Інституційний аналіз інвестиційного проекту
Зміст
1. Мета і завдання інституційного аналізу. 3
1.2. Оцінка впливу зовнішніх факторів на проект. 5
1.3. Оцінка впливу внутрішніх факторів на проект. 9
Висновок. 18
Список використаної літератури. 20
Досить часто оцінка проекту, його фінансова привабливість базуються на кількісних показниках і вартісних оцінках виробництва та реалізації продукції проекту. При цьому увага концентрується на аналізі технічних і технологічних аспектів виробництва та маркетингових елементів реалізації продукту. Однак було б серйозною помилкою обмежуватися розглядом тільки кількісних величин, оскільки важливим аспектом проектного аналізу є використання некількісних, або нефінансових, характеристик проекту. Як доводить практика, досить часто успіх проекту визначається умовами, в яких він реалізується, ступенем впливу внутрішніх і зовнішніх факторів. Завдання якісної характеристики впливу на проект його зовнішнього середовища, можливість успішної реалізації проекту в заданих умовах бере на себе інституційний аналіз.
Метою проведення інституційного аналізу проекту є визначення ступеня впливу зовнішніх (політичних, економічних, соціокультурних, правових тощо) і внутрішніх (рівня кваліфікації персоналу, залученого до проведення проекту, менеджменту організації, яка здійснює проект, та ін) факторів на можливість успішної реалізації проекту.
Як основні завдання інституційного аналізу можна виокремити такі:
аналіз політичної орієнтації та макроекономічної політики уряду;
ідентифікація цілей проекту та напрямів розвитку, визначених урядом як пріоритетних;
оцінка рівня менеджменту проекту та визначення параметрів його успішної реалізації;
характеристика кадрового потенціалу організації та оцінка його здатності успішно виконати поставлені завдання;
аналіз узгодженості цілей проекту з інтересами його учасників;
діагностика організаційної структури і міри її відповідності досягненню результатів проекту.
Проведення інституційного аналізу потребує використання особливого методологічного апарату та інструментарію. Так, поряд з методами і моделями кількісних оцінок (описові моделі, які визначають взаємозв'язки між кількома змінними; аналітичні моделі, що характеризують можливі динамічні відхилення; моделі прийняття рішень та ін) інституційний аналіз вимагає використання методів якісних оцінок і ситуаційного аналізу. Важливе значення для прийняття проектного рішення при проведенні інституційного аналізу проектів мають методи експертних оцінок. Тому аналітики, які використовують методики багатоступінчастих опитувань (метод Дельфі, Кутурова та ін), повинні прагнути до зниження ступеня суб'єктивізму експертизи та надавати експертним оцінкам кількісних характеристик, що дозволяли б оцінити міру впливу тих чи інших факторів на ефективність проекту.
Забиваем Сайты В ТОП КУВАЛДОЙ - Уникальные возможности от SeoHammer
Каждая ссылка анализируется по трем пакетам оценки: SEO, Трафик и SMM.
SeoHammer делает продвижение сайта прозрачным и простым занятием.
Ссылки, вечные ссылки, статьи, упоминания, пресс-релизы - используйте по максимуму потенциал SeoHammer для продвижения вашего сайта.
Что умеет делать SeoHammer
— Продвижение в один клик, интеллектуальный подбор запросов, покупка самых лучших ссылок с высокой степенью качества у лучших бирж ссылок.
— Регулярная проверка качества ссылок по более чем 100 показателям и ежедневный пересчет показателей качества проекта.
— Все известные форматы ссылок: арендные ссылки, вечные ссылки, публикации (упоминания, мнения, отзывы, статьи, пресс-релизы).
— SeoHammer покажет, где рост или падение, а также запросы, на которые нужно обратить внимание.
SeoHammer еще предоставляет технологию Буст, она ускоряет продвижение в десятки раз,
а первые результаты появляются уже в течение первых 7 дней.
Зарегистрироваться и Начать продвижение
Складність підготовки даного розділу аналітичної оцінки проекту пов'язана з необхідністю розгляду всієї сукупності внутрішніх і зовнішніх факторів, що супроводжують проект, та прийняття рішень про можливість його успішного виконання з урахуванням політичних, макроекономічних, організаційних та адміністративних умов.

Рис.1. Елементи інституційного аналізу.
Різноманіття видів робіт, які провадяться при виконанні інституційного аналізу, дозволяє, з одного боку, ідентифікувати середовище реалізації та експлуатації проекту, аналізувати ступінь впливу зовнішніх і внутрішніх факторів на успішність здійснення проектних рішень та ефективність проекту, а з іншого, - розробити програму можливої протидії потенційно від'ємному впливу на проект зовнішніх факторів і необхідності надання технічної допомоги для досягнення встановлених цілей проекту (рис.1).
До зовнішнього середовища проекту належать перш за все ті політичні та економічні умови, в яких реалізовуватиметься проект. Безумовно, що правове та соціальне середовища безпосередньо впливають на проект. Зовнішні фактори практично не можуть бути змінені розробниками та менеджерами проекту; фактично вони є системою обмежень, яка повинна враховуватися у процесі підготовки проектних рішень.
З одного боку, зовнішні фактори звужують можливості маневрування та чітко визначають межі проекту, але з іншого боку, їх урахування дозволяє домогтися найбільш сприятливих умов для реалізації проекту.
Практично всі проекти розвитку перебувають під впливом політико-правового поля і макроекономічного регулювання державних структур влади. Необхідно відмітити, що для великомасштабних довгострокових проектів важливе значення мають політичні умови та стабільність політичного курсу держави. Тому аналіз політичних умов, шляхів і методів реформування, а також політичний прогноз являються невід'ємним розділом інституційного аналізу.
Сервис онлайн-записи на собственном Telegram-боте
Попробуйте сервис онлайн-записи VisitTime на основе вашего собственного Telegram-бота:
— Разгрузит мастера, специалиста или компанию;
— Позволит гибко управлять расписанием и загрузкой;
— Разошлет оповещения о новых услугах или акциях;
— Позволит принять оплату на карту/кошелек/счет;
— Позволит записываться на групповые и персональные посещения;
— Поможет получить от клиента отзывы о визите к вам;
— Включает в себя сервис чаевых.
Для новых пользователей первый месяц бесплатно.
Зарегистрироваться в сервисе
Ключовою ланкою, яка визначає зовнішнє середовище проекту, є державна політика та урядове регулювання всіх його аспектів стосовно інвестиційного клімату виробництва, споживання продукції проекту, імпорту, експорту товарів та сировини, що розглядаються, стандартів, обмежень, мита, оподаткування і надання субсидій, існуючих форм стимулювання, кредитного й валютного регулювання.
Важливим напрямом аналізу серед викладених вище є оцінка політики уряду, яка безпосередньо пов'язана з реалізацією проекту. Ідеологія керівництва будь-якої країни повинна базуватися на проведенні такої політики, яка б забезпечувала умови можливого економічного зростання та підвищення соціального добробуту суспільства. Однак на практиці досить часто можна зустріти ситуацію, коли державне регулювання процесів інвестування не стимулює розвиток галузей, регіонів та країни в цілому, а навпаки, створює таке правове середовище, що пригнічує розвиток економіки.
Практика аналізу проектів підтвердила той факт, що на будь-який проект тією чи іншою мірою впливає урядова політика. У деяких випадках проекти здійснюються виключно в тих секторах економіки чи тих галузях, де існують додаткові можливості для успішної їх реалізації. Так, надання інвесторам податкових кредитів у пріоритетних з точки зору держави галузях може бути причиною стрімкого зростання реінвестицій фондів у цих галузях. Пріоритетність розвитку агропромислового комплексу може підтримуватись за допомогою політики субсидій виробникам сільгосппродукції та переробному сектору, що робить цей сектор більш привабливим для інвесторів.
Податкова політика, безумовно, являє собою один з основних способів заохочення інвесторів для стимулювання розвитку окремих регіонів і секторів економіки та промисловості. Досвід промислово розвинених країн свідчить, що останнім часом спостерігається значний тиск держави на користь децентралізації промисловості, прагнення знизити міру забруднення регіонів з високою концентрацією промислового виробництва. Через це знання аналітиком державної політики щодо місцерозташування проектів та їх цільового спрямування дозволяє врахувати різні пільги та стимули, різноманітні схеми фінансового стимулювання. Так, деякі країни, що розвиваються, надають прямі субсидії інвесторам окремих галузей промисловості, які розташовуються у певних регіонах. Отже, аналітику варто проаналізувати вплив цих стимулів на економічні показники проекту, який розглядається. Часто інвестиції в зони, що розвивають експортний потенціал, звільняються від сплати податків і можуть бути прибутковими завдяки окремим видам субсидій.
Крім фіскальної політики, яка значною мірою впливає на ефективність проекту та остаточне рішення при його відборі, на інвестиційний процес має активний вплив правове середовище, що визначає умови експортно-імпортних операцій зовнішньоторговельного режиму, валютного регулювання. Законодавча база, яка забезпечує захист інтересів і прав інвесторів, правове поле у сфері трудового права можуть зробити проект економічно збитковим.
Державне регулювання інвестиційної діяльності передбачає:
наявність системи оподаткування з диференціацією податкових ставок і пільг;
надання фінансової допомоги у вигляді дотацій, субсидій, субвенцій, бюджетних позичок на розвиток окремих територій, галузей, виробництв;
проведення активної фінансової та кредитної політики, амортизаційної політики та політики ціноутворення;
встановлення правил користування землею та іншими природними ресурсами;
контроль за дотриманням державних норм і стандартів;
визначення умов кредитування та інвестування, регулювання ставки рефінансування;
наявність правового регулювання взаємовідносин усіх учасників інвестиційної діяльності з метою забезпечення дотримання їх інтересів при реалізації проектів.
У разі, коли проект орієнтовано на виробництво і реалізацію товарів на зовнішньому ринку, увага аналітиків повинна бути приділена вивченню правового поля, яке регламентує умови імпорту-експорту сировини, напівфабрикатів та готової продукції. Аналіз існуючої митної політики дозволяє оцінити ступінь впливу на ефективність проекту наявних митних зборів, податків та доцільність орієнтації на зовнішні ринки збуту продукції чи купівлі сировини і матеріалів.
Невід'ємним елементом оцінки зовнішнього середовища проекту є аналіз соціально-економічних умов у країні та регіоні реалізації проекту. Це пов'язано насамперед із законодавством про умови праці, рівнем соціальної захищеності населення. Умови праці персоналу, залученого до проекту, регламентуються законодавчими актами, угодами з профспілками. Вони повинні відповідати тим національним традиціям країн, де реалізується проект. Регламентація умов праці та відпочинку працівників дозволить аналітикам уникнути такої поширеної помилки, як визначення потреби у трудових ресурсах на основі застосування норм праці, що переважають в індустріальних країнах. Оптимістичні оцінки продуктивності, складені на основі досвіду аналогічних проектних розробок промислово розвинених країн та перенесені у практику країн, які розвиваються, можуть значною мірою підвищити привабливість проекту. Тому розробникам необхідно брати до уваги різницю в кваліфікації, досвідченості, продуктивності праці персоналу, стандартах безпеки праці, включаючи тенденції, що очікуються, та аналізувати їх вплив на інвестиційні й виробничі витрати.
При аналізі проекту необхідно визначити та розглянути всі компоненти по забезпеченню охорони здоров'я і соціальному захисту персоналу, а також оцінити рівень додаткових витрат, необхідних для додержання вимог законодавства про працю.
Сьогодні актуальними є також такі напрями державної підтримки інвестицій, як сертифікація проектів та державні гарантії інвесторам. Сертифікація проектів спрямована на підтримку проектів, продукція яких не має аналогів у світі, і проектних рішень, які дають змогу збільшити експортний потенціал країни або створити імпортно замінюючі товари. Багатьма інвесторами перевага віддається державним гарантіям як найбільш привабливій формі підтримки. Однак державні гарантії поширюються на проекти, пов'язані з виконанням міжнародних угод, зниження ризику реалізації яких і так потребує розробки умов надання гарантійних зобов'язань як з боку інвесторів, так і з боку держави. Практика свідчить про те, що для здійснення деяких інших проектів необхідно отримати ряд дозволів й ухвал від різних міністерств та урядових установ, які дозволяють розпочати роботу з реалізації проекту. У певних випадках ця процедура не потребує особливих зусиль проектних розробників, і процес узгодження проходить у мінімальні строки. Однак є чимало випадків, коли життєздатні проекти не були реалізовані саме через неможливість подолання бюрократичних бар'єрів при отриманні дозволу, ліцензій, узгоджень та ухвал від урядових чиновників.
Внаслідок подібного бюрократичного процесу проходження деякі проекти закінчують своє існування ще на фазі інвестування,
не вступаючи навіть до експлуатації, оскільки органи влади не можуть своєчасно узгодити всі моменти проходження проекту по інстанціях. Даний аспект підготовки та реалізації проекту повинен стати невід'ємним атрибутом інституційного аналізу, що дозволяє визначити інвесторам дійсний строк розробки проектної документації, а також встановити час та обчислити кошти, потрібні для подолання всіх бюрократичних перешкод.
Іншим, не менш важливим розділом інституційного аналізу є визначення та оцінка внутрішніх факторів, що впливають на проект.
Отже, аналіз інституційних характеристик внутрішніх елементів проекту передбачає їх діагностику, оцінку можливого впливу на успішність виконання проекту, а також розробку рекомендацій по підвищенню ефективності менеджменту проекту, якості організаційної структури і, у разі необхідності, розробку програми технічної допомоги при підготовці й реалізації проекту.
Сучасна концепція ефективного здійснення проекту базується на висновку, що оцінка рівня та можливостей менеджменту проекту є ключовим фактором успіху його реалізації. Тому багато експертів виділяють рівень управлінської команди проекту, який розглядається, як найважливішу ланку не тільки інституційного аналізу, але й усього обґрунтування проекту, що вивчається.
Досвідчені банкіри дотримуються правила великого пальця: спочатку слід шукати добрих менеджерів, а лише потім - потенційні проекти, тому що кваліфікований менеджер із сильними професійними характеристиками здатний перетворити рядовий або бідний проект на вигідну й успішну роботу. На противагу кваліфікованому непрофесійний менеджер здатен прийняти чудову проектну концепцію, витратити на неї величезну суму капіталу і все одно втратити гроші й штовхнути справу до банкрутства.
Аналізуючи виробничі можливості менеджменту проекту чи організації, що здійснює проект, необхідно сфокусувати увагу на таких моментах:
оцінка дієздатності управлінської команди;
характеристика кваліфікаційного рівня і наявність досвіду вирішення аналогічних завдань;
аналіз наявності механізмів мотивації та оцінка їх ефективності;
відповідність менеджменту проекту корпоративній культурі організації і цілям проекту.
Управлінська команда проекту (чи менеджер проекту - у разі реалізації невеликих проектів) відповідає за забезпечення досягнення прогнозованих результатів проекту заданої якості, при встановленому бюджеті, виділених трудових і матеріальних ресурсах у визначені строки. Функціональні обов'язки менеджера проекту наведені на рис.2.

Рис.2. Функції менеджера (управлінської команди) проекту.
Управлінська команда повинна продемонструвати свої навички, знання і досвід виконання аналогічних робіт. Однак визначити здібності проектної команди чи менеджера працювати ефективно, оцінити їх можливості вирішити встановлені завдання з початку проекту до його закінчення дуже складно. На відміну від можливості випробувань технічних елементів проекту створення умов для подібних експериментів з менеджером не завжди можливе.
Успішний менеджер, як правило, поєднує технічні навички і організаторські здібності, високі ділові якості, досвід роботи, вміння взаємодії зі спеціалістами різних рівнів, профілю та кваліфікації, які практично не піддаються вимірюванню. Тому оцінка компетентності та досвіду проектної управлінської команди в основному базується на суб'єктивних факторах.
Менеджер проекту координує практично всі сторони діяльності з реалізації проекту - від його задуму до втілення. Керуючий проектом включається до роботи на передпроектному етапі при техніко-економічному обґрунтуванні проекту, бере участь в оцінці найбільш раціонального його варіанта, у виборі підрядника, організації фінансування, підписанні контракту та на всіх наступних етапах, включаючи введення проекту до експлуатації.
При оцінці менеджменту проекту важливим моментом є наявність у нього досвіду виконання аналогічного проекту. Розробник при проведенні інституційного аналізу повинен оцінити рівень компетенції та практичний досвід управління проектами у тій же галузі, на подібних об'єктах, в аналогічному культурному та соціальному оточенні. Необхідно також, щоб масштаб проекту, який аналізується, не відрізнявся від масштабу вже реалізованого цим менеджером або управлінською командою проекту.
Успішні менеджери повинні продемонструвати свою дієздатність керування проектом на основі глибокого розуміння тенденцій та особливостей галузі, бізнес-оточення, вміння отримати та проаналізувати необхідну інформаційну базу, яка дозволяє обрати найбільш ефективне управлінське рішення. - Аналізуючи потенціал управлінської команди, розробники повинні оцінити систему стимулів і мотивації, яка дозволяє забезпечити виконання встановлених проектних цілей. Слід пам'ятати, що до мотиваційних механізмів належить не тільки матеріальна винагорода, але й можливість виконання різних за змістом робіт, професійний ріст, поширення повноважень, наявність можливості прояву ініціативи, а також отримання внутрішнього задоволення від якості та рівня кваліфікації робіт, що виконуються.
Для матеріального стимулювання використовують різні системи оплати управлінської праці, які узгоджують зусилля команди проекту і результати виконаної роботи з розміром отриманого заробітку. Безумовно, у таких системах повинна існувати паралельно із постійною частиною оплати праці бонусна частина, яка може бути представлена процентом від прибутку чи можливістю стати акціонером компанії. Використання фінансових стимулів і нефінансових мотиваторів повинно бути спрямоване на досягнення встановлених завдань проекту, результатів, яких необхідно домогтися у визначений термін, при виділених матеріальних і фінансових ресурсах.
Одним з важливих факторів успіху діяльності управлінської команди є відповідність цілей та цінностей менеджменту організаційній культурі компанії, де реалізується проект, чи компанії - учасниці проекту. Оскільки формування виробничого клімату, корпоративного духу, створення цінностей - процес довготривалий, то можливість зміни філософії організації, системи її етичних норм і традицій у процесі реалізації проекту практично відсутня. Тому інтеграція цілей та переконань менеджменту проекту із культурою організації, що реалізує проект, системою цінностей інвесторів можуть стати запорукою успішної підготовки та експлуатації проекту. У випадку, коли всі учасники проекту поділяють одну систему цінностей та пріоритетів, легко будувати взаємовідносини співробітництва. Помилкою є залучення до керівництва проектом менеджменту, стиль і мотиви якого значною мірою відрізняються від умов, що склалися в організації проекту. Слід пам'ятати: реалізація аналогічних проектів, але у різному підприємницькому середовищі (невелика високотехнологічна фірма, велика, стабільно працююча компанія, державне підприємство) потребує відповідного досвіду команди та стилю керівництва.
Поряд з оцінкою рівня управлінського потенціалу залучених керівних працівників аналітики здійснюють детальну діагностику трудових ресурсів, оскільки кадровий потенціал повинен відповідати рівню встановлених завдань проекту, якості технологій, які використовуються у проекті, організаційним вимогам проекту.
Однак ступінь важливості та впливу кадрового складу на ефективність виконання проекту залежить від його типу та масштабу. При визначенні рівня відповідності робочої сили завданням проекту слід проаналізувати наявність відповідної кількості робочої сили необхідної кваліфікації, рівень професійності персоналу, а також продуктивність їх праці.
Для оцінки персоналу застосовують методи:
прогностичний, заснований на використанні анкетних даних, характеристик, рекомендацій менеджменту;
практичний, який базується на оцінці результатів діяльності працівника;
імітаційний, що передбачає експертну оцінку ділових та особистих якостей працівника шляхом вирішення імітаційного завдання, яке передбачає вирішення конкретної ситуації.
Для діагностики кадрового складу використовують методологію системного аналізу та інструментарій, що дозволяє оцінити відповідність якісної характеристики персоналу в цілому та окремих працівників вимогам проекту. При оцінці можливе застосування такого інструментарію збирання та обробки інформації:
=> анкетування;
=> інтерв'ювання;
=> тестування;
=> робочі експерименти;
=> графологічний аналіз.
При даному дослідженні розробник проекту повинен визначити, наскільки рівень освіти, кваліфікації та досвіду трудових ресурсів у тій місцевості, де буде реалізований проект, відповідає нормативним характеристикам. У випадку відхилень можлива або підготовка персоналу у відповідності з вимогами проекту, або забезпечення кадрового складу (частково або повністю) за рахунок залучення працівників з інших регіонів. Досить часто при реалізації складних специфічних проектів необхідно "імпортувати" працівників, тому аналітик у процесі підготовки повинен визначити потреби в трудових ресурсах, можливість їх задоволення за рахунок місцевого населення і необхідність залучення спеціалістів з інших районів або країн.
При оцінці продуктивності праці персоналу необхідно враховувати, що вона значною мірою відрізняється залежно від країни, проживання працівника і традицій, культури, національних особливостей. Так, рівень продуктивності на аналогічних підприємствах з однотипним техніко-технологічним потенціалом у східних країнах (Корея, Японія) зараз значно перевищує продуктивність праці робітників Північної або Південної Америки. Тому аналітик зобов'язаний врахувати даний факт і скоригувати кількість працівників з урахуванням виявлених відхилень рівня продуктивності праці від заданих проектом.
Важливим моментом при оцінці персоналу є також аналіз культурних і виробничих традицій у даній країні, регіоні та галузі, а також рівень згуртованості колективів працівників та їх об'єднання у профспілкові організації. Наявність сильних профспілок може значно вплинути на зміну умов праці, передбачених у проекті спочатку. Тому в процесі проведення інституційного аналізу слід визначити, наскільки рівень вимог профспілок щодо заробітної плати, соціального захисту, умов праці може бути виконаний у межах проекту, чи не призведе додержання цих вимог до додаткових витрат за проектом.
Дані проведеного аналізу трудових ресурсів повинні засвідчити ступінь впливу виявлених відхилень на зміни (позитивні чи від'ємні) у грошовому потоці проекту та оцінити його життєздатність.
Заключним етапом оцінки внутрішніх факторів інституційного аналізу є діагностика організаційної структури. Цей розділ проекту - найбільш складний, оскільки сучасна практика управлінської діагностики передбачає не тільки розгляд організаційної структури, але й розробку рекомендацій щодо її вдосконалення для можливості реалізації цілей проекту.
Насамперед при діагностиці організаційної структури управління компанії, що реалізує проект, необхідно здійснити оцінку доцільності збереження тих чи інших елементів, виявлення можливості перерозподілу функцій і завдань між центральними органами і локальними підрозділами керівного апарату для підвищення ефективності прийняття управлінських рішень.
При вивченні організаційної структури слід сфокусувати свою увагу як на формальних, так і неформальних взаємозв'язках її елементів.
Аналіз формальної структури передбачає:
=> характеристику типу організаційної структури та оцінку її відповідності вимогам реалізації проекту;
=> ідентифікацію порядку розподілу повноважень, прав та обов'язків;
=> оцінку нормативного забезпечення процесу управління;
=> опис формальних каналів комунікації та оцінку раціональності інформаційних потоків;
=> визначення ефективності організаційної структури з точки зору досягнення встановлених завдань.
При аналізі типу організаційної структури слід визначити її відповідність вимогам зовнішнього середовища, а також можливості реалізації проекту без змін традиційної ієрархічної моделі управління. Структурні рекомендації можуть будуватися на основі поліпшення таких показників ефективності управління, як коефіцієнт гнучкості виробничої структури підприємства, коефіцієнти оперативності, раціональності та надійності організаційної структури управління.
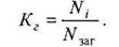
Коефіцієнт гнучкості виробничої структури (Кг) показує рівень централізації управління та розраховується як відношення кількості робітників n-ї функції організаційної структури управління (Ni) до загальної кількості працівників що виконують роботу відповідно до даної функції (N3aг):

Чим вище цей коефіцієнт, тим жорсткіша централізація керівництва у компанії.
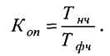
Коефіцієнт оперативності організаційної структури (Коп) відображає співвідношення нормативного часу виконання заданої n-ї функції (Тнч) до величини фактичних часових витрат для реалізації цієї функції (Тфч). Вважається, що структура оперативна, якщо даний коефіцієнт близький до одиниці.

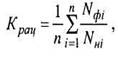
Коефіцієнт раціональності організаційної структури (Крац) можна визначити за формулою

де n - кількість функцій управління;
NHi - нормативна кількість працівників за і-ою функцією;
Nфi - фактична кількість працівників за і-ою функцією;
Спрямованість цього показника до одиниці відображає високий рівень раціональності організаційної структури.
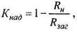
Коефіцієнт надійності (Кнад) демонструє рівень нереалізованих управлінських рішень у їх загальній кількості і розраховується за формулою

де RH - кількість нереалізованих рішень;
Rзаг - загальна кількість прийнятих рішень.
Аналізуючи організаційну структуру за формальними критеріями, слід пам'ятати, що зміну рівня централізації і децентралізації структури необхідно починати з опису формальних каналів комунікації і за допомогою визначення повноважень служб, відділів та окремих працівників.
Найбільш поширеними рекомендаціями даного блоку є приведення структури фірми у відповідність до вимог проекту шляхом побудови матричної чи проектної організаційної структури, що дозволяє сконцентрувати увагу та ресурси компанії на вирішенні встановлених проектом завдань, допомагає кооперації та координації дій учасників проекту.
Аналіз процесу прийняття рішень дозволяє відстежити порушення в комунікаційних потоках, здійснити делегування повноважень на середні та низькі ланки управління, що дозволяє забезпечити більш повне використання їх професійних знань, досвіду, підвищити рівень мотивації персоналу.
Інституційний аналіз є важливим розділом підготовки проекту і має на меті визначення впливу всього спектра зовнішніх і внутрішніх факторів на успішність виконання проекту. При проведенні інституційного аналізу аналітику необхідно:
сканувати умови реалізації проекту (політичне та правове середовище, державна політика, макроекономічне регулювання, рівень менеджменту, трудовий потенціал і структура управління);
оцінити ступінь впливу умов на ефективність реалізації проекту, визначити додаткові припливи і відтоки грошових коштів при дотримуванні заданих умов реалізації проекту у визначеному середовищі;
розробити заходи і програму можливої протидії потенційно негативному впливу на проект зовнішніх факторів, а також оцінити доцільність надання технічної допомоги для досягнення встановлених цілей проекту.
Оцінка зовнішніх факторів передбачає вивчення політичних і правових умов реалізації проекту, державної політики з питань інвестування, оподаткування, регламентації імпортно-експортних операцій та зовнішньоторговельної діяльності, а також законодавчої бази про працю. При розгляді великомасштабних проектів аналітику слід визначити можливість державної підтримки проекту, що розглядається, та необхідність бюрократичних узгоджень.
Аналіз внутрішніх факторів містить оцінку рівня менеджменту команди проекту, можливість ефективного управління проектним циклом. Цей етап підготовки передбачає розгляд відповідності рівня кваліфікації та досвіду управлінської команди, ступінь її мотивації, спільність їх корпоративної культури з цілями та цінностями проекту і компанії, що його реалізує. Важливим також є аналіз трудового потенціалу персоналу, який планується залучити для реалізації проекту, та організаційної структури управління.
Усі можливі компоненти впливу на проект мають бути виражені у величині додаткових витрат, що дозволить визначити життєздатність проекту у тому інституційному просторі, що розглядається.
1. Про інвестиційну діяльність. Закон України від 18 вересня 1991 р. №1560-ХІІ.
2. Про усунення дискримінації в оподаткуванні суб'єктів підприємницької діяльності, створених з використанням майна та коштів вітчизняного походження. Закон України від 17 лютого 2000 р. №1457-ІІІ.
3. Про спеціальні економічні зони та спеціальний режим інвестиційної діяльності в Донецькій області. Закон України від 24 грудня 1998 р. № 356-ХІV.
4. Положення про типовий бізнес-план. Затверджено наказом Фонду Державного майнаУкраїни від 26.10. 1994 р. №301.
5. Методика складання бізнес-планів. Затверджено наказом Агенства з питаньзапобігання банкрутству підприємств та організацій від 21.04. 1997 р. №56.
6. Бланк И.А. Инвестиционный менеджмент. - К.: Итем, 1995.
7. Верба В.А., Загородніх О.А. Проектний аналіз: Підручник - К.: КНЕУ, 2000.
8. Верба В.А., Гребешкова О.М., Востряков О.В. Проектний аналіз: Навч. - метод, посібник для самост. вивч. дисц. - К.: КНЕУ, 2002.
9. Волков ИМ., Грачева MB. Проектный анализ: Учебник для вузов. - М.: Банки и биржи, ЮНИТИ, 1998.
10. Єлейко ЯЛ., Єлейко О.І., Раєвський К. Є. Інвестиції, ризик, прогноз. - Львів: Львівський банківський інститут, 2000.
11. Липсиц И.В., Коссов В.В. Инвестиционный проект: Методы подготовки и анализа: Учеб. - справ, пособие. - М.: БЕК, 1996.
12. Лапішко М.Л. Основи фінансово-статистичного аналізу економічних процесів. - Львів: Світ, 1995.
13. Мелкумов Я.С. Экономическая оценка эффективности инвестиций. - М.: ДИС, - 1997.
14. Пересада А.А. Інвестиційний процес в Україні. - К.: Лібра, 1998.
15. Савчук В.П., Прилипко СИ., Величко Е.Г. Анализ и разработка инвестиционных проектов. - К.: Абсолют-В, Эльга, 1999.
16. Проектний аналіз: Навч. посіб. /під ред. С.О. Москвіна. - К.: Лібра, 1998.
17. Управление инвестициями: в 2-х т. / Под ред. В. В. Шеремета. - М.: Высшая школа, 1998.
18. Бизнес-план инвестиционного проекта /Под ред. И.А. Иванниковой. М.: Экспертное бюро 1997.
19. Бизнес-план инвестиционного проекта: Отечественный и зарубежный опыт. Современная практика и документация. / Под ред. В.М. Попова. - 4-е изд. - М.: Финансы и статистика, 1997.
20. Сборник бизнес-планов с комментариями и рекомендаціями / Под. ред.В.М. Попова. - 2-е изд. - М.: Финансы и статистика, 1998.
|