Банк рефератов содержит более 364 тысяч рефератов, курсовых и дипломных работ, шпаргалок и докладов по различным дисциплинам: истории, психологии, экономике, менеджменту, философии, праву, экологии. А также изложения, сочинения по литературе, отчеты по практике, топики по английскому.
Реклама
Полнотекстовый поиск
Всего работ:
364139
Теги названий
Реклама
VisitTime.ru — сервис, который превращает запись в понятный и быстрый процесс.
📅 Вы создаёте расписание и правила приёма, а клиенты выбирают удобный слот онлайн, без ожидания и звонков.
🕒 В результате меньше путаницы, больше точных визитов и ровная загрузка на неделю вперёд.
💡 Подходит тем, кто оказывает услуги по времени: мастерам, студиям, кабинетам и небольшим командам.
Начать пользоваться сервисом



Разделы
Авиация и космонавтика (304)
Административное право (123)
Арбитражный процесс (23)
Архитектура (113)
Астрология (4)
Астрономия (4814)
Банковское дело (5227)
Безопасность жизнедеятельности (2616)
Биографии (3423)
Биология (4214)
Биология и химия (1518)
Биржевое дело (68)
Ботаника и сельское хоз-во (2836)
Бухгалтерский учет и аудит (8269)
Валютные отношения (50)
Ветеринария (50)
Военная кафедра (762)
ГДЗ (2)
География (5275)
Геодезия (30)
Геология (1222)
Геополитика (43)
Государство и право (20403)
Гражданское право и процесс (465)
Делопроизводство (19)
Деньги и кредит (108)
ЕГЭ (173)
Естествознание (96)
Журналистика (899)
ЗНО (54)
Зоология (34)
Издательское дело и полиграфия (476)
Инвестиции (106)
Иностранный язык (62791)
Информатика (3562)
Информатика, программирование (6444)
Исторические личности (2165)
История (21319)
История техники (766)
Кибернетика (64)
Коммуникации и связь (3145)
Компьютерные науки (60)
Косметология (17)
Краеведение и этнография (588)
Краткое содержание произведений (1000)
Криминалистика (106)
Криминология (48)
Криптология (3)
Кулинария (1167)
Культура и искусство (8485)
Культурология (537)
Литература : зарубежная (2044)
Литература и русский язык (11657)
Логика (532)
Логистика (21)
Маркетинг (7985)
Математика (3721)
Медицина, здоровье (10549)
Медицинские науки (88)
Международное публичное право (58)
Международное частное право (36)
Международные отношения (2257)
Менеджмент (12491)
Металлургия (91)
Москвоведение (797)
Музыка (1338)
Муниципальное право (24)
Налоги, налогообложение (214)
Наука и техника (1141)
Начертательная геометрия (3)
Оккультизм и уфология (8)
Остальные рефераты (21692)
Педагогика (7850)
Политология (3801)
Право (682)
Право, юриспруденция (2881)
Предпринимательство (475)
Прикладные науки (1)
Промышленность, производство (7100)
Психология (8692)
психология, педагогика (4121)
Радиоэлектроника (443)
Реклама (952)
Религия и мифология (2967)
Риторика (23)
Сексология (748)
Социология (4876)
Статистика (95)
Страхование (107)
Строительные науки (7)
Строительство (2004)
Схемотехника (15)
Таможенная система (663)
Теория государства и права (240)
Теория организации (39)
Теплотехника (25)
Технология (624)
Товароведение (16)
Транспорт (2652)
Трудовое право (136)
Туризм (90)
Уголовное право и процесс (406)
Управление (95)
Управленческие науки (24)
Физика (3462)
Физкультура и спорт (4482)
Философия (7216)
Финансовые науки (4592)
Финансы (5386)
Фотография (3)
Химия (2244)
Хозяйственное право (23)
Цифровые устройства (29)
Экологическое право (35)
Экология (4517)
Экономика (20644)
Экономико-математическое моделирование (666)
Экономическая география (119)
Экономическая теория (2573)
Этика (889)
Юриспруденция (288)
Языковедение (148)
Языкознание, филология (1140)

Дипломная работа: Оценка стоимости предприятия (бизнеса) ООО "Бенотех"

Название: Оценка стоимости предприятия (бизнеса) ООО "Бенотех"
Раздел: Рефераты по экономике
Тип: дипломная работа Добавлен 15:25:35 13 декабря 2010 Похожие работы
Просмотров: 8441 Комментариев: 16 Оценило: 4 человек Средний балл: 4.5 Оценка: неизвестно     Скачать

Оглавление

Введение

1. Теоретические основы оценки стоимости предприятия (бизнеса)

1.1 Правовое регулирование оценочной деятельности в РФ

1.2 Понятие и основные цели оценки стоимости предприятия

1.3 Этапы процесса оценки стоимости предприятия

1.4 Общая характеристика подходов в оценке бизнеса

2. Анализ подходов в оценке бизнеса

2.1 Доходный подход в оценке бизнеса

2.2Сравнительный подход в оценке бизнеса

2.3 Затратный подход в оценке бизнеса

Глава 3. Оценка рыночной стоимости предприятия (бизнеса) ООО "Бенотех"

3.1 Краткая характеристика предприятия

3.2 Расчет рыночной стоимости предприятия

3.2.1 Расчет рыночной стоимости затратным подходом

3.2.2 Определение рыночной стоимости доходным подходом

3.3 Согласование результатов и выводы по величине рыночной стоимости предприятия

Заключение

Список использованных источников

Приложения


Введение

Актуальность выбранной темы обусловлена тем, что по мере развития рыночных отношений потребность в оценке бизнеса постоянно возрастает. Оценка бизнеса позволяет оценить рыночную стоимость собственного (уставного) капитала закрытых предприятий или открытых акционерных обществ с недостаточно ликвидными акциями. В соответствии с Федеральным законом РФ "Об акционерных обществах" от 26.12.1995 № 208-ФЗ в ряде случаев должна проводиться оценка рыночной стоимости акционерного капитала независимыми оценщиками. Например, эта процедура предусмотрена при дополнительной эмиссии, выкупе акций и т.д.

Возрастает потребность в оценке бизнеса при инвестировании, кредитовании, страховании, исчислении налогооблагаемой базы.

Оценка бизнеса необходима для выбора обоснованного направления реструктуризации предприятия. В процессе оценки бизнеса выявляются возможные подходы к управлению предприятием и определяется, какой из них обеспечит предприятию максимальную эффективность, а, следовательно, и более высокую рыночную цену, что и выступает основной целью собственников и задачей менеджеров фирм в рыночной экономике.

Целью дипломной работы является анализ методики оценки стоимости предприятия (бизнеса) ООО "Бенотех".

Для решения поставленной цели необходимо решить ряд задач:

1. Рассмотреть и обобщить теоретические основы оценки стоимости предприятия.

Реклама

2. Изучить научно-практического инструментария оценки бизнеса.

3. Провести оценку предприятия (бизнеса) ООО "Бенотех".

Объектом исследования в дипломной работе является ООО "Бенотех"

В качестве предмета проводимого исследования выступает рыночная стоимость предприятия ООО "Бенотех".

Правовой базой исследования выпускной квалификационной работы выступали следующие нормативно-правовые акты:

- Гражданский кодекс Российской Федерации (части первая, вторая и третья) (с изменениями от 20 февраля, 12 августа 1996 г., 24 октября 1997 г., 8 июля, 17 декабря 1999 г., 16 апреля, 15 мая 2001 г., 21 марта, 14, 26 ноября 2002 г., 10 января, 26 марта, 11 ноября, 23 декабря 2003 г.);

- Федеральный закон №135-ФЗ "Об оценочной деятельности в Российской Федерации" от 29 июля 1998г;

- Федеральные стандарты оценки: ФСО № 1, ФСО № 2, ФСО № 3, утвержденные приказами: Министерства экономического развития и торговли Российской Федерации (Минэкономразвития России) от 20 июля 2007 г. № 256, № 255, № 254

Теоретической и методологической основой дипломной работы послужили труды следующих авторов: Р. Брейли и С. Майерса, А. Дамодарана, Т. Коупленда, Т. Колера, Дж. Муррина, В.Ф. Шарпа, Г.Дж. Александра, Дж.В. Бэйли, Ф.М. Шерера, Д. Росса, П.Л. Виленского, А.Г. Грязновой, И.А. Егерева, В.Н. Лившица, С.А. Смоляка, ЮВ. Козыря.


1. Теоретические основы оценки стоимости предприятия (бизнеса)

1.1 Правовое регулирование оценочной деятельности в РФ

Федеральный закон от 29.07.1998 № 135-ФЗ "Об оценочной деятельности в Российской Федерации" определяет правовые основы регулирования оценочной деятельности в Российской Федерации. До принятия данного Закона оценочная деятельность регулировалась большим количеством достаточно противоречивых законов и подзаконных нормативных актов не прямого действия.

Оценочная деятельность регулируется также иными федеральными законами, которые, так или иначе, касаются вопроса оценочной деятельности. В качестве примера таких законов можно привести Федеральные законы "Об обществах с ограниченной ответственностью", "Об акционерных обществах", "О рынке ценных бумаг", "О саморегулируемых организациях" и многие другие.

Помимо федеральных законов и международных договоров к нормативным правовым актам Российской Федерации в соответствии со ст. 3 ГК РФ относятся также:

Конституция Российской Федерации;

Указы Президента Российской Федерации, которые не должны противоречить ГК РФ и другим законам России;

Реклама

Постановления Правительства Российской Федерации, принимаемые во исполнение Гражданского кодекса и иных законов России, указов Президента России;

Акты министерства и иных федеральных органов исполнительной власти, содержащие нормы гражданского права, в случаях и пределах, предусмотренных ГК РФ, другими законами и иными правовыми актами.

Регулирование оценочной деятельности осуществляется также нормативными правовыми актами, издаваемыми федеральными органами исполнительной власти, прежде всего федеральными органами исполнительной власти, уполномоченными Правительством РФ на осуществление надзора и нормативно-правового регулирования оценочной деятельности и деятельности СРОО (соответственно Минэкономразвития России). К числу таких актов относятся и утвержденные уполномоченным федеральным органом, осуществляющим функции нормативно-правового регулирования оценочной деятельности, федеральные стандарты оценки, определяющие требования к порядку проведения оценки и осуществления оценочной деятельности, а также образовательные программы высшего профессионального, дополнительного профессионального образования и программы профессиональной переподготовки специалистов в области оценочной деятельности (см. комментарии к ст. 19, 20 Закона).

В ст. 3 ФЗ "Об оценочной деятельности в Российской Федерации" дается определение таких базовых понятий, как "оценочная деятельность" и "рыночная стоимость".

Под оценочной деятельностью понимается профессиональная деятельность субъектов оценочной деятельности, направленная на установление в отношении объектов оценки рыночной или иной стоимости.

Исходя из данного определения, можно выделить следующие характерные особенности оценочной деятельности:

1) оценочная деятельность является видом профессиональной деятельности;

2) оценочную деятельность вправе осуществлять лица, признанные субъектами оценочной деятельности;

3) целью оценочной деятельности является определение рыночной или иной стоимости объектов оценки.

Следует отметить, что первая особенность оценочной деятельности была закреплена в тексте комментируемого Закона только в редакции Федерального закона от 27.07.2006 № 157-ФЗ "О внесении изменений в Федеральный закон ""Об оценочной деятельности в Российской Федерации".

Оценочную деятельность вправе осуществлять лица, признанные в соответствии с Федеральным законом субъектами оценочной деятельности. Понятия "субъект оценочной деятельности" и "оценщик" равнозначны.

Субъектами оценочной деятельности признаются физические лица, являющиеся членами одной из саморегулируемых организаций оценщиков и застраховавшие свою ответственность в соответствии с требованиями комментируемого Федерального закона.

Таким образом, Законом установлены следующие признаки субъекта оценочной деятельности:

- является физическим лицом;

- членство в саморегулируемой организаций оценщиков;

- ответственность данного лица застрахована в соответствии с требованиями ст. 24.7 Федерального закона "Об оценочной деятельности в Российской Федерации".

Ст. 5 Вышеупомянутого закона определяет примерный перечень объектов оценки, в который включены:

- вещи;

- совокупность вещей, в том числе имущественные комплексы;

- имущественные права;

- работы, услуги;

- информация;

- иные объекты гражданских прав, в отношении которых законодательством РФ установлена возможность их участия в гражданском обороте.

Между тем перечень объектов гражданских прав, определенный в ст. 128 ГК РФ, является более широким по сравнению с перечнем объектов оценки:

- вещи, включая деньги и ценные бумаги, иное имущество, в том числе имущественные права;

- работы и услуги;

- охраняемые результаты интеллектуальной деятельности и приравненные к ним средства индивидуализации (интеллектуальная собственность);

- нематериальные блага.

В соответствии с п. 3 Федерального стандарта оценки "Общие понятия оценки, подходы и требования к проведению оценки (ФСО № 1)" к объектам оценки относятся объекты гражданских прав, в отношении которых законодательством Российской Федерации установлена возможность их участия в гражданском обороте, то есть объекты гражданских прав, не изъятые из оборота.

В соответствии со ст. 8 ГК РФ гражданские права возникают:

- из договоров и иных сделок, предусмотренных законом, а также не противоречащих ему;

- из соответствующих актов государственных органов и органов местного самоуправления;

- из решений судов различных инстанций;

- в результате приобретения имущества по основаниям, допускаемым законом;

- в результате создания произведений науки, литературы, искусства, изобретений и иных результатов интеллектуальной деятельности;

- вследствие иных действий граждан и юридических лиц;

- вследствие событий, с которыми закон или иной правовой акт связывает наступление гражданско-правовых последствий.

В отношении стандартов и правил оценочной деятельности, разрабатываемых и утверждаемых СРОО (см. комментарий к ст. 20 Закона), необходимо отметить следующее. Такие стандарты и правила оценочной деятельности не вполне соответствуют определению понятия нормативного правового акта, данному в п. 12 Постановления Пленума ВС России от 20 января 2003 г. № 2 "О некоторых вопросах, возникших в связи с принятием и введением в действие Гражданского процессуального кодекса Российской Федерации": под нормативным правовым актом понимается изданный в установленном порядке акт управомоченного на то органа государственной власти, органа местного самоуправления или должностного лица, устанавливающий правовые нормы (правила поведения), обязательные для неопределенного круга лиц, рассчитанные на неоднократное применение и действующие независимо от того, возникли или прекратились конкретные правоотношения, предусмотренные актом.

Во-первых, стандарты и правила оценочной деятельности разрабатываются и утверждаются СРОО, т.е. организациями, не наделенными публично-властными полномочиями.

Во-вторых, такие стандарты и правила обязательны к соблюдению только теми оценщиками, которые являются членами СРОО, утвердившей данные стандарты и правила (см. комментарий к ст. 15 Закона). В то же время стандартам и правилам оценочной деятельности СРОО присущи отдельные признаки нормативных правовых актов (они устанавливают обязательные для своих членов правила поведения, рассчитаны на неоднократное применение, действуют независимо от того, возникли или прекратились конкретные отношения, ими предусмотренные), что позволяет охарактеризовать их как локальные нормативные правовые акты.

1.2 Понятие и основные цели оценки стоимости предприятия

Особое место среди объектов оценки занимает бизнес (предприятие, организация, компания). При оценке бизнеса объектом выступает деятельность направленная на получение прибыли и осуществляемая на основе функционирования имущественного комплекса предприятия.

Предприятие, организация является объектом гражданских прав (ст. 132 ГК РФ), вступает в хозяйственный оборот, участвует в хозяйственных операциях. В результат возникает потребность в оценке его стоимости.

В состав имущественного комплекса предприятия входят все виды имущества, предназначенного для реализации его целей, для осуществления хозяйственной деятельности, для получения прибыли, в том числе недвижимость (земельные участки, здания, сооружения), машины, оборудования, транспортные средства, инвентарь, сырье, продукция, а также имущественные обязательства, ценные бумаги, нематериальные активы и объекты интеллектуальной собственности, в том числе фирменное наименования, знаки обслуживания, патенты, лицензии, ноу-хау, товарные знаки.

Поэтому при оценке бизнеса оценщик оценивает предприятие в целом, определяя стоимость как его собственного капитала, так и отдельные части имущественного комплекса (активы и обязательства).

Стоимость бизнеса – объективный показатель результатов его функционирования. По сути, оценка стоимости бизнеса – это финансовый, организационный и технологический анализ текущей деятельности и перспектив предприятия.

Бизнес - это предпринимательская деятельность, направленная на производство и реализацию товаров, услуг, ценных бумаг, денег или других видов разрешенной законом деятельности с целью получения прибыли. Для достижения такой цели должно быть создано предприятие.

Предприятие - производственно-экономический и имущественный комплекс, используемый для осуществления предпринимательской деятельности. При осуществлении оценочной деятельности предприятие рассматривается как единое целое (товар), в состав которого входят все виды имущества, функционирующие в его организационно-правовых рамках при осуществлении предпринимательской деятельности, и право на это имущество. Предприятие рассматривается как юридическое лицо, самостоятельный хозяйствующий субъект, производящий продукцию (товары), оказывающий услуги и занимающийся различными видами коммерческой деятельности.

Оценка бизнеса является функцией (деятельностью), которую в разных ситуациях часто приходится осуществлять в рыночной экономике. Ею необходимо заниматься и при оценке подлежащего продаже предприятия-банкрота, и при определении того, на какую сумму нормально работающее открытое акционерное общество имеет право выпустить новые акции (на сумму, превышающую балансовую стоимость собственного капитала предприятия), и при исчислении цены, по которой любое акционерное общество (открытое либо закрытое) должно выкупать акции выходящих из него акционеров.

При этом не важно, о какой стране с рыночной экономикой идет речь. Это универсально и касается также России.

В подобном наиболее широком смысле предмет оценки бизнеса понимается двояко.

Первое его понимание сводится к традиционному сейчас в нашей стране пониманию оценки бизнеса как оценки фирмы в качестве юридического лица. При таком подходе характерно отождествление оценки бизнеса фирм с оценкой имущества этих фирм.

Второе - и наиболее распространенное в мире - понимание оценки бизнеса заключается в том, чтобы выяснить, сколько стоят не фирмы, зарабатывающие те или иные доходы, а права собственности, технологии, конкретные преимущества и активы, материальные и нематериальные, которые дают возможность зарабатывать данные доходы. Причем эти права, технологии и активы могут принадлежать не юридическим, а физическим лицам. Это не лишает такие права привлекательности в качестве объектов купли-продажи на рынке. Следовательно, актуальной остается проблема их оценки.

Бизнес - это конкретная деятельность, организованная в рамках определенной структуры. Владелец бизнеса имеет право продать его, заложить, застраховать, завещать. Таким образом, бизнес становится объектом сделки, обладающим всеми признаками товара. Но это товар особого рода [8, с. 289].

Во-первых, это товар инвестиционный, т.е. товар, вложения в который осуществляются с целью отдачи в будущем. Затраты и доходы разъединены во времени. Причем размер ожидаемой прибыли не известен, имеет вероятностный характер, поэтому инвестору приходится учитывать риск возможной неудачи. Если будущие доходы с учетом времени их получения оказываются меньше издержек на приобретение инвестиционного товара, он теряет свою инвестиционную привлекательность. Таким образом, текущая стоимость будущих доходов, которые может получить собственник, представляет собой верхний предел рыночной цены со стороны покупателя.

Во-вторых, бизнес является системой, но продаваться может как вся система в целом, так и отдельные ее подсистемы и даже элементы. В этом случае элементы бизнеса становится основой формирования иной, качественно новой системы, т.е. товаром становится уже не бизнес, а отдельные его составляющие [15, с. 178] .

В третьих, потребность в этом товаре зависит от процессов, которые происходят как внутри самого товара, так и во внешней среде. Причем, с одной стороны, нестабильность в обществе приводит бизнес к неустойчивости, с другой стороны, его неустойчивость ведет к дальнейшему нарастанию нестабильности и в самом обществе. Из этого вытекает ещё одна особенность бизнеса как товаро-потребность в регулировании купли-продажи.

В-четвертых, учитывая особое значение устойчивости бизнеса для стабильности в обществе, необходимо участие государства не только в регулировании механизма купли-продажи бизнеса, но и в формировании рыночных цен на бизнес, в его оценке.

Оценки бизнеса проводят в целях:

1. Повышения эффективности текущего управления предприятием, фирмой.

2. Определения стоимости ценных бумаг в случае купли-продажи акций предприятий на фондовом рынке. Для принятия обоснованного инвестиционного решения необходимо оценить собственность предприятия и долю этой собственности, приходящуюся на приобретаемый пакет акций, а также возможные будущие доходы от бизнеса.

3. Определения стоимости предприятия в случае его купли-продажи целиком или по частям. Часто бывает необходимо оценить предприятие для подписания договора, устанавливающего доли совладельцев в случае расторжения договора или смерти одного из партнеров[36, с. 178].

4. Реструктуризации предприятия. Предприятие рыночной оценки предполагается в случае ликвидации предприятия, слияния, поглощения либо выделения самостоятельных предприятий из состава холдинга.

5. Разработки плана развития предприятия. В процессе стратегического планирования важно оценить будущие доходы фирмы, степень ее устойчивости и ценность имиджа.

6. Определения кредитоспособности предприятия и стоимости залога при кредитовании.

7. Страхования, в процессе которого возникает необходимость определения стоимости активов в преддверии потерь.

8. Налогообложения.

9. Принятия обоснованных управленческих решений. Инфляция искажает финансовую отчетность предприятия, поэтому необходима периодическая переоценка имущества предприятия независимыми оценщиками.

10. Осуществления инвестиционного проекта развития бизнеса. В этом случае для его обоснования необходимо знать исходящую стоимость предприятия в целом, его собственного капитала, активов, бизнеса.

Если же объектом сделки купли-продажи, кредитования, страхования, аренды или лизинга, внесения пая является какой-либо элемент имущества предприятия, а также если определяется налог на имущество организации и т.п., то отдельно оценивается необходимый объект, например недвижимость, машины и оборудование.

Таким образом, обоснованность и достоверность оценки стоимости имущественного комплекса во многом зависит от того, насколько правильно определена область использования оценки: купля-продажа, получение кредита, страхование, налогообложения и т.д.

Федеральным стандартом оценки "Цель оценки и виды стоимости (ФСО № 2)", утвержденным Приказом МЭРТ России от 20 июля 2007 г. № 255, устанавливаются следующие виды стоимости объекта оценки:

- рыночная стоимость;

- инвестиционная стоимость;

- ликвидационная стоимость;

- кадастровая стоимость.

Под рыночной стоимостью объекта оценки (ст. 3 Федерального закона от 29 июля 2008 г. № 135-ФЗ "Об оценочной деятельности в Российской Федерации") понимается наиболее вероятная цена, по которой данный объект оценки может быть отчужден на открытом рынке в условиях конкуренции, когда стороны сделки действуют разумно, располагая всей необходимой информацией, а на величине цены сделки не отражаются какие-либо чрезвычайные обстоятельства, то есть когда:

- одна из сторон сделки не обязана отчуждать объект оценки, а другая сторона не обязана принимать исполнение;

- стороны сделки хорошо осведомлены о предмете сделки и действуют в своих интересах;

- объект оценки представлен на открытом рынке посредством публичной оферты, типичной для аналогичных объектов оценки;

- цена сделки представляет собой разумное вознаграждение за объект оценки и принуждения к совершению сделки в отношении сторон сделки с чьей-либо стороны не было;

- платеж за объект оценки выражен в денежной форме. Причем ст. 7 Федерального закона от 29 июля 1998 г. № 135-ФЗ "Об оценочной деятельности в Российской Федерации" к понятию рыночной стоимости приравниваются термины "действительная стоимость", "разумная стоимость", "эквивалентная стоимость", "реальная стоимость" и др.

При определении инвестиционной стоимости объекта оценки определяется стоимость для конкретного лица или группы лиц при установленных данным лицом (лицами) инвестиционных целях использования объекта оценки.

При определении инвестиционной стоимости, в отличие от определения рыночной стоимости, учет возможности отчуждения по инвестиционной стоимости на открытом рынке не обязателен.

При определении ликвидационной стоимости объекта оценки определяется расчетная величина, отражающая наиболее вероятную цену, по которой данный объект оценки может быть отчужден за срок экспозиции объекта оценки, меньший типичного срока экспозиции для рыночных условий, в условиях, когда продавец вынужден совершить сделку по отчуждению имущества.

При определении ликвидационной стоимости, в отличие от определения рыночной стоимости, учитывается влияние чрезвычайных обстоятельств, вынуждающих продавца продавать объект оценки на условиях, не соответствующих рыночным.

При определении кадастровой стоимости объекта оценки определяется методами массовой оценки рыночная стоимость, установленная и утвержденная в соответствии с законодательством, регулирующим проведение кадастровой оценки.

Кадастровая стоимость определяется оценщиком, в частности, для целей налогообложения.

Федеральным стандартом оценки "Цель оценки и виды стоимости (ФСО № 2)" и Федеральным законом от 29 июля 2008 г. № 135-ФЗ "Об оценочной деятельности в Российской Федерации" перечень видов стоимости закрыт. Однако отмечено, что в различных нормативно-правовых документах, подзаконных актах, в том числе утративших силу, научной литературе, бытовом обиходе используются и иные виды стоимости.

1.3 Этапы процесса оценки стоимости предприятия

Оценка стоимости предприятия - сложный и трудоемкий процесс, состоящий из следующих стадий:

а) заключение договора на проведение оценки, включающего задание на оценку;

б) сбор и анализ информации, необходимой для проведения оценки;

в) применение подходов к оценке, включая выбор методов оценки и осуществление необходимых расчетов;

г) согласование (обобщение) результатов применения подходов к оценке и определение итоговой величины стоимости объекта оценки;

д) составление отчета об оценке.

Каждая стадия в свою очередь состоит из нескольких этапов: идентификация предприятия, выявление предмета оценки, определение даты оценки, формировка целей и функций оценки, определение вида стоимости, ознакомление заказчика с ограничительными условиями.

При идентификации предприятия указывается его полное и сокращенное название, организационно-правовая форма, место его регистрации, местоположение, отрасль производства, основные виды выпускаемой продукции и пр.

Предмет оценки - это вид имущественных прав, которые оцениваются: права собственности на предприятие, права на материальные активы предприятия, права на акционерный капитал акционерного общества, долю участника в уставном капитале предприятия, права на пакет акций предприятия или какой-либо интерес иной.

Определение даты оценки, или момента времени на который выполняется оценка. Это может быть дата продажи предприятия, дата его осмотра, дата судебного разбирательства, связанная с разделением имущественного комплекса, и другие случаи.

Определение цели оценки и вида стоимости - важный этап от которого зависит выбор методики проведения оценки. Например, методы, используемые для оценки предприятия в целях налогообложения, могут значительно отличаться от тех, которые применяются в целях его ликвидации.

Предварительный осмотр предприятия и заключение договора на оценку

Эта стадия состоит из следующих этапов: предварительный осмотр предприятия и знакомство с его администрацией, определение исходной информации и источников информации, определение состава группы экспертов-оценщиков, составление задания на оценку и календарного плана, подготовка и подписание договора на оценку.

Сбор и анализ информации

Данную стадию оценки можно разбить на следующие этапы: сбор и систематизация общих данных, сбор и анализ специальных данных, анализ наилучшего и наиболее эффективного использования.

Самый распространенный способ представления общих данных - это разбивка их на подразделы, касающиеся сектора рынка, на котором функционирует предприятие, вида продукции, цен на нее, местоположения предприятия (данные о городе, районе, где расположено предприятие), финансового и технико-экономического состояния оцениваемого предприятия и т.д. Преимущество данного способа представления собранных данных заключается в том, что, собрав и систематизировав информацию один раз, в дальнейшем ее можно использовать для проведения оценок других предприятий.

Кроме общих необходимо собрать ещё специальные данные, к которым можно отнести данные о предприятии и сопоставимых продажах. Данные о предприятии включают в себя информацию о документах, удостоверяющих право собственности, состав участников предприятия, их доли в уставном капитале, информацию об использовании земельного участка, зданий и сооружений, расположенных на этом участке, включая финансово-экономические и технические характеристики предприятия, физические характеристики зданий и сооружений и т.д.

В настоящее время в России рынок, связанный с оценочной деятельностью, развивается, поэтому сбор информации для оценки предприятия является наиболее трудоемкой частью всего процесса оценки.

Определив виды данных, необходимых для оценки, важно выявить источники их получения.

Анализ конъюнктуры рынка

Конъюнктура рынка (рыночная конъюнктура) - ситуация на рынке, сложившаяся на данный момент или за какой-то промежуток времени под воздействием совокупности условий [23, с. 78].

Постоянно действующие факторы конъюнктуры: - научно-технический процесс, влияние монополий, вмешательство государства, инфляция, сезонность и др. Непостоянные (стихийные) факторы конъюнктуры: социальные конфликты, стихийные бедствия, политические кризисы и др.

Важнейшим элементом методологии анализа и прогноза рыночной конъюнктуры является установление активности и характера действия циклических факторов, определение фазы цикла, сроков перехода цикла в следующую фазу и его динамики в перспективе. Цикличность рынка -постоянные краткосрочные и долгосрочные колебания рынка, связанные с глубинными экономическими и социальными процессами. Экономический цикл содержит фазы подъема, высокой конъюнктуры (бум), спада (рецессия) и низкого уровня экономической активности (депрессия). Подобный цикл длится от 3 до 5 лет.

Изучение конъюнктуры осуществляется с помощью показателей, позволяющих количественно оценить происходящие на рынке изменения и определить тенденции в развитии конъюнктуры, т.е. составить прогноз.

В число этих показателей входят:

Данные о промышленном производстве: валовой внутренний продукт, индекс физического объема промышленной продукции, использование производственных мощностей, индекс цен производителей, расходы на капитальное строительство, заказы на товары длительного пользования и прочие товары, уровень безработицы. Данные о промышленном производстве дают возможность судить о конкурентоспособности той или иной страны на мировом рынке или той или иной отрасли промышленного производства.

Динамика капиталовложений. Анализ динамики капиталовложений позволяет сделать вывод о том, как в дальнейшем будет развиваться производство. Если объем инвестиций в ту или иную отрасль увеличивается, значит спрос на ее продукцию находится на высоком уровне, поступление заказов растет и производство, скорее всего будет расширяться. И наоборот, если капиталовложения сокращаются – спрос снижается, что может привести к свертыванию производства.

Сведения о заказах — показатель, позволяющий оценить загрузку производственных мощностей на перспективу.

Показатели по труду (средняя продолжительность рабочей недели, уровень безработицы, фонд заработной платы.

Показатели внутреннего товарооборота (обороты) розничной торговли, индексы стоимости жизни, данные о движении товарных запасов, размеры продаж в кредит, информация о внутренних перевозках грузов и т.д.). Данные показатели особенно важны при изучении конъюнктуры рынков товаров потребительского назначения. Обороты розничной торговли являются одним из важнейших конъюнктурных показателей, дающих возможность оценить изменения в платежеспособном спросе населения.

Показатели внешней торговли (объем и географическое распределение экспорта и импорта, дефицит торгового баланса). Практически все изменения, которые претерпевает экономика страны в ходе цикла воспроизводства, находят отражение в динамике и структуре внешней торговли. Рост промышленного производства сопровождается увеличением внешнеторговых оборотов, а за кризисным спадом в сфере производства следует сокращение внешней торговли.

Данные, характеризующие положение в кредитно-денежной сфере (эмиссия ценных бумаг, курс акций, учетный процент, валютный курс, количество денег в обращении, показатели движения банковских депозитов и т.д.).

Цены (средние цены по товарным группам, индекс цен производства, индекс потребительских цен, индекс-дефлятор).

Цены являются одним из важнейших показателей, в динамике и колебаниях которого отражаются изменения многих других данных. Анализ движения товарных цен необходим как для полной характеристики состояния экономики в целом, так и при изучении положения конъюнктуры на каком-либо товарном рынке.

Этапы процесса оценки бизнеса

В процессе оценки стоимости бизнеса можно выделить три основных этапа (и семь более мелких):

1. Подготовительный этап.

2. Оценочный этап.

3. Заключительный этап.

Подготовительный этап

1. Выбор вида стоимости и методов оценки.

Первым этапом проведения оценки бизнеса является определение искомой стоимости в соответствии с существующими видом стоимости бизнеса. Затем, когда определен необходимый видов стоимости бизнеса, определяются необходимые для оценки компании методы, наиболее подходящие в данном конкретном случае.

2. Подготовка информации для проведения оценки.

В соответствии с определенными методами оценки определяется набор и объем необходимой информации. Информация может черпаться из нескольких источников, как то: оцениваемая компания, фондовый рынок, различная статистическая информация, маркетинговые исследования и т.д.

При проведении оценки бизнеса необходимо использовать ретроспективную учетную информацию (бухгалтерскую отчетность) и текущие финансово-экономические показатели компании. Время учета используемых данных и момент оценки между собой не согласованы. Расхождение данных во времени создает условия для появления в них различного рода искажений. Среди них можно назвать: изменение стандартов учета исходных данных, деноминация денежных единиц, колебания курса валют, структурные изменения цен и др. Эти несоответствия порождают проблему корректировки всей используемой финансовой и бухгалтерской отчетности с целью приведения их к общему временному эталону, в роли которого выступает момент оценки.

3. Приведение финансовой отчетности к единой основе.

В пределах государственной системы бухгалтерского учета компания всегда имеет свободу выбора методов ведения бухгалтерского учета. Этот выбор закрепляется в приказе "Об учетной политике предприятия" сроком на один год и может изменяться в течение ряда лет. Принцип составления бухгалтерской отчетности не требует отражения реальной рыночной стоимости тех или иных активов предприятия. В такой ситуации компании предпочитают использовать те методы ведения бухгалтерского учета, которые позволят минимизировать налоги.

Оценка бизнеса требует получения стандартизированных данных, отражающих реальное рыночное и экономическое положение фирмы. Вследствие этого используемую бухгалтерскую отчетность компании необходимо привести к единому стандарту учета.

4. Корректировка используемой информации на инфляцию.

Оценка предприятия должна базироваться на реальных (очищенных от влияния инфляции) значениях используемых показателей. В условиях значительного изменения цен учетные значения стоимостных показателей существенно отличаются от их реальных значений. Таким образом, использование учетных данных требует их корректировки с учетом динамики цен, т.е. инфляции (или дефляции) и структурного изменения цен. Однако в современных условиях экономики РФ основным является искажающее влияние инфляции.

В теории финансового менеджмента существуют два альтернативных пути корректировки (очищения) показателей на влияние инфляции:

- прямая корректировка активов и денежных сумм на значения инфляционных показателей;

- учет влияния инфляции на активы и денежные суммы посредством включения в процедуру дисконтирования инфляционных показателей.

Различия в значении итоговых показателей при использовании указанных подходов являются незначительно мелкими в промышленно развитых странах с устоявшимся рынком и нормальным темпом инфляции. В странах с большими темпами инфляции или гиперинфляцией появляются различия в значениях итоговых показателей в зависимости от выбора того или иного подхода корректировки на инфляцию. При проведении оценки в РФ предпочтительнее использование методов, основанных на прямой корректировке денежных сумм на значения инфляционных показателей.

5. Оценка финансового положения компании

В процессе оценки бизнеса возникает необходимость предварительной проверки его финансового положения. Такая проверка позволяет получить важные справочные сведения об оцениваемой компании и выполнить расчет значений корректировочных показателей, необходимых для нахождения конечной стоимости бизнеса.

Для оценки финансового положения компании необходимо выбрать модель, позволяющую:

- учитывать выбранную модель корректировки показателей на влияние инфляции;

- отражать финансовое положение компании на момент оценки;

- установить соответствие финансового состояния требованиям экономической безопасности компании;

- определить излишек (дефицит) оборотного капитала компании.

Методика оценка финансового положения компании для целей оценки бизнеса может быть основана на одном из трех основных подходов.

Первый подход предполагает организацию дифференцированного учета всех долговых обязательств по срокам их погашения. Параллельно устанавливается интенсивность будущих денежных поступлений и проверяется их достаточность на отдельные моменты времени. Такой подход основан на использовании первичной информации по финансовым потокам. Систематизация этих сведений весьма трудоемка и реально осуществима только в компаниях, ведущих управление финансовыми потоками.

Второй подход основан на использовании специального баланса ликвидности, который позволяет устанавливать финансовое положение компании. При составлении баланса ликвидности все статьи бухгалтерского баланса перегруппировываются в зависимости от скорости их оборота. Сопоставляя части активов, реализуемых к определенному сроку, с частями пассивов, которые к этому же сроку должны быть оплачены (погашены), устанавливается величина платежного излишка или платежного дефицита на определенный момент.

Третий подход основан на использовании показателей, вычисляемых на основе сравнения объема отдельных средств и источников, сложившихся по состоянию на конкретный момент времени. Это могут быть показатели ликвидности, показатели финансовой зависимости или автономии, показатели финансовой устойчивости и т.д.. Практическое использование любого варианта показателей связано с установлением критического уровня, позволяющего классифицировать финансовое положение предприятия с точки зрения платежеспособности. Поскольку показатели служат лишь индикаторами и не позволяют прямо устанавливать степень платежеспособности, то этот метод не гарантирован от отсутствия ошибок. Однако в большинстве случаев он позволяет получить правильный диагноз истинного финансового положения предприятия, имеющий достаточную точность для его включения в последующую процедуру оценки предприятия. Также к достоинствам этого метода следует отнести высокую степень формализованности.

6. Оценка рисков компании

Для целей оценки бизнеса риск следует определить как степень неопределенности, связанной с получением ожидаемых в будущем доходов, иными словами, это опасность недостижения (отклонения) планируемого объема ожидаемых будущих доходов или риск нереализации прогноза.

При определенном уровне ожидаемых будущих доходов рынок заплатит за бизнес больше в том случае, если вероятность этих доходов выше. Другими словами, при определенном уровне ожидаемой будущей прибыли (или денежного потока, дивидендов и т.п.) чем ниже риск, тем выше текущая стоимость бизнеса.

Существует два подхода к трактовке элементов риска при проведении оценки:

- проведение понижающей корректировки ожидаемого будущего потока (прибыли, денежного потока, дивидендов и т.п.) с тем, чтобы отразить эту неопределенность;

- учет риска путем использования более высокой ставки дисконта при оценке ожидаемого потока с тем, чтобы отразить требуемую доходность как вознаграждение за риск.

7. Оценочный этап.

Проводится выполнение необходимых расчетных процедур, предусмотренных избранными методами оценки бизнеса

8. Заключительный этап.

Вынесение итоговых поправок.

В любом случае, вне зависимости от того, предпринимается ли попытка составить прогноз на будущее, или же за основу берутся ретроспективные данные, оценка бизнеса опирается на ряд ключевых переменных. Их относительная важность может быть различной в зависимости от конкретной ситуации, но во многих случаях на заключение о стоимости влияет такие внутренние переменные как:

- размер оцениваемой доли (мажоритарная или миноритарная);

- наличие голосующих прав;

- ликвидность компании (пакета);

- положения, ограничивающие права собственности;

- специальные привилегии;

- финансовое положение оцениваемого объекта;

- и др.

Более того, следует учесть, что сумма стоимостей всех отдельных пакетов акций может отличаться от стоимости предприятия, взятого как целое. В большинстве случаев сумма стоимостей отдельных пакетов меньше стоимости всего бизнеса, как если бы оно было приобретено одним покупателем. Компания, оцениваемая как единое целое, имеет иную стоимость, поскольку последняя сопряжена с иными правами и интересами, чем сумма всех интересов, взятых на миноритарной основе.

9. Составление отчета об оценке бизнеса

Составление отчета об оценке бизнеса регулируется Федеральным стандартом оценки № 3.

При составлении отчета об оценке оценщик должен придерживаться следующих принципов:

- в отчете должна быть изложена вся информация, существенная с точки зрения стоимости объекта оценки (принцип существенности);

- информация, приведенная в отчете об оценке, использованная или полученная в результате расчетов при проведении оценки, существенная с точки зрения стоимости объекта оценки, должна быть подтверждена (принцип обоснованности);

- содержание отчета об оценке не должно вводить в заблуждение пользователей отчета об оценке, а также допускать неоднозначного толкования (принцип однозначности);

- состав и последовательность представленных в отчете об оценке материалов и описание процесса оценки должны позволить полностью воспроизвести расчет стоимости и привести его к аналогичным результатам (принцип проверяемости);

- отчет об оценке не должен содержать информацию, не использующуюся при проведении оценки при определении промежуточных и итоговых результатов, если она не является обязательной согласно требованиям федеральных стандартов оценки и стандартов и правил оценочной деятельности, установленных саморегулируемой организацией, членом которой является оценщик, подготовивший отчет (принцип достаточности).

Копия отчета об оценке должна храниться оценщиком с даты составления отчета в течение общего срока исковой давности, установленного законодательством Российской Федерации.

Отчет об оценке должен быть пронумерован постранично, прошит, подписан оценщиком или оценщиками, которые провели оценку, а также скреплен личной печатью оценщика, осуществляющего оценочную деятельность самостоятельно, занимаясь частной практикой, или печатью и подписью руководителя юридического лица, с которым оценщик или оценщики заключили трудовой договор.

Требования к составлению отчета об оценке, проводимой для специальных целей и отдельных видов объектов оценки, могут дополнять требования настоящего федерального стандарта оценки и устанавливаются соответствующими федеральными стандартами оценки отдельных видов объектов оценки либо оценки для специальных целей.

1.4 Общая характеристика подходов в оценке бизнеса

Подход к оценке представляет собой совокупность методов оценки, объединенных общей методологией (п. 7 федерального стандарта оценки "Общие понятия оценки, подходы и требования к проведению оценки (ФСО № 1)", утв. Приказом МЭРТ России от 20 июля 2007 г. № 256).

В оценочной деятельности сегодня применяется три базовых подхода: доходный, сравнительный, затратный.

Согласно разделу III федерального стандарта оценки "Общие понятия оценки, подходы и требования к проведению оценки (ФСО № 1)", утв. Приказом МЭРТ России от 20 июля 2007 г. № 256:

1. Доходный подход - совокупность методов оценки стоимости объекта оценки, основанных на определении ожидаемых доходов от использования объекта оценки.

2. Сравнительный подход - совокупность методов оценки стоимости объекта оценки, основанных на сравнении объекта оценки с объектами - аналогами объекта оценки, в отношении которых имеется информация о ценах. Объектом - аналогом объекта оценки для целей оценки признается объект, сходный с объектом оценки по основным экономическим, материальным, техническим и другим характеристикам, определяющим его стоимость.

3. Затратный подход - совокупность методов оценки стоимости объекта оценки, основанных на определении затрат, необходимых для воспроизводства либо замещения объекта оценки с учетом износа и устареваний. Затратами на воспроизводство объекта оценки являются затраты, необходимые для создания точной копии объекта оценки с использованием применявшихся при создании объекта оценки материалов и технологий. Затратами на замещение объекта оценки являются затраты, необходимые для создания аналогичного объекта с использованием материалов и технологий, применяющихся на дату оценки.

В зависимости от конкретной ситуации результаты каждого из трех подходов могут в большей или меньшей степени отличаться друг от друга. Выбор итоговой оценки стоимости зависит от назначения оценки, имеющейся информации и степени ее достоверности.

Рассмотрим поочередно все три подхода в оценочной деятельности применительно к оценке стоимости организации (действующего бизнеса).


2. Анализ подходов в оценке бизнеса

2.1 Доходный подход в оценке бизнеса

Данный подход основывается на предпосылке, что стоимость любого имущества зависит от величины дохода, который, как ожидается, оно принесет.

Доходный подход включает два основных приема. Согласно первому стоимость объекта рассчитывается на основе текущего ежегодного дохода от эксплуатации с помощью специальных коэффициентов, отражающих сложившуюся на рынке взаимосвязь между имущественными стоимостями и уровнем доходов. В соответствии со вторым приемом делается прогноз относительно эксплуатационного дохода на определенный период в будущем и вероятной цены продажи объекта в конце этого периода (реверсии), а затем рассчитываются и суммируются текущие стоимости всех будущих доходов с использованием специального коэффициента, отражающего риск, который сопровождает капиталовложения в данный объект.

В доходном подходе при оценке компании наиболее часто используют два основных метода:

- метод дисконтированных денежных потоков (МДДП);

- метод капитализации прибыли (МКД).

Метод дисконтированных денежных потоков.

Рыночная оценка бизнеса во многом зависит от того, каковы перспективы его развития на рынке товаров и услуг. При определении рыночной стоимости бизнеса учитывается только та часть его капитала, которая может приносить доходы в той или иной форме в прогнозируемом периоде. При этом важным для собственника является определение этапа развития бизнеса, с которого он начнет получать доходы, а также с каким риском для него это будет сопряжено. Названные факторы, влияющие на оценку бизнеса, позволяет учесть метод дисконтированных денежных потоков.

Определение стоимости бизнеса методом дисконтированных денежных потоков основано на предположении о том, что потенциальный инвестор не заплатит за данный бизнес сумму, большую, чем текущая стоимость будущих доходов от этого бизнеса. Собственник не продаст свой бизнес по цене ниже текущей стоимости прогнозируемых будущих доходов. В результате взаимодействия стороны придут к соглашению о рыночной цене бизнеса, равной текущей стоимости будущих доходов.

Данный метод оценки считается наиболее приемлемым с точки зрения инвестиционных мотивов. Любой инвестор, вкладывающий деньги в действующее предприятие, в конечном счете покупает не набор активов, состоящий из зданий, сооружений, машин, оборудования, нематериальных ценностей и т.д., а поток будущих доходов, позволяющий ему окупить вложенные средства и получить прибыль. С этой точки зрения, все предприятия, в каких бы отраслях экономики они ни действовали, производят всего один вид товарной продукции - деньги. Метод дисконтированных денежных потоков может быть использован для оценки любого действующего предприятия.

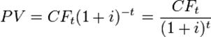
Основная формула дисконтирования денежных потоков:

(1)

Где

- поток платежей полученный через лет,

-ставка дисконтирования определенная исходя из вышеперечисленных факторов,

- дисконтированная стоимость будущего потока платежей .

Метод капитализации прибыли.

Метод капитализации прибыли является одним из вариантов доходного подхода к оценке бизнеса действующего предприятия. Как и другие варианты доходного подхода, он основан на базовой посылке, в соответствии с которой стоимость доли собственности в предприятии равна текущей стоимости будущих доходов, которые принесет эта собственность.

Сущность данного метода выражается формулой:

(2)

Где

ЧОД – чистый операционный доход,

СК – ставка дисконтирования.

Метод капитализации прибыли в наибольшей степени подходит для ситуаций, в которых ожидается, что предприятие в течение длительного срока будет получать примерно одинаковые величины прибыли (или темпы ее роста будут постоянными).

В качестве капитализируемой величины может выступать либо чистая прибыль после уплаты налогов, либо прибыль до уплаты налогов, либо величина денежного потока.

В большинстве случаев на практике в качестве капитализируемой величины выбирается прибыль последнего отчетного года.

Ставка капитализации для предприятия обычно выводится из ставки дисконта путем вычета ожидаемых среднегодовых темпов роста прибыли или денежного потока (в зависимости от того, какая величина капитализируется). Соответственно, для одного и того же предприятия ставка капитализации обычно ниже, чем ставка дисконта.

С математической точки зрения ставка капитализации - это делитель, который применяется для преобразования величины прибыли или денежного потока за один период времени в показатель стоимости.

Итак, чтобы определить адекватную ставку капитализации, нужно сначала рассчитать соответствующую ставку дисконта, используя возможные методики.

Существуют различные методики определения ставки дисконта, наиболее распространенными из которых являются:

- модель оценки капитальных активов;

- метод кумулятивного построения;

- модель средневзвешенной стоимости капитала.

2.2 Сравнительный подход в оценке бизнеса

Сравнительный или рыночный подход - совокупность методов определения стоимости предприятия и/или его собственного капитала, в рамках которого используется один или более методов, основанных на сравнении данного предприятия с аналогичными уже проданными капиталовложениями.

Данный подход основывается на предпосылке, что стоимость любого имущества зависит от цен, которые сложились к настоящему моменту на аналогичное или схожее имущество.

Согласно сравнительному подходу стоимость объекта определяется ценами предложений или недавних сделок купли-продажи схожих по своим характеристикам (сравнимых) объектов, после внесения к этим ценам поправок, компенсирующих отличия между оцениваемым и сравнимым объектом.

Особенностью сравнительного подхода к оценке является ориентация итоговой величины стоимости, с одной стороны, на рыночные цены купли-продажи акций, принадлежащих сходным компаниям, с другой стороны, на фактически достигнутые финансовые результаты.

Особое внимание уделяется:

- теоретическому обоснованию сравнительного подхода, сфере его применения, особенностям применяемых методов;

- критериям отбора сходных предприятий;

- характеристике важнейших ценовых мультипликаторов и специфик их использования в оценочной практике;

- основным этапам формирования итоговой величины стоимости;

- выбору величин мультипликаторов, взвешиванию промежуточных результатов, внесению поправок.

Сравнительный подход к оценке бизнеса предполагает, что ценность активов определяется тем, за сколько они могут быть проданы при наличии достаточно сформированного финансового рынка. Другими словами, наиболее вероятной величиной стоимости оцениваемого предприятия может быть реальная цена продажи аналогичной фирмы, зафиксированная рынком.

Теоретической основой сравнительного подхода, доказывающей возможность его применения, а также объективность результативной величины, являются следующие базовые положения:

1. Оценщик использует в качестве ориентира реально сформированные рынком цены на аналогичные предприятия (акции). При наличии развитого финансового рынка фактическая цена купли-продажи предприятия в целом или одной акции интегрально учитывает многочисленные факторы, влияющие на величину стоимости собственного капитала предприятия. К таким факторам можно отнести соотношение спроса и предложения на данный вид бизнеса, уровень риска, перспективы развития отрасли, конкретные особенности предприятия и т.д. Это в конечном счете облегчает работу оценщика, доверяющего рынку;

2. Сравнительный подход базируется на принципе альтернативных инвестиций. Инвестор, вкладывая деньги в акции, покупает прежде всего будущий доход. Производственные, технологические и другие особенности конкретного бизнеса интересуют инвестора только с позиции перспектив получения дохода. Стремление получить максимальный доход на размещенные инвестиции при адекватном риске и свободном размещении капитала обеспечивает выравнивание рыночных цен;

3. Цена организации отражает ее производственные и финансовые возможности, положение на рынке, перспективы развития. Следовательно, в аналогичных предприятиях должно совпадать соотношение между ценой и важнейшими финансовыми параметрами, такими, как прибыль, дивидендные выплаты, объем реализации, балансовая стоимость собственного капитала. Отличительной чертой этих финансовых параметров является их определяющая роль в формировании дохода, получаемого инвестором.

В зависимости от целей, объекта и конкретных условий оценки сравнительный подход предполагает использование трех основных методов:

- метод компании-аналога (метод рынка капитала);

- метод сделок (метод продаж);

- метод отраслевых коэффициентов (метод отраслевых соотношений).

Метод компании-аналога, или метод рынка капитала - основан на использовании цен, сформированных открытым фондовым рынком. Таким образом, базой для сравнения служит цена на единичную акцию акционерных обществ открытого типа. Следовательно, в чистом виде данный метод используется для оценки миноритарного пакета акций.

Метод сделок, или метод продаж - ориентирован на цены приобретения предприятия в целом либо контрольного пакета акций. Это определяет наиболее оптимальную сферу применения данного метода оценки предприятия или контрольного пакета акций.

Метод отраслевых коэффициентов, или метод отраслевых соотношений - основан на использовании рекомендуемых соотношений между ценой и определенными финансовыми параметрами. Отраслевые коэффициенты рассчитаны на основе длительных статистических наблюдений специальными исследовательскими институтами за ценой продажи предприятия и его важнейшими производственно-финансовыми характеристиками. В результате обобщения были разработаны достаточно простые формулы определения стоимости оцениваемого предприятия. Например, цена бензозаправочной станции колеблется в диапазоне 1,2 - 2,0 месячной выручки. Цена предприятия розничной торговли формируется следующим образом: 0,75 - 1,5 величины чистого годового дохода увеличивается на стоимость оборудования и запасов, которыми располагает оцениваемое предприятие; консалтинговые фирмы стоят примерно 0,5 величины годовой выручки и т.д.

2.3 Затратный подход в оценке бизнеса

Затратный (имущественный) подход в оценке бизнеса рассматривает стоимость предприятия с точки зрения понесенных издержек на создание компании и достижение компанией настоящего положения дел. Балансовая стоимость активов и обязательств предприятия вследствие инфляции, изменений конъюнктуры рынка, используемых методов учета, как правило, не соответствует рыночной стоимости. В результате перед оценщиком встает задача проведения корректировки баланса предприятия. Для осуществления этого предварительно проводится оценка обоснованной рыночной стоимости каждого актива баланса в отдельности, затем определяется текущая стоимость обязательств и, наконец, из обоснованной рыночной стоимости суммы активов предприятия вычитается текущая стоимость всех его обязательств. Результат показывает оценочную стоимость собственного капитала предприятия.

(3)


Где

СК - собственный капитал

А - активы

О - обязательства.

Данный подход представлен двумя основными методами:

- методом стоимости скорректированных чистых активов (методом стоимости чистых активов);

- методом ликвидационной стоимости.

Метод стоимости скорректированных чистых активов.

Расчет методом стоимости скорректированных чистых активов включает несколько этапов:

1. Оценивается недвижимое имущество предприятия по обоснованной рыночной стоимости.

2. Определяется обоснованная рыночная стоимость машин и оборудования.

3. Выявляются и оцениваются нематериальные активы.

4. Определяется рыночная стоимость финансовых вложений, как долгосрочных, так и краткосрочных.

5. Товарно-материальные запасы переводятся в текущую стоимость.

6. Оценивается дебиторская задолженность.

7. Оцениваются расходы будущих периодов.

8. Обязательства предприятия переводятся в текущую стоимость.

9. Определяется стоимость собственного капитала путем вычитания из обоснованной рыночной стоимости суммы активов текущей стоимости всех обязательств.

Определение обоснованной рыночной стоимости активов предприятия поэлементно:

- земля;

- недвижимость;

- машины и оборудование;

- нематериальные активы;

- финансовые вложения;

- производственные запасы;

- расходы будущих периодов;

- дебиторская задолженность.

Затем оценщиком определяется поэлементно размер обязательств организации:

- кредиты и займы;

- задолженность поставщикам и подрядчикам;

- иная кредиторская задолженность.

Стоимость собственного капитала (стоимость компании) определяется путем вычитания из обоснованной рыночной стоимости суммы активов текущей стоимости всех обязательств.

Следует отметить, что при определении рыночной стоимости активов компании поэлементно могут быть использованы различные методы и методики, применяемые в оценке именно этого вида имущества.

Метод ликвидационной стоимости.

Оценка ликвидационной стоимости предприятия осуществляется в следующих случаях:

- компания находится в состоянии банкротства или есть серьезные сомнения относительно ее способности оставаться действующим предприятием;

- стоимость компании при ликвидации может быть выше, чем при продолжении деятельности.

Ликвидационная стоимость представляет собой стоимость, которую собственник предприятия может получить при ликвидации предприятия и раздельной продаже его активов.

Расчет ликвидационной стоимости предприятия включает несколько основных этапов:

1. Берется последний балансовый отчет (желательно последний квартальный).

2. Разрабатывается календарный график ликвидации активов, так как продажа различных видов активов предприятия (недвижимого имущества, машин и оборудования, товарно-материальных запасов) требует различных временных периодов.

3. Определяется валовая выручка от ликвидации активов.

4. Оценочная стоимость активов уменьшается на величину прямых затрат. К прямым затратам, связанным с ликвидацией предприятия, относятся комиссионные оценочным и юридическим фирмам, налоги и сборы, которые платятся при продаже. С учетом календарного графика ликвидации активов скорректированные стоимости оцениваемых активов дисконтируются на дату оценки по ставке дисконта, учитывающей связанный с этой продажей риск.

5. Ликвидационная стоимость активов уменьшается на расходы, связанные с владением активами до их продажи, включая затраты на сохранение запасов готовой продукции и незавершенного производства, сохранение оборудования, машин, механизмов, объектов недвижимости, а также управленческие расходы по поддержанию работы предприятия вплоть до завершения его ликвидации. Срок дисконтирования соответствующих затрат определяется по календарному графику продажи активов предприятия.

6. Прибавляется (или вычитается) операционная прибыль (убытки) ликвидационного периода.

7. Вычитаются преимущественные права на выходные пособия и выплаты работникам предприятия, требования кредиторов по обязательствам, обеспеченным залогом имущества ликвидируемого предприятия, задолженность по обязательным платежам в бюджет и во внебюджетные фонды, расчеты с другими кредиторами.

Таким образом, ликвидационная стоимость предприятия рассчитывается путем вычитания из скорректированной стоимости всех активов баланса суммы текущих затрат, связанных с ликвидацией предприятия, а также величины всех обязательств.

Нами рассмотрены основные подходы и используемые в рамках указанных подходов основные методы, применяемые оценщиками при оценке бизнеса. Отметим, что оценщик может применять в рамках предусмотренных законодательством подходов и иные методы оценки бизнеса.

Выбор конкретного метода (методов) при оценке бизнеса осуществляется оценщиком самостоятельно. Выбор конкретного метода или методики в оценочной деятельности обычно не закреплен на законодательном уровне, хотя бывают и исключения:

1. Методика оценки стоимости разработки, экспертизы национальных стандартов Российской Федерации и экономической эффективности от их внедрения. Р 50.1.058-2006, утв. Приказом Ростехрегулирования от 11 сентября 2006 г. № 191-ст.

2. Приказ Минздравсоцразвития России от 17 сентября 2007 г. № 604 "Об утверждении Методики оценки эффективности использования иностранной рабочей силы".

3. Постановление Правительства РФ от 15 апреля 2005 г. N 224 "Об утверждении Методики определения совокупной взвешенной оценки (рейтинга) специализированного депозитария при проведении в 2005 году конкурса по отбору специализированного депозитария для заключения с ним Пенсионным фондом Российской Федерации договора об оказании услуг специализированного депозитария".

4. Письмо ЦБ РФ от 24 марта 2005 г. № 47-Т "О методических рекомендациях по проведению проверки и оценки организации внутреннего контроля в кредитных организациях".

5. Приказ Росземкадастра от 20 марта 2003 г. № П/49 "Об утверждении Методики государственной кадастровой оценки земель промышленности и иного специального назначения" (вместе с Методикой государственной кадастровой оценки земель промышленности, энергетики, транспорта, связи, радиовещания, телевидения, информатики, земель для обеспечения космической деятельности, земель обороны, безопасности и земель иного специального назначения).

6. Приказ Росземкадастра от 17 октября 2002 г. № П/336 "Об утверждении Методики государственной кадастровой оценки земель лесного фонда Российской Федерации".

7. Приказ Росземкадастра от 26 августа 2002 г. № П/307 №Об утверждении Методики государственной кадастровой оценки земель садоводческих, огороднических и дачных объединений".

8. Письмо Госналогслужбы РФ от 6 июня 1996 г. № ВГ-4-08/47н "О Временной методике оценки жилых помещений" и др.

Существующие методы и методики, рекомендованные законодательно, не имеют прямого отношения к оценке рыночной стоимости бизнеса. В настоящее время отсутствуют какие-либо методы, методики, методические рекомендации или указания, рекомендованные нормативно-правовыми документами к применению при осуществлении оценки бизнеса. Оценщик самостоятельно, используя законодательно предусмотренные три подхода в оценке, определяет методы и методики, которые он применяет при оценке того или иного объекта оценки. Отметим, что при определенных условиях оценщик может аргументированно отказаться от применения одного или двух подходов оценки бизнеса.


Глава 3. Оценка рыночной стоимости предприятия (бизнеса) ООО "Бенотех"

3.1 Краткая характеристика предприятия

Компания ООО "Бенотех" появилась на рынке в марте 2001 года как производитель добавок для бетонов. За последние годы деятельность организации значительнорасширилась, были открыты другие направления. Теперь Бенотех многопрофильная фирма, у которой в разных городах России, и СНГ свои дилеры, представительства.

Компания ООО "Бенотех" - широко известная и хорошо зарекомендовавшая себя на рынке, многопрофильная фирма, пользуюшаяся заслуженным признанием у своих клиентов.

Компания ООО "Бенотех" - крупнейший оператор химических строительных добавок для бетонов и растворов, одновременно является производителем собственных добавок и официальным дилером других предприятий по производству данных добавок для бетонов.

Юридический адрес предприятия: 630077, г. Новосибирск, ул. Костычева, 40/2

Дата оценки: 01.10.2010 г.

Использование высококачественных, специально синтезированных химических модификаторов при производстве бетонов и растворов создает реальную возможность для получения высококачественных бетонов и растворов повышенной долговечности. Данные бетоны отличаются большей морозостойкостью, сверхвысокой прочностью с низкой водонепроницаемостью, обеспечивают повышенную долговечность конструкций в сложных эксплуатационных условиях.

Продукция компании ООО "Бенотех"":

- Бенотех S-3M;

- Бенотех Сипласт;

- Бенотех Уником;

- Бенотех ПМП-1;

- Бенотех ГКЖ 136-41;

- Бенотех ПБ-с;

- Бенотех Утбс ;

- Бенотех ПФМ;

- Бенотех Модус;

Кроме того компания реализует:

- Пластифицирующие добавки;

- Комплексные добавки;

- Гидрофобизирующие добавки;

- Противоморозные добавки;

- Воздухововлекающие добавки;

- Пенообразователи;

- Добавки для вибропрессованных бетонов.

Основной целью деятельности Общества является расширение рынка товаров и услуг, а также извлечение прибыли. Основным видом деятельности Общества является изготовление климатического и вентиляционного оборудования.

Основные конкуренты:

1. Российские компании:

- ЗАО "Владимирский ЖБК" ;

- "Технопромстрой";

- ООО "Форт";

- "Биотех";

- ООО "НПЦ Технопласт";

- "СКТ – Стандарт";

- ООО "Предприятие Мастер Бетон".

2. Зарубежные компании:

- "SIKA", Швейцария;

- "DEGUSSA";

- "MC BAUCHEMIE".

3. Украинские компании:

- Производитель добавки "Релаксол"

Российские компании занимают по разным оценкам 90% рынка, но точными данными ни по объемам выпускаемой продукции ни по долям рынка оценщик не располагает.

3.2 Расчет рыночной стоимости предприятия

3.2.1 Расчет рыночной стоимости затратным подходом

Затратный подход к определению стоимости бизнеса используется, когда стоимость активов определяется на основе стоимости их воспроизводства. Определяя тем самым затраты, которые понесет любой инвестор, попытавшись воссоздать имущественный комплекс компании, приобретая только права на ее бизнес.

В данном случае в рамках затратного подхода к определению рыночной стоимости объекта оценки применялся метод стоимости чистых активов. Для применения метода стоимости чистых активов необходимо скорректировать статьи баланса.

Оценщиком была проведена корректировка статей баланса в соответствии со следующими принципами:

Статьи баланса, объективно отражающие величину соответствующих активов и пассивов, не корректировались.

Статьи баланса, реально не обеспеченные активами, корректировались с помощью соответствующих поправок.

Величины поправок и порядок их применения определялся с принятием во внимание расчетных данных, учетом объективной ситуации на рынке и специфики рассматриваемого объекта.

При использовании метода стоимости чистых активов рыночная стоимость предприятия определяется на основании определения стоимости следующих активов:

- текущие активы: (денежные средства, производственные запасы, ценные бумаги, счета дебиторов, векселя к получению, расходы будущих периодов);

- реальные (материальные) активы: (здания и сооружения, машины и оборудование, и т.д.);

- нематериальные активы: (Лицензии, свидетельства на изобретения, патенты и собственные технологии и т.д.).

Стоимость каждого из этих активов определяется индивидуально для каждого класса активов на основании специальных методов. Стоимости активов затем суммируются для получения рыночной стоимости всех материальных и нематериальных активов предприятия. Стоимость пассивов, как учтенных, так и неучтенных, определяется и суммируется для дальнейшего использования в процессе определения рыночной стоимости всех пассивов предприятия.

Для определения рыночной стоимости собственного капитала предприятия окончательная стоимость пассивов вычитается из общей стоимости активов.

Ниже приведена характеристика активов и пассивов, участвующих в расчете и обоснование проведенных корректировок статей баланса.

Что же касается собственного капитала, то данная статья является балансирующей, т.к. определяем именно стоимость этой статьи.

Корректировка статей актива баланса .

Стр.110 "Нематериальные активы".

Нематериальные активы можно подразделить на четыре основных группы согласно ПБУ 14/2007:

- интеллектуальная собственность;

- имущественные права;

- деловая репутация (Гудвиллл).

Интеллектуальная собственность. В рамках интеллектуальной собственности выделяется:

Права на объекты промышленной собственности (изобретения, полезные модели, промышленные образцы, товарные знаки и знаки обслуживания, фирменные наименования, наименования мест происхождения товаров и меры по пресечению недобросовестной конкуренции). Состав объектов промышленной собственности согласно ст. 1/2 Парижской конвекции по охране промышленной собственности;

Оценка "Гудвилла" была осуществлена в данном отчете в последнем разделе.

Следует заметить, что в расчет чистых активов включаются нематериальные активы, отвечающие следующим требованиям:

- непосредственно используемые обществом в основной деятельности и приносящие доход (права пользования земельными участками и природными ресурсами, патенты, лицензии, ноу-хау и т.п.);

- имеют документальное подтверждение затрат, связанных с их приобретением или созданием;

- права общества на владение данными нематериальными активами должно быть подтверждено документом (патентом, лицензией, актом, договором и т.п.), выданным в соответствии с законодательством РФ.

На балансе компании ООО "Бенотех" на момент определения стоимости нематериальные активы числятся, в сумме 89 тыс. руб. Расшифровка нематериальных активов предприятия приведена в таблице.

Таблица 1 Структурные компоненты нематериальных активов компании ООО "Бенотех", руб.

Субконто Сальдо на начало периода
Дебет Кредит
Компьтерная программа 1С:7.7 , инв.№: 00000004 71 186,44
Паспорт Парового котла марки Е-1.0-09Р-2 , инв.№: 00000009
ПО "Астрал Отчет" , инв.№: 00000010
Право на использ.Kaspersky (защита рабочих станци) , инв.№: 00000011
Товарный знак на ПМП "БЕНОТЕХ" , инв.№: 00000008 15 847,46
Чертежи вибростола набивочного , инв.№: 00000006 1 036,67
Чертежи вибростола распалубного , инв.№: 00000007 1 684,58
Итого развернутое 89 755,15
Итого 89 755,15

Из нематериальных активов подлежащих переоценке можно выделить товарный знак ООО "Бенотех", которым защищается большинство продукции компании ООО "Бенотех". Значение стоимости остальных активов не корректировалось

Выбор методов оценки в рамках стандартных подходов к оценке товарного знака.

Исходя из предоставленной заказчиком информации товарный знак компании ООО "Бенотех", используемый при производстве подавляющего большинства продукции предприятия используется в деятельности предприятия.

В связи с этим для используемого товарного знака в рамках доходного подхода было решено применить метод освобождения от роялти,. За использование метода освобождения от роялти говорит также тот факт, что розничная цена на продукцию других фирм аналогичного качества может отличаться как в большую, так и в меньшую сторону, и невозможно выявить устойчивые тенденции. Кроме того, производители добавок довольно часто изменяют цены на свою продукцию, что также затрудняет сравнение. Все это не позволяет напрямую воспользоваться например методом преимущества в прибыли.

Сравнительный подход к оценке товарного знака применить было невозможно по причине отсутствия активного рынка или каких либо данных о сделках с аналогичными объектами

Затратный подход было возможно применить, но данный подход обычно слабо отражает стоимость товарного знака, в силу отсутствия точных данных о маркетинговой поддержке, которую можно отнести на товарный знак, что касается затрат на регистрацию и создание товарного знака, то они составляют величину не превышающую 50 000 руб., (по данным бухгалтерского учета компании они составляют сумму порядка 15 тыс. руб.), что не сопоставимо с показателями стоимости, полученными другими подходами.

Определение ставки роялти.

В качестве ставки роялти применяемой в классической модификации метода освобождения от роялти было решено взять стандартную ставку роялти для продуктов питания в соответствии с таблицей 1, внеся в её величину некоторые поправки.

Стандартная средняя ставка роялти в нашем случае составила 3 %. Для корректировки данной ставки необходимо воспользоваться поправкой, рекомендованной в статье "Вознагнраждение за использование интеллектуальной собственности" профессоров Азгальдова Г. Г., и Карповой Н. Н., В которой они рекомендуют применять следующие поправочные коэффициенты. [23, с. 178]

Таблица 2. Рекомендуемые поправочные коэффициенты к стандартным ставкам роялти

Степень ценности технологии Лицензия Нелицензионное ноу-хау
Исключительная Неисключительная
патентная беспатентная патентная беспатентная
Особо ценная 1,4 - 1,8 1,1 - 1,5 0,9 - 1,1 0,7 - 0,9 1,0 - 1,2
Средней ценности 1,1 - 1,5 0,9 - 1,1 0,7 - 0,9 0,5 - 0,7 0,5 - 1,0
Малоценная 0,7 - 0,9 0,5 - 0,7 0,4 - 0,5 0,2 - 0,4 0,1-0,5

Так как у нас зарегистрированный товарный знак, лицензия (в соответствии с методом освобождения от роялти) предполагается исключительной, а производитель является одним из достаточно известных, что показывают данные исследования, проведенного компанией "Агентство Промышленной Информации", то для ставки роялти решено взять среднюю поправку по исключительным лицензиям средней ценности в размере 1,0 от величины средней ставки роялти. Таким образом, ставка роялти выбирается 3,0%.

Определение базы роялти.

В классической лицензионной торговле в качестве базы роялти берется объем произведенной и реализованной продукции или выручка. Показатель выручки за 2009 г. Составляет 192 210 тыс. руб. В качестве темпов роста, учитывая неопределенныю ситуацию в строительстве, усугубляемую тем, что динамика спроса на противоморозные добавки далеко не полностью определяется валовой потребностью в бетоне было решено взять 10% в год, что является меньшим, чем темп роста за все предидущие годы, и меньшим, чем запланировано в плане развития предприятия.

Затраты на рекламу планируются на уровне 150 тыс. руб. в месяц, что соответствует прогнозным показателям определенным в плане развития предприятия.

Определение ставки дисконтирования.

В качестве безрисковой ставки необходимо взять ставку по ОФЗ, В качестве безрисковой ставки необходимо взять ставку доходности по ОФЗ (9,8 % в качестве бумаги был рассмотрен выпуск облигаций Россия 46002)

Что же касается средней доходности по рынку в 2009 г. то в качестве данной величины можно взять доходность, рассчитанную экспертами ФК "Уралсиб" которые полагают следующее:

1. "Вложения в качественные корпоративные обязательства могут принести порядка 25% годовых в рублях при умеренном риске. Доходность по паям хороших облигационных ПИФов, вероятно, окажется даже несколько выше, поскольку сейчас их портфели оценены по символическим признаваемым котировкам облигаций."

2. Доходность компаний-фаворитов оценивается в среднем в 25 - 30%. Так как вложения в ИС более рискованные чем в ПИФы то за величину средней доходности можно взять максимальную величину – 30%.

Рассчитанная величина ставки дисконтирования составит 30,8 %.

Таблица 3. Расчет стоимости ТЗ компании ООО "Бенотех" методом освобождения от роялти

Год 2010г. 2011г. 2012г. 2013г. 2014г.
Выручка, руб. 192 210,00 211 431,00 232 574,10 255 831,51 281 414,66
Объем отчислений по роялти, тыс. руб. 5 766,30 6 342,93 6 977,22 7 674,95 8 442,44
Затраты на рекламу и поддержание в силе ТЗ, тыс. руб. 1 800,00 1 980,00 2 178,00 2 395,80 2 635,38
ЧОД, тыс. руб. 3 966,30 4 362,93 4 799,22 5 279,15 5 807,06
Фактор текущей стоимости 0,874 0,668 0,511 0,391 0,299
Дисконтированный денежный поток, генерируемый ТЗ, тыс. руб. 3 467,91 2 916,26 2 452,37 2 062,26 1 734,21
Стоимость в постпрогнозный период, тыс. руб. 5 263,46
Ставка дисконтирования 30,81 30,81 30,81 30,81 30,81
Рыночная стоимость товарного знака "Бенотех ППМ", тыс. руб. 17 896,48

Для расчета стоимости нами была применена модель Гордона, по которой доход послепрогнозного периода дисконтируется при помощи коэффициента дисконтирования. Полученную величину стоимости предприятия в постпрогнозный период необходимо затем привести к стоимости на дату оценки с помощью той же ставки дисконта, что использовалась при расчетах в прогнозном периоде.

Денежный поток послепрогнозного периода взят в размере денежного потока за 2011 г., темпы роста взяты в размере 2%, что примерно соответствует самому консервативному прогнозу на постпрогнозный период. Таким образом, модель Гордона, приведенная к текущей стоимости примет вид:


V(term) = (CF(t+1) : (R – g)) : (R+1) n (4)

где V(term) – стоимость в постпрогнозный период,

CF(t+1) – денежный поток за первый год послепрогнозного периода

R – ставка дисконта

g – долгосрочные темпы роста денежного потока

n – число периодов

Таким образом, воспользуюсь данной формулой стоимость товарного знака составит 17 970 тыс. руб.

Стр.120 "Основные средства".

Основные средства ООО компания "Бенотех" включают сооружения, машины и оборудование, и прочие группы. В Приложении 1 рассчитана стоимость основных средств, которая составила 6 585 тыс. руб. Балансовая стоимость ОС составляет величину 4 731 тыс. руб. Незначительность корректировки связана с тем, что большое количество ОС предприятия является новыми, и отражаются в балансе по рыночной стоимости.

Таким образом:

Значение по стр.120 "Основные средства" для расчета чистых активов принято равным 6 585 тыс. руб.

Стр.130 "Незавершенное строительство".

На балансе ООО компания "Бенотех" на момент определения стоимости не было объектов незавершенного строительства.

Стр. 140 "Долгосрочные финансовые вложения".

К финансовым вложениям относятся инвестиции предприятия в ценные бумаги и уставные документы других предприятий, а также предоставленные займы другим предприятиям на территории Российской Федерации.

На момент определения стоимости компании ООО "Бенотех" не имеет долгосрочных финансовых вложений.

Стр. 150 "Прочие внеоборотные активы".

В данной строке баланса отражаются активы не участвующие в основном обороте и не учтенные ранее в строках 110 – 140.

На момент определения стоимости ООО компания "Бенотех" имеет прочих внеоборотных активов на сумму 24 тыс. руб. Данная сумма не корректировалась

Значение по стр.150 "Прочие внеоборотные активы" для расчета чистых активов принято оценщиком равным 24 тыс. руб.

Стр. 210 "Запасы".

В связи с тем, что у организации запасы представлены в основном сырьем и материалами (34%), и готовые товары для перепродажи (64%), неликвидные запасы на балансе организации отсутствуют, стоимость запасов была принята равной балансовой стоимости.

Значение по стр. 210 "Запасы" для расчета стоимости чистых активов принято равным балансовой стоимости 39 731 тыс. руб.

Стр. 220 "НДС по приобретенным ценностям"

Эта строка принадлежит, по сути, к денежным статьям, поэтому ее корректировка не требуется.

Значение по стр.220 "НДС по приобретенным ценностям" для расчета чистых активов принято равным балансовой стоимости – 598 тыс. руб.

Стр. 230 "Дебиторская задолженность (платежи по которой ожидаются более, чем через 12 месяцев после отчетной даты)"

У ООО "Бенотех" на момент определения стоимости отсутствует долгосрочная дебиторская задолженность.

Стр. 240 "Дебиторская задолженность (платежи по которой ожидаются в течение 12 месяцев после отчетной даты)"

Для определения стоимости данной статьи требуется анализ дебиторской задолженности по строкам погашения, выявление просроченной задолженности с последующим разделением ее на:

- безнадежную (не учитывается при расчете);

- задолженность, которую предприятие еще надеется получить (учитывается при расчете).

Анализируется также состав и движение дебиторской задолженности. Для определения рыночной стоимости данного актива устанавливаются коэффициенты дисконтирования для каждого дебитора отдельно. В зависимости от срока неплатежа по денежным обязательствам, на основании статистических данных о хозяйственной деятельности более 300 предприятий России в различных отраслях, его величина изменяется в диапазоне от 1,0 до 0,01 и ниже.

Платежи по погашению дебиторской задолженности должны быть получены в течение трех месяцев. Если предприятие-дебитор накапливает новые обязательства и не рассчитывается в пределах этого срока, то на четвертом месяце обязательства начинают дисконтироваться.

По данным бухгалтерского учета предприятия безнадежной задолженности нет, есть уверенность руководства в полном ее погашении. Вышеуказанная сумма будет возвращена в течение периода погашения дебиторской задолженности равного 1 месяцу. Однако дебиторская задолженность представляет собой "замороженные" денежные средства предприятия. Следовательно, можно применить к корректировке дебиторской задолженности элементы доходного подхода с целью получения информации о величине дохода, который могла бы получить организация, превратив без промедления свою задолженность в денежные средства, но не получила их своевременно. Для определения рыночной стоимости дебиторской задолженности было принято решение приведение ее стоимости по состоянию на дату определения стоимости с использованием ставки дисконтирования равной ставке наиболее вероятного заимствования денежных средств, к которому предприятие вынуждено будет прибегнуть в случае нехватки денежных средств, и составляет 20%.

Значение Дебиторской задолженности для расчета стоимости чистых активов принято равным балансовым показателям 16 984 тыс. руб.

Стр. 250 "Краткосрочные финансовые вложения".

Краткосрочные вложения, которые находятся на балансе компании ООО "Бенотех" приведены в приложении, и состоят из векселей и денежных средств, выданных контрагентам. Общая сумма вложений составляет 15 824 тыс. рублей. Данная сумма должна быть уменьшена на величину невозвратных вложений, сумма которых составляет величину 650 тыс. руб. Данная сумма списывается как экономический риск и убыток понесенный предприятием от коммерческой деятельности.

Значение стоимости финансовых вложений составило величину 15 174 тыс. руб.

Стр. 260 "Денежные средства".

Отражены текущие остатки по счетам и в кассе предприятия.

Эта статья корректировке не подлежит.

Значение по стр. 260 "Денежные средства" для расчета стоимости чистых активов принято равным балансовой стоимости – 271 тыс. руб.

Стр. 270 "Прочие об оротные активы".

У ООО "Бенотех" на дату определения стоимости прочие оборотные активы составляют сумму 1 450 тыс. руб. Данная сумма не корректировалась, так как состоит из ликвидных активов.

Значение по стр. 270 "Прочие оборотные активы" для расчета стоимости чистых активов принято оценщиком равным балансовой стоимости – 1 450 тыс. руб.

Корректировка статей пассива баланса .

Стр. 510 "Долгосрочные заемные средства".

На дату определения стоимости на балансе ООО "Бенотех" долгосрочные заемные средства на балансе составляли – 5 901 тыс. руб. Ставка процента, уплачиваемого за пользование заемными средствами, составляет 15-20 %, дата возврата – 2010-2011гг. Для определения рыночной стоимости долгосрочных заемных средств было принято решение об отсутствии необходимости приведения платежей по займам в силу рыночной ставки процента по кредитам.

Значение по стр. 610 "Заемные средства" для расчета стоимости чистых активов принято оценщиком равным 5 901 тыс. руб.

Стр. 515 "Отложенные налоговые обязательства".

На дату определения стоимости на балансе компании ООО "Бенотех" отложенные налоговые обязательства на балансе составили – 0 руб. Данная статья отражает расчеты компании по налогам, которые уплачиваются в полном объеме и своевременно, поэтому данная статья не корректировалась.

Значение по стр. 515 "Отложенные налоговые обязательства" для расчета стоимости чистых активов принято оценщиком равным 0 руб.

Стр. 520 "Прочие долгосрочные обязательства".

На дату определения стоимости на балансе компании ООО "Бенотех" прочие долгосрочные обязательства на балансе не числились.

Стр. 610 "Краткосрочные займы и кредиты".

На дату определения стоимости на балансе компании ООО "Бенотех" краткосрочные заемные средства составили 6 904 тыс. рублей. Ввиду небольших сроков данных заимствований сумма краткосрочной задолженности не корректировалась.

Значение по стр. 610 "Краткосрочные займы и кредиты" для расчета стоимости чистых активов принято оценщиком равным 6 904 тыс. руб.

Стр. 620 "Кредиторская задолженность".

Статья "краткосрочная кредиторская задолженность" представляют собой долги предприятия перед третьими лицами, которые, как предполагается, будут погашаться в полном объеме и своевременно. Однако кредиторская задолженность представляет собой денежные средства предприятия, а денежные средства, как известно, имеют тенденцию к обесценению. Но в данном случае на первое место выходит фактор проверки реальности всей кредиторской задолженности, так как наличие необязательной кредиторской задолженности является одной из популярных схем оптимизации налогообложения. Для расчета рыночной стоимости кредиторской задолженности было принято решение об отказе от её корректировки на срок погашения, но разделить её на номинальную и реальную и в дальнейшем учитывать только реальную задолженность. После анализа и интервью с ответственными финансовыми сотрудниками компании было выяснено, что уровень реальной кредиторской задолженности составляет величину 34 224 тыс. руб.

Значение по стр.620 "Кредиторская задолженность" для расчета стоимости чистых активов принято оценщиком 34 224 тыс. руб.

Стр. 630 "Задолженность участникам (учредителям) по выплате доходов".

На дату определения стоимости компании ООО "Бенотех" не имеет задолженности перед участниками (учредителями) по выплате доходов .

Стр. 640 "Доходы будущих периодов".

На дату определения стоимости у компании ООО "Бенотех" отсутствовали доходы будущих периодов.

Стр. 650 "Резервы предстоящих расходов и платежей".

На дату определения стоимости у компании ООО "Бенотех" отсутствовал резервный фонд для предстоящих расходов и платежей.

Стр. 660 "Прочие краткосрочные обязательства".

На дату определения стоимости у компании ООО "Бенотех" прочие краткосрочные обязательства составляли величину 1 542 тыс. руб.

Значение по стр. 660 "Прочие краткосрочные обязательства" для расчета стоимости чистых активов принято оценщиком 1 542 тыс. руб.

Расчет рыночной стоимости компании ООО "Бенотех" методом стоимости чистых активов

В таблице 5 представлен расчет стоимости предприятия по затратному подходу. Стоимость предприятия по затратному подходу определяется как разность между стоимостью активов предприятия и его обязательствами.


Таблица 5 – Расчет стоимости предприятия по затратному подходу

Активы Код строки в балансе На 3 квартал 2010 периода На середину периода
№ строки в балансе 01.07.2010 г. корректировка
Нематериальные активы 110
Основные средства 120 89 17 970
Незавершенное строительство 130 4 731 6 585
Доходные вложения в материальные ценности 135 0 0
Долгосрочные и краткосрочные финансовые вложения (за исключением выкупленных собственных акций) 140+250 0 0
Прочие внеоборотные активы (включая отложенные налоговые активы) 145+150 15 824 15 174
Запасы 210 24 24
Налог на добавленную стоимость по приобретенным ценностям 220 39 731 39 731
Дебиторская задолженность (за исключением задолженности учредителей по взносам в Уставный Капитал) 230+240 598 598
Денежные средства 260 17 244 16 984
Прочие оборотные активы 270 271 271
Итого активы, принимаемые к расчету (сумма п. 1-11) 1 415 1 415
Пассивы 79 927 98 753
Долгосрочные обязательства по займам и кредитам 510 5 901 5 901
Прочие долгосрочные обязательства (включая отложенные налоговые обязательства) 515+520 0 0
Краткосрочные обязательства по займам и кредитам 610 6 904 6 904
Кредиторская задолженность 620 63 954 34 224
Задолженность учредителям по выплате доходов 630 0 0
Резервы предстоящих расходов 650 0 0
Прочие краткосрочные обязательства 660 1 542 1 542
Итого пассивы, принимаемые к расчету (сумма п. 13-19) 78 301 48 571
Стоимость чистых активов (итого активов минус итого пассивов п.12-п.20) 1 626 50 182

Стоимость деловой репутации определяется отдельно и добавляется к стоимости чистых активов

Определение стоимости деловой репутации

Стоимость деловой репутации рассчитана в разделе, и составляет величину 34 990 тыс. руб. Таким образом, рыночная стоимость 100% уставного капитала ООО "Бенотех", определенная затратным подходом (с учетом вышеприведенных корректировок), составила на 01.10.2010 г: 85 172 000 (Восемьдесят пять миллионов сто семьдесят две тысячи) рублей

3.2.2 Определение рыночной стоимости доходным подходом

Определение стоимости компании производилась методом дисконтированных денежных потоков. Данный метод к расчету стоимости компании обусловлен тем, что в ретроспективном периоде прибыли компании нестабильны - применение метода капитализации дохода не представляется возможным, т.к. метод капитализации применяется в том случае, когда будущие прибыли ожидаются приблизительно равными текущей прибыли.

По причине того, что прогнозируемые руководством компании прибыли в 2010-2014 гг. существенно различаются, а так же на основании того, что ООО "Бенотех" представляет собой крупный многофункциональный объект целесообразно применение метода дисконтированных денежных потоков в рамках доходного подхода. Данный метод определения стоимости считается наиболее приемлемым с точки зрения инвестиционных мотивов, поскольку любой инвестор, вкладывающий деньги в действующее предприятие, покупает не набор активов, состоящий из зданий, сооружений, машин, оборудования, нематериальных ценностей и т. д., а поток будущих доходов, позволяющий ему окупить вложенные средства и получить прибыль. С этой точки зрения все предприятия, к каким бы отраслям экономики они ни принадлежали, производят всего один вид товарной продукции - деньги.

Выбор модели денежного потока .

При определении стоимости бизнеса была применена модель денежного потока для собственного капитала. При использовании данной модели рассчитывается стоимость собственного капитала компании. Денежный поток рассчитывается по схеме, приведенной в таблице 6.

Таблица 6 – Расчет денежного потока для собственного капитала

Знак действия Показатели
Чистая прибыль после уплаты налогов
+ Амортизационные отчисления
+ ( - ) Изменение собственного оборотного капитала
+ ( - ) Уменьшение (прирост) инвестиций в основное производство.
+ ( - ) Прирост (уменьшение) долгосрочной задолженности
ИТОГО: Денежный поток

Для построения денежного потока для собственного капитала были использованы фактические данные о составных частях денежного потока, взятые из управленческой и бухгалтерской отчетности компании ООО "Бенотех" за 2008 – 2010 гг., и прогнозные данные о планируемых доходах и расходах, предоставленные руководством рассматриваемой компании.

Для расчетов использовался номинальный денежный поток, который включает воздействие инфляции на цены и затраты.

Определение длительности прогнозного периода .

Длительность прогнозных периодов была определена на основе анализа финансового состояния, проведенного на основе бухгалтерской документации ООО "Бенотех", а также на основе опыта и профессиональных знаний оценщика

Согласно методу дисконтированных денежных потоков стоимость предприятия основывается на денежных потоках, в качестве прогнозного берется период, продолжающийся до тех пор, пока темпы роста компании не стабилизируются.

При определении адекватной продолжительности прогнозного периода необходимо учитывать, что чем длиннее прогнозный период, тем больше число наблюдений и тем более обоснованным с математической точки зрения выглядит итоговая величина текущей стоимости предприятий. Но, с другой стороны, чем длиннее прогнозный период, тем сложнее прогнозировать конкретные величины выручки, расходов, темпов инфляции, потоков денежных средств.

В данном заключении сделан прогноз на 5 лет, с использованием наиболее оптимального развития предприятий в краткосрочной перспективе.

Определение ставки дисконт ирования

В таблице сведены показатели премий за различные виды рисков и вычислен суммарный риск инвестирования.

Таблица 7 – Суммарный риск инвестирования в компанию ООО "Бенотех"

Показатель Интервал % Значения, %
Безрисковая ставка 9,8
Руководящий состав: качество управления 0-5 2,0
Размер компании 0-5 3,0
Финансовая структура (источники финансирования) 0-5 2,5
Товарная/территориальная диверсификация 0-5 4,0
Диверсификация клиентуры 0-5 3,0
Уровень и прогнозируемость прибылей 0-5

2,0

3,0

Прочие риски 0-5 2,5
Итого 0-35 28,8

Безрисковая ставка взята на основании средневзвешенной ставок по привлекаемым государством долговых обязательств.

Итого, суммарный показатель риска для данного предприятия составил 19%. В расчетах использовалась округленная величина ставки дисконтирования в 28,8%

Произведем расчет стоимости предприятия с использованием метода дисконтированных денежных потоков для каждого года из рассматриваемого периода.

Таблица 8 – Расчет стоимости компании методом дисконтированных денежных потоков по состоянию на 01.10.2010 г. т. Руб.

2010 2011 2012 2013 2014 Постпрогнозный период
Выручка 331 440 331 440 397 800 421 668 446 968 473 786
Себестоимость 231 480 231 480 278 460 295 168 312 878 331 650
Доля себестоимости в выручке 70% 70% 70% 70% 70% 70%
Валовая прибыль 99 960 99 960 119 340 126 500 134 090 142 136
Рентабельность, % 30% 30% 30% 30% 30% 30%
Прочие доходы 3314 3314 3978 4217 4470 4738
Прочие расходы (без процентов) 65 000 65 000 78 014 82 695 87 657 92 916
EBITDA 4 500 4 500 5 401 5 725 6 069 6 433
33 774 33 774 39 903 42 297 44 835 47 525
EBIT 10% 10% 10% 10% 10% 10%
32 774 32 774 38 903 41 297 43 835 46 525
Выплата процентов по кредитам 9,90% 9,90% 9,80% 9,80% 9,80% 9,80%
Налог на прибыль 1600 0 0
Прибыль после нал/обл-ия 7 482 7 866 9 337 9 911 10 520 11 166
Амортизация 25 293 24 909 29 566 31 386 33 315 35 359
+/- дельта СОК 1 000 1 000 1 000 1 000 1 000 1 000
Выплата тел кредитов 5 000 5 000 5 043 1 814 1 923 2 038
Поступление денежных средств 10000 0 0
инвестиции в основные средства 10000 0 0 0 0
Выплата процентов по кредитам 1 000 1 000 1 000 1 000 1 000 1 000
1600 0 0
Чистый денежный поток 18 693 19 909 24 523 29 572 31 392 33 321
Ставка дисконтирования 28,80% 28,80% 28,80% 28,80% 28,80% 28,80%
Дисконтированный денежный поток 16 471 13 620 13 025 12 195 10 051 41 229
Постпрогнозная стоимость 41 229
Итого 90 213

EBITDA (сокр. от англ. Earnings before Interest, Taxes, Depreciation and Amortization) — аналитический показатель, равный объёму прибыли до вычета расходов по процентам, уплаты налогов и амортизационных отчислений.

Операционная прибыль или EBIT (сокр. от англ. Earnings Before Interest and Taxes) — разность между валовой прибылью и операционными затратами. Прибыль хозяйствующего субъекта в результате основной экономической деятельности. Представляет собой остаток при вычитании из торговой прибыли операционных накладных расходов (рента, амортизационные отчисления за здания и оборудование, расходы на ГСМ и иные текущие расходы).

Таким образом, рыночная стоимость 100% уставного капитала компании ООО "Бенотех", определенная с помощью доходного подхода, составила на 01.10.2010 г. (с учетом округления): 90 213 000 (Девяносто миллоионов двести тринадцать тысяч) рублей

Расчет рыночной стоимости "Гудвилл" компании ООО "Бенотех" методом избыточной прибыли

Применение метода избыточной прибыли решено было производить в двух вариантах.

Разница между ними заключается в том, что в первом случае нематериальные активы учитываются в стоимости чистых активов предприятия, и избыточная прибыль, относимая на "Гудвилл", равняется разности чистой прибыли предприятия и стоимости чистых активов предприятия, умноженного на коэффициент среднеотраслевой рентабельности чистых активов, составляющий, по данным ассоциации строителей России, 30% для промышленности строительных материалов.

Во втором случае в качестве "Гудвилла" определяется стоимость всех нематериальных активов предприятия, а в качестве чистых активов предприятия выступают только материальные активы. В последующем стоимость всех НМА предприятия уменьшается на рыночную стоимость стоящих на балансе нематериальных активов, и оставшаяся величина может быть отнесена на "Гудвилл".

Общая формула расчета будет следующей:

(4)

где

ЧП - чистая прибыль;

ЧА - чистые активы;

Re - рентабельность активов ;

K - коэффициент капитализации для "Гудвиллла";

Все показатели берутся на основании прогнозных данных 2011 г. так как использование данных 2010 г. затруднительно, по причине не вполне реальных данных бухгалтерского учета, и невозможности использовать данные управленческого учета.

Кроме того, в результате ожидаемого значительного роста более правильно для расчета стоимости использовать будующий денежный доход, для исключения занижения показателя стоимости деловой репутации.

Стоимость скорректированных НМА компании а также стоимость всех чистых активов компании приведена выше

Таблица 9. Расчет стоимости "Гудвиллла" компании ООО "Бенотех"

С учетом НМА в сумме активов (1 вариант) Без учета НМА в сумме активов, с итоговой корректировкой на НМА (2 вариант)
Стоимость чистых активов с учетом дополнительного оборотного капитала в 2010 г. , руб. 55 181,83 37 211,35
Чистая прибыль в 2011 г. , руб. 25 292,54 25 292,54
Чистая прибыль на чистые активы при рентабельности акивов 30%, руб. 16 554,55 11 163,40
Величина избыточной прибыли, руб. 8 738,00 14 129,14
Стоимость "Гудвилла" компании (столбец 1), Стоимость всех НМА компании (столбец 2) , руб. 33 607,67 54 342,84
Стоимость "Гудвилла" компании, руб. 36 372,36
Средняя стоимость "Гудвиллла" ООО Компания "Бенотех" 34 990,02

Таким образом, рыночная стоимость "Гудвиллла" ООО компания "Бенотех", определенная с помощью метода избыточной прибыли, составила на 01.10.2011 г. (с учетом округления): 34 990 (Тридцать четыре миллиона девятьсот девяносто тысяч) рублей.

Определение рыночной стоимости ООО компания "Бенотех" сравнительным подходом .

Расчет рыночной стоимости ООО компания "Бенотех" сравнительным подходом не производился. Это связано с тем, что применение метода отраслевых коэффициентов не представляется возможным, т.к. бухгалтерская информация по компаниям-аналогам - обществам с ограниченной ответственностью не подлежит обязательному раскрытию, а информация по объектам-аналогам – открытым акционерным обществам, которая была найдена в сети Интернет (http://www.akm.ru/, http://www.skrin.ru/) в случае использования мультипликаторов может привести к недостоверной стоимости компании, т.к. структура активов и прибыли найденных объектов-аналогов несравнимы с масштабом деятельности рассматриваемого предприятия.

Невозможность применения метода рынка капитала обоснована тем, что объектом оценки является общество с ограниченной ответственностью, а метод рынка капитала основан на рыночных ценах акций.

Метод сделок (продаж) не может быть применим, у эксперта отсутствуют данные о сделках с объектами аналогичными рассматриваемому. В качестве источников информации для поисков аналогов были использованы такие сайты сети Интернет, как

http://biztorg.ru/ - БизТорг – продажа бизнеса;

http://fin.ngs.ru/do/business/sell/ - ФИН.НГС

http://www.bcs.ru/cons/business.asp - БКС Консалтинг - продажа бизнеса;

http://www.brmb.ru/ - The bank or ready-make business;

http://www.deloshop.ru/ - Магазин готового бизнеса;

http://www.e-buysell.biz/;

http://www.gobi.ru/;

http://www.ma-journal.ru/.

Таким образом, сравнительный подход к определению стоимости бизнеса не применялся.

3.3 Согласование результатов и выводы по величине рыночной стоимости предприятия

Различные подходы и методы могут быть использованы в процессе определения стоимости, но решение вопроса об относительной значимости показателей стоимости определяется обоснованным суждением эксперта. Решение вопроса, каким стоимостным показателям придать больший вес и как каждым метод взвешивать по отношению к другим, является ключевым на заключительном этапе определения стоимости.

Существует два базовых метода взвешивания:

- метод субъективного взвешивания;

- метод иерархий.

Цель обоих методов – определить единое значение, но если при субъективном взвешивании эксперт опирается на собственный опыт, то метод иерархий является методом математического взвешивания.

Метод математического взвешивания представляет проблему согласования результатов в виде иерархий. Для целей согласования результатов используются трехуровневые иерархии, которые имеют следующий вид:

- верхний уровень – цель;

- промежуточный уровень – критерии согласования;

- нижний уровень – результаты расчетов стоимости, полученные на основе различных подходов.

Согласование – анализ альтернативных заключений, полученных с применением различных методов определения стоимости, с целью определения единственного (согласованного) значения стоимости объекта экспертного заключения.

Согласование результатов расчетов стоимости проводится в несколько этапов:

- выбор критериев, определяющих использование метода определения стоимости;

- определение степени важности критериев в обеспечении достоверности результатов расчетов стоимости методом парных сравнений;

- определение степени удовлетворения каждого подхода выбранным критериям;

- расчет степени важности методов в обеспечении достоверности конечного результата определения стоимости.

Выбор того или иного подхода осуществляется исходя из специфики рассматриваемого объекта, особенностей конкретного рынка и состава сведений, содержащихся в собранной информации. Следовательно, важнейшими критериями, определяющими применение того или иного подхода при определении стоимости бизнеса, являются:

- соответствие подхода цели экспертного заключения (А);

- достаточность и достоверность информации, используемой при определении стоимости (Б);

- способность учитывать специфические особенности объекта, влияющие на его стоимость (В);

- способность учитывать конъюнктуру рынка (Г).

Критерий А. Соответствие подхода цели экспертного заключения. Данный критерий показывает насколько каждый из подходов удовлетворяет поставленной цели экспертного заключения. Критерий Б. Достаточность и достоверность информации. В зависимости от наличия, точности и информации, используемой в расчетах, эксперт проставляет балл, характеризующий степень обеспеченности применения подхода информацией. Критерий В. Способность учитывать специфические особенности объекта. Определяется экспертно для того или иного подхода в зависимости от месторасположения, размера, масштаба деятельности, имущественного потенциала, нетипичных обстоятельств, связанных с объектом экспертного заключения и т.д. Критерий Г. Способность учитывать текущую ситуацию на рынке. Определяется экспертно для того или иного подхода в зависимости от характера рынка, спроса и предложения, срока экспозиции объекта. Далее в таблицах представлено согласование результатов определения стоимости.

Таблица 10 – Определение степени важности критериев в обеспечении достоверности результатов проведенных расчетов.

А Б В Г Расчет Вес
А 1 1 2 2 1,41 0,31
Б 1 1 4 4 2,00 0,43
В 0,5 0,25 1 0,5 0,50 0,11
Г 0,5 0,25 2 1 0,71 0,15
Итого: 4,62 1,00

Таблица 11 – Определение степени удовлетворения подходов к определению стоимости объекта экспертного заключения критерию А

А Доходный Затратный Расчет Вес
Доходный 1 1 1 0,5
Затратный 1 1 1 0,5
Итого: 2 1,00

Так как целью оценки является консультация относительно рыночной стоимости объекта, то для всестороннего учета всех факторов влияющих на рыночную стоимость, целесообразно детально рассмотреть как доходы бизнеса, так и располагаемые активы. В этой связи по данному критерию ни одному из подходов не дается преимуществ.

Таблица 12 – Определение степени удовлетворения подходов к определению стоимости объекта экспертного заключения критерию Б

Б Доходный Затратный Расчет Вес
Затратный 1,00 3,00 1,73 0,75
Доходный 0,33 1,00 0,58 0,25
Итого: 2,31 1,00

В рассматриваемом случае информация об активах и о рынках данных активов достаточна по объему и точности что позволяет с уверенностью говорить о стоимости активов. Что касается информации, на которую опирается доходный подход, то несмотря на полноту исходных данных, в реализации данного подхода предусматривается широкое использование прогнозных показателей, а также данных, полученных экспертным путем, что, конечно, снижает объективность данного подхода.

Таблица 13 – Определение степени удовлетворения подходов к определению стоимости объекта экспертного заключения критерию В

В Доходный Затратный Расчет Вес
Затратный 1 0,5 0,71 0,33
Доходный 2 1 1,41 0,67
Итого: 2,12 1,00

Доходный подход отражает специфику бизнеса значительно лучше затратного, так как он позволяет рассмотреть объект в рамках их наилучшего наиболее эффективного использования, в составе комплекса, затратный же подход отражает только стоимость активов, не учитывая того факта, что стоимость объекта в рамках комплекса и по отдельности может значительно отличаться.

Таблица 14. – Определение степени удовлетворения подходов к определению стоимости объекта экспертного заключения критерию Г

А Доходный Затратный Расчет Вес
Затратный 1 0,5 0,71 0,33
Доходный 2 1 1,41 0,67
Итого: 2,12 1,00

Так как речь идет о стоимости бизнеса, и о рынке подобных активов, то инвестор гораздо более внимательно смотрит на генерируемый бизнесом денежный поток, чем на ситуацию на рынке принадлежащих бизнесу активов, что определяет лучшее отражение доходным подходом происходящих на рынке тенденций.

Таблица 15 – Расчет степени важности подходов в обеспечении достоверности конечного результата

Метод Вес
0,31 0,43 0,11 0,15
Доходный подход 0,50 0,75 0,33 0,33 0,565
Затратный подход 0,50 0,25 0,67 0,67 0,435

Таблица 16 – Расчет итоговой рыночной стоимости 92 617 штук обыкновенных именных бездокументарных акций, что составляет 100% уставного капитала ООО компания "Бенотех" на 31.12.2009 г.

Наименование подхода Стоимость, рассчитанная данным подходом, руб. Весовой коэффициент, д. ед. Итоговая стоимость, руб.
Доходный 85 172 000 0,57 48 548 040
Затратный 90 213 000 0,44 39 693 720
Итого: 88 241 760
Итого (округленно): 88 242 000

Таким образом, рыночная стоимость 100% уставного капитала ООО компания "Бенотех" составила на 01.10.2010 г. (с учетом округления): 88 242 000 (Восемьдесят восемь миллионов двести сорок две тысячи) рублей.


Заключение

Подводя итоги в данной дипломной работе можно сделать ряд выводов:

1. В работе были рассмотрены и обобщены теоретические основы оценки стоимости предприятия.

Оценка бизнеса является функцией (деятельностью), которую в разных ситуациях часто приходится осуществлять в рыночной экономике. Ею необходимо заниматься и при оценке подлежащего продаже предприятия-банкрота, и при определении того, на какую сумму нормально работающее открытое акционерное общество имеет право выпустить новые акции (на сумму, превышающую балансовую стоимость собственного капитала предприятия), и при исчислении цены, по которой любое акционерное общество (открытое либо закрытое) должно выкупать акции выходящих из него акционеров.

Оценка стоимости предприятия - сложный и трудоемкий процесс, состоящий из следующих этапов:

а) заключение договора на проведение оценки, включающего задание на оценку;

б) сбор и анализ информации, необходимой для проведения оценки;

в) применение подходов к оценке, включая выбор методов оценки и осуществление необходимых расчетов;

г) согласование (обобщение) результатов применения подходов к оценке и определение итоговой величины стоимости объекта оценки;

д) составление отчета об оценке.

2. Изучить научно-практического инструментария оценки бизнеса.

Доходный подход к оценке бизнеса основан на сопоставлении будущих доходов инвестора с текущими затратами. Сопоставление доходов с затратами ведется с учетом факторов времени и риска. Динамика стоимости компании, определяемая доходным подходом, позволяет принимать правильные управленческие решения для менеджеров, собственников, государства и т.д.

Для оценки предприятий по доходу применяют два метода: метод капитализации и метод дисконтирования дохода.

Сравнительный подход предполагает, что ценность собственного капитала фирмы определяется тем, за сколько он может быть продан при наличии достаточно сформированного рынка. Другими словами, наиболее вероятной ценой стоимости оцениваемого бизнеса может быть реальная цена продажи сходной фирмы, зафиксированная рынком.

Затратный (имущественный) подход в оценке бизнеса рассматривает стоимость предприятия с точки зрения понесенных издержек. Балансовая стоимость активов и обязательств предприятия вследствие инфляции, изменений конъюнктуры рынка, используемых методов учета, как правило, не соответствует рыночной стоимости. В результате перед Оценщиком встает задача проведения корректировки баланса предприятия.

3. Была проведена оценка предприятия (бизнеса) ООО "Бенотех"

Компания "Бенотех" появилась на рынке в марте 2001 года как производитель добавок для бетонов. За последние годы деятельность организации значительнорасширилась, были открыты другие направления. Теперь "Бенотех" многопрофильная фирма, у которой в разных городах России, и СНГ свои дилеры, представительства.

Таким образом, рыночная стоимость 100% уставного капитала ООО компания "Бенотех" составила на 01.10.2010 г. (с учетом округления): 88 242 000 (Восемьдесят восемь миллионов двести сорок две тысячи) рублей.

Цели дипломной работы достигнуты.


Список использованных источников

1. Гражданский кодекс Российской Федерации (части первая, вторая и третья) (с изменениями от 20 февраля, 12 августа 1996 г., 24 октября 1997 г., 8 июля, 17 декабря 1999 г., 16 апреля, 15 мая 2001 г., 21 марта, 14, 26 ноября 2002 г., 10 января, 26 марта, 11 ноября, 23 декабря 2003 г.)

2. Налоговый кодекс Российской Федерации - часть первая от 31 июля 1998 г. №146-ФЗ и часть вторая от 5 августа 2000 г. N 117-ФЗ (с изм. и доп. от 25 июля 2008 г.)

3. Федеральный закон "Об оценочной деятельности в Российской Федерации" № 135-ФЗ: от 29 июля 1998г. (ред. от 22.07.2010)

4. Федеральные стандарты оценки: ФСО№1, ФСО№2, ФСО№3, утвержденные приказами: Министерства экономического развития и торговли Российской Федерации (Минэкономразвития России) от 20 июля 2007 г. N 256, № 255, № 254

5. Положение по бухгалтерскому учету "Расходы организации" ПБУ 10/99 (утв. приказом Минфина РФ от 6 мая 1999 г. N 33н) (с изменениями от 30 марта 2001 г.)

6. Положение по бухгалтерскому учету "Бухгалтерская отчетность организаций" (ПБУ 4/99): Приложение к приказу Минфина РФ от 6 июля 1999г. №43н

7. Порядок оценки стоимости чистых активов акционерных обществ", утвержденный приказом Минфина России и ФКЦБ России от 29.01.2003г. №10н/03-06/пз

8. Приказ Минфина РФ от 6 ноября 2001 г. №274 "Об утверждении порядка проверки, текущего финансового состояния организации- получателя бюджетного кредита"

9. Абдулаева Н.А., Колайко Н.А. Оценка стоимости предприятия (бизнеса) - М.: ЭКМОС, 2006 – 346 с.

10. Азрилиян А. Н. , Азрилиян О. М. , Калашникова Е. В. и др. Большой экономический словарь: 24. 8 тыс. терминов, М: Институт новой экономики, 2007, - 1280 с.

11. Алдошин В.М. Методология обоснования оценки бизнеса корпораций в технологиях управления исключительными правами /В.М. Алдошин; Рос. Агенство по пат. и товар. знакам. Информ.-издат. центр. - М.: ИНИЦ Роспатента, 2006.- 152 с.

12. Бланк И.А. Управление активами. — К.: Ника-Центр, Эльга, 2005.— 720 с.

13. Бланк И.А. Управление использованием капитала. — К.: Ника-Центр, Эльга, 2007.— 656 с.

14. Валдайцев С.В. "Оценка бизнеса" - М., ЮНИТИ, 2007г. –352 с.

15. Валдайцев С.В. Оценка бизнеса и управление стоимостью предприятия - М., Проспект, 2008г. –719 с.

16. Валдайцев С.В. Оценка бизнеса: Учебник /С. В. Валдайцев. - М.: Проспект; Велби, 2008.- 352 с..

17. Вахрушина М.А. Бухгалтерский управленческий учет. Учебное пособие. -М.: ЗАО "Финстатинформ", 2005. - 541с.

18. Гиляровская Л.Т. Экономический анализ. - М.: ЮНИТИ-ДАНА, 2005.-615с.

19. Гленн М. Десмонд, Ричард Э. Келли Руководство по оценке бизнеса - М. Российское общество оценщиков, 2004г.

20. Григорьев В.В. Оценка и переоценка основных фондов - М.: ИНФРА-М, 2006г. – 317 с.

21. Грязнова А.Г., Федотова М.А. Оценка бизнеса - М.: Финансы и статистика, 2009. – 736 с.

22. Егерев И.А. Стоимость бизнеса: Искусство упр. /И. А. Егерев. - М.: Дело, 2008.- 479 с.

23. Ермолович Л.Л., Сивчик Л.Г., Толкач Г.В., Щитникова И.В. Анализ хозяйственной деятельности предприятия: – Минск: Интерсервисс; Экоперспектива, 2007. – 576 с.

24. Есипов В.Е. Оценка бизнеса /В.Е. Есипов, Г.А. Маховикова, В.В. Терехова. - СПб.: Питер, 2006.- 415 с.

25. Есипов В.Е. Оценка бизнеса /В.Е. Есипов, Г.А. Маховикова, В.В. Терехова. - М. и др.: Питер, 2005.- 415 с.

26. Журнал "Эксперт" №24(425) от 28 июня – 4 июля 2004г.

27. Информационный бюллетень "Внебиржевой рынок", информационное агентство ФИНМАРКЕТ, Москва

28. Информационный бюллетень "Финансовый маркетинг", Информационное агентство ФИНМАРКЕТ, Москва

29. Калугин В.К. Анализ и оценка рыночной стоимости бизнеса /В.К. Калугин, П.В. Новиков, Д.В. Соколов; С.-Петерб. гос. ун-т экономики и финансов. - СПб.: СПбГУЭФ, 2009.- 93 с.

30. Ковалев В.В. Финансовый анализ: Управление капиталом. Выбор инвестиций. Анализ отчетности. М.: Финансы и статистика, 2006. – 512 с.

31. Ковалев В.В., Волкова О.Н. Анализ хозяйственной деятельности предприятия. – М.: 2009. – 424 с.

32. Кузнецов О. Кредиты малому бизнесу: анализ рисков // Банковское обозрение, №2, февраль 2008. – с. 14-20

33. Любушкин Н.П., Лещева В.Б., Дъякова В.Г. Анализ финансово-экономической деятельности предприятия:. – М.: ЮНИТИ-ДАНА, 2006. – 471 с.

34. Организация и методы оценки предприятия (бизнеса): Учебник /В.И. Кошкин, Н.А. Колайко, В.В. Мокрышев, В.В. Букреев; ]Под ред. Кошкина В.И.; Высш. шк. приватизации и предпринимательства. - М.: ЭКМОС, 2007.- 937 с.

35. Официальный бюллетень Российского фонда федерального имущества "Реформа" №№49-86 за апрель-июнь 2007 года

36. Оценочная деятельность в экономике" по ред. Джуха В.М., Киреев В.Д. – М., Р-наД, ИКЦ "МарТ", 2008г. – 301 с.

37. Козырь Ю.В. Стоимость компании: оценка и управленческие решения. – М.: Альфа-персс, 2009. – 200с.

38. Панков В.В. Анализ и оценка состояния бизнеса: Методология и практика /В. В. Панков. - М.: Финансы и статистика, 2007.- 206 с.

39. Петрова Ю. Мерки для баланса // Секрет фирмы, №09, 2005. – с. 56-59

40. Руководство по оценке стоимости бизнеса /Д. Фишмен, Ш. Пратт, К. Гриффит, К. Уилсон; Пер. с англ. Лопатникова Л.И.; Под ред. Рутгайзера В.М.. - М.: Квинто-Консалтинг, 2006.- 370 с.

41. Рутгайзер В.М. Оценка рыночной стоимости машин и оборудования – М.: Дело, 2005г. –238 с.

42. Рутгайзер В.М. Оценка рыночной стоимости недвижимости – М.: Дело, 2007г. –381 с.

43. Савицкая Г.В. Анализ хозяйственной деятельности предприятия. - 5-е изд. доп. и перераб. - Минск: ООО "Новое знание", 2005. - 687с.

44. Селезнева Н.Н., Ионова А.Ф. Финансовый анализ: Учеб. пособие. – М.: ЮНИТИ-ДАНА, 2006. – 479 с.

45. Статистические показатели экономического и социального развития городов и районов Н-ской области // Статистический бюллетень, январь-декабрь 2004г. (по каталогу 3.1)

46. Тупицын А.Л. Особенности оценки стоимости торгового предприятия // Новосибирск, 2005. Бизнес-Аптека, - 100с.

47. Финансовый бизнес - план. Под ред. Попова В.М. - М.: Финансы и статистика, 2007. – 480 с.

48. 48. Чернов В.А. Экономический анализ. Под ред. проф. М.И. Баканова. - М.: ЮНИТИ-ДАНА, 2008. - 686с.

49. Шеремет А.Д., Сайфулин Р.С., Негашев Е.В. Методика финансового анализа. – М.: ИНФРА-М, 2006. – 208 с.

50. Щербаков В.А. Оценка стоимости предприятий (бизнеса): [Учеб. пособие] /В. А. Щербаков, Н. А. Щербакова; М-во образования Рос. Федерации, Новосиб. гос. техн. ун-т. - Н-ск: НГТУ, 2007.- 126 с

51. Щиборщ К.В. Анализ хозяйственной деятельности предприятий России /К.В. Щиборщ. - М.: Дело и Сервис, 2007.- 320 с.


Приложение А

Таблица 1 Бухгалтерский баланс

БУХГАЛТЕРСКИЙ БАЛАНС (Форма №1 по ОКУД согласно Приказу № 67 от 22.06.2003 г.) Код стр. 01.01.2007 01.01.2008 01.01.2009 30.06.20108
АКТИВ
I. ВНЕОБОРОТНЫЕ АКТИВЫ
Нематериальные активы 110 26 22,00 74 89
Основные средства 120 542 1942,00 4 532 4 731
Незавершенное строительство 130 1 097 0,00 0 0
Доходные вложения в материальные ценности 135 0 0,00 0 0
Долгосрочные финансовые вложения 140 0 0,00 0 0
Отложенные налоговые активы 145 0 0,00 0 0
Прочие внеоборотные активы 150 0 24,00 28 24
ИТОГО по разделу I 190 1 665 1988,00 4 634 4 844
II. ОБОРОТНЫЕ АКТИВЫ
Запасы, в том числе 210 10 310 25 984 31 008 39 731
сырье, материальные и другие аналогичные ценности 4 209 7134,00 9 721 13 598
животные на выращивании и откорме 0 0,00 0 0
затраты в незавершенном производстве (издержках обращения) 0 0,00 0 0
готовая продукция и товары для перепродажи 6 085 18803,00 19 090 25 699
товары отгруженные 0 0,00 0 0
расходы будущих периодов 16 47,00 2 197 434
прочие запасы и затраты 0 0,00 0 0
Налог на добавленную стоимость по приобретенным ценностям 220 1 720 1256,00 22 598
Дебиторская задолженность (платежи по которой ожидаются более чем через 12 месяцев после отчетной даты) 230 0 0,00 0 0
в том числе покупатели и заказчики 0 0,00 0 0
Дебиторская задолженность (платежи по которой ожидаются в течение 12 месяцев после отчетной даты) 240 5 913 11561,00 17 229 17 244
в том числе покупатели и заказчики 3 112 6523,00 9 740 7 633
Краткосрочные финансовые вложения 250 2 288 4190,00 15 945 15 824
Денежные средства 260 258 629,00 585 271
Прочие оборотные активы 270 855,000 528,00 1 024 1415
ИТОГО по разделу II 290 21 344 44 148 65 813 75 083
БАЛАНС (сумма строк 190+290) 300 23 009 46 136 70 447 79 927
ПАССИВ Код стр.
III. КАПИТАЛ И РЕЗЕРВЫ
Уставный капитал (85) 410 10 10 10 10
Собственные акции, выкупленные у акционеров 0 0 0 0
Добавочный капитал (87) 420 0 0 0 0
Резервный капитал, в том числе 430 0 0 0
резервные фонды, образованные в соответствии с законодательством 0 0 0 0
резервы, образованные в соответствии с учредительными документами 0 0 0 0
Нераспределенная прибыль (непокрытый убыток) 470 352 755 1238 1617
ИТОГО по разделу III 490 362 765 1 248 1 627
IV. ДОЛГОСРОЧНЫЕ ОБЯЗАТЕЛЬСТВА 0
Займы и кредиты 510 6 344 7 441 140 5901
Отложенные налоговые обязательства 515 0 110 88 0
Прочие долгосрочные обязательства 520 0 0 0 0
ИТОГО по разделу IV 590 6 344 7 551 228 5 901
V. КРАТКОСРОЧНЫЕ ОБЯЗАТЕЛЬСТВА 0
Займы и кредиты 610 3 484 5 693 13485 6904
Кредиторская задолженность, в том числе 620 11 455 32 085 55444 63954
поставщики и подрядчики 11 405 30 154 48722 54698
задолженность перед персоналом организации 0 0 0 255
задолженность перед государственными внебюджетными фондами 19 19 82 114
задолженность по налогам и сборам 16 170 401 1049
прочие кредиторы 15 1 742 6 239 7838
Задолженность участникам (учредителям) по выплате доходов 630 0 0 0 0
Доходы будущих периодов 640 0 0 0 0
Резервы предстоящих расходов 650 0 0 0 0
Прочие краткосрочные обязательства 660 1 364 42 42 1542
ИТОГО по разделу V 690 16 303 37 820 68 971 72 400
БАЛАНС (сумма строк 490+590+690) 700 23 009 46 136 70 447 79 928

П риложение Б

Таблица 2 Отчет о прибылях и убытках

ОТЧЕТ О ПРИБЫЛЯХ И УБЫТКАХ (Форма №2 по ОКУД) Код стр. 01.01.2007 01.01.2008 01.01.2009 30.06.2010
Выручка (нетто) от продажи товаров, продукции, работ, услуг (за минусом налога на добавленную стоимость, акцизов и аналогичных обязательных платежей) 10 47 386 87614,00 160137,00 121 019,000
Себестоимость проданных товаров, продукции, работ, услуг 20 37555 66146,00 120350,00 77 189
Валовая прибыль 29 9831 21468 39787 43830
Коммерческие расходы 30 9 331 0 35470,00 39 023
Управленческие расходы 40 0 20087,00 0 0
Прибыль (убыток) от продаж 50 500 1 381 4 317 4 807
Прочие доходы и расходы - - - -
Проценты к получению 60 0 0 0 0
Проценты к уплате 70 0 0 0 0
Доходы от участия в других организациях 80 0 0 0 0
Прочие операционные доходы 90 1 528 1942,00 580,00 497
Прочие операционные расходы 100 1 806 2692,00 3797,00 4 716
Внереализационные доходы 120 0 0 0 0
Внереализационные расходы 130 0 0 0 0
Прибыль (убыток) до налогообложения 140 222 631 1 100 588
Отложенные налоговые активы 150 0 0 0 0
Отложенные налоговые обязательства 160 0 0 0 0
Теущий налог на прибыль 170 53 228,00 617,00 204
ЕНВД 180 0 0 0 0
Чистая прибыль (убыток) отчетного периода 190 169 403 483 384

Приложение В

Таблица 4. Расчет "Основных средств" компании ООО "Бенотех"

Наименование основного средства Балансовая стоимость Амортизация Остаточная стоимость Рыночная стоимость, руб. Источник информации
Вид (группа) ОС: Машины и оборудование 4514511,92 1233246,21 3281265,71
Автопогрузчик HELI CHQD 18, инв.№30000190 402542,37 39594,36 362948,01 362948,01
Автопогрузчик NISSAN, инв.№30000082 334745,76 148166,28 186579,48 186579,48
Агрегат электронасосный ГНОМ 10/10, инв.№30000045 2243,85 2019,6 224,25 224,25
Агрегат электронасосный ГНОМ 10/10, инв.№30000004 2243,84 2019,6 224,24 224,24
Аквадистиллятор ДЭ-4-3, инв.№30000038 5525 2925 2600 2600
Бетономешалка, инв.№30000028 20000 17297,28 2702,72 2702,72
Вентилятор ВР100-45 (5-45) в комплекте, инв.№30000053 17782,2 17782,2 0 10800 http://www.tpkom.com/catalog/detail.php?ID=2113
Вентилятор ВЦ4-75 3,15, инв.№30000003 2498,82 2205 293,82 293,82
Гидравлический пресс для испытания бетона, инв.№30000105 228813,56 48454,56 180359 180359
Гранулятор для переработки пластика, инв.№30000108 159788,13 15890,58 143897,55 143897,55
Гранулятор для переработки пластика/1, инв.№30000109 159788,13 15890,58 143897,55 143897,55
Дробилка для переработки пластика в компл с ножом, инв.№30000110 43652,54 6493,68 37158,86 37158,86
Емкость ВПП-1-10, инв.№30000182 18000 2117,6 15882,4 150000
Емкость металлическая 100 м3-(1-1), инв.№30000176 46610,17 4935,15 41675,02 257627,12 http://www.novtehmet.ru/pr_silos.html
Емкость металлическая 100 м3-(1-2), инв.№30000177 46610,17 4935,15 41675,02 257627,12 http://www.novtehmet.ru/pr_silos.html
Емкость металлическая 100 м3-(1-3), инв.№30000178 46610,17 4935,15 41675,02 257627,12 http://www.novtehmet.ru/pr_silos.html
Емкость металлическая 100 м3-(1-4), инв.№30000179 46610,17 4935,15 41675,02 257627,12 http://www.novtehmet.ru/pr_silos.html
Емкость металлическая-1 100 м3, инв.№30000126 46610,17 7128,55 39481,62 257627,12 http://www.novtehmet.ru/pr_silos.html
Емкость металлическая-2 100 м3, инв.№30000127 46610,17 7128,55 39481,62 257627,12 http://www.novtehmet.ru/pr_silos.html
Емкость металлическая-2 25 м3, инв.№30000121 29003,9 4435,86 24568,04 81355,93 http://www.novtehmet.ru/pr_silos.html
Емкость металлическая-3 100 м3, инв.№30000128 46610,17 7128,55 39481,62 257627,12 http://www.novtehmet.ru/pr_silos.html
Емкость металлическая-3 25 м3, инв.№30000122 29003,9 4435,86 24568,04 96000 http://www.novtehmet.ru/pr_silos.html
Емкость нержавеющая 18 м.куб., инв.№30000183 260016,95 27203,52 232813,43 232813,43
Измельчитель УИМ-2, инв.№30000063 33067,8 28599,04 4468,76 4468,76
Измельчитель УИМ-2С, инв.№30000083 37457,63 11898,36 25559,27 25559,27
Источник бесперебойного питания Smart-UPS, инв.№30000080 17283,9 7933,52 9350,38 9350,38
Компрессор гаражный С-416 М, инв.№30000059 39168,64 21189,63 17979,01 17979,01
Компрессор К-2, инв.№30000074 31737,29 15397,02 16340,27 16340,27
Компрессор К-2/1, инв.№30000099 32415,25 11159,4 21255,85 21255,85
Компрессор К-25, инв.№20000003 8854,2 7812,45 1041,75 1041,75
Компрессорная установка К-6 в компл., инв.№30000057 36377,12 18723,6 17653,52 17653,52
Компьютер 12, инв.№30000049 29112,04 29112,04 0 3000
Компьютер 1К, инв.№30000046 16478,04 7653,32 8824,72 8824,72
Компьютер 2 К, инв.№30000047 20489,5 8738,12 11751,38 11751,38
Компьютер 3 К, инв.№10000004 22459,09 9322,86 13136,23 13136,23
Компьютер 4 К, инв.№10000005 28945,44 11106,08 17839,36 17839,36
Компьютер 5 К, инв.№30000005 21897,63 9854,04 12043,59 12043,59
Компьютер Intel Core 2 Duo E4300, инв.№30000120 17850,85 9996,42 7854,43 7854,43
Компьютер NTEL Celeron D326J, инв.№30000065 14677,12 12297,08 2380,04 2380,04
Компьютер NTEL Celeron D326J, инв.№30000064 14677,12 12297,08 2380,04 2380,04
Компьютер NTEL Celeron D336/1, инв.№30000076 16788,56 13158,46 3630,1 3630,1
Компьютер NTEL Celeron D336/2, инв.№30000077 16788,56 13158,46 3630,1 3630,1
Компьютер Pentium4 S-478, инв.№30000056 22222,22 18193,65 4028,57 4028,57
Компьютер Pentium4 S-775, инв.№30000100 22564,32 12806,85 9757,47 9757,47
Компьютер PentiumD 820, инв.№30000117 20695,51 14072,94 6622,57 6622,57
Конвектор КН-1,97к "Комфорт", инв.№30000052 12421,02 12421,02 0 300
Кондиционер HAIER HSU-07RD03, инв.№30000068 12711,87 10650,36 2061,51 2061,51
Кондиционер HAIER HSU-07RD03, инв.№30000067 12711,86 10650,36 2061,5 2061,5
Кондиционер HAIER HSU-09RD03, инв.№30000069 15254,24 12780,68 2473,56 2473,56
Копировальный аппарат Ricoh Afico, инв.№30000078 22325,42 17072,33 5253,09 5253,09
Мазутная горелка IL-5 FTUZ, инв.№30000115 216894,49 42099,88 174794,61 174794,61
Машина по измерению водопроницаемости бетона, инв.№30000106 67101,69 13433,9 53667,79 53667,79
Насос Grunf.ap 12.40.08, инв.№30000062 14060 8067,15 5992,85 5992,85
Насос ар.12.40.08, инв.№30000097 15500 13640 1860 1860
Насос вкс 4-28А, инв.№30000091 12593,22 11585,79 1007,43 1007,43
Насос вкс 4-28А/1, инв.№30000092 12593,22 11585,79 1007,43 1007,43
Насос ГНОМ 53*10Т, инв.№30000060 10338,98 5593,17 4745,81 4745,81
Насос ГНОМ 53*10Т, инв.№30000086 11864,41 11389,92 474,49 474,49
Насос СМ 80-50-200/2б, инв.№30000093 14137,29 13006,27 1131,02 1131,02
Насос СМ 80-50-200/2б/1, инв.№30000094 14137,29 13006,27 1131,02 1131,02
Насос СМ 80-50-200/2б/2, инв.№30000095 14137,29 13006,27 1131,02 1131,02
Потенциостат-гальваностат IPC-Compact, инв.№30000055 41600 41600 0 31500 http://www.tender.pro/company_price_list.shtml?sid=&scat=&by_moderate=0&companyid=10114&folders=&access_to=&filter=%CF%EE%F2%E5%ED%F6%E8%EE%F1%F2%E0%F2&folders=0&search_engine=new&x=48&y=11
Пресс-форма для изготовления бутылки 0,35л, инв.№30000023 20189,44 11216,25 8973,19 8973,19
Принтер HEWLETT-PACKARD LJ-1200 ЛАЗЕРНЫЙ А4, инв.№30000036 7423,18 3711,6 3711,58 3711,58
Реактор (V=1 м3 ) эмаль (в комлекте), инв.№30000191 194915,25 16051,84 178863,41 178863,41
Резательная машина с одной стойкой 1, инв.№30000180 73231,36 9477,05 63754,31 63754,31
Резательная машина с одной стойкой 2, инв.№30000181 73231,35 9477,05 63754,3 63754,3
Резервуар для производства ПМП, инв.№30000130 305932,2 39591,2 266341 266341
Сервер HP ProLiant DL380R04, инв.№30000085 103054,24 63953,52 39100,72 39100,72
Станция телефонная автоматическая, инв.№30000073 43497,2 10784,4 32712,8 32712,8
Трансформатор сварочный ТДМ-405, инв.№30000084 10678,81 4201,44 6477,37 6477,37
Трансформатор сварочный ТДМ-405/1, инв.№30000102 15872,03 4683,6 11188,43 11188,43
Трансформатор сварочный ТДМ-405/2, инв.№30000113 15872,03 4683,6 11188,43 11188,43
Факс Panasonic KX-FT63 RS, инв.№30000037 3331,06 1827,9 1503,16 1503,16
Холодильная камера для проверки морозоустойчивости, инв.№30000107 129873,56 12862,81 117010,75 117010,75
Циклон ЦН 15-500х1УП, инв.№30000054 13843,22 13843,22 0 8365,68
Шит ШР, инв.№30000090 10169,49 2751,72 7417,77 7417,77
Шкаф сушильный SNOL-67/350, инв.№30000114 21431,31 3011,04 18420,27 18420,27
Шнек к ДАИП, инв.№30000013 32300 22239,42 10060,58 10060,58
Экструдер для переработки пластика с пультом, инв.№30000111 177677,97 17375,58 160302,39 160302,39
Экструдер для переработки пластика с пультом/1, инв.№30000112 177677,96 17375,58 160302,38 160302,38
Вид (группа) ОС: Производств. и хозяйств. инвентарь 1173346,96 350997,25 822349,71
Агрегат Ш 40- 4-19,5/4 (насос), инв.№30000194 25567,8 2045,42 23522,38 23522,38
Анализатор влажности Эвлас-2М, инв.№30000161 37288,14 9070,11 28218,03 28218,03
Ванна для насыщения водой и оттаивания щебня, инв.№30000118 35059,32 9195,84 25863,48 25863,48
Весы ВТМ-300, инв.№30000103 10127,12 1674 8453,12 8453,12
Весы электронные ПН-3-3000, инв.№30000174 30254,24 2500,4 27753,84 27753,84
Измельчитель универсальный, инв.№30000030 34553,68 13760,1 20793,58 20793,58
Комплект лабораторного оборудования, инв.№30000072 81360,09 29672,58 51687,51 51687,51
Компрессор К-2/2, инв.№30000162 32000 5770,49 26229,51 26229,51
Компрессор К-2/3, инв.№30000189 33237,29 3814,09 29423,2 29423,2
Компрессор С-416М, инв.№30000166 43991,53 7932,87 36058,66 36058,66
Компрессорная установка К-6, инв.№30000031 34694,66 22959,9 11734,76 11734,76
Компьютер IntelCore 2 DuoE4400, инв.№30000168 14987,29 4829,88 10157,41 10157,41
Компьютер IntelCore 2 DuoE4500, инв.№30000160 19485,59 7014,78 12470,81 12470,81
Кондиционер MVM015GR/MLC015CR/1, инв.№30000124 23511,86 8260,98 15250,88 15250,88
Кондиционер MVM015GR/MLC015CR/2, инв.№30000125 23511,86 8260,98 15250,88 15250,88
Котел паровой Е-1.0-9Р2, инв.№30000193 165254,23 0 165254,23 165254,23
Котел ТГЭ "Факс" КВр-31,5 (31,5/29/9) (лев..обр), инв.№30000123 16777,99 2566,07 14211,92 14211,92
Лабораторный рН-метр АНИОН-4100, инв.№30000129 10500 3405,36 7094,64 7094,64
Масляный радиатор, инв.№30000075 1344,07 1162,56 181,51 181,51
Металлическая емкость (контейнер), инв.№30000058 122881,36 68491,3 54390,06 54390,06
Нагреватель воздуха BLP 70M, инв.№30000167 11711,86 2112 9599,86 9599,86
Насос 4Гном 53/10, инв.№30000170 10762,71 4735,61 6027,1 6027,1
Насос 4ГНОМ 53/10, инв.№30000171 10762,71 4305,1 6457,61 6457,61
Насос ВК(С)-5/32А, инв.№30000165 17796,61 6406,74 11389,87 11389,87
Насос вкс 4-28 (5,5*1500), инв.№30000163 14000 6160 7840 7840
Насос вкс 4-28 (5,5*1500)/2, инв.№30000172 15000 6000 9000 9000
Насос вкс 4-28 (5,5*1500)/2-1, инв.№30000173 15000 6000 9000 9000
Насос вкс 4-28 (5,5*1500)1, инв.№30000164 14000 6160 7840 7840
Насос вкс 4-28(5.5*1500)/5, инв.№30000175 15000 6000 9000 9000
Насос вкс5-32ау2(11х1500), инв.№30000033 11112,71 11112,71 0 0
Насос поверхностный MULTINOX-A 200/80, инв.№30000159 13736,36 4945,05 8791,31 8791,31
Насос СМ 80-50-200б/4, инв.№30000104 15656,78 7616,88 8039,9 8039,9
Насос хм2-25к(1,1х3000), инв.№30000035 14237,27 14237,27 0 11151 http://www.mnz.ru/?i=4&a=browse&kat=25
Преобразователь расхода ЭВ-205, инв.№30000098 41525 10747,66 30777,34 30777,34
Принтер/копир/сканер НР LJ M2727 nf MFP, инв.№30000188 23434,75 4433,59 19001,16 19001,16
Пылесос THOMAS, инв.№30000071 11670,34 9462,3 2208,04 2208,04
Стол-мойка ЛАБ-1400 МОГ, инв.№30000061 19205,08 10389,72 8815,36 8815,36
Таль эл.1т Н6м, инв.№30000187 32203,39 2652,02 29551,37 29551,37
Таль эл.2т Н6м, инв.№30000186 48728,81 4012,96 44715,85 44715,85
Устройство УРИ, инв.№30000169 12559,32 2264,79 10294,53 10294,53
Циклон ЦН-15-300х1УП, инв.№30000048 8855,14 8855,14 0 8365,68
Вид (группа) ОС: Сооружения 873656,8 245971,68 627685,12
Баннер (Рекламная конструкция), инв.№30000096 20453,39 18817,22 1636,17 1636,17
Вентиляционная система, инв.№30000192 52628,16 3451,04 49177,12 49177,12
Емкость металлическая 25м3, инв.№30000116 19915,25 3983,1 15932,15 15932,15
Емкость металлическая-1 25 м3, инв.№30000119 19915,25 3748,8 16166,45 16166,45
Резервуар производственный 1, инв.№30000066 118488,54 44607,36 73881,18 73881,18
Резервуар производственный 1/1ф, инв.№30000089 109322,03 24921,35 84400,68 84400,68
Резервуар производственный 2, инв.№30000070 59329,66 20940 38389,66 38389,66
Резервуар производственный 3, инв.№30000079 86972,12 29672,8 57299,32 57299,32
Резервуар производственный 4, инв.№30000087 100621,44 28410,72 72210,72 72210,72
Резервуар производственный 5, инв.№30000088 223722,82 60536,69 163186,13 163186,13
Резервуар производственный 6, инв.№30000101 62288,14 6882,6 55405,54 55405,54
Итого: 6 585 365,24
Оценить/Добавить комментарий
Имя
Оценка
Комментарии:
Хватит париться. На сайте FAST-REFERAT.RU вам сделают любой реферат, курсовую или дипломную. Сам пользуюсь, и вам советую!
Никита02:04:22 03 ноября 2021
.
.02:04:21 03 ноября 2021
.
.02:04:20 03 ноября 2021
.
.02:04:19 03 ноября 2021
.
.02:04:19 03 ноября 2021

Смотреть все комментарии (16)
Работы, похожие на Дипломная работа: Оценка стоимости предприятия (бизнеса) ООО "Бенотех"

Назад
Меню
Главная
Рефераты
Благодарности
Опрос
Станете ли вы заказывать работу за деньги, если не найдете ее в Интернете?

Да, в любом случае.
Да, но только в случае крайней необходимости.
Возможно, в зависимости от цены.
Нет, напишу его сам.
Нет, забью.



Результаты(294402)
Комментарии (4230)
Copyright © 2005 - 2024 BestReferat.ru / реклама на сайте