МИНИСТЕРСТВО ОБРАЗОВАНИЯ РОССИЙСКОЙ ФЕДЕРАЦИИ
Государственное образование учреждение высшего и профессионального образовании
«Северо-Осетинская Государственная Медицинская Академия»
Фармацевтический факультет
Кафедра фармации
КУРСОВАЯ РАБОТА
По дисциплине «Фармацевтическая химия»
Тема работы:
Производные индола. Арбидол 10 капсул по 100 мг
Зав.кафедрой
доц. Бидарова Ф.Н
«___»____________20__г.
Научный руководитель
асс. Хубаева Т.О.
«___»____________20__г.
Исполнитель:
студентка группы 502 курса 5
Такоева Дз. И.
Владикавказ 2010 г.
Содержание
Введение
Глава I. Литературный обзор
1.1 Производные индола. Общая характеристика
1.2 Производные индолилалкиламинов:Триптофан, Серотонин, Индометацин, Арбидол
1.3 Историческая справка
Глава II. Экспериментальная часть
2.1 Физические свойства
2.2 Описание
2.3 Методика определения подлинности
2.4 Методика определения средней массы
2.5 Методика определения распадаемости
2.6 Методика количественного определения
2.7 Хранение, применение
2.8 Упаковка
2.9 Маркировка
3.Заключение
4.Список литературы
5.Приложения
ВВЕДЕНИЕ
Актуальность темы
В связи с недавним активным обсуждением темы свиного гриппа в новостных источниках, очень актуальными стали различные лекарства против него, одним из таких является арбидол. Это один из препаратов, который судя по исследованиям, является неплохим профилактическим средством. А также, арбидол отзывы получает довольно лестные от тех, кто его принимал и избавился от гриппа. По словам ученых, вирусы свиного гриппа неустойчивы к этому лекарству. Стоит отметить, что на данный момент он является одним из самых раскупаемых в аптеках России и стран СНГ.
Высокий уровень безопасности арбидола подтвержден результатами клинических исследований, проведенных с участием более 14 тысяч пациентов, и 20-летним опытом широкого применения арбидола в качестве лечебного и профилактического средства при гриппе и ОРВИ у взрослых и детей.
Широкий спектр противовирусного действия арбидола в отношении возбудителей инфекций, имеющих одинаковые симптомы, а также наличие у него иммуномодулирующего и интерферониндуцирующего эффектов позволяют рассматривать его как препарат, лечение которым можно начинать без проведения предварительной диагностики.
Забиваем Сайты В ТОП КУВАЛДОЙ - Уникальные возможности от SeoHammer
Каждая ссылка анализируется по трем пакетам оценки: SEO, Трафик и SMM.
SeoHammer делает продвижение сайта прозрачным и простым занятием.
Ссылки, вечные ссылки, статьи, упоминания, пресс-релизы - используйте по максимуму потенциал SeoHammer для продвижения вашего сайта.
Что умеет делать SeoHammer
— Продвижение в один клик, интеллектуальный подбор запросов, покупка самых лучших ссылок с высокой степенью качества у лучших бирж ссылок.
— Регулярная проверка качества ссылок по более чем 100 показателям и ежедневный пересчет показателей качества проекта.
— Все известные форматы ссылок: арендные ссылки, вечные ссылки, публикации (упоминания, мнения, отзывы, статьи, пресс-релизы).
— SeoHammer покажет, где рост или падение, а также запросы, на которые нужно обратить внимание.
SeoHammer еще предоставляет технологию Буст, она ускоряет продвижение в десятки раз,
а первые результаты появляются уже в течение первых 7 дней.
Зарегистрироваться и Начать продвижение
Арбидол включен в перечень Жизненно необходимых и важнейших лекарственных средств, а так же рекомендован Министерством здравоохранения и социального развития Российской Федерации для профилактики и лечения гриппа, вызванного высокопатогенным вирусом типа A H1N1.
Цель и задачи работы
. Целью данной работы был полный фармакопейный анализ производного индола лекарственного препарата «Арбидол». Для реализации поставленной цели необходимо решить следующие задачи:
- овладеть методами анализа доброкачественности;
- овладеть методами качественного и количественного анализа Л.П. производных фенотиазина;
- рассчитать содержание лекарственного вещества в лекарственной форме.
Методы:
Физико-химические (УФ-спектрофотометрия, определение распадаемости, определение средней массы).
Курсовая работа состоит из 22 страниц печатного текста, содержит введение, литературный обзор, экспериментальную часть, схемы, таблицы, рисунки, заключение, приложение, списка литературы, включающего 3 издания отечественной литературы и 2 ссылки на ресурсы Интернета.
ГЛАВА I. ЛИТЕРАТУРНЫЙ ОБЗОР
1.1 Производные индола. Общая характеристика
Молекула индола (бензпиррола) представляет собой конденсированную систему, состоящую из бензольного и пирролового циклов. Внешний вид: в виде листовидных бесцветных кристаллов, с запахом нафталина. Является родоначальником широкого класса природных соединений. Содержится в каменноугольной смоле, в некоторых эфирных маслах (например, в масле жасмина).

Кольцо индола — фрагмент молекул важных природных соединений (напр., триптофана, серотонина, мелатонина, буфотенина). Ядро индола входит в состав индольных алкалоидов. Сам индол - фиксатор запаха в парфюмерии; его производные используют в производстве биологически активных соединений (гормонов, галлюциногенов) и лекарственных средств (напр., индопана, индометацина).
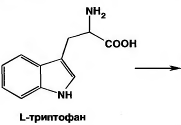
Производными индола является большая группа лекарственных веществ, которые были созданы на основе изучения функций эндогенных физиологически активных веществ, имеющих сходную химическую структуру. Одно из них – триптофан, относится к числу незаменимых аминокислот, входит в состав белков в малых количествах. Его биосинтез происходит в результате конденсации антраниловой кислоты с серином.
Производным индолилалкиламинов является серотонин (5-окситриптамин) – биогенный амин, образующийся в организме путем биосинтеза из триптофана (схема 1):
Сервис онлайн-записи на собственном Telegram-боте
Попробуйте сервис онлайн-записи VisitTime на основе вашего собственного Telegram-бота:
— Разгрузит мастера, специалиста или компанию;
— Позволит гибко управлять расписанием и загрузкой;
— Разошлет оповещения о новых услугах или акциях;
— Позволит принять оплату на карту/кошелек/счет;
— Позволит записываться на групповые и персональные посещения;
— Поможет получить от клиента отзывы о визите к вам;
— Включает в себя сервис чаевых.
Для новых пользователей первый месяц бесплатно.
Зарегистрироваться в сервисе
Схема 1
  
В 50-х гг. была установлена роль серотонина как медиатора ЦНС, а также его способность сужать кровеносные сосуды. Благодаря этому сам серотонин применяют как антигеморрагическое средство.
Также среди производных индола один из первых нестероидных противовоспалительных препаратов – индометацин, созданный в 70-х гг. В последующем на его основе были созданы менее токсичные лекарственные вещества аналогичного действия, производные фенилуксусной, фенилпропионовой и других кислот (ибупрофен, ортофен, пироксикам и др.).
В последние годы было создано новое эффективное отечественное лекарственное средство арбидол (производное индол-3-карбоновой кислоты), сочитающее в себе противовирусное действие и иммуномодулирующую активность.
Индол – структурная основа целого ряда алкалоидов. Физостигмин, содержащийся в калабарских бобах, западноафриканского растения PhysostigmavtntnosumBulf., явился основой для создания его синтетического аналога неостигмина (прозерин).
Производными индола являются также алкалоиды, содержащиеся в различных видах барвинка, (VinkaminorL., VinkaerectaRgl.) семейства кутровых, (Apocynaceae) обладающие сосудорасширяющим и гипотензивным действием.
1.2 Производные индолилалкиламинов: Типтофан, Серотонин, Индометацин, Арбидол
К числу индолилалкиламинов отнесена большая группа производных индола: триптофан, серотонина адипинат, индометацин, арбидол и др. Молекулы этих лекарственных веществ включают различные функциональные группы, которые обусловливают их физические и химические свойства.
Они представляют собой белые кристаллические вещества, которые имеют желтый, кремовый или зеленоватый оттенок. В воде практически не растворимы (индометацин, арбидол), умеренно растворимы (триптофан), или растворимы (серотонина адипинат). В этаноле производные индолалкиламинов растворимы слабо или умеренно. Индометацин умеренно растворим в хлороформе, эфире и растворах щелочей, арбидол – мало растворим в хлороформе. Триптофан и серотонина адипинат практически не растворимы в эфире.
Все указанные химические вещества (за исключением индометацина), являясь производными индола, содержат в молекуле также алкиламинные группы. Несмотря на отсутствие аминногруппы в молекуле индометацина, его структура очень сходна с триптофаном.
Триптофан и индометацин представляют собой органические кислоты, остальные являются солями органических оснований. Молекулы производных индолалкиламинов включают алифатические радикалы, содержащие атомы серы или сложноэфирные группы.
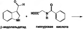
Получают указанные лекарственные вещества синтетическим путем. Триптофан можно получить путем микробиологического или химического синтеза по схеме 2:
Схема 2
 
 
Синтез индометацина осуществляют конденсацией n-метоксифенил-гидразина с метилатом 3-ацетилпропионовой кислоты. Образовавшийся эфир индолилуксусной кислоты и гидролизуют и ацетилируют n-хлорбензоилхлоридом (схема 3):
Схема 3
 
 
Для установления подлинности производных индолилалкиламинов используют ИК- и УФ-спектрофотометрию. Наиболее информативными являются ИК-спектры. ИК-спектр индометацина должен соответствовать спектру стандартного образца или спектру сравнения этого лекарственного вещества. Таким испытанием подтверждают наличие соответствующей полиморфной формы.
Для установления подлинности также проводят ряд химических реакций, характерных для аминокислот и производных индола, а также реакций обнаружения атомов и функциональных групп.
Для испытания триптофана на подлинность используют общую реакцию на аминокислоты нингидрином. После нагревания появляется сине-фиолетовое окрашивание. Серотонина адипинат в тех же условиях преобретает красное окрашивание. Под действием насыщенного раствора пикриновой кислоты адипинат дает оранжево-красный осадок пикрата.
Арбидол дает цветную реакцию на наличие третичного азота. При нагревании над пламенем сухой смеси арбидола и лимонной кислоты с уксусным ангидридом возникает красно-коричневое окрашивание. После нагревания арбидола со смесью для спекания остаток растворяют в воде, фильтруют и выполняют реакции на бромиды и сульфаты, образовавшиеся за счет наличия в молекуле арбидола атомов брома и серы:

Для количественного определения производных индолилалкиламинов используют химические и физико-химические методы. Количественное определение триптофана, арбидола, серотонина адипината выполняют методом неводного титрования. В качестве растворителя используют ледяную уксусную кислоту (серотонина адипинат), ее смесь с муравьиной кислотой (триптофан), смесь уксусного ангидрида с муравьиной кислотой (арбидол). Титрантом во всех случаях является 0,1 М раствор хлорной кислоты, индикатором – кристаллический фиолетовый. Для установления конечной точки титрования используют также потенциометрию.
Индометацин, являющийся кислотой, можно определить методом нейтрализации. Навеску растворяют в ацетоне и титруют 0,1 М раствором гидроксида натрия (индикатор фенолфталеин). Параллельно выполняют контрольное титрование растворителей.
Разработана унифицированная методика определения дифференциального спектрофотометрического определения производных индола (в т.ч. серотонина адипината) при длине волны 290 нм с использованием в качестве растворителя дифенилформамида, а также способ фотоколориметрического определения на основе цветной реакции с n-диметиламинобензальдегидом.
Триптофан в составе аминокислотных смесей применяют для парентерального питания (внутривенно). Индометацин – одно из наиболее активных нестероидных противовоспалительных и анальгезирующих средств. Применяют индометацин для лечения заболеваний, связанных с воспалительным процессом. Назначают внутрь в виде таблеток и драже по 0,025г, суппозиториев по 0,05г и 10%-ной мази. Серотонина адипинат – гемостатическое средство. Его применяют для лечения геморрагического синдрома, при различных формах анемии, тромбастении, для повышения стойкости капилляров. Вводят внутривенно и внутримышечно по 0,005-0,01г в виде 1%-ного раствора. Арбидол – противовирусное средство, ингибирует действие вирусов гриппа А и В, проявляет иммуномодулирующую активность и повышает устойчивость организма к вирусным инфекциям. Выпускают в таблетках и капсулах по 0,1; 0,5 и 0,025г. [1]
Свойства производных индолалкиламинов Табл.1

1.3Историческая справка

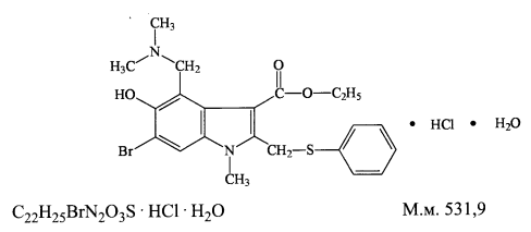
«Арбидол» (Аrbidolum, химическое название: метилфенилтиометил-диметиламинометил-гидроксиброминдол карбоновой кислоты этиловый эфир, МНН не присваивалось) — российский противовирусный препарат, оказывает иммуномодулирующее и противогриппозное действие, специфически подавляя вирусы гриппа А и В.
Наименование «Арбидол» / «Аrbidolum» присвоено разработчиком — ВНИХФИ как производное от слов «карбэтокси» и «броминдол», и одобрено номенклатурной комиссией Фармакологического комитета Минздрава СССР.
Первые доклинические исследования с действующим веществом были начаты во ВНИХФИ в конце 60-х годов XX века.
Клинические исследования препарата проводились одновременно во Всесоюзном Научно-исследовательском институте гриппа и НИИ эпидемиологии и микробиологии им. Пастера в Ленинграде, а также в НИИ вирусологии им. Ивановского в г. Москве. На базе данных клинических учреждений проведено сравнительное двойное слепое плацебо-контролируемое исследование. Результаты этих исследований неизвестны.
Однако важно понимать, что это исследование не соответствовало критериям доказательной медицины и не было опубликовано ни в одном серьезном медицинском журнале
Результаты исследований, проводившихся в ГКБ им. С. П. Боткина, г. Зеленоград, подтвердили, что арбидол обладает иммуномодулирующей активностью, проявляющейся в повышении общего количества Т-лимфоцитов и Т-хелперов, стимуляции фагоцитарной функции нейтрофилов и индукции активности естественных киллеров. Также было установлено, что препарат не оказывает иммуносупрессирующего эффекта на выработку специфических антител к респираторным вирусам, что выгодно отличает его от большинства противовирусных средств, применяющихся для профилактики и лечения гриппа и ОРВИ.
Однако клинические испытания препарата в соответствии с современными требованиями доказательной медицины не проводились, поэтому арбидол следует классифицировать как лекарственное средство с недоказанной эффективностью. ВОЗ не рассматривает арбидол, либо иные химически-родственные субстанции в качестве перспективных противовирусных препаратов.
В 2008 году было опубликовано исследование российских авторов Ирины Ленёвой и Юрия Борискина в сотрудничестве с английскими учёными, которые провели исследование противовирусной активности препарата «Арбидол». В ходе изучения активности арбидола в лабораторных условиях выявлена и подтверждена способность препарата подавлять вирус гриппа, то есть, подтверждено прямое противовирусное действие арбидола. При этом авторы работы отметили, что вероятность формирования штаммов, устойчивых к арбидолу, значительно ниже по сравнению с препаратами ремантадин и амантадин. Результаты исследования опубликованы в феврале 2009 года в реферативном журнале «Antiviral Research» (Великобритания)
Однако в исследовании использовались очень высокие концентрации препарата, которые нельзя применять на практике. [2]

Рис.1
2. ГЛАВА II. ЭКСПЕРИМЕНТАЛЬНАЯ ЧАСТЬ
Капсулы Арбидола 100 мкг
Фирма-изготовитель: ОАО «Фармстандарт-Лексредства» г.Курск
2.1 Физические свойства
Этилового эфира 6-бром-5гидрокси-1-метил-4-(диметиламинометил)-2-(фенилтиометил)индол-3-карбоновой кислоты гидрохлорид, моногидрат.
Содержит не менее 99,0% и не более 101,0% С22
Н25
BrN2
O3
S·
HCl в пересчете на безводное вещество.
Арбидол – это кристаллический порошок от белого до белого с зеленовато-желтоватым или кремовым оттенком. Он мало растворим в спирте 96%; практически нерастворим в воде.[3]
2.2 Описание
Препарат фирмы представляет собой капсулы бело-желтые – корпус белого цвета, крышечка желтого цвета – для дозировки 0,1 г. Содержимое капсул – смесь, содержащая гранулы и порошок от белого до белого с зеленовато-желтоватым или кремоватым оттенком цвета. Капсулы должны иметь гладкую поверхность без повреждений и видимых воздушных и механических включений. (ГФ ХII, ФС 42-0216-07).
 
Рис. 2 Рис. 3
2.3 Методика определения подлинности
Ультрофиолетовые спектры поглощения растворов препарата и рабочего стандартного образца (РСО) арбидола, приготовленных для количественного определения, в области от 230 до 350 нм должны иметь максимумы и минимумы поглощения при одних и тех же длинах волн.
Образец: D л 255- max. поглощения
Стандарт: D л 255- max. поглощения
Образец: D л 242- min. поглощения
Стандарт: D л 242- min. Поглощения
Граф. 1 и 2

Препарат соответствует показателям подлинности.
Рис. 4
УФ-спектрофотометр. Определение max. и min. поглощения.
2.4 Методика определения средней массы
Для определения средней массы взвесили вместе 10 невскрытых капсул и определили среднюю массу капсулы. Затем взвесили каждую капсулу отдельно и сравнили со средней массой капсулы. Отклонение массы каждой капсулы не должно превышать ±10 % от средней массы. Затем осторожно вскрыли те же 10 капсул, удалили как можно полнее содержимое и взвесили каждую оболочку. Если нет других указаний в частных статьях, отклонение массы содержимого каждой капсулы от средней массы не должно превышать ±10 % [4] Табл.2
| № капсул |
m капсулы, мкг |
m содержимого капсулы, мкг |
m оболочки капсулы, мкг |
% отклонения от ср.массы |
% отклонения от ср.массы оболочки |
| 1 |
0,280 |
0,205 |
0,075 |
0,72 |
2,74 |
| 2 |
0,270 |
0,195 |
0,075 |
2,87 |
2,74 |
| 3 |
0,280 |
0,205 |
0,075 |
0,72 |
2,74 |
| 4 |
0,275 |
0,205 |
0,070 |
1,08 |
4,11 |
| 5 |
0,280 |
0,205 |
0,075 |
0,72 |
2,74 |
| 6 |
0,275 |
0,205 |
0,070 |
1,08 |
4,11 |
| 7 |
0,275 |
0,205 |
0,070 |
1,08 |
4,11 |
| 8 |
0,285 |
0,210 |
0,075 |
2,51 |
2,74 |
| 9 |
0,275 |
0,205 |
0,070 |
1,08 |
4,11 |
| 10 |
0,280 |
0,205 |
0,075 |
0,72 |
2,74 |
Общая масса 10 капсул – 2,780 мкг
Расчет средней массы: 2,780:10 = 0,278
Расчет средней массы оболочки капсул: 0,730:10 = 0,073
Рис. 5. Определение средней массы (Весы лабораторные ВК-150.1.)
2.5 Методика определения распадаемости
Методика определения распадаемости капсул проводилась в соответствии со статьей ГФ ХI, вып. 2, стр. 143. В данной статье было указано, что капсулы должны распадаться за время не превышающее 20 мин. Распадаемость капсул арбидола наблюдалась через 17 мин.[4]
2.6 Методика количественного определения
Около 0,2 г (точная навеска) порошка тщательно растертого содержимого капсул поместили в мерную колбу вместимостью 100 мл, прибавили 80 мл спирта 95%, интенсивно встряхнули в течение 20 мин, довели объем раствора тем же растворителем до метки и перемешали.
Содержание арбидола в одной капсуле в граммах (Х) вычисляли по формуле (1):

По ФС 42-0216-07 - 0,095 – 0,105 г
Содержание арбидола соответствует.
2.7 Хранение, применение
Хранение препарата арбидол осуществляется по списку Б. В сухом защищенном от света месте при температуре не выше 25 0
С.
Срок годности 2 года.
Применение препарата:
Профилактика и лечение у взрослых и детей:
- гриппа А и В, ОРВИ, тяжелого острого респираторного синдрома (ТОРС) (в том числе осложненные бронхитом, пневмонией);
- вторичных иммунодефицитных состояний;
- комплексная терапия хронического бронхита, пневмонии и рецидивирующей герпетической инфекции.
Профилактика послеоперационных инфекционных осложнений и нормализация иммунного статуса.
Комплексная терапия острых кишечных инфекций ротавирусной этиологии у детей старше 2 лет.[5]
2.8 Упаковка
По 10 капсул в контурную ячейковую упаковку по ОСТ 64-071-91 из пленки поливинилхлоридной и фольги алюминиевой печатной лакированной по ГОСТ 745-89.
Групповая упаковка и транспортная тара в соответствии с ГОСТ 17768-90.
Упаковка данного препарата соответствует требованиям НД.
2.9 Маркировка
На контурной ячейковой упаковке указывают товарный знак предприятия-изготовителя, торговое название прапарата с предупредительной маркировкой ®, дозировку в миллиграммах, номер серии, срок годности.
На пачку дополнительно наносят штриховой код, адрес, телефон, факс предприятия-изготовителя, область применения, номер свидетельства на товарный знак, номер патента, фармакологическую группу препарата.
На этикетке групповой упаковки дополнительно указывают количество пачек.
Маркировка транспортной тары в соответствии с ГОСТ 14192-96.
Маркировка данного препарата соответствует требованиям НД.
ЗАКЛЮЧЕНИЕ
1. Проведен фармакопейный анализ лекарственного препарата «Арбидол»в капсулах по 100 мг.
2. По показателям подлинности, распадаемости, количественного определения, и средней массы препарат соответствует ФСП 42-0055460103
3. Анализ по показателям растворения, однородности дозирования, посторонних примесей, содержания аэросила и микробиологической чистоты не были проведены, ввиду трудоемкости методики и дороговизны реактивов. (ВЭЖХ, ИК-спектроскопия, ТСХ)
7. ЛИТЕРАТУРА
1. Беликов В.Г. Фармацевтическая химия. В 2 ч: Учебн. Пособие / В.Г. Беликов – 4 изд. перераб. и доп. – М.: МЕДпрес-информ, 2008. – С.405-411
2. www.wikipedia.org›Арбидол
3. Государственная Фармакопея российской федерации № XII. Часть 1/ «Издательство: Москва - Научный центр экспертизы средств медицинского применения», 2007. –с. 502
4. Государственная Фармакопея российской федерации № XI. Часть 2/ «Издательство: Москва - Медицина», 1990. – с. 143
5. www.politicsite.narod.ru/apteka/2007/arbidol.htm
|