â
|
| Åêîíîì³÷íà åôåêòèâí³ñòü êîìåðö³éíî¿ ä³ÿëüíîñò³ |
Ïðèð³ñò âàëîâîãî äîõîäó â³ä êîìåðö³éíèõ îïåðàö³é
Ïðèð³ñò ïðèáóòêó â³ä êîìåðö³éíî¿ ä³ÿëüíîñò³
Ñï³ââ³äíîøåííÿ äîõîä³â ³ âèòðàò ïî çàêóï³âë³ ³ ðåàë³çàö³¿ òîâàð³â
|
Ñåðåä ³íñòðóìåíò³â óïðàâë³ííÿ çàïàñàìè êîìåðö³éíî¿ ä³ÿëüíîñò³ òîðãî-âåëüíîãî ï³äïðèºìñòâà àñîðòèìåíòíà ïîë³òèêà çàéìຠîñîáëèâå ì³ñöå.
Ïåðøèé áëîê ó ñèñòåì³ îö³íêè êîìåðö³éíî¿ ä³ÿëüíîñò³ — «Àñîðòèìåíò òîâàð³â ³ éîãî ôîðìóâàííÿ» — ñêëàäàºòüñÿ ç ÷îòèðüîõ ïîêàçíèê³â. Êîåô³ö³ºíò â³äíîâëåííÿ àñîðòèìåíòó ñâ³ä÷èòü ïðî ðîçâèòîê ³ õàðàêòåð ãîñïîäàðñüêèõ çâ'ÿç-ê³â òîðã³âë³ ÿê ç â³ò÷èçíÿíèìè, òàê ³ çàêîðäîííèìè ïàðòíåðàìè, à òàêîæ ïðî ðî-áîòó ï³äïðèºìñòâ ïî â³äíîâëåííþ àñîðòèìåíòó. Êîåô³ö³ºíò ñò³éêîñò³ àñîðòè-ìåíòó õàðàêòåðèçóº âèäîâèé ñêëàä ïðîïîíîâàíèõ òîâàð³â ó òîâàðí³é ãðóï³ (ï³ä-ãðóï³). Öåé áëîê îñîáëèâî âàæëèâèé äëÿ îö³íêè ðîáîòè ï³äïðèºìñòâ, ùî ðåàë³-çóþòü òîâàðè ïåðåäáà÷åíîãî àñîðòèìåíòíîãî ïåðåë³êó.
Ó ðèíêîâ³é åêîíîì³ö³ ôîðìóâàííÿ àñîðòèìåíòó º ïðåðîãàòèâîþ ñàìèõ òîðãîâåëüíèõ ï³äïðèºìñòâ.  îñíîâó ä³þ÷èõ ó ìàãàçèíàõ àñîðòèìåíòíèõ ïåðå-ë³ê³â ïîêëàäåíà âèðîáíè÷î-òåõí³÷íà îçíàêà óãðóïîâàííÿ òîâàð³â, ùî íå äîçâî-ëÿº ç äîñòàòíüîþ ïîâíîòîþ âðàõóâàòè êîìïëåêñí³ñòü ïîïèòó, âçàºìíó äîïîâ-íþâàí³ñòü òîâàð³â, ñåçîíí³ îñîáëèâîñò³ ðîçâèòêó ïîïèòó é ³íø³ óìîâè.
Äðóãèé áëîê ïîêàçíèê³â — «Ïëàíóâàííÿ òîâàðíî¿ ïðîïîçèö³¿ ³ çàáåç-ïå÷åííÿ òîâàðàìè» — ñêëàäàºòüñÿ ç âîñüìè ïîêàçíèê³â, ùî â³äáèâàþòü ïëàíî-âàíèé ð³ñò òîâàðîîá³ãó ï³äïðèºìñòâ, çì³íà â éîãî ñòðóêòóð³ íà îñíîâ³ òîâàðíî¿ ïðîïîçèö³¿, îáñÿã ïëàíîâàíîãî âàëîâîãî äîõîäó, òîâàðíèõ çàïàñ³â, òîâàðîîáî-ðîòí³ñòü, ÿê³ñòü òîâàðó. Ö³ ïîêàçíèêè ñêëàäàþòü îñíîâó ïëàí³â çàêóï³âë³ òîâà-ð³â, âèáîðó ïîñòà÷àëüíèê³â, âèçíà÷åííÿ óìîâ ïîñòà÷àííÿ, àñîðòèìåíòó, òåðì³-í³â, ïàðò³îííîñòè ïîñòà÷àííÿ, ö³í ³ ðîçðàõóíê³â ç ïîñòà÷àëüíèêàìè ³ ò.ä. ×èì âèùå ³íäåêñè öèõ ïîêàçíèê³â, òèì åôåêòèâí³øå ãîñïîäàðñüê³ çâ'ÿçêè. Òóò çíà-÷åííÿ ìàþòü äîëãîñðî÷íîñòü, ñòóï³íü ñòàëîñò³ ãîñïîäàðñüêèõ çâ'ÿçê³â ³, îñîá-ëèâî, âèêîíàííÿ äîãîâ³ðíèõ çîáîâ'ÿçàíü.
Ãðóïó ïîêàçíèê³â òðåòüîãî áëîêó — «Ôîðìóâàííÿ ³ ñòèìóëþâàííÿ ïî-ïèòó» — äîö³ëüíî âèêîðèñòîâóâàòè ïðè îö³íö³ â³äïîâ³äíîñò³ îáñÿãó ³ ñòðóêòóðè ïîïèòó òîâàðí³é ïðîïîçèö³¿. Ïðîïîíîâàí³ ïîêàçíèêè ðîçðàõîâóþòüñÿ ïî ï³ä-ïðèºìñòâó âèõîäÿ÷è ç àñîðòèìåíòó, éîãî øèðîòè, äàíèõ ïðî ïîïèò íàñåëåííÿ ³ ôàêòîð³â, ùî âïëèâàþòü íà ñòóï³íü çàâåðøåííîñòè ïîêóïîê.
Öå íàïðÿìîê êîìåðö³éíî¿ ä³ÿëüíîñò³ íåðîçðèâíî çâ'ÿçàíî ç áëîêàìè, ùî õàðàêòåðèçóþòü ïëàíóâàííÿ òîâàðíî¿ ïðîïîçèö³¿ ³ ôîðìóâàííÿ àñîðòèìåíòó òî-âàð³â. Ñàìå â ðåçóëüòàò³ ïðîïîçèö³¿ òîâàð³â ñïîæèâà÷åâ³ ôîðìóºòüñÿ ïîïèò, à â ðåçóëüòàò³ àíàë³çó ïîïèòó íàñåëåííÿ çä³éñíþºòüñÿ çàêóï³âëÿ òîâàð³â ³ âèçíà-÷àºòüñÿ àñîðòèìåíòíà ³ ö³íîâà ïîë³òèêà. Ó öüîìó áëîö³ âàæëèâå ì³ñöå íàëåæàòü ðåêëàìí³é ðîáîò³ òîðãîâåëüíèõ ³ âèðîáíè÷èõ ï³äïðèºìñòâ.
×åòâåðòèé áëîê — «Åêîíîì³÷íà åôåêòèâí³ñòü êîìåðö³éíî¿ ä³ÿëüíîñò³» — õàðàêòåðèçóº ðåçóëüòàòèâí³ñòü êåðóâàííÿ êîìåðö³éíîþ ðîáîòîþ ÿê êîíêðåò-íîãî ï³äïðèºìñòâà, òàê ³ ñóêóïíîñò³ ï³äïðèºìñòâ íà âèçíà÷åí³é òåðèòîð³¿. Ö³ ïî-êàçíèêè çàâåðøóþòü ³ óçàãàëüíþþòü îö³íêó êîìåðö³éíî¿ ä³ÿëüíîñò³.
Åêîíîì³÷íó ýôôåêòèâíîñòü êîìåðö³éíî¿ ä³ÿëüíîñò³ âàðòî îö³íþâàòè çà åêîíîì³÷íèìè ðåçóëüòàòàìè, ùî õàðàêòåðèçóº ðîáîòó ï³äïðèºìñòâà â ö³ëîìó: óçàãàëüíþþ÷èì åêîíîì³÷íèì ïîêàçíèêàì (òîâàðîîá³ã, âèòðàòè, ïðèáóòîê, ö³íè); ïîêàçíèêàì âèêîðèñòàííÿ ðåñóðñ³â (âèðîáëåííÿ, òîâàðîîáîðîòí³ñòü); ÿêîñò³ òîðãîâåëüíîãî îáñëóãîâóâàííÿ (øèðîòà, ñò³éê³ñòü ³ â³äíîâëþâàëüí³ñòü àñîðòè-ìåíòó); ÿêîñò³ òîâàð³â.
Åôåêòèâí³ñòü êåðóâàííÿ òîðã³âëåþ îö³íþºòüñÿ íàñàìïåðåä ç ïîçèö³¿ ÿêîñ-ò³ òîðãîâåëüíîãî îáñëóãîâóâàííÿ ³ ðåíòàáåëüíîñò³ ï³äïðèºìñòâ. Ñêëàäîâî¿ åôåê-òèâíîñò³ êåðóâàííÿ áàãàòî â ÷îìó çàëåæàòü â³ä îðãàí³çàö³¿ êîìåðö³éíî¿ ä³ÿëüí-îñò³ ³ ¿¿ ðåçóëüòàò³â, òîìó ùî ïðè çä³éñíåíí³ êîìåðö³éíèõ îïåðàö³é ôîðìóþòüñÿ òîâàðîîá³ã, äîõîäè ï³äïðèºìñòâà, àñîðòèìåíò òîâàð³â, ïåðåâ³ðÿºòüñÿ ¿õíÿ ÿê³ñòü.
Îö³íêà åôåêòèâíîñò³ êîìåðö³éíî¿ ä³ÿëüíîñò³ ï³äïðèºìñòâ íåîáõ³äíà ïðè ïëàíóâàíí³ ãîñïîäàðñüêî¿ ä³ÿëüíîñò³, âèÿâëåíí³ ïðè÷èí íåâèêîíàííÿ ïëàíîâèõ çàâäàíü, âèøóêóâàíí³ ðåçåðâ³â ï³äâèùåííÿ åôåêòèâíîñò³ ðîáîòè ï³äïðèºìñòâà, âèçíà÷åíí³ ñòðàòå㳿 éîãî ðîçâèòêó. Îö³íêà êîìåðö³éíî¿ ä³ÿëüíîñò³ äຠïðåäñ-òàâëåííÿ ïðî àäàïòàö³þ ï³äïðèºìñòâà äî ðèíêîâèõ óìîâ, äîçâîëÿº íå ò³ëüêè âèðîáèòè ñòðàòåã³þ ³ òàêòèêó ïîâîäæåííÿ òîðãîâåëüíèõ ï³äïðèºìñòâ, àëå ³ ï³ä-âèùèòè åôåêòèâí³ñòü êåðóâàííÿ íèìè íà ð³âí³ òåðèòîð³¿. ¯¿ çàñòîñóâàííÿ äîçâî-ëÿº ñóá'ºêòàì âèçíà÷àòè ñëàáê³ ³ ñèëüí³ ñòîðîíè òîðãîâåëüíî¿ ä³ÿëüíîñò³ ³ ñêîí-öåíòðóâàòè âñ³ óìîâè íà íàïðÿìêàõ, ùî º íàéá³ëüø ïåðñïåêòèâíî-äîõ³äíèìè.
Çà íåñòàá³ëüíîãî åêîíîì³÷íîãî ñåðåäîâèùà, íåñâîº÷àñíîãî âèêîíàííÿ ïðèéíÿòèõ ð³øåíü, ïîìèëîê â îá´ðóíòóâàíí³ îïòèìàëüíîãî ð³âíÿ ïëàí³â òîùî âèíèêຠ³ñòîòíèé (íàâ³òü êàòàñòðîô³÷íèé) ð³âåíü ðèçèêó. Ó çâ’ÿçêó ç öèì ìå-íåäæåðàì äîö³ëüíî âæèâàòè â³äïîâ³äíèõ çàõîä³â, ñòâîðþþ÷è ðåçåðâí³ ôîíäè (ôîíäè ðèçèêó) äëÿ ñòðàõóâàííÿ íåñïðèÿòëèâèõ íàñë³äê³â, çíèæåííÿ ñòóïåíÿ ðèçèêó.
Óïðàâë³ííÿ çàïàñàìè ïîâ’ÿçàíå ç ïðîáëåìîþ äîñÿãíåííÿ îïòèìàëüíî¿ ð³âíîâàãè ì³æ äâîìà êîíêóðóþ÷èìè ÷èííèêàìè: ì³í³ì³çàö³ºþ êàï³òàëîâêëàäåíü ó çàïàñè òà ìàêñèì³çàö³ºþ ð³âíÿ íàä³éíîñò³ îáñëóãîâóâàííÿ ñïîæèâà÷³â ïðîäóê-ö³ºþ äàíîãî ï³äïðèºìñòâà.
Äî çàïàñ³â, êð³ì ïðåäìåò³â ³ ïðîäóêò³â ïðàö³, íàëåæàòü çàïàñè âèðîáíè÷èõ ïîòóæíîñòåé, îñíîâíèõ ôîíä³â ³ îáîðîòíèõ êîøò³â, íåçàâåðøåíå áóä³âíèöòâî, êâàë³ô³êîâàí³ êàäðè òîùî.
Ìàòåð³àëüí³ çàïàñè ìîæíà óìîâíî ðîçïîä³ëèòè íà òðè âèäè [13]:
1. Ïåðøèé âèä — ñòðàõîâèé çàïàñ ãîòîâî¿ ïðîäóêö³¿ íà ñêëàä³, ïðèçíà-÷åíèé äëÿ êîìïåíñàö³¿ êîëèâàíü ïîïèòó íà ðèíêó. Âðàõîâóþ÷è, ùî ðèíîê ó íà-ø³é êðà¿í³ ïåðåáóâຠâ ñòà䳿 ôîðìóâàííÿ ³ õàðàêòåðèçóºòüñÿ ñóòòºâèìè ³ âàæêî ïåðåäáà÷óâàíèìè êîëèâàííÿìè ïîïèòó, ï³äïðèºìñòâà (ô³ðìè) çìóøåí³ ôîðìó-âàòè ñòðàõîâ³ çàïàñè ãîòîâî¿ ïðîäóêö³¿ äëÿ êîìïåíñàö³¿ öèõ êîëèâàíü, òîáòî äëÿ çíèæåííÿ ñòóïåíÿ ðèçèêó. Çàïàñè ïîçèòèâíî âïëèâàþòü íà ñòèìóëþâàííÿ ïîïè-òó, îñê³ëüêè äèëåðè âïåâíåí³, ùî â áóäü-ÿêèé ìîìåíò âîíè øâèäêî îäåðæàòü íåîáõ³äíèé îáñÿã ïåâíîãî òîâàðó. Ïðîòå íåîáõ³äíî âðàõîâóâàòè ³ íåãàòèâíèé âïëèâ çàïàñó íà ô³íàíñîâèé ñòàí ô³ðìè (ï³äïðèºìñòâà), áî â çàïàñàõ ï³äïðèºì-ñòâî ôàêòè÷íî «çàìîðîæóº» ÷àñòèíó çàñîá³â, âèëó÷àþ÷è ¿õ ç îáîðîòó.
Äðóãèé âèä — ñòðàõîâèé âèðîáíè÷èé çàïàñ ñèðîâèíè, ìàòåð³àë³â ³ êîìï-ëåêòóþ÷èõ âèðîá³â.
ϳä ñòðàõîâèì âèðîáíè÷èì çàïàñîì ðîçóì³þòü çàïàñ, ïðèçíà÷åíèé äëÿ çàïîá³ãàííÿ ðèçèêó ðàïòîâî¿ çóïèíêè âèðîáíèöòâà âíàñë³äîê íåñâîº÷àñíî¿ äîñ-òàâêè ñèðîâèíè, ìàòåð³àë³â ³ êîìïëåêòóþ÷èõ âèðîá³â.
Îáñÿã öüîãî çàïàñó çàëåæèòü ëèøå â³ä òîãî, íàñê³ëüêè ãàðàíòîâàíèì ³ ñòà-á³ëüíèì º çàáåçïå÷åííÿ ï³äïðèºìñòâà.
Òðåò³é âèä — äèíàì³÷íèé âèðîáíè÷èé çàïàñ, ùî ÿâëÿº ñîáîþ çàïàñ ìàòå-ð³àë³â ³ êîìïëåêòóþ÷èõ âèðîá³â, ÿêèé ôîðìóºòüñÿ ç ïåâíîþ ïåð³îäè÷í³ñòþ ³ â ïåâíèõ îáñÿãàõ.
Ãîëîâíîþ ìåòîþ ñòâîðåííÿ äèíàì³÷íî ôîðìîâàíèõ çàïàñ³â º çíèæåííÿ ïðÿìèõ âèðîáíè÷èõ çàòðàò (çáèòê³â) ïðè ñòàá³ëüíîìó çàáåçïå÷åíí³ âèðîáíèöòâà íåîáõ³äíèì îáñÿãîì ñèðîâèíè, ìàòåð³àë³â ³ êîìïëåêòóþ÷èõ âèðîá³â.
Íà åôåêòèâí³ñòü ôîðìóâàííÿ çàïàñ³â âïëèâàþòü äâà ð³çíîñïðÿìîâàíèõ âèïàäêîâèõ ÷èííèêè: çðîñòàííÿ âàðòîñò³ ìàòåð³àë³â ³ êîìïëåêòóþ÷èõ âèðîá³â (³íôëÿö³ÿ íà çì³íí³ çàòðàòè); çðîñòàííÿ âàðòîñò³ êàï³òàëó (îáîðîòíèõ çàñîá³â).
ßêùî ïðèäáàòè ìàòåð³àëè ³ êîìïëåêòóþ÷³ â çàïàñ íà âñþ âèðîáíè÷ó ïðîã-ðàìó, ñêàæ³ìî íà ïî÷àòîê ðîêó, ³ âèêîðèñòîâóâàòè ¿õ ó âèðîáíèöòâ³ ïðîäóêö³¿ çà «ñòàðèìè» ö³íàìè, òî â çàïàñàõ áóäóòü «çàìîðîæåí³» âåëèê³ êîøòè, ïîïèò íà ÿê³ âèìàãàòèìå îäåðæàííÿ êðåäèòó â áàíêó ï³ä çíà÷íèé â³äñîòîê. Íåîáõ³äí³ñòü îáñ-ëóãîâóâàòè öåé áîðã çíà÷íî çá³ëüøèòü çàãàëüí³ (ïîñò³éí³) âèòðàòè, êîòð³ ìîæóòü áóòè îáòÿæåí³ çíà÷íèì ðèçèêîì.
Îòæå, âàæëèâî îá’ºêòèâíî îö³íèòè ñòðàòåã³þ ôîðìóâàííÿ çàïàñ³â, âèêî -ðèñòîâóþ÷è ¿õ îáñÿãè ³ ïåð³îäè÷í³ñòü ïîïîâíåííÿ ÿê çì³íí³ ïàðàìåòðè.
гçíîâèäè çàäà÷ óïðàâë³ííÿ çàïàñàìè òà ¿õ ñêëàäí³ñòü çóìîâèëè ñòâîðåííÿ âåëèêî¿ ê³ëüêîñò³ ìàòåìàòè÷íèõ ìîäåëåé, åôåêòèâíå âèêîðèñòàííÿ ÿêèõ íåìîæ-ëèâå áåç çàñòîñóâàííÿ åêîíîì³êî-ìàòåìàòè÷íèõ ìåòîä³â òà ÅÎÌ. Ìîäåë³ óïðàâ-ë³ííÿ çàïàñàìè â³äð³çíÿþòüñÿ áàãàòüìà êîìïîíåíòàìè çàëåæíî â³ä õàðàêòåðó çì³-íè âåëè÷èí, ùî äî íèõ âõîäÿòü. Íàé³ñòîòí³øèì ÷èííèêîì, ùî éîãî íåîáõ³äíî âðàõîâóâàòè ïðè ðîçðîáö³ ìîäåëåé óïðàâë³ííÿ çàïàñàìè, º ÷àñ. Ñòàòè÷í³ ìîäåë³ óïðàâë³ííÿ çàïàñàìè ëèøå íàáëèæåíî â³äïîâ³äàþòü ðåàëüíèì óìîâàì. Á³ëüø òî÷íèé ðîçâ’ÿçîê ìîæå áóòè îäåðæàíèé íà áàç³ âèêîðèñòàííÿ äèíàì³÷íèõ ìîäå-ëåé, ùî âðàõîâóþòü ÷àñ òà â³äïîâ³äí³ çàëåæíîñò³. Ñë³ä çàçíà÷èòè, ùî â áàãàòüîõ ìîäåëÿõ óïðàâë³ííÿ çàïàñàìè îäíèì ç ãîëîâíèõ ïðèïóùåíü º òå, ùî, íàïðèêëàä, ïîïèò º çàçäàëåã³äü â³äîìîþ äåòåðì³íîâàíîþ âåëè÷èíîþ. Îäíàê â ïåðåâàæí³é á³ëüøîñò³ ðåàëüíèõ çàäà÷ ïîïèò º âèïàäêîâîþ âåëè÷èíîþ, ðîçïîä³ë ³ìîâ³ðíîñò³ ÿêî¿ ìîæå áóòè ÿê â³äîìèì, òàê ³ íåâ³äîìèì. Ó çâ’ÿçêó ç öèì âèíèêຠåêîíîì³÷íèé ðèçèê, çóìîâëåíèé íåâèçíà÷åí³ñòþ, ñòîõàñòè÷í³ñòþ ùîäî âåëè÷èíè ïîïèòó.
Âåëè÷èíà ðèçèêó ìîæå áóòè âèçíà÷åíà ÿê â³äõèëåííÿ ïîòðåá ó çàïàñàõ â³ä ñåðåäíüî¿ (ñïîä³âàíî¿) âåëè÷èíè.
1.2 Ñòðàòåã³ÿ êîìåðö³éíî¿ ä³ÿëüíîñò³ ï³äïðèºìñòâ â ãàëóç³ óïðàâë³ííÿ çàïàñàìè
Äëÿ á³ëüø åôåêòèâíîãî âèçíà÷åííÿ íåîáõ³äíèõ îáñÿã³â òîâàðíî-ìàòåð³àëüíèõ çàïàñ³â â³ò÷èçíÿíèì ï³äïðèºìñòâàì äîö³ëüíî âçÿòè íà îçáðîºííÿ äîñâ³ä çàðóá³æíèõ ô³ðì, ùî ïîëÿãຠâ ñêëàäàíí³ ìîäåë³ íàéåêîíîì³÷í³øîãî îáñÿãó çàìîâëåíü, ñòâîðåíí³ êîìï'þòåðèçîâàíî¿ ñèñòåìè óïðàâë³ííÿ çàïàñàìè.
Îïòèìàëüíå óïðàâë³ííÿ çàïàñàìè ïîëÿãຠó âèáîð³ òàêèõ îáñÿã³â ³ ìîìåíò³â íà ïîïîâíåííÿ çàïàñ³â, ùîá ñóìàðí³ âèòðàòè íà îðãàí³çàö³þ ñèñòåìè ïîñòà÷àííÿ íàáóâàëè ì³í³ìàëüíîãî çíà÷åííÿ.
Âèá³ð ñòðàòå㳿 óïðàâë³ííÿ çàïàñàìè, ÿêèé º íàéá³ëüø â³äïîâ³äàëüíèì ìîìåíòîì ïðè ñêëàäàíí³ ìàòåìàòè÷íèõ àáî ³ì³òàö³éíèõ ìîäåëåé, ïîâèíåí ãðóí-òóâàòèñÿ íà ðåòåëüíîìó àíàë³ç³ ñèñòåì ïîñòà÷àííÿ òà ðåàë³çàö³¿. Âèð³øåííÿ çà-äà÷³ óïðàâë³ííÿ çàïàñàìè ñïî÷àòêó ñë³ä çíàõîäèòè ó ïðîñòîð³ ñòðàòå㳿 óïðàâ-ë³ííÿ, à ïîò³ì, çã³äíî ç âèáðàíîþ ñòðàòå㳺þ – ó ïðîñòîð³ ¿¿ ïàðàìåòð³â [18].
Âèâ÷åííÿ òà àíàë³ç ë³òåðàòóðíèõ äæåðåë ³ ïðàêòè÷íèõ ðîçðîáîê ç äàíî¿ ïðîáëåìàòèêè ïîêàçóº, ùî íà äàíèé ÷àñ ðîçãëÿíóòî ³ äîñë³äæåíî çíà÷íó ê³ëüê³ñòü ìîäåëåé óïðàâë³ííÿ çàïàñàìè, ÿê³, îäíàê, íå âè÷åðïóþòü âñ³º¿ ìíîæèíè ìîæëèâèõ âàð³àíò³â. Òàêå ð³çíîìàí³òòÿ ìîäåëåé óïðàâë³ííÿ çàïàñàìè, ùî â³äîáðàæàº ìîæëèâ³ âàð³àíòè âèðîáíè÷èõ ñèòóàö³é, íå çàâæäè äຠçìîãó âèêîðèñòîâóâàòè ãîòîâ³ ð³øåííÿ, à ñïîíóêຠôîðìóëþâàòè íîâ³ ïîñòàíîâêè çàäà÷ óïðàâë³ííÿ çàïàñàìè é ðîçðîáëÿòè äëÿ ¿õ ðåàë³çàö³¿ îá÷èñëþâàëüí³ ìåòîäè, çîêðåìà, çà äîïîìîãîþ çàñîá³â ³ì³òàö³éíîãî ìîäåëþâàííÿ.
Ñòðàòåã³ÿ óïðàâë³ííÿ çàïàñàìè â êîìåðö³éí³é ä³ÿëüíîñò³ òîðã³âåëüíîãî ï³äïðèºìñòâà ñïèðàºòüñÿ íà ìîí³òîðèíã îïòèìàëüíîãî ð³âíÿ íàêîïëåííÿ òîâàð-íî¿ ïðîäóêö³¿ äëÿ ðåàë³çàö³¿ äëÿ ñèñòåì ç íåñò³éêèì ïîïèòîì íà ðåàë³çóºì³ òîâàðè, ùî õàðàêòåðíî â óìîâàõ ðèíêîâî¿ åêîíîì³êè.
²ìîâ³ðí³ñíèé õàðàêòåð êåðîâàíî¿ ñèñòåìè, âèêëèêàíèé íåñò³éê³ñòþ ïîïè-òó, à òàêîæ âèìîãè äî ñòàá³ëüíîñò³ ðÿäó ïîêàçíèê³â ³ íàÿâí³ñòü ïåâíèõ ìîæëè-âîñòåé ìàíåâðóâàííÿ çóìîâëþþòü íåîáõ³äí³ñòü äîñë³äæåííÿ àäàïòèâíèõ âëàñ-òèâîñòåé ð³âíÿ ðåàë³çàö³¿. 3 ìåòîþ ïîêðàùåííÿ òåõí³êî-åêîíîì³÷íèõ ïîêàçíè-ê³â âèêîðèñòîâóþòü ðåçåðâè ïðîäóêö³¿ òà ðåñóðñ³â. Ðîçð³çíÿþòü äâà âèäè ìà-òåð³àëüíèõ ðåçåðâ³â:
- ïðÿì³ ðåçåðâè, ùî ÿâëÿþòü ñîáîþ çàïàñ (íàäëèøîê) ìàòåð³àëüíèõ ðåñóðñ³â, ÿê³ º îñîáëèâî äåô³öèòíèìè ïðè êîðèãóâàíí³ ð³âíÿ ïðîäàæ;
- íåïðÿì³ ðåçåðâè, ùî ÿâëÿþòü ñîáîþ òàêèé îáñÿã äîïîì³æíèõ ìàòåð³àëü-íèõ ðåñóðñ³â, óçãîäæåíèõ ç ð³âíåì íàêîïëåííÿ òîâàðíî¿ ïðîäóêö³¿ äëÿ ðåàë³-çàö³¿, ÿê³ íåîáõ³äí³ äëÿ éîãî óòðèìàííÿ, òðàíñïîðòóâàííÿ òà ðåàë³çàö³¿.
Äëÿ çä³éñíåííÿ áåçïåðåðâíîãî ïðîöåñó òîâàðíîãî îá³ãó íåîáõ³äí³ ïåâí³ çàïàñè òîâàð³â. Òîâàðíèé çàïàñ – öå ñóêóïí³ñòü òîâàðíî¿ ìàñè, ùî çíàõîäèòüñÿ â ñôåð³ îá³ãó ³ ïðèçíà÷åíà äëÿ ïðîäàæó. Òîâàðí³ çàïàñè âèêîíóþòü ïåâí³ ôóíêö³¿: çàáåçïå÷óþòü áåçïåðåðâí³ñòü ðîçøèðåíîãî âèðîáíèöòâà ³ îá³ãó, â ïðîöåñ³ ÿêèõ â³äáóâàþòüñÿ ¿õíº ñèñòåìàòè÷íå óòâîðåííÿ ³ âèòðà÷àííÿ; çàäîâîëüíÿþòü ïëàòî-ñïðîìîæíèé ïîïèò íàñåëåííÿ, îñê³ëüêè º ôîðìîþ òîâàðíî¿ ïðîïîçèö³¿; õàðàê-òåðèçóþòü ñï³ââ³äíîøåííÿ ì³æ îáñÿãîì ³ ñòðóêòóðîþ ïîïèòó ³ òîâàðíî¿ ïðîïî-çèö³¿.
Íåîáõ³äí³ñòü óòâîðåííÿ òîâàðíèõ çàïàñ³â ïðåäìåò³â ñïîæèâàííÿ âèêëèêàíà íàñòóïíèìè ïðè÷èíàìè: áåçïåðåðâí³ñòþ ïðîöåñ³â îáåðòàííÿ; ñåçîíí³ñòþ âèðîáíèöòâà ³ ñïîæèâàííÿ; íå ð³âíîì³ðí³ñòþ ðîçì³ùåííÿ âèðîáíèöòâà ³ ðàéîí³â ñïîæèâàííÿ; íåïåðåäáà÷åíèìè êîëèâàííÿ ïîïèòó ³ ðèòìó âèðîáíèöòâà; íåîáõ³äí³ñòþ ïåðåòâîðåííÿ âèðîáíè÷îãî àñîðòèìåíòó â òîðãîâèé; íåîáõ³äí³ñòþ óòâîðåííÿ ñòðàõîâèõ ðåçåðâ³â, ³íøèìè ïðè÷èíàìè.
Òîâàðí³ çàïàñè êëàñèô³êóþòü ïî ð³çíîìàí³òíèì îçíàêàì. Òàê, â çàëåæíîñò³ â³ä îñîáëèâîñòåé îá³ãó º òîâàðí³ çàïàñè ïîòî÷íîãî çáåð³ãàííÿ, ùî ïðèçíà÷åí³ äëÿ çàäîâîëåííÿ ïîâñÿêäåííî¿ ïîòðåáè òîðã³âë³ â áåçïåðåá³éíîìó ïðîäàæó òîâàð³â äëÿ íàñåëåííÿ, à òàêîæ çàïàñè òîâàð³â ñåçîííîãî íàêîïè÷óâàííÿ ³ äîñòðîêîâîãî çàâîçó, ùî ïîâ'ÿçàíå ç ñåçîíí³ñòþ âèðîáíèöòâà ³ ñïîæèâàííÿ îêðåìèõ òîâàð³â, ç óìîâàìè ¿õ òðàíñïîðòóâàííÿ â îêðåì³ ðàéîíè êðà¿íè.
Ïðè îáë³êó ³ ïëàíóâàíí³ òîâàðíèõ çàïàñ³â âèêîðèñòîâóþòüñÿ àáñîëþòí³ ³ â³äíîñí³ ïîêàçíèêè. Àáñîëþòíà âåëè÷èíà òîâàðíèõ çàïàñ³â ìîæå áóòè âèñëîâ-ëåíà â íàòóðàëüíèõ àáî â âàðò³ñíèõ îäèíèöÿõ. Àáñîëþòíà âåëè÷èíà òîâàðíèõ çàïàñ³â íå ïîñò³éíà. Âîíà âåñü ÷àñ çì³íþºòüñÿ â çàëåæíîñò³ â³ä íàäõîäæåííÿ ³ ïðîäàæó òîâàð³â. Òîìó ïðè àíàë³ç³ ³ ïëàíóâàíí³ âåëèêå çíà÷åííÿ ìຠñï³â ñòàâ-ëåííÿ òîâàðíèõ çàïàñ³â ³ç òîâàðîîá³ãîì. Ç ö³ºþ ìåòîþ òîâàðí³ çàïàñè ïîçíà÷à-þòüñÿ â äíÿõ. Öåé ïîêàçíèê – â³äíîñíèé, â³í õàðàêòåðèçóº âåëè÷èíó òîâàðíîãî çàïàñó, ùî çíàõîäèòüñÿ íà ï³äïðèºìñòâ³ òîðã³âë³ íà ïåâíó äàòó, ³ ïîêàçóº, íà ñê³ëüêè äí³â òîðã³âë³ âèñòà÷èòü òîâàðíèõ çàïàñ³â.
Òîâàðí³ çàïàñè â äíÿõ îáîðîòó îá÷èñëþþòüñÿ ä³ëåííÿì àáñîëþòíî¿ âåëè-÷èíè çàïàñ³â (íà ïåâíó äàòó) íà ñåðåäíüîäåííèé òîâàðîîá³ã â³äïîâ³äíîãî ïåð³îäó [23]:
Vç = Ç * Ò / Î (1.1)
äå Vç – ð³âåíü òîâàðíèõ çàïàñ³â, äí³ îáîðîòó;
3 – ñóìà òîâàðíèõ çàïàñ³â;
Î – îáñÿã òîâàðîîá³ãó;
Ò – ÷èñëî äí³â â ïåð³îä³.
Ðîçì³ðè òîâàðíèõ çàïàñ³â áåçïîñåðåäíüî çâ'ÿçàí³ ç³ øâèäê³ñòþ îá³ãó òîâà-ð³â. Ïðè íåçì³ííîìó îáñÿç³ òîâàðîîá³ãó ïðèñêîðåííÿ îáîðîòíîñò³ òîâàð³â ïðèç-âîäèòü äî çíèæåííÿ òîâàðíèõ çàïàñ³â, ³, íàâïàêè, óïîâ³ëüíåííÿ îáîðîòíîñò³ âèìàãຠá³ëüøî¿ ìàñè òîâàðíèõ çàïàñ³â.
Øâèäê³ñòü îá³ãó òîâàð³â àáî ÷àñ, çà ÿêèé ðåàë³çóþòüñÿ òîâàðí³ çàïàñè, ðîçðàõîâóºòüñÿ çà ôîðìóëîþ [23]:
Ä = Çñð *Ò / Î (1.2)
äå Ä – øâèäê³ñòü îá³ãó òîâàð³â
Çñð – ñåðåäí³é òîâàðíèé çàïàñ (ðîçðàõîâóºòüñÿ ÿê ñåðåäíÿ õðîíîëîã³÷íà)
Î – îá’ºì òîâàðîîáîðîòó
Ò – ê³ëüê³ñòü äí³â â ïåð³îä³
Øâèäê³ñòü îá³ãó òîâàð³â ìîæå âèñëîâëþâàòèñÿ ³ ÷èñëîì îáîðîò³â [23]:
Ñ = Î / Çñð àáî Ñ = Ò / Ä (1.3)
äå Ñ – ÷èñëî îáîðîò³â;
Î – îáñÿã òîâàðîîá³ãó;
3ñð – ñåðåäí³é òîâàðíèé çàïàñ;
Ò – ÷èñëî äí³â â ïåð³îä³;
Ä – øâèäê³ñòü îá³ãó òîâàð³â, äí³.
Ïðèñêîðåííÿ ÷àñó îá³ãó òîâàð³â ìຠâåëèêå çíà÷åííÿ - ï³äâèùóº åêîíî-ì³÷íó åôåêòèâí³ñòü âñüîãî ñóñï³ëüíîãî âèðîáíèöòâà, âïëèâຠíà òåìïè â³äòâî-ðåííÿ, ÿâëÿþ÷èñü âîäíî÷àñ âàæëèâîþ óìîâîþ ï³äâèùåííÿ ðåíòàáåëüíîñò³ òîðãîâî¿ ä³ÿëüíîñò³ ï³äïðèºìñòâà.
Îáîðîòí³ñòü òîâàð³â ìîæíà ïðèñêîðèòè ò³ëüêè çà ðàõóíîê âäîñêîíàëåííÿ âñ³º¿ òîðãîâåëüíî-êîìåðö³éíî¿ ³ åêîíîì³÷íî¿ ðîáîòè ï³äïðèºìñòâà. Öå âèìàãຠãëèáîêîãî ðîçóì³ííÿ âïëèâó ð³çíîìàí³òíèõ ÷èííèê³â íà ôîðìóâàííÿ òîâàðíèõ çàïàñ³â.
1. Ôàêòîðè, ùî âïëèâàþòü íà ðîçì³ð òîâàðíèõ çàïàñ³â òà ¿õ îáîðîòí³ñòü.
Âåëè÷èíà òîâàðíèõ çàïàñ³â ³ îáîðîòí³ñòü çàëåæàòü â³ä áàãàòüîõ ÷èííèê³â. Îäí³ ç öèõ ÷èííèê³â ïðèñêîðþþòü øâèäê³ñòü îá³ãó òîâàð³â ³ çàâäÿêè öüîìó îá'ºê-òèâíî çìåíøóþòü íåîáõ³äíó âåëè÷èíó çàïàñ³â, ³íø³, íàâïàêè, óïîâ³ëüíþþòü øâèä-ê³ñòü òîâàðíîãî îá³ãó ³ çàâäÿêè öüîìó çá³ëüøóþòü ðîçì³ð çàïàñ³â. Çíàþ÷è öå, ìîæ-íà âèÿâèòè ðåçåðâè ïðèñêîðåííÿ îáîðîòíîñò³ çàïàñ³â ï³äïðèºìñòâà, çíèçèòè âèò-ðàòè íà óòâîðåííÿ ³ çáåð³ãàííÿ òîâàðíèõ çàïàñ³â.
Äî îñíîâíèõ ÷èííèê³â, ÿê³ âïëèâàþòü íà îáîðîòí³ñòü ³ âåëè÷èíó òîâàðíèõ çàïàñ³â, â³äíîñÿòüñÿ íàñòóïí³.
Ñï³ââ³äíîøåííÿ ì³æ ïîïèòîì ³ ïðîïîçèö³ºþ òîâàð³â.  óìîâàõ, êîëè ïîïèò íàñåëåííÿ ïåðåâèùóº ïðîïîçèö³þ òîâàð³â, ð³çêî ïðèñêîðþºòüñÿ ¿õíÿ îáîðîòí³ñòü, òîâàðîîá³ã çä³éñíþºòüñÿ ç ìåíøèìè òîâàðíèìè çàïàñàìè. Ïî ì³ð³ çá³ëüøåííÿ ïðîïîçèö³¿ òîâàð³â, íàñè÷åííÿ ðèíêó, ñïîñòåð³ãàºòüñÿ äåÿêå óïîâ³ëüíåííÿ øâèäêîñò³ îá³ãó òîâàð³â. Âèâ÷åííÿ ïîïèòó íàñåëåííÿ – îäíå ç óìîâ, ùî ñïðèÿþòü íîðìàë³çàö³¿ òîâàðíèõ çàïàñ³â.
2.Ñêëàäí³ñòü àñîðòèìåíòó òîâàð³â. ×àñ îá³ãó òîâàð³â ñêëàäíîãî àñîðòè-ìåíòó, ÿê ïðàâèëî, íàáàãàòî ïåðåâèùóº ÷àñ îá³ãó òîâàð³â ïðîñòîãî àñîðòèìåíòó.
3.Îðãàí³çàö³ÿ ³ ÷àñòîòà çàâîçó òîâàð³â. ×èì ÷àñò³øå çàâîçÿòüñÿ òîâàðè â êðàìíèö³, òèì ç ìåíøèìè òîâàðíèìè çàïàñàìè ìîæíà âèêîíàòè ïëàí òîâàðîîá³ãó.  ñâîþ ÷åðãó ÷àñòîòà çàâîçó çàëåæèòü â³ä ì³ñöåçíàõîäæåííÿ òîðãîâèõ ï³äïðèºìñòâ, óìîâ òðàíñïîðòóâàííÿ, ðîçì³ùåííÿ âèðîáíè÷èõ ï³äïðèºìñòâ. ×èì áëèæ÷å ðîçì³ùåí³ ïðîìèñëîâ³ ï³äïðèºìñòâà àáî îïòîâ³ áàçè äî ðàéîí³â ñïîæèâàííÿ, òèõ ÷àñò³øå âèðîáëÿºòüñÿ çàâ³ç òîâàð³â, òèì ìåíø ÷àñó âèòðà÷àºòüñÿ íà ¿õíþ äîñòàâêó. Âèñîêà ÷àñòîòà çàâîçó õàðàêòåðíà äëÿ òîâàð³â, ùî øâèäêî ïñóþòüñÿ.
Ñïîæèâ÷³ âëàñòèâîñò³ òîâàð³â. Âîíè àáî îáìåæóþòü, àáî ïîäîâæóþòü ÷àñ îáîðîòó.
Ðèòì³÷í³ñòü íàäõîäæåííÿ òîâàð³â íà ïðîòÿç³ êâàðòàëó ³ ì³ñÿöÿ, ïîðÿäîê çàâîçó òîâàð³â.
²ñíóþòü äâà îñíîâíèõ ñïîñîáè ðåàë³çàö³¿: ðîáîòà íà çàìîâëåííÿ é ðîáîòà íà â³ëüíèé ðèíîê [24].
Ðîáîòà íà çàìîâëåííÿ. Ïðè öüîìó ñïîñîá³ ï³äïðèºìñòâî ïðàöþº íà çàçäàëåã³äü â³äîìèé ðèíîê. Âèïóñê ïðîäóêö³¿ çä³éñíþºòüñÿ â³äïîâ³äíî äî íàÿâíîãî ïîðòôåëÿ çàìîâëåíü, óêëàäåíèìè êîíòðàêòàìè, ï³äðÿäàìè é ïîïåðåäí³ìè çãîäàìè ïðî ïîñòàâêè âèðîáëåíî¿ ïðîäóêö³¿ é íàäàííÿ ïîñëóã. Çàçäàëåã³äü îáãîâîðþþòüñÿ ñòðîêè, òåõí³÷í³ õàðàêòåðèñòèêè òîâàð³â, îáñÿãè ïîñòàâîê ïðîäóêö³¿, ö³íè.
Ðîáîòà íà â³ëüíèé ðèíîê. Ïðè öüîìó ñïîñîá³ ï³äïðèºìñòâî âèïóñêຠïðîäóêö³þ íà â³ëüíèé ðèíîê áåç çàçäàëåã³äü óñòàíîâëåíèõ îáìåæåíü ùîäî ê³ëüê³ñíèõ ³ ÿê³ñíèõ õàðàêòåðèñòèê òîâàð³â. Çàâäàííÿ ðåàë³çàö³¿ òîâàð³â âêëþ÷àþòü ïîøóêè ìîæëèâèõ ðèíê³â çáóòó (ç îãëÿäó íà ¿õ ãåîãðàô³÷íå ðîçòàøóâàííÿ), âèá³ð êîíêðåòíèõ ôîðì ðåàë³çàö³¿, âèçíà÷åííÿ ïðèïóñòèìîãî ð³âíÿ ö³í. Ðåàë³çàö³ÿ ïðîäóêö³¿ íà â³ëüíèé ðèíîê çä³éñíþºòüñÿ ÷åðåç îïòîâó é ðîçäð³áíó òîðã³âëþ.
Ìàðêåòèíãîâà òîâàðíà ïîë³òèêà – öå êîìïëåêñ çàõîä³â, ó ðàìêàõ ÿêîãî îäèí àáî ê³ëüêà òîâàð³â âèêîðèñòîâóþòü ÿê îñíîâí³ ³íñòðóìåíòè äîñÿãíåííÿ ö³ëåé ô³ðìè [24].

Ðèñ.1.1. Ñêëàäíèêè ³ ö³ë³ ìàðêåòèíãîâî¿ òîâàðíî¿ ïîë³òèêè [24]
гøåííÿ, ÿê³ ïðèéìຠêîìïàí³ÿ ùîäî ìàðêåòèíãîâî¿ òîâàðíî¿ ïîë³òèêè:
- ð³øåííÿ ùîäî ñòâîðåííÿ íîâèõ òîâàð³â (âëàñòèâîñò³, äèçàéí, ìàðî÷íà íàçâà, óïàêîâêà, ñåðâ³ñ, ãàðàíò³¿, òîùî);
- ð³øåííÿ ùîäî ìîäèô³êàö³¿ òîâàð³â;
- ð³øåííÿ ùîäî òîâàðíîãî àñîðòèìåíòó (øèðèíà, ãëèáèíà);
- ð³øåííÿ ùîäî òîâàðíî¿ íîìåíêëàòóðè (øèðèíà, ãëèáèíà, íàñè÷åí³ñòü, ãàðìîí³éí³ñòü);
- ð³øåííÿ ùîäî ïðèïèíåííÿ âèïóñêó òîâàð³â.
Òîâàðíèé àñîðòèìåíò – öå ãðóïà òîâàð³â, ò³ñíî ïîâ'ÿçàíèõ ì³æ ñîáîþ ñõîæ³ñòþ ïðèíöèï³â ôóíêö³îíóâàííÿ, ïðîäàæåì îäíèì ³ òèì ñàìèì ãðóïàì ïîêóïö³â, ðåàë³çàö³ºþ ÷åðåç àíàëîã³÷í³ êàíàëè çáóòó àáî íàëåæí³ñòþ äî îäíîãî é òîãî ñàìîãî ä³àïàçîíó ö³í.
гøåííÿ ùîäî òîâàðíîãî àñîðòèìåíòó ñòîñóþòüñÿ ñóêóïíîñò³ ìàðîê ïå-âíîãî òîâàðíîãî àñîðòèìåíòó. ׳òêèõ ïðàâèë âèçíà÷åííÿ òîâàðíîãî àñîðòèìåí-òó íå ³ñíóº. Îáñÿã ³ ñòðóêòóðà àñîðòèìåíòó õàðàêòåðèçóþòüñÿ ïîêàçíèêàìè: ãëèáèíà ³ øèðîòà àñîðòèìåíòó.
Ãëèáèíà àñîðòèìåíòó – ê³ëüê³ñòü ìîäåëåé, ðîçì³ð³â àáî â³äò³íê³â ñìàêó, ê³ëüê³ñòü ð³çíîâèä³â òîâàðó ïåâíîãî òîâàðíîãî àñîðòèìåíòó.
Øèðîòà àñîðòèìåíòó – ð³çíîìàí³òí³ñòü òîâàðó â àñîðòèìåíò³ (àáî ê³ëü-ê³ñòü àñîðòèìåíòíèõ ãðóï). Ðîçøèðåííÿ òîâàðíîãî àñîðòèìåíòó îçíà÷ຠâèõ³ä çà éîãî ìåæ³, çàçâè÷àé ó ñóì³æí³ òîâàðí³ êàòåãîð³¿.
² ï³ä ÷àñ ïîãëèáëåííÿ, ³ ï³ä ÷àñ ðîçøèðåííÿ àñîðòèìåíòó ãîëîâíèé ðèçèê äëÿ êîìïàí³¿ – "êàí³áàë³çì". Íîâ³ ìàðêè, ÿê³ çàçâè÷àé í³÷îãî íå äîïîâíþþòü íîâîãî, ìîæóòü ïðèçâåñòè äî òàêî¿ ñèòóàö³¿, êîëè êîìïàí³ÿ ïî÷íå çàçíàâàòè âèòðàò, ïîâ'ÿçàíèõ ç³ çá³ëüøåííÿì àñîðòèìåíòó, íå çá³ëüøóþ÷è ïðîäàæ.
Êîìïàí³¿ ìîæóòü ïðîïîíóâàòè íå îäíó, à ê³ëüêà àñîðòèìåíòíèõ ãðóï òîâàð³â, ÿê³ ñòâîðþþòü òîâàðíó íîìåíêëàòóðó.
Òîâàðíà íîìåíêëàòóðà – ñóêóïí³ñòü óñ³õ àñîðòèìåíòíèõ ãðóï òîâàð³â ³ òîâàðíèõ îäèíèöü, ÿê³ êîìïàí³ÿ ïðîïîíóº ïîêóïöÿì. Òîâàðí³é íîìåíêëàòóð³ êîìïàí³¿ âëàñòèâ³ ÷îòèðè âàæëèâ³ õàðàêòåðèñòèêè: øèðîòà, íàñè÷åí³ñòü, ãëè-áèíà òà ãàðìîí³éí³ñòü [25].
Øèðîòà òîâàðíî¿ íîìåíêëàòóðè – ê³ëüê³ñòü àñîðòèìåíòíèõ ãðóï, ÿê³ âèïóñêຠêîìïàí³ÿ.
Íàñè÷åí³ñòü òîâàðíîãî àñîðòèìåíòó – çàãàëüíà ê³ëüê³ñòü îêðåìèõ òîâàð³â, ÿê³ ñòàíîâëÿòü àñîðòèìåíò.
Ãëèáèíà òîâàðíî¿ íîìåíêëàòóðè – ê³ëüê³ñòü âàð³àíò³â âèêîíàííÿ êîæíî¿ òîðãîâî¿ ìàðêè (òîâàðó) â ìåæàõ àñîðòèìåíòíî¿ ãðóïè.
Ãàðìîí³éí³ñòü òîâàðíî¿ íîìåíêëàòóðè – ñòóï³íü ñõîæîñò³ ì³æ òîâàðàìè ð³çíèõ àñîðòèìåíòíèõ ãðóï ç ïîãëÿäó ¿õíüîãî ê³íöåâîãî âèêîðèñòàííÿ, óìîâ âèðîáíèöòâà, êàíàë³â ðîçïîâñþäæåííÿ àáî ³íøèõ ïîêàçíèê³â.
Õàðàêòåðèñòèêè òîâàðíî¿ íîìåíêëàòóðè ìîæóòü ñëóãóâàòè áàçîâèìè îð³-ºíòèðàìè äëÿ ðîçðîáêè ñòðàòå㳿 òîâàðó. Ó êîìïàí³¿ ìîæå áóòè ÷îòèðè ñïîñîáè ðîçøèðåííÿ ä³ÿëüíîñò³: ñòâîðåííÿ íîâèõ àñîðòèìåíòíèõ ãðóï òîâàð³â ³ òàêèì ÷èíîì ðîçøèðåííÿ òîâàðíî¿ íîìåíêëàòóðè; êîìïàí³ÿ ìîæå ðîçøèðèòè âæå íà-ÿâí³ àñîðòèìåíòí³ ãðóïè, ùîá îòðèìàòè ñòàòóñ êîìïàí³¿ ç íåâè÷åðïíèì àñîðòè-ìåíòîì; êîìïàí³ÿ ìîæå çá³ëüøèòè ê³ëüê³ñòü âàð³àíò³â êîæíîãî ç óæå íàÿâíèõ òîâàð³â; êîìïàí³ÿ ìîæå ïðàãíóòè á³ëüøî¿ (àáî ìåíøî¿) ãàðìîí³éíîñò³ òîâàð³â ð³çíèõ àñîðòèìåíòíèõ ãðóï.
Ñòðàòåã³ÿ ìàðêåòèíãó ìàðêè àáî òîâàðíîãî àñîðòèìåíòó çì³íþºòüñÿ âïðî-äîâæ öèêëó æèòòÿ òîâàðó, òîáòî ñòàä³é, ÿê³ â³í ïðîõîäèòü â³ä ðîçðîáêè ³ ïîÿâè íà ðèíêó äî çðîñòàííÿ, çð³ëîñò³ ³ çàíåïàäó. Æèòòºâèé öèêë òîâàðó ñêëàäàºòüñÿ ç ï'ÿòè ÷³òêî âèðàæåíèõ åòàï³â [27].
Ðîçðîáêà – óïðîäîâæ öüîãî ïåð³îäó êîìïàí³ÿ çíàõîäèòü ³ âò³ëþº â æèòòÿ íîâó ³äåþ. Òîä³ æ îáñÿã ïðîäàæó äîð³âíþº íóëþ, à îáñÿãè ³íâåñòèö³é çðîñòàþòü ðàçîì ³ç íàáëèæåííÿì äî çàâåðøàëüíî¿ ñòà䳿 åòàïó.
Âèâåäåííÿ íà ðèíîê ïî÷èíàºòüñÿ ç ïåðøî¿ ïîÿâè òîâàðó íà ðèíêó. Çàâîþâàííÿ ðèíêó ïîòðåáóº ÷àñó, òîìó îáñÿã ïðîäàæó çðîñòຠïîâ³ëüíî. Ïðèáóòêè íà öüîìó åòàï³ â³ä'ºìí³ ÷è íåâèñîê³ ÷åðåç íåçíà÷íèé îáñÿã ïðîäàæó ÷è âèñîê³ âèòðàòè íà ìàðêåòèíãîâ³ çàõîäè. Âèòðàòè íà ïðîñóâàííÿ òîâàðó ïîð³âíÿíî âèñîê³, îñê³ëüêè íåîáõ³äíî ïðî³íôîðìóâàòè ïîêóïö³â ïðî íîâèé òîâàð ³ íàäàòè ¿ì ìîæëèâ³ñòü âèïðîáóâàòè éîãî.
Çðîñòàííÿ – ÿêùî íîâèé òîâàð êîðèñòóºòüñÿ ïîïèòîì, â³í ïåðåõîäèòü íà åòàï çðîñòàííÿ. Çðîñòຠîáñÿã ïðîäàæó òîâàðó. Íà öüîìó åòàï³ â³äáóâàºòüñÿ ïîñò³éíå çðîñòàííÿ ïðèáóòêó, îñê³ëüêè âèòðàòè íà ïðîñóâàííÿ ñï³ââ³äíîñÿòüñÿ ç äåäàë³ á³ëüøèìè îáñÿãàìè ïðîäàæó, à âèòðàòè âèðîáíèöòâà íà îäèíèöþ ïðîäóêö³¿ çíèæóþòüñÿ. Ãîëîâíèì çàâäàííÿì ðåêëàìè ñòຠíå îçíàéîìëåííÿ ñïîæèâà÷³â ç òîâàðîì, à ï³äòðèìêà ïðèõèëüíîñò³ äî òîâàðó òà ð³øåííÿ ïðî êóï³âëþ, â ïåâíèé ìîìåíò êîìïàí³ÿ ìîæå çíèçèòè ö³íó, ùîá çàëó÷èòè íîâèõ ïîêóïö³â. Íà åòàï³ çðîñòàííÿ ó êîìïàí³¿ âèíèêຠíåîáõ³äí³ñòü øóêàòè êîìïðîì³ñ ì³æ âåëèêîþ ÷àñòêîþ ðèíêó òà âèñîêèì ïîòî÷íèì ïðèáóòêîì. Âèòðà÷àþ÷è âåëèê³ êîøòè íà âäîñêîíàëåííÿ òîâàðó, ïðîñóâàííÿ òà ðîçïîä³ë, êîìïàí³ÿ ìîæå çàâîþâàòè ïàí³âíå ñòàíîâèùå íà ðèíêó. Ó öüîìó ðàç³, îäíàê, âîíà â³äìîâëÿºòüñÿ â³ä ìàêñèìàëüíîãî ïîòî÷íîãî ïðèáóòêó, ñïîä³âàþ÷èñü ïîâåðíóòè éîãî íà íàñòóïíîìó åòàï³.
Çð³ë³ñòü – çðîñòàííÿ îáñÿãó ïðîäàæó ñïîâ³ëüíþºòüñÿ, îñê³ëüêè îñíîâíà ìàñà ïîòåíö³éíèõ ïîêóïö³â óæå ïðèäáàëà òîâàð. гâåíü ïðèáóòêó çàëèøàºòüñÿ íåçì³ííèì ÷è çíèæóºòüñÿ âíàñë³äîê çá³ëüøåííÿ âèòðàò íà ìàðêåòèíãîâ³ çàõîäè, ñïðÿìîâàí³ íà çàõèñò òîâàðó â³ä êîíêóðåíò³â. Åòàï çð³ëîñò³ òðèâຠäîâøå, í³æ ïîïåðåäí³ åòàïè. Óïîâ³ëüíåííÿ òåìï³â çðîñòàííÿ îáñÿã³â ïðîäàæó â³äáóâàºòüñÿ âíàñë³äîê ïîÿâè áàãàòüîõ âèðîáíèê³â ³ âåëèêî¿ ê³ëüêîñò³ òîâàðó.
Çàíåïàä – çíèæåííÿ îáñÿã³â ïðîäàæó òà ñêîðî÷åííÿ ïðèáóòê³â. Çìåíøåííÿ îáñÿã³â ïðîäàæó ìîæå ïîÿñíþâàòèñÿ áàãàòüìà ïðè÷èíàìè, òàêèìè ÿê òåõí³÷íèé ïðîãðåñ, çì³íà ñìàê³â ñïîæèâà÷³â, ïîñèëåííÿ êîíêóðåíö³¿. Êîìïàí³¿ ìîæóòü ïðèïèíèòè ñâîþ ä³ÿëüí³ñòü íà ðèíêó ï³ñëÿ òîãî, ÿê îáñÿãè ïðîäàæó òà ïðèáóòêó ïî÷íóòü çìåíøóâàòèñÿ. Ò³, ùî çàëèøàþòüñÿ, ìîæóòü ñêîðîòèòè áþäæåò ïðîñóâàííÿ, çíèçèòè ö³íè àáî â³äìîâèòèñÿ â³ä ìåíøèõ ñåãìåíò³â ðèíêó ³ äðóãîðÿäíèõ êàíàë³â çáóòó. ϳäòðèìêà ñëàáêîãî òîâàðó ìîæå áóòè äëÿ êîìïàí³¿ íàäòî äîðîãîþ.

Ðèñ.1.2. Çì³íà îáñÿã³â ïðîäàæó òà ïðèáóòêó âïðîäîâæ æèòòºâîãî öèêëó òîâàðó
Ïîçèö³ÿ òîâàðó – öå ì³ñöå, ÿêå çàéìຠïåâíèé òîâàð ó ñâ³äîìîñò³ ñïîæè-âà÷³â ïîð³âíÿíî ç àíàëîã³÷íèìè êîíêóðóþ÷èìè òîâàðàìè. Ïîçèö³þâàííÿ òîâàðó – ñïîñ³á, â³äïîâ³äíî äî ÿêîãî ñïîæèâà÷³ ³äåíòèô³êóþòü òîé ÷è ³íøèé òîâàð çà éîãî íàéâàæëèâ³øèìè õàðàêòåðèñòèêàìè. Ïîçèö³ÿ òîâàðó – öå ö³ëèé íàá³ð ïîã-ëÿä³â, âðàæåíü ³ â³ä÷óòò³â, ùî ôîðìóºòüñÿ ó ñïîæèâà÷à ï³ä ÷àñ ïîð³âíÿííÿ ïåâ-íîãî òîâàðó ç òîâàðàìè-êîíêóðåíòàìè. Ôîðìóâàííÿ ïîçèòèâíîãî ñòàâëåííÿ ñïî-æèâà÷³â äî òîâàðó êîìïàí³¿ – íàñë³äîê ä³é ¿¿ ñòðàòå㳿 ïîçèö³þâàííÿ. Îñîáëèâå ì³ñöå â öüîìó ïðîöåñ³ çàéìຠïîë³òèêà ìàðêåòèíãîâèõ êîìóí³êàö³é. Íàïðèêëàä, çàâäÿêè ðåêëàì³ ìîæå áóòè ñòâîðåíî ïåâíèé ³ì³äæ ìàðêè òîâàðó. Õî÷à ïðåñòèæ-í³ñòü òîâàðó ï³äòðèìóºòüñÿ òàêîæ ð³âíåì ö³íè, ì³ñöåì ïðîäàæó òà ³í. Âèá³ð ïî-çèö³¿ òîâàðó ïîâèíåí ãðóíòóâàòèñÿ íà ðåàëüíèõ ïåðåâàãàõ òîâàðó (ïîñëóãè). Íå-îáõ³äíî âðàõîâóâàòè ïîçèö³þ, ÿêó çàéìàþòü ó ïåâíîìó ñåãìåíò³ ðèíêó êîíêó-ðåíòè, à ïîò³ì âèçíà÷àòè íàéêðàùó ïîçèö³þ.
Êîíêóðåíòí³ ïåðåâàãè – öå ñèëüí³ ñòîðîíè òîâàðó. Ñïîæèâà÷³ ìîæóòü çä³éñíþâàòè ïîçèö³þâàííÿ ñàìîñò³éíî àáî çà äîïîìîãîþ ìàðêåòîëîã³â. Ïðîòå ìàðêåòîëîãè ðîçðîáëÿþòü ìàðêåòèíãîâ³ ïðîãðàìè äëÿ çàéíÿòòÿ òàêèõ ïîçèö³é, ÿê³ á çàáåçïå÷èëè òîâàðàì êîìïàí³¿ íàéá³ëüøó ïåðåâàãó íà âèçíà÷åíîìó ö³ëüîâîìó ðèíêó.
Ìàðêåòèíãîâà ñòðàòåã³ÿ ïëàíóâàííÿ òîâàðíîãî ïîðòôåëþ ï³äïðèºìñòâà îõîïëþº íàñòóïí³ ïèòàííÿ [22]:
- ÿêèé òîâàð ââîäÿòü íà ðèíîê, çà ÿêîþ ö³íîþ ³ íà ÿêîãî ñïîæèâà÷à â³í ðîçðàõîâàíèé;
- ÿê³ óìîâè íåîáõ³äí³ äëÿ ïðîäàæó òîâàð³â íà çàïëàíîâàíîìó ð³âí³, ÷åðåç ÿê³ êàíàëè é ó ÿêèõ îáñÿãàõ áóäå ïðîõîäèòè ðåàë³çàö³ÿ;
- ÿêèìè çàñîáàìè äîö³ëüíî âïëèâàòè íà ïîïèò ³ ñòèìóëþâàííÿ ïðîäàæ³â;
- ÿêèì ïîâèííå áóòè ñåðâ³ñíå îáñëóãîâóâàííÿ ³ õòî áóäå éîãî ïðîâîäèòè;
- ÿê³ áóäóòü îòðèìàí³ ðåçóëüòàòè ³ ÿê³ äëÿ öüîãî áóäóòü ïîòð³áí³ âèòðàòè.
Îñíîâíèì ôàêòîðîì ôîðìóâàííÿ òîâàðíîãî ïîðòôåëþ âèðîáíè÷î-òîðãî-âåëüíîãî ï³äïðèºìñòâà º àñîðòèìåíò ïðîäóêö³¿ – ñóêóïí³ñòü ¿¿ âèä³â, ð³çíîìàí³ò-í³ñòü òà ñîðòàìåíò, ÿê³ îá’ºäíàí³ êîíêðåòíîþ îçíàêîþ [22].
Ôîðìóâàííÿ àñîðòèìåíòó ïðîäóêö³¿ íà ï³äïðèºìñòâ³ º ñêëàäíèì ïðîöå-ñîì, ÿêèé çä³éñíþºòüñÿ ç óðàõóâàííÿì 䳿 ö³ëîãî ðÿäó ôàêòîð³â. Ö³ ôàêòîðè ïî-ä³ëÿþòüñÿ íà çàãàëüí³ òà ñïåöèô³÷í³. Äî çàãàëüíèõ ôàêòîð³â â³äíîñÿòü ñïîæèâ-÷èé ïîïèò òà âèðîáíèöòâî òîâàð³â. Ñïåöèô³÷íèìè ôàêòîðàìè º óìîâè òîâàðî-ïîñòà÷àííÿ, ÷èñåëüí³ñòü òà ñïåö³àë³çàö³ÿ ï³äïðèºìñòâ àáî ñêëàä íàñåëåííÿ, ÿêå îáñëóãîâóºòüñÿ, òðàíñïîðòí³ óìîâè, íàÿâí³ñòü ³íøèõ êîíêóðåíòíèõ ï³äïðèºìñòâ â çîí³ ä³ÿëüíîñò³.
Ñïîæèâ÷èé ïîïèò º îñíîâíèì ôàêòîðîì, ÿêèé âïëèâຠíà ôîðìóâàííÿ àñîðòèìåíòó, ³ íàïðàâëåíèé íà ìàêñèìàëüíå çàäîâîëåííÿ ïîïèòó ñïîæèâà÷à ³ ðàçîì ç öèì – íà àêòèâíèé âïëèâ íà ïîïèò â ñòîðîíó éîãî ðîçøèðåííÿ.
Ôîðìóâàííÿ àñîðòèìåíòó òà ñïîæèâ÷èé ïîïèò â ñâîºìó ðîçâèòêó âçàºìî-çâ’ÿçàí³. Ñóòòºâ³ çì³íè â ïîïèò³ ïîâèíí³ â³äáèâàòèñÿ â ñôîðìîâàíîìó àñîðòè-ìåíò³.
Ïðè ôîðìóâàíí³ àñîðòèìåíòó ïðîäóêö³¿ (òîâàð³â), âðàõîâóþòüñÿ äåÿê³ îñîáëèâîñò³ ïîïèòó. Ïîïèò íà íåïðîäîâîëü÷³ òîâàðè ìåíø ñò³éêèé í³æ íà ïðî-äîâîëü÷³ òîâàðè, ÿêèì ïðèòàìàííà âèñîêà ñòåï³íü ñò³éêîñò³, à â îêðåìèõ âèïàä-êàõ – êîíñåðâàòèâí³ñòü. Ñïîæèâà÷ çâèêຠäî êîíêðåòíèõ âèä³â ïðîäóêö³¿, òîìó âàæëèâî äîñÿãíóòè ñòàá³ëüíîñò³ â ôîðìóâàíí³ àñîðòèìåíòó òàêèõ òîâàð³â, çà-áåçïå÷óþ÷è ¿õ áåçïåðåá³éíèé ïðîäàæ.
Ïðè ôîðìóâàíí³ àñîðòèìåíòó òîâàð³â, òðåáà âðàõîâóâàòè ôàêòîð âçàºìíî¿ çàì³íè. Ó âèïàäêó â³äñóòíîñò³ ó ïðîäàæ³ ïîòð³áíîãî òîâàðó ïîêóïåöü, ÿê ïðàâè-ëî, íå â³äêëàäຠïîêóïêó, à áóäå øóêàòè éîìó çàì³íó.
Íà ôîðìóâàííÿ àñîðòèìåíòó âïëèâຠòàêîæ õàðàêòåð ïîïèòó. Ðîçð³çíÿþòü ïîïèò ñò³éêèé, àëüòåðíàòèâíèé òà ³ìïóëüñèâíèé.
Ñóòòºâèì ôàêòîðîì ôîðìóâàííÿ àñîðòèìåíòó ÿâëÿºòüñÿ ö³íà òîâàðó. Ïî-êóïåöü îáîâ’ÿçêîâî âèçíà÷ຠäëÿ ñåáå ãðàíè÷íó ö³íó, àáî ä³àïàçîí ö³í â ãðàíè-öÿõ ÿêîãî â³í çáèðàºòüñÿ çàïëàòèòè çà ïîêóïêó. Òîìó îäíèì ³ç êðèòåð³¿â ðàö³î-íàëüíîãî ôîðìóâàííÿ àñîðòèìåíòó ïðîäóêö³¿ º çàáåçïå÷åííÿ ñï³âñòàâëåííÿ ïðî-äóêö³¿ ç ð³çíîþ ö³íîþ.
³ä ñêëàäó òà ñâîº÷àñíîãî îíîâëåííÿ àñîðòèìåíòó ïðîäóêö³¿ íà ï³äïðè-ºìñòâ³, â çíà÷í³é ì³ð³, çàëåæèòü ñòåï³íü çàäîâîëåííÿ ïîïèòó, âèòðàòè íàñåëåííÿ, ÿê³ ïîâ’ÿçàí³ ç ïîêóïêîþ òîâàð³â, ê³ëüê³ñí³ òà ÿê³ñí³ ïîêàçíèêè ãîñïîäàðñüêî¿ ä³ÿëüíîñò³ ï³äïðèºìñòâà. ³äñóòí³ñòü â ïðîïîçèö³¿ îêðåìèõ òîâàð³â, ¿õ âóçüêèé, íåñòàá³ëüíèé àáî íå â³äïîâ³äàþ÷èé çàïèòàì ïîêóïö³â àñîðòèìåíò, ïîðîäæóþòü íåçàäîâîëåíèé ïîïèò, çá³ëüøóþ÷è âèòðàòè ÷àñó ñïîæèâà÷à íà ïîøóê íåîáõ³ä-íî¿ ïðîäóêö³¿, íåãàòèâíî â³äáèâàºòüñÿ íà åêîíîì³÷í³é åôåêòèâíîñò³ ä³ÿëüíîñò³ ï³äïðèºìñòâà. Òîìó ïðè ôîðìóâàíí³ àñîðòèìåíòó òîâàð³â âàæëèâîþ âèìîãîþ ÿâëÿºòüñÿ ìàêñèìàëüíå çàäîâîëåííÿ ïîïèòó ñïîæèâà÷³â ïðè ì³í³ìàëüíèõ âèòðà-òàõ ÷àñó íà ïîøóê òà çä³éñíåííÿ ïîêóïêè ³ çàáåçïå÷åííÿ íàéá³ëüøî¿ åôåêòèâíî¿ ðîáîòè ï³äïðèºìñòâà.
Ïðîöåñ ôîðìóâàííÿ àñîðòèìåíòó ïðîäóêö³¿ (òîâàðó) ñêëàäàºòüñÿ ç 3-õ åòàï³â.
Íà ïåðøîìó åòàï³ ô³ðìà âñòàíîâëþº ãðóïîâèé àñîðòèìåíò ïðîäóêö³¿. Öÿ ðîáîòà ïðîâîäèòüñÿ íà îñíîâ³ ìàðêåòèíãîâèõ äîñë³äæåíü â îáëàñò³ ö³ëüîâîãî ðèíêó.  çàëåæíîñò³ â³ä öüîãî âèçíà÷àþòüñÿ ì³ñöå òà ðîëü ï³äïðèºìñòâà â çàãàëüí³é ñèñòåì³ ö³ëüîâîãî çàáåçïå÷åííÿ òà îáñëóãîâóâàííÿ ñïîæèâà÷à.
Íà äðóãîìó åòàï³ ôîðìóâàííÿ àñîðòèìåíòó ïðîâîäÿòüñÿ ðîçðàõóíêè ñòðóêòóðè ãðóïîâîãî àñîðòèìåíòó, âèçíà÷àþòüñÿ ê³ëüê³ñí³ ñï³ââ³äíîøåííÿ îê-ðåìèõ ãðóï òîâàð³â. Ñòðóêòóðà ãðóïîâîãî àñîðòèìåíòó âñòàíîâëþºòüñÿ ç óðà-õóâàííÿì òîãî ñåãìåíò³ ùî çàéìຠï³äïðèºìñòâî, éîãî òåðèòîð³àëüíå ðîçì³ùåí-íÿ òà áàãàòî ³íøèõ ôàêòîð³â.
Íà òðåòüîìó – çàêëþ÷íîìó åòàï³ âèçíà÷àºòüñÿ âíóòð³øíüîãðóïîâèé àñîð-òèìåíò, çä³éñíþºòüñÿ ï³äá³ð êîíêðåòíèõ âèä³â ïðîäóêö³¿ â ãðàíèöÿõ êîæíî¿ ãðó-ïè. Öå íàéá³ëüø â³äïîâ³äàëüíèé åòàï, ³ â³ä òîãî, íàñê³ëüêè â³ðíî ñôîðìîâàíî òóò àññîðòèìåíò ïðîäóêö³¿, çàëåæèòü çàäîâîëåííÿ ïîïèòó ïîêóïö³â ö³ëüîâîãî ðèíêó.
Íà ê³íöåâîìó åòàï³ ðîáîòà ïî ôîðìóâàííþ àñîðòèìåíòó âåäåòüñÿ ç óðàõó-âàííÿì î÷³êóâàííÿ çì³í â ïîïèò³ ñïîæèâà÷à, à òàêîæ âèõîäÿ÷è ³ç íàÿâíèõ âè-ðîáíè÷èõ ïîòóæíîñòåé, ñêëàäñüêèõ òà òîðãîâèõ ïëîù, ðîçðàõóíêîâèõ ïîêàç-íèê³â òîâàðîîá³ãó, êîíòèíãåíòó ñïîæèâà÷³â ùî îáñëóãîâóºòüñÿ òà ³íøèõ ôàêòî-ð³â.
Ôîðìóâàííÿ àñîðòèìåíòó çàëåæèòü â³ä àñîðòèìåíòíîãî ïåðåë³êó ïðîäóê-ö³¿ ï³äïðèºìñòâà. Îòæå, ðîçðîáêà êîæíèì êîíêðåòíèì ï³äïðèºìñòâîì àñîðòè-ìåíòíîãî ïåðåë³êó ïðîäóêö³¿ òà çä³éñíåííÿ êîíòðîëþ çà éîãî äîòðèìàííÿì âåäå äî êðàùîãî îáñëóãîâóâàííÿ ñïîæèâà÷³â ö³ëüîâîãî ðèíêó òà ñòâîðåííÿ ñò³éêîãî àñîðòèìåíòó. Ó âèïàäêó âèÿâëåííÿ â³äñóòíîñò³ â ïðîäàæ³ òîâàð³â, ÿê³ ïåðåäáà-÷åí³ àñîðòèìåíòîì, ï³äïðèºìñòâî ïîâèííî ïðèéìàòè ì³ðè ïî ¿õ âèãîòîâëåííþ òà ïðåä’ÿâëåííÿ äëÿ ðåàë³çàö³¿ ñïîæèâà÷ó.
Íàÿâí³ñòü àñîðòèìåíòíîãî ïåðåë³êó äîçâîëÿº íå ò³ëüêè ðàö³îíàëüíî ðåãó-ëþâàòè àñîðòèìåíò òîâàð³â, àëå ³ ñèñòåìàòè÷íî êîíòðîëþâàòè éîãî ïîâíîòó òà ñòàá³ëüí³ñòü.
Ôîðìóâàííÿ òîâàðíîãî ïîðòôåëþ ï³äïðèºìñòâà â óìîâàõ ðèíêó ïîâ’ÿçàíà â îñíîâíîìó, ç òðüîìà ãðóïàìè ðèçèêó: çàáåçïå÷åííÿì ïðîïîðö³¿ ð³âíÿ ïîïèòó, òîáòî íåîáõ³äí³ñòþ âèðîáíèöòâà òà çàêóï³âë³ ò³ëüêè òèõ òîâàð³â, íà ÿê³ áóäå ïîïèò òà ÿê³ áóäóòü ðåàë³çîâàí³; îïòèì³çàö³ºþ òîâàðíèõ çàïàñ³â (çàáåçïå÷åííÿì çàäîâîëåííÿ ïîïèòó ÷åðåç ì³í³ìàëüí³ òîâàðí³ çàïàñè); ä³ÿëüí³ñòþ êîíêóðåíò³â (äîñÿãíåííÿ ïåðåâàã, ÿê³ äîçâîëÿþòü ï³äòðèìóâàòè ³ ðîçøèðþâàòè ÷àñòêó ðèíêó, çàâîþâàòè íîâ³ ñåãìåíòè ðèíêó).
Âïðîâàäæåííÿ ìàðêåòèíãîâèõ äîñë³äæåíü â ä³ÿëüí³ñòü ï³äïðèºìñòâà ïîâ’ÿçàíî íàñàìïåðåä ç âèêîðèñòàííÿì ìàðêåòèíãîâî¿ ³íôîðìàö³¿, ùî º îñíî-âîþ äëÿ åôåêòèâíîãî óïðàâë³ííÿ ôîðìóâàííÿì àñîðòèìåíòó òîâàð³â. Óñï³øíî ðåàë³çóâàòè öþ ïðîáëåìó äîçâîëÿº ñòâîðåííÿ òîâàðíèõ ñèñòåì íà îñíîâ³ àâòî-ìàòèçàö³¿ îïåðàö³é òîðãîâî-òåõíîëîã³÷íîãî ïðîöåñó.
Àâòîìàòèçîâàíà òîâàðíà ñèñòåìà îõîïëþº ðîçðàõóíêè ³ç ñïîæèâà÷àìè: àíàë³ç ðóõó òîâàð³â (çàêóïêó ³ ðåàë³çàö³þ); ðèíêîâ³ äîñë³äæåííÿ êîí’þêòóðè ðèíêó, òîâàð³â òà ñïîæèâà÷³â; îö³íêó ðîáîòè âèðîáíè÷îãî ïåðñîíàëó òà ¿õ ïðî-äóêòèâíîñò³. Öÿ ñèñòåìà ìîæå òàêîæ âêëþ÷àòè ³ âèðîáíèöòâî òîâàðó (ïðîäóê-ö³¿), îñê³ëüêè ïðàöþº íà çâîðîòí³é çâ’ÿçîê ç âèðîáíèöòâîì òîâàð³â.
Ïîøóê øëÿõ³â ï³äâèùåííÿ åôåêòèâíîñò³ óïðàâë³ííÿ ôîðìóâàííÿì òîâàð-íîãî ïîðòôåëþ íà ï³äïðèºìñòâ³ ïîâèíåí ïðîâîäèòèñÿ ïî âñ³õ ¿¿ åëåìåíòàõ.
Íàñàìïåðåä:
- âèâ÷åííÿ ðèíêó, òîðãîâåëüíî¿ êîí’þíêòóðè, ïðîãíîçóâàííÿ ïîïèòó íà òîâàðè;
- âèâ÷åííÿ òà ïîøóê ìîæëèâèõ äæåðåë çàêóïêè òîâàð³â (ñèðîâèíè àáî íàï³âôàáðèêàò³â äëÿ âèðîáíèöòâà);
- âèêîðèñòàííÿ âëàñíèõ ìîæëèâîñòåé àáî ñòâîðåííÿ äîäàòêîâèõ äæåðåë äëÿ ïîíîâëåííÿ òîâàðíèõ ðåñóðñ³â;
- çä³éñíåííÿ òîâàðîîáì³ííèõ îïåðàö³é;
- çàêóïêà òîâàð³â íà á³ðæàõ;
- ïðîâåäåííÿ ïîë³òèêè òàêòè÷íîãî ö³íîóòâîðåííÿ, ÿêå çàëåæèòü â³ä ïîïè-òó òà ïðîïîçèö³¿ òîâàð³â;
- ïðîâåäåííÿ ðåêëàìíèõ çàõîä³â;
- çàñòîñóâàííÿ ïðîãðåñèâíèõ ôîðì ðåàë³çàö³¿ òîâàð³â;
- ñåðâ³ñíå îáñëóãîâóâàííÿ ñïîæèâà÷³â;
- âèêîðèñòàííÿ êðåäèòíèõ ðåñóðñ³â äëÿ ðîçøèðåííÿ êîìåðö³éíî¿ ä³ÿëü-íîñò³ òîùî.
1.3 Ïðèíöèïè îïòèì³çàö³¿ óïðàâë³ííÿ çàïàñàìè â êîìåðö³éí³é ä³ÿëüíîñò³ òîðãîâî-ïîñåðåäíèöüêèõ ï³äïðèºìñòâ
 ðîçâèíåíèõ êðà¿íàõ óïðàâë³ííÿ òîâàðíèìè çàïàñàìè áàçóºòüñÿ íà âèêîðèñòàíí³ ïîòóæíèõ ³íôîðìàö³éíèõ òåõíîëîã³é, ùî äîçâîëÿþòü ïðàêòè÷íî ùîäíÿ ñïîñòåð³ãàòè ¿õí³é ñòàí ³ äèíàì³êó, àâòîìàòè÷íî çä³éñíþâàòè ðîçì³ùåííÿ çàìîâëåíü ÷åðåç êîìï'þòåðíó ìåðåæó ³ ïîïîâíþâàòè çàïàñè äî îïòèìàëüíîãî ð³âíÿ. Íàéá³ëüø ðîçïîâñþäæåí³ ñèñòåìè óïðàâë³ííÿ çàïàñàìè, ùî çàñíîâàí³ íà âèêîðèñòàíí³ ìîäåë³ EOQ, çàñîáó ÷åðâîíî¿ ë³í³¿, äâîõñåêòîðíîãî çàñîáó.  îñòàíí³é ÷àñ îòðèìàâ ðîçïîâñþäæåííÿ ìåòîä óïðàâë³ííÿ çàïàñàìè ïî ïðèíöèïó Just-In-Time. Ïðè öüîìó ïîâíîòà ³ â³ðîã³äí³ñòü ³íôîðìàö³éíî¿ áàçè çàáåçïå÷óºòüñÿ çà ðàõóíîê àâòîìàòèçàö³¿ îáë³êó ³ âèêîðèñòàííÿ ì³æíàðîäíî¿ ñèñòåìè êîäóâàííÿ òîâàð³â.
Çàãàëüíèé ïðèíöèï, íà ÿêîìó çàñíîâàí³ âñ³ ñèñòåìè óïðàâë³ííÿ çàïàñàìè - öå âçàºìîçâ'ÿçîê âõ³äíèõ ³ âèõ³äíèõ ïàðàìåòð³â, ùî çàçíà÷åí³ íà ñõåì³ ðèñ 1.3.
Ðèñ.1.3. Ñèñòåìà óïðàâë³ííÿ çàïàñàìè [13]Òàê³ ñèñòåìè ñòâîðþþòüñÿ äëÿ íàéá³ëüø åôåêòèâíîãî ð³øåííÿ íàñòóïíèõ ïðîáëåì:
- Ðåàëüíî¿ îö³íêè ïîòî÷íîãî ñòàíó çàïàñ³â;
- Âñòàíîâëåííÿ íåîáõ³äíèõ òåðì³í³â ðîçì³ùåííÿ çàìîâëåíü;
- Âèçíà÷åííÿ äîö³ëüíîãî îáñÿãó ïàðò³¿ òîâàð³â, ùî çàìîâëÿºòüñÿ;
- Âèçíà÷åííÿ íåîáõ³äíîãî îáñÿãó ñòðàõîâèõ çàïàñ³â;
- Îö³íêà âèòðàò óïðàâë³ííÿ çàïàñàìè ³ çàñîá³â ¿õ ì³í³ì³çàö³¿.
Ïåðøà ïðîáëåìà âèð³øóºòüñÿ øëÿõîì âèêîðèñòàííÿ ñèñòåì êîíòðîëþ ð³âíÿ çàïàñ³â, ùî çàáåçïå÷óþòü óïðàâë³íñüê³ ïîòðåáè îïåðàòèâíîþ ³íôîðìàö³ºþ ïðî äèíàì³êó ¿õíüî¿ ðåàë³çàö³¿ ³ ïîòî÷íîãî ñòàíó.
Ñèñòåìè êîíòðîëþ ð³âíÿ çàïàñ³â
²ñíóþ÷³ ñèñòåìè êîíòðîëþ ð³âíÿ çàïàñ³â âàð³þþòü â³ä íàéá³ëüø ïðîñòèõ äî äîñòàòíüî ñêëàäíèõ â çàëåæíîñò³ â³ä ðîçì³ðó ï³äïðèºìñòâà, ïîë³òèêè ³ òåõíîëî㳿 ìåíåäæìåíòó, îáñÿãó, âèä³â ³ ³íøèõ îñîáëèâîñòåé çàïàñ³â.
Îäí³ì ç ðîçïîâñþäæåíèõ âèãëÿä³â ñèñòåì êîíòðîëþ ð³âíÿ çàïàñ³â º ñèñòåìè, çàñíîâàí³ íà çàñòîñóâàíí³ çàñîáó ÷åðâîíî¿ ë³í³¿. Ñóòü çàñîáó ïîëÿãຠâ ô³êñàö³¿ ãðàíè÷íîãî êîðäîíó, íèæ÷å ÿêîãî ð³âåíü çàïàñ³â íå ïîâèíåí îïóñêàòèñÿ. Ïðè äîñÿãíåíí³ öüîãî êîðäîíó â³äáóâàºòüñÿ àâòîìàòè÷íå ðîçì³ùåííÿ íîâîãî çàìîâëåííÿ.
Äðóãèé òèï ñèñòåì êîíòðîëþ çàñíîâàíèé íà âèêîðèñòàíí³ äâîõñåêòîðíîãî çàñîáó, â â³äïîâ³äíîñò³ ç ÿêèì çàïàñè äëÿ çáåð³ãàííÿ ì³ñòÿòüñÿ â äâîõ ñåêòîðàõ – ðîá³òíè÷îìó ³ ðåçåðâíîìó. Êîëè çàïàñè ðîá³òíè÷îãî ñåêòîðà âè÷åðïàí³, âêëþ÷àþòüñÿ äâà ïðîöåñó – ïîïîâíþºòüñÿ ðîá³òíè÷èé ñåêòîð çà ðàõóíîê ðåçåðâíîãî, ³ ðîçì³ùàºòüñÿ íîâå çàìîâëåííÿ.
Øèðîêå ðîçïîâñþäæåííÿ â ðîçâèíåíèõ êðà¿íàõ îòðèìàâ êëàñèô³êàö³éíèé ï³äõ³ä äî óïðàâë³ííÿ çàïàñàìè (ABC system). Éîãî ³äåÿ ïîëÿãຠâ âèêîðèñòàíí³ êëàñèô³êàö³¿ çàïàñ³â ³ âèä³ëåíí³ òðüîõ ãðóï – À, Â, ³ Ñ, â çàëåæíîñò³ â³ä ñòóïåíÿ âïëèâó äàíîãî âèäó çàïàñ³â íà çðîñòàííÿ òîâàðîîáîðîòó ï³äïðèºìñòâà. Äî ãðóïè À â³äíîñÿòü çàïàñè, ðåàë³çàö³ÿ ÿêèõ âíîñèòü íàéá³ëüøèé âêëàä â îáñÿã òîâàðîîáîðîòó â ãðîøîâîìó âèðàæåíí³. Äî ö³º¿ ãðóïè â³äíîñÿòüñÿ çàïàñè, ùî çàáåçïå÷óþòü 70% îáñÿãó ðåàë³çàö³¿. ßê ïðàâèëî, öå íàéá³ëüø äîðîã³ òîâàðè, ³ ¿õíÿ ïèòîìà âàãà â îáñÿç³ çàïàñ³â â íàòóðàëüíîìó âèðàæåíí³ íå ïåðåâèùóº 10%. Çàïàñè öüîãî âèãëÿäó âèìàãàþòü îñîáëèâî¿ óâàãè ìåíåäæåð³â ³ âèêîðèñòàííÿ ê³ëüê³ñíèõ çàñîá³â ³ ìîäåëåé äëÿ îïòèì³çàö³¿ ïðèéíÿòòÿ ð³øåíü. Äî ãðóïè  â³äíîñÿòü çàïàñè ñåðåäíüîãî ð³âíÿ âàæëèâîñò³, ùî çàáåçïå÷óþòü 20% îáñÿãó ðåàë³çàö³¿ ï³äïðèºìñòâà. ¯õíÿ ïèòîìà âàãà â íàòóðàëüíîìó âèðàæåíí³, ÿê ïðàâèëî, ñêëàäຠá³ëÿ 20%. Âèá³ð çàñîá³â óïðàâë³ííÿ çàïàñàìè ãðóïè  ïîâèíåí áóòè çàñíîâàíèé íà ç³ñòàâëåíí³ âèòðàò íà óïðàâë³ííÿ ³ åêîíîì³÷íîãî åôåêòó â³ä ¿õíüîãî âèêîðèñòàííÿ. Òîâàðí³ çàïàñè, ðåàë³çàö³ÿ ÿêèõ ìຠíåçíà÷íèé âêëàä â îáñÿã òîâàðîîáîðîòó, ïîðÿäêó 10%, â³äíîñÿòü äî ãðóïè Ñ. Äîñòàòíüî ÷àñòî âîíè ñêëàäàþòü çíà÷íó ÷àñòèíó â îáñÿç³ çàïàñ³â â íàòóðàëüíîìó âèðàæåíí³, – á³ëÿ 70%. Äî óïðàâë³ííÿ çàïàñàìè ãðóïè Ñ íåäîö³ëüíî çàñòîñîâóâàòè ñêëàäí³ ê³ëüê³ñí³ ìåòîäè óïðàâë³ííÿ, áî ïðè öüîìó, âèòðàòè íà óïðàâë³ííÿ ìîæóòü áóòè á³ëüøå åêîíîì³÷íîãî åôåêòó â³ä ¿õíüîãî âèêîðèñòàííÿ. Ïðèíöèï êëàñèô³êàö³¿ çàïàñ³â íà ãðóïè çà ¿õ âàæëèâ³ñòþ äëÿ ï³äïðèºìñòâà íàâåäåíèé â òàáëèö³ 1.2.
Òàáëèöÿ 1.2
Êëàñèô³êàö³ÿ çàïàñ³â (ÀÂÑ system) [15]
| Ãðóïè çàïàñ³â |
Äîëÿ â îá'ºì³ òîâàðîîáîðîòó â ãðîøîâîìó âèì³ð³ |
Äîëÿ â îá'ºì³ çàïàñ³â â íàòóðàëüíîìó âèì³ð³ |
×è âàðòî âèêîðèñòîâóâàòè ñêëàäí³ ê³ëüê³ñí³ ìåòîäè óïðàâë³ííÿ |
| 1. Ãðóïà À |
70% |
10% |
Òàê. |
| 2. Ãðóïà Â |
20% |
20% |
 äåÿêèõ âèïàäêàõ. |
| 3. Ãðóïà Ñ |
10% |
70% |
Íå âàðòî. |
³äíîñíî íîâèì ï³äõîäîì äî óïðàâë³ííÿ çàïàñàìè, º ïðèíöèï óïðàâë³ííÿ Just-In-Time ("ïðîñòî â÷àñíî"). Öåé ï³äõ³ä âïåðøå áóâ âèêîðèñòàíèé ÿïîíñüêèìè êîðïîðàö³ÿìè, à ï³ñëÿ öüîãî çíàéøîâ ðîçïîâñþäæåííÿ â âñüîìó ñâ³ò³. Îñíîâíà ³äåÿ ïîëÿãຠâ òîìó, ùî çàïàñè ïðàêòè÷í³ íå ñòâîðþþòüñÿ, à ïðîöåñ äîñòàâêè òîâàð³â ïîñòà÷àëüíèêàìè æîðñòêî ïîãîäæåíèé ç òåõíîëîã³÷íèì ïðîöåñîì íà ï³äïðèºìñòâ³.  íèí³øí³é ÷àñ òàêèé ï³äõ³ä åôåêòèâíî âèêîðèñòîâóºòüñÿ êîìïàí³ÿìè Toyota, General Motors ³ áàãàòüìà ³íøèìè. Çàìîâëåííÿ ðîçì³ùóþòüñÿ ç ³íòåðâàëîì 3-4 ãîäèíè ³ íåãàéíî ðåàë³çóþòüñÿ ïîñòà÷àëüíèêàìè. Öÿ ñèñòåìà äîçâîëÿº îòðèìàòè çíà÷íèé åêîíîì³÷íèé åôåêò çà ðàõóíîê äîâåäåííÿ âèòðàò çáåð³ãàííÿ äî íóëÿ. Îäíàê, âèñîêèé ð³âåíü âèìîã äî òî÷íîñò³ ôóíêö³îíóâàííÿ ñèñòåìè ïîñòà÷àíü ³ ðèçèê ìîæëèâèõ ïîìèëîê, ùî ïðèçâåäóòü äî ïîðóøåííþ òåõíîëî㳿, íå äîçâîëÿº âèêîðèñòàòè öåé ï³äõ³ä â êðà¿íàõ ç íåðîçâèíóòîþ ³íôîðìàö³éíîþ ³ êîìóí³êàö³éíîþ ³íôðàñòðóêòóðîþ.
Óïðàâë³ííÿ á³ëüø³ñòþ òîðãîâåëüíèõ êîìïàí³é ðîçâèíåíèõ êðà¿í çàñíîâà-íå íà âèêîðèñòàíí³ êîìï'þòåðíî¿ òåõíîëî㳿. Ñèñòåìè óïðàâë³ííÿ âêëþ÷àþòü àâòîìàòèçîâàíó ñèñòåìó îáë³êó çàïàñ³â ³ ðîçì³ùåííÿ çàìîâëåíü ó ïîñòà÷àëüíè-ê³â. Ðóõ êîæíî¿ îäèíèö³ òîâàð³â, ç äîïîìîãîþ ìàãí³òíîãî øòðèõîâîãî êîäóâàí-íÿ, â³äáèâàºòüñÿ â áàç³ äàíèõ, ùî îõîïëþº ³íôîðìàö³þ ïî âñ³é òîðãîâ³é ìåðåæ³ êîìïàí³¿. Ñèñòåìà óïðàâë³ííÿ áàçàìè äàíèõ äîçâîëÿº ïîñò³éíî îíîâëþâàòè ³íôîðìàö³þ ïðî ñòàí çàïàñ³â, ïðè äîñÿãíåíí³ êðàïêè çàìîâëåííÿ, àâòîìàòè÷íî ðîçì³ùóâàòè çàìîâëåííÿ ÷åðåç êîìï'þòåðíó ìåðåæó ³ âðàõîâóâàòè ³íôîðìàö³þ ïðî ïîïîâíåííÿ çàïàñ³â. Ïðè öüîìó, ³íôîðìàö³ÿ ïðî ðåàë³çàö³þ òîâàð³â íàäòî-äèòü â ñèñòåìó óïðàâë³ííÿ òîâàðíèìè çàïàñàìè, äåá³òîðñüêîþ çàáîðãîâàí³ñòþ ³ ãðîøîâèìè çàñîáàìè ³ îáðîáëÿºòüñÿ íà îñíîâ³ âáóäîâàíîãî â ñèñòåìó ìîäåëü-íîãî ³íñòðóìåíòàð³þ.
Áàçîâà ìîäåëü îïòèìàëüíîãî ð³âíÿ çàïàñ³â.
²äåÿ âèêîðèñòàííÿ áàçîâî¿ ìîäåë³ EOQ (Economic Ordering Quantity), òîáòî, ìîäåë³ îïòèìàëüíîãî ð³âíÿ çàïàñ³â, ïîëÿãຠâ âèçíà÷åíí³ òàêîãî ð³âíÿ çàïàñ³â, ï³äòðèìàííÿ ÿêîãî ì³í³ì³çóº ñóêóïí³ âèòðàòè íà óïðàâë³ííÿ íèìè. Ïðè öüîìó, ñóêóïí³ âèòðàòè ðîçáèâàþòüñÿ íà òðè îäíîð³äí³ ãðóïè: âèòðàòè çáåð³ãàííÿ, âèòðàòè, ïîâ'ÿçàí³ ç ôîðìóâàííÿì çàïàñ³â ³ âèòðàòè, ùî âèíèêàþòü âíàñë³äîê íåäîë³êó òîâàðíèõ çàïàñ³â.  òàáëèö³ 3 á³ëüø äåòàëüíî ïîäàíà öÿ êëàñèô³êàö³ÿ, à òàêîæ âïëèâ, ÿêèé çä³éñíþº çá³ëüøåííÿ ð³âíÿ çàïàñ³â íà ïîâåä³íêó âèòðàò êîæíî¿ ãðóïè.
Çðîñòàííÿ ð³âíÿ çàïàñ³â ñóïðîâîäæóºòüñÿ çá³ëüøåííÿì âèòðàò çáåð³ãàííÿ â ïðÿìîïðîïîðö³éí³é çàëåæíîñò³ (ïðÿìà À íà ðèñ.1.4), áî ðîñòå îáñÿã êàï³òàëó, ³ìîá³ë³çîâàíîãî â çàïàñè, ñêëàäñüê³ âèòðàòè, âèòðàòè, ïîâ'ÿçàí³ ç ñòàð³ííÿì ³ ïñóâàííÿì òîâàð³â.
 Ðèñ.1.4. Çàëåæí³ñòü ð³âíÿ âèòðàò â³ä îáñÿãó òîâàðíèõ çàïàñ³â.
Íà äðóãó ³ òðåòþ ãðóïó âèòðàò çá³ëüøåííÿ ð³âíÿ çàïàñ³â ñïðàâëÿº ïðîòèëåæíó ä³þ ³ âåäå äî ¿õíüîãî çíèæåííÿ çà ðàõóíîê åôåêòó åêîíî쳿 â³ä ìàñøòàáó ä³ÿëüíîñò³, âèêîðèñòàííÿ îïòîâèõ çíèæîê ïîñòà÷àëüíèê³â, â³äâåðòàííÿ äåô³öèòó òîâàðíèõ çàïàñ³â ³ çíèæåííÿ ð³âíÿ îáñëóãîâóâàííÿ ê볺íò³â ïðè êîëèâàííÿõ ïîïèòó. Ïðè öüîìó, òåìïè çíèæåííÿ âèòðàò çìåíøóþòüñÿ ç çðîñòàííÿì ð³âíÿ çàïàñ³â. Çàêîí çìåíøåííÿ âèòðàò óïðàâë³ííÿ çàïàñàìè, ÿê³ â³äíîñÿòüñÿ äî äðóãî¿ ³ òðåòüî¿ ãðóïè, îïèñóºòüñÿ êðèâî¿ ã³ïåðáîë³÷íîãî âèãëÿäó (êðèâà  íà ðèñ. 1.4).
Äèíàì³êà ñóêóïíèõ âèòðàò, ùî º ñóìîþ âèòðàò ïåðåðàõîâàíèõ ãðóï, âèçíà÷àºòüñÿ äâîìà ïðîòèëåæíèìè òåíäåíö³ÿìè ïðè çá³ëüøåíí³ ð³âíÿ çàïàñ³â: îäíà ñêëàäîâà öèõ âèòðàò ðîñòå, ³íøà – çìåíøóºòüñÿ. Åôåêòîì äâîõ çóñòð³÷íèõ ïðîöåñ³â º õàðàêòåð ïîâåä³íêè ñóêóïíèõ âèòðàò, ùî îïèñóºòüñÿ êðèâîþ Ñ íà ðèñ.1.4. ¯õíÿ ïîâåä³íêà õàðàêòåðèçóºòüñÿ íàÿâí³ñòþ îïòèìàëüíî¿ êðàïêè Q*, òîáòî, òàêèì ðîçì³ðîì çàïàñ³â, ïðè ÿêîìó ñóêóïí³ âèòðàòè äîñÿãàþòü ì³í³ìàëüíîãî ð³âíÿ. ßêùî ð³âåíü çàïàñ³â ìåíø Q*, òå çá³ëüøåííÿ ¿õíüîãî îáñÿãó âåäå äî çíèæåííÿ ñóêóïíèõ âèòðàò. Öå äîñÿãàºòüñÿ çà ðàõóíîê òîãî, ùî âèòðàòè çáåð³ãàííÿ ðîñòóòü ïîâ³ëüí³øå, í³æ çìåíøóþòüñÿ âèòðàòè äðóãî¿ ³ òðåòüî¿ ãðóïè.  êðàïö³ îïòèìàëüíîãî ð³âíÿ çàïàñ³â Q*, â ÿê³é ë³í³¿ À è  ïåðåòèíàþòüñÿ, òåìïè çì³íè âèòðàò ð³çíîìàí³òíèõ ãðóï âð³âíîâàæóþòüñÿ, ³ ñóêóïí³ âèòðàòè ñòàþòü ì³í³ìàëüíèìè. Ïðè ïîäàëüøîìó çá³ëüøåíí³ çàïàñ³â, òåìïè çðîñòàííÿ âèòðàò çáåð³ãàííÿ ïåðåâèùóþòü òåìïè çíèæåííÿ âèòðàò äðóãî¿ ³ òðåòüî¿ ãðóïè, ³ ñóêóïí³ âèòðàòè çðîñòàþòü.
Òàáëèöÿ 1.3
Êëàñèô³êàö³ÿ âèòðàò óïðàâë³ííÿ çàïàñàìè.
| Âèäè âèòðàò |
Õàðàêòåð ïîâåä³íêè âèòðàò ïðè çá³ëüøåíí³ ð³âíÿ çàïàñ³â |
1. Âèòðàòè çáåð³ãàííÿ çàïàñ³â:
1.1. Âèòðàòè, çâ'ÿçàí³ ç ³ììîá³ë³çàö³ºþ êàï³òàëó, ùî ³íâåñòóâàâñÿ â çàïàñè.
1.2. Ñêëàäñüê³ âèäàòêè.
1.3. Âèäàòêè ïî ñòðàõóâàííþ.
1.4 Ïîäàòîê íà ìàéíî.
1.5 Ïñóâàííÿ, ñòàð³ííÿ ³ êðà䳿êè.
II. Âèòðàòè ïîâ'ÿçàí³ ç ôîðìóâàííÿì çàïàñ³â.
2.1. Âèòðàòè ðîçì³ùåííÿ çàìîâëåíü.
2.2. Òðàíñïîðòí³ âèäàòêè.
III. Âèòðàòè ïîâ'ÿçàí³ ç äåô³öèòàì çàïàñ³â
3.1. Âòðàòè îáñÿãó ðåàë³çàö³¿.
3.2. Âòðàòè â³ä çíèæåííÿ ãóäâ³ëëó.
3.3. Âòðàòè â³ä íåîïòèìàëüíîãî âèêîðèñòàííÿ ö³íîâèõ äèñêîíò³â, ùî íàäàþòüñÿ ïîñòà÷àëüíèêàìè.
|
Ðîñòóòü
Çíèæóþòüñÿ
Çíèæóþòüñÿ
|
 â³äïîâ³äíîñò³ ç ìîäåëëþ EOQ, äîñë³äæåííÿ ïî ÿê³é âïåðøå áóëè ïðîâåäåí³ Ôîðäîì Â. Õàðð³ñîì â 1915 ðîö³, ïðè ðîçðàõóíêó îïòèìàëüíîãî ðîçì³ðó çàïàñ³â ïðèïóñêàºòüñÿ âèêîíàííÿ íàñòóïíèõ îñíîâíèõ äîïóùåíü:
- Ïîïèò íà òîâàðè â³äîìèé ³ íà äàíîìó ïðîì³æêó ÷àñó çàëèøàºòüñÿ ïîñò³éíèì;
- Ö³íà çàêóïêè òîâàð³â ó ïîñòà÷àëüíèê³â íå çàëåæèòü â³ä îáñÿãó çàêóïîê;
- ×àñ ïîñòà÷àííÿ, òîáòî, ÷àñ ì³æ ðîçì³ùåííÿì çàìîâëåííÿ ³ íàäõîäæåííÿì òîâàð³â íà ñêëàä â³äîìèé ³ º ïîñò³éíîþ âåëè÷èíîþ;
- Ïðè äàíîìó ð³âí³ çàïàñ³â, âèòðàòè íå çì³íþþòüñÿ â ÷àñó;
- Ïîñòà÷àííÿ òîâàð³â â³äáóâàºòüñÿ îäíàêîâèìè ïàðò³ÿìè â äèñêðåòí³ ïðîì³æêè ÷àñó.
 ðàìêàõ ïåðåðàõîâàíèõ äîïóùåíü, ïðîöåñ ôîðìóâàííÿ ³ ðåàë³çàö³¿ òîâàðíèõ çàïàñ³â îïèñóºòüñÿ äèíàì³÷íîþ ñõåìîþ, ÿêà íàâåäåíà íà ðèñ.1.5.
Ðèñ.1.5. Äèíàì³÷íà ñõåìà ïðîöåñó ôîðìóâàííÿ ³ ðåàë³çàö³¿ òîâàðíèõ çàïàñ³â òà ãðàô³÷íà ³ëþñòðàö³ÿ ðîçðàõóíêó êðàïêè çàìîâëåííÿ.Êðàïêè t1, t2, t3, …íà òèì÷àñîâî¿ îñ³ â³äïîâ³äàþòü ìîìåíòàì ïîñòà÷àííÿ ïàðò³¿ òîâàð³â,
Âåëè÷èíà Q íà îñ³ îðäèíàò – îáñÿãó íàÿâíèõ çàïàñ³â. Êóò íàõèëó ïðÿìèõ, ùî ìîäåëþþòü äèíàì³êó òîâàðíèõ çàïàñ³â, â³äîáðàæàº øâèäê³ñòü ¿õíüî¿ ðåàë³çàö³¿.
 ìîäåë³ îïòèìàëüíîãî ð³âíÿ çàïàñ³â EOQ âèêîðèñòîâóþòüñÿ íàñòóïí³ ïîçíà÷êè:
S – îáñÿã ðåàë³çàö³¿ òîâàð³â â ð³ê (â íàò. îä.),
N – ê³ëüê³ñòü çàìîâëåíü â ð³ê,
Q – ðîçì³ð îäíîãî çàìîâëåííÿ,
(t2 – t1) – ïåð³îä ðåàë³çàö³¿ ïàðò³¿ òîâàð³â,
Q0 (àáî A) – ñåðåäí³é ðîçì³ð íàÿâíèõ çàïàñ³â â òå÷³þ ïåð³îäó,
p – ö³íà çàêóïêè îäèíèö³ òîâàðó ó ïîñòà÷àëüíèê³â,
C – ñåðåäí³ âèòðàòè çáåð³ãàííÿ (â â³äñîòêàõ â³ä âàðòîñò³ çàïàñ³â).
Ò1 – ñóêóïí³ âèòðàòè çáåð³ãàííÿ,
F – âèòðàòè ðîçì³ùåííÿ îäíîãî çàìîâëåííÿ ³ éîãî òðàíñïîðòóâàííÿ,
Ò2 – ñóêóïí³ âèòðàòè ðîçì³ùåííÿ ³ òðàíñïîðòóâàííÿ çàïàñ³â,
T – ñóêóïí³ âèòðàòè óïðàâë³ííÿ çàïàñàìè.
Ðîçì³ð îäíîãî ïðîãíîçíîãî çàìîâëåííÿ âèçíà÷àºòüñÿ îáñÿãîì ðåàë³çàö³¿ òîâàð³â â ð³ê ³ ê ³ëüê³ñòþ çàìîâëåíü:
Q = S / N (1.4)
Ñåðåäí³é ðîçì³ð íàÿâíèõ çàïàñ³â íà ïðîòÿç³ ïåð³îäó t, äå t = 360 / N, ñêëàäàº:
À = (Q+0) / 2=S / (2*N) (1.5)
Òîä³, ñóêóïí³ âèòðàòè çáåð³ãàííÿ ìîæóòü áóòè ðîçðàõîâàí³ íàñòóïíèì ÷èíîì:
Ò1 = Ñð * À = Ñð* Q / 2 (1.6)
À ñóêóïí³ âèòðàòè ðîçì³ùåííÿ ³ òðàíñïîðòóâàííÿ:
Ò2 = FÌ = FS/Q (1.7)
 öüîìó âèïàäêó, ñóêóïí³ âèòðàòè óïðàâë³ííÿ çàïàñàìè âèçíà÷àþòüñÿ ñï³ââ³äíîøåííÿì:
Ò = Ò1+Ò2=Ñð* Q / 2+FS / Q (1.8)
Îïòèìàëüíèé ð³âåíü çàïàñ³â Q*, ùî ì³í³ì³çóº ñóêóïí³ âèòðàòè, º ð³øåííÿì ð³âíÿííÿ:
dT / dQ = Cp /2 – FS / Q2 = 0 (1.9)
Q2 = 2*FS / Cp
ϳñëÿ ðîçðàõóíêó îïòèìàëüíîãî ð³âíÿ çàïàñ³â, ñòຠìîæëèâèì âèçíà÷åííÿ îïòèìàëüíî¿ ê³ëüêîñò³ çàìîâëåíü â ð³ê (N*) ³ îïòèìàëüíà ê³ëüê³ñòü äí³â ì³æ çàìîâëåííÿìè (t):
N*=S / Q* (1.10)
t*=365 / N*
Íàñòóïíèì âàæëèâèì ïèòàííÿì º ðîçðàõóíîê êðàïêè çàìîâëåííÿ Q0, òîáòî, òàêîãî ð³âíÿ çàïàñ³â, ï³ñëÿ äîñÿãíåííÿ ÿêîãî ñë³ä ðîçì³ùóâàòè çàìîâëåííÿ.
Íåîáõ³äí³ñòü òàêîãî ðîçðàõóíêó îáóìîâëåíà òèì, ùî ì³æ ðîçì³ùåííÿì çàìîâëåííÿ ³ îòðèìàííÿì òîâàð³â ï³äïðèºìñòâîì ³ñíóº äåÿêèé ïðîì³æîê ÷àñó, ùî íàçèâàºòüñÿ ïåð³îäîì ïîñòà÷àííÿ. ßêùî öåé ÷àñîâèé ïåð³îä íå âðàõîâóâàòè, âèíèêຠíåáåçïåêà ïåðåðâ â ðåàë³çàö³¿ òîâàð³â ñïîæèâà÷àì âíàñë³äîê íåçàáåçïå÷åííÿ ï³äïðèºìñòâà òîâàðíèìè çàïàñàìè.
Êðàïêà çàìîâëåííÿ ðîçðàõîâóºòüñÿ, âèõîäÿ÷è ç ñï³ââ³äíîøåííÿ:
Q0 = tï q, (1.11)
äå q – îáñÿã ðåàë³çàö³¿ òîâàð³â â äåíü, ùî íàçèâàºòüñÿ êîåô³ö³ºíòîì ïîïèòó (Ðèñ. 1.5)
Íàâåäåíà áàçîâà ìîäåëü EOQ º íàéá³ëüø ðîçïîâñþäæåíîþ ³ çàñòîñîâóºòüñÿ á³ëüø³ñòþ êîìïàí³é ðîçâèíåíèõ êðà¿í â ÿêîñò³ îñíîâè ïðèéíÿòòÿ ð³øåíü ïî óïðàâë³ííþ òîâàðíèìè çàïàñàìè.
Íåäîë³êîì ö³º¿ ìîäåë³ º äîñèòü æîðñòêà ñèñòåìà âõ³äíèõ ïåðåäóìîâ, â ÷àñòêîâîñò³, ïðèïóùåííÿ ïðî íåçì³íí³ñòü ïîïèòó, íåçàëåæíîñò³ îïòîâèõ ö³í â³ä îáñÿãó çàêóïîâóâàíî¿ ïàðò³¿ òîâàð³â ³ ³íø³ ã³ïîòåçè. Ö³ ïðèïóùåííÿ â ðåàëüí³é ïðàêòèö³, îñîáëèâî â óìîâàõ íåñòàá³ëüíî¿ ðèíêîâî¿ ñåðåäè Óêðà¿íè, íå çàâæäè âèêîíóþòüñÿ. Òîìó â êîæíîìó êîíêðåòíîìó âèïàäêó, áàçîâà ìîäåëü EOQ ïîâèííà áóòè äîîïðàöüîâàíà â â³äïîâ³äíîñò³ ç çì³íîþ âõ³äíèõ äîïóùåíü. Äàë³ ðîçãëÿäàºòüñÿ â³äîìà ìîäèô³êàö³ÿ ìîäåë³, ùî âðàõîâóº ìîæëèâ³ çì³íè ïîïèòó, à òàêîæ ìîäèô³êàö³ÿ, ùî äîçâîëèòü çíÿòè äîïóùåííÿ ïðî íåçì³íí³ñòü îïòîâèõ ö³í.
Âõ³äíà ïåðåäóìîâà ìîäåë³ íåçì³ííîñò³ ïîïèòó íà ïðîì³æêó ÷àñó, ùî ðîçãëÿäàºòüñÿ, çóìîâëþº ïðèïóùåííÿ, ÿêå ïîëÿãຠâ òîìó, ùî øâèäê³ñòü ðåàë³çàö³¿ òîâàðíèõ çàïàñ³â q çàëèøàºòüñÿ ïîñò³éíî¿:
q = Q/t = Q N / 365 = const (1.12)
Íà ïðîòÿç³ ïåð³îäó t: t = 365 / N
Ö³º¿ ñèòóàö³¿ â³äïîâ³äຠäèíàì³÷íà ñõåìà ñòàíó çàïàñ³â, íàâåäåíà ðàí³øå íà ðèñ. 1.5.
ßêùî ïîïèò íà òîâàðè çì³íèòüñÿ, ³ øâèäê³ñòü ðåàë³çàö³¿ çàïàñ³â çá³ëüøèòüñÿ, öÿ äèíàì³÷íà ñõåìà ñòຠíåêîðåêòíîþ ³ íå ìîæå àäåêâàòíî â³äáèâàòè ðåàëüí³ ïðîöåñè. Âèíèêຠíåáåçïåêà äåô³öèòó çàïàñ³â âíàñë³äîê íåñâîº÷àñíîãî ðîçì³ùåííÿ çàìîâëåííÿ ³ á³ëüø ï³çíüîãî ïîñòà÷àííÿ òîâàð³â, í³æ öå íåîáõ³äíî. Íåçàáåçïå÷åí³ñòü çàïàñàìè òîâàðîîáîðîòó, ùî çðîñòàº, âåäå äî âòðàòè ïðèáóòê³â ³ ïåðåðâ â îïåðàö³éí³é ä³ÿëüíîñò³, ÿêà ïîâèííà ìàòè áåçïåðåðâíèé, îïòèìàëüíî çáàëàíñîâàíèé õàðàêòåð.
 ñèëó öèõ ïðè÷èí âèíèêຠíåîáõ³äí³ñòü ïîÿâè êàòåãî𳿠ñòðàõîâèõ çàïàñ³â (Qs), ñòâîðåííÿ ÿêèõ íåîáõ³äíî äëÿ çàõèñòó ï³äïðèºìñòâà â³ä âòðàò âíàñë³äîê âàãàíü ïîïèòó, òðèâàëîñò³ ïåð³îäó ïîñòà÷àííÿ ³ ³íøèõ ôàêòîð³â çîâí³øíüî¿ ñåðåäè. Ïðè öüîìó, îïòèì³çàö³ÿ îáñÿãó ñòðàõîâèõ çàïàñ³â ïîâèííà âèð³øèòè äèëåìó äëÿ ï³äïðèºìñòâà ì³æ ïðèáóòêîâ³ñòþ ³ ðèçèêîì. Çðîñòàííÿ ñòðàõîâèõ çàïàñ³â âåäå äî çíèæåííÿ ðèçèêó âèíèêíåííÿ ¿õíüîãî äåô³öèòó ³ âòðàò ïðèáóòê³â â³ä íåçàáåçïå÷åíîñò³ çàïàñàìè òîâàðîîáîðîòó, ùî çðîñòàº. Ç ³íøîãî áîêó, ï³äòðèìàííÿ ¿õ íàäì³ðíî âèñîêîãî ð³âíÿ òÿãíå íåâèïðàâäàíå çðîñòàííÿ âèòðàò çáåð³ãàííÿ. Òàêèì ÷èíîì, îïòèìàëüíèé ð³âåíü ñòðàõîâèõ çàïàñ³â ïîâèíåí çàáåçïå÷óâàòè ñòàí äèíàì³÷íî¿ ð³âíîâàãè äâîõ çóñòð³÷íèõ ïðîöåñ³â – âòðàòà ïðèáóòê³â â³ä äåô³öèòó çàïàñ³â ³ â³ä ¿õíüîãî íàäëèøêó.
Ìîäèô³êàö³ÿ äèíàì³÷íî¿ ñõåìè ñòàíó çàïàñ³â íà ïðîì³æêó ÷àñó, ùî ðîçãëÿäàºòüñÿ, ç óðàõóâàííÿì çì³íè øâèäêîñò³ ¿õíüî¿ ðåàë³çàö³¿, âêàçàíà íà ðèñ.1.6.

Ðèñ. 1.6. Äèíàì³÷íà ñõåìà ñòàíó çàïàñ³â ç óðàõóâàííÿì çì³íè øâèäêîñò³ ðåàë³çàö³¿.
 öüîìó âèïàäêó ðîçðàõóíîê îïòèìàëüíîãî ð³âíÿ çàïàñ³â Q*, êðàïêè çàìîâëåííÿ Qò, âèìàãຠäåÿêîãî êîðåãóâàííÿ ³ âðàõóâàííÿ íåîáõ³äíîñò³ íàÿâíîñò³ ñòðàõîâîãî çàïàñó. ßêùî ìàêñèìàëüíà øâèäê³ñòü ðåàë³çàö³¿ òîâàð³â â³äîìà, òî äëÿ ðîçðàõóíêó íåîáõ³äíîãî ð³âíÿ ñòðàõîâîãî çàïàñó ìîæå áóòè âèêîðèñòàíå ñï³ââ³äíîøåííÿ:
Qs = (qmax - q) * ò
Òîä³ îïòèìàëüíèé ð³âåíü çàïàñ³â ñêëàäàº:
Q* + Qs = Q* + (qmax - q) ò = (2FS/Cp) 1/2+(qmax - q) ò (1.13)
À êðàïêà çàìîâëåííÿ Q, ðîçðàõîâóºòüñÿ ïî ôîðìóë³:
Qò = q* ò + Qs = q* ò + (qmax - q)* ò = qmax t (1.14)
Îïòèìàëüíèé ð³âåíü ñòðàõîâîãî çàïàñó ìîæå âàð³þâàòè â çàëåæíîñò³ â³ä îñîáëèâîñòåé ñèòóàö³¿, îäíàê â çàãàëüíîìó âèïàäêó, ïðè éîãî âèçíà÷åíí³ äîö³ëüíî äîòðèìóâàòè ëîã³÷íî¿ ñõåìè, íàâåäåíî¿ â òàáëèö³ 1.3.
Òàáëèöÿ 3
Âïëèâ ôàêòîð³â íà ð³âåíü îïòèìàëüíîãî ñòðàõîâîãî çàïàñó.
| Çì³íà ÷èííèê³â, âïëèâàòè íà îïòèìàëüíèé ð³âåíü ñòðàõîâîãî çàïàñó |
Çì³íà îïòèìàëüíîãî ð³âíÿ ñòðàõîâîãî çàïàñó Qs |
1. Çðîñòàííÿ íåâèçíà÷åíîñò³ çì³í ïîïèòó, ùî ïðîãíîçóþòüñÿ.
2. Çðîñòàííÿ âèòðàò, çâ'ÿçàíèõ ç äåô³öèòîì çàïàñ³â.
3. Çðîñòàííÿ ³ìîâ³ðíîñò³ ïåðåðâ â ïîñòà÷àííÿõ òîâàð³â.
4. Çðîñòàííÿ âèòðàò çáåð³ãàííÿ.
5. Çðîñòàííÿ ö³í íà òîâàðè äàíî¿ ãðóïè.
6. Ïàä³ííÿ ö³í íà òîâàðè äàíî¿ ãðóïè.
|
Ðîñòå
Ðîñòå
Ðîñòå
Ñêîðî÷óºòüñÿ
Ðîñòå
Ñêîðî÷óºòüñÿ
|
1.4 Âèñíîâêè ðîçä³ëó 1
Çàïàñè – öå àêòèâè ï³äïðèºìñòâà, ÿê³:
- óòðèìóþòüñÿ äëÿ ïîäàëüøîãî ïðîäàæó çà óìîâ çâè÷àéíî¿ ãîñïîäàðñüêî¿ ä³ÿëüíîñò³;
- ïåðåáóâàþòü ó ïðîöåñ³ âèðîáíèöòâà ç ìåòîþ ïîäàëüøîãî ïðîäàæó ïðîäóêòó âèðîáíèöòâà;
- óòðèìóþòüñÿ äëÿ ñïîæèâàííÿ ï³ä ÷àñ âèðîáíèöòâà ïðîäóêö³¿, âèêîíàííÿ ðîá³ò òà íàäàííÿ ïîñëóã, à òàêîæ óïðàâë³ííÿ ï³äïðèºìñòâîì.
Çàïàñè òîðã³âåëüíîãî ï³äïðèºìñòâà âêëþ÷àþòü:
- ñèðîâèíó, îñíîâí³ é äîïîì³æí³ ìàòåð³àëè, êîìïëåêòóþ÷³ âèðîáè òà ³íø³ ìàòåð³àëüí³ ö³ííîñò³, ùî ïðèçíà÷åí³ äëÿ ïðîäàæó, îáñëóãîâóâàííÿ ï³äïðèºìñòâà é àäì³í³ñòðàòèâíèõ ïîòðåá;
- ãîòîâó ïðîäóêö³þ, ùî âèãîòîâëåíà íà ï³äïðèºìñòâ³, ïðèçíà÷åíà äëÿ ïðîäàæó ³ â³äïîâ³äຠòåõí³÷íèì òà ÿê³ñíèì õàðàêòåðèñòèêàì, ïåðåäáà÷åíèì äîãîâîðîì àáî ³íøèì íîðìàòèâíî-ïðàâîâèì àêòîì;
- òîâàðè ó âèãëÿä³ ìàòåð³àëüíèõ ö³ííîñòåé, ùî ïðèäáàí³ (îòðèìàí³) òà óòðèìóþòüñÿ ï³äïðèºìñòâîì ç ìåòîþ ïîäàëüøîãî ïðîäàæó;
- ìàëîö³íí³ òà øâèäêîçíîøóâàí³ ïðåäìåòè;
Ñèñòåìè óïðàâë³ííÿ çàïàñàìè íà ï³äïðèºìñòâàõ ñòâîðþþòüñÿ äëÿ íàéá³ëüø åôåêòèâíîãî ð³øåííÿ íàñòóïíèõ ïðîáëåì:
- Ðåàëüíî¿ îö³íêè ïîòî÷íîãî ñòàíó çàïàñ³â;
- Âñòàíîâëåííÿ íåîáõ³äíèõ òåðì³í³â ðîçì³ùåííÿ çàìîâëåíü;
- Âèçíà÷åííÿ äîö³ëüíîãî îáñÿãó ïàðò³¿ òîâàð³â, ùî çàìîâëÿºòüñÿ;
- Âèçíà÷åííÿ íåîáõ³äíîãî îáñÿãó ñòðàõîâèõ çàïàñ³â;
- Îö³íêà âèòðàò óïðàâë³ííÿ çàïàñàìè ³ çàñîá³â ¿õ ì³í³ì³çàö³¿.
Ðîçä³ë 2. Êîìåðö³éíà ä³ÿëüí³ñòü òîðãîâîãî ï³äïðèºìñòâà «Ìîíîëèò Ïëàñò» ³ îïòèì³çàö³ÿ çàäà÷ ï³äïðèºìñòâà â ãàëóç³ óïðàâë³ííÿ çàïàñàìè
2.1 Àíàë³ç êîìåðö³éíî¿ ä³ÿëüíîñò³ ÏÏ «Ìîíîëèò Ïëàñò» ïî îïòîâèì çàêóïêàì òà çáóòó ñàíòåõí³÷íî¿ ïðîäóêö³¿
Îñíîâí³ ðåºñòðàö³éí³ õàðàêòåðèñòèêè ÏÏ «Ìîíîëèò Ïëàñò» íàâåäåí³ â òàáë.2.1.
Òàáëèöÿ 2.1
Îñíîâí³ ðåºñòðàö³éí³ õàðàêòåðèñòèêè ÏÏ «Ìîíîëèò Ïëàñò»
| Ðåºñòðàöiéíi äàíi |
| Êîä ªÄÐÏÎÓ: |
31816350 |
| Íàçâà óêðà¿íñüêîþ ìîâîþ: |
ÏÏ "ÌÎÍÎËÈÒ ÏËÀÑÒ" |
| Ïîâíà íàçâà óêðà¿íñüêîþ ìîâîþ: |
ÏÐÈÂÀÒÍŠϲÄÏÐȪÌÑÒÂÎ "ÌÎÍÎËÈÒ ÏËÀÑÒ" |
| Íàçâà ³íîçåìíîþ ìîâîþ: |
ÌÎÍÎËÈÒ ÏËÀÑÒ ÏÏ 101091 |
| ̳ñöå îñíîâíî¿ ðåºñòðàö³¿ â îðãàíàõ ïîäàòêîâî¿ ñëóæáè: |
466ÄÏI Ó ÊÐÀÑÍÎÃÂÀÐÄIÉÑÜÊÎÌÓ Ð-ÍI Ì.ÄÍIÏÐÎÏÅÒÐÎÂÑÜÊ (ÊÐÀÑÍÎÃÂÀÐÄIÉÑÜÊÈÉ Ð-Í Ì.ÄÍIÏÐÎÏÅÒÐÎÂÑÜÊ) |
| Àäðåñà þðèäè÷íà: |
49089 ÄͲÏÐÎÏÅÒÐÎÂÑÜÊ, ÊÐÀÑÍÎÃÂÀÐÄIÉÑÜÊÈÉ, ÂÓËÈÖß ÀÊÀÄÅ̲ÊÀ ßÍÃÅËß ä.22 êâ. 279 |
| Àäðåñà ôàêòè÷íà: |
49089 ÄͲÏÐÎÏÅÒÐÎÂÑÜÊ, ÊÐÀÑÍÎÃÂÀÐÄIÉÑÜÊÈÉ, ÂÓËÈÖß ÀÊÀÄÅ̲ÊÀ ßÍÃÅËß ä.22 êâ. 279 |
| Äàòà îñíîâíî¿ ðåºñòðàö³¿ â ÄÏÀ: |
19.02.2002 |
| Íîìåð îñíîâíî¿ ðåºñòðàö³¿ â ÄÏÀ: |
¹3533 |
| Ñòàòóñ: |
ïåðåáóâຠíà îáëiêó |
| Ìຠïëàòåæ³ |
| Êîä ³íñïåêö³¿ |
Íàçâà ³íñïåêö³¿ |
Äàòà ðåºñòðàö³¿ |
Íîìåð ðåºñòðàö³¿ |
| 466 |
ÄÏI Ó ÊÐÀÑÍÎÃÂÀÐÄIÉÑÜÊÎÌÓ Ð-ÍI Ì.ÄÍIÏÐÎÏÅÒÐÎÂÑÜÊ (ÊÐÀÑÍÎÃÂÀÐÄIÉÑÜÊÈÉ Ð-Í Ì.ÄÍIÏÐÎÏÅÒÐÎÂÑÜÊ) |
19.02.2002 |
3533 |
| Ñòàí ïëàòíèêà |
| ÎÑÍÎÂÍÈÉ ÏËÀÒÍÈÊ |
| Äàòà ðåºñòðàö³¿ â äåðæàäì³í³ñòðàö³¿: |
06.02.2002 |
| Îðãàí äåðæàâíî¿ ðåºñòðàö³¿: |
(4052092)ÂÈÊÎÍÀÂ×ÈÉ ÊÎÌIÒÅÒ ÄÍIÏÐÎÏÅÒÐÎÂÑÜÊί ÌIÑÜÊί ÐÀÄÈ ÁÀÁÓØÊ²ÍÑÜÊÈÉ ÄÍIÏÐÎÏÅÒÐÎÂÑÜÊÀ |
| Ñòàòóòíèé ôîíä (â ãðí.): |
2000,00 |
| Îðãàí óïðàâë³ííÿ: |
(0)Íå âèçíà÷åíî |
| Îðãàí³çàö³éíî-ïðàâîâà ôîðìà: |
(120)ÏÐÈÂÀÒÍÅ ÏIÄÏÐȪÌÑÒÂÎ |
| ʳëüê³ñòü ñï³âðîá³òíèê³â: |
1 |
| Òèï ïëàòíèêà ïîäàòê³â: |
ÃÎËÎÂÍŠϲÄÏÐȪÌÑÒÂÎ |
| Ôîðìà âëàñíîñò³: |
(10)ÏÐÈÂÀÒÍÀ ÂËÀÑÍIÑÒÜ |
| Ôîðìà ô³íàíñóâàííÿ: |
(2)ÃÎÑÏÐÎÇÐÀÕÓÍÎÊ |
| Êîìåíòàð: |
101091 |
Êåð³âíèêè
| ²äåíòèô³êàö³éíèé íîìåð |
ϲÁ |
ïîñàäà |
Íîìåð òåëåôîíó |
Îçíàêà ôàêñó |
Äîäàòêîâèé íîìåð òåëåôîíó |
| 2496912753 |
ÔÅÄÎÐÅÍÊÎ ÑÅÐÃ²É ÏÀÂËÎÂÈ× |
äèðåêòîð |
7712302 |
| 2496912753 |
ÔÅÄÎÐÅÍÊÎ ÑÅÐÃ²É ÏÀÂËÎÂÈ× |
ãîëîâíèé áóõãàëòåð |
7712302 |
Âèäè ä³ÿëüíîñò³
| Êîä âèäó ä³ÿëüíîñò³ |
Íàçâà âèäó ä³ÿëüíîñò³ |
Òèï âèäó ä³ÿëüíîñò³ |
Äàòà âèäà÷³ ë³öåí糿 |
Íàçâà îðãàíó, ùî âèäàâ ë³öåíç³þ |
Íîìåð ë³öåí糿 |
Îçíàêà çîâí³øíüîåêîíîì³÷íî¿ ä³ÿëüíîñò³ |
| 61127 |
ÑÀÍIÒÀÐÍÎ-ÒÅÕÍI×ÍI ÐÎÁÎÒÈ |
| 71130 |
ÎÏÒÎÂÀ ÒÎÐÃIÂËß ÍÅÄÅÐÆÀÂÍÈÕ ÎÐÃÀÍIÇÀÖIÉ, ÊÐIÌ ÑÏÎÆÈÂ×ί ÊÎÎÏÅÐÀÖI¯ |
Çàéìàºòüñÿ çîâí³øíüîåêîíîì³÷íîþ ä³ÿëüí³ñòþ |
| 71250 |
ÐÎÇÄÐIÁÍÀ ÒÎÐÃIÂËß ÍÅÄÅÐÆÀÂÍÈÕ ÎÐÃÀÍIÇÀÖIÉ, ÊÐIÌ ÑÏÎÆÈÂ×ί ÊÎÎÏÅÐÀÖI¯ |
Çàñíîâíèêè
| Çàñíîâíèê |
Êîä çàñíîâíèêà-þðèäè÷íî¿ îñîáè |
Êîä çàñíîâíèêà-ô³çè÷íî¿ îñîáè |
Ñóìà âíåñêó â ñòàòóòíèé ôîíä |
Åêâ³âàëåíò ñóìè âàëþòíîãî âíåñêó â $ ÑØÀ |
Âèä âàëþòè |
Êðà¿íà |
| ÔÅÄÎÐÅÍÊÎ ÑÅÐÃ²É ÏÀÂËÎÂÈ× |
0 |
2496912753 |
2000,00 |
0 |
ÓÊÐÀ¯ÍÑÜÊÀ ÃÐÈÂÍß |
ÓÊÐÀ¯ÍÀ |
Ðåºñòð ÏÄÂ
| Êîä ðåºåñòðó ÏÄ |
Íîìåð ñâ³äîöòâà |
Äàòà âèäà÷³ ñâ³äîöòâà |
Îçíàêà àêòóàëüíîñò³ ñâ³äîöòâà |
Äàòà àíóëþâàííÿ ñâ³äîöòâà |
| 318163504669 |
4524724 |
19.02.2002 |
| Êîä Äϲ2 |
ÌÔÎ áàíêó |
Íàçâà áàíêó |
Íîìåð ðàõóíêó |
Êîä âàëþòè |
Äàòà â³äêðèòòÿ ðàõóíêó |
| 466 |
305653 |
ÄÍIÏ.ÎÄ"ÐÀÉÔÔÀÉÇÅÍ ÁÀÍÊ ÀÂÀËÜ"Ì.ÄÍ-ÑÜÊ |
26006610090100 |
980 |
27.02.2002 |
| 466 |
305653 |
ÄÍIÏ.ÎÄ"ÐÀÉÔÔÀÉÇÅÍ ÁÀÍÊ ÀÂÀËÜ"Ì.ÄÍ-ÑÜÊ |
26062610090100 |
980 |
26.03.2004 |
| 466 |
307231 |
ÎÁË.ÄÔÁÒÎÂ"ÔIÍÀÍÑÈ ÒÀ ÊÐÅÄÈÒ",Ì.ÄÍ-ÑÜÊ |
260020204401 |
980 |
09.12.2005 |
ϳäïðèºìñòâî ñòâîðåíå ç ìåòîþ çä³éñíåííÿ âèðîáíè÷î-ãîñïîäàðñüêî¿, êîìåðö³éíî¿ òà ³íøèõ âèä³â ä³ÿëüíîñò³ òà îòðèìàííÿ íà ö³é îñíîâ³ ìàêñèìàëüíîãî ïðèáóòêó Çàñíîâíèêîì ï³äïðèºìñòâà.
Ïðåäìåòîì ä³ÿëüíîñò³ ïðèâàòíîãî ï³äïðèºìñòâà “Ìîíîëèò Ïëàñò” º òîðã³âëÿ òà ïîñëóãè:
- îïòîâà òà ðîçäð³áíà òîðã³âëÿ ïðîìèñëîâèìè òà ïðîäîâîëü÷èìè òîâàðàìè çà ãîò³âêîâèé òà áåçãîò³âêîâèé ðàõóíîê;
- îïòîâà òà ðîçäð³áíà òîðã³âëÿ ñêëîïàêåòàìè çà ãîò³âêîâèé òà áåçãîò³âêî-âèé ðàõóíîê;
- îïòîâà òà ðîçäð³áíà òîðã³âëÿ ïàïåðîâîþ òà ïîë³ìåðíîþ òàðîþ çà ãîò³â-êîâèé òà áåçãîò³âêîâèé ðàõóíîê;
- îïòîâà òà ðîçäð³áíà òîðã³âëÿ áóä³âåëüíèìè ìàòåð³àëàìè òà âèòðàòíèìè ìàòåð³àëàìè áóä³âåëüíîãî ïðèçíà÷åííÿ;
- îïòîâà, êîíñèãíàö³éíà, êîì³ñ³éíà òà ðîçäð³áíà òîðã³âëÿ òîâàðàìè íàðîäíîãî ñïîæèâàííÿ, ïðîìèñëîâèìè òà ïðîäîâîëü÷èìè òîâàðàìè íà Óêðà¿í³ òà çà ¿¿ ìåæàìè.
Ïðèâàòíå ï³äïðèºìñòâî “Ìîíîëèò Ïëàñò” ó 2005 – 2007 ðîêàõ ïðåäñòàâëåíî äèðåêòîðîì òà ãîëîâíèì áóõãàëòåðîì â îäí³é îñîá³, â³í æå º îäíî÷àñíî ãîëîâîþ ô³íàíñîâî¿ ñëóæáè ï³äïðèºìñòâà. ²íø³ ïðàö³âíèêè íàéìàþòüñÿ çà ñï³âðîá³òíèöòâîì íà òèì÷àñîâ³é îñíîâ³ âèêîíàííÿ êîíòðàêò³â ïî ïîñåðåäíèöòâó â òîðã³âë³ ñàíòåõí³÷íèìè âèðîáàìè íà îñíîâ³ ìàòåð³àëüíî¿ âèíàãîðîäè ç áîêó ïîêóïöÿ ó âèãëÿä³ ïðîöåíò³â â³ä ñóìè ïàðò³¿, ïðè öüîìó ÏÏ “Ìîíîëèò Ïëàñò” âèòðàò íà ¿õ êîì³ñ³éíó îïëàòó íå íåñå.
Çàâäÿêè ñâî¿ì î÷åâèäíèì ïåðåâàãàì ïëàñòèêîâ³ òðóáè ç êîæíèì ðîêîì óñå øèðøå âèêîðèñòîâóþòüñÿ â ïðàêòèö³ âîäîïîñòà÷àííÿ. Ïëàñòèêîâ³ òðóáè â 3-10 ðàç³â ëåãøå ìåòàëåâèõ, ñò³éê³ äî êîðî糿 ³ 䳿 áàãàòüîõ àãðåñèâíèõ õ³ì³÷íèõ ðå÷îâèí; âîíè âîëîä³þòü ãëàäêîþ âíóòð³øíüîþ ïîâåðõíåþ, ïðàêòè÷íî íå çàðîñòàþòü áðóäîì, åëàñòè÷í³, ìàþòü íèçüêó òåïëîïðîâ³äí³ñòü, ¿õ ëåãêî îáðîáëÿòè ³ ìîíòóâàòè.
Îñíîâí³ îáëàñò³ çàñòîñóâàííÿ ïëàñòèêîâèõ òðóá — ñèñòåìè çîâí³øíüîãî ³ âíóòð³øíüîãî âîäîïîñòà÷àííÿ ³ âîäîâ³äâåäåííÿ. ϳñëÿ 2000 ðîêó â ªâðîï³ ïëàñòèêîâ³ òðóáè ïî÷àëè äîì³íóâàòè: ó Øâåéöà𳿠÷àñòêà ¿õíüîãî âèêîðèñòàííÿ â íîâîìó áóä³âíèöòâ³ ³ ïðè êàï³òàëüíîìó ðåìîíò³ ñêëàäຠ70 %, ó Ô³íëÿí䳿 — 51 %, ó ͳìå÷÷èí³ — 46 % çàãàëüíîãî îáñÿãó âèêîðèñòàíèõ òðóá.
Ç 90-õ ðîê³â ìèíóëîãî ñòîð³÷÷ÿ ïî÷àëîñÿ àêòèâíå ïðîñóâàííÿ ïëàñòèêî-âèõ âîäîïðîâ³äíèõ òðóá ³ íà óêðà¿íñüêîìó ðèíêó. Ñüîãîäí³ â Óêðà¿í³ ïðè áóä³âíèöòâ³ âîäîã³ííèõ ìåðåæ âèêîðèñòîâóþòüñÿ òðóáè ç ïîë³åòèëåíà (ÏÅ), ïîë³ïðîï³ëåíó (ÏÏ), ïîë³â³í³ëõëîðèäó (ÏÂÕ), ïîë³áóòèëåíó (ÏÁ), à òàêîæ áàãàòîøàðîâ³ ïëàñòèêîâ³ òðóáè.
ÏÏ «Ìîíîëèò Ïëàñò» ñïåö³àë³çóºòüñÿ íà òîðãîâî-ïîñåðåäíèöüê³é ä³ÿëü-íîñò³ â ãàëóç³ ñàíòåõí³÷íèõ âèðîá³â ç ïëàñòèêîâèõ òà ìåòàëîïëàñòèêîâèõ òðóá (Äîäàòîê Â).
Àíàë³ç åôåêòèâíîñò³ êîìåðö³éíî¿ ä³ÿëüíîñò³ ï³äïðèºìñòâà îö³íþºòüñÿ â ïðîöåñ³ åêîíîì³÷íî¿ ä³àãíîñòèêè ô³íàíñîâî-åêîíîì³÷íîãî ñòàíó ï³äïðèºìñòâà ³ êåðóâàííÿ éîãî ô³íàíñàìè, ÿêà ïðîâîäèòüñÿ íà îñíîâ³ éîãî ô³íàíñîâèõ çâ³ò³â [16].
Ìåòîþ ô³íàíñîâèõ çâ³ò³â º ñòðóêòóðîâàíà åêîíîì³÷íà ³íôîðìàö³ÿ ïðî ô³íàíñîâèé ñòàí, ðåçóëüòàòè ä³ÿëüíîñò³ ³ çì³íè ó ô³íàíñîâîìó ñòàí³ ï³äïðèºìñòâà, ùî º êîðèñíî¿ äëÿ øèðîêîãî êîëà êîðèñòóâà÷³â ó ïðèéíÿòò³ íèìè åêîíîì³÷íèõ ð³øåíü.
Ç 1 ñ³÷íÿ 2000 ð. íà ï³äïðèºìñòâàõ Óêðà¿íè íåçàëåæíî â³ä ôîðì âëàñíîñò³ (êð³ì áàíê³â ³ áþäæåòíèõ óñòàíîâ) âïðîâàäæåí³ îñíîâí³ ôîðìè ô³íàíñîâî¿ çâ³òíîñò³, ùî â³äïîâ³äàþòü ì³æíàðîäíèì ñòàíäàðòàì, ³ âèêîðèñòîâóþòüñÿ ïðè ðîçðàõóíêàõ ô³íàíñîâîãî ñòàíó ï³äïðèºìñòâà é àêö³îíåðíîãî êàï³òàëó :
Ôîðìà ¹1 “Áàëàíñ” – çâ³ò ïðî ô³íàíñîâèé ñòàí, ùî â³äîáðàæàº àêòèâè, çîáîâ'ÿçàííÿ ³ êàï³òàë ï³äïðèºìñòâà íà âñòàíîâëåíó äàòó [4].
Ôîðìà ¹2 “Çâ³ò ïðî ô³íàíñîâ³ ðåçóëüòàòè”, ùî ì³ñòèòü äàí³ ïðî äîõîäè, âèòðàòè ³ ô³íàíñîâ³ ðåçóëüòàòè ä³ÿëüíîñò³ ï³äïðèºìñòâà çà çâ³òíèé ³ ïîïåðåäí³é ïåð³îäè [5].
Ó òàáë. À.1 Äîäàòêó À ïðèâåäåí³ áàëàíñè ï³äïðèºìñòâà ÏÏ „Ìîíîëèò Ïëàñò” çà 2005 - 2007 ðîêè, ó òàáë.Á.1 Äîäàòêó Á - çâ³òè ïðî ô³íàíñîâ³ ðåçóëüòàòè çà 2005 - 2007 ðîêè.
Ô³íàíñîâèé àíàë³ç áàçóºòüñÿ íà äàíèõ áóõãàëòåðñüêî¿ çâ³òíîñò³: ôîðìà ¹ 1 “Áàëàíñ ï³äïðèºìñòâà”, ôîðìà ¹ 2 ”Çâ³ò ïðî ô³íàíñîâ³ ðåçóëüòàòè òà ¿õ âèêî-ðèñòàííÿ”.
Ïðàêòèêà ô³íàíñîâîãî àíàë³çó âèðîáèëà îñíîâí³ ìåòîäè ÷èòàííÿ ô³íàíñîâèõ çâ³ò³â:
Ãîðèçîíòàëüíèé àíàë³ç – ïîð³âíÿííÿ ç ïîêàçíèêàìè ìèíóëîãî ïåð³îäó.
Âåðòèêàëüíèé àíàë³ç – âèçíà÷åííÿ ñòðóêòóðè ï³äñóìêîâèõ ô³íàíñîâèõ ïîêàçíèê³â.
Òðåíäîâèé àíàë³ç – ïîð³âíÿííÿ êîæíîãî ïîêàçíèêà çâ³òíîñò³ ç ïîêàçíèêàìè ìèíóëèõ ïåð³îä³â ³ âèçíà÷åííÿ òðåíäà òîáòî îñíîâíî¿ òåíäåíö³¿ äèíàì³êè ïîêàçíèêà.
Àíàë³ç ô³íàíñîâèõ êîåô³ö³ºíò³â – â³äíîñíå ïîð³âíÿííÿ ïîêàçíèê³â çâ³òíîñò³ (êîåô³ö³ºíòè ë³êâ³äíîñò³, ô³íàíñîâî¿ ñò³éêîñò³, ðåíòàáåëüíîñò³, ä³ëîâî¿ àêòèâíîñò³).
Ôàêòîðíèé àíàë³ç – âèçíà÷åííÿ âïëèâó ÷èííèê³â íà ðåçóëüòàòèâíèé ïîêàçíèê ìåòîäàìè êëàñè÷íîãî ôàêòîðíîãî àíàë³çó (ìåòîä ëàíöþãîâèõ ï³äñòàíîâîê, ìåòîä àáñîëþòíèõ òà â³äíîñíèõ ð³çíèöü).
Äëÿ êðàùîãî ðîçóì³ííÿ ³ àíàë³çó äîñë³äæóâàíèõ ñòàòèñòè÷íèõ äàíèõ, ¿õ ïîòð³áíî ñèñòåìàòèçóâàòè, ïîáóäóâàâøè õðîíîëîã³÷í³ ðÿäè, ÿê³ íàçèâàþòüñÿ ðÿäàìè äèíàì³êè àáî ÷àñîâèìè ðÿäàìè.
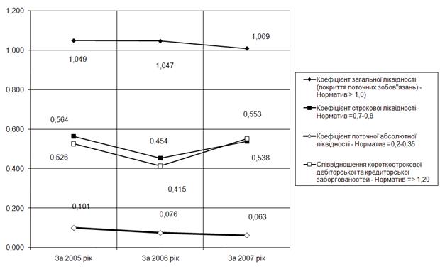
Àíàë³ç ðåçóëüòàò³â ïåðâèííî¿ ñòàòèñòè÷íî¿ îáðîáêè áàëàíñîâèõ çâ³ò³â ï³äïðèºìñòâà ÏÏ “Ìîíîëèò Ïëàñò” çà 2005 –2007 ðîêè, íàâåäåíèõ â òàáë. À.1 – À.3 Äîäàòêó À , ïîêàçóº (ðèñ.2.1):
- âàëþòà àêòèâ³â áàëàíñó ó 2006 ðîö³ çðîñëà íà + 95,3 % â³äíîñíî ð³âíÿ 2005 ðîêó, à ó 2007 ðîö³ ùå çðîñëà íà + 76,8 % â³äíîñíî ð³âíÿ 2006 ðîêó, òàêèì ÷èíîì âàëþòà áàëàíñó çà äâà ðîêè çðîñëà ç 77,3 òèñ.ãðí.. äî 267,0 òèñ.ãðí..;
- íåîáîðîòíèé êàï³òàë (îñíîâí³ ôîíäè) ï³äïðèºìñòâà çàéìàþòü íåâåëèêó äîëþ 3,5 – 5,7 % â âàëþò³ áàëàíñà, òîáòî ï³äïðèºìñòâî – ÷èñòî òîðã³âåëüíå, à îñíîâí³ ôîíäè – öå íåñòàö³îíàðí³ ñêëàäè òà îô³ñíå îáëàäíàííÿ.
- äèíàì³êà ñòðóêòóðíî¿ äîë³ ãðîøîâèõ êîøò³â õàðàêòåðèçóºòüñÿ çíèæåí-íÿì ç ð³âíÿ 9,0% (2005) äî ð³âíÿ 7,0% (2006) òà ïàä³ííÿì äî 5,9 % ó 2007 ðîö³;

Ðèñ.2.1. Äèíàì³êà îñíîâíèõ àãðåãàò³â àêòèâ³â áàëàíñó ÏÏ “Ìîíîëèò Ïëàñò” ó 2005 – 2007 ðîêàõ

Ðèñ.2.2 Ñòðóêòóðà òà äèíàì³êà ïàñèâ³â äæåðåë ðåñóðñ³â â ÏÏ “Ìîíîëèò Ïëàñò” ó 2005 – 2007 ðîêàõ
- äèíàì³êà ñòðóêòóðíî¿ äîë³ çàïàñ³â õàðàêòåðèçóºòüñÿ çðîñòàííÿì ó 2006 ðîö³ ç ð³âíÿ 43,7 %(2005) äî ð³âíÿ 54,8 %(2006) òà ïîñòóïîâèì ïàä³ííÿì äî ð³âíÿ 44,1 % ó 2007 ðîö³, ïðè öüîìó çàïàñè ïðåäñòàâëåí³ âèêëþ÷íî ñòàòòåþ «Òîâàðè»;
- äèíàì³êà ñòðóêòóðíî¿ äîë³ äåá³òîðñüêî¿ çàáîðãîâàíîñò³ õàðàêòåðèçóºòüñÿ ïàä³ííÿì ó 2006 ðîö³ ç ð³âíÿ 41,6 %(2005) äî 34,1 % (2006) òà íàðîùóâàííÿì äî ð³âíÿ 44,4 % ó 2007 ðîö³;
Òàêèì ÷èíîì, äëÿ 2007 ðîêó äëÿ àêòèâ³â ï³äïðèºìñòâà õàðàêòåðí³ ïðîöåñè ïðàêòè÷íî ïîâíîãî âèêîðèñòàííÿ ãðîøîâèõ êîøò³â ï³äïðèºìñòâà, ïðè öüîìó 44,4 % àêòèâ³â çàéìຠäåá³òîðñüêà çàáîðãîâàí³ñòü çà ðåàë³çîâàíó ïðîäóêö³þ, à 44,1 % àêòèâ³â – çàïàñè, òîáòî ðîçâèòîê ï³äïðèºìñòâà çàëåæèòü â³ä íàäõîäæåíü-íÿ êîøò³â â³ä ðåàë³çàö³¿ äëÿ ïðèäáàííÿ â çàïàñè íàñòóïíî¿ ïàðò³¿ ïðîäóêö³¿.
ßê ïîêàçàíî ãðàô³êàìè ðèñ.2.2 îñíîâíèìè äæåðåëàìè ðåñóðñ³â ï³äïðèºì-ñòâà ÏÏ “Ìîíîëèò Ïëàñò” º êðåäèòîðñüêà çàáîðãîâàí³ñòü òà ïîçè÷åí³ êðåäèòí³ êîøòè áàíê³â, âëàñíèé êàï³òàë çàéìຠäîëþ íå á³ëüøå 1% â ïàñèâàõ äæåðåë.
Àíàë³ç äîõîä³â òà âèòðàò íà ï³äïðèºìñòâ³ ÏÏ “Ìîíîëèò Ïëàñò” ïðîâîäèâñÿ ç âèêîðèñòàííÿì çâ³ò³â ïðî ô³íàíñîâ³ ðåçóëüòàòè (ôîðìà ¹2, Äîäàòîê Á).
Àíàë³ç ðåçóëüòàò³â ïåðâèííî¿ ñòàòèñòè÷íî¿ îáðîáêè çâ³ò³â ïðî ô³íàíñîâ³ ðåçóëüòàòè ï³äïðèºìñòâà ÏÏ “Ìîíîëèò Ïëàñò” çà 2005 –2007 ðîêè, íàâåäåíèõ â òàáë. Á.1 – Á.3 Äîäàòêó Á , ïîêàçóº :
à) äæåðåëîì äîõîä³â ï³äïðèºìñòâà ÏÏ “Ìîíîëèò Ïëàñò” º ò³ëüêè ðåçóëüòàòè îñíîâíî¿ ä³ÿëüíîñò³ ïî îïòîâîìó ïåðåïðîäàæó êóïëåíèõ òîâàð³â ç ì³í³ìàëüíîþ íàö³íêîþ;
á) îñíîâíèìè äæåðåëàìè âèòðàò ï³äïðèºìñòâà ÏÏ “Ìîíîëèò Ïëàñò” º ìàòåð³àëüí³ âèòðàòè íà ïîêóïêó òîâàð³â òà ïðîäóêö³¿ íà ïðîäàæ;
â) ÷èñòèé äîõ³ä ï³äïðèºìñòâà ó 2007 ðîö³ çð³ñ â³äíîñíî 2005 ðîêó ç ð³âíÿ 159,2 òèñ.ãðí. (2005) äî 501,6 ìëí.ãðí., òîáòî íà +215,0%.
ä) îáñÿãè âàëþòè áàëàíñà ï³äïðèºìñòâà ó 2007 ðîö³ â³äíîñíî ð³âíÿ 2005 ðîêó çðîñëè ç ð³âíÿ 77,3 òèñ.ãðí.. äî ð³âíÿ 267,0 òèñ.ãðí.., òîáòî íà +246,7%. Òàêèì ÷èíîì òåìï ïðèðîñòó ÷èñòîãî âàëîâîãî äîõîäó ï³äïðèºìñòâà íèæ÷å òåìïà ïðèðîñòó âàëþòè áàëàíñà, ùî ñâ³ä÷èòü ïðî åêñòåíñèâíèé øëÿõ ðîñòó ï³äïðèºìñòâà.
å) ï³äïðèºìñòâî – ïðèáóòêîâå, àëå ñóìè ÷èñòîãî ïðèáóòêó ï³ñëÿ îïîäàòêó- âàííÿ ñòàíîâëÿòü 2600 – 5900 ãðí., ùî º íåçíà÷íèì íà ð³âí³ âàëîâèõ äîõîä³â â³ä ðåàë³çàö³¿ á³ëüøå 0,5 ìëí.ãðí../ð³ê, àëå º äîñòàòí³ìè äëÿ ð³âíÿ âêëàäåíîãî ñòàòóòíîãî êàï³òàëà â 500 - 2000 ãðí.
Íà ðèñ.2.3 íàâåäåí³ ðåçóëüòàòè àíàë³çó ñòðóêòóðè âèòðàò ï³äïðèºìñòâà ÏÏ “Ìîíîëèò Ïëàñò”, ÿê³ ïîêàçóþòü, ùî ìàòåð³àëüí³ âèòðàòè çàéìàþòü äîëþ 99,5 – 99,7 % â ñîá³âàðòîñò³ ä³ÿëüíîñò³ ï³äïðèºìñòâà, òîìó îñíîâíå óïðàâë³ííÿ äîõîäàìè òà âèòðàòàìè ï³äïðèºìñòâà ïîâèííî âèêîíóâàòèñÿ íà ð³âí³ ö³íîâî¿ ñòðàòå㳿 ì³æ ö³íàìè ïîêóïêè òà ïðîäàæó òîâàð³â.

Ðèñ. 2.3 Äèíàì³êè ñòðóêòóðè âèòðàò â ÏÏ “Ìîíîëèò Ïëàñò” â 2007 ðîö³
Ñêëàä îáîðîòíèõ êîøò³â – öå ñóêóïí³ñòü îêðåìèõ åëåìåíò³â îáîðîòíèõ âèðîáíè÷èõ ôîíä³â ³ ôîíä³â îá³ãó. Ñòðóêòóðà îáîðîòíèõ êîøò³â – öå ïèòîìà âàãà âàðòîñò³ îêðåìèõ ñòàòåé îáîðîòíèõ âèðîáíè÷èõ ôîíä³â ³ ôîíä³â îá³ãó â çàãàëüí³é ñóì³ îáîðîòíèõ êîøò³â.
Îáîðîòí³ êîøòè ï³äïðèºìñòâà êëàñèô³êóþòüñÿ çà òðüîìà îçíàêàìè :
1) çàëåæíî â³ä ó÷àñò³ ¿õ ó êðóãîîá³ãó êîøò³â;
2) çà ìåòîäàìè ïëàíóâàííÿ, ïðèíöèïàìè îðãàí³çàö³¿ òà ðåãóëþâàííÿ;
3) çà äæåðåëàìè ôîðìóâàííÿ.
³äïîâ³äíî äî ïåðøî¿ îçíàêè îáîðîòí³ êîøòè ïîä³ëÿþòüñÿ íà îáîðîòí³ êîøòè, àâàíñîâàí³ â îáîðîòí³ âèðîáíè÷³ ôîíäè, òà îáîðîòí³ êîøòè, àâàíñîâàí³ ó ôîíäè îá³ãó.
Òàêèé ðîçïîä³ë îáîðîòíèõ êîøò³â çóìîâëåíèé íàÿâí³ñòþ â êðóãîîá³ãó êîøò³â äâîõ ñàìîñò³éíèõ ñôåð – ñôåðè âèðîáíèöòâà ³ ñôåðè îá³ãó. Ùî á³ëüøå ïèòîìà âàãà îáîðîòíèõ êîøò³â, ðîçì³ùåíèõ ó ñôåð³ âèðîáíèöòâà, òî åôåêòèâ-í³øå âèêîðèñòîâóºòüñÿ îáîðîòíèé êàï³òàë. Çàëåæíî â³ä ìåòîä³â ïëàíóâàííÿ îáîðîòí³ êîøòè ïîä³ëÿþòüñÿ íà íîðìîâàí³ ( ðîçì³ðåí³ ó ÷àñ³ òà ó îáñÿãàõ) òà íåíîðìîâàí³.
Íåîáõ³äí³ñòü ðîçïîä³ëó îáîðîòíèõ êîøò³â íà íîðìîâàí³ òà íåíîðìîâàí³ âèïëèâຠç åêîíîì³÷íî¿ äîö³ëüíîñò³ äîñÿãíåííÿ íàéë³ïøèõ ðåçóëüòàò³â çà íàé-ìåíøèõ çàòðàò. Óñòàíîâëåííÿ íîðìàòèâ³â çà îêðåìèìè ñòàòòÿìè îáîðîòíèõ êîøò³â óìîæëèâëþº çàáåçïå÷åííÿ áåçïåðåðâíî¿ ä³ÿëüíîñò³ ï³äïðèºìñòâà çà óìîâè îïòèìàëüíèõ âèðîáíè÷èõ çàïàñ³â, ðîçì³ð³â íåçàâåðøåíîãî âèðîáíèöòâà, çàëèøê³â ãîòîâî¿ ïðîäóêö³¿ .
Äî íîðìîâàíèõ îáîðîòíèõ êîøò³â íàëåæàòü îáîðîòí³ êîøòè ó âèðîáíè÷èõ çàïàñàõ, íåçàâåðøåíîìó âèðîáíèöòâ³ òà âèòðàòàõ ìàéáóòí³õ ïåð³îä³â, ó çàëèø-êàõ ãîòîâî¿ ïðîäóêö³¿ íà ñêëàäàõ ï³äïðèºìñòâ.
Íåíîðìîâàí³ îáîðîòí³ ôîíäè âêëþ÷àþòü ôîíäè îá³ãó çà âèíÿòêîì ãîòîâî¿ ïðîäóêö³¿ íà ñêëàä³.
 òàáë.2.3 íàâåäåíà ñòðóêòóðà òà äèíàì³êà àêòèâ³â áàëàíñó ÏÏ”Ìîíîëèò Ïëàñò» çà 2005 – 2007 ðîêè.
Òàáëèöÿ 2.3
Äèíàì³êà òà ñòðóêòóðà àêòèâ³â áàëàíñó ÏÏ “Ìîíîëèò Ïëàñò”

 òàáë.2.4 íàâåäåíà äèíàì³êà äæåðåë ôîðìóâàííÿ îáîðîòíèõ êîøò³â ï³äïðèºìñòâà ÏÏ “Ìîíîëèò Ïëàñò” ó 2005 -2007 ðîêàõ:
Òàáëèöÿ 2.4
Äæåðåëà ôîðìóâàííÿ îáîðîòíèõ êîøò³â ï³äïðèºìñòâà

ßê ïîêàçóº àíàë³ç ñòðóêòóðíèõ äàíèõ òàáë.2.3 – 2.4 :
à) Îñê³ëüêè âëàñíèé êàï³òàë ÏÏ “Ìîíîëèò Ïëàñò” íå ³ìîá³ë³çîâàíèé â íåîáîðîòíèõ êîøòàõ (âèêîðèñòîâóºòüñÿ ñèñòåìà îðåíäîâàíèõ ñêëàä³â ÷è òîð-ã³âëÿ «ç êîëåñ»), äæåðåëàìè îáîðîòíèõ êîøò³â ï³äïðèºìñòâà º ÿê îáîðîòíèé âëàñíèé êàï³òàë òàê ³ êîðîòêîñòðîêîâ³ áàíê³âñüê³ êðåäèòè òà êðåäèòîðñüêà çàáîðãîâàí³ñòü , òîáòî êîìåðö³éí³ êðåäèòè;
â) Îáîðîòí³ êîøòè ï³äïðèºìñòâà ïðåäñòàâëåí³ â ìàòåð³àëüí³é ôîðì³ ó âè-ãëÿä³ çàïàñ³â òîâàð³â íà ñêëàä³ (45-50%) òà ó ãðîøîâ³é ôîðì³ ó âèãëÿä³ äåá³òîð-ñüêî¿ çàáîðãîâàíîñò³ çà ðåàë³çîâàí³ òîâàðè (45-50%) òà ñóìè ãîò³âêîâèõ ãðîøåé â êàñ³ òà íà ðîçðàõóíêîâîìó ðàõóíêó â áàíêó (5,0 –6,0%);
Ñòðóêòóðà îáîðîòíèõ êîøò³â òà äæåðåë ¿õ ðåñóðñ³â º õàðàêòåðíîþ äëÿ îï-òîâèõ òîðãîâèõ ï³äïðèºìñòâ áåç çíà÷íèõ îñíîâíèõ ôîíä³â, äæåðåëà îáîðîòíèõ êîøò³â äóæå íåñò³éê³ ³ áàíêðóòîçàãðîçëèâ³, ùî ïîòðåáóº äóæå ÷³òêîãî óïðàâ-ë³ííÿ ñòðîêàìè óïðàâë³ííÿ ïîãàøåííÿì äåá³òîðñüêî¿ çàáîðãîâàíîñò³ òà ñòðî-êàìè çîáîâ’ÿçàíü ïî ïîãàøåííþ êðåäèòîðñüêî¿ çàáîðãîâàíîñò³.
Åêîíîì³÷íèé àíàë³ç âïëèâó íîðìóâàííÿ îáîðîòíèõ êîøò³â íà ô³íàí-ñîâó ñò³éê³ñòü ï³äïðèºìñòâà ïðîâîäèòüñÿ îïåðàòèâíèì ðîçðàõóíêîì àáñîëþò-íèõ ïîêàçíèê³â ô³íàíñîâî¿ ñò³éêîñò³ (êîåô³ö³ºíòó ïîêðèòòÿ çàïàñ³â îáîðîòíèìè êîøòàìè) âàðò³ñòü çàïàñ³â (Ç) ïîð³âíþºòüñÿ ç ïîñë³äîâíî ïîøèðþâàíèì ïåðåë³-êîì òàêèõ äæåðåë ô³íàíñóâàííÿ [18]:
âëàñí³ îáîðîòí³ êîøòè (ÍÂÎÊ);
âëàñí³ îáîðîòí³ êîøòè ³ äîâãîñòðîêîâ³ êðåäèòè òà ïîçèêè (ÍÂÎÊ + Äï);
âëàñí³ îáîðîòí³ êîøòè, äîâãî- òà êîðîòêîñòðîêîâ³ êðåäèòè ³ ïîçèêè (ÍÂÎÊ + Äï + ÄÔÇ).
³äïîâ³äíî äî çàáåçïå÷åíîñò³ çàïàñ³â çãàäàíèìè âàð³àíòàìè ô³íàíñóâàííÿ ìîæëèâ³ ÷îòèðè òèïè ô³íàíñîâî¿ ñò³éêîñò³ [18].
1. Àáñîëþòíà ñò³éê³ñòü - äëÿ çàáåçïå÷åííÿ çàïàñ³â (Ç) äîñòàòíüî âëàñíèõ îáîðîòíèõ êîøò³â; ïëàòîñïðîìîæí³ñòü ï³äïðèºìñòâà ãàðàíòîâàíà: Ç < ÍÂÎÊ
2. Íîðìàëüíà ñò³éê³ñòü – äëÿ çàáåçïå÷åííÿ çàïàñ³â êð³ì âëàñíèõ îáîðîòíèõ êîøò³â çàëó÷àþòüñÿ äîâãîñòðîêîâ³ êðåäèòè òà ïîçèêè; ïëàòîñïðîìîæí³ñòü ãàðàíòîâàíà:Ç < ÍÂÎÊ+Äï
3. Íåñò³éêèé ô³íàíñîâèé ñòàí – äëÿ çàáåçïå÷åííÿ çàïàñ³â êð³ì âëàñíèõ îáîðîòíèõ êîøò³â òà äîâãîñòðîêîâèõ êðåäèò³â ³ ïîçèê çàëó÷àþòüñÿ êîðîòêî-ñòðîêîâ³ êðåäèòè òà ïîçèêè; ïëàòîñïðîìîæí³ñòü ïîðóøåíà, àëå º ìîæëèâ³ñòü ¿¿ â³äíîâèòè: Ç < ÍÂÎÊ + Äï + ÄÔÇ
4. Êðèçîâèé ô³íàíñîâèé ñòàí – äëÿ çàáåçïå÷åííÿ çàïàñ³â íå âèñòà÷ຠ“íîðìàëüíèõ” äæåðåë ô³íàíñóâàííÿ; ï³äïðèºìñòâó çàãðîæóº áàíêðóòñòâî: Ç > ÍÂÎÊ + Äï + ÄÔÇ
Çàáåçïå÷åí³ñòü çàïàñ³â äæåðåëàìè ôîðìóâàííÿ º ñóòí³ñòþ ô³íàíñîâî¿ ñò³éêîñò³, ¿¿ çîâí³øí³ì ïðîÿâîì, à íàñë³äêîì º ïëàòîñïðîìîæí³ñòü (ë³êâ³äí³ñòü).
Òàáëèöÿ 2.5
Àãðåãîâàí³ ñòàòò³ áàëàíñó ÏÏ “Ìîíîëèò Ïëàñò”

 òàáë.2.5 – 2.6 íàâåäåí³ ðåçóëüòàòè îïåðàòèâíîãî ðîçðàõóíêó ñòóïåí³ ïîêðèòòÿ íîðìîâàíèõ çàïàñ³â â îáîðîòíèõ àêòèâàõ äæåðåëàìè ðåñóðñ³â.
ßê ïîêàçóþòü ðåçóëüòàòè ðîçðàõóíê³â â òàáë.2.6 â ÏÏ “Ìîíîëèò Ïëàñò” â³äñóòíº ô³íàíñîâå óïðàâë³ííÿ íîðìóâàííÿì îáîðîòíèõ àêòèâ³â, ùî ïðèâîäèòü äî ïîñò³éíî-êðèçîâîãî ñòàíó ïîêðèòòÿ íîðìîâàíèõ îáîðîòíèõ êîøò³â (çàïàñ³â) ïðè ïîâí³é â³äñóòíîñò³ âëàñíîãî îáîðîòíîãî êàï³òàëó.
Òàáëèöÿ 2.6
Ðåçóëüòàòè ðîçðàõóíêó ñò³éêîñò³ ÏÏ “Ìîíîëèò Ïëàñò” ïî ïîêðèòòþ çàïàñ³â

 òàáë. Ä.1- Ä.4 Äîäàòêó Ä íàâåäåí³ àëãîðèòìè ðîçðàõóíê³â ïîêàçíèê³â ô³íàíñîâî¿ ä³ÿëüíîñò³ ï³äïðèºìñòâà [21] ç âèêîðèñòàííÿì ôîðì ô³íàíñîâî¿ çâ³òíîñò³ – Ôîðìà 1 “Áàëàíñ” òà Ôîðìà 2 “Çâ³ò ïðî ðåçóëüòàòè ô³íàíñîâî¿ ä³ÿëüíîñò³”.
 òàáë.Å.1 - Å.5 Äîäàòêó Å íàâåäåí³ ðåçóëüòàòè ðîçðàõóíê³â êîåô³ö³ºíò³â ä³ÿëüíîñò³ ï³äïðèºìñòâà çà àëãîðèòìàìè , íàâåäåíèìè â òàáë.Ä.1 – Ä.4 Äîäàòêó Ä.
Àíàë³ç ðåçóëüòàò³â âòîðèííî¿ (êîåô³ö³ºíòíî¿) ñòàòèñòè÷íî¿ îáðîáêè áà-ëàíñîâèõ çâ³ò³â òà çâ³ò³â ïðî ô³íàíñîâ³ ðåçóëüòàòè ä³ÿëüíîñò³ ÏÏ “Ìîíîëèò Ïëàñò” çà 2003 – 2005 ðîêè, íàâåäåíèé â òàáë. Å.1 – Å.5 Äîäàòêó Å òà íà ðèñ.2.4 – 2.7.

Ðèñ.2.4. Äèíàì³êà ïîêàçíèê³â ë³êâ³äíîñò³ áàëàíñó ÏÏ „Ìîíîëèò Ïëàñò”
Àíàë³ç ãðàô³ê³â, íàâåäåíèõ íà ðèñ.2.4 ïîêàçóº, ùî ó ÏÏ “Ìîíîëèò Ïëàñò”:
- ó 2005-2007 ðîêàõ ð³âåíü çàãàëüíî¿ ë³êâ³äíîñò³ íàáëèæàâñÿ äî íèæíüî¿ ìåæ³ íîðìàòèâíîãî ä³àïàçîíó, àëå òàê ¿¿ ³ íå äîñÿãàº, òîáòî çàãàëüíà ë³êâ³äí³ñòü â ï³äïðèºìñòâ³ çíàõîäèòüñÿ íà ìåæ³ ñò³éêîãî ä³àïàçîíó;
- ó 2005 –2007 ðîêàõ ð³âåíü øâèäêî¿ (ñòðîêîâî¿) ë³êâ³äíîñò³ çíàõîäèâñÿ íà 50% íèæ÷å íîðìàòèâíîãî ä³àïàçîíó, ùî ñâ³ä÷èòü ïðî ïðîáëåìè ñòðîêîâî¿ ïëàòîñïðîìîæíîñò³ ó ï³äïðèºìñòâà;
- ó 2005 –2007 ðîêàõ ð³âåíü àáñîëþòíî¿ ë³êâ³äíîñò³ çíàõîäèëèñÿ çíà÷íî íèæ÷å íîðìàòèâíîãî ä³àïàçîíó, ùî ñâ³ä÷èòü ïðî êàòàñòðîô³÷í³ ïðîáëåìè çàáåçïå÷åííÿ ìîìåíòàëüíî¿ ïëàòîñïðîìîæíîñò³ ó ï³äïðèºìñòâà;
- ó 2005 – 2007 ðîêàõ ïîêàçíèê â³äíîøåííÿ êîðîòêîñòðîêîâî¿ äåá³òîðñüêî¿ òà êðåäèòîðñüêî¿ çàáîðãîâàíîñòåé áóâ ñóòòºâî íèæ÷å çíà÷åííÿ ñò³éêîãî ä³àïà-çîíó (á³ëüøå 1,0), òîìó äëÿ ðîçðàõóíê³â ç êðåäèòîðàìè íåîáõ³äíî áóëî íå ò³ëüêè îòðèìàòè êîøòè äåá³òîðñüêî¿ çàáîðãîâàíîñò³ çà â³äïóùåí³ òîâàðè, àëå ³ ðåàë³çó-âàòè ÷àñòèíó ïðîäóêö³¿, ÿêà çíàõîäèëàñü â òîâàðíèõ çàïàñàõ òà ùå íå áóëà ïðîäàíà;
Òàêèì ÷èíîì, ó 2005 – 2007 ðîêàõ ï³äïðèºìñòâî ÏÏ “Ìîíîëèò Ïëàñò” ïî÷àëî ³ ïðîäîâæóº ñâîþ ä³ÿëüí³ñòü â â êðèçîâ³é ïîëîñ³ íåë³êâ³äíîñò³ áàëàíñó â êîðîòêîñòðîêîâèõ òà äîâãîñòðîêîâèõ ïåð³îäàõ, ùî çàô³êñîâàíî ó ðàí³øå âêàç-àíîìó ôàêò³ âèêîðèñòàííÿ ó 2005 - 2007 ðîö³ ãðîøîâî¿ ìàñè íà çàêóï³âëþ òî-âàðíèõ çàïàñ³â.
Îñê³ëüêè íà ï³äïðèºìñòâ³ ÏÏ ”Ìîíîëèò Ïëàñò” â³äñóòí³é ô³íàíñîâèé â³ää³ë, à âñ³ºþ ä³ÿëüí³ñòþ ï³äïðèºìñòâà óïðàâëÿâ â 2005 – 2007 ðîêàõ äèðåêòîð, â³í æå ãîëîâíèé áóõãàëòåð çà ñóì³ñíèöòâîì, óâàãà áóëà ñêîíöåíòðîâàíà íà ìåíåäæìåíò³, õàðàêòåðíîìó äëÿ ïðèâàòíèõ ï³äïðèºìñòâ – õàîòè÷íèé ïîøóê êðåäèòîð³â òà ïîêóïö³â áåç äåòàëüíîãî àíàë³çó ô³íàíñîâîãî ñòàíó ï³äïðèºìñòâà.
Àíàë³ç ðåíòàáåëüíîñò³ àêòèâ³â òà âëàñíîãî êàï³òàëó ÏÏ „Ìîíîëèò Ïëàñò” ïîêàçóº, ùî ä³ÿëüí³ñòü ìîæå áóòè îõàðàêòåðèçîâàíà íàñòóïíèìè òåíäåíö³ÿìè :
1. Îáîðîòè âèðó÷êè â³ä ðåàë³çàö³¿ íà ð³âí³ 0,5 ìëí.ãðí. çà ð³ê ïðè ñòàòóò-íîìó êàï³òàë³ ÏÏ “Ìîíîëèò Ïëàñò” â 500 – 2000 ãðí. äàþòü åôåêò íàäçâè-÷àéíî¿ ä³¿ îïåðàö³éíîãî òà ô³íàíñîâîãî âàæåë³â :
ÿêùî ðåíòàáåëüí³ñòü àêòèâ³â ïî âàëîâîìó ðåàë³çàö³éíîìó ïðèáóòêó ñòàíîâèòü 2 –3 %, ùî â³äïîâ³äຠð³çíèö³ ö³í ì³æ ïîêóïêîþ òà ïðîäàæåì òîâàð³â; òî ðåíòàáåëüí³ñòü âëàñíîãî êàï³òàëà ïî âàëîâîìó ðåàë³çàö³éíîìó ïðèáóòêó äîñÿãຠ180 –200 %
2. Ðåíòàáåëüí³ñòü âëàñíîãî êàï³òàëà ïî ÷èñòîìó ïðèáóòêó ï³ñëÿ îïîäàò-êóâàííÿ çíèçèëàñü ç ð³âíÿ 133% (ó 2005 ðîö³) äî 32 % ó 2006 ðîö³ òà ï³äâèùè-ëàñü çíîâ äî ð³âíÿ 135% ó 2007 ðîö³, òîáòî çíà÷íî ïåðåâèùóº ð³âåíü àëüòåð-íàòèâíî¿ äîõîäíîñò³ – äåïîçèòíî¿ ñòàâêè êîìåðö³éíèõ áàíê³â â 12 – 16 % ð³÷íèõ.
Òàêèì ÷èíîì, âèñîêîðèçèêîâà ä³ÿëüí³ñòü ÏÏ “Ìîíîëèò Ïëàñò” ç òî÷êè çîðó íåë³êâ³äíîñò³ áàëàíñó äຠâèñîê³ ð³âí³ ïðèáóòê³â, ùî â³äïîâ³äຠðèíêîâ³é ìîäåë³ “ðèçèê – äîõîäí³ñòü á³çíåñó”.
Íà ðèñ.2.6 íàâåäåí³ õàðàêòåðèñòèêè ä³ëîâî¿ àêòèâíîñò³ (øâèäêîñò³ îáîðî-òó îêðåìèõ õàðàêòåðíèõ àãðåãàò³â àêòèâ³â òà ïàñèâ³â áàëàíñó) ÏÏ „Ìîíîëèò Ïëàñò”.

Ðèñ. 2.6 Õàðàêòåðèñòèêè äèíàì³êè ïîêàçíèê³â ä³ëîâî¿ àêòèâíîñò³ ÏÏ „Ìîíîëèò Ïëàñò” ó 2005 -2007 ðîêàõ
ßê ïîêàçàíî ãðàô³êàìè ðèñ.2.6 ó 2006 ðîö³ â³äíîñíî 2005 ðîêó ç íàðîùåí-íÿì îáñÿã³â îïåðàö³é ïåð³îä îáîðîòó îáîðîòíèõ àãðåãàò³â çð³ñ â 1,4 – 2,5 ðàçè, ùî ï³äíÿëî â³äïîâ³äíî ñòðîê ô³íàíñîâîãî òà îïåðàö³éíîãîöèêëó òà ñâ³ä÷èòü ïðî çíèæåííÿ òåìï³â ä³ëîâî¿ àêòèâíîñò³ ï³äïðèºìñòâà ïðè íàðîùåíí³ îáñÿã³â ä³ÿëü-íîñò³. Ó 2007 ðîö³ â³äíîñíî 2006 ðîêó ç ïîäàëüøèì íàðîùåííÿì îáñÿã³â îïåðà-ö³é ïåð³îä îáîðîòó îáîðîòíèõ àãðåãàò³â çíèçèâñÿ çíîâ 1,4 – 2,5 ðàçè äî ð³âíÿ îáîðîòíîñò³ 2005 ðîêó, òîáòî ï³äïðèºìñòâî çíàéøëî ñò³éêèé ðèíîê çáóòó òà ð³çêî â³äíîâèëî òåìïè ä³ëîâî¿ àêòèâíîñò³ ïðè íàðîùåíí³ îáñÿã³â ä³ÿëüíîñò³.
 òîé æå ÷àñ, ñë³ä â³äì³òèòè, ùî ñòðîê îáîðîòó äåá³òîðñüêî¿ çà áîðãîâà-íîñò³ ïðàêòè÷íî â 2 ðàçè ìåíøèé, í³æ ñòðîê îáîðîòó êðåäèòîðñüêî¿ çà áîðãîâà-íîñò³, ùî êîìïåíñóº íåâèêîíàííÿ íîðìàòèâó â³äíîøåííÿ äåá³òîðñüêî¿ äî êðå-äèòîðñüêî¿ çàáîðãîâàíîñòåé .
Íà ðèñ.2.7 íàâåäåí³ ðåçóëüòàòè àíàë³çó äæåðåë ïîêðèòòÿ çàïàñ³â â ÏÏ “Ìîíîëèò Ïëàñò”.

Ðèñ.2.7. Äèíàì³êà ïîêàçíèê³â ïîêðèòòÿ çàïàñ³â äæåðåëàìè ðåñóðñ³â â ÏÏ “Ìîíîëèò Ïëàñò” ó 2005 -2007 ðîêàõ
ßê âèäíî ç ãðàô³ê³â ðèñ. 2.7 â 2005 –2007 ðîêàõ ïî ïîêðèòòþ çàïàñ³â â ÏÏ “Ìîíîëèò Ïëàñò" ô³êñóºòüñÿ êðèçîâèé ñòàí ç ïîêðèòòÿì çàïàñ³â, îñê³ëüêè â íå-îáîðîòíèõ êîøòàõ ³ìîá³ë³çîâàí³ íå ò³ëüêè âëàñíèé êàï³òàë,àëå ³ çàëó÷åí³ êîøòè áàíê³âñüêîãî êðåäèòó, òîìó áåç ï³äíÿííÿ ð³âíþ âëàñíîãî êàï³òàëó ï³äïðèºìñòâó çàãðîæóº íåë³êâ³äí³ñòü çà ðàõóíîê ìîæëèâî¿ íåë³êâ³äíîñò³ íàêîïëåíèõ çàïàñ³â.
2.2 Çàãàëüíà ïîñòàíîâêà çàäà÷³ óïðàâë³ííÿ çàïàñàìè ï³äïðèºìñòâà ÏÏ «Ìîíîëèò Ïëàñò» (ÀÂÑ+XYZ – ìåòîäîëîã³ÿ)
Àíàë³ç ABC - öå ñïîñ³á ðåñóðñíîãî äîñë³äæåííÿ, ùî ïîëÿãຠâ ïîä³ë³ ïðîäóêö³¿ íà êàòåãî𳿠A, B ³ C, ùî ñêëàäàþòü ó ñòðóêòóð³ ïðîäàæ³â 80, 15 ³ 5% â³äïîâ³äíî, ³ ïðîïîíóâàíí³ ð³çíèõ ï³äõîä³â äî êåðóâàííÿ öèìè òîâàðíèìè ãðóïàìè.
Ìåòîä ÀÂÑ çàñíîâàíèé íà øèðîêî ðîçïîâñþäæåíèì ó ïðàêòèö³ ñïîñîá³ àíàë³çó, â³äîìèì, ÿê «ïðàâèëî 80/20», ùî âïåðøå îá´ðóíòóâàâ Â.Ïàðåòî (1897ð.) [14].
Ñóòü ìåòîäó ÀÂÑ ïîëÿãຠâ òîìó, ùî â³äïîâ³äíî äî ìåòè àíàë³çó âèáèðà-ºòüñÿ êëàñèô³êàö³éíà îçíàêà. Äàë³ çä³éñíþºòüñÿ ðàíæèðóâàííÿ â ïîðÿäêó óáó-âàííÿ ö³º¿ êëàñèô³êàö³éíî¿ îçíàêè. Äî ãðóïè À â³äíîñÿòüñÿ íàéìåíóâàííÿ â ñïèñêó, ïî÷èíàþ÷è ç ïåðøîãî, ñóìà íàêîïè÷åíèõ âàðòîñòåé ÿêèõ ñêëàäຠ70-80% â³ä ñóìàðíî¿ âàðòîñò³ âñ³õ ðåàë³çîâàíèõ çà öåé ïåð³îä òîâàð³â. Äîñâ³ä ïîêàçóº, ùî çâè÷àéíî â öþ ãðóïó ïîïàäຠ10-20% óñüîãî àñîðòèìåíòó òîâàð³â.
Ó ãðóïó  ïîïàäàþòü ïðèáëèçíî òðåòèíà íàéìåíóâàíü òîâàð³â, ñóìà âàðòîñòåé ÿêèõ ñêëàäຠ15-20%.
Äî ãðóïè Ñ â³äíîñÿòüñÿ âñ³ ïîçèö³¿ àñîðòèìåíòà òîâàð³â, ùî çàëèøèëèñÿ, ñóìàðíà âàðò³ñòü ÿêèõ ñêëàäຠëèøå 5-10%. Ïðè öüîìó âàðòî íå çàáóâàòè ïðî «ÿê³ðí³ ïîçèö³¿», â³äñóòí³ñòü ÿêèõ ìîæå ïðèâåñòè äî âòðàòè ïðîäàæ³â ó ãðóï³ À àáî Â. Íà ïðàêòèö³, òàê³ ïîçèö³¿ øòó÷íî ïåðåíîñÿòü ó â³äïîâ³äí³ ãðóïè ìàñîâî¿ ÷àñòêè «çâ'ÿçàíèõ» ïîçèö³é. (ßêùî á³ëüø³ñòü çâ'ÿçàíèõ ïîçèö³é â À, òî ïåðåíî-ñÿòü â À)
³äïîâ³äíî äî ïðèíöèïó Ïàðåòî, òîâàðè ãðóïè À ï³äëÿãàþòü á³ëüø ðå-òåëüíîìó îáë³êîâ³, ïîïèò íà íèõ ïðîãíîçóºòüñÿ çà äîïîìîãîþ á³ëüø ñêëàäíèõ ìåòîäèê, á³ëüø ÷àñòî é óâàæí³øå êîíòðîëþºòüñÿ ñâîº÷àñíå ïîïîâíåííÿ öèõ çàïàñ³â öèõ òîâàðíèõ ïîçèö³é â àñîðòèìåíò³. Ó òîé ÷àñ ÿê ïîòðåáà â àêòèâíèõ òîâàðàõ âèçíà÷àºòüñÿ á³ëüø òî÷íèì ìåòîäîì ïðîãíîçóâàííÿ çáóòó, ïîòðåáà â ìàëîàêòèâíèõ òîâàðàõ ìîæå âèçíà÷àòèñÿ ìåíø òî÷íèì ³ á³ëüø äåøåâèì ñïîñîáîì îáë³êó ìèíóëîãî äîñâ³äó. Íåîïòèìàëüíå êåðóâàííÿ ìàëîàêòèâíèìè òîâàðàìè ñëàáêî âïëèâຠíà çàãàëüí³ ïîêàçíèêè êåðóâàííÿ çàïàñàìè. Ç îãëÿäó íà öå, ï³äïðèºìñòâà ÷àñòî ìîæóòü çä³éñíþâàòè çàêóï³âë³ â³äðàçó ð³÷íî¿ ïîòðåáè ïî íîìåíêëàòóð³ ìàëîàêòèâíèõ òîâàð³â.
Òàáëèöÿ 2.7
Ðîçðàõóíîê ïîêàçíèê³â ÀÂÑ-àíàë³çó ïî ðåàë³çàö³¿ àñîðòèìåíòíèõ ãðóï ïðîäóêö³¿ ÏÏ «Ìîíîëèò Ïëàñò» ó 2005 -2007 ðîêàõ (ïî îáñÿãàì ðåàë³çàö³¿)

Òàêèì ÷èíîì, âèêîðèñòàííÿ ïðèíöèïó Ïàðåòî â êåðóâàíí³ òîâàðíèìè çà-ïàñàìè îçíà÷àº, ùî âñÿ íîìåíêëàòóðà ïîä³ëÿºòüñÿ íà ãðóïè çà êðèòåð³ºì àêòèâ-íîñò³ òà âàðòîñò³ ïðîäàæ³â. Ãðóïà À, ÿê "íàéá³ëüø àêòèâíà", ï³ääàºòüñÿ ñàìîìó ðåòåëüíîìó êîíòðîëåâ³, ãðóï³ Â âèÿâëÿºòüñÿ ìåíøå óïðàâë³íñüêî¿ óâàãè, à ãðóïà Ñ îáñëóãîâóºòüñÿ "íàéìåíø àêòèâíî".
XYZ-àíàë³ç äîçâîëÿº êëàñèô³êóâàòè òîâàðíèé àñîðòèìåíò ïðîäàæ³â òîâàð³â, ðîçãëÿíóòèé ïðè ïðîâåäåíí³ ÀÂÑ-àíàë³çà, ó çàëåæíîñò³ â³ä õàðàêòåðó ¿õ ïðîäàæ ³ òî÷íîñò³ ïðîãíîçóâàííÿ çì³í ó ¿õí³é ïîòðåá³, ùî îñîáëèâî âàæëèâî äëÿ òîðãîâåëüíèõ êîìïàí³é.
Óãðóïîâàííÿ òîâàðíîãî àñîðòèìåíòó ïðè ïðîâåäåíí³ XYZ-àíàë³çó çä³é-íþºòüñÿ â ïîðÿäêó çðîñòàííÿ êîåô³ö³ºíòà âàð³àö³¿.
Äî êàòåãî𳿠X â³äíîñÿòü ðåñóðñè, ùî õàðàêòåðèçóþòüñÿ ñòàá³ëüíîþ âåëè-÷èíîþ îáñÿã³â ïðîäàæó, íåçíà÷íèìè êîëèâàííÿìè â îáñÿãàõ ¿õ ïðîäàæ ³ âèñîê³é òî÷íîñò³ ïðîãíîçó.
Êàòåãîð³ÿ Y - öå ðåñóðñè, ïðîäàæ ÿêèõ õàðàêòåðèçóºòüñÿ â³äîìèìè òåí-äåíö³ÿìè (íàïðèêëàä, ñåçîííèìè êîëèâàííÿìè) ³ ñåðåäí³ìè ìîæëèâîñòÿìè ¿õíüîãî ïðîãíîçóâàííÿ.
Òîâàðè ÿê³ â³äíîñÿòüñÿ äî êàòåãî𳿠Z, ïðîäàþòüñÿ íåðåãóëÿðíî, òî÷í³ñòü ¿õíüîãî ïðîãíîçóâàííÿ íåâèñîêà.
Ïðè ïîð³âíÿíí³ âàð³àö³éíèõ ðÿä³â ì³æ ñîáîþ âèêîðèñòîâóþòü êîåô³ö³ºíò âàð³àö³¿. Ðîçïîä³ë êîåô³ö³ºíòà, ùî ðåêîìåíäóºòüñÿ, âàð³àö³¿ ïî ãðóïàõ:
ÊÂ = 0-10% - ãðóïà Õ
ÊÂ = 10-25% - ãðóïà Y
ÊÂ > 25% - ãðóïà Z
Çàõîäè ùîäî óïðàâë³ííÿ ïðîäàæàìè: X - çàêóï³âëÿ â³äáóâàºòüñÿ ñèíõðîííî ïðîöåñîâ³ ïðîäàæó òîâàð³â Y - íåîáõ³äíå ñòâîðåííÿ çàïàñ³â òîâàð³â äëÿ ïðîäàæó Z - âèìàãຠ³íäèâ³äóàëüíèõ çàìîâëåíü ïî çàêóï³âë³ òîâàð³â íà ïåðåïðîäàæ.

Ðèñ.2.17. – Äèíàì³êà ùîêâàðòàëüíîãî îáñÿãó ÷èñòîãî äîõîäó â³ä ïðîäàæó óêðóïíåíèõ àñîðòèìåíòíèõ ãðóï ïðîäóêö³¿ ÏÏ “Ìîíîëèò Ïëàñò” ó 2005 – 2007 ðîêàõ (÷àñòèíà 1)

Ðèñ.2.18. – Äèíàì³êà ùîêâàðòàëüíîãî îáñÿãó ÷èñòîãî äîõîäó â³ä ïðîäàæó óêðóïíåíèõ àñîðòèìåíòíèõ ãðóï ïðîäóêö³¿ ÏÏ “Ìîíîëèò Ïëàñò” ó 2005 – 2007 ðîêàõ (÷àñòèíà 2)

Ðèñ.2.19. – Äèíàì³êà ùîêâàðòàëüíîãî îáñÿãó ÷èñòîãî äîõîäó â³ä ïðîäàæó óêðóïíåíèõ àñîðòèìåíòíèõ ãðóï ïðîäóêö³¿ ÏÏ “Ìîíîëèò Ïëàñò” ó 2005 – 2007 ðîêàõ (÷àñòèíà 3)
Íà ðèñ. 2.17- 2.19 íàâåäåíà äèíàì³êà ùîêâàðòàëüíîãî îáñÿãó ÷èñòîãî äîõîäó â³ä ïðîäàæó óêðóïíåíèõ àñîðòèìåíòíèõ ãðóï ïðîäóêö³¿ ÏÏ “Ìîíîëèò Ïëàñò” ó 2005 – 2007 ðîêàõ.
Òàáëèöÿ 2.8
Ðåçóëüòàòè ñòàòèñòè÷íî¿ îáðîáêè õðîíîëîã³÷íèõ ðÿä³â ùîêâàðòàëüíèõ ÷èñòèõ äîõîä³â ïî àñîðòèìåíòíèì ãðóïàì ÏÏ “Ìîíîëèò Ïëàñò”
2.3 Îö³íêà åôåêòèâíîñò³ âïðîâàäæåííÿ ïðîåêò³â àâòîìàòèçàö³¿ óïðàâë³ííÿ çàïàñàìè ÏÏ «Ìîíîëèò Ïëàñò» íà áàç³ ñïîëó÷åííÿ ÀÂÑ òà XYZ – àíàë³ç³â
 äîñë³äæåíîìó ï³äïðèºìñòâ³ ÏÏ «Ìîíîëèò-Ïëàñò» âïðîâàäæåíèé 1 åòàï àâòîìàòèçîâàíî¿ ñèñòåìè óïðàâë³ííÿ çàïàñàìè íà áàç³ ñïîëó÷åííÿ ÀÂÑ òà XYZ – àëãîðèòì³â ìîí³òîðèíãó àñîðòèìåíòó ïðîäàæ.
Íàêëàäåííÿ ðåçóëüòàò³â àíàë³çó XYZ íà äàí³ ABC-ìåòîäó óòâîðþº 9 ãðóï ðåñóðñ³â, äëÿ êîæíî¿ ç íèõ íåîáõ³äíî ðîçðîáèòè ñâîþ òåõíèêó êåðóâàííÿ, ïðè öüîìó êîæíà ç ãðóï ìຠäâ³ õàðàêòåðèñòèêè âàðò³ñòü çàïàñ³â ³ òî÷í³ñòü ïðîãíî-çóâàííÿ ïîòðåáè â íèõ (Ðèñ.2.20 [12]).

Ðèñ.2.20. – Êâàäðàíòè ñï³ëüíîãî ïðîâåäåííÿ àíàë³çó ÀÂÑ ³ XYZ
Ðåçóëüòàòîì ñï³ëüíîãî ïðîâåäåííÿ àíàë³çó ÀÂÑ ³ XYZ º âèä³ëåííÿ êëþ-÷îâèõ, íàéá³ëüø âàæëèâèõ ðåñóðñ³â ô³ðìè ³ âñòàíîâëåííÿ íà ö³é îñíîâ³ ïð³îðè-òåò³â ó ñòðóêòóðèçàö³¿ á³çíåñ³â-ïðîöåñ³â.
Ãðóïè AX, AY ³ AZ âèìàãàþòü íàéá³ëüøî¿ óâàãè, äëÿ íèõ íåîáõ³äíî ðå-òåëüíå ïëàíóâàííÿ ïîòðåáè, íîðìóâàííÿ âèòðàòè, ðåòåëüíèé (ùîäåííèé) îáë³ê ³ êîíòðîëü, ïîñò³éíèé àíàë³ç â³äõèëåíü â³ä çàïëàíîâàíèõ ïîêàçíèê³â. Ïðè÷îìó äëÿ êàòåãî𳿠AX âàðòî ðîçðàõîâóâàòè îïòèìàëüíèé ðîçì³ð çàêóï³âåëü ³ âèêî-ðèñòîâóâàòè òåõíîëîã³þ "just in time". À äëÿ êàòåãî𳿠AZ åôåêòèâí³øå âèêîðèñ-òîâóâàòè ñèñòåìó ïîñòà÷àííÿ ïî çàïèòàõ ç îáîâ'ÿçêîâèì ðîçðàõóíêîì âåëè÷èíè ñòðàõîâîãî çàïàñó. Äëÿ ðåñóðñ³â êàòåãî𳿠CX, CY, CZ çàñòîñîâóþòüñÿ óêðóïíå-í³ ìåòîäè ïëàíóâàííÿ.
 òàáë. 2.9 íàâåäåí³ ðåçóëüòàòè ñï³ëüíîãî àíàë³çó ÀÂÑ ³ XYZ äëÿ ÏÏ “Ìîíîëèò Ïëàñò” çà ðåçóëüòàòàìè ïðîäàæó ïðîäóêö³¿ â îñíîâíèõ àñîðòèìåíò-íèõ ãðóïàõ. ßê âèäíî ç ñï³ëüíîãî àíàë³çó ðåçóëüòàò³â îáðîáêè (òàáë.2.7 – 2.9) ïðîäóêö³ÿ ÏÏ “Ìîíîëèò Ïëàñò” â³äíîñèòüñÿ äî êàòåãîð³é AY, BY, CY (ìàþòü ñåçîííèé õàðàêòåð ç íàðîñòàííÿì îáñÿã³â ïðîäàæó):
AY – ïîòðåáóº ñèñòåìó ïîñòà÷àííÿ ïî çàïèòàõ ç îáîâ'ÿçêîâèì ðîçðàõóíêîì âåëè÷èíè ñòðàõîâîãî çàïàñó:
Òðóáà êàíàë³çàö³éíà ïîë³ïðîï³ëåíîâà "OSTENDORF" (d=100)
Êîë³íà ïîâîðîòí³ òà òð³éíèêè ïîë³ïðîï³ëåíîâ³ "OSTENDORF" (d=100)
Òðóáà êàíàë³çàö³éíà ïîë³ïðîï³ëåíîâà "OSTENDORF" (d=50)
Òðóáà êàíàë³çàö³éíà ïîë³ïðîï³ëåíîâà "OSTENDORF" (d=32)
BY – ïîòðåáóº ñèñòåìó ïîñòà÷àííÿ àâàíñîâèìè ïàðò³ÿìè çã³äíî ïðîãíîçó ïîïèòó ç îáîâ'ÿçêîâèì ðîçðàõóíêîì âåëè÷èíè ñòðàõîâîãî çàïàñó
Êîë³íà ïîâîðîòí³ òà òð³éíèêè ïîë³ïðîï³ëåíîâ³ "OSTENDORF" (d=50)
Êîë³íà ïîâîðîòí³ òà òð³éíèêè ïîë³ïðîï³ëåíîâ³ "OSTENDORF" (d=32)
CY – ìîæëèâà çàêóïêà âåëèêèìè ïàðò³ÿìè, îñê³ëüêè ö³íà òîâàðíî¿ ãðóïè àñîðòèìåíòó – íåâåëèêà
Ìóôòè íàñóâí³ ïîë³ïðîï³ëåíîâ³ "OSTENDORF" (d=32-100)
Õðåñòîâèíè ïîë³ïðîï³ëåíîâ³ "OSTENDORF" (d=32-100)
Òàáëèöÿ 3.3
Ñï³ëüíèé ÀÂÑ òà XYZ –àíàë³çè ïðîäàæó àñîðòèìåíòíèõ ãðóï ïðîäóêö³¿ ÏÏ “Ìîíîëèò Ïëàñò” ó 2005 –2007 ðîêàõ

2.4 Âèñíîâêè ðîçä³ëó 2
Îòðèìàí³ ðåçóëüòàòè åêîíîì³÷íî¿ ä³àãíîñòèêè ïîêàçàëè, ùî ï³äïðèºìñòâî ÏÏ «Ìîíîëèò Ïëàñò» ïîòðåáóº àâòîìàòèçîâàíî¿ ñèñòåìè óïðàâë³ííÿ çàïàñàìè òîðãîâîãî ï³äïðèºìñòâà, îñê³ëüêè ïðàöþº ç ìàêñèìàëüíèìè ðèçèêàìè ïðè ïðàêòè÷í³é â³äñóòíîñò³ ñòðàõîâèõ çàïàñ³â. Ïîìèëêà â àñîðòèìåíòí³é ïîë³òèö³ ïðèäáàííÿ òîâàð³â äëÿ ï³äïðèºìñòâà º íåäîïóñòèìîþ,áî íåâ³ðí³ îáñÿãè çàêóïêè òîâàð³â â àñîðòèìåíòíèõ ãðóïàõ çàãðîæóþòü øâèäêîìó äîâåäåííþ ä³ÿëüíîñò³ ï³äïðèºìñòâà äî áàíêðóòñòâà.
Âïðîâàäæåííÿ â äîñë³äæåíîìó ï³äïðèºìñòâ³ ÏÏ «Ìîíîëèò-Ïëàñò» 1 åòàïó àâòîìàòèçîâàíî¿ ñèñòåìè óïðàâë³ííÿ çàïàñàìè íà áàç³ ñïîëó÷åííÿ ÀÂÑ òà XYZ – àëãîðèòì³â ìîí³òîðèíãó àñîðòèìåíòó ïðîäàæ äîçâîëèëî âèÿâèòè, ùî ïðîäóêö³ÿ ÏÏ “Ìîíîëèò Ïëàñò” â³äíîñèòüñÿ äî êàòåãîð³é AY, BY, CY (ìຠñåçîííèé õàðàêòåð ç íàðîñòàííÿì îáñÿã³â ïðîäàæó):
AY – ïîòðåáóº ñèñòåìó ïîñòà÷àííÿ ïî çàïèòàõ ç îáîâ'ÿçêîâèì ðîçðà-õóíêîì âåëè÷èíè ñòðàõîâîãî çàïàñó:
BY – ïîòðåáóº ñèñòåìó ïîñòà÷àííÿ àâàíñîâèìè ïàðò³ÿìè çã³äíî ïðîãíîçó ïîïèòó ç îáîâ'ÿçêîâèì ðîçðàõóíêîì âåëè÷èíè ñòðàõîâîãî çàïàñó
CY – ìîæëèâà çàêóïêà âåëèêèìè ïàðò³ÿìè, îñê³ëüêè ö³íà òîâàðíî¿ ãðóïè àñîðòèìåíòó – íåâåëèêà
Òàêèì ÷èíîì, îòðèìàí³ ðåçóëüòàòè àâòîìàòèçîâàíî¿ ñèñòåìè óïðàâë³ííÿ çàïàñàìè, ïîáóäîâàíî¿ íà äåòàëüíîìó óïðàâë³íí³ àñîðòèìåíòíèìè ãðóïàìè òîâàð³â äîçâîëÿþòü åôåêòèâíî ïðîãíîçóâàòè ïîäàëüø³ 䳿 ÏÏ «Ìîíîëèò Ïëàñò» ïî êåð³âíèöòâó çàêóïêàìè àñîðòèìåíòíèõ ãðóï òîâàðíî¿ íîìåíêëàòóðè ïðîäóêö³¿ çã³äíî ìàòðèö³ ðåçóëüòàò³â ñï³ëüíîãî ÀÂÑ-XYZ –àíàë³ç³â.
Âèñíîâêè
Åêîíîì³÷íà ä³àãíîñòèêà ä³ÿëüíîñò³ ÏÏ «Ìîíîëèò Ïëàñò» çà 2005 -2007 ðîêè ïîêàçàëà, ùî ï³äïðèºìñòâî º êëàñè÷íèì îïòîâèì òîðãîâöåì, ó ÿêîãî îáîðîòí³ àêòèâè ïðåäñòàâëåí³ 3 îñíîâíèìè ñòàòòÿìè:
çàïàñè êóïëåíèõ òîâàð³â;
äåá³òîðñüêà çàáîðãîâàí³ñòü çà â³äïóùåí³ (ïðîäàíó) òîâàðè;
ãðîøîâ³ êîøòè â êàñ³ òà íà ðîçðàõóíêîâîìó ðàõóíêó.
Àíàë³ç ô³íàíñîâî-ãîñïîäàðñüêî¿ ä³ÿëüíîñò³ ÏÏ “Ìîíîëèò Ïëàñò” çà 2005 – 2007 ðîêè âèÿâèâ íàñòóïí³ ïðîáëåìè â éîãî ðîçâèòêó:
- äëÿ àêòèâ³â ï³äïðèºìñòâà õàðàêòåðí³ ïðîöåñè ïðàêòè÷íî ïîâíîãî âèêîðèñòàííÿ ãðîøîâèõ êîøò³â ï³äïðèºìñòâà, ïðè öüîìó 44,4 % àêòèâ³â çàéìຠäåá³òîðñüêà çàáîðãîâàí³ñòü çà ðåàë³çîâàíó ïðîäóêö³þ, à 44,1 % àêòèâ³â – çàïàñè, òîáòî ðîçâèòîê ï³äïðèºìñòâà çàëåæèòü â³ä íàäõîäæåííÿ êîøò³â â³ä ðåàë³çàö³¿ äëÿ ïðèäáàííÿ â çàïàñè íàñòóïíî¿ ïàðò³¿ ïðîäóêö³¿.
- îñíîâíèìè äæåðåëàìè ðåñóðñ³â ï³äïðèºìñòâà ÏÏ “Ìîíîëèò Ïëàñò” º êðåäèòîðñüêà çàáîðãîâàí³ñòü òà ïîçè÷åí³ êðåäèòí³ êîøòè áàíê³â, âëàñíèé êàï³òàë çàéìຠäîëþ íå á³ëüøå 1% â ïàñèâàõ äæåðåë.
- ï³äïðèºìñòâî – ïðèáóòêîâå, àëå ñóìè ÷èñòîãî ïðèáóòêó ï³ñëÿ îïîäàòêó- âàííÿ ñòàíîâëÿòü 2600 – 5900 ãðí., ùî º íåçíà÷íèì íà ð³âí³ âàëîâèõ äîõîä³â â³ä ðåàë³çàö³¿ á³ëüøå 0,5 ìëí.ãðí../ð³ê, àëå º äîñòàòí³ìè äëÿ ð³âíÿ âêëàäåíîãî ñòàòóòíîãî êàï³òàëà â 500 - 2000 ãðí.
Ðåçóëüòàòè àíàë³çó ñòðóêòóðè âèòðàò ï³äïðèºìñòâà ÏÏ “Ìîíîëèò Ïëàñò” ïîêàçóþòü, ùî ìàòåð³àëüí³ âèòðàòè íà ïðèäáàííÿ òîâàð³â çàéìàþòü äîëþ 99,5 – 99,7% â ñîá³âàðòîñò³ ä³ÿëüíîñò³ ï³äïðèºìñòâà, òîìó îñíîâíå óïðàâë³ííÿ äîõîäàìè òà âèòðàòàìè ï³äïðèºìñòâà ïîâèííî âèêîíóâàòèñÿ íà ð³âí³ ö³íîâî¿ ñòðàòå㳿 ì³æ ö³íàìè ïîêóïêè òà ïðîäàæó òîâàð³â.
ßê ïîêàçóº àíàë³ç ñòðóêòóðíèõ äàíèõ :
à) Îñê³ëüêè âëàñíèé êàï³òàë ÏÏ “Ìîíîëèò Ïëàñò” íå ³ìîá³ë³çîâàíèé â íåîáîðîòíèõ êîøòàõ (âèêîðèñòîâóºòüñÿ ñèñòåìà îðåíäîâàíèõ ñêëàä³â ÷è òîð-ã³âëÿ «ç êîëåñ»), äæåðåëàìè îáîðîòíèõ êîøò³â ï³äïðèºìñòâà º ÿê îáîðîòíèé âëàñíèé êàï³òàë òàê ³ êîðîòêîñòðîêîâ³ áàíê³âñüê³ êðåäèòè òà êðåäèòîðñüêà çàáîðãîâàí³ñòü , òîáòî êîìåðö³éí³ êðåäèòè;
â) Îáîðîòí³ êîøòè ï³äïðèºìñòâà ïðåäñòàâëåí³ â ìàòåð³àëüí³é ôîðì³ ó âèãëÿä³ çàïàñ³â òîâàð³â íà ñêëàä³ (45-50%) òà ó ãðîøîâ³é ôîðì³ ó âèãëÿä³ äåá³òîðñüêî¿ çàáîðãîâàíîñò³ çà ðåàë³çîâàí³ òîâàðè (45-50%) òà ñóìè ãîò³âêîâèõ ãðîøåé â êàñ³ òà íà ðîçðàõóíêîâîìó ðàõóíêó â áàíêó (5,0 –6,0%);
Ñòðóêòóðà îáîðîòíèõ êîøò³â òà äæåðåë ¿õ ðåñóðñ³â º õàðàêòåðíîþ äëÿ îïòîâèõ òîðãîâèõ ï³äïðèºìñòâ áåç çíà÷íèõ îñíîâíèõ ôîíä³â, äæåðåëà îáîðîò-íèõ êîøò³â äóæå íåñò³éê³ ³ áàíêðóòîçàãðîçëèâ³, ùî ïîòðåáóº äóæå ÷³òêîãî óï-ðàâë³ííÿ ñòðîêàìè óïðàâë³ííÿ ïîãàøåííÿì äåá³òîðñüêî¿ çàáîðãîâàíîñò³ òà ñòðî-êàìè çîáîâ’ÿçàíü ïî ïîãàøåííþ êðåäèòîðñüêî¿ çàáîðãîâàíîñò³.
ßê ïîêàçóþòü ðåçóëüòàòè ðîçðàõóíê³â â ÏÏ “Ìîíîëèò Ïëàñò” â³äñóòíº ô³íàíñîâå óïðàâë³ííÿ íîðìóâàííÿì îáîðîòíèõ àêòèâ³â, ùî ïðèâîäèòü äî ïîñò³éíî-êðèçîâîãî ñòàíó ïîêðèòòÿ íîðìîâàíèõ îáîðîòíèõ êîøò³â (çàïàñ³â) ïðè ïîâí³é â³äñóòíîñò³ âëàñíîãî îáîðîòíîãî êàï³òàëó.
Àíàë³ç ðåçóëüòàò³â âòîðèííî¿ (êîåô³ö³ºíòíî¿) ñòàòèñòè÷íî¿ îáðîáêè áà-ëàíñîâèõ çâ³ò³â òà çâ³ò³â ïðî ô³íàíñîâ³ ðåçóëüòàòè ä³ÿëüíîñò³ çà 2005 – 2007 ðîêè ïîêàçóº, ùî ó ÏÏ “Ìîíîëèò Ïëàñò” íà ïðîòÿç³ äîñë³äæåíîãî ïåð³îäó âåäå ä³ÿëüí³ñòü â êðèçîâ³é ïîëîñó íåë³êâ³äíîñò³ áàëàíñó â êîðîòêîñòðîêîâèõ òà äîâ-ãîñòðîêîâèõ ïåð³îäàõ, ùî çàô³êñîâàíî ó ðàí³øå âêàçàíîìó ôàêò³ âèêîðèñòàííÿ ó 2004 - 2006 ðîö³ ãðîøîâî¿ ìàñè íà çàêóï³âëþ òîâàðíèõ çàïàñ³â.
Îñê³ëüêè íà ï³äïðèºìñòâ³ ÏÏ ”Ìîíîëèò Ïëàñò” â³äñóòí³é ô³íàíñîâèé â³ää³ë, à âñ³ºþ ä³ÿëüí³ñòþ ï³äïðèºìñòâà óïðàâëÿâ â 2004 – 2006 ðîêàõ äèðåêòîð, â³í æå ãîëîâíèé áóõãàëòåð çà ñóì³ñíèöòâîì, óâàãà áóëà ñêîíöåíòðîâàíà íà ìåíåäæìåíò³, õàðàêòåðíîìó äëÿ ïðèâàòíèõ ï³äïðèºìñòâ – õàîòè÷íèé ïîøóê êðåäèòîð³â òà ïîêóïö³â áåç äåòàëüíîãî àíàë³çó ô³íàíñîâîãî ñòàíó ï³äïðèºìñòâà.
 òîé æå ÷àñ, âèñîêîðèçèêîâà ä³ÿëüí³ñòü ÏÏ “Ìîíîëèò Ïëàñò” ïðè â³ä-ñóòíîñò³ âèòðàò íà îðãàí³çàö³þ ë³êâ³äíîñò³ áàëàíñó äຠâèñîê³ ð³âí³ ïðèáóòê³â, ùî â³äïîâ³äຠðèíêîâ³é ìîäåë³ “âèñîêèé ðèçèê – âèñîêà äîõîäí³ñòü á³çíåñó”.
Ïî ïîêðèòòþ çàïàñ³â â ÏÏ “Ìîíîëèò Ïëàñò" ô³êñóºòüñÿ êðèçîâèé ñòàí, îñê³ëüêè â îáîðîòíèõ êîøòàõ ³ìîá³ë³çîâàí³ íå ò³ëüêè âëàñíèé êàï³òàë, àëå ³ çà-ëó÷åí³ êîøòè áàíê³âñüêîãî êðåäèòó, òîìó áåç ï³äíÿííÿ ð³âíþ âëàñíîãî êàï³òàëó ï³äïðèºìñòâó çàãðîæóº íåë³êâ³äí³ñòü çà ðàõóíîê ìîæëèâî¿ íåë³êâ³äíîñò³ íàêîï-ëåíèõ çàïàñ³â.
Îòðèìàí³ ðåçóëüòàòè åêîíîì³÷íî¿ ä³àãíîñòèêè ïîêàçàëè, ùî ï³äïðèºìñòâî ÏÏ «Ìîíîëèò Ïëàñò» ïîòðåáóº àâòîìàòèçîâàíî¿ ñèñòåìè óïðàâë³ííÿ çàïàñàìè òîðãîâîãî ï³äïðèºìñòâà, îñê³ëüêè ïðàöþº ç ìàêñèìàëüíèìè ðèçèêàìè ïðè ïðàêòè÷í³é â³äñóòíîñò³ ñòðàõîâèõ çàïàñ³â. Ïîìèëêà â àñîðòèìåíòí³é ïîë³òèö³ ïðèäáàííÿ òîâàð³â äëÿ ï³äïðèºìñòâà º íåäîïóñòèìîþ,áî íåâ³ðí³ îáñÿãè çàêóïêè òîâàð³â â àñîðòèìåíòíèõ ãðóïàõ çàãðîæóþòü øâèäêîìó äîâåäåííþ ä³ÿëüíîñò³ ï³äïðèºìñòâà äî áàíêðóòñòâà.
Âïðîâàäæåííÿ äîñë³äæåíîìó ï³äïðèºìñòâ³ ÏÏ «Ìîíîëèò-Ïëàñò» 1 åòàïó àâòîìàòèçîâàíî¿ ñèñòåìè óïðàâë³ííÿ çàïàñàìè íà áàç³ ñïîëó÷åííÿ ÀÂÑ òà XYZ – àëãîðèòì³â ìîí³òîðèíãó àñîðòèìåíòó ïðîäàæ äîçâîëèëî âèÿâèòè, ùî ïðî-äóêö³ÿ ÏÏ “Ìîíîëèò Ïëàñò” â³äíîñèòüñÿ äî êàòåãîð³é AY, BY, CY (ìຠñåçîí-íèé õàðàêòåð ç íàðîñòàííÿì îáñÿã³â ïðîäàæó):
AY – ïîòðåáóº ñèñòåìó ïîñòà÷àííÿ ïî çàïèòàõ ç îáîâ'ÿçêîâèì ðîçðà-õóíêîì âåëè÷èíè ñòðàõîâîãî çàïàñó:
Òðóáà êàíàë³çàö³éíà ïîë³ïðîï³ëåíîâà "OSTENDORF" (d=100)
Êîë³íà ïîâîðîòí³ òà òð³éíèêè ïîë³ïðîï³ëåíîâ³ "OSTENDORF" (d=100)
Òðóáà êàíàë³çàö³éíà ïîë³ïðîï³ëåíîâà "OSTENDORF" (d=50)
- Òðóáà êàíàë³çàö³éíà ïîë³ïðîï³ëåíîâà "OSTENDORF" (d=32)
BY – ïîòðåáóº ñèñòåìó ïîñòà÷àííÿ àâàíñîâèìè ïàðò³ÿìè çã³äíî ïðîã-íîçó ïîïèòó ç îáîâ'ÿçêîâèì ðîçðàõóíêîì âåëè÷èíè ñòðàõîâîãî çàïàñó
Êîë³íà ïîâîðîòí³ òà òð³éíèêè ïîë³ïðîï³ëåíîâ³ "OSTENDORF" (d=50)
Êîë³íà ïîâîðîòí³ òà òð³éíèêè ïîë³ïðîï³ëåíîâ³ "OSTENDORF" (d=32)
CY – ìîæëèâà çàêóïêà âåëèêèìè ïàðò³ÿìè, îñê³ëüêè ö³íà òîâàðíî¿ ãðóïè àñîðòèìåíòó – íåâåëèêà
Ìóôòè íàñóâí³ ïîë³ïðîï³ëåíîâ³ "OSTENDORF" (d=32-100)
Õðåñòîâèíè ïîë³ïðîï³ëåíîâ³ "OSTENDORF" (d=32-100)
Òàêèì ÷èíîì, îòðèìàí³ ðåçóëüòàòè âèñíîâê³â òà ïðîãíîç³â àâòîìàòèçî-âàíî¿ ñèñòåìè óïðàâë³ííÿ çàïàñàìè, ïîáóäîâàíî¿ íà äåòàëüíîìó óïðàâë³íí³ àñîðòèìåíòíèìè ãðóïàìè òîâàð³â, äîçâîëÿþòü åôåêòèâíî ïðîãíîçóâàòè ïîäàëü-ø³ ðîçâèòîê âèñîêîðèçèêîâàíî¿ ä³ÿëüíîñò³ ÏÏ «Ìîíîëèò Ïëàñò» ç âèêîðèñ-òàííÿì àëãîðèòì³â êåð³âíèöòâà çàêóïêàìè àñîðòèìåíòíèõ ãðóï òîâàðíî¿ íîìåí-êëàòóðè ïðîäóêö³¿ çã³äíî ìàòðèö³ ðåçóëüòàò³â ñï³ëüíîãî ÀÂÑ-XYZ –àíàë³ç³â.
Ñïèñîê âèêîðèñòàíèõ äæåðåë
1. Ãîñïîäàðñüêèé êîäåêñ Óêðà¿íè â³ä 16 ñ³÷íÿ 2003 ðîêó N 436-IV(䳺 ç 01.01.2004) // ²ç çì³íàìè ³ äîïîâíåííÿìè, âíåñåíèìè Çàêîíàìè Óêðà¿íè â³ä 9 ñ³÷íÿ 2007 ðîêó N 549-V, ÎÂÓ, 2007 ð., N 8, ñò. 276
2. ÇÀÊÎÍ ÓÊÐÀ¯ÍÈ «Ïðî ãîñïîäàðñüê³ òîâàðèñòâà» // â³ä 19 âåðåñíÿ 1991 ðîêó N 1576-XII (²ç çì³íàìè ³ äîïîâíåííÿìè, âíåñåíèìè Çàêîíàìè Óêðà¿íè ñòàíîì íà 19 ëþòîãî 2004 ðîêó N 1519-IV)
3. Ïîëîæåííÿ (ñòàíäàðò) áóõãàëòåðñüêîãî îáë³êó 1 "Çàãàëüí³ âèìîãè äî ô³íàíñîâî¿ çâ³òíîñò³", Íàêàç ̳íô³íà Óêðà¿íè ¹ 87 â³ä 31.03.1999 + ¹ 304 â³ä 30.11.2000.
4. Ïîëîæåííÿ (ñòàíäàðò) áóõãàëòåðñüêîãî îáë³êó 2 "Áàëàíñ", Íàêàç ̳íô³íà Óêðà¿íè ¹ 87 â³ä 31.03.1999 + ¹ 304 â³ä 30.11.2000.
5. Ïîëîæåííÿ (ñòàíäàðò) áóõãàëòåðñüêîãî îáë³êó 3 " Çâ³ò ïðî ô³íàíñîâ³ ðåçóëüòàòè «, Íàêàç ̳íô³íà Óêðà¿íè ¹ 87 â³ä 31.03.1999 + ¹ 304 â³ä 30.11.2000.
6. Ïîëîæåííÿ (ñòàíäàðò) áóõãàëòåðñüêîãî îáë³êó 9 " Çàïàñè», Íàêàç ̳íô³íà Óêðà¿íè ¹ 87 â³ä 31.03.1999 + ¹ 304 â³ä 30.11.2000.
7. Àíäðººâà Ã. ². Åêîíîì³÷íèé àíàë³ç : íàâ÷.-ìåòîä. ïîñ³áíèê / Ã. ². Àíäðººâà. – Ê. : Çíàí.íÿ, 2008. – 263 ñ.
8. Áåëÿâöåâà Â.Â. Àâòîìàòèçèðîâàííûå òåõíîëîãèè îðãàíèçàöèè óïðàâëåí÷åñêîãî ó÷åòà â òîðãîâëå // Åêîíîì³êà: ïðîáëåìè òåî𳿠òà ïðàêòèêè: Çá.íàóê.ïð. – Âèï. 206 – Äí³ïðîïåòðîâñüê: Íàóêà ³ îñâ³òà, 2005. – Ñ. 224-229.
9. Áëàíê È. À. Ôèíàíñîâûé ìåíåäæìåíò : ó÷åáíûé êóðñ / È. À. Áëàíê. – Èçä. 2-å, ïåðåðàá. è äîï. – Ê. : Ýëüãà : Íèêà-Öåíòð, 2006. – 656 ñ.
10. Áóçóëóêîâà Å.À. Àññîðòèìåíò ðîçíè÷íîãî ìàãàçèíà: ìåòîäû àíàëèçà è ïðàêòè÷åñêèå ñîâåòû – ÑÏÁ.: Èçä-âî: Ïèòåð, 2007. - 176 ñòðàíèö
11. Áóçóêîâà Å.À. Àíàëèç àññîðòèìåíòà è ñòàáèëüíîñòè ïðîäàæ ñ èñïîëü-çîâàíèåì ABC-àíàëèçà è XYZ-àíàëèçà // Æóðíàë «Óïðàâëåíèå ïðîäàæàìè», Ñàíêò- Ïåòåðáóðã, Èçäàòåëüñòâî: «Èçäàòåëüñêèé äîì Ãðåáåííèêîâà», ¹ 3, 2006, ñ. 34 – 39
12. Âàñèëåíêî Ë. Ï. Ô³íàíñè ï³äïðèºìñòâà ó ñõåìàõ ³ òàáëèöÿõ : íàî÷íèé íàâ÷àëüíèé ïîñ³áíèê / Ë. Ï. Âàñèëåíêî, Ë. Â. Ãóò, Î. Ï. Îêñåºíêî ; Êè¿âñüêèé íàö. òîðã.-åêîí. óí-ò, ×åðí³âåöüêèé òîðã.-åêîí. ³í-ò. – Ê. : Äàêîð, 2006. – 343 ñ.
13. Âèíîãðàäñüêà À.Ì.
Êîìåðö³éíà ä³ÿëüí³ñòü òîðãîâåëüíîãî ï³äïðèºìñò-âà : Íàâ÷àëüíèé ïîñ³áíèê. - Ê.: Êè¿â. íàö. òîðã.-åêîí. óí-ò, 2005. - 278 ñ.
14. Âíóòð³øí³é åêîíîì³÷íèé ìåõàí³çì ï³äïðèºìñòâà : íàâ÷. ïîñ³áíèê / Ï. Â. Êðóø [òà ³í.] ; Íàö. òåõí³÷íèé óí-ò Óêðà¿íè "Êè¿âñüêèé ïîë³òåõí³÷íèé ³í-ò". – Ê. : Öåíòð ó÷áîâî¿ ë³òåðàòóðè, 2008. – 205 ñ.
15. Âîðîáüåâ Ï.Ô. ÀÂÑ - àíàëèç â óïðàâëåíèè òîâàðíûìè çàïàñàìè Æóðíàë «Óïðàâëåíèå ïðîäàæàìè»», Ñàíêò- Ïåòåðáóðã, Èçäàòåëüñòâî: «Èçäà-òåëüñêèé äîì Ãðåáåííèêîâà», ¹ 3, 2006, ñ. 54 -56
16. Ãåòüìàí Î.Î., Øàïîâàë Â.Ì. Åêîíîì³êà ï³äïðèºìñòâà: íàâ÷àëüíèé ïîñ³áíèê äëÿ ñòóäåíò³â âèùèõ íàâ÷àëüíèõ çàêëàä³â.- Êè¿â, Öåíòð íàâ÷àëüíî¿ ë³òåðàòóðè, 2006. – 488 ñ.
17. Ãåòüìàí Î. Î. Åêîíîì³÷íà ä³àãíîñòèêà : íàâ÷. ïîñ³á. / Î. Î. Ãåòüìàí, Â. Ì. Øàïîâàë ; Ì-âî îñâ³òè ³ íàóêè Óêðà¿íè, Óêðà¿íñüêèé äåðæàâíèé õ³ì³êî-òåõíîëîã³÷íèé óí-ò, Äí³ïðîïåòðîâñüêèé óí-ò åêîíîì³êè òà ïðàâà. – Ê. : Öåíòð íàâ÷àëüíî¿ ë³òåðàòóðè, 2007. – 307 ñ.
18. Äóãåëüíûé À.Ï. Áþäæåòíîå óïðàâëåíèå ïðåäïðèÿòèåì / À. Ï. Äóãåëü-íûé, Â. Ô. Êîìàðîâ. – Ì. : Äåëî, 2007. – 432 ñ.
19. Åêîíîì³êà ï³äïðèºìñòâà (â ïèòàííÿõ ³ â³äïîâ³äÿõ) : íàâ÷. ïîñ³áíèê / ². ². Öèãèëèê [òà ³í.]. – 2-ãå âèä., ïåðåðîáë. ³ äîïîâí. – Ê. : Öåíòð ó÷áîâî¿ ë³òåðàòóðè, 2007. – 212 ñ.
20. Êàðìàç³í Â.À. Åêîíîì³÷íèé àíàë³ç : ïðàêòèêóì / Â. À. Êàðìàç³í, Î. Ì. Ñàâèöüêà. – Ê. : Çíàííÿ, 2007. – 255 ñ.
21. Êîìåðö³éíà ä³ÿëüí³ñòü : íàâ÷. ïîñ³á. / Í. Î. Êðèêîâöåâà [òà ³í.]. – Ê. : Öåíòð ó÷áîâî¿ ë³òåðàòóðè, 2007. – 294 ñ.
22. Êîìåðö³éíà ä³ÿëüí³ñòü : ï³äðó÷íèê / [Â. Â. Àïîï³é òà ³í.] ; çà ðåä. Â. Â. Àïîï³ÿ. – 2-ãå âèä., ïåðåðîáë. ³ äîïîâí. – Ê. : Çíàííÿ, 2008. – 559 ñ.
23. Íåðóø Þ. Ì. Ëîãèñòèêà : ó÷åáíèê / Þ. Ì. Íåðóø ; Ìîñêîâñêèé ãîñ. èí-ò ìåæäóíàð. îòíîøåíèé (óíèâåðñèòåò) ÌÈÄ Ðîññèè. – 4-å èçä., ïåðåðàá. è äîï. – Ì. : Ïðîñïåêò, 2007. – 520 ñ.
24. Íîâ³òí³é ìàðêåòèíã : íàâ÷. ïîñ³áíèê / [ª. Â. Ñàâåëüºâ òà ³í.] ; çà ðåä. ª. Â. Ñàâåëüºâà. – Ê. : Çíàííÿ, 2008. – 421 ñ.
25. Îðãàí³çàö³ÿ òîðã³âë³ : ï³äðó÷íèê / Â. Â. Àïîï³é [òà ³í] ; çà ðåä. Â. Â. Àïîï³ÿ ; Ì-âî îñâ³òè ³ íàóêè Óêðà¿íè, Ëüâ³âñüêà êîìåðö³éíà àêàäåì³ÿ. – Âèä. 2-ãå, ïåðåðîáë. ³ äîïîâí. – Ê. : Öåíòð ó÷áîâî¿ ë³òåðàòóðè, 2008. – 629 ñ.
26. Ïàðòèí Ã.Î. Óïðàâë³íñüêèé îáë³ê : íàâ÷. ïîñ³áíèê / Ã. Î. Ïàðòèí, À. Ã. Çàãîðîäí³é. – 2-ãå âèä., âèïðàâë. ³ äîïîâí. – Ê. : Çíàííÿ, 2007. – 304 ñ.
27. Ñàâèöüêà Ã. Â. Åêîíîì³÷íèé àíàë³ç ä³ÿëüíîñò³ ï³äïðèºìñòâà : íàâ-÷àëüíèé ïîñ³áíèê / Ã. Â. Ñàâèöüêà. – 3-òº âèä., âèïðàâë. ³ äîïîâí. – Ê. : Çíàííÿ, 2007. – 669 ñ.
28. Ñèçîíåíêî Â.Î. Ñó÷àñíå ï³äïðèºìíèöòâî : íàâ÷. ïîñ³áíèê / Â. Î. Ñè-çîíåíêî. – Ê. : Çíàííÿ-Ïðåñ, 2008. – 440 ñ.
29. Òðóáîïðîâîäû èíæåíåðíûõ ñèñòåì: êàòàëîã 2004 / Ïîä ðåä. Ñ.Å. Áåëèêîâà. — Ì.: ÀêâàÒåðì, 2004. — 248 ñ.
30. Óïðàâë³ííÿ âèòðàòàìè : íàâ÷. ïîñ³áíèê / [Ì. Ã. Ãðåùàê òà ³í.] ; çà ðåä. Ì. Ã. Ãðåùàêà ; Äåðæ. âèù. íàâ÷. çàêëàä "Êè¿âñüêèé íàö. åêîí. óí-ò ³ì. Â. Ãåòüìàíà". – Ê. : ÊÍÅÓ, 2008. – 259 ñ.
31. Óïðàâëåí÷åñêèé ó÷åò : ïåð. ñ àíãë. / Ý. À. Àòêèíñîí [è äð.]. – 3-å èçä. – Ì. : Âèëüÿìñ, 2007. – 880 ñ.
32. Ô³íàíñè / Î. Ð. Ðîìàíåíêî [òà ³í.] ; Ì-âî îñâ³òè ³ íàóêè Óêðà¿íè, Êè¿âñüêèé íàö. åêîí. óí-ò ³ìåí³ Âàäèìà Ãåòüìàíà. – 2-ãå âèä., áåç çì³í. – Ê. : ÊÍÅÓ, 2007. – 387 ñ.
33. Õîðóæèé Ï.Ä., Òêà÷óê Î.À. Âîäîïðîâ³äí³ ñèñòåìè ³ ñïîðóäè: Íàâ÷. ïîñ³áíèê. — Ê.: Âèùà øê., 1993. — 230 ñ.
34. Õðóöêèé Â.Å. Âíóòðèôèðìåííîå áþäæåòèðîâàíèå : íàñòîëüíàÿ êíèãà ïî ïîñòàíîâêå ôèíàíñîâîãî ïëàíèðîâàíèÿ / Â. Å. Õðóöêèé, Â. Â. Ãàìàþíîâ. – Èçä. 2-å, ïåðåðàá. è äîï. – Ì. : Ôèíàíñû è ñòàòèñòèêà, 2007. – 461 ñ.
35. Öàë-Öàëêî Þ. Ñ. Ô³íàíñîâèé àíàë³ç : ï³äðó÷íèê / Þ. Ñ. Öàë-Öàëêî. – Ê. : Öåíòð ó÷áîâî¿ ë³òåðàòóðè, 2008. – 566 ñ.
36. Öèãèëèê ².². Îñíîâè ï³äïðèºìíèöòâà : íàâ÷. ïîñ³áíèê / ². ². Öèãèëèê, Ç. Ì. Êðèõîâåöüêà, Ò. Ì. Ïàíåâíèê. – 2-ãå âèä., ïåðåðîáë. òà äîïîâí. – Ê. : Öåíòð ó÷áîâî¿ ë³òåðàòóðè, 2007. – 224 ñ.
37. Øâèäàíåíêî Ã. Î. Óïðàâë³ííÿ êàï³òàëîì ï³äïðèºìñòâà : íàâ÷. Ïîñ³áíèê / Ã. Î. Øâèäàíåíêî, Í. Â. Øåâ÷óê ; Ì-âî îñâ³òè ³ íàóêè Óêðà¿íè, Äåðæ. âèù. íàâ÷. çàêëàä "Êè¿âñüêèé íàö. åêîí. óí-ò ³ì. Â. Ãåòüìàíà". – Ê. : ÊÍÅÓ, 2007. – 436 ñ.
38. Øâèäàíåíêî Ã.Î. Á³çíåñ-ä³àãíîñòèêà ï³äïðèºìñòâà / Ã. Î. Øâèäà-íåíêî, À. ². Äìèòðåíêî, Î. ². Îëåêñþê ; Ì-âî îñâ³òè ³ íàóêè Óêðà¿íè, Äåðæ. âèù. íàâ÷. çàêëàä "Êè¿âñüêèé íàö. åêîí. óí-ò ³ì. Â. Ãåòüìàíà". – Ê., 2008. – 340 ñ.
39. Øìîðãóí Í.Ï. Ô³íàíñîâèé àíàë³ç : íàâ÷. ïîñ³áíèê äëÿ ñòóä. âèùèõ íàâ÷àëüíèõ çàêëàä³â / Í. Ì. Øìîðãóí, ². Â. Ãîëîâêî ; Ì-âî îñâ³òè ³ íàóêè Óêðà¿íè, Êè¿âñüêèé íàö. óí-ò ³ì. Ò. Øåâ÷åíêà. – Ê. : Öåíòð íàâ÷àëüíî¿ ë³òåðàòóðè, 2006. – 525 ñ.
40. Øíàïïàóô Ð. À. Ïðàêòèêà ïðîäàæ. Ñïðàâî÷íîå ïîñîáèå ïî âñåì ñèòóàöèÿì â ñáûòå: ïðèìåðû è óïðàæíåíèÿ : âîïðîñû äëÿ îïðåäåëåíèÿ ïðîôåññèîíàëüíîãî óðîâíÿ : ïåð. ñ íåì./ Ð. À. Øíàïïàóô. – 3-å èçä., ïåðåðàá. è äîï. – Ì. : Èíòåðýêñïåðò, 2007. – 438 ñ.
41. Ýêîíîìèêà ïðåäïðèÿòèÿ (ôèðìû) : ó÷åáíèê/ ïîä ðåä. Î. È. Âîëêîâà, Î. Â. Äåâÿòêèíà. – 3-å èçä., ïåðåðàá. è äîï. – Ì. : ÈÍÔÐÀ-Ì, 2007. – 601 ñ.
42. http://www.org.ua – «ËÎòÑÒÈÊÀ – ïðàêòèêà óïðàâë³ííÿ» - ³íôîð-ìàö³éíèé ²íòåðíåò-æóðíàë, 2008
43. Http://www.ukrlogistika.com.ua – Åëåêòðîííèé ²íòåðíåò - æóðíàë «Äèñòðèáóö³ÿ òà ëîã³ñò³êà», 2008
Äîäàòîê À
Áàëàíñîâ³ çâ³òè ÏÏ “Ìîíîëèò Ïëàñò” çà 2005 - 2007 ðîêè


Äîäàòîê Á
Çâ³òè ïðî ô³íàíñîâ³ ðåçóëüòàòè ÏÏ “Ìîíîëèò Ïëàñò» çà 2005 - 2007 ðîêè

Äîäàòîê Â
Îñíîâí³ âèäè ïëàñòèêîâî¿ ñàíòåõí³÷íî¿ ïðîäóêö³¿




Äîäàòîê Ä
Àëãîðèòìè ðîçðàõóíêó ïîêàçíèê³â ô³íàíñîâîãî ñòàíó ï³äïðèºìñòâà
Òàáëèöÿ Ä.1
Àëãîðèòìè ðîçðàõóíêó ïîêàçíèê³â ðåíòàáåëüíîñò³
| ¹ ï/ï |
Ïîêàçíèê |
Óìîâí. ïîç-íÿ |
Ôîðìóëà äëÿ ðîçðàõóíêó |
Äæåðåëà ³íôîðìàö³¿ ç ôîðì ô³íçâ³òíîñò³ |
| ÏÎÊÀÇÍÈÊÈ ÐÅÍÒÀÁÅËÜÍÎÑÒ² |
| 1 |
Ðåíòàáåëüí³ñòü àêòèâ³â çà ïðèáóòêîì â³ä çâè÷àéíî¿ ä³ÿëüíîñò³ |
Rçâ |
Ïðèáóòîê â³ä çâè÷àéíî¿ ä³ÿëüíîñò³ / Âàëþòà àêòèâ³â |
Ôîðìà 2(190) / Ôîðìà1 (280) |
| 2 |
Ðåíòàáåëüí³ñòü êàï³òàëó (àêòèâ³â) çà ÷èñòèì ïðèáóòêîì |
Rà |
×èñòèé Ïðèáóòîê / Âàëþòà àêòèâ³â |
Ôîðìà 2(220) / Ôîðìà1 (280) |
| 3 |
Ðåíòàáåëüí³ñòü âëàñíîãî êàï³òàëó |
Râê |
×èñòèé Ïðèáóòîê / Âëàñíèé êàï³òàë |
Ôîðìà 2(220) / Ôîðìà1 (380) |
| 4 |
Ðåíòàáåëüí³ñòü âèðîáíè÷èõ ôîíä³â |
Râô |
×èñòèé Ïðèáóòîê / Âèðîáíè÷³ ôîíäè |
Ôîðìà 2(220) /Ôîð-ìà1 (030+100+120) |
| 5 |
Ðåíòàáåëüí³ñòü ðåàë³çî-âàíî¿ ïðîäóêö³¿ çà ïðèáóòêîì â³ä ðåàë³çàö³¿ |
Rq |
Ïðèáóòîê â³ä ðåàë³çàö³¿ / Âèðó÷êà |
Ôîðìà 2(050-070-080) /Ôîðìà 2 (035) |
| 6 |
Ðåíòàáåëüí³ñòü ðåàë³çîâàíî¿ ïðîäóêö³¿ çà ïðèáóòêîì â³ä îïåðàö³éíî¿ ä³ÿëüíîñò³ |
Rqîï |
Ïðèáóòîê â³ä îïåðàö³éíî¿ ä³ÿëüíîñò³ / Âèðó÷êà |
Ôîðìà 2(100) / Ôîðìà 2 (035) |
| 7 |
Ðåíòàáåëüí³ñòü ðåàë. ïðîäóêö³¿ çà ïðèáóòêîì |
Rq÷ |
×èñòèé ïðèáóòîê / Âèðó÷êà |
Ôîðìà 2(220) / Ôîðìà 2 (035) |
| .8 |
Êîåô³ö³ºíò ñò³éêîñò³ åêîíîì³÷íîãî çðîñòàííÿ |
Êñåç |
Ðå³íâåñòîâàíèé ïðèáóòîê / Âëàñíèé êàï³òàë |
(Ôîðìà 2(220) –[Ô2( 335)* Ô.2(220)/100]) /Ôîðìà 1 (380) |
| 9 |
Êîåô³ö³ºíò ðå³íâåñòóâàííÿ |
Êð |
Ðå³íâåñòîâàíèé ïðèáóòîê / ×èñòèé ïðèáóòîê |
(Ôîðìà 2(220) –[Ô2( 335)* Ô.2(220)/100]) /Ôîðìà 2 (220) |
| 10 |
Ïåð³îä îêóïíîñò³ êàï³òàëó |
Òê |
Àêòèâè/×èñòèé ïðèáóòîê |
Ôîðìà 1(280) / Ôîðìà 2 (220) |
| 11 |
Ïåð³îä îêóïíîñò³ âëàñíîãî êàï³òàëó |
Òâê |
Âëàñíèé êàï³òàë / ×èñòèé ïðèáóòîê |
Ôîðìà 1(380) / Ôîðìà 2 (220) |
*Ô.2(335) – ÷àñòêà ïðèáóòêó, ðîçïîä³ëåíà íà âèäà÷ó äèâ³äåíä³â
Òàáëèöÿ Ä.2
Àëãîðèòìè ðîçðàõóíêó ïîêàçíèê³â ä³ëîâî¿ àêòèâíîñò³
| ¹ ï/ï |
Ïîêàçíèê |
Óìîâíå ïîçíà÷åííÿ |
Ôîðìóëà äëÿ ðîçðàõóíêó |
Äæåðåëà ³íôîðìàö³¿ ç ôîðì ô³íçâ³òíîñò³ |
| ÏÎÊÀÇÍÈÊÈ Ä²ËÎÂί ÀÊÒÈÂÍÎÑÒ² |
| 1 |
Êîåô³ö³ºíò òðàíñôîðìàö³¿ |
Êò |
×èñòà âèðó÷êà â³ä ðåàë³çàö³¿ / Âàëþòà àêòèâ³â |
Ôîðìà 2(035) /Ôîðìà1 (280) |
| 2 |
Ôîíäîâ³ääà÷à |
Ôîô |
×èñòà âèðó÷êà â³ä ðåàë³çàö³¿ / Îñíîâí³ âèðîáíè÷³ ôîíäè |
Ôîðìà 2(035) /Ôîðìà1 (030) |
| 3 |
Êîåô³ö³ºíò îáîðîòíîñò³ îá³ãîâèõ êîøò³â (îáîðîòè) |
Êî |
×èñòà âèðó÷êà â³ä ðåàë³çàö³¿ / Îá³ãîâ³ êîøòè |
Ôîðìà 2(035) /Ôîðìà1 (260+270) |
| 4 |
Ïåð³îä îäíîãî îáîðîòó îá³ãîâèõ êîøò³â (äí³â) |
×î |
365/ Êî |
365 / Êî |
| 5 |
Êîåô³ö³ºíò îáîðîòíîñò³ çàïàñ³â ( îáîðîòè) |
Êîç |
Ñîá³âàðò³ñòü ðåàë³çàö³¿ / Ñåðåäí³ çàïàñè |
Ôîðìà 2(040) /Ôîðìà1 (100+120+130+140 +150) |
| 6 |
Ïåð³îä îäíîãî îáîðîòó çàïàñ³â(äí³â) |
×ç |
365 / Êîç |
365 / Êîç |
| 7 |
Êîåô³ö³ºíò îáîðîòíîñò³ äåá³òîðñüêî¿ çàáîðãî-âàíîñò³(îáîðîòè) |
Êäç |
×èñòà âèðó÷êà â³ä ðåàë³çàö³¿ / Ñåðåäíÿ äåá³òîðñüêà çàáîðãîâàí³ñòü |
Ôîðìà 2(035) /Ôîðìà1 (050+170+180+190+200+210) |
| 8 |
Ïåð³îä ïîãàøåííÿ äåá³òîðñüêî¿ çàáîðãîâàíîñò³ (äí³â) |
×äç |
365 / Êäç |
365 / Êäç |
| 9 |
Êîåô³ö³ºíò îáîðîòíîñò³ ãîòîâî¿ ïðîäóêö³¿ |
Êãï |
×èñòà âèðó÷êà â³ä ðåàë³çàö³¿ / Ãîòîâà ïðîäóêö³ÿ |
Ôîðìà 2(035) /Ôîðìà1 (130) |
| 10 |
Ïåð³îä ïîãàøåííÿ êðåäèòîðñüêî¿ çàáîðãîâàíîñò³ (äí³â) |
×êç |
Ñåðåäíÿ êðåäèòîðñüêà çàáîðãîâàí³ñòü *360/ Ñîá³âàðò³ñòü ðåàë³çàö³¿ |
Ôîðìà 1(500+520+530 +550+580) /Ôîðìà 2 (040) |
| 11 |
Ïåð³îä ô³íàíñîâîãî öèêëó (äí³â) - ïåð³îä îáîðîòó êîøò³â |
×ôö |
×ôö= ×îö - ×êç |
×ôö= ×îö – ×êç |
| 12 |
Êîåô³ö³ºíò îáîðîòíîñò³ âëàñíîãî êàï³òàëó(îáîðîòí³ñòü) |
Êâê |
×èñòà âèðó÷êà â³ä ðåàë³çàö³¿ / Âëàñíèé êàï³òàë |
Ôîðìà 2(035) /Ôîðìà1 (380+430+630) |
Òàáëèöÿ Ä.3
Àëãîðèòìè ðîçðàõóíêó ïîêàçíèê³â ìàéíîâîãî ñòàíó
| ¹ ï/ï |
Ïîêàçíèê |
Óìîâíå ïîçíà÷åííÿ |
Ôîðìóëà äëÿ ðîçðàõóíêó |
Äæåðåëà ³íôîðìàö³¿ ç ôîðì ô³í çâ³òíîñò³ |
| ÏÎÊÀÇÍÈÊÈ ÌÀÉÍÎÂÎÃÎ ÑÒÀÍÓ |
| 1. |
×àñòêà îáîðîòíèõ âèðîáíè÷èõ ôîíä³â â îá³ãîâèõ êîøòàõ |
× îâô |
Îáîðîòí³ âèðîáíè÷³ ôîíäè/ Îáîðîòí³ àêòèâè |
Ôîðìà 1 (100+120+270) /Ôîðìà1 (260+270) |
| 2 |
×àñòêà îñíîâíèõ çàñîá³â â àêòèâàõ |
× îç |
Çàëèøêîâà âàðò³ñòü îñíîâíèõ çàñîá³â / Âàëþòà àêòèâ³â |
Ôîðìà 1(030) / Ôîðìà1 (280) |
| 3 |
Êîåô³ö³ºíò çíîñó îñíîâíèõ çàñîá³â |
Ê çí |
Çíîñ îñíîâíèõ çàñîá³â/ Ïåðâ³ñíà âàðò³ñòü îñíîâíèõ çàñîá³â |
Ôîðìà 1(032) / Ôîðìà1 (031) |
| 4 |
Êîåô³ö³ºíò îíîâëåííÿ îñíîâíèõ çàñîá³â |
Ê îí |
Çá³ëüøåííÿ çà çâ³òíèé ïåð³îä ïåðâ³ñíî¿ âàð-òîñò³ îñíîâíèõ çàñîá³â/ Ïåðâ³ñíó âàðò³ñòü îñíîâíèõ çàñîá³â |
Ôîðìà 1((031ê)-(031ï)) / Ôîðìà1 (031ï) |
| 5 |
×àñòêà äîâãîñòðîêîâèõ ô³íàíñîâèõ ³íâåñòèö³é â àêòèâàõ |
× äô |
Äîâãîñòðîêîâ³ ô³íàíñîâ³ ³íâåñòèö³¿ / âàëþòà àêòèâ³â |
Ôîðìà 1(040+045) /Ôîðìà1 (280) |
| 6 |
×àñòêà îáîðîòíèõ âèðîáíè÷èõ àêòèâ³â |
× îâà |
Îáîðîòí³ âèðîáíè÷³ ôîíäè/ Âàëþòà àêòèâ³â |
Ôîðìà 1(100+120+270) /Ôîðìà1 (280) |
| 7 |
Êîåô³ö³ºíò ìîá³ëüíîñò³ àêòèâ³â |
Ê ìîá |
Ìîá³ëüí³ àêòèâè / Íåìîá³ëüí³ àêòèâè |
Ôîðìà 1(260+270) /Ôîðìà1 (080) |
Òàáëèöÿ Ä.4
Àëãîðèòìè ðîçðàõóíêó ïîêàçíèê³â ô³íàíñîâî¿ ñò³éêîñò³
| Ïîêàçíèê |
Óìîâ. ïîçí. |
Ôîðìóëà äëÿ ðîçðàõóíêó |
Äæåðåëà ³íôîðìàö³¿ ç ôîðì ô³íçâ³òíîñò³ |
| ÏÎÊÀÇÍÈÊÈ Ô²ÍÀÍÑÎÂί ÑÒ²ÉÊÎÑÒ² |
| 1 |
Âëàñí³ îá³ãîâ³ êîøòè (ðîáî÷èé, ôóíêö³îíóþ÷èé êàï³òàë) |
Ðê |
Îáîðîòí³ àêòèâè – êîðîòêîñòðîêîâ³ çîáîâÿçàííÿ |
Ôîðìà 1(260+270-620-630) |
| 2 |
Êîåô³ö³ºíò çàáåçïå÷åííÿ îáîðîòíèõ àêòèâ³â âëàñíèìè êîøòàìè |
Êçâê |
Âëàñí³ îá³ãîâ³ êîøòè / îáîðîòí³ êîøòè |
Ôîðìà 1(380+430-080) /Ôîðìà1 (260+270) |
| 3 |
Ìàíåâðåí³ñòü ðîáî÷îãî êàï³òàëó |
Ìðê |
Çàïàñè / Ðîáî÷èé êàï³òàë |
Ôîðìà 1(100+120 +130+140+150) /Ôîðìà1 (260+270-620-630) |
| 4 |
Ìàíåâðåí³ñòü âëàñíèõ îá³ãîâèõ êîøò³â |
Ìâîê |
Ãðîøîâ³ Êîøòè / Âëàñí³ îá³ãîâ³ êîøòè |
Ôîðìà 1(230+240) /Ôîðìà1 (380+430-080) |
| 5 |
Êîåô³ö³ºíò çàáåçïå÷åííÿ âëàñíèìè îá³ãîâèìè êîøòàìè çàïàñ³â |
Êçàï |
Âëàñí³ îá³ãîâ³ êîøòè / Çàïàñè |
Ôîðìà 1(380+430-080) /Ôîðìà1 (100+120 +130+140+150) |
| 6 |
Êîåô³ö³ºíò ïîêðèòòÿ çàïàñ³â |
Êïç |
"Íîðìàëüí³" äæåðåëà ïîêðèòòÿ çàïàñ³â / Çàïàñè |
Ôîðìà 1(380+430 +480-080+500+520+530+540) /Ôîðìà1 (100+120 +130+140+150) |
| 7 |
Êîåô³ö³ºíò ô³íàíñîâî¿ íåçàëåæíîñò³ (àâòîíî쳿) |
Êàâò |
Âëàñíèé êàï³òàë / Âàëþòà Ïàñèâ³â áàëàíñó |
Ôîðìà 1(380+430+630) /Ôîðìà1 (640) |
| 8 |
Êîåô³ö³ºíò ìàíåâðåíîñò³ âëàñíîãî êàï³òàëó |
Êì |
Âëàñí³ îá³ãîâ³ êîøòè / Âëàñíèé êàï³òàë |
Ôîðìà 1(380+430+630-080) /Ôîðìà1 (380+430+630) |
| 9 |
Êîåô³ö³ºíò êîíöåíòðàö³¿ ïîçèêîâîãî êàï³òàëó |
Êïê |
Ïîçèêîâèé êàï³òàë/Âàëþòà ïàñèâ³â |
Ôîðìà 1(480+620) /Ôîðìà1 (640) |
| 10 |
Êîåô³ö³ºíò ô³íàíñîâî¿ ñòàá³ëüíîñò³ ( ô³íàíñóâàííÿ) |
Êôñ |
Âëàñí³ êîøòè / ïîçèêîâ³ êîøòè |
Ôîðìà 1(380+430+630) /Ôîðìà1 (480+620) |
| 12 |
Êîåô³ö³ºíò ô³íàíñîâî¿ ñò³éêîñò³ |
Êôñò |
Âëàñíèé êàï³òàë + äîâãîñòðîêîâ³ çîáîâ ' ÿçàííÿ / Âàëþòà ïàñèâ³â |
Ôîðìà 1(380+430+480 +630) /Ôîðìà1 (640) |
Äîäàòîê Å
Ðåçóëüòàòè ðîçðàõóíê³â ïîêàçíèê³â ô³íàíñîâîãî ñòàíó ÏÏ “Ìîíîëèò Ïëàñò " çà 2005 –2007 ðîêè
Òàáëèöÿ Å.1

Òàáëèöÿ Å.2

Òàáëèöÿ Å.3

|