| Министерство образования и науки Российской Федерации
Оренбургский государственный институт менеджмента
Факультет менеджмента
Кафедра производственного менеджмента
КУРСОВОЙ ПРОЕКТ
Запуск производства прибора для резервного
освещения помещений «Светлон»
Илья Уткин, МО — 54
Николай Шевченко, МО — 54
Оренбург 2008
Содержание
Резюме......................................................................................................... 3
Описание проекта....................................................................................... 3
Структура разбиения работ по реализации проекта................................ 4
Календарный план-график реализации проекта....................................... 6
Описание продукции.................................................................................. 7
Маркетинговый план.................................................................................. 9
Производственный план........................................................................... 13
Организационный план............................................................................ 16
Финансовый план..................................................................................... 17
Оценка рисков........................................................................................... 21
| Наименование проекта
|
Прибор «Светлон»
|
| Наименование инициатора проекта
|
ПО «Стрела»
|
| Юридический адрес инициатора проекта
|
г. Оренбург, ул. Шевченко, 71
|
| Ф.И.О. руководителя проекта
|
Илья Александрович Уткин,
Николай Васильевич Шевченко
|
| Автор проекта
|
Илья Александрович Уткин,
Николай Васильевич Шевченко
|
| Цель проекта
|
Начать выпуск прибора «Светлон»
6 февраля 2009 г. на Машиностроительном заводе ПО «Стрела»
|
| Начало реализации проекта
|
30.11.2008
|
| Расчетный период (длительность) проекта
|
60 месяцев (30.11.2008—01.10.2012)
|
| Общее финансирование проекта
|
466 857,8 руб.
|
| Объем вкладываемых собственных средств инициатора проекта
|
466 857,8 руб.
|
| Срок окупаемости
|
0,5 года
|
| Ожидаемая чистая прибыль в 2009г.
|
659 513,04 руб.
|
| Точка безубыточности
|
2 310 изделий в месяц
|
В современном мире жизнь человека очень сильно зависит от электричества. Освещение — одна из важнейших функций электричества. Улицы и дома освещены электрическими лампами, люди практически не пользуются свечами, керосиновыми лампами и другими устаревшими способами освещения.
Забиваем Сайты В ТОП КУВАЛДОЙ - Уникальные возможности от SeoHammer
Каждая ссылка анализируется по трем пакетам оценки: SEO, Трафик и SMM.
SeoHammer делает продвижение сайта прозрачным и простым занятием.
Ссылки, вечные ссылки, статьи, упоминания, пресс-релизы - используйте по максимуму потенциал SeoHammer для продвижения вашего сайта.
Что умеет делать SeoHammer
— Продвижение в один клик, интеллектуальный подбор запросов, покупка самых лучших ссылок с высокой степенью качества у лучших бирж ссылок.
— Регулярная проверка качества ссылок по более чем 100 показателям и ежедневный пересчет показателей качества проекта.
— Все известные форматы ссылок: арендные ссылки, вечные ссылки, публикации (упоминания, мнения, отзывы, статьи, пресс-релизы).
— SeoHammer покажет, где рост или падение, а также запросы, на которые нужно обратить внимание.
SeoHammer еще предоставляет технологию Буст, она ускоряет продвижение в десятки раз,
а первые результаты появляются уже в течение первых 7 дней.
Зарегистрироваться и Начать продвижение
В связи с этим, сбой в электросети, временное отключение электроэнергии погружают людей во тьму. Каждый бывал в ситуации, когда свет отключается в самый неподходящий момент, и приходится на ощупь идти через всю квартиру за фонариком или свечами.
Прибор «Светлон», производство которого описано в данном проекте, позволяет освещать помещения при отключении электроэнергии. Он включается автоматически, как только исчезает ток в электросети.
Заказчиком проекта является ПО «Стрела». Прибор «Светлон» будет новым товаром, выпускаемым ПО «Стрела».
Проект является основным документом, по которому осуществляется организация и реализация поставленной цели.
Цель данного проекта — начать выпуск прибора «Светлон» 1 февраля 2009 г. на Машиностроительном заводе ПО «Стрела».
Для достижения поставленной цели необходимо решить следующие задачи:
- Разработать схему прибора;
- Составить список необходимых деталей;
- Организовать производство;
- Провести маркетинговые мероприятия.
Данный проект является коммерческим и предполагает получение прибыли.
Команда по реализации проекта:
- Менеджер проекта;
- Маркетолог;
- HR-специалист;
- Технолог.
Структура разбиения работ по реализации проекта
1. Подготовка приказа о реализации проекта;
2. Патентование прибора:
2.1. Подготовка заявления в патентное бюро;
2.2. Подача заявления (7 250 руб.);
2.3. Получение патента;
3. Закупка инструмента и оборудования:
3.1. Покупка паяльников (3 шт. ∙ 350 руб.);
3.2. Покупка плоскогубцев (3 шт. ∙ 95 руб.);
3.3. Покупка отверток (3 шт. ∙ 85 руб.);
3.4. Покупка кусачек (3 шт. ∙ 80 руб.);
3.5. Покупка тестеров (3 шт. ∙ 280 руб.);
4. Заключение договоров на поставку сырья и деталей:
4.1. Заключение договора на поставку выпрямительных диодов, аккумуляторов, сопротивления, ламп, проводов, клемм с ООО «Самара-ТехЭлектро»;
4.2. Заключение договора на поставку реле напряжения с ЗАО «Фирма “Новый день”»;
4.3. Заключение договора на поставку гранулированного полиэтилена с ООО «Сервис-Пласт»;
5. Наём обслуживающего и производственного персонала:
5.1. Размещение вакансий (менеджер, мерчендайзер, рабочие) в газете объявлений;
5.2. Проведение собеседования и отбор кандидатов;
5.3. Заключение трудовых договоров;
6. Пуско-наладочные работы:
6.1. Организация рабочих мест;
6.2. Обучение персонала;
6.3. Наладка оборудования и инструментов;
Сервис онлайн-записи на собственном Telegram-боте
Попробуйте сервис онлайн-записи VisitTime на основе вашего собственного Telegram-бота:
— Разгрузит мастера, специалиста или компанию;
— Позволит гибко управлять расписанием и загрузкой;
— Разошлет оповещения о новых услугах или акциях;
— Позволит принять оплату на карту/кошелек/счет;
— Позволит записываться на групповые и персональные посещения;
— Поможет получить от клиента отзывы о визите к вам;
— Включает в себя сервис чаевых.
Для новых пользователей первый месяц бесплатно.
Зарегистрироваться в сервисе
7. Проведение рекламной компании:
7.1. Выбор рекламного агентства;
7.2. Съемка рекламного ролика;
7.3. Размещение рекламы на телевидении;
7.4. Проведение демонстраций;
7.5. Производство рекламной продукции для точек продаж;
8. Запуск производства прибора «Светлон»;
9. Завершение проекта.
| Перечень мероприятий
|
Период времени
|
Ответственный
|
| Подготовка приказа о реализации проекта
|
30.11 — 02.12
|
Инициатор
|
| Патентование прибора
|
03.12 — 12.01
|
Менеджер
|
| Подготовка заявления в патентное бюро
|
03.12 — 05.12
|
Менеджер
|
| Подача заявления
|
06.12 — 12.12
|
Менеджер
|
| Получение патента
|
13.12 — 12.01
|
Менеджер
|
| Закупка инструмента и оборудования
|
04.12 — 08.12
|
Менеджер
|
| Покупка паяльников
|
04.12 — 07.12
|
Менеджер
|
| Покупка плоскогубцев
|
04.12 — 07.12
|
Менеджер
|
| Покупка отверток
|
04.12 — 07.12
|
Менеджер
|
| Покупка кусачек
|
05.12 — 07.12
|
Менеджер
|
| Покупка тестеров
|
05.12 — 08.12
|
Менеджер
|
| Заключение договоров на поставку
сырья и деталей
|
09.12 — 08.01
|
Менеджер
|
| Заключение договора с ООО «Самара-ТехЭлектро»
|
09.12 — 20.12
|
Менеджер
|
| Заключение договора с
ЗАО «Фирма “Новый день”»
|
21.12 — 28.12
|
Менеджер
|
| Заключение договора с
ООО «Сервис-Пласт»
|
29.12 — 08.01
|
Менеджер
|
| Наём персонала
|
09.01 — 28.01
|
HR-специалист
|
| Размещение вакансий
|
09.01 — 15.01
|
HR-специалист
|
| Проведение собеседования и отбор кандидатов
|
16.01 — 24.01
|
HR-специалист
|
| Заключение трудовых договоров
|
25.01 —28.01
|
HR-специалист
|
| Пуско-наладочные работы
|
29.01 — 05.02
|
Менеджер
|
| Организация рабочих мест
|
29.01 — 01.02
|
Технолог
|
| Обучение персонала
|
30.01 — 02.02
|
HR-специалист
|
| Наладка оборудования и инструментов
|
01.02 — 05.02
|
Технолог
|
| Проведение рекламной компании
|
17.01 — 20.02
|
Маркетолог
|
| Выбор рекламного агентства
|
17.01 — 19.01
|
Маркетолог
|
| Съемка рекламного ролика
|
20.01 — 24.01
|
Маркетолог
|
| Производство рекламной продукции для точек продаж
|
20.01 — 24.01
|
Маркетолог
|
| Размещение рекламы на телевидении
|
25.01 — 29.01
|
Маркетолог
|
| Проведение демонстраций
|
07.02 — 20.02
|
Маркетолог
|
| Запуск производства прибора «Светлон»
|
06.02
|
Менеджер
|
Светлон — прибор для обеспечения освещения помещения в случае неожиданного отключения электроэнергии.
Прибор подключается к электросети через стандартную розетку. В рабочем режиме прибор анализирует наличие напряжения в электросети и при отключении электроэнергии включает лампу освещения, работающую от аккумуляторных элементов питания. При включении электроэнергии лампа выключается автоматически.
В случае разрядки аккумуляторов прибор можно перевести в режим зарядки с помощью переключателя режима зарядки. По окончании зарядки прибор необходимо перевести в рабочий режим. Заряда аккумуляторов хватает на пять часов беспрерывной работы.
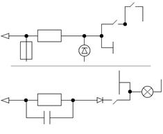
Устройство прибора.
Электрическая схема прибора изображена на рисунке 1.

 Рисунок 1. Электрическая схема прибора «Светлон».
Принцип действия
В рабочем режиме при наличии тока в электросети, катушка реле напряжения находится под напряжением; вокруг нее образуется магнитное поле, ключ реле под действием этого поля поднимается и размыкает цепь на участке между аккумулятором и лампой. Лампа не горит. Как только ток в электросети прекращается, магнитное поле вокруг катушки исчезает, ключ реле опускается и замыкает цепь на участке между аккумулятором и лампой. Лампа горит.
В режиме зарядки цепь на участке между аккумулятором и лампой разомкнута. Идет зарядка аккумулятора. Светодиод позволяет визуально определить наличие тока в электросети.
Внешний вид

Маркетинговый план
Направления маркетинга:
- Анализ потребительского рынка и удовлетворение потребностей клиентов;
- Выбор поставщиков и определение политики взаимодействия с поставщиками;
- Анализ конкурентной среды и разработка стратегии повышения конкурентоспособности;
- Определение сбытовой политики, стимулирование сбыта.
Потребители.
Потребителями на начальном этапе будут являться жители Оренбурга и Оренбургской области, затем продажа прибора планируется по всей территории Российской федерации.
Потребителями данного товара являются индивидуальные потребители, семьи или домохозяйства.
Причины приобретения прибора «Светлон»:
- Необходимость резервного освещения гостиной, кухни и т.д.;
- Необходимость резервного освещения в детской комнате.
В связи с этим необходимо разработать несколько дизайнов прибора — использовать несколько цветовых гамм для обеспечения возможности выбора, а также разработать вариант для установки в детских комнатах.
Характер спроса отличается низкой степенью вовлечения потребителей, некоторой пассивностью. В редких случаях потребитель примет решение о покупке заблаговременно, так как потребность в данном приборе скрытая до тех пор, пока потребитель не окажется в ситуации острой необходимости резервного освещения. Следовательно, необходимо информировать потребителей о ситуациях, в которых потребность в данном товаре становится явной, а также использовать напоминающую рекламу.
Поставщики
Детали, необходимые для производства прибора:
- Выпрямительный диод VD
- Поставщики:
- ООО «Самара-ТехЭлектро» (г. Самара), цена — 2 руб.;
- ЗАО «СнабЭлектро» (г. Уфа), цена — 2,3 руб.;
- Аккумуляторы GB-Д-0,26 ДУ1
- Поставщики:
- ЗАО «Альбатрос» (г. Нижний Новгород), цена — 25,5 руб.;
- ООО «Самара-ТехЭлектро» (г. Самара), цена — 20 руб.;
- ЗАО «СнабЭлектро» (г. Уфа), цена — 23,3 руб.;
- Сопротивление МЛТ-1; МЛТ-0,5
- Поставщики:
- ООО «Самара-ТехЭлектро» (г. Самара), цена — 1,5 руб.;
- ЗАО «СнабЭлектро» (г. Уфа), цена — 3,1 руб.;
- Реле напряжения ПЭ-20 220 В
- Поставщик: ЗАО «Фирма “Новый день”» (г. Казань), цена — 30 руб.;
- Лампа 2,5 В, 0,15 А
- Поставщики:
- ООО «Самара-ТехЭлектро» (г. Самара), цена — 6 руб.;
- ЗАО «СнабЭлектро» (г. Уфа), цена — 8,9 руб.;
- Провода
- Поставщики:
- ООО «Самара-ТехЭлектро» (г. Самара), цена — 20 руб./м;
- ЗАО «СнабЭлектро» (г. Уфа), цена — 30 руб./м;
- Клеммы
- Поставщики:
- ООО «Самара-ТехЭлектро» (г. Самара), цена — 0,45 руб.;
- ЗАО «СнабЭлектро» (г. Уфа) цена — 0,5 руб.;
- Гранулированный полиэтилен
- Поставщики:
- ООО «Сервис-Пласт» (г. Самара), цена — 123 руб./кг.;
- ООО «ОСТ-3» (г. Москва), цена — 157 руб./кг.
Для снижения риска, связанного с нарушениями поставок необходимо диверсифицировать поставщиков. Кроме того разнообразие предприятий, предлагающих данные детали и высокая конкуренция между ними позволяет выбрать поставщика, предлагающего детали высокого качества, но по низкой цене. Наиболее предпочтительными поставщиками являются: ООО «Самара-ТехЭлектро», ЗАО «Фирма “Новый день”», ООО «Сервис-Пласт».
Конкуренция
Прибор «Светлон» на данный момент не имеет аналогов в своем роде. Однако в связи с простотой конструкции необходимо предполагать появление в скорейшем времени приборов аналогичной конструкции.
Для повышения конкурентоспособности необходимо создать имидж надежного прибора, сделать марку «Светлон» узнаваемой посредством рекламы. Позиционирование товара должно быть четким: «Светлон» — прибор для обеспечения безопасности и комфорта.
SWOT-анализ
| Возможности:
Расширение производства
Расширение функциональности прибора
Использование производственных мощностей для производства других изделий
|
Угрозы:
Вероятность появления конкурентов
Непредсказуемый спрос
|
| Сильные стороны:
Низкая себестоимость
Простота конструкции
Не требует высококвалифицированного персонала
Отсутствие аналогов
Стандартные комплектующие
Четкое позиционирование товара
|
Развитие:
Выход на новые рынки
Освоение новых видов продукции
|
Минимизация риска:
Создание положительной репутации
Изучение и стимулирование спроса
|
| Слабые стороны:
Скрытый характер потребностей
Не возможность защиты от появления аналогов
|
Компенсация:
Увеличение спроса путем повышения функциональности прибора
|
Опасности:
Низкий объем продаж
Невозможность реализации продукции
|
Организация сбыта товара
Прибор «Светлон» должен продаваться в магазинах электротехники, магазинах, специализирующихся на освещении (люстры, лампы), бытовых магазинах (бытовая химия, товары для дома).
Стимулирование сбыта.
Рекламу товара можно разделить на два уровня:
1. Информирующая реклама (реклама по ТВ, обрисовывающая жизненные ситуации, в которых может пригодиться «Светлон»);
2. Напоминающая реклама (реклама в местах продаж, привлекающая внимание к товару на полке и напоминающая о необходимости прибора).
Кроме рекламы необходимо проводить демонстрации прибора в крупных магазинах.
Производственный план
Детали и сырье, необходимые для производства:
1. Корпус;
2. Диод (VD);
3. Сопротивление (R1- МЛТ1; R2- МЛТ0,5);
4. Конденсатор (C=474, DK 250 В);
5. Аккумуляторы 3 шт. (GB-Д-0,26 ДУ1);
6. Реле напряжения (ПЭ-20 220 В);
7. Лампа (2,5 В, 0,15 А);
8. Патрон для лампы;
9. Светодиод;
10. Провода;
11. Вилка (XP);
12. Шурупы (2 шт.);
13. Клеммы для аккумулятора;
14. Переключатели (2 шт.);
15. Гранулированный полиэтилен.
Инструменты и оборудование:
1. Паяльник 350 руб.;
2. Плоскогубцы 95 руб.;
3. Отвертка 85 руб.;
4. Кусачки 80 руб.;
5. Тестер 280 руб.;
6. Станок «КуАСИ 170/55» для производства пластикового корпуса.
Рабочие операции
Изготовление пластикового корпуса производится на станке
«КуАСИ 170/55». Под действием высокой температуры гранулированный полиэтилен плавится и под давлением подается в формы. После застывания изделий их выдерживают в течении 12 — 24 часов при нормальных условиях. Производительность станка — 50 изделий в час.
Сборка производится двумя параллельными потоками:
  
| №
|
Операция
|
Длительность, секунд
|
Результат (деталь)
|
| 1.1
|
Припайка первого контакта катушки реле к первому штырю вилки
|
18
|
Д11
|
| 1.2
|
Припайка одного контакта сопротивления R1 к первому штырю вилки
|
16
|
Д12
|
| 1.3
|
Припайка первого контакта светодиода ко второму контакту сопротивления R1
|
16
|
Д13
|
| 1.4
|
Припайка минусовой клеммы аккумулятора ко второму контакту сопротивления R1
|
17
|
Д14
|
| 1.5
|
Припайка первого контакта основного выключателя ко второму контакту сопротивления R1
|
16
|
Д15
|
| 1.6
|
Припайка первого контакта ключа реле ко второму контакту основного выключателя
|
16
|
Д16
|
| 2.1
|
Припайка первого контакта сопротивления R2 ко второму штырю вилки
|
17
|
Д21
|
| 2.2
|
Припайка первого контакта конденсатора ко второму штырю вилки
|
15
|
Д22
|
| 2.3
|
Припайка второго контакта конденсатора ко второму контакту сопротивления R2
|
12
|
Д23
|
| 2.4
|
Припайка первого контакта диода ко второму контакту сопротивления R2
|
12
|
Д24
|
| 2.5
|
Припайка первого контакта выключателя зарядки ко второму контакту диода
|
13
|
Д25
|
| 2.6
|
Припайка плюсовой клеммы аккумулятора ко второму контакту выключателя зарядки
|
13
|
Д26
|
| 2.7
|
Припайка первого контакта патрона для лампы ко второму контакту выключателя зарядки
|
12
|
Д17
|
| 3.1
|
Припайка второго контакта катушки реле ко второму штырю вилки
|
30
|
И31
|
| 3.2
|
Припайка второго контакта светодиода ко второму контакту сопротивления R2
|
28
|
И32
|
| 3.3
|
Припайка второго контакта патрона для лампы ко второму контакту выключателя зарядки
|
28
|
И33
|
| 3.4
|
Присоединение лампы к патрону
|
8
|
И34
|
| 3.5
|
Монтаж И343 в пластиковый корпус
|
22
|
И35
|
| 3.6
|
Опробование схемы в работе
|
13
|
Готовый прибор
|
Сборка прибора производится тремя рабочими:
Первый рабочий выполняет операции 1.1 — 1.6, второй рабочий выполняет операции 2.1 —2.7, третий рабочий выполняет операции 3.1 — 3.6.
| 1 мин
|
2 мин
|
3 мин
|
4 мин
|
| Первый рабочий
|
1.1 — 1.6
|
| Второй рабочий
|
2.1 — 2.7
|
| Третий рабочий
|
3.1 — 3.6
|
Время изготовления одного изделия составляет 228 секунд.
Организационный план
ПО «Стрела» занимается производством широкого ассортимента товаров. Прибор «Светлон» будет производиться на машиностроительном заводе.
Персонал, задействованный в производстве и сбыте прибора «Светлон»:
- Менеджер;
- Мерчендайзер;
- Рабочие (3).
Обязанности персонала:
o Менеджер:
- взаимодействие с поставщиками;
- планирование объемов производства;
- маркетинговая деятельность;
- руководство персоналом;
o Мерчендайзер:
- расстановка товара на полках в магазинах;
- оформление витрин;
- обеспечение точек продаж рекламными материалами»
o Рабочие:
- производство прибора;
- мониторинг качества.
Расчет себестоимости изделия
Планируемый объем выпуска составляет 100 изделий в день.
Количество производственных рабочих — 3 человека.
Потребляемая мощность — 90 кВт.
Сумма затрат на изготовление единицы изделия:
| Наименование
|
Количество
|
Цена
|
Стоимость, руб.
|
| Выпрямит. диоды
|
2
|
шт.
|
2
|
руб./шт.
|
4,0
|
| Аккумуляторы
|
3
|
шт.
|
20
|
руб./шт.
|
60,0
|
| Сопротивление
|
1
|
шт.
|
1,5
|
руб./шт.
|
1,5
|
| Реле напряжения
|
1
|
шт.
|
30
|
руб./шт.
|
30,0
|
| Лампа накаливания
|
1
|
шт.
|
6
|
руб./шт.
|
6
|
| Патрон
|
1
|
шт.
|
5,5
|
руб./шт.
|
5,5
|
| Клеммы
|
4
|
шт.
|
0,45
|
руб./шт.
|
1,35
|
| Пластиковый корпус
|
1
|
шт.
|
12,3
|
руб./шт.
|
12,3
|
| Провод
|
0,3
|
м.
|
20
|
руб./м.
|
6,0
|
| Клеммы вилки
|
2
|
шт.
|
2
|
руб./шт.
|
4,0
|
| Шурупы
|
2
|
шт.
|
0,5
|
руб./шт.
|
1,0
|
| Затраты труда
|
14,4
|
мин
|
60
|
руб./ч
|
14,4
|
| Социальные отчислен.
|
2,02
|
| Электричество
|
0,9
|
кВт
|
1,5
|
руб./кВт
|
1,35
|
| Амортизация
|
14,4
|
мин
|
1 250 руб./мес.
|
1,34
|
| Себестоимость
|
150,76
|
Цена прибора составит: 150,76 · 1,15 = 173,3 (руб./шт.);
Рекомендуемая цена прибора на полках в магазинах составит не более 199,9 руб.
Сумма затрат за месяц:
| Статья затрат
|
Сумма, руб.
|
| Оплата труда
|
50 320
|
| Отчисления на соц. нужды
|
7 044,8
|
| Материальные затраты
|
373 243
|
| В т.ч.:
|
| Сырье и материалы
|
369 463
|
| Электроэнергия
|
3 780
|
| Амортизация
|
1 250
|
| Прочие затраты (реклама и т.д.)
|
35 000
|
| Итого
|
466 857,8
|
В первом месяце планируется закупка оборудования и инструментов на общую сумму 9 535.
Суммарная выручка за месяц:
100 шт. · 30 дней · 173,3 руб. = 519 900
Отчет о прибыли и убытках:
| Период
|
Выручка
|
Затраты
|
Валовая прибыль
|
Налог на прибыль
|
Чистая прибыль
|
| 2008 г.
|
10
|
0
|
15
|
-15
|
0
|
-15
|
| 11
|
0
|
220
|
-220
|
0
|
-220
|
| 12
|
0
|
7250
|
-7250
|
0
|
-7250
|
| 2009 г.
|
1
|
0
|
9535
|
-9535
|
0
|
-9535
|
| 2
|
519900
|
466858
|
53042,2
|
7956,33
|
45085,87
|
| 3
|
530298
|
476195
|
54103,044
|
8115,457
|
45987,59
|
| 4
|
540904
|
485719
|
55185,105
|
8277,766
|
46907,34
|
| 5
|
551722
|
495433
|
56288,807
|
8443,321
|
47845,49
|
| 6
|
562756,5
|
505342
|
57414,583
|
8612,187
|
48802,4
|
| 7
|
574011,6
|
515449
|
58562,875
|
8784,431
|
49778,44
|
| 8
|
585491,8
|
525758
|
59734,132
|
8960,12
|
50774,01
|
| 9
|
597201,7
|
536273
|
60928,815
|
9139,322
|
51789,49
|
| 10
|
609145,7
|
546998
|
62147,391
|
9322,109
|
52825,28
|
| 11
|
621328,6
|
557938
|
63390,339
|
9508,551
|
53881,79
|
| 12
|
633755,2
|
569097
|
64658,146
|
9698,722
|
54959,42
|
| 2010 г.
|
I кв.
|
2585721
|
2321916
|
263805,23
|
39570,79
|
224234,4
|
| II кв.
|
2637436
|
2368354
|
269081,34
|
40362,2
|
228719,1
|
| III кв.
|
2690184
|
2415721
|
274462,97
|
41169,44
|
233293,5
|
| IV кв.
|
2743988
|
2464036
|
279952,23
|
41992,83
|
237959,4
|
| 2011 г.
|
I полуг.
|
5487976
|
4928072
|
559904,45
|
83985,67
|
475918,8
|
| II полуг.
|
5542856
|
4977352
|
565503,5
|
84825,52
|
480678
|
Срок окупаемости составит 0,5 лет.
Прогноз точки безубыточности
Затраты за месяц по категориям:
| Статья затрат
|
Сумма, руб.
|
| Постоянные затраты
|
93 197,8
|
| Оплата труда
|
50 320
|
| Отчисления на соц. нужды
|
7 044,8
|
| Амортизация
|
1 250
|
| Прочие затраты (реклама и т.д.)
|
35 000
|
| Переменные затраты
|
| Материальные затраты
|
133,45 · объем выпуска
|
| В т.ч.:
|
| Сырье и материалы
|
132,1 · объем выпуска
|
| Электроэнергия
|
1,35 · объем выпуска
|
| Затраты и выручка,
тыс. руб.
|
|

Точка безубыточности проекта достигается при выпуске 2 310 изделий в месяц или 77 изделий в день.
| №
|
Вид риска
|
Вероятность, %
|
Ущерб, руб.
|
Премия за риск, руб.
|
| 1
|
Неправильная оценка спроса
|
2
|
112 380
|
10 114
|
| 2
|
Появление новых конкурентов
|
27
|
79 120
|
4 747
|
| 3
|
Задержка в поставке
деталей и сырья
|
0,8
|
89 590
|
8 959
|
| 4
|
Риск аварий и отказов оборудования
|
2
|
89 590
|
7 167
|
| 5
|
Риск неправильного подбора персонала
|
1,2
|
79 120
|
5 538
|
| 6
|
Рост инфляции
|
4
|
94 030
|
8 798
|
План управления рисками:
1. Идентификация риска;
2. Выявление причин и последствий риска;
3. Разработка стратегии управления риском;
4. Назначение исполнителей, ответственных за проведение мероприятий по снижению рисков.
Мероприятия по снижению риска:
1. Выделение 35 тыс. руб. на проведение маркетинговых исследований
2. Выделение средств на проведение качественного отбора персонала
3. Диверсификация поставщиков
|