|
1. Цели и структура бизнес-плана, основные требования, предъявляемые к нему. Виды инвестиционных проектов, для которых разрабатываются бизнес-планы. Факторы, влияющие на привлекательность инвестиционного проекта для инвестора
Бизнес-план - комплексный (сводный) план развития бизнеса (предприятия, обособленного подразделения, инвестиционного проекта и т.п.). Основная черта БП – сводный хар-р (он взаимоувязывает все основные функциональные сферы деятельности предприятия – от производственно-технической до маркетингово-сбытовой, оценивая при этом их влияние, во-первых, друг на друга и, во-вторых, – на результирующие целевые показатели предприятия в целом). Бизнес-план – форма оцененных и проанализированных альтернатив, представляемых лицу, принимающему решение (ЛПР), для последующего выбора им приоритетной альтернативы. С другой стороны, бизнес-план – компактный документ, являющийся общепризнанной международной формой представления ИнвПр кредитному учреждению или инвестору. Цели БП-я: - экономическое обоснов-е эфф-ти и окупаемости инвестиций в инновации; -инфа для потенциальных инвесторов, принимающих реш-е об участии в ИП (ЛПР); -обоснов-е кредитных линий; -инструмент для управления ИП (ср-во мониторинга).
Требования к БП: -понятность БП, в т.ч. для людей, не являющихся профессионалами в описываемой сфере деятельности; - БП должен строиться на основе реальной, непредвзятой информации, полученной из доступных источников и содержать ссылки на документы, результаты исследований, отчеты и заключения экспертов; - в БП не должны быть включены сомнительные или неопределенные допущения и выводы, которые не основаны на расчетах и экспертных оценках; - в БП должна быть представлена достоверная инфомация о рисках от участия в инвестиционном проекте, по которым должен быть сделан беспристрастный анализ и рассмотрены варианты их избежания или минимизации. Структура БП:
1. Резюме/бизнес-оферта (краткое содержание БП, открытый док-т: объём инвестиций, % кр, срок окупаемости, рентабельность, кто, что..)
2. Информация о компании, реализующей проект (реквизиты, местополож-е, предыстория, структура капитала, ключевые фигуры)
3. Цели проекта, его сущность и место его реализации, цели БП, шаг (min отрезок времени, на кот равномерно разбивается горизонт планирования) и горизонт планирования (предельн время, на кот проводится расчёт экономических показателей ИП). Нормативно-правовые аспекты реализации проекта (устав, учредит договор, налоговое окружение, лицензии и организационно-правовая форма участников проекта)
Забиваем Сайты В ТОП КУВАЛДОЙ - Уникальные возможности от SeoHammer
Каждая ссылка анализируется по трем пакетам оценки: SEO, Трафик и SMM.
SeoHammer делает продвижение сайта прозрачным и простым занятием.
Ссылки, вечные ссылки, статьи, упоминания, пресс-релизы - используйте по максимуму потенциал SeoHammer для продвижения вашего сайта.
Что умеет делать SeoHammer
— Продвижение в один клик, интеллектуальный подбор запросов, покупка самых лучших ссылок с высокой степенью качества у лучших бирж ссылок.
— Регулярная проверка качества ссылок по более чем 100 показателям и ежедневный пересчет показателей качества проекта.
— Все известные форматы ссылок: арендные ссылки, вечные ссылки, публикации (упоминания, мнения, отзывы, статьи, пресс-релизы).
— SeoHammer покажет, где рост или падение, а также запросы, на которые нужно обратить внимание.
SeoHammer еще предоставляет технологию Буст, она ускоряет продвижение в десятки раз,
а первые результаты появляются уже в течение первых 7 дней.
Зарегистрироваться и Начать продвижение
4. Маркетинг (положение дел в отрасли, целевые рынки, конкуренция, ассортимент реализуемых товаров, прогноз продаж и продвижение товаров,прогноз вх финансовых потоков)
5. Менеджмент проекта (оргструктура компании, распределение полномочий и ф-ий, штатное расписание)
6. Организация производства и технологии (производственный цикл: работа с поставщиками и обеспечение ресурсами, размещение и организация производства, организация сбыта и реклама, режим работы компании)
7. Текущие затраты на производство (прогноз условно-постоянных и условно-переменных затрат, структура затрат)
8. Инвестиционный план и источники его финансирования (капитальные вложения и вложения в оборотные средства)
9. Финансовый прогноз. Основные предположения и допущения. Исходные параметры инвестиционного проекта. Варианты (сценарии) финансового прогноза. Результаты финансового прогноза
10. Оценка эффективности проекта (показатели (срок окуп-ти, рентаб-ть) и комментарий к ним)
11. Оценка финансовой устойчивости проекта к рискам (показатели риска кредиторов, выбор риск-параметров и целевой функции, анализ чувствительности финансового прогноза к рискам, оценка предельно-допустимых отклонений риск-параметров для самого "опасного" периода планирования, мероприятия по снижению влияния рисков на проект)
Виды ИП, для кот разрабатываются БП:
· Тактический БП (краткосрочные ИП, реализуемые действующей фирмой) (=стоит ли расширять biz)
· БП для открытия biz (создание новой фирмы)
· Стратегические БП (обоснование долгосрочной программы развития фирмы).
Основные факторы, влияющие на привлекательность ИП для инвестора:
· Финансово-экономические показатели эффективности операционной и инвестиционной деятельности;
· Влияние внешней среды ИП;
· Показатели степени рискованности вложений.
Основа технологии бизнес-планирования – динамическая модель финансовых потоков (Cash-Flow).
2. Маркетинговый раздел бизнес-плана. Модель Портера. Основные задачи маркетингового раздела. Ценовая политика и прогноз объемов реализации продуктов или услуг
Маркетинговый раздел БП должен содержать ответы на вопросы:
1. Что продаем? (Широта и глубина ассортимент товаров, потребительские характеристики и качество товаров, дизайн).
2. Кому продаем? (Потребители, сегментация потребителей, целевые рынки, распределение ассортимента по рынкам).
Сервис онлайн-записи на собственном Telegram-боте
Попробуйте сервис онлайн-записи VisitTime на основе вашего собственного Telegram-бота:
— Разгрузит мастера, специалиста или компанию;
— Позволит гибко управлять расписанием и загрузкой;
— Разошлет оповещения о новых услугах или акциях;
— Позволит принять оплату на карту/кошелек/счет;
— Позволит записываться на групповые и персональные посещения;
— Поможет получить от клиента отзывы о визите к вам;
— Включает в себя сервис чаевых.
Для новых пользователей первый месяц бесплатно.
Зарегистрироваться в сервисе
3. Сколько единиц продаем? (Прогноз натуральных объемов продаж по каждой товарной группе в каждом периоде планирования, доля рынка с учетом влияния конкурентов).
4. По каким ценам продаем? (Ценовая политика фирмы по всему ассортименту с учетом влияния конкурентов, прейскурант, скидки, надбавки, условия кредитования потребителей)
5. Как продаем? (Реклама, торговая марка, упаковка, каналы продвижения товаров, гарантии, послепродажное обслуживание, возврат, доставка, сбытовая сеть, стимулирование сбыта, связь с общественностью).
6. Кто наши конкуренты? (Перечень конкурентов и география их деятельности, сравнительная характеристика их товаров, ценовая политика, каналы сбыта, рекламная политика, оценка их долей рынка).
Основные задачи маркетингового раздела БП:
· Создание базы для планирования производственных характеристик БП;
· Обоснование финансово-экономических показателей БП;
· Детализация основной деятельности компании, описание ассортимента продукции(услуг);
· Обоснование целесообразности реализации проекта (достаточность спроса, конкурентоспособность продукции/услуг и т.п.).

*Потенциальные конкуренты влияют на деятельность фирмы, если она уже добилась успеха на новом рынке.
Т.о. конкуренты (существующие и потенциальные) могут влиять на занимаемую компанией долю рынка; потребители влияют на верхнюю границу цены; поставщики – на себестоимость товара и нижнюю границу цены.
Ценовая политика и прогноз объёмов реализации продуктов или услуг:
Ценовая политика фирмы – определение и поддержание оптимальных уровней структуры цен на товары и услуги в рамках ассортимента и номенклатуры фирмы и конкретного рынка, своевременное изменение цен для достижения максимально возможного успеха в конкретной рыночной ситуации.
Ценовая политика должна:
· Поддерживать общую стратегию развития и корпоративную политику;
· Реализовывать финансовые цели;
· Соответствовать реалиям рыночной среды.
Цена должна устанавливаться таким образом, чтобы, с одной стороны, удовлетворять нужды и потребности покупателей, а с другой — способствовать достижению поставленных предприятием целей, заключающихся в обеспечении поступления достаточных финансовых ресурсов. К возможным целям ценовой политики относятся:
1. Обеспечение выживаемости фирмы;
2. Максимизация текущей прибыли;
3. Завоевание лидерства по показателю "доля рынка";
4. Завоевание лидерства по показателю "качество продукции";
5. Политика "снятия сливок";
6. Краткосрочное увеличение объемов сбыта продукции.
Методы ценеобразования:
· Метод "Средние издержки + прибыль" (затратный метод). Заключается в начислении наценки на себестоимость. Преимущество: издержки определить проще, чем спрос на товары (услуги). Недостаток: не учитываются факторы спроса, что может привести к упущению потенциальной прибыли.
· Метод, ориентированный на анализ безубыточности и обеспечение целевой прибыли. Цена устанавливается на уровне издержек с учётом нормы прибыли. При этом рассматриваются различные уровни цен, обеспечивающие безубыточность преприятия и получение целевой прибыли. Анализируется чувствительность товара к изменению цены.
· Установление уровня цен, такого же, как у конкурентов.
Прогноз объёмов реализации. Существующие методы прогнозирования можно классифицировать по двум критериям: по степени свободы процесса прогнозирования от субъективности и по объему аналитической работы. Соответственно, на разных полюсах находятся субъективные (качественные) и объективные (количественные) методы, а также эвристические (экстраполяционные, аппроксимационные) и аналитические (причинно-следственные) методы:

Прогноз объёмов продаж для целей БП может также строиться на результатах бенчмаркинга. В качестве объектов бенчмаркинга должны выбираться аналогичные по размеру предприятия, расположенные на исследуемом региональном рынке и выпускающие аналогичную продукцию.
Для получения необходимой информации об объёмах сбыта объектов бенчмаркинга необходимо использовать интервьюирование экспертов из числа представителей данных предприятий, а также наблюдение и эксперимент.
3. Расчет текущих издержек (условно-постояные и условно-переменные издержки). Оценка себестоимости выпускаемых товаров. Оценка потребности и расходов на рабочую силу
Расчёт текущих издержек (условно-постояные и условно-переменные издержки).
Все текущие расходы при реализации операционной деятельности в рамках инвестиционного проекта можно разделить на условно-переменные (зависящие от объемов производства) и условно-постоянные (независящие от объемов производства).
Для расчёта условно-переменных издержек сначала рассчитываются удельные условно-переменные издержки (на единицу продукции). Следует раскрыть все виды материальных затрат (сырье, материалы, покупные комплектующие и полуфабрикаты, работы и услуги производственного характера, выполненные сторонними организациями, топливо, энергия, вода), используемых для производства и реализации продукции. При этом их единицы измерения следует выбирать адекватно выбранным единицам измерения по соответствующим видам производимой продукции (услуг), общей величины поставки данного вида материальных затрат за интервал планирования, а также в соответствии с выбранными единицами измерения в цене на данный вид материальных затрат. Далее определяются цены на все виды материальных затрат, норматив их расхода на единицу продукции по каждому виду.
При определении удельных расходов (норм расходов) материальных расходовнеобходимо учитывать нормативную величину потерь сырья (материала, комплектующих и т.д.) в невозвратных отходах. При определении величины материальных затрат следует учитывать, при необходимости, расходы на доставку сырья (материала, полуфабрикатов и т.д.), таможенные пошлины и платежи, потери при доставке и т.п., либо учесть стоимость данных расходов при определении цены на соответствующий вид материальных затрат.
Определение условно-переменных затрат:
· Расход материалов определяется как сумма произведений объемов производства и реализации каждого вида готовой продукции на соответствующий удельный (нормативный) расход данного вида сырья.
· Цены ресурсов определяются на основании данных поставщиков.
· Затраты для каждой статьи расходов определяются путем перемножения соответствующих значений строк "Расход" и "Цена" по каждой статье в каждом периоде.
Условно-постоянные материальные и прочие затраты могут быть разделены с точки зрения их обложения НДС на следующие группы:
• облагаемые НДС;
• необлагаемые НДС.
Условно-постоянные затраты, плановая величина которых формируется прямым счетом:
· Аренда помещений
· Затраты на ремонт помещений (величина планируемых расходов по данной статье зависит от текущего состояния помещения и требуемого качества его ремонта; величина и периодачность возникновения данного вида расходов зависит от специфики деятельности предприятия).
· Затраты на коммунальные платежи (горячая и холодная вода, отопление, отвод дождевых вод, канализация, бытовые и общехозяйственные затраты на электроэнергию и пр.) могут быть приняты в размере примерно 50 руб. на 1 квадратный метр общей площади помещений.
· Затраты на оплату электроэнергии могут быть определены исходя из размеров производственных площадей (в соответствии с санитарными нормами освещённости) и энергоёмкости непроизводственного оборудования.

P-мощность оборудов-я; Т-время его работы; i,j – порядковые номера осветительн прибора и электрооборудования.
· Другие аналогичные затраты: транспортные расходы, расходы на связь, консультационные и банковские услуги. Определяются прямым счетом, по фактическим данным аналогичных предприятий.
· Затраты на маркетинг и рекламу определяются прямым счетом, на основе программы мероприятий, запланированной в разделе "Маркетинг".
· Затраты на охрану могут быть определены прямым счетом, если имеется информация о реальных затратах аналогичных предприятий либо расчетным путем.
Во втором случае: Р = КП Ц Т + Р , где Рохр – расходы на охрану за период, руб.; КП – количество постов, постов; Ц – стоимость работы одного поста за одну смену в период, руб./пост (стоимость в СПб в 2006 году составляет около 17 тыс. руб. в месяц); T – количество смен работы одного поста в период, смен; Ркти – абонентские затраты на охрану с использованием тревожной кнопки в период, руб. (стоимость в СПб в 2005 году составляет ок. 3500 руб. в месяц).
· Затраты на страхование имущества могут быть определены прямым счетом как произведение остаточной стоимости основных средств на процент страховой премии (обычно около 2% в год).
· Суточные командированным сотрудникам определяются, исходя из размера суточных (в 2006 году их величина составляет 100 руб. в сутки) и количества суток, проведенных в командировках, сотрудниками (определяются эмпирически, учитывая удаленность поставщиков и покупателей от места производства).
· Плата за лицензии и иные платежи за юридическое обеспечение деятельности определяются прямым счетом, исходя из потребности в соответствующих услугах и разрешениях.
Условно-постоянные затраты, плановая величина которых формируется с использованием косвенных методов.
Относят: офисные, административные, представительские, сбытовые и др. Эта категория расходов определяется пропорционально некоторой базе, в качестве которой выбирается тот вид затрат или финансового результата, чья динамика на практике тесно связана с изменениями планируемой группы затрат, а именно:
• выручка;
• отдельные статьи переменных либо условно-постоянных затрат;
• ФОТ или заработная плата по отдельным группам.
Выбрав базу определения расходов, необходимо умножить ее на некоторый норматив в процентах.
Оценка себестоимости товаров (услуг).
Структура себестоимости по статьям калькуляции:
1) материалы, прочее (комплектующие, полуфабрикаты, агрегаты, узлы и т. д.)
2) Топливо, энергия идущие на производство
3) Амортизация основных производственных фондов (ОПФ, или 2-я группа основных средств: оборудование, станки, техника и т.п.)
4) Основная заработная плата основного персонала
5) Дополнительная заработная плата основного персонала (надбавки, доплаты к тарифным ставкам и должностным окладам в размерах, предусмотренных действующим законодательством; калькулируются как процент от п.4)
6) Отчисления на социальные мероприятия (пенсионный фонд, фонд безработицы, фонд социального страхования, фонд платы за несчастные случаи; начисляется процентом от основной заработной платы)
Пункты 4, 5 и 6 образуют фонд оплаты труда (ФОТ).
7) Общепроизводственные расходы (ОПР: расходы на сбыт, административные затраты, внутрипроизводственные затраты, ФОТ служащих и прочее (например ремонт)
8) Командировочные расходы — стоимость билетов, суточные, оплата жилья
9) Работы сторонних организаций (контрагентов)
10) Административные расходы — расходы на содержание аппарата управления
При расчете себестоимости продукции (услуг) условно-постоянные затраты и ФОТ распределяются по всем позициям ассортимента пропорционально структуре выручки от каждой позиции ассортимента продукции (услуг).
Оценка потребности и расходов на рабочую силу.
Численность штата работников компании зависит от масштабов бизнеса, режима работы предприятия и от законодательства РФ (суммарное время, отработанное сотрудником в неделю не должно превышать 40 часов). На долю административно-управленческого персонала(АУП) и инженерно-технических работников (ИТР) в совокупности обычно приходится 30-40% от общего кадрового состава предприятия. При необходимости также набирается вспомогательный персонал, чья численность для малых предприятий редко превышает 40% от численности основных работников.
Оценка расходов на рабочую силу проводится в результате анализа ситуации на региональном рынке труда. При этом могут использоваться формы оплаты труда:
· Повременная
· Повременно-премиальная
· Сдельная (в качестве базы для расчёта, к примеру, могут использоваться один из финансовых показателей деятельности предприятия или объём выпущенной за период продукции; норматив для расчёта – либо процент от выбранной базы, либо ставка в денежном выражении за единицу выпущенной продукции)
· Сдельно-премиальная
· Сдельно-повременная.
4. Инвестиции в оборотные средства. Оценка минимально-необходимого финансирования оборотных средств для каждого периода планирования. Планирование необходимых инвестиций в основные средства
Инвестиции в оборотные средства.
Инвестиции - временный отказ экономического субъекта от потребления имеющихся в его распоряжении ресурсов (капитала) и использование этих ресурсов для увеличения в будущем своего благосостояния.
Оборотные средства предприятия состоят из оборотных производственных фондов и фондов обращения. Первую группу составляют:
1) материальные производственные запасы (включая запасы основных и вспомогательных материалов, запасы топлива, запасы покупных полуфабрикатов и комплектующих), ЗСМ
2) предметы труда, уже вступившие в производственный процесс (незавершенное производство), НЗП
3) расходы будущих периодов на освоение новых видов продукции и усовершенствование технологи. РБП
При выпуске технологически несложных товаров, которые могут быть изготовлены в течение одного дня и менее, запасы в незавершенном производстве будут малы и их расчетом можно пренебречь. Планирование расходов будущих периодов на освоение продукции в рамках настоящего бизнес-плана, которым предусматривается производство технологически несложной продукции, не производится.
Вторую группу составляют фонды обращения предприятия, которые в общем случае включают:
1) готовую продукцию и товары, отгруженные и находящиеся в пути (ГП),
2) краткосрочную дебиторскую задолженность (КДЗ),
3) денежные средства (ДС).
Величина оборотных средств, иммобилизованных в виде коммерческого кредита покупателям (краткосрочную дебиторскую задолженность), определяется как произведение среднедневного выпуска готовой продукции (в натуральных единицах) на цену единицы готовой продукции и на длительность отсрочки по оплате, предоставляемой поставщиком покупателям (определяется при разработке плана маркетинга).
Планирование величины минимального остатка денежных средств осуществляется в ходе моделирования движения денежных средств. В инвестиционной фазе проекта планируемый минимальный остаток средств на расчетном счете должен обеспечивать предприятию возможность осуществления платежей в течение от 3 до 7 дней без какого-либо притока средств. Его определяют, как среднедневную потребность в осуществлении платежей по текущим затратам (без амортизационных отчислений), включая НДС, умноженную на норматив в днях (от 3 до 7 дней).
Расчет стоимости необходимых инвестиций в оборотные средства предваряет определение величины необходимых производственных запасов. Для этого необходимо определить два параметра: норму оборотных средств (в днях) и среднедневную потребность по каждому виду сырья, вспомогательных материалов, топлива покупных полуфабрикатов и комплектующих.
Механизм определения нормы оборотных средств. Норма оборотных средств по сырью и пр. определяется в отдельности по каждому их виду.
Норма запаса в днях по видам сырья и пр. для целей предварительного бизнес-плана включает:
• время нахождения оплаченного сырья и пр. в пути от поставщика на предприятие (транспортный запас или срок поставки);
• средний период закупки у поставщиков (текущий складской запас или период оборота);
• гарантийный (страховой) запас._
Размер потребности предприятия в оборотных средствах (норматив оборотных средств, НОС) по статье "материальные производственные запасы" определяется на каждый интервал планирования для каждого вида закупаемого сырья и пр. по следующей формуле:

где НОС– норматив оборотных средств по данному виду сырья и пр. в t-м периоде, руб.; ПСi t+1 – расход i-го вида сырья и пр. в периоде, следующим за t-м в натуральном выражении, ед.; Цi t+1 – цена i-го вида сырья и пр. (вкл. НДС) в периоде, следующим за t-м, руб./ед.; Нi t+1 – норма оборотных средств по i-му виду сырья и пр. в периоде, следующим за t-м, дней; ДПt+1 – длительность периода, дней (обычно в месяц принимается 22 рабочих дня).
Материальные производственные запасы (ЗСМ) по каждому виду сырья и пр. в каждый отдельный период должны быть сформированы в периоде, предшествующем периоду их использования и зависят от объема производства.
Далее для определения общей потребности предприятия в оборотных средствах на каждом периоде необходимо взять сумму нормативов по каждому виду сырья и пр. (НОСi).
Для упрощения расчетов НОС для каждого периода может быть рассчитан как произведение норматива оборотных средств при максимальной (100%) загрузке производства на коэффициент загрузки производства, соответствующий данному периоду. Таким образом, при неизменности других параметров норматив оборотных средств по производственным запасам по отдельным периодам можно определить по следующей формуле:

где НОСt – норматив оборотных средств в материальных производственных запасах в t-м периоде, руб.; НОСi max – размер норматива оборотных средств по i-му виду производственных запасов в период максимальной загрузки, руб.; КЗt+1 – процент загрузки производственных мощностей в периоде, следующем за t-м, процентов. Расчет норматива оборотных средств в запасах сырья и пр. (ЗСМ) производится для каждого вида производимой продукции.
Оценка минимально-необходимого финансирования оборотных средств для каждого периода планирования.
Инвестиции в оборотные средства (потребность в дополнительном финансировании оборотных средств) по каждому отдельному периоду ФОСt можно рассчитать по формуле:

где НОСt – норматив оборотных средств по ЗСМ в t-м периоде, руб.; ФОСk – суммарные инвестиции в финансирование оборотных средств по ЗСМ, осуществленные предприятием к t-му периоду, руб. (в первом периоде рассматриваемая величина равна потребности в оборотных средствах).
Планирование необходимых инвестиций в основные средства.
Следует рассмотреть следующие виды основных средств:
• здания и сооружения (производственные, складские, административные площади);
• машины и оборудование (основное производственное оборудование, вспомогательное оборудование, офисное оборудование (в т.ч. мебель) и оргтехника, прочее оборудование);
• транспортные средства.
Здания и сооружения включают в себя 3 типа помещений:
Площадь производственного помещения складывается из полезной площади и вспомогательной площади (проходы, места общего пользования и т.п.). Полезная площадь определяется по сумме площадей, занимаемых производственным оборудованием. Вспомогательная площадь, в случае отсутствия точных данных, принимается с коэффициентом от 50 до 100% от производственной площади и рассчитывается в кв.м.
Площадь складского помещения, предназначенного для хранения как сырья, материалов и комплектующих, так и готовой продукции, можно определить прямым счетом по данным расчета нормативов оборотных средств.
Площадь административных помещений может быть получена по формуле:
Sа = (ЧаупNауп + ЧтрNитр ) α,
где Sа - площадь административных помещений, кв. м; Чауп и Читр – численность административно-управленческого персонала и инженерно-технических работников, соответственно, чел.; Nауп и Nитр – норма площади на одно рабочее место административно-управленческого и инженерно-технических работника, соответственно, кв. м (при отсутствии точных данных, могут быть приняты в размере 9 и 6 кв. м на одного человека соответственно); α – поправочный коэффициент на площадь вспомогательных помещений (при отсутствии точных данных может быть принят в размере 1,5).
Машины и оборудование. Состав основного производственного и вспомогательного оборудования определяется технологическим (производственным) циклом. Цены на оборудование или комплексные линии можно получить из специализированных справочников, от производителей, поставщиков или инжиниринговых компаний, осуществляющих комплексный подбор и поставку оборудования, от производственных предприятий, аналогичных разрабатываемому в настоящем бизнес-плане. Затраты на офисное оборудование и оргтехнику определяются главным образом численностью административно-управленческого и инженерно-технического персонала. Инвестиционные расходы по данным статьям могут быть определены либо прямым счетом, либо при отсутствии точных данных, могут быть приняты усредненною, исходя из нормы 30 тыс. руб. на одно рабочее место. Кроме того, предприятию могут потребоваться иные виды машин и оборудования (например, автотранспорт). В рамках бизнес-плана следует рассмотреть необходимость приобретения следующего автотранспорта:
• легкового автомобиля – для представительских нужд;
• грузовых автомобилей – для транспортировки сырья, материалов, комплектующих и готовой продукции;
• автобусы – для подвозки персонала на предприятие;
• производственный и специальный автотранспорт (например, автопогрузчики для оборудования склада).
5. Учет налогового окружения инвестиционного проекта. Расчет амортизационных отчислений. Оценка влияния инфляции на параметры инвестиционного проекта
Учет налогового окружения инвестиционного проекта
| Наименование налога |
Налоговая база |
Ставки |
Налоговый период |
| Налог на добавленную стоимость (НДС) |
Выручка от реализации товаров (работ, услуг) за вычетом текущих затрат, облагаемых НДС |
18% (для отдельных категорий товаров – 10%) |
Месяц |
| Налог на имущество организаций |
Среднегодовая остаточная стоимость основных средств |
2,2% |
Квартал |
| Налог на прибыль |
Прибыль от реализации |
24% |
Месяц/квартал |
| Начисления на зарплату (ЕСН) |
Любые выплаты и вознаграждения работникам предприятия |
26,2% |
Месяц |
НДС. Уплата НДС предприятием может быть условно разделена по видам деятельности: операционной и инвестиционной. В рамках операционной деятельности предприятие фактически выполняет роль фискального агента государства: получая НДС с потребителя, уплачивает его в бюджет. Предприятие может уменьшить свою задолженность перед бюджетом по НДС на сумму налоговых вычетов, в которую включаются суммы НДС, предъявленные предприятию поставщиками при приобретении им товаров (услуг).
В рамках инвестиционной деятельности предприятие, приобретая основное средство или НМА, само выступает в роли конечного потребителя и, следовательно, вынуждено нести дополнительные затраты, связанные с начислением НДС и необходимостью его уплаты. При этом в дальнейшем уплаченный НДС подлежит восстановлению, т.е. включению в суммы налоговых вычетов по НДС. В этом случае государство фактически возмещает предприятиям НДС, который они уплатили, покупая основные средства или НМА.
1) НДС в выручке (НДСп) за интервал планирования определяется по формуле:

t НДСп – НДС, подлежащий получению от покупателей по проданной им в t-м интервале планирования продукции (НДС в выручке), руб.; Вi t – выручка (вкл. НДС) от реализации, получаемая предприятием от продажи i-го продукта (услуги) в t-м интервале планирования, руб.; РСi - расчетная ставка НДС по i-му виду продукции.
Величина расчетной ставки НДС составляет 10/110 по продовольственным (кроме подакцизных) товарам и товарам для детей по ограниченному перечню и 18/118 остальным товарам (работам, услугам), включая подакцизные.
2) Сумма налоговых вычетов по НДС в текущих расходах (НДСу) за интервал планирования определяется по формуле:

где у t НДС – сумма налоговых вычетов по НДС в текущих расходах в t-м интервале планирования, руб.; Зj t – величина j-й статьи текущих расходов предприятия (вкл. НДС), в t-м интервале планирования, руб.; РСj - расчетная ставка НДС по j-й статье расходов.
3) Сумма налоговых вычетов по НДС в инвестициях (НДСи) за интервал планирования определяется как сумма НДСи по всем статьям инвестиционных затрат. Для определения НДСи необходимо из стоимости оборудования, включая НДС, вычесть стоимость оборудования без НДС. Данный налоговый вычет рассчитывается по каждому основному средству и НМА в том интервале планирования, когда предприятие начало его эксплуатировать и начислять амортизацию.
4) НДС за интервал планирования, подлежащий уплате предприятием в бюджет ( б
t НДС ), определяется по формуле:

где: п t НДС – НДС в выручке за интервал планирования t, руб.; у t НДС – НДС в текущих расходах за интервал планирования t, руб.; и t НДС – НДС в инвестициях за интервал планирования t, руб.
Сальдо по расчетам предприятия с бюджетом по НДС в интервале планирования НДСб может быть как положительным, так и отрицательным. В первом случае результаты данных расчетов не оказывают какого-либо воздействия на итоговые денежные потоки. Во втором случае государство фактически является дебитором предприятия, а результаты данных расчетов оказывают влияние на итоговые денежные потоки.
В данном бизнес-плане принята во внимание практика расчетов по НДС с бюджетом предприятий малого и среднего бизнеса, сложившаяся в настоящее время. При этом допущении необходимо исходить из того, что предприятие не будет получать денежные средства из бюджета за фактически переплаченный НДС, а отрицательное сальдо расчетов по НДС с бюджетом (НДСб) будет учитываться в следующем интервале планирования.
Тогда, НДС, уплачиваемый в бюджет в текущем интервале планирования, можно определить по следующей формуле:

Где – суммарный НДС, фактически уплаченный предприятием к периоду времени t-1, руб.; – суммарный расчетный НДС, подлежащий уплате предприятием в бюджет к периоду времени t, руб.
Определение размера уменьшения дебиторской задолженности за счет взаимозачета с бюджетом на сумму НДС, начисленную в бюджет за отчетный период удз НДСt , выполняется по формуле:

где: п t НДС – НДС в выручке за интервал планирования t, руб.; у t НДС – НДС в текущих расходах за интервал планирования t, руб.; бк t НДС – НДС, фактически уплаченный предприятием в t-м периоде, руб.
ЕСН. В рамках предварительного бизнес-плана из всех начислений на ФОТ обычно бывает достаточно ограничиться единым социальным налогом (ЕСН). Налоговой базой будут являться все выплаты и вознаграждения, начисляемые работодателями в пользу работников по всем основаниям, в т.ч. по гражданско-правовым, авторским и лицензионным договорам.
Налог на имущество. Налог на имущество организаций уплачивают все организации, имеющие движимое и недвижимое имущество, учитываемое на балансе организации в качестве основных средств, т.е. здания, сооружения, машины, оборудование, транспортные средства и т.д.
Налоговая база по налогу на имущество организаций определяется как среднегодовая стоимость имущества по остаточной стоимости (первоначальная стоимость – амортизация). Среднегодовая стоимость за расчетный (отчетный период) определяется как частное от деления суммы, полученной в результате сложения остаточной стоимости имущества на 1-ое число каждого месяца налогового (отчетного) периода и 1-ое число следующего за этим периодом месяца, на количество месяцев в налоговом (отчетном периоде), увеличенное на единицу, т.е. по следующей формуле:

где СГСИt – среднегодовая стоимость имущества на момент времени t в рамках соответствующего налогового периода; ОСИk – остаточная стоимость основных средств на момент времени k.
Налоговый период – год. Отчетный период – квартал, полугодие, 9 месяцев и 12 месяцев. Налоговая ставка устанавливается каждым субъектом РФ самостоятельно. В Санкт-Петербурге и Ленинградской области ставка– составляет 2,2%. Налоговым кодексом РФ предусмотрены авансовые платежи по налогу на имущество организаций. Их уплата должна производиться по итогам каждого отчетного периода в размере одной четвертой произведения налоговой ставки и среднегодовой стоимости имущества. Расчет амортизационных отчислений.
С целью упрощения расчетов (определения величины налога на имущество и на прибыль) рекомендуется использовать линейный метод начисления амортизации. Размер нормы амортизации применительно к каждому объекту определяется на основании срока полезного использования, указанного в постановлении Правительства РФ №1 от 01.01.2002. Расчету амортизации по каждому объекту в каждом интервале планирования предшествует:
• составление графика начисления амортизации. Для этого необходимо годовую норму амортизации скорректировать на установленную длительность интервала планирования. Следует помнить, что начисление амортизации основных средств начинается с первого числа месяца, следующего за месяцем принятия объекта к учету (начало эксплуатации), и продолжается до полного погашения стоимости этого объекта либо списания объекта с учета. Принимаемый для начисления амортизации срок службы нематериальных активов определяется фактическим периодом их использования, а в случае невозможности его определения составляет 10 лет.
• определение первоначальной стоимости основного средства. Эта стоимость складывается из фактических затрат (без НДС) на его приобретение, транспортировку, монтаж и пуско-наладку.
Для расчета величины амортизационных отчислений в каждый конкретный интервал планирования следует умножить первоначальную стоимость объекта на норму амортизации, скорректированную на длительность соответствующего интервала планирования.
Оценка влияния инфляции на параметры инвестиционного проекта.
В качестве прогноза годового темпа инфляции можно взять значение, заложенное в бюджете РФ. Влияние инфляции на проект можно учесть следующим образом:
• соответствующим индексированием цен на собственную продукцию (услуги)
• индексированием цен на товары и услуги поставщиков
• индексированием заработной платы персонала (это индексирование должно превышать темп инфляции с тем, чтобы обеспечить рост реальной заработной платы персонала не ниже, чем аналогичный в выбранном регионе).
6. Динамическая модель финансовых потоков инвестиционного проекта. Выбор сценария, шага (периода) и горизонта планирования. Требования к балансу финансовых потоков (условие финансовой реализуемости инвестиционного проекта)
Динамическая модель финансовых потоков (Cash-Flow) фирмы или конкретного ИП, схематично показанная на рисунке ниже:

Производится расчёт финансовых результатов проекта Строится динамика движения ДС предприятия (вид 1)


Строится динамика движения ДС предприятия (вид 2)

В периодах, где прибыль до налогообложения (для упрощения будем считать, что она равна налогооблагаемой прибыли) отрицательна, налог на прибыль равен нулю, а полученный убыток зачитывается при расчете налогооблагаемой прибыли в следующем интервале планирования.
· Остаток ДС должен быть во всех периодах положителен.
Выбор сценария, шага (периода) и горизонта планирования.
Для предварительных проектных бизнес-планов разрабатывается несколько сценариев, обычно – три, соответствующих оптимистическому, пессимистическому и вероятному ходу развития ситуации. Разные сценарии могут отличаться друг от друга составом мероприятий, скоростью освоения новых рынков или технологий, предполагаемым уровнем и динамикой цен на сырье и готовую продукцию, скоростью оборота пассивов и активов предприятия.
Вероятный сценарий является, как и следует из названия, основным. Именно для него дается подробное описание всех параметров проекта. Альтернативные сценарии отличаются от вероятного значениями ряда параметров, которые определяются анализом рынка, организационно-техническим и финансово-экономическим планированием. Наиболее часто выбирают следующие параметры, определяющие различные сценарии: цена на рынке на готовую продукцию, объемы её реализации, цены на основные виды материальных затрат, стоимость инвестиций, длительность инвестиционной фазы проекта и проч.
Горизонт составления инвестиционного плана определяется моментом окончания инвестирования в основные средства и оборотные средства (в части ЗСМ). Горизонт составления финансового плана также определяется моментом окончания инвестирования, т.е. финансовый план должен соответствовать инвестиционному плану.
В качестве шага (интервала) планирования обычно выбирают календарный промежуток времени (неделя, месяц, квартал, полугодие, год). Для целей предварительного бизнес-плана рекомендуется весь горизонт планирования разбить на две части: первый год (для которого выбирается месячный интервал планирования) и остальное время реализации проекта (для которого устанавливается квартальный или годовой интервалы).
Требования к балансу финансовых потоков (условие финансовой реализуемости инвестиционного проекта).
Для любого периода планирования T должно выполняться следующее неравенство:

В левой части стоит накопленное сальдо всех финансовых потоков проекта. Оценка величины Δmin(T+1) может, производится на основе анализа оборачиваемости товароматериальных запасов, оборачиваемости дебиторской задолженности и оборачиваемости кредиторской задолженности. На расчет и контроль этого параметра следует обратить особое внимание, т.к. невыполнение указанного неравенства ведет к дефициту финансирования оборотных средств и неплатежеспособности компании.
В периоды закупки оборудования или других капитальных вложений необходимо следить за тем, чтобы сальдо расчетного счета в конце периода было достаточным для авансирования капитальных затрат в начале следующего периода. Таким образом, накопленное сальдо финансовых потоков в любом периоде планирования должно быть не меньше чем минимальная потребность в денежных оборотных средствах. Отсюда следует, что в некоторых отдельно взятых периодах (исключая первый) баланс входных и выходных потоков может быть отрицательным, если на счету имеется достаточная сумма от предыдущих периодов. Превышение накопленного сальдо над величиной Δmin(T+1) может создавать некоторый резервный запас финансовых средств на случай непредвиденных колебаний спроса или издержек. Указанный резерв повышает устойчивость инвестиционного проекта к рискам, однако за это приходится платить снижением эффективности использования денежных средств.
Оценка Δmin(T+1):
1) a VC (T+1), a - доля условно-переменных затрат, VC – условно-переменные затраты. Доля усл-переменн затрат зависит от того, как часто предприятие делает закупки. Желательно, чтобы ДС на предприятии оставалось меньше.
= если фирма делает закупки 1 раз в квартал (шаг планирования – квартал), то нужен больше склад, охрана, нужны большие средства для закупки бОльшей партии. Если закупки – 1 раз в месяц, то доля VC = 1/3, если 1 раз в 2 недели – доля VC=1/6.
2) b FC (T+1), b - доля условно-постоянных затрат, FC-усл-постоянные затраты без з/пл. Это ДС, направляемые на авансы (=арендная плата и т.п.)
3) g З/пл (T+1), g - доля з/пл без ЕСН. По закону з/пл выплачивается 2 раза в месяц => g = 1/6 (при квартальном планировании).
7. Виды кредитования инвестиционных проектов. Кредитные линии. Выбор схемы погашения ссуды и процентов по кредиту. Оценка минимально-необходимого размера кредита. Лизинг
Виды кредитования инвестиционных проектов.
Кред-е-предоставление ДС ФЛ и ЮЛ-ам(заёмщикам) на опред фикс срок/до востреб-я на платн основе.Плата за кр-%.
Кр: 1)по фиксированности срока: а)с фикс сроком возврата б)до востреб-я(с неустановл датой возвр)
2)по срокам предоставл-я: а)сверхкоротк(до 1нед,сам коротк-1 ночь)-/срочн покрыт ФинРазр. б)краткоср(1нед-1г)-в ОбС,/опл тов,сыр. в)ср.срочн(1-3года)-/приобрет-я движим имущ-ва,/строит-ва объектов недвиж-ти. г)долгосрочн(>3 лет)-/приобрет-я объектов недвиж-ти+движим имущ-во,имеющ длит срок окуп-ти(=суда).
3)по типу заёмщ:а)ФЛ б)м/банк кр в)кр органам власти г)субъектам мал предпринимат-ва д)проч ЮЛ.
4)кр по способу использ-я:а)нецелев кр(=на пополн-е ОбС).ДС перечисл-ся на р/сч предприят,созд-ся неспец ссудн сч в банке,но наблюд-я за расходов-ем ср-в не ведётся. б)целев кр без созд-я ссудн сч-ДС перечисл-ся на р/сч, б м открыв спец ссудн сч по дан кр,на кот будет отображ-ся расходов-е ср-в,но мер по невозм-ти расходов-я ср-в нет. в)целев кр с созд-ем спец ссудн субсч-В рамках общ сч открыв-ся ссудн субсч,на кот занос-ся ДС от банка.Снятие ДС с этого сч возможно только при предоставл-ии фактур,определяющ расходов-е ср-в целев образом. г)Связанные кр-кр с созд-ем спец субсч.Жёстко указыв-ся конкретн производитель/бренд с жёстко определён ассортим закупаем тов и усл.% по ним обычно ниже.
Кредитные линии.
Кр по способу выдачи:-разовые(выдаётся вся сумм кр сразу,обычно при краткосрочн кред-ии+когда объект кред-я-сов-ть обязат-в,требующ однораз платежа) –кредитн линии(многократн взятие отдельн кр).\
Кред линия-вид кр-я,предполагающ выдачу ДС неск частями(траншами).Кр лин обеспечив возм-ть сниж-я %-ной нагрузки для заёмщ.
Классификац кр лин: 1)по изменению лимитов кр линии: а)с неизменным lim кред-я б)с варьируемым lim(м предполаг планов возврат на опред п-д,а затем-увелич-е V заимствов-я).
2)по фиксированности сроков взятия отдельн траншей и погаш-я кр:а)с фикс сроками б)с нефикс траншами.
3)по наличию доп усл,определяющ возм-ть получ-я траншей в рамках кр лин:а)прост б)кондициональные.=Овердрафт(по догов,без доп процед,red line,до востреб-я,% начисл-ся по ср разм задолж-ти,погаш-е-при поступл-ии ДС на сч)
->1)Коммулятивн кр линия:Вариац lim кред-я-на полностью планов осн:/кажд п-да задаются планов лимиты кред-я,заёмщ вправе взять люб сумм ДС в пределах неиспользован lim,т.е.м перенес взятие кр с более ран п-да на бол поздн.+/заёмщ,но -/кредиторов,т.к. они не знают,какую конкретн сумм возьмёт клиент+ м оказ-ся,что некот транши н б увелич. 2)Некоммулятивн кр лин:заёмщ не м перенес неиспользован ч транша на бол поздн п-д. 3)Кондициональн кр лин:последующ транши-если выполнены доп усл-я(кот повыш вер-ть соблюд-я усл кр соглаш-я):-соблюд-е фин показат деят-ти предприят на опред ур –соблюд-е сроков влож-я и сроков строит-ва –соблюд-е технич норм,определяющ успешность реализац проекта –институциональт треб-я(=измен-е форм собствен-ти) –заключ-е опред нормативно-правов актов.Если доп усл-я не выполнены=>м б не предоставл доп транши. Ставки/ кр лин:-собственно кр ставка Rс-/оценки % по реально взят кред в рамках кред лин; -страхов ставка Ri(1-2%)-примен-ся к неиспользован ч lim кред-я.
*[1)Платежи по обслуж-ю коммулятивн кр лин: W(T)=l(t)* Rc +(Lp(T)-l(t))* Ri, l(t)-факт разм кр,Lр(T)-планов предельн разм кред-я. 2)Платежи по обслуж-ю некоммулятивн кр лин:W(T)=l(t)* Rc + (lp(T)-l(t))* Ri, lр(T)-планов предельн разм транша. Т.О.при коммулятивн кр лин:страх платежи-на всю не взятую к опред мом сумм. При некоммулятивн-на ту велич,кот не взята только в текущ п-де. Часто страх платежи замен-ся фиксирован платежом за польз-е кр линией.]
Выбор схемы погашения ссуды и процентов по кредиту.
Существуют две схемы погашения ссуды – дифференцированная (обычная) и аннуитентная. Какую из них выбрать, решать заемщику. Обычная схема предполагает погашение кредита таким образом – основная часть (тело) платится равномерно, т. е. размер тела ежемесячно не изменяется, проценты выплачиваются на остаток тела кредита. Таким образом, выплаты по кредиту в первый период максимальны. По мере снижения суммы тела кредита, уменьшаются процентные платежи. Аннуитентная схема предполагает погашение задолженности по кредиту постоянными частями (долями). Это значит, что в начальный период погашения кредита устанавливается минимальный размер ежемесячного платежа по телу кредита, но, затем, по мере уменьшения задолженности по телу кредита, постепенно увеличивается. Финансовый смысл аннуитентной схемы платежа в том, что на более поздний срок отодвигается погашение основной части тела кредита. Заемщики довольно часто прибегают к такой схеме из-за того, что на начальном этапе платежи ниже, чем при дифференцированной (обычной) схеме. Но, заемщику следует обратить внимание, что при аннуитентной схеме погашения задолженности по кредиту конечная выплаченная сумма будет намного выше. Также стоит обратить внимание на то, что к аннуитентной схеме банки зачастую применяют запрет на возможность досрочного погашения. Это, своего рода, минус в выборе аннуитентной схемы погашения задолженности. Но в этой схеме присутствуют и свои плюсы. Некоторые банки предлагают своим клиентам отсрочку по выплатам на несколько месяцев. В результате заемщик может быть освобожден от выплат, к примеру, два месяца в году. Аннуитентная схема удобна при небольших сроках кредитования – 1-3 года. В этом варианте начальные платежи по погашению задолженности меньше, а переплата невысока. Какую схему погашения следует выбрать, решать заемщику. Многое зависит от его финансового положения на текущий момент. Размер погашаемого в t-м периоде долга определяется с учетом того, что для уменьшения совокупного размера процентных платежей необходимо сократить срок обслуживания долга за счет установления наиболее напряженного графика погашения кредитов. С другой стороны, необходимо обеспечить требования устойчивости, т.е. иметь определенный запас финансовых ресурсов, гарантирующий выполнение принятых предприятием обязательств перед кредитором. Критерием выполнения указанных условий является коэффициент обслуживания долга и процентов.
Виды процентов:
· Номинальные
и реальные
. Номинальная ставка, уменьшенная на уровень инфляции, есть реальная ставка;
· Эффектвная ставка - % + доп платежи по кредиту (комиссионные, страхование и т.п.)
· базовая ставка
— это средние ставки процента, по которым предоставляются ссуды первоклассным заемщикам либо банкам путем размещения у них депозитов.
Большинство банков оценивает ссуды путем начисления надбавки к базовой ставке, определяющей стоимость банковских ресурсов. Размер надбавки зависит от характера ссуды и степени риска
, связанного с ней;
· фиксированные
и плавающие
. Фиксированные ставки устанавливаются на весь срок действия кредитного договора и не зависят от изменений базовой ставки. Значительная часть потребительских ссуд имеет фиксированную ставку, что позволяет заемщику точно определить свои затраты на пользование ссудой. Плавающие ставки меняют свои значения в соответствии с конъюнктурой рынка, поэтому по долгосрочным кредитам ставки чаще плавающие;
· рыночные
и регулируемые
: при рыночных — уровень и движение ставки зависит, прежде всего, от общеэкономической конъюнктуры и состояния рынка ссудных капиталов
, при регулируемых — ставки регулируются или центральным банком, или банковскими консорциумами, или другими кредитными институтами.
В зависимости от способа расчета суммы процентных платежей различают:
· простые проценты
— начисляются на одну и ту же величину капитала в течение всего срока;
· сложные проценты
— процентный платеж в каждом расчетном периоде добавляется к капиталу предыдущего периода. Процентный платеж в последующем периоде начисляется на эту наращенную величину первоначального капитала, т.е. осуществляется расчет с капитализацией процента.
Оплата процентов по кредиту (простые проценты) в t-м периоде определяется по формуле:

где Пt – выплачиваемые в t-м периоде проценты по инвестиционным кредитам, руб.; ОЗСt-1 – остаток заемных средств на конец периода, предшествующего t-му (на начало t-го периода), руб.; ПЗСt – получение дополнительных инвестиционных кредитов в t-м периоде, руб.; rпер – годовая процентная ставка за используемые кредитные ресурсы, скорректированная на длительность текущего периода (например, если период планирования составляет один месяц, то ставку делят на 12).
*[Остаток непогашенных заемных средств на конец t-го периода определяется поформуле:
ОЗСt = (ОЗСt - 1 + ПЗСt) – ПДt
где: ОЗСt – остаток непогашенных инвестиционных кредитов на конец t-го периода, руб.; ОЗСt-1 – остаток заемных средств на конец периода, предшествующего t-му (на начало t-го периода), руб.; ПЗСt – получение дополнительных инвестиционных кредитов в t-м периоде, руб.; ПДt – погашение долга в t-м периоде, руб.
Интегральный показатель расходов по обслуживанию кредитов за t-й период определяется как сумма выплачиваемых в данном периоде процентов и погашаемой за период части основного долга.]
Оценка минимально необходимого размера кредита.
На объём кредита влияют вложения в основные средства, в оборотные средства и Δmin(T+1) (требуется, чтобы эта величина была как можно ниже). Также влияет объём собственных средств, вкладываемых в ИП.
Если доходность выше банковского процента, то кредит можно спокойно брать.
Лизинг.
Лизинг — вид финансовых услуг, при котором лизингодатель обязуется приобрести в собственность указанное лизингополучателем имущество у указанного продавца и предоставить лизингополучателю это имущество за плату во временное владение и пользование для предпринимательских целей. Лизингодатель может изначально являться собственником имущества (совмещать в своём лице продавца).
По сути, лизинг — это долгосрочная аренда имущества для предпринимательских целей с последующим правом выкупа (не требует залога), обладающая некоторыми налоговыми преференциями.
В зависимости от срока полезного использования объекта лизинга и экономической сущности договора лизинга различают:
· Финансовый лизинг (финансовая аренда). Срок договора лизинга сравним со сроком полезного использования объекта лизинга. Как правило, по окончании договора лизинга остаточная стоимость объекта лизинга близка к нулю и объект лизинга может без дополнительной оплаты перейти в собственность лизингополучателя.
· Операционный (оперативный) лизинг. Срок договора лизинга существенно меньше срока полезного использования объекта лизинга. Обычно предметом лизинга являются уже имеющиеся в распоряжении лизингодателя активы (может не быть третьей стороны — продавца). По окончании договора объект лизинга либо возвращается лизингодателю и может быть передан в лизинг повторно, либо выкупается лизингополучателем по остаточной стоимости. Лизинговая ставка обычно выше, чем по финансовому лизингу. По экономической сущности близок к аренде.Плюсы для лизингополучателя:
· Лизинговые платежи относятся на себестоимость, в отличие от ссуды, которая выплачивается из прибыли и амортизации.
· Нет налога на имущество по оборудованию в лизинге.
· Налогооблагаемая прибыль ниже, чем при покупке оборудования, ниже выплаты по налогу на прибыль.
8. Ставка дисконтирования и ее экономический смысл. Дисконтированный денежный поток
Ставка дисконтирования и ее экономический смысл.
Обычно в предварительном бизнес-плане используется коммерческая ставка дисконта, отражающая альтернативные (т.е. связанной с другими возможностями/проектами) эффективности использования капитала (возможности нвестора по получению дохода при безрисковом вложении средств). Классически ставка дисконтирования (d) определяется из доходности по безрисковому вложению (А: положить ДС в надёжный государственный банк, государственные цен бумаги), темпа инфляции (I) и риска данного проекта (R: субъективный параметр (=страновой, региональный риски..)), т.е
(1 + d) = (1 + A)(1+ I)(1 + R)
Ставка дисконтирования, используемая в настоящих расчетах, определяется, исходя из ставки коммерческих кредитов плюс поправка на риск реализации данного проекта. Размер ставки дисконтирования меняется в зависимости от длительности интервала планирования по формуле:

где dпер – дисконтная ставка в период, длительностью в m месяцев, процентов; dгод – годовая дисконтная ставка, процентов.
Т.о. дисконт необходим для того, чтобы учесть инфляцию и различные риски.
Дисконтированный денежный поток.
В общем виде формула дисконтированного денежного потока выглядит следующим образом:
PV0
=FVt
/(1+d)t
Рассчитывают:
Дисконтированные амортизационные отчисления:

Дисконтированную чистую прибыль:

Дисконтированные инвестиции:

9. Показатели эффективности инвестиционного проекта: срок окупаемости, рентабельность инвестиций и рентабельность продаж
Срок окупаемости.
Сроком окупаемости (payback period) называется отрезок времени от начального момента до момента окупаемости. Начальный момент соответствует началу первого (нулевого) интервала планирования (обычно это начало инвестиционной деятельности). Моментом окупаемости называется тот момент времени в расчетном интервале планирования, в котором значение вспомогательного показателя, коэффициента финансового возврата, достигает и в дальнейшем остается выше 100%.
Коэффициент финансового возврата (КФВj) определяется в процентах по формуле:

где – суммарная (накопленным итогом) чистая прибыль, полученная предприятием к t-му периоду, руб.; – суммарная начисленная к t-му периоду амортизация, руб.; – суммарные инвестиции, вложенные в проект к t-му периоду, руб.
При достижении показателем 100% происходит простая (т.е. без учета дисконтирования) окупаемость инвестиций, сделанных в проект к t-му периоду.
Более точное определение срока окупаемости (с учетом дисконтирования) – это период, когда NPV = 0.
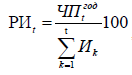
Рентабельность инвестиций (RoI).
Рентабельность инвестиций характеризует экономическую эффективность инвестиций, вложенных в проект, и определяется как экономический эффект, получаемый предприятием в результате реализации инвестиционного проекта.
Рентабельность инвестиций в t-м интервале планирования (РИt) рассчитывается по формуле:

где t РИ – рентабельность инвестиций в проект в t-м периоде, процентов в год; год t ЧП – чистая прибыль, получаемая предприятием в t-м периоде, в пересчете на годовую, руб.; – суммарные инвестиции, вложенные в проект к t-му периоду, руб.
В свою очередь год t ЧП определяются по следующей формуле:

где ЧПt – чистая прибыль предприятия за t-й период, руб.; m – длительность в месяцах t-го периода.
Данный показатель может быть получен также путем перемножения коммерческой маржи и коэффициента трансформации, рассчитанных на соответствующий интервал планирования (период):

где: t РИ – рентабельность инвестиций в проект в t-м периоде, процентов в год; t КМ – коммерческая маржа (чистая рентабельность продаж) в t-м периоде, процентов; t КТ – коэффициент трансформации в t-м периоде, раз в год.
Рентабельность продаж (коммерческая маржа).
Коэффициент показывает, какую норму чистой прибыли приносит предприятию каждый рубль, полученный им в качестве выручки (обычно КМ выражают в процентах). По существу, это чистая экономическая рентабельность оборота, или чистая рентабельность реализованной продукции. У предприятий с высоким уровнем прибыли коммерческая маржа превышает 20 и даже 30%, у других едва достигает 3-5%.
Данный показатель рассчитывается по формуле как отношение чистой прибыли к выручке предприятия за тот же период:

где t КМ – коммерческая маржа (чистая рентабельность продаж) в t-м периоде, процентов; t ЧП – чистая прибыль в t-м периоде, руб.; t В – выручка (не вкл. НДС) в t-м периоде.
Для большинства предприятий малого и среднего бизнеса, данный показатель должен находиться в пределах от 5 до 30%. Если указанное выше условие не выполняется, следует проверить корректность величин выручки и текущих затрат. Часто встречаются ситуации, когда количество и качество используемых материальных затрат не соответствуют величине и структуре выручки.
10. Чистая текущая стоимость (NPV) и внутренняя норма доходности (возврата), (IRR). Численный метод расчета IRR. Сравнение привлекательности инвестиционных проектов для акционеров
Чистая текущая стоимость (NPV) и внутренняя норма доходности (возврата), (IRR). Численный метод расчета IRR.
Чистая текущая стоимость (чистый дисконтированный доход, NPV) – важнейший показатель эффективности, характеризующий суммарный дисконтированный экономический эффект данного инвестиционного проекта, достигаемый к концу горизонта прогнозирования, в сравнении с альтернативой.NPV можно также определить как чистый абсолютный размер выигрыша, получаемого инвесторами при вложении средств в данное предприятие в сравнении с альтернативной возможностью использования капитала, характеризующейся ставкой дисконтирования.
Чистая текущая стоимость рассчитывается как разность между накопленным дисконтированным приростом чистого денежного потока (ΔNCF) и накопленным дисконтированным приростом инвестиций (ΔI) в основные и оборотные средства к периоду времени T.

Здесь учитываются приростные значения, которые связаны только с рассматриваемым проектом, а не с потоками, порождаемыми деятельностью всей компании в целом. Чистый денежный поток NCF состоит, как известно, из чистой прибыли и амортизационных отчислений. Следует отметить, что в некоторых случаях в NCF включают только чистую прибыль.
Для признания проекта эффективным с точки зрения инвестора необходимо, чтобы NPV проекта была положительной к моменту Т.
Типичный график NPV:

Внутренняя норма доходности (другие названия – внутренняя норма возврата, внутренняя норма дисконта, внутренняя норма рентабельности, IRR) вычисляется как годовой процент, при котором дисконтированная на его основе чистая текущая стоимость (NPV) обращается в ноль, т.е. соблюдается равенство:

где IRRt – внутренняя норма доходности. Следует иметь ввиду, что показатель IRRt следует рассчитывать только для тех периодов t, которые находятся после срока окупаемости проекта, т.е. в зоне положительной NPV. В точке, соответствующей сроку окупаемости, IRRtок = d, т.е. принятой ставке дисконтирования.
Обычно решение уравнения проводится численными методами (например, с помощью опции "Подбор параметра" в EXCEL).
Типичный график IRR:

Принято считать, что кривая IRR(t) монотонно стремится к предельной рентабельности инвестиций.
Сравнение привлекательности инвестиционных проектов для акционеров.
При сравнении альтернативных проектов предпочтение должно отдаваться проекту с бОльшим значением NPV при выполнении условия его положительности и при прочих равных условиях (например, при одинаковых сроках окупаемости и одинаковой степени рискованности проектов).
11. Сравнительная оценка прибыльности (эффективности) инвестиционного проекта и возможных альтернативных вложений капитала. Особенности расчета NPV нового инвестиционного проекта, реализуемого действующей компанией
Сравнительная оценка прибыльности (эффективности) инвестиционного проекта и возможных альтернативных вложений капитала.
Следует заметить, что в подавляющем большинстве публикаций NPV не рассматривается как функция времени, т.к. авторов интересует лишь одно значение NPV в конце горизонта планирования. С нашей точки зрения, анализировать необходимо всю предысторию развития инвестиционного проекта, т.к. для инвестора может быть далеко не безразлично как, например (см. рисунок ниже), будет достигнуто значение NPV(при Т = 8 лет) = 1000 тыс.руб.

Как видно из рисунка, в момент Т = 8 оба проекта имеют одинаковые положительные NPV = 1000 тыс.руб. Однако, второй проект имеет более высокие темпы роста, меньшую глубину "провала" в "мертвой зоне", что свидетельствует о распределенных во времени инвестициях, но при этом имеет больший по сравнению с первым проектом срок окупаемости.
В итоге выбор ИП зависит от инвестора. Зачастую различным инвесторам требуется достижение различных результатов. Например, более быстрая окупаемость проекта или меньшие объёмы инвестиций, по сравнению с альтернативами, или более высокий уровень дохода в перспективе (высокий темп роста доходов).
Особенности расчета NPV нового инвестиционного проекта, реализуемого действующей компанией.
В данном случае бывает трудно отделить приростные потоки, связанные с реализацией проекта от деятельности компании в целом. В этом случае следует провести расчет NPV для двух сценариев:
1. NPV1 бизнеса с учетом реализации проекта,
2. NPV2 бизнеса без проекта.
Тогда NPVпроекта = NPV1 - NPV2 .
12. Классификация рисков инвестиционных проектов. Источники риска, рисковые события, риск-параметры проекта. Мероприятия по минимизации влияния рисковых событий на инвестиционный проект
Классификация рисков инвестиционных проектов.
Внешние источники рисков (вне фирмы)
• Политические (изменения во внутренней и внешней политике государства, международные конфликты, рост таможенных пошлин, введение эмбарго или ограничений на ввоз и вывоз капитала, введение ограничений на торговлю, международные санкции, смена правительства и др.)
• Юридические (изменение правовых норм, регулирующих бизнес, расширение лицензирования, антимонопольное регулирование, нестабильность налогового законодательства, правовая незащищенность бизнеса)
• Макроэкономические (рост инфляции, колебания курса иностранной валюты и валютное регулирование, колебание мировых цен на экспортируемые и импортируемые товары, нестабильность фондового и финансового рынков, колебания ставки рефинансирования ЦБ РФ, спад экономики в стране, дефицит государственного бюджета)
• Региональные (слабость экономического положения региона, необеспеченность ресурсами, неразвитость инфраструктуры, особенности географического положения и климатические условия в регионе, дефицит бюджета субъекта федерации)
• Отраслевые (слабое экономическое положение и низкая инвестиционная привлекательность отрасли, давление импорта)
• Рыночные (колебания платежеспособного спроса на продукты и услуги фирмы, влияние конкурентной среды, неустойчивость рынка поставщиков сырья, энергоресурсов, комплектующих, процентные ставки по кредитам, депозитные ставки банков, дефицит рабочей силы)
• Форс-мажор (непредвиденные ситуации, стихийные бедствия, ЧП)
Внутренние источники рисков (внутри фирмы)
• Организационные (недостаточный опыт работы и низкая квалификация менеджеров, слабость системы управления, негибкая организационная структура, частая смена руководителей)
• Технологические (низкое качество технологических решений, физический и моральный износ основных фондов, низкая технологическая дисциплина)
• Проектные (низкое качество проработки проекта, несогласованность проекта с окружением, вынужденные отклонения от проекта, как по срокам, так и по объемам финансирования)
• Маркетинговые (узкий ассортимент выпускаемой продукции, снижение качества продукции, фирма производит конечный или промежуточный продукт, неадекватность оценки платежеспособного спроса, ценовая политика, неадекватность оценки возможностей конкурентов, отсутствие альтернативных поставщиков)
• Финансовые (недостаточность собственных финансовых ресурсов для инвестиций, недостаточный контроль и управление финансами, дефицит необходимых оборотных средств, слабое управление дебиторской и кредиторской задолженностью)
• Юридические (отсутствие правового сопровождения бизнеса, действия менеджеров за пределами правового поля, низкая надежность контрактов с поставщиками и потребителями)
• Персонал (низкая квалификация и мотивация персонала, низкая трудовая дисциплина и приверженность персонала, не укомплектованность штата, высокая текучесть кадров).
Источники риска, рисковые события, риск-параметры проекта.
Источники рисков существуют практически всегда и могут порождать или не порождать соответствующие рисковые события.
Влияние рискового события рассматривается как своеобразное воздействие на экономическую систему (фирму, реализующую ИП), которое порождает реакцию, представленную той или иной выбранной целевой функцией. Здесь SQ – это исходное состояние (статус-кво) ИП до воздействия рисковых событий. Коррекция проекта производится в случае, если необходимо снизить отклонение целевой функции (ослабить влияние риска) при заданном отклонении риск-параметра. Это возможно если проект имеет определенные степени свободы.
Риск-параметры включают в себя:
· Цены
· Объем продаж
· Условно-постоянные затраты
· Условно-переменные затраты
· Темп инфляции
· Ставки налогов
Мероприятия по минимизации влияния рисковых событий на инвестиционный проект.
Для минимизации влияния рисковых событий могут быть предложены мероприятия:
· Изменение схемы погашения кредитов, т.е. желательно распределение резерва финансовых средств по периодам, его увеличение в периоды наиболее сильного (возможного) влияния рисков. В данном случае риск будет минимизирован, однако процентов по кредиту придётся заплатить больше, т.е. прибыльность проекта в данный период снизится.
· Союзы с сильными партнерами и инвесторами. Оптимизация договорных отношений.
· Поиск новых технологий управления/ведения бизнеса и снижение себестоимости услуг.
· Инвестиции в развитие.
13. Факторы, влияющие на принятие решения банком о кредитовании инвестиционного проекта. Оценка риска кредиторов
Факторы, влияющие на принятие решения банком о кредитовании инвестиционного проекта.
1) Платёжеспособность и финансовое состояние заёмщика (расчёт коэффициентов ликвидности, коэффициентов обеспеченности собственными средствами, показателей финансовой устойчивости клиента, а также коэффициентов оборачиваемости и рентабельности).
2) Кредитная история заёмщика.
3) Качественные факторы (деловая репутация потенциального заемщика (честность, порядочность, квалификация руководства, опыт работы в соответствующей отрасли, текучесть кадров) и экономическое окружение кредитополучателя (основные деловые партнеры, конкурентоспособность продукции, устойчивость рынков сбыта и т.д.).
Оценка риска кредиторов.
Если при реализации проекта используются заемные средства в форме кредитов, то для кредиторов важны гарантии возврата заемных средств, в соответствии с рассчитанной кредитной линией, на основе которой составляется кредитное соглашение (договор). Воспользуемся показателями, которые наиболее часто используются в практике кредитования инвестиционных проектов для оценки финансовой устойчивости (платежеспособности) компании. Все эти показатели являются динамическими, т.е. функциями времени или номера периода планирования и генерируются финансовой моделью в процессе разработки финансового прогноза.
При оценке финансовой устойчивости (платежеспособности) обязательными для расчета являются следующие показатели:
• коэффициент покрытия погашения ссуды и процентов
• коэффициент покрытия погашения процентов
• коэффициент текущей задолженности.
По этим показателям кредитор может судить о риске невыполнения кредитного соглашения (первый и второй показатели) и риске не возврата долга при банкротстве компании (третий показатель).
Коэффициент покрытия погашения ссуды и процентов (коэффициент покрытия долгосрочных обязательств)
Коэффициент показывает, насколько предприятие способно осуществлять в текущем периоде запланированные платежи по кредитам (погашение ссуды и уплата процентов) в соответствии с кредитным договором.
Данный показатель рассчитывается по формуле:

где: КППСиПt – коэффициент покрытия погашения ссуды и процентов в t-м периоде; НСt – накопленное сальдо финансовых потоков на начало периода t ; ЧПt – чистая прибыль в t-м периоде после уплаты процентов; Пt – процентные платежи в t-м периоде; Аt – амортизационные отчисления в t-м периоде; ПЗСt – получение заемных средств в t-м периоде; ВУКt – вложения в уставный капитал в t-м периоде; Иt – инвестиции, осуществленные в t-м периоде; ПДt –погашаемая часть долга в t-м периоде.
Если значение этого показателя меньше либо равно 1, средств для полного обслуживания задолженности не хватает. При значениях от 1 до 1,5 можно говорить о существовании зоны риска по выполнению кредитного соглашения. Если данный коэффициент больше 1,5, можно говорить о практическом отсутствии риска по исполнению кредитного договора.
В случае если по результатам расчетов в отдельные периоды наблюдается невыполнение указанных выше условий, то для повышения КППСиПt следует "растянуть" график погашения долга, т.е в проблемных периодах снизить величину возвращаемых заемных средств ПДt. Снижая, таким образом, риск по исполнению кредитного договора, мы увеличиваем срок кредитования, что ведет к росту процентных выплат банку. Это неизбежная плата за снижение данного вида риска.
Коэффициент покрытия погашения процентов
Этот показатель отличается от предыдущего только знаменателем, в которомуказаны лишь проценты по кредиту.
Данный показатель рассчитывается по формуле:

Этот коэффициент показывает, насколько фирма способна погасить проценты в соответствии с кредитным соглашением. В случае если КПППt < 1, собственных средств для уплаты процентов не хватает и погашение взятых обязательств возможно лишь за счет привлечения в данном периоде новых кредитов. При значениях 1< КПППt < 1.5 можно говорить о существовании зоны риска по выполнению кредитного соглашения. В случае если значение данного показателя больше 1,5, можно говорить о практическом отсутствии риска неуплаты процентов.
Заметим, что КПППt ≥ КППСиПt, ۷
t, т.к. числители у обоих коэффициентов одинаковы, знаменатель КППСиПt больше, чем знаменатель КПППt. Если анализ КППСиПt говорит об отсутствии риска, то необходимость анализировать КПППt отпадает. При наличии зоны риска по суммарным обязательствам, полезно знать, существует ли риск неуплаты процентов.
Коэффициент текущей задолженности
Для каждого периода планирования КТЗt есть отношение остатка непогашенных ссуд (кредитов) ОНСt к стоимости собственных основных фондов СОФt с учетом их ликвидности, плюс ЧПt – чистая прибыль в t-м периоде после уплаты процентов, плюс Пt – проценты по кредитам уплачиваемые в текущем периоде, плюс накопленное сальдо финансовых потоков НСt проекта к началу данного периода t:

Если данный коэффициент меньше единицы во всех периодах горизонта планирования, то это означает, что для кредитора отсутствует риск понести убытки от фирмы, реализующей инвестиционный проект, т.к. даже в случае банкротства, кредитор вернет вложенные средства после продажи имущества фирмы. По европейским нормам этот показатель не должен превышать 0,75. В случае невыполнения данного условия следует изменить структуру финансовых источников в соответствующем периоде за счет увеличения собственных вложений в уставный капитал и снижения размеров кредитов.
14. Оценка чувствительности (устойчивости) инвестиционного проекта к отклонениям параметров. Свойства функций чувствительности. Глобальная и локальная функция чувствительности
Оценка чувствительности (устойчивости) инвестиционного проекта к отклонениям параметров. Свойства функций чувствительности.
Обозначим целевую функцию системы через Y(t,x), где t – время, а x – вектор варьируемых параметров.
Относительная чувствительность целевой функции есть отношение относительного отклонения функции к относительному отклонению варьируемого параметра, т.е.

В формулах опущено "t", т.е. относительные чувствительности являются функциями времени и должны рассчитываться в пределах всего горизонта планирования.
Численно, функция чувствительности показывает: на сколько процентов изменится целевая функция при изменении риск-параметра на один процент.
Если функция чувствительности положительна, то это означает, что увеличение (уменьшение) риск-параметра ведет к увеличению (уменьшению) целевой функции. Если функция чувствительности отрицательна, то это означает, что увеличение (уменьшение) риск-параметра ведет к уменьшению (увеличению) целевой функции.
Чем больше чувствительность, тем сильнее оказывает влияние соответствующий риск-параметр на целевую функцию ИП. В экономической теории имеется понятие аналогичное чувствительности, а именно: эластичность (спроса и пр.), которое вычисляется по формуле подобной (9.6). Эластичность, как показатель, характеризует внешнюю среду бизнеса и обычно не рассматривается как функция времени, а является статическим параметром. Мы будем придерживаться термина "чувствительность" во-первых, потому, что она характеризует внутреннюю среду бизнеса, а во-вторых, чтобы не путать известный контекст использования термина "эластичность" с динамическим анализом влияния рисков на инвестиционный проект.
В качестве целевой функции можно выбирать различные показатели ИП. Таковыми, например, могут быть:
• NPV(T) – чистая текущая стоимость проекта к моменту Т
• Накопленный чистый дисконтированный денежный поток ADNCF(T), генерируемый проектом к моменту Т
• Накопленный чистый денежный поток ANCF(T), генерируемый проектом к моменту Т (без учета дисконтирования)
• Накопленная чистая прибыль ANP(T), генерируемая проектом к моменту Т
• Накопленное сальдо финансовых потоков (состояние расчетного счета проекта) ASCF(T) к моменту Т и др.
Сравнение чувствительностей накопленного чистого денежного потока и его дисконтированного аналога показало, что они почти совпадают, т.к. различия составляли лишь доли процента. Это не удивительно, т.к. при расчете функции чувствительности дисконтированию подвергаются как числитель (ΔY), так и знаменатель (Y), что практически приводит к компенсации процедуры дисконтирования.
При выборе целевой функции можно использовать не накопленные показатели, а показатели финансовых результатов в отдельных периодах. Мы отдаем предпочтение накопленным показателям, т.к. это позволяет учесть в течение всего горизонта планирования последствия краткосрочных рисков после окончания их действия.
При использовании NPV(T) в качестве целевой функции следует иметь в виду, что вблизи точки окупаемости, когда NPV = 0, функция чувствительности терпит разрыв второго рода, т.е. обращается в бесконечность по определению. Это затрудняет использование NPV в качестве целевой функции вблизи точки окупаемости, во всех остальных точках расчетных проблем нет. Если в качестве целевой функции выбрать накопленное сальдо финансовых потоков, то получим:

Знание функций чувствительности для данной целевой функции весьма полезно для оперативного управления состоянием расчетного счета компании в условиях влияния рисков.
Далее, используя формулы, для всех периодов с помощью модели вычисляем функции чувствительности по всем интересуемым риск-параметрам. Анализируя рассчитанные указанным образом чувствительности, можно определить те периоды реализации ИП, когда влияние риск-параметров наибольшее, т.е. наиболее "опасные" стадии реализации проекта. Кроме того, сравнивая чувствительности по отдельным риск-параметрам, можно выявить среди них наиболее существенные, на которых следует сосредоточить внимание менеджеров проекта. Ниже на рисунке показан примерный вид функций чувствительности.

Функции чувствительности, как и показатели эффективности, являются важными характеристиками инвестиционного проекта. Знание этих характеристик существенно расширяет представление о реализуемости инвестиционного проекта не только с точки зрения его прибыльности, но и с точки зрения рискованности инвестиций. Принимая решение о выборе того или иного возможного варианта финансового прогноза, при прочих равных условиях следует отдавать предпочтение варианту с наименьшей чувствительностью.
Критерием такого выбора может быть сумма абсолютных максимумов всех существенных функций чувствительности в пределах всего горизонта планирования. Аналитический вид указанного критерия приведен ниже.

Глобальная и локальная функция чувствительности.
При расчете функций чувствительности следует различать краткосрочное и долгосрочное воздействие рисковых событий.
Соответственно определим два вида функций чувствительности:
Локальная чувствительность – чувствительность при локальном (краткосрочном во времени) влиянии риск-параметра, т.е. когда отклонение имеет место только в течение одного или нескольких периодов существенно меньших общего горизонта планирования.

Глобальная чувствительность – чувствительность при глобальном (длительном во времени) влиянии риск-параметра, т.е. когда отклонение может иметь место по всему горизонту планирования, начиная с некоторого момента.

Какой из приведенных вариантов чувствительности следует выбрать, зависит от того, как долго будут действовать те или иные рисковые события в реальной ситуации.
В нашем случае из принципа суперпозиции можно получить связь между глобальными и соответствующими локальными функциями чувствительности. Пусть время меняется дискретно:
t = 0, 1, 2, … n, … N,
где t = N – горизонт планирования;
t = k – момент начала воздействия глобального риска;
t = k+j, (j = 0, 1, … n–k) – моменты существования локальныхрисков;
t = n ≥ k+j – произвольный (текущий) момент наблюдения реакциисистемы на заданное воздействие.
Тогда глобальную чувствительность, описывающую реакцию системы на воздействие глобального рискового события, начавшегося в момент t = k и длящегося вплоть до горизонта планирования, можно выразить как суперпозицию локальных чувствительностей, соответствующих совокупности воздействий локальных (длительностью в один период) рисков, появляющихся в моменты от t = k и до t = k +j, (j = 0, 1, … n – k), а именно:

Следует заметить, что локальные функции чувствительности всегда быстрее убывают, чем одноименные глобальные функции для всех периодов времени. Это объясняется тем, что локальное действие какого-либо риска длится короткое время, а глобальный риск (равный суммелокальных рисков) действует все время с момента его возникновения и эффект от него накапливается от периода к периоду. Можно говорить, что функции глобальной чувствительности отражают стратегические последствия влияния длительных отклонений параметров на инвестиционный проект. В тоже время локальные чувствительности отражают тактические последствия, краткосрочных изменений во внешней и внутренней среде бизнеса.
15. Оценка влияния совокупности рисковых параметров на финансовые показатели инвестиционного проекта
Если выбрана подходящая целевая функция и определен вектор риск-параметров, можно с помощью компьютерной модели для всех периодов вычислить функции чувствительности ко всем интересующим рискам.
Можно выразить полное относительное отклонение целевой функции через относительные отклонения аргументов в виде следующей суммы:

Функции чувствительности, входящие в указанную сумму, играют роль своеобразных весовых коэффициентов, определяющих степень влияния того или иного риск-параметра на целевую функцию.
По рассчитанным функциям чувствительности можно определить те периоды "жизни" инвестиционного проекта, когда влияние риск-параметров наибольшее, т.е. наиболее "опасные" стадии реализации проекта. Кроме того, сравнивая между собой функции чувствительности по отдельным риск-параметрам, можно выявить среди них наиболее существенные, на которых следует сосредоточить основное внимание менеджеров проекта.
Если известны чувствительности инвестиционного проекта и статистические законы распределения риск-параметров, можно корректно решить задачу статистического анализа влияния совокупности риск-параметров на результаты финансового прогнозирования. Например, по известным дисперсиям риск-параметров можно оценить дисперсию отклонения целевой функции. Кроме того, построенная модель финансового прогноза с блоком анализа чувствительности позволяет провести имитационное моделирование влияния совокупности риск-параметров на выбранную целевую функцию инвестиционного проекта.
16. Индексы максимальной чувствительности проекта и их экономический смысл
Несмотря на свою простоту и привлекательность, любая интегральная оценка скрывает действия отдельных риск-факторов. Для повышения информативности такой оценки разложим ее на составляющие.
Сгруппируем риск-параметры следующим образом:
Xp – вектор цен на товары, реализуемые фирмой в рамкахинвестиционного проекта (М цен),Xq – вектор натуральных объемов продаж по всем позициямассортимента из М товаров,Xc – вектор статей текущих издержек (L статей),тогда можно определить индексы максимальной чувствительности инвестиционного проекта, а именно:
• индекс максимальной чувствительности к ценам

Индексы рассчитываются только для того, чтобы сравнить несколько инвестиционных проектов или сценариев одного ИП между собой.
Поскольку указанные индексы определяются в расчете на один риск-параметр, их можно использовать при сравнении чувствительности инвестиционных проектов с различным числом риск-параметров.
При расчете указанных выше индексов используются только экстремальные значения чувствительностей (среди всех ИП или сценариев ИП).
Бывают случаи, когда экстремальные значения не вполне информативны для оценки степени рискованности проекта. Пример:

17. Индексы полной чувствительности проекта и их экономический смысл
Для того чтобы учесть полностью временные зависимости функций чувствительности, следует в (9.11 – 9.13) вместо их максимальных значений подставить значения высот прямоугольников равновеликих соответствующим площадям между кривыми чувствительностей и осью времени в пределах выбранного горизонта планирования. Т.о. рассчитывается индекс полной чувствительности:


Далее, если для каждого из М рисков найти значение его индекса полной чувствительности, то после усреднения получим индекс полной чувствительности проекта в целом к выбранной группе рисков.
В качестве примера приведем для трех групп рисков формулы расчета индексов полной чувствительности, а именно:
• индекс полной чувствительности к ценам

• индекс полной чувствительности к натуральным объемам продаж

Здесь Т – это число периодов в горизонте планирования, совпадающее с длительностью действия всех рисков. Таким образом, полные индексы характеризуют усредненную чувствительность проекта ко всем рискам выбранной группы из расчета на один риск-параметр и на один период жизни инвестиционного проекта. Чем меньше соответствующий индекс, тем менее чувствителен инвестиционный проект к данной группе рисков.
*[• индексы полной чувствительности всегда меньше чем соответствующие им индексы максимальной чувствительности;
• чем более "плоскими" (независящими от времени) являются кривые чувствительности, тем меньше различие в величинах соответствующих индексов полной чувствительности и индексовмаксимальной чувствительности.]
18. Предельно-допустимые значения риск-параметров инвестиционного проекта. Мероприятия и способы минимизации рисков инвестора
Предельно-допустимые значения риск-параметров инвестиционного проекта.Стартовые риск-параметры объединяем в соответствующий вектор Xsq. С помощью динамической модели финансовых потоков находим предельно допустимые отклонения (абсолютные и относительные) для каждого риск- параметра в отдельности при условии, что все оставшиеся параметры сохраняют свои SQ значения. В качестве критерия допустимых изменений, можно выбрать функцию дефицита оборотных средств, которая рассчитывается как разность между накопленным сальдо финансовых потоков и требуемым значением минимально-необходимых оборотных средств, в каждом периоде планирования. Эта функция имеет вид:

Данное условие должно выполняться для всех периодов. Таким образом, получаем вектор допустимых отклонений риск-параметров ΔX. Сравнивая предельно-допустимые значения риск-параметров, полученные с помощью модели, с соответствующими вероятными значениями риск-параметров из матрицы рисков, находим зоны возможных рисков. Эти зоны рисков появляютсятогда, когда предельно-допустимые значения риск-параметров превосходят вероятные для них отклонения.
Необходимо заметить, что полный расчет предельно-допустимых значений риск-параметров часто становится весьма трудоемким и громоздким, т.к., строго говоря, требуется проводить расчеты в каждом периоде планирования. При этом приходится ограничиться анализом каждого периода независимо от других, т.е. полагая, что во всех остальных периодах ситуация соответствует SQ (Status Quo), иначе объем вычислений становится необозримым.
Мероприятия и способы минимизации рисков инвестора.
Снижение влияния рисков на финансовые результаты ИП возможно за счет существующих степеней свободы проекта (ценовая политика, объемы реализации, сроки и объемы погашения кредитов, график инвестиций и др.). В рамках указанных степеней свободы с помощью динамической модели можно решать задачу оптимизации стартового варианта (сценария) ИП с целью минимизации влияния рисков.Хеджирование, а именно: самострахование, страхование и резервирование средств.
19. Использование динамической финансовой модели для управления ходом реализации проекта
Построенная модель Cash-Flow может служить не только для прогнозирования финансовых потоков и показателей эффективности, но и для реального мониторинга после запуска инвестиционного проекта. Для этого необходимо создать специальную копию всей модели и регулярно, в конце каждого периода вводить достигнутые показатели по продажам (маркетинговый вход модели, рис. 4.12), затратам и обслуживанию кредитов (финансовый вход), капитальным расходам (инвестиционный вход). На выходе будем иметь финансовые результаты,показатели эффективности, функции чувствительности и индексы чувствительности. Таким образом, в конце каждого периода руководство компании может регулярно отслеживать различие между прогнозом и реальностью (планом и фактом), анализировать причины расхождений, а также наглядно видеть скорректированный прогноз, основанный на реально достигнутых результатах к концу любого периода. Иными словами, модель позволяет непрерывно в режиме on-line прогнозировать дальнейший ход финансовых событий вплоть до горизонта планирования в зависимости от принимаемых решений. При этом одновременно с целевыми функциями должны отслеживаться и функции чувствительности, тогда менеджеры будут иметь полную картину последствий тех или иных управленческих решений с оценкой их рискованности при реализации инвестиционного проекта.

Зная функции чувствительности по каждому риск-параметру в отдельности, как на этапе прогнозирования, так и на этапе финансового мониторинга следует оценивать влияние одновременного воздействия на инвестиционный проект совокупности рисков.
20. Особенности стратегического бизнес-планирования. Методика разработки стратегического бизнес-плана развития компании
Особенности стратегического бизнес-планирования.
Задачи стратегического бизнес-планирования:
1) Оисание настоящего положения компании
2) Описание желаемого будущего (остановка целей)
3) Создание стратегии в результате анализа проблем и возможностей при достижении поставленных целей.
4) Мониторинг изменений.
Стратегия представляет собой обобщающую модель длительных действий, которые необходимы компании для достижения поставленных целей при имеющихся возможностях. При разработке стратегии компания определяет общие направления деятельности. Однако стратегия не может быть обыкновенным определением желаемых целей и способов их достижения. Стратегия должна опираться не на фантазии, а на реальные возможности компании. Таким образом, стратегия – это в первую очередь реакция компании на внутренние и внешние обстоятельства ее деятельности. Процесс обоснования стратегии опирается на результаты изучения внутренней и внешней среды хозяйствования, выявления потребностей рынка и определения возможностей компании в их удовлетворении.
Стратегическое бизнес-планирование представляет собой документальное подтверждение выбранной стратегии развития компании. Стратегическое планирование – это процесс моделирования будущего, в котором должны определяться цели и формулироваться концепция долгосрочного развития. Это управленческий процесс разработки и поддержания стратегического соответствия между целями компании, ее возможностями и перспективами. Кроме того, стратегическое планирования – это адаптивный процесс, который приводит к регулярным корректировкам решений и пересмотрам систем по выполнению планов на основе постоянного контроля и оценке изменений, происходящих в деятельности компании.
Стратегическое планирование включает в себя многообразие различных видов плановой деятельности компании. Оно представляет собой многоэтапный, параллельный и последовательных процесс, который охватывает огромное количество решений, – адаптация к внешней среде с помощью внутренней координации, организационное долгосрочное прогнозирование, распределение и перераспределение ресурсов.
Единой унифицированной формы составления стратегического плана не существует. Эта форма зависит исключительно от мнения специалистов и руководства конкретной компании и от того, насколько правильно они понимают задачи бизнеса, стоящи перед ними, а также от их представлении о желаемом поведении компании во внешней среде и знания методологии разработки.
Между стратегическим планом и бизнес-планом существуют некоторые отличия, которые касаются категории информированности, масштабности подходов, времени и детальной проработке схем действия. Временные различия заключаются в том, что стратегический план, как правило, более длителен по срокам. Информированность выше при составлении бизнес-плана, равно как и детальность проработки предполагаемых действий, однако масштабность подходов несколько скромнее.
Стратегическое планирование бизнеса, равно как и процесс реализации этого плана, предполагает также диалектическое осмысление и творческое использование обстоятельств бизнеса.
Методика разработки стратегического бизнес-плана развития компании.
Разработка стратегического бизнес-плана включает в себя:
· SWOT-анализ. Факторы, которые целесообразно учитывать в SWOT- анализе:

· Маркетинг.
· Проблемы компании, видение, миссия, цели, стратегии.
· Финансовый прогноз.
· Анализ влияния рисков.
|