Рязанский государственный радиотехнический университет
Курсовая работа
по курсу общая электротехника и электроника
На тему
Трехфазные и линейные цепи периодического несинусоидального тока
Рязань 2007
Содержание
Введение
Глава 1. Трехфазные цепи
1.1 Понятие о многофазных источниках питания и о многофазных цепях
1.2 Соединения звездой и многоугольником
1.3 Расчет симметричных и несимметричных режимов трехфазных цепей
Глава 2. Линейные цепи периодического несинусоидального тока
2.1 Способы представления и описания
2.2 Расчет режима
2.3 Мощности в цепи несинусоидального тока
Заключение
Список литературы
Введение
Электротехника - это наука о техническом (т.е. прикладном) использовании электрических и магнитных явлений. Большое значение электротехники заключается в том, что средствами электротехники
- эффективно получают и передают электроэнергию;
- решают вопросы
· передачи и преобразования сигналов и информации: звук человеческой речи преобразуют в электромагнитные колебания (телефон, радио);
· хранения информации (телеграф, радио, магнитная запись);
- выполняют математические операции: вычислительные машины с огромной скоростью выполняют любые математические операции, в том числе и решение сложных уравнений.
Теоретические основы электротехники заложены физикой (учением об электричестве и магнетизме) и математикой (методами описания и анализа электромагнитных явлений). Наряду с этом развитие электротехники привело к ряду новых физических понятий, новых формулировок физических законов, к развитию специальных математических методов, связанных с описанием и анализом типичных явлений, протекающих именно в электротехнических устройствах.
Глава 1. Трехфазные цепи
1.1 Понятие о многофазных источниках питания и о многофазных цепях
Многофазной системой электрических цепей называют совокупность электрических цепей, в которых действуют синусоидальные ЭДС одной и той же частоты, сдвинутые относительно друг друга по фазе и создаваемые общим источником электрической энергии ( ; ;…; ). Токи, протекающие в каждой из цепей, входящих в многофазную систему, так же сдвинуты относительно друг друга по фазе.
Обычно электрические цепи, образующие многофазную систему цепей, тем или иным способом электрически соединяют друг с другом. При этом многофазную систему называют многофазной цепью. Совокупность ЭДС, действующих в отдельных цепях многофазной цепи, а также совокупность токов и напряжений в них называют многофазной системой соответственно ЭДС, токов и напряжений.
Забиваем Сайты В ТОП КУВАЛДОЙ - Уникальные возможности от SeoHammer
Каждая ссылка анализируется по трем пакетам оценки: SEO, Трафик и SMM.
SeoHammer делает продвижение сайта прозрачным и простым занятием.
Ссылки, вечные ссылки, статьи, упоминания, пресс-релизы - используйте по максимуму потенциал SeoHammer для продвижения вашего сайта.
Что умеет делать SeoHammer
— Продвижение в один клик, интеллектуальный подбор запросов, покупка самых лучших ссылок с высокой степенью качества у лучших бирж ссылок.
— Регулярная проверка качества ссылок по более чем 100 показателям и ежедневный пересчет показателей качества проекта.
— Все известные форматы ссылок: арендные ссылки, вечные ссылки, публикации (упоминания, мнения, отзывы, статьи, пресс-релизы).
— SeoHammer покажет, где рост или падение, а также запросы, на которые нужно обратить внимание.
SeoHammer еще предоставляет технологию Буст, она ускоряет продвижение в десятки раз,
а первые результаты появляются уже в течение первых 7 дней.
Зарегистрироваться и Начать продвижение
Отдельные цепи, являющиеся составными частями многофазной цепи, называют фазами многофазной цепи. Как уже было сказано, каждая фаза пропускает свой ток с определенной фазой.
Обратите внимание, что словом «фаза» здесь обозначается не только значение аргумента синусоидальной функции, характеризующее стадию периодического процесса, но и участок многофазной цепи, содержащий один и тот же ток. Понимать это надо следующим образом: когда говорят о фазе многофазной цепи, то под этим понимают фразу: часть многофазной цепи, содержащая источник ЭДС с начальной фазой , или пропускающая ток с начальной фазой .
Надо постоянно помнить, что в зависимости от рассматриваемого вопроса, термин «фаза» - это либо участок, составная часть сложной многофазной цепи, либо аргумент синусоидальной функции.
Число фаз многофазной цепи будем обозначать через m. В частности при m=3 имеем трехфазную цепь.
Многофазные системы ЭДС получают с помощью многофазных генераторов. Принцип их работы рассмотрим на примере трехфазного генератора. В равномерном магнитном поле с постоянной угловой скоростью вращается три одинаковые жестко скрепленных катушки. Их плоскости смещены в пространстве на .

Аналогично можно получить и любую другую систему ЭДС с другим их количеством и фазовыми соотношениями.
Количество ЭДС определяется количеством обмоток у генератора, а фазовые соотношения – поворотом обмоток относительно друг друга в пространстве.
Классификация многофазных цепей
В первую очередь многофазные системы разделяют по количеству фаз. Бывают двухфазные цепи, трехфазные, шестифазные и реже двенадцатифазные.
Многофазные системы бывают симметричные и несимметричные. Симметричной
называют многофазную систему ЭДС, в которой ЭДС в отдельных фазах равны по амплитуде и отстают по фазе относительно друг друга на углы, равные , где - любое целое число. Несимметричными
системами называют многофазные системы, которые не удовлетворяют этим условиям.
В зависимости от величины могут быть симметричные системы прямой, обратной или нулевой последовательности. У систем прямой последовательности ЭДС проходят через максимальные значения в порядке номеров: , , и т.д. У систем обратной последовательности наоборот. И у систем нулевой последовательности все ЭДС проходят через максимум одновременно ( = = ).
Сервис онлайн-записи на собственном Telegram-боте
Попробуйте сервис онлайн-записи VisitTime на основе вашего собственного Telegram-бота:
— Разгрузит мастера, специалиста или компанию;
— Позволит гибко управлять расписанием и загрузкой;
— Разошлет оповещения о новых услугах или акциях;
— Позволит принять оплату на карту/кошелек/счет;
— Позволит записываться на групповые и персональные посещения;
— Поможет получить от клиента отзывы о визите к вам;
— Включает в себя сервис чаевых.
Для новых пользователей первый месяц бесплатно.
Зарегистрироваться в сервисе
Отметим важное обстоятельство: для симметричной системы прямой и обратной последовательности сумма ЭДС во всех фазах равна нулю .
Другим важным признаком классификации является зависимость или независимость мгновенной мощности многофазной системы от времени.
Уравновешенными
называются многофазные системы, мгновенная мощность которых не зависит от времени и неуравновешенными
– системы, у которых мгновенная мощность является функцией времени.
Это весьма важная характеристика многофазной системы. В уравновешенных системах остается постоянным момент на валу многофазного генератора, а в неуравновешенных он пульсирует с частотой .
Мгновенная мощность одной - й фазы равна
 .
Мгновенная мощность многофазной системы: .
Сумма вторых слагаемых будет равна 0 при и мгновенная мощность симметричной системы:
, т.е. многофазная система уравновешена, если .
Большим достоинством многофазных систем является возможность создания вращающегося магнитного поля, что лежит в основе конструкции асинхронных двигателей переменного тока. Причем минимальное число фаз, при котором получается круговое магнитное поле, т.е. у которого амплитуда не зависит от угла поворота, равна трем.
Таким образом, в основном благодаря уравновешенности и возможности создания кругового вращающего магнитного поля трехфазная симметричная система нашла почти исключительное применение в электроэнергетике.
1.2 Соединения звездой и многоугольником
Основное назначение трехфазных цепей – эффективная транспортировка и преобразование электрической энергии в механическую. Все элементы трехфазных цепей, начиная от генератора и кончая двигателем, разработаны русским инженером и ученым М.О. Доливо-Добровольским. Хотя в США Н.Тесла одновременно с ним разрабатывал двухфазную систему, но преимущества трехфазной были столь очевидны, что она получила повсеместное признание: экономически выгодна передача на большое расстояние; все элементы просты в производстве, надежны в работе.
Трехфазная система ЭДС – совокупность трех источников ЭДС, имеющих одинаковую частоту и фиксированную разность начальных фаз. Если к тому же равны их амплитуды, то такую систему называют симметричной.




Приведенная система соответствует прямой последовательности фаз. Сначала достигается максимум , затем , .
При смене мест и получается обратная последовательность.
При построении графика мгновенных значений .

Существует два основных способа соединения ЭДС и нагрузки в трехфазных цепях: соединение звездой и треугольником.


Геометрически:
, и поэтому, если к точкам А, В, С не подключена нагрузка, то по обмоткам генератора то протекать не будет.
Трехфазная нагрузка представляет собой три отдельных нагрузки, соединенные определенным образом между собой.


Нагрузка считается симметричной, если равны комплексы всех сопротивлений, т.е. их модули и аргументы.
Генератор ЭДС и нагрузка могут соединятся одним из пяти способов:
1)

Перекоса фаз быть не может. Экономия в один провод. Соединение не может быть использовано.
2)

3)

Трехфазный генератор вырабатывает напряжение, которое по форме отличается от синусоиды, т.е. в ЭДС генератора присутствуют высшие гармонические составляющие:
1ая
гармоника ;
3ья
гармоника .
Для третьей гармоники будет нулевая последовательность фаз, для пятой – обратная и т.д. Соединение ЭДС треугольником является КЗ для третьей гармонической составляющей, что вызывает дополнительный нагрев генератора. Перекос фаз при несимметричной нагрузке принципиально не устраним. Схема на практике не применятся.
4)

Перекос фаз невозможен – часто используется на практике.
5)

Возможен перекос фаз – недопустимо.
Каждый вариант имеет свои достоинства и недостатки.
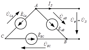
Провода, соединяющие генератор и нагрузку, называются линейными проводами, токи в них – линейными токами, напряжения между линейными проводами называются линейными напряжениями ( , , ).
Законченная часть трехфазной системы, содержащая источник ЭДС, нагрузку и провода называется фазой трехфазной системы.
Ток в каждой нагрузке и напряжение на ней называется фазным током и напряжением.
В некоторых схемах соединений фазные и линейные токи совпадают между собой, в других – совпадают фазные и линейные напряжения.
В системе соединяющей симметричную систему ЭДС и симметричную нагрузку возникает симметричный режим (линейные и фазные токи отвечают условию ).
1.3 Расчет симметричных и несимметричных режимов трехфазных цепей
Трехфазные цепи являются разновидностью цепей синусоидального тока и поэтому расчет их производится теми же методами, что и расчет однофазных цепей. Т.е. здесь применим символический метод и могут строиться векторные и топографические диаграммы. Аналитический расчет трехфазных цепей рекомендуется сопровождать построением векторных и топографических диаграмм. Они делают решение наглядным и помогают находить ошибки.
Рассмотрим некоторые схемы
Соединение звезда-звезда с нулевым проводом
Дано: , , , все сопротивления.
Найти: все токи и фазные напряжения.

В общем случае необходимо учитывать сопротивления линейных и нулевых проводов.
Воспользуемся методом узловых потенциалов:


Обозначим
, , , , тогда 

Теперь можно найти все токи:
, , , 
Фазные напряжения нагрузки:
, , .
Эти формулы пригодны для расчета в общем случае. По результатам расчета обычно строится векторная диаграмма.

В частных случаях расчет упрощается:
1) Идеальный случай: , точка совпадает с , точка совпадает с , точка совпадает с .

Тогда , , , . Отсюда , .
Ток каждой фазы , т.е. при наличии нулевого провода режим каждой фазы независим от другой фазы.
Если сопротивление «нулевого» провода пренебрежимо мало по сравнению с возможными сопротивлениями нагрузок, то потенциал точки практически равен потенциалу при любых сопротивлениях нагрузки.
Расчет заключается в расчете трех отдельных схем.
, , , .
1. 

2. 

Пример:
Дано: , , , . Найти: все токи.
, , 
, ,



2) Схема без нулевого провода
, , , , , .
Тогда 

, 
, , , , , .
2.1 Способы представления и описания
Самым подробным описанием является задание мгновенных значений i(t) и u(t).
Чаще всего это делают в виде графика. Например:

Для сравнительно простых функций можно применить аналитическое описание, разбив период функции на отрезки и на каждом отрезке заменив функцию некоторым аппроксимированным выражением. Например, для первой кривой

для второй

Из графика видно, что а2
= 0,5, а для нахождения a1
и b1
надо составить два уравнения для каких–то двух моментов времени. Например:
 
 
Решая систему получаем а1
= 1, а b1
= 200 А/с.
Очень часто применяют разложение периодических несинусоидальных функций в функциональные ряды. Например, в ряд Фурье. Любая периодическая функция с конечным числом разрывов первого рода и с конечным числом max и min на периоде может быть представлена тригонометрическим рядом Фурье (условия Дирихле):
, (1)
иногда пишут . Каждое слагаемое этого выражения называют гармоникой с номером k (синусоидой с номером k). Иногда отдельно называют I0
– постоянной составляющей или среднем значением функции за период. k – номер гармоники (показывает во сколько раз частота данной гармоники больше частоты первой гармоники ). Период k - гармоники в k раз меньше периода всего сигнала. – начальная фаза, – амплитуда k гармоники.
Выражение (1) можно переписать:
(2)
Используя формулы Эйлера для мнимого аргумента ряд (1) или (2) можно переписать в комплексной форме, если ввести отрицательные частоты
(3)
Число слагаемых ряда бесконечно велико, но на практике всегда ограничивается конечным числом слагаемых. Как узнать, сколько надо взять гармоник? Никто не знает, но при решении конкретной задачи выбирают некоторые критерии точности решения, после этого берут первую или несколько первых гармоник и решают задачу до конца. Затем добавляют ещё одну гармонику и повторяют всё решение. Если разница первого и второго решения удовлетворяет выбранному критерию, считается, что второй вариант учитывает необходимое число гармоник. Если же нет, добавляют следующую гармонику, получают новое решение и сравнивают его с предыдущим и т. д.
Ряд (1) даёт спектр сигнала – графическое изображение зависимости амплитуд и начальных фаз от номера гармоники, например, для сигнала рис.1:

Чётные гармоники отсутствуют, а нечётные непрерывно убывают. Спектр такого вида называют дискретным или линейчатым, потому что разность частот соседних гармоник отлична от нуля.
Для простых функций в справочниках приведены таблицы разложения в ряд Фурье. Для более сложных функций коэффициенты ряда приходится вычислять.
Пусть есть функция




Коэффициенты этого ряда находят из выражений:
, ,
, ,

В некоторых задачах не нужно иметь такое подробное описание несинусоидальной кривой и тогда применяют более простые описания с помощью специальных величин.
Например:
1) Используют только среднее значение
, ;
2) Действующее значение
;
Например:
- для сигнала рис(1):

,
- для сигнала рис(2):

Например, требуется выяснить, как будет нагреваться сопротивление R = 10 Ом под действием тока i(t). Для этого надо знать активную мощность, выделяемую в этом сопротивлении: . Если известно разложение кривой в ряд Фурье, то можно использовать более простую формулу для расчёта действующего значения.
, .
Возведём ряд в квадрат и подставим в интеграл, получим слагаемые трёх типов:
1) ;
2) ;
3) произведение двух гармоник с разными номерами
При вычислении интеграла от этих слагаемых получим:
- от первого слагаемого ;
- от слагаемых второго вида остается (т.к. );
- от слагаемых третьего вида получим ноль.

где - действующее значение k –ой гармоники.
3) Средневыпрямлённое значение

Используя указанные величины, вводят ряд коэффициентов, характеризующих форму кривой. В радиоэлектронике чаще всего используют коэффициенты гармоник
.
2.2 Расчет режима
Периодический несинусоидальный режим в линейных цепях возникает в одном из двух случаев:
1) в схеме есть источники энергии различной частоты
, причём частоты кратны некоторому общему числу;
2) в цепи действуют источники энергии не синусоидальной формы, но с кратными периодами. Задачи этого типа легко сводятся к задаче первого типа, если каждый источник разложить в ряд Фурье, тогда схема замещения несинусоидального источника ЭДС:

Задача первого типа легко решается методом наложения, т.к. цепь линейная. После расчёта всех частичных режимов ответ записывают как сумму мгновенных значений каждого режима, а уже затем ищут то, что требуется.
Пример:



, , 
1) 

,
, .
2) расчет на первой гармонике
, , ,


,
,
3) , 
Опять приходится рассчитывать сопротивление элементов, т.к. в каждом частичном режиме своя частота и получается, что сопротивление реактивных элементов зависят от номера гармоники.

, 


,
,

Как видно из расчёта при входное сопротивление относительно зажимов ЭДС чисто активное, т. е. на этой гармонике наблюдается резонанс.
Вообще под резонансом в цепи с несинусоидальным режимом понимают резонанс на какой-то k-ой гармонике, т.к. в целом при несинусоидальном режиме понятие фазы неприменимо. На k-ой гармонике определение резонанса звучит как обычно. Другим важным примером из расчёта является то, что в разных участках цепи соотношение между гармониками различно, из-за того, что сопротивления реактивных элементов зависят от номера гармоники. Это широко используется для построения электрических фильтров.
2.3 Мощности в цепи несинусоидального тока
Различают:
1) мгновенная мощность: ,
2) полная мощность: ,
3) активная мощность: ,
4) реактивная мощность: .
Способ расчёта потребляемой и генерируемой мощности такой же как и всегда.
Если u(t) и i(t) представлены в виде рядов Фурье: , , то можно упростить вычисление активной мощности.
Перемножим записанные ряды; получим три вида слагаемых:
1) ;
2) 
где k одно и то же;
3) произведение гармоник с разными номерами.
При интегрировании за период Т – каждое слагаемое третьего типа даёт ноль. Интеграл от слагаемого второго типа будет давать т.к. интеграл от за период равен нулю. Слагаемое первого типа даст .
В результате получим, что

т.е. фактически активная мощность периодического несинусоидального тока равна сумме активных мощностей всех гармоник, начиная с нулевой.
, ,
, .
По аналогии вводится реактивная мощность, только вместо cos будет sin, и не будет учитываться нулевая гармоника:
.
Заключение
На практике ЭДС и токи в большей или меньшей степени являются несинусоидальными. Это связано с тем, что реальные генераторы не обеспечивают, строго говоря, синусоидальной формы кривых напряжения, а с другой стороны, наличие нелинейных элементов в цепи обусловливает искажение формы токов даже при синусоидальных ЭДС источников.
На практике к несинусоидальности напряжений и токов следует подходить двояко:
- в силовой электроэнергетике несинусоидальные токи обусловливают в общем случае дополнительные потери мощности, пульсации момента на валу двигателей, вызывают помехи в линиях связи; поэтому здесь необходимо «всеми силами» поддержание синусоидальных режимов;
- в цепях автоматики и связи, где несинусоидальные токи и напряжения лежат в основе принципа действия электротехнических устройств, задача наоборот заключается в их усилении и передаче с наименьшими искажениями.
Периодическими несинусоидальными величинами называются переменные, изменяющиеся во времени по периодическому несинусоидальному закону. Причины возникновения несинусоидальных напряжений и токов могут быть обусловлены или несинусоидальностью источника питания или (и) наличием в цепи хотя бы одного нелинейного элемента. Кроме того, в основе появления несинусоидальных токов могут лежать элементы с периодически изменяющимися параметрами.
В заключение следует отметить, что методика расчета линейных цепей при несинусоидальных токах сводится к следующему:
- ЭДС и токи источников раскладываются в ряды Фурье.
- Осуществляется расчет цепи в отдельности для каждой гармонической.
- Искомые величины определяются как алгебраические суммы соответствующих гармонических.
Список литературы
1. Основы теории цепей. Учебник для вузов./ Г.В. Зевеке, П.А. Ионкин, А.В. Нетушил, С.В. Страхов.-5-е изд. перераб.-М.: Энергоатомиздат, 1989. 528 с.
2. В.П. Попов. Основы теории цепей. Учебник для вузов. -М.: Высшая школа, 1985. 496 с.
3. Л.А. Бессонов. Теоретические основы электротехники. Электрические цепи. Изд. 10. Учебник для вузов.- М.: Гардаргики, 2002. 638 с.
4. Теория электрических цепей: Методические указания к лабораторным работам / Рязан. гос. радиотехн. акад.; Сост.: С.М. Милюков, В.П. Рынин; Под ред. В.П. Рынина. Рязань, 2002. 16 с.,2004. 20 с. (№3282, №3624)
5. Электротехника и электроника: Методические указания к расчетно-графической работе / Рязан. гос. радиотехн. акад.; Сост. Г.В. Спивакова. Рязань, 2005. 16 с. (№3665)
6. Основы теории цепей: Методические указания к курсовой работе / Рязан. гос. радиотехн. акад.; Сост.: В.Н. Зуб, С.М. Милюков. Рязань, 2005. 16 с.
7. Теоретические основы электротехники. / Г.И. Атабеков, С.Д. Купалян, А.В. Тимофеев, С.С. Хухриков. - М.: Энергия, 1979. 424 с.
8. М.Р. Шебес. Теория линейных электрических цепей в упражнениях и задачах. М.: Высшая школа, 1990. 528 с.
9. Основы теории цепей: Учеб. для вузов /Г.В. Зевеке, П.А. Ионкин, А.В. Нетушил, С.В. Страхов. –5-е изд., перераб. –М.: Энергоатомиздат, 1989. -528с.
10. Бессонов Л.А. Теоретические основы электротехники: Электрические цепи. Учеб. для студентов электротехнических, энергетических и приборостроительных специальностей вузов. –7-е изд., перераб. и доп. –М.: Высш. шк., 1978. –528с.
11. Теоретические основы электротехники. Учеб. для вузов. В трех т. Под общ. ред. К.М. Поливанова. Т.1. К.М. Поливанов. Линейные электрические цепи с сосредоточенными постоянными. –М.: Энергия- 1972. –240с.
|