ЗМІСТ
1. Розрахунок турбокомпресора
2. Розрахунок компресора
Література
1. РОЗРАХУНОК ТУРБОКОМПРЕСОРА
Вихідні дані:
Марка двигуна по ДСТ………………………………...….4ЧН 12/14
Діаметр циліндра………………………………………….Д
ц
=0,12 м
Хід поршня…………………………………………………S
= 0,14 м
Температура навколишнього повітря…………………….t
о
=293 К
Барометричний тиск повітря……………………...P
o
= 1013000,1013 Па
Вибираємо:
Теоретично необхідна кількість повітря для повного згоряння 1-го кг палива…………………………………………………
Коефіцієнт надлишку повітря……….…………………….a
= 2,5
Швидкість поршня…………………………………………C
m
= 9 м/с
Адіабатний ККД……………………………………………η
ад.
= 0,7
P
s
/P
k
= 0,98
η
0
= 0,7
T
01
= 300 К
∆T
a
= 20 К
γ
r
= 0,03
Температура вихлопних газів………………………….......T
r
= 750 К
Ступінь стиску……………………………………..…….....ε
= 14
P
a
/P
s
= 0,85
Газова стала………………………………………………...R
= 287
Кількість циліндрів……………………………………….…z
= 4
Тактність двигуна…………………………………….……..i
= 4
Витрата пального…………………………………….……...g
е
= 0,21
Ступінь підвищення тиску………………………...…….…π
к
= 1,5
φ
а
= 1,16
∆Р
a
= 0,002
Обороти:

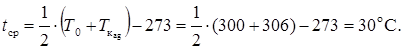
Тиск повітря у ресивері двигуна:

Температура повітря після компресора:

Температура повітря у ресивері:

Температура повітря на початку стиску:

Коефіцієнт наповнення:

Змінний об’єм циліндра:

Витрата повітря через компресор:

Потужність двигуна:
 
Середній ефективний тиск:

Густина повітря:
ρ
=1,205.
Об’ємний розхід:

Вибираємо турбокомпресор за Q
або G
за діаграмами ТКР-7.
2. РОЗРАХУНОК КОМПРЕСОРА
Основні вихідні дані.
Витрати повітря через компресор (з розрахунків)…………G
к
= 0,079 м/с
Ступінь підвищення тиску (з попередніх розрахунків)………..π
к
= 1,5
ККД компресора по ГОСТ 9658-81………………………………n
к
= 0,68
Діаметр колеса на виході……………………………………….D
2
= 0,07 м
Число лопаток колеса……………………………………………...z
к
= 14
Число лопаток дифузора…………………………….…………….z
д
= 17
Розрахунок параметрів і показників компресора.
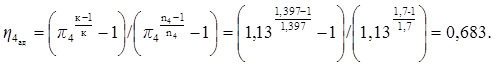
Показник адіабати…………………………………………….к
пр
= 1,397
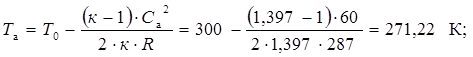
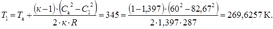
Температура після компресора при адіабатному стиску:

Середня температура в процесі стиску:

Середня теплоємність при постійному об’ємі:

Уточнене значення показника адіабати:
Забиваем Сайты В ТОП КУВАЛДОЙ - Уникальные возможности от SeoHammer
Каждая ссылка анализируется по трем пакетам оценки: SEO, Трафик и SMM.
SeoHammer делает продвижение сайта прозрачным и простым занятием.
Ссылки, вечные ссылки, статьи, упоминания, пресс-релизы - используйте по максимуму потенциал SeoHammer для продвижения вашего сайта.
Что умеет делать SeoHammer
— Продвижение в один клик, интеллектуальный подбор запросов, покупка самых лучших ссылок с высокой степенью качества у лучших бирж ссылок.
— Регулярная проверка качества ссылок по более чем 100 показателям и ежедневный пересчет показателей качества проекта.
— Все известные форматы ссылок: арендные ссылки, вечные ссылки, публикации (упоминания, мнения, отзывы, статьи, пресс-релизы).
— SeoHammer покажет, где рост или падение, а также запросы, на которые нужно обратить внимание.
SeoHammer еще предоставляет технологию Буст, она ускоряет продвижение в десятки раз,
а первые результаты появляются уже в течение первых 7 дней.
Зарегистрироваться и Начать продвижение

Перевірка:
,
к
пр
- значення прийняте на початку розрахунку;
∆к
- повинна бути в межах 0,2%.
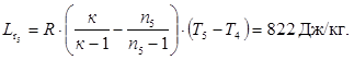
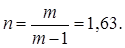
Питома робота, затрачувана на привід компресора:

R
= 287- газова постійна;
Товщина лопаток на виході δ
2
= 0,002 м;
Емпіричний коефіцієнт циркуляції К
90
= 0,015.
Коефіцієнт циркуляції:

Коефіцієнт дискового тертя:
α
д
= 0,05.
Коефіцієнт робот:

Окружна швидкість колеса на діаметрі D2
:

Частота обертання ротора турбокомпресора:
хв-1
.
Потужність, що споживається компресором:

Розрахунок вхідного пристрою та обертового прямуючого апарата (ОПА).
Тиск перед компресором:

Швидкість на вході в компресор:
Ca
= 60.
Параметри потоку на вході:
- температура:

- тиск:

- щільність:

Прохідний перетин вхідного патрубка:

Відносна величина швидкості потоку на вході в колесо (рекомендовані значення):

Швидкість на вході в колесо:

Температура повітря перед колесом:

Коефіцієнт втрат у вхідному пристрої:

Втрата вхідному пристрої:

Коефіцієнт для визначення ділення показника політропи:

Показник політропи у вхідному пристрої:

Тиск на вході в колесо:

Щільність на вході:

Прохідний перетин колеса на вході:

Відносна величина діаметра маточини колеса:

Діаметр маточини:

Відносний зовнішній діаметр колеса на вході:

Зовнішній діаметр колеса на вході:

Середній діаметр колеса на вході:

Окружна швидкість на середньому діаметрі:

Відносна швидкість потоку на вході у ОПА:

Кут потоку на вході в колесо:

Розрахунок робочого колеса компресора.
Коефіцієнт втрат на вході в колесо:

Втрати на вході в колесо:

Коефіцієнт втрат при повороті потоку в колесі:

Втрати при повороті потоку:

Втрати на тертя диска о газ:

Сумарні втрати в колесі:

Температура повітря на виході з колеса:

t
2
= 25,9531о
С.
Коефіцієнт для визначення показника політропи в колесі:

Показник політропи стиску повітря в колесі:

Тиск на виході з колеса:

Щільність повітря на виході:

Крок лопаток на виході:

Коефіцієнт загромадження перетину на виході:

Радіальні складові абсолютної і відносної швидкостей:

Окружна складова абсолютної швидкості:

Абсолютна швидкість повітря на виході з колеса:

Окружна складова відносної швидкості:

Відносна швидкість потоку на виході:

Кут виходу потоку в абсолютному русі:

Кут виходу потоку у відносному русі:

Кут відставання потоку:

Ширина лопаток колеса на виході:

Ступінь підвищення тиску в колесі:

Адіабатний ККД робочого колеса:

Розрахунок безлопаточного дифузора.
Відносний зовнішній діаметр дифузора:

Зовнішній діаметр дифузора:

Відносна ширина дифузора на виході:
Сервис онлайн-записи на собственном Telegram-боте
Попробуйте сервис онлайн-записи VisitTime на основе вашего собственного Telegram-бота:
— Разгрузит мастера, специалиста или компанию;
— Позволит гибко управлять расписанием и загрузкой;
— Разошлет оповещения о новых услугах или акциях;
— Позволит принять оплату на карту/кошелек/счет;
— Позволит записываться на групповые и персональные посещения;
— Поможет получить от клиента отзывы о визите к вам;
— Включает в себя сервис чаевых.
Для новых пользователей первый месяц бесплатно.
Зарегистрироваться в сервисе

Ширина дифузора на виході:

Відносна зміна щільності повітря в дифузорі:

Швидкість потоку на виході із дифузора:

Температура потоку на виході:

Показник політропи процесу стиску в дифузорі:

Тиск на виході з дифузора:

Щільність повітря на виході:

Перевірка відносної зміни щільності:

Перевірка:

(r
3
/r
2
)пр
- значення прийняте на початку розрахунку;
D
(r
3
/r
2
) - повинна бути в межах 1%.
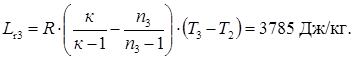
Втрати в щілинному дифузорі:

Ступінь підвищення тиску в дифузорі:

Адіабатний ККД безлопаточного дифузора:

Розрахунок лопаточного дифузора.
Зовнішній діаметр дифузора:

Кут розкриття дифузора в меридіальній площині:

Ширина дифузора на виході:

Кут потоку на вході в дифузор:

Кут виходу потоку:

Крок лопаток на вході при z
д
= 13:

Товщина лопаток на вході:

Коефіцієнт загромадження перетину на вході:

Прохідний перетин на вході в дифузор:

Швидкість потоку на вході в дифузор:

Товщина лопаток на виході з дифузора:

Крок лопаток на виході:

Коефіцієнт загромадження перетину на виході:

Прохідний перетин на виході:

Дифузорність каналів лопаточного дифузора:

Показник політропи в дифузорі:

Коефіцієнти безрозмірного рівняння збереження енергії:



Ступінь підвищення температури в дифузорі:
при β
= 1,0503.
Температура повітря на виході:

Швидкість потоку на виході із дифузора:

Тиск повітря на виході:

Щільність повітря:

Втрати в лопаточному дифузорі:

Ступінь підвищення тиску в дифузорі:

Адіабатний ККД лопаточного дифузора:

Розрахунок збірного равлика.
Швидкість потоку на виході з компресора:

Температура потоку на виході з компресора:

Показник політропи в збірному равлику:

Тиск на виході:

Щільність повітря на виході:

Прохідний перетин вихідного патрубка:

Втрати у вихідному пристрої:

Ступінь підвищення тиску в равлику:

Адіабатний ККД равлика:

Розрахунок параметрів стиснутого повітря і ККД компресора.
Температура загальмованого потоку на виході:

Тиск загальмованого потоку:

Ступінь підвищення тиску в компресорі:

Перевірка:

π
кпр
- значення прийняте на початку розрахунку;
∆π
к
- повинна бути в межах 3%.
Питома адіабатна робота компресора:

Сумарна витрата енергії на подолання опорів:

Коефіцієнт для випередження показника політропи в компресорі:

Показник політропи стиску повітря в компресорі:

Робота компресора при політропному стиску:

Адіабатний ККП компресора:

Перевірка:

∆η
к
- повинна бути в межах 3%.
|