|
ОГЛАВЛЕНИЕ
1. Теоретические основы дифференциации оплаты труда в национальной экономике
1.1 Сущность заработной платы и ее дифференциация
1.2 Рынок труда и факторы, влияющие на дифференциацию заработной платы
1.3 Методические основы организации оплаты труда на предприятии
Глава 2. Исследование дифференциации оплаты труда в Республике Корея
2.1 Анализ рынка труда Республики Корея
2.2 Дифференциация заработной платы в Республике Корея в зависимости от личностных характеристик работников
Глава 3. Тенденции и рационализация дифференциации заработной платы в Республике Корее
3.1 Исследования тенденций и причин дифференциации заработной платы в экономике Южной Кореи
3.2 Организация дифференциации оплаты труда на основе мотивационной политики
3.3 Рационализация дифференциации заработной платы в Республике Корея
Заключение
Существуют два направления, объясняющие существование дифференциации заработной платы. Это: конкурентная модель и модель сдельной оплаты труда.
Сторонники конкурентной (неоклассической) модели для объяснения различий в заработной плате прибегают к общим предположениям, из которых более всего выделяют закон о единой зарплате. Согласно одному из таких предположений, работники и работодатели обладают полной информацией, и для работников отсутствуют барьеры для передвижения. Из этих предположений родилась одна неоклассическая интерпретация, суть которой заключается в следующем: если появляется разница в оплате труда, то она является временным явлением, причины которого лежат в нехватке информации или в существовании барьеров для передвижения работников. Другое предположение выражает, что работники обладают едиными навыками и производительностью, а работодатели предоставляют одинаковые условия для труда и выполняемая работа идентична по всем показателям, кроме зарплаты. К тому же, из этого предположения мы можем извлечь неоклассические интерпретации, которые гласят, что существование разницы в зарплате возникает вследствие разного уровня квалификации работников или в результате различных условий труда.
Изменения в количестве предложения или спроса на рабочую силу на рынке труда может привести к появлению временной разницы в заработной плате у работников с равной производительностью. Причиной этому может стать нехватка информации об уровнях заработной платы и производственных возможностей, установившихся на данном рынке, или из-за наличия барьеров, препятствующих передвижению работников с одного рабочего места на другое. Согласно данному объяснению, разница в заработной плате с течением времени снижается и исчезает совсем, как только на рынке труда вновь устанавливается равновесие. Однако, существуют и такие разницы в уровнях оплаты труда, которые даже с течением времени остаются неизменными.
Забиваем Сайты В ТОП КУВАЛДОЙ - Уникальные возможности от SeoHammer
Каждая ссылка анализируется по трем пакетам оценки: SEO, Трафик и SMM.
SeoHammer делает продвижение сайта прозрачным и простым занятием.
Ссылки, вечные ссылки, статьи, упоминания, пресс-релизы - используйте по максимуму потенциал SeoHammer для продвижения вашего сайта.
Что умеет делать SeoHammer
— Продвижение в один клик, интеллектуальный подбор запросов, покупка самых лучших ссылок с высокой степенью качества у лучших бирж ссылок.
— Регулярная проверка качества ссылок по более чем 100 показателям и ежедневный пересчет показателей качества проекта.
— Все известные форматы ссылок: арендные ссылки, вечные ссылки, публикации (упоминания, мнения, отзывы, статьи, пресс-релизы).
— SeoHammer покажет, где рост или падение, а также запросы, на которые нужно обратить внимание.
SeoHammer еще предоставляет технологию Буст, она ускоряет продвижение в десятки раз,
а первые результаты появляются уже в течение первых 7 дней.
Зарегистрироваться и Начать продвижение
Возможно, именно это и является наиболее вероятным объяснением разницы в заработной плате с точки зрения конкурентной модели. Согласно этому объяснению, дифференциация заработной платы может отражать существование неучтенных характеристик рабочей силы. Она может возникнуть из-за того, что различные предприятия могут использовать разные технологии, которые в определенной степени чувствительны к квалификации работника. Из этого следует, что некоторые фирмы готовы платить более высокую заработную плату с целью привлечения более квалифицированного персонала.
Разница в заработной плате может быть также использована как компенсаторный механизм при негативных характеристиках работы или при скудных условиях труда. На чисто конкурентном рынке труда при возникновении разницы в заработной плате, не связанной с уровнем квалификации работников, чаще всего причиной являются различные условия труда. В таком случае, разница в заработной плате является ошибка в расчетах, в результате того, что этот аспект не указывается в отчете о нефинансовых затратах при устройстве на работу.
Метод сдельной оплаты труда предполагает, что характеристики работы оказывают постоянное влияние на уровень зарплаты, потому что они оказывают воздействие на оптимальный уровень оплаты труда, который выбирается предприятиями. В его самой упрощенной форме, метод сдельной оплаты труда может быть описан через производственную функцию предприятия:
Y = S F [E(W),L], (1.2)
где: L - это количество работников, a W - размер зарплаты. S отражает изменения в технологии, Е определяет уровень затраченных усилий. Функция затраченных усилий E(W) зависит от размера заработной платы; выплачиваемой фирмой, и она может быть как E'(W) > 0, так и E"(W) < 0.
Условие первого порядка для фирмы, которая максимизирует свою прибыль с использованием W и L имеет следующий вид (3):
Сервис онлайн-записи на собственном Telegram-боте
Попробуйте сервис онлайн-записи VisitTime на основе вашего собственного Telegram-бота:
— Разгрузит мастера, специалиста или компанию;
— Позволит гибко управлять расписанием и загрузкой;
— Разошлет оповещения о новых услугах или акциях;
— Позволит принять оплату на карту/кошелек/счет;
— Позволит записываться на групповые и персональные посещения;
— Поможет получить от клиента отзывы о визите к вам;
— Включает в себя сервис чаевых.
Для новых пользователей первый месяц бесплатно.
Зарегистрироваться в сервисе
E'(W)/E(W) I E(W) s F[E(W) L] = W (1.3)
где: W - равновесная заработная плата. Условия второго порядка, которые требуют того, чтобы эластичность затраченных усилий была убывающей, также обеспечивают максимизацию прибыли.
Равновесная заработная плата W имеет три характеристики: во-первых, эластичность затраченных усилий в зависимости от зарплаты равна единице; во-вторых, W минимизирует затраты на рабочую силу в расчете на единицу полезного труда; в-третьих, W не зависит от s, s не повлияет на уровень заработной платы.
Фирма будет продолжать нанимать работников до тех пор, пока предельный продукт от каждой последующей единицы нанятого не станет равным размеру заработной платы, поэтому нет необходимости приравнивать уровень найма к числу всех желающих получить работу. Безработицу можно объяснить действующей неизменяемостью заработной платы, которая обеспечивается сопротивлением работодателей гибкости зарплаты. Такое поведение фирмы, при котором она выплачивает более высокую заработную плату, чем установившаяся на рынке, можно объяснить тем, что фирма не всегда максимизирует свою прибыль или тем, что выплата фирмой более высокой заработной платы не столь дорогостоящая из соображений сдельной оплаты труда. Было представлено несколько различных версий метода сдельной оплаты труда, дающие возможное объяснение выплаты неконкурентоспособной заработной платы.
Первая это модель текучести рабочей силы, которая гласит, что более высокие размеры заработной платы выплачиваются с тем, чтобы минимизировать убытки от текучести рабочей силы. Салоп (1979) и Стиглиц (1974, 1995) выдвинули предложение о том, что, если убытки от текучести рабочей силы высоки и находятся в обратной зависимости от уровня заработной платы, выплачиваемом фирмой, то для того, чтобы минимизировать эти убытки, фирме следует увеличить ставку заработной платы.
Вторая версия состоит в том, что увеличение объема заработной платы приводит к увеличению затраченных усилий работника. Работники, которые получают заработную плату, равную стоимости их альтернативных издержек, имеют малый стимул к качественному выполнению работы и потеря ими рабочего места не составит значительного дефицита в их бюджете. Модели, разработанные Кальво (1984), Калопом (2007), Шапиро и Стиглицем (1984), предсказывают, что фирмы, выплачивающие высокую заработную плату имеют высокие затраты на контроль за качеством выполняемой работы или высокие убытки, возникшие в результате работы с более низкой производительностью труда.
Как альтернатива вышесказанному, третья модель гласит, что чувство преданности работника по отношению к своей фирме растет вместе с тем, насколько щедро фирма делится с ним сdоей прибылью. Акерлов и Йеллен (1988) спорят о том, что производительность работника зависит не только от справедливости ставки, но и от того, как соотносится его доход с доходом других сотрудников и фирмы. Эта модель опирается на понятие относительной надбавки, которая не очень эффективно объясняется с помощью функции полезности.
Четвертая группа моделей основывается на изучении подбора персонала. Работы Гарена (1995) так же как и работы Уэйсса и Ландау (1984) предполагаю, что фирмы, выплачивающие высокую заработную плату, привлекают большой круг квалифицированных специалистов, и, что высокая ставка заработной платы желательна, если невозможно сразу определить квалификацию данного человека.
С помощью этих моделей можно объяснить, почему характеристики фирм или отдельных отраслей промышленности могут повлиять на ставку заработной платы. Оптимальный уровень оплаты груда будет изменяться в зависимости от способности предприятия нести убытки от текучести рабочей силы или от дополнительных издержек, связанных с контролем над качеством выполнения работы персоналом. Все это может быть вызвано различиями в способе управления и/или в технологиях производства.
Таким образом, теория человеческого капитала, теория мотивации и теория рынка труда во многом объясняют природу дифференциации в оплате труда. Дифференциация заработной платы такое же естественное явление, как и многообразие цен на другие рыночные товары, определяемое спросом и предложением качественными характеристиками, потребительскими свойствами, полезностью торгуемых продуктов и услуг. С другой стороны различия в оплате труда во многом определяется поведением самого человека: его предпочтениями; неоднородностью психофизиологических качеств, образованием. На дифференциацию заработной платы несомненное влияние оказывают государственное регулирование, профсоюзы, несовершенство самого рынка труда.
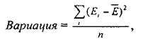
Измерение дифференциации заработной платы может осуществляться несколькими способами. Все способы использует анализ статистических рядов, где приводятся данные о средней заработной плате по отдельным группам работников и их числе в группе. Наиболее простой - построение гистограммы, которая показывает, сколько человек получали в течение определенного периода одинаковую заработную плату. Как правило, используются не абсолютные, а относительные частоты, то есть процент работников, получивших тот или иной доход.
В статистике большинства стран для подобных характеристик обычно используется не средний, а медианный их уровень, то есть уровень, выше и ниже которого получают заработную плату одинаковое число работников. Однако подобные показатели, не позволяют измерить степень дифференциации заработной платы. В этих целях используют показатель вариации распределения.
(1.4)
где: Ei - заработок i -го работника; Е - средний уровень заработка; п - численность работников.
Показатель вариации имеет один существенный недостаток, связанный с тем, что общее увеличение заработной платы может его изменить. Например, если заработная плата удваивается, а соотношение средней и индивидуальной заработной платы сохраняются, вариация возрастет в четыре раза. Чтобы избегать этого, статистике используется коэффициент вариации: квадратный корень из вариации, деленный на среднее значение заработной платы:
(1.5)
Еще один известный способ соотношения заработной платы наиболее и наименее оплачиваемых работников. Все работники разбиваются на равные по численности десяти -двадцати, - или двадцатипяти процентовые группы, а затем доход, полученный последней группой, делят на доход полученный первой группой. Получают децильные, квинтильный, квартальные коэффициенты фондов.
(1.6)
где: Ē10
- средняя заработная плата в 10 группе; Ē1
- средняя заработная плата в 1 группе.
Более сложный анализ дифференциации доходов населения состоит в расчете накопленных или кумулятивных кривых (Кривая Лоренца). Кривая Лоренца показывает, какую долю суммарного дохода получают 20% самого бедного населения, 40 %, 60 % и т.д. Если все будут получать равный доход, кривая Лоренца выглядела как прямая линия. Однако, как правило, самые бедные 20% имеют суммарные доходы, ниже, чем 20% и кривая отодвигается от прямой. Чем дальше эта кривая от прямой, тем выше степень дифференциации доходов.
Отношение площади фигуры S к общей площади треугольника OEN называется коэффициентом концентрации доходов или коэффициента Джини.
Коэффициент Джини может быть представлен и в виде следующей формулы:

(1-7)
где: Рi
- доля населения имеющего доход не выше, чем его максимальный уровень в i - й группе; qi
- доля доходов i - й группы в общей сумме доходов населения, исчисленная порастающим итогом.
Коэффициент Джини изменяется в процентах от 0 до 1. Чем больше Ki к 1, тем выше степень концентрации доходов в отдельных группах, тем выше неравенство доходов.
Таблица 1. Коэффициент Джини в отдельных странах в 80-е годы.
| Страна
|
Коэффициент Джини
|
| Финляндия
|
0,20
|
| Швеция
|
0,21
|
| ФРГ
|
0,25
|
| Канада
|
0,28
|
| Франция
|
0,30
|
| Австрия
|
0,31
|
| США
|
0,34
|
Неравенство в доходах наблюдается во всех развитых странах и обусловлено оно в первую очередь дифференциацией заработной платы. Различия в оплате труда стимулируют движение рабочей силы, уменьшение человеческого капитала, повышение производительности и качества работы.
Все многообразие факторов, влияющих на различия в оплате труда, можно свести к следующим группам: разнообразие рабочих мест; разнородность работников; соотношение спроса и предложения на рынке труда, политика государства, поведение профсоюзов и союзов предпринимателей и т.п. Все многообразие факторов, влияющих на дифференциацию заработной платы, представлено на рис 1. Здесь же предпринята попытка объединить их в группы.
Подобная классификация причин различий в заработной плате содержатся в трудах Эренберга Р., Смита Р., Макконела К., Брю С. Филера Р. и др. Однако, как правило, схемы включают только две группы факторов: неоднородность рабочих мест и работников. Влияние рынка, государственной политики, профсоюзов не выделяется.
В тоже время различия в заработной плате выступают в качестве основной причины в дифференциации доходов населения - проблеме, которая постоянно беспокоит общество.
Безусловно, различие в оплате труда и уровня доходов являются важнейшим мотивом, определяющим поведение человека. При прочих равных условиях: индивидуальных, внутренне присущих характеристик - умственных способностей, психофизиологических особенностей, тот человек получает более высокие доходы, который будет стремиться повысить свою квалификацию, повысить качество своего труда, ответственно относиться к работе, проявлять инициативу. Именно эти показатели служат основой с точки зрения работодателя для определения различий в цене труда. Эта информация выносится на рынок труда и становится ориентиром для работника, который рассматривает альтернативы своего поведения уже с точки зрения личных интересов. Можно вполне обоснованно сказать, что различие в заработной плате способствуют росту производительности труда, повышение качества продукции услуг, развитию самого работника.
Приведенная схема факторов, влияющих на различие в оплате труда, в современной экономической науки может быть исследована в рамках рынка труда. Научные работы в области рыночных отношений в сфере труда исследуют экономическое поведение работника и работодателя, государственную политику, роль профсоюзов в формировании спроса и предложения на рынке труда. Современные экономические школы не дают четкого определения рынка труда, рассматривая лишь те черты, которые отличают его от остальных товарных рынков. В российской научной литературе уже появилось определение рынка труда, на наш взгляд, наиболее полное представление дает следующая формулировка: «Рынок труда - это динамическая система, включающая в себе комплекс социально-трудовых отношений по поводу условий найма, использовании и обмена рабочей силы на жизненные средства, и механизм его самореализации, механизм спроса и предложения, функционирующей на основе информации, поступающей в виде изменений цены труда (заработной платы)».
Рынок труда имеет свою специфику, отличающую его от других товарных рынков. В первую очередь мы должны отметить особенности самого товара, который продается и покупается на данном рынке: способности, навыки, опыт, квалификация человека, с помощью которых он производит какие-либо продукты. Эти качества неотделимы от самого работника, но покупатель не имеет возможности купить человека. По сути, работодатель покупает услугу. Но работник проводит часть своей жизни на рабочем месте, поэтому для него важна не только заработная плата, но и неденежные факторы: безопасность, условия труда и режим, возможности обучения и профессионального роста, отношения внутри коллектива, гарантии занятости, статус. Принимая решения о работе, человек учитывает возможность использования своего времени в домашнем хозяйстве, где он может производить другие блага, которые иногда невозможно купить за деньги. Специфика товара «труд» безусловно, оказывает влияние на его предложение, что резко отличает рынок труда от других товарных рынков.
Спрос на этом рынке также имеет отличительные особенности. Труд покупается лишь для того, чтоб произвести какой-либо продукт или услугу. Спрос на труд конкретных работников имеет прямую зависимость со спросом на продукцию, которую они производят.
Рис. 1. Схема факторов, влияющих на дифференциацию заработной платы

Следующая особенность связана с несовершенством информации. Работник до момента начала работы не имеет полного представления о будущем рабочем месте, а работодатель не имеет полноценных характеристик своего будущего работника - риски, связанные с покупкой и продажей товара на рынке труда, значительно выше чем на остальных товарных рынках, кроме того процесс поиска вакансии для работника требует затрат времени и денег. И, наконец, еще одна специфическая черта. Каждый работник - это гражданин страны, права, которого защищаются государством. Здесь, как ни на каком другом рынке, важна роль институциональных факторов, регламентирующих трудовую деятельность граждан, права и обязанности работодателей. Кроме того, существенное влияние на рынке труда оказывают профсоюзы.
Специфика рынка труда оказывает несомненное влияние на процесс дифференциации заработной платы. Для ее объяснения экономисты предлагают использовать различные теории.
В самом общем виде можно выделить следующие подходы:
1). Люди отличаются по своим индивидуальным, присущим им характеристикам, которые распределены экзогенно.
2). Люди получают наследство от своих родственников определенные преимущества и это определяет различия в заработной плате.
3). Все люди изначально одинаковы, а дифференциация заработной платы определяется только волей случая.
Проведенные экономистами, исследования показывают, что дифференциация заработной платы не соответствует распределению природных способностей, которые распределяются нормальным образом (см. рис.2).

Рис. 2. Заработная плата.
Распределения заработков большей части работников оказывается несимметричным по сравнению с нормальным распределением. Кроме того, это распределение меняется со временем.
Распределение природных способностей вряд ли имеет какую-либо выраженную тенденцию к изменению во времени. Также сомнение вызывает и то, что наследуемые преимущества и случайные распределения заработной платы имеют свойство изменяться во времени.
Наличие приведенного выше распределения заработной платы, не соответствует нормальному закону, и изменение его во времени, позволяет говорить о наличие других факторов, влияющих на дифференциацию доходов наемных работников. Частично они уже были показаны в предыдущем параграфе, где в рамках ограниченной схемы мы не имели возможности показать все их многообразие. Первое определенное схемой направление - неоднородность работников, определяется не только их природными способностями, но и различными уровнями инвестиций в человеческий капитал. Еще А. Смит писал: «Человек, изучивший с большей затратой труда и продолжительностью временем какую-либо из профессий, которые требуют чрезвычайной готовности и искусства, может ожидать, что труд, которому он обучается, возместит ему сверх обычной платы за простой труд, все расходы затраченные на обучение, с обычной по меньшей мере прибылью на капитал, равный этой сумме расходов». К инвестициям в человеческий капитал относятся прежде всего расходы на образование, поддержание здоровья, миграцию, связанную со сменой работы. В настоящее время в теории человеческого капитала наиболее изучены проблемы инвестиций в образование. Каждый человек, принимая решение о поступлении в высшие учебное заведение, знает, что его доход может зависеть от уровня образования. Вместе с тем теория человеческого капитала не отрицает полезности образования как потребительского блага.
Принимая решения о получении специального образования, необходимо учитывать следующие обстоятельства: образование требует времени и денег; полученные знания со временем обесцениваются; выгоды от образования нельзя получить немедленно; приобретенный человеческий капитал не может быть продан другому сам по себе как физический. Следует иметь в виду и тот факт, что иногда можно приобрести дополнительное знание, умение и навыки без каких-либо инвестиций в образование (например, обучение с помощью практики опыта коллег).
Многочисленные исследования в сфере инвестиций в человеческий капитал, показывают, что средняя доходность образования в 80-90 г.г. колебалась в США на уровне 5-15%, для Великобритании этот показатель оценивается в 15-20%. Однако не стоит забывать, что образование выступает как потребительское благо, приносящее для человека полезности в период его получения и нефинансовые выгоды в будущем. Имеется еще одна существенная особенность, связанная с инвестициями в человеческий капитал, обусловленная тем, что рынок труда дает информацию только о настоящем и человек, принимающий решения о выборе специальности индивидуально, не знает сколько желающих будут одновременно с ним обучаться той же профессии. С каждым годом выпуск по данной специальности будет расти, и увеличивать предложение на рынке труда, тем самым, снижая и уровень заработной платы в соответствующем сегменте. Таким образом, доходность от инвестиций в образование будет снижаться и, когда они становятся невыгодными для большинства потенциальных студентов, начинается отток желающих учиться по этой специальности, начинается падение предложения, происходит рост заработной платы и доходность инвестиций вновь растет. Процесс носит, таким образом, циклический характер.
Еще одна проблема связана с длительностью образования. Каждый дополнительный год обучения, еще одна ступень образования сокращает срок получения дохода, связанного человеческим капиталом и увеличивает инвестиции, причем, чем выше уровень образования, тем выше расходы на обучение. Из приведенных выше рассуждений следует еще один вывод, если для получения какой-то специальности требуются большие сроки подготовки (например, врача), то они должны быть более высокооплачиваемы. Статистические данные говорят о справедливости вывода для большинства развитых стран, где профессия врача одна из самых высокооплачиваемых.
Дифференциация заработной платы связана во многом с различиями в предпочтениях работников, которые объясняются гедонистической теорией, согласно которой человек стремится увеличить свою полезность, выбирая рабочее место. Эта полезность зависит как от величины заработной платы, так и от различных других характеристик рабочего места (позитивных и негативных), по отношению к которым у работника есть предпочтения. Незарплатные выгоды или риски компенсируются различиями в заработной плате.
Модель компенсационных различий в заработной плате основывается на следующих предпосылках: работник при выборе рабочего места стремится максимизировать свою полезность с учетом всех его характеристик, а не только дохода; работник имеет информацию о всех характеристиках рабочего места или может получить ее в процессе работы; работники мобильны и имеют возможность перемещаться с одного рабочего места на другое без ограничений. Предпочтения рабочего описывают функцией полезности:
(1.8)
где: Wi
- заработная плата на i-ом рабочем месте; Xi
- незарплатные выгоды или риски на i-ом рабочем месте.
Применяя теорию компенсационных различий можно объяснить дифференциацию заработной платы по отраслям, регионам отдельным рабочим местам. В схеме факторов, определяющих дифференциацию заработной платы, мы выделили такое направление как неоднородность рабочих мест. Рабочие места отличаются по безопасности работы, имеются региональные различия, есть работы творческие, а есть однообразные и т.п. Если рынок работает нормально фирмы, имеющие худшие условия труда, вынуждена предлагать более высокую заработную плату, иначе она не найдет работников. Работодатель, предоставляющий служащим дополнительные льготы, может позволить себе платить им меньше.
В условиях риска поведение различных людей неодинаково. Каждый работник оценивает риск индивидуально, поэтому их решение отличаются. Один работник будет предпочитать безопасную работу, другой остановит свой выбор на рабочем месте с более опасными характеристиками, но с более высокой оплатой труда. Работодатель также стоит перед выбором: предлагать повышенную заработную плату или снизить уровень риска, осуществив соответствующие инвестиции (если это возможно). Естественно, при этом выборе наниматель будет руководствоваться экономической выгодой, исследуя возможность сохранения допустимого уровня прибыли.
Компенсационные различия в заработной плате возможны также в случае положительных характеристик рабочего места в виде пособий, льгот, различных видов неденежного вознаграждения. Есть несколько причин, побуждающих вводить механизм подобного стимулирования. Во-первых, многие пособия (например, медицинское страхование) обходятся работодателю дешевле, чем, если бы они покупались работником индивидуально, так как возникает экономия на масштабе и административных издержках, во-вторых, в большинстве стран пособия и неденежное вознаграждение не облагаются налогом. В третьих, пособия могут использовать как средство срытого отбора и поощрения предпочтительной рабочей силы (заработная плата в этом случае не может использоваться из-за явной дискриминации). Оптимизированная структура пособий будет способствовать отбору работников, имеющие более высокие показатели производительности труда и качество выполняемых функций. Работодатель может применять также гибкий план пособий и неденежных вознаграждений, в рамках которого работник может определить индивидуальный отбор.
Одной из характеристик рабочего места является статус. Модель компенсационных различий предполагается, что статус является для многих работников особым благом, за которые они готовы платить. Статус каждого человека характеризуется его местом в обществе на различных стадиях жизнедеятельности и возможности получения доходов из различных источников. Владелец собственности, например, не позволит наемному работнику получать заработную плату выше, чем его доход. От социального статуса зависит поведение человека, которое выражается в культуре поведения, формах досуга, общении, образе жизни, выборе деятельности, в действиях в случае потери работы. Так специалисты редко соглашаются перейти на работу не по специальности, но хорошо оплачиваемую. А большая часть высококвалифицированных работников готовы пройти переобучение, если это необходимо для трудоустройства и сохранение имеющегося статуса.
Следующая проблема, которая исследуется в рамках компенсационной теории, влияние на дифференциацию заработной платы несовершенства рыночной информации и значительные расходы на ее получение. В процессе функционирования рынка труда изменяется спрос на труд, вызывающий соответствующие изменения в оплате труда, в результате которого возникает некоторое множество предполагаемых заработных плат вместо одной. О единой заработной плате можно говорить лишь в прошлом, как о некой усредненной величине. В реальном времени несовершенство информации приводит к тому, что предложение замедленно подстраивается под спрос и различия в заработной плате сохраняются в краткосрочном периоде. Но даже с течением времени не обязательно может устанавливаться единая заработная плата. Получение полной информации о всех существующих ставках заработной платы может требовать значительных издержек и возможна ситуация, когда предельные издержки на получение информации окажутся выше, чем выигрыш от повышения заработной платы. Тогда различия в заработной плате будут иметь не временный, а постоянный характер. Ситуация усложнена еще и тем, что рынок труда далеко не однороден - он разделен на отдельные, относительно замкнутые секторы, которые ограничивают мобильность работников своими границами. Наиболее существенным фактором, влияющие на дифференциацию заработной платы в рамках даже в одних и тех же специальностей, является выделение первичного и вторичного рынка труда.
Для первичного рынка характерна стабильность заработной платы. Прогрессивные технологии, хорошие условия труда, как правило, имеются сильные профсоюзы, длительная продолжительность контрактов. Важными зарплатообразующими факторами выступают: должность; стаж работы; квалификация; мера ответственности. Здесь высока доля единовременных выплат. Применяются сложные системы оплаты труда, высокая степень индивидуализации заработной платы. Доступ на этот рынок труда извне весьма сложен.
Иные характеристики имеет вторичный рынок. Характер занятости нестабильный, работа часто отличается сезонностью и временностью, часто применяются режимы неполного рабочего дня, содержания труда характеризуется преимущественно необходимость только исполнения вышестоящих распоряжений. Заработная плата определяется такими факторами как выработка и дисциплина. Ведущая роль принадлежит основной заработной плате, исчисляемой на основе жестко установленных норм. Доступ на этот рынок достаточно простой, но возможность перехода работника вторичного рынка на первичной весьма ограничены. Подобное разделение на первичные и вторичные рынки существуют во многих странах и определяются многообразием компаний, осуществляющих производительную деятельность. Доступность того или иного рынка увязывается с мобильностью рабочей силы, ее ограниченностью. Существует два вида ограничений мобильности: 1) географическое, 2) институциональное. Рынки труда не сосредоточены в одной точки, они имеют пространственную и территориальную протяженность. Территориальные перемещения работников (миграция) связана с издержками на преодоление расстояний и на смену местожительства.
Увольнение работника проявляют его стремление к максимизации своей полезности, а работодателя к максимизации прибыли. С этой точки зрения интересен анализ факторов, влияющих на добровольное увольнение. Среди них можно выделить заработную плату, образование, возраст, пол, специфичность человеческого капитала, стаж, показатели, характеризующие разнородность работников; размер фирмы, экономический цикл, охват профсоюзов и другое - то, что в целом может быть отнесено к прочим факторам. Интересны следующие заключения, сделанные исследователями в области трудовых отношений: вероятность добровольного увольнений гораздо ниже у мужчин, имеющих достаточно хороший уровень заработка, более высокий уровень образования, средний возраст которых превышает 35 лет.
С точки зрения фирмы мобильность может быть связана, прежде всего, с размерами фирмы и вхождением ее в первичный или вторичный рынок. Чем больше размер фирмы, тем больше возможность у работника изменить свое место работы внутри фирмы, а также инвестировать в человеческий капитал и увеличить полезность работы.
Фирмы заинтересованы в предотвращении добровольных увольнений работников, которое влечет за собой цепь издержек, связанных с потерей прибыли от непроизведенного продукта, с затратами на поиск, отбор, наемного работника, его обучение и профессиональную подготовку. Для снижения текучести фирма использует такие рычаги как регулирование заработной платы, в том числе установление зависимости между ростом заработной платы и длительностью работы на фирме, осуществление инвестиций в человеческий капитал, совершенствование процесса отбора и найма работников.
Институциональные ограничения возникают в результате существования в обществе формальных и неформальных правил и процедур, препятствующих мобильности. Формальные ограничения могут возникнуть в результате деятельности государства и профсоюзов. Неформальные ограничения - результат действия устоявшихся в обществе написанных правил и норма. Пример действия таких норм - дискриминация на рынке труда. Под дискриминацией понимается неодинаковой отношение к людям, принадлежащим к различным расам, национальностям, разного пола, возраста и т.п. На рынке труда дискриминация проявляется в неодинаковом уровне оплаты труда к одинаково продуктивным работникам.
Выделяются следующие виды дискриминации в заработной плате: неравные возможности трудоустройства, профессиональной сегрегации - разделение профессий на мужские и женские; ограничение доступа к образованию. Дискриминация в заработной плате наиболее проявляется в том случае, когда мужчина или женщина, черный или белый работник, работая в одной фирме, отрасли, получают, будучи одинаково квалифицированными, разную зарплату. Однако данное заключение не всегда является очевидным, так как могут действовать и другие факторы: уровень образования, отношение к труду и т.п.
Феномен дискриминации анализируется учеными несколько десятков лет. Первым серьезным исследованием, посвященной это проблеме является Г. Беккера «The Economies of Discrimination». Согласно его взглядам наниматель руководствуется своими личными предубеждениями. Гарри Беккер пришел к выводу, что дискриминация экономически неэффективна. Дискриминующий работодатель не оптимально используют свои ресурсы, сокращает выпуск своей продукции и прибыль. Для работников результатам ставится дифференциация заработной плате между половыми, возрастными, расовыми и т.п. группами. Существенное влияние на дифференциацию заработной платы могут оказать профсоюзы, коллективные организации, чья первостепенная задача улучшить финансовые и нефинансовые условия занятости своих членов. Они могут объединять как работников одной отрасли, так и работников одной профессии, независимо от места работы.
Многие экономические теории пытаются объяснить поведение профсоюзов попытками максимизировать некоторую определенную функцию. В действительности профсоюзы выполняют множество разных задач. Поэтому единство в определении целевой функции профсоюзов между экономистами не достигнуто. Тем не менее, все едины в том, что в большинстве случаев профсоюз оценивает не только заработную плату своих членов, но и их занятость. Естественно это достаточно узкий круг задач, спектр функций профсоюзов гораздо шире. Они занимаются также социально-политическими проблемами. С точки зрения дифференциации в заработной плате профсоюзы пытаются увеличить средний уровень заработной платы, минимизировать ее различия в отрасли или фирме. Дальнейший анализ можно сравнить с уже известными моделями изменения заработной платы в долгосрочной перспективе.
В экономической теории существует негативный и позитивный взгляд на проблему влияния профсоюзов на дифференциацию в оплате труда и экономическую эффективность деятельности предприятий.
Негативная оценка связана со следующими моментами:
- снижение эффективности деятельности фирм в связи с издержками на забастовки;
- ограничение мобильности, увеличивающие издержки поиска работы, ограничивающее воздействие на процесс дифференциации заработной платы;
- жесткость заработной платы, способствующей росту безработицы;
- снижение уровня прибыли и соответственно сокращение инвестиций, ограничивающих экономический рост;
- потери в выпуске продукции и услуг в связи с ограничением в распространении ресурсов.
При альтернативной позитивной оценке влияния профсоюзов оценивается исходя из того, что он рассматривается как институт «коллективного голоса» на внутреннем рынке труда. Они соединяют предпочтение работников непосредственно с интересами управления, участвует в определении правил установлении заработной платы и продвижения по служебной лестнице, способствуют снижению конкуренции на внутренних рынках.
В соответствии с этой точки зрения профсоюзы способствуют:
- сокращению текучести работников и соответственно к сокращению издержек, связанных с этим явлением;
- закрепление правил продвижения по служебной лестнице рабочих со стажем и создает стимулы для работников более старшего возраста, что обеспечивает возможность передачи опыта молодым коллегам (неформальная подготовка на рабочем месте);
- обобщение опыта традиций, культуры организации в целом;
- повышение дисциплины и снижение издержек от оппортунического поведения работников;
- сокращение издержек заключения трудовых контрактов путем замены индивидуального трудового контракта на коллективные соглашения;
Все это способствует повышению производительности труда, эффективности производства и снижает различия в заработной плате.
Выше уже отмечалась специфическая особенность рынка труда - значительное влияние государства. Причем это касается не только регулирования доходов населения, занятости, но и других мер, не имеющих своей изначальной целью воздействия на рынок труда. Государство устанавливает законы, регулирующие условия труда, режимы рабочего времени, нормы техники безопасности, определяет нормативную продолжительность рабочей недели в часах, обязательную оплату сверхурочной работы, уровень минимальной оплаты труда. Законодательными актами регламентируется деятельность монополий и профсоюзов, определяется порядок заключения коллективных договоров, запрещается дискриминация, регулируется иммиграция.
Помимо административных используются и экономические меры: налогообложение юридических и физических лиц; выплата социальных пособий, стипендий; субсидии, которые предоставляются фирмам и частным лицам. Кроме того, государство содержит значительное количество служащих, устанавливая для них определенную величину заработной платы, дифференцируя ее в зависимости от различных факторов. Государственные расходы влияют на спрос на рынке товаров и их направления вызывают оживление производства отдельных видов продуктов и услуг, оказывая тем самым воздействие на изменения спроса на конкретный вид труда. Финансово-кредитная политика, осуществленная государством, может оказать влияние на экономическую активность, изменение доходов предпринимателей и наемных работников. Практически все административные и экономические меры государства могут оказывать воздействие не только на величину дохода, но и на различия в заработной плате. Так, например, увеличение возможностей получения специального образования за счет государственного финансирования, увеличит поток желающих учиться, повысит предложение на рынке специалистов, снижая тем самым заработную плату. Введение налоговых льгот в отдельных отраслях, малом бизнесе будет способствовать увеличению доходов компаний и появится возможность увеличения заработной платы занятых в них работниках.
Исследования воздействия государства на дифференциацию заработной платы может стать самостоятельным направлением, мы же ограничимся выводом, что, в конечном счете, мероприятий в области государственной экономической политике способствует сокращение различий в оплате труда, хотя явно эта цель при разработке конкретных административных и экономических мер не определяется.
На дифференциацию заработной платы безусловное влияние оказывает уровень конкуренции на рынке работодателей. В экономике бывают случаи, когда фирма является единственным нанимателем на данном рынке труда, имеющем ограниченное количество потенциальных работников (фирма - монопсония). Нанимая даже одного дополнительного работника, фирма вынуждена повышать ему заработную плату. И, если это не дискриминирующая монопсония, то ей придется повышать оплату труда всем нанятым раньше. В схеме факторов влияющих на дифференциацию труда выделены особенности компаний, осуществляющих наем работников и далее использующих их труд. Перемещение работника изменение его заработка внутри фирмы, исследуется с применением моделей внутреннего рынка труда, имеющего целый ряд особенностей. Обычно выделяют следующие из них: относительная независимость ставки заработной платы некоторых работников на внутреннем рынке от соотношения спроса и предложения на аналогичные виды труда на внешних рынках; на оплату труда существенные влияния оказывают внутренние правила и процедуры; создание карьерной лестницы и дополнение вакансий за счет продвижения своего работника наверх; установление долгосрочных отношений между работодателем и работником; зависимость заработной платы от срока работы в фирме.
Формирование внутренних рынков труда обусловлено рядом причин: специфическая профессиональная подготовка, основанная на уникальности применяемых технологий и рабочих мест; несовершенство информации о потенциальной производительности работника; профессиональная подготовка на рабочем месте, которая неформальна по своей природе и выражается в обучении в процессе производства.
Как правило, работники, принимаемые со стороны, занимают рабочие места «входного уровня». Заработная плата работника часто зависит от его положения в служебной иерархии, а не от производительности труда. Внешняя конкуренция заменяется внутренней за продвижение на высокооплачиваемую работу.
Стимулирующая функция подобной системы основаны на дифференциации оплаты труда на рабочих местах разных уровней. Вся система стимулирования становится независимой от внешних факторов.
Фирмы, четко ориентированные на внутренний рынок труда, выходят на внешний рынок труда только в период подъема или спада, сокращая свои издержки и риски, связанные с набором персонала.
Многие фирмы проводят политику эффективной заработной платы - устанавливая ее выше равновесной. Таким образом, решаются следующие задачи: закрепление кадров, повышение производительности труда, отбор лучших работников. Кроме того, сокращаются издержки, связанные с контролем, и в итоге увеличивается прибыль. Такое воздействие повышенной заработной платы сохранится в том случае, если не все фирмы прибегут к такому способу стимулирования работников.
Проведенное нами исследование факторов, влияющих на различия в оплате труда, в дальнейшем будут использоваться при проведении анализа рынка труда на предприятиях связи. Немаловажен их учет и при организации систем заработной платы в компаниях.
Исследование рынка дает для компаний важную информацию о сложившейся цене труда по различным специальностям, по отраслям и другим сегментам рынка труда, тенденции изменения ставок заработной платы в долгосрочных и краткосрочных периодах. Подобная информация позволяет прогнозировать изменение цены труда, а компании анализируют данные по состоянию рынка труда, могут устанавливать начальные ставки оплаты по отдельным специальностям и разрядам (в дальнейшем мы эти ставки будем именовать базовыми). Установление базовых ставок на основе рыночных исследований обеспечивает внедрение принципов конкуренции в организацию заработной платы на предприятиях, дифференцируя ее в зависимости от состояния внешнего рынка труда.
При всей привлекательности описанной модели организации заработной платы практическая реализация ее сопряжена с некоторыми трудностями. Существенная проблема, которая должна быть решена при внедрении приведенного механизма определения базовых ставок, проведение систематического наблюдения за множеством ставок заработной платы у фирм-конкурентов. Часто информация, касающаяся должностных окладов, тарифных ставок, может быть ограничена для распространения, а в случаях открытой публикации приводятся устаревшие данные, которые могут быть использованы только при соответствующей корректировки. Следовательно, фирма, решавшая внедрить механизм установления конкурентных базовых ставок, должна создать службу наблюдения и анализа рынка труда в интересующих ее отраслях. Организация соответствующих структурных подразделений повысит управленческие расходы и общие издержки на производство. Очевидно, что внедрение подобных служб, будет экономически выгодно только при значительной численности персонала в крупных компаниях и в каждом конкретном случае необходимы предварительные технико-экономические расчеты, подтверждающие возможность их создания.
Следующим препятствием для установления базовых ставок на основе рыночных исследований может стать поведение профсоюзов, которые могут не согласиться с предложенной моделью определения начальных тарифных ставок. Однако, наличие информации о состоянии рынка труда, тенденций в области заработной платы, являются достаточно сильным фактором воздействия, используемым при проведении переговоров с профсоюзами по выработке условий коллективных соглашений.
Таким образом, исследование внешнего рынка труда создает предпосылки для реализации конкурентной модели организации труда на предприятии. Наряду с внешним существуют и внутренние рынки труда, о которых упоминалось во втором параграфе работы. В каждой компании происходит постоянное движение персонала, в результате чего освобождаются рабочие места, и довольно часто основным источником для занятия вакантных должностей становятся работники фирмы. Каждая фирма устанавливает и собственные формы и системы оплаты труда, которые определяют различия в доходах работниках и позволяют при соответствующих подходах создать внутреннюю конкуренцию среди персонала предприятия.
Все системы заработной платы в зависимости от той, какой основной показатель применяется для определения результатов труда, принято подразделять на две большие группы, называемые формами заработной платы. Если в качестве основного измерителя результатов труда используется количество изготовленной продукции (оказанных услуг), то говорят о сдельной форме заработной платы. При использовании в качестве такого измерителя количества отработанного рабочего времени - речь идет о повременной заработной плате. Следовательно, форма заработной платы - это тот или иной класс систем оплаты, сгруппированных по признаку основного показателя учета результатов труда при оценке выполненной работником работы с целью его оплаты.
Сдельные и повременные системы оплаты отличаются различным подходом к организационно-техническому нормированию труда, базируясь на одном и том же тарифном нормировании. При повременной оплате основной нормой труда является единая установленная законом продолжительность рабочего времени с перечнем трудовых обязанностей работника, которые он должен выполнить в течение этого времени, вытекающих из сложившегося на предприятии разделения труда между работниками и определяемого организационно-техническими условиями производства. За выполнение установленной нормы предусматривается мера оплаты - тарифная ставка. Если работник отработал меньше времени, чем предусмотрено нормой, то ему начисляется меньше его тарифной ставки. Если отработанное работником время с конкретным содержанием трудовых обязанностей превысит установленную норму (при согласии на это работодателя), то оплата его труда превысит тарифную ставку.
При применении повременных систем заработной платы необходимо учитывать ряд условий, определяющих эффективность их функционирования:
- отсутствует явно выраженная зависимость результатов труда от усилий работника (аппаратурные процессы, конвейерное производство, автоматические линии, робототехнические комплексы, гибкие автоматизированные производства, химические, электрохимические, теплофизические, биологические процессы). В этих видах работ ускорение их выполнения ограничено или даже может быть не допустимо. Задачи рабочих в основном сводятся и соблюдению регламента процессов:
- затруднено количественное измерение результатов труда (дежурный персонал, научные исследования, труд большинства руководителей, специалистов и служащих, экспериментальное производство);
- имеется возможность вести точный учет рабочего времени;
- точность определения квалификации работника;
- обоснование применения норм труда; норм обслуживания, норм численности, норм управляемости (при их занижении труд исполнителей не является напряженным, увеличиваете их численность и затраты на заработную плату);
-выбор показателей, условий и размеров премирования, стимулирующих работников повышать эффективность производства (повышение производительности труда, качества продукции, экономию всех ресурсов).
При сдельной оплате в качестве основной нормы труда выступает норма выработки (норма времени на единицу работы) которая также рассчитывается исходя из установленной законом продолжительности рабочего времени. За выполнение такой нормы основной трудовой обязанности работника - он получает оплату в размере тарифной ставки. При ее невыполнении или перевыполнении начисленная работнику оплата будет соответственно ниже или выше тарифной ставки.
В свою очередь эффективность и целесообразность выбора сдельных систем заработной платы определяется рядом условий:
-хорошо поставленное нормирование труда. При недостаточно обоснованных нормах размер вознаграждения превышает меру труда;
-необходимость стимулировать увеличение выработки продукции, что является важным для многих видов работ;
- заинтересованность в увеличении заработной платы не должна приводить к ухудшению качества продукции, неэффективному использованию оборудования и сырья. Разрешается это требование применением соответствующих премиальных систем за улучшение различных качественных показателей производства.
С точки зрения экономической сущности между сдельной и повременной формами заработной платы принципиального различия нет: обе они базируются на определенной рынком труда цене рабочей силы (трудовой услуги) и установленной законодательной продолжительности рабочего времени. В обеих формах оплаты нормы труда учитывают и результат, и требуемое для него рабочее время. Разница состоит в том, что при повременной оплате результат выступает в скрытой форме (в форме должностных инструкций и иных перечнях трудовых обязанностей, обеспечивающих достижение конечного результата), а рабочее время (неотделимое от этих трудовых обязанностей) - в открытой. При сдельной оплате результат труда выступает непосредственно, а рабочее время, требуемое для его достижения и неотделимое от него, - опосредованною.
На практике неправильное понимание сущности повременной и сдельной форм заработной платы приводило к тому, что при повременной оплате не достигались нужные работодателю результаты труда, а при сдельной оплате создавались препятствия к своевременному пересмотру норм при объективном изменении рабочего времени, необходимого для производства продукции. Порождалось также устойчивое мнение, что при сдельной системе приходит высокая материальная заинтересованность в росте выработки и не заинтересованность в росте качества продукции и экономии материальных ресурсов. Что касается повременной оплаты, то она стимулирует работников к определенной продолжительности рабочего времени, но не заинтересовывает в росте производительности труда и других показателей. На самом деле недостатки в установлении единства меры рабочего времени и меры результативности при установлении норм труда в рамках каждой формы оплаты выдавались за недостатки той или иной системы оплаты. Когда же эти недостатки устранялись, исчезали и различия между сдельной и повременной системами оплаты груда, связанные с их стимулирующим воздействием на работника.
Воздействие определенным образом на материальную заинтересованность работников посредством систем оплаты - один из основных принципов организации заработной платы в современной экономике. С позиций воздействия на материальную заинтересованность работника системы оплаты могут быть простыми и сложными. Простые системы оплаты устанавливают связь оплаты труда работника только с основным показателем учета результатов его труда; сдельные - только с количеством изготовленной продукции, повременные - лишь с количеством отработанного времени. Сложные системы устанавливают зависимость оплаты труда от нескольких показателей, из которых один является основным, а другие - дополнительными. Количество дополнительных показателей, учитываемых в сложных системах оплаты, зависит от возможностей работников влиять на использование имеющихся резервов повышения эффективности производства и на многообразие таких резервов. В сложных системах наряду с объективными условиями повышения эффективности производства могут учитываться и субъективные качества работников. Воздействие систем оплаты труда может быть рассчитано как на каждого работника отдельно, так и на группу (группы) работников. В первом случае организуется учет результатов труда каждого работника, охваченного соответствующей системой оплаты, во втором учитываются результаты коллективного труда. Соответственно и системы оплаты труда по вышеназванному признаку делятся на индивидуальные и коллективные. В сложных системах одни показатели могут быть результатом личных усилий работников, а другие - коллективных. Системы оплаты труда могут устанавливать различную зависимость оплаты от степени перевыполнения норм трудовых затрат по основным и дополнительным показателям учета результатов труда. При перевыполнении (невыполнении) норм трудовых затрат оплата труда может изменяться прямо пропорционально степени выполнения нормы в большей степени (прогрессивно) или в меньшей степени (регрессивно). В сложных системах оплаты груда возможно сочетание пропорциональных, прогрессивных и регрессивных вариантов ее изменения. При разработке систем оплаты труда на предприятиях приходится одновременно решать две задачи. Во-первых, каждая система должна направить усилия работника на достижение таких показателей трудовой деятельности, которые обеспечат получение необходимого работодателю (предпринимателю, собственнику предприятия) производственного результата, выпуска нужного количества конкурентоспособной продукции с наименьшими затратами. Во-вторых, каждая система оплаты должна предоставлять работнику возможность для реализации имеющихся у него умственных и физических способностей, позволять ему добиваться в рабочем процессе полной самореализации как личности. Все сказанное создает базу для деления систем оплаты на поощрительные, гарантирующие и принудительные.
Принудительная система нацеливает его на достижение показателей, однозначно установленных работодателем на достаточно высоком (жестком) уровне и не допускает каких-либо отклонений «вниз». Если это все-таки происходит, то работник рассматривается как не отвечающий требованиям работодателя. Введение принудительных систем оплаты труда чаще всего диктуется не склонностью работодателя к авторитарному стилю управления рабочей силой, а необходимыми требованиями технологического процесса или очень жесткой конкуренцией на рынке сбыта продукции предприятия. Такие системы отличают более высокая напряженность труда, закладываемая часто уже в нормы трудовых затрат, и более высокая оплата за их выполнение и перевыполнение. Задача гарантирующей системы оплаты - не увязать заработную плату работника с какими-либо показателями, а обеспечить начисление ему оговоренной суммы через совокупность действующих на предприятии условий оплаты (тарифных ставок, расценок, доплат, надбавок, премий и т.п.). Характерными чертами гарантирующих систем оплаты являются неконкретность или количественная неопределенность устанавливаемых показателей оценки трудовой деятельности, заниженность норм трудовых затрат, слабая организация учета показателей, невозможность работника в ряде случаев влиять на установленные для него показатели деятельности. Поощрительной, следует считать, систему оплаты труда, обеспечивающую в конкретных производственных условиях оптимальное решение двух указанных выше задач: достижение необходимых работодателю показателей трудовой деятельности и обеспечение работнику условий для самореализации на основе его личной заинтересованности в этом. Поощрительная - система дает работнику возможность выбора степени своего участия в улучшении показателей. От поощрительных систем оплаты при таком их толковании следует отличать принудительные системы оплаты труда и так называемые гарантирующие системы. Поощрительные системы осуществляются в рамках сдельной и повременной оплаты труда. Такие системы, как правило, предусматривают наличие определенного набора показателей, характеризующего индивидуальные достижения работника: производительность, уровень выполнения норм, качество изготавливаемой продукции, уровень обслуживания потребителей, снижение потерь сырья и материалов, вклад в достижения конечных результатов деятельности своего подразделения и предприятия в целом. На основе набора показателей формируется система оценок, которые затем трансформируются в коэффициенты, используемые для исчисления различных премий, надбавок и т.п. как по итогам текущей деятельности, так и по результатам работы подразделения и предприятия в целом за отдельные периоды (месяц, квартал, полгода, год). Система оценок трудовой деятельности, наряду с продвижением по служебной лестнице при правильном применении этих двух подходов может стать основой для формирования внутренней конкурентной модели организации труда на предприятии.
Источником выплат премий, надбавок, бонусов могут быть как фонд заработной платы, так и прибыль предприятия. В последнее время в развитых странах появились поощрительные системы, ориентированные на оплату по конечным результатам деятельности компании коллективов предприятия в целом и его отдельных структурных подразделений. Компании, применяющие подобные системы оплаты труда увязывают заработную плату персонала со своей рыночной деятельностью: объемами продажи, расширением рынков, продвижением тех или иных продуктов на рынке; и внутренней эффективностью производства: снижением издержек, повышением качества работы и обслуживания потребителей.
Создание такого рода поощрительных систем возможно только при осуществлении комплекса мер по организационному преобразованию компаний.
К числу основных мер относятся следующие:
1. Переход на гибкий ассортимент продукции, меняющиеся в зависимости от запросов потребителей, часто с послепродажным обслуживанием.
2. Создание небольших организационных подразделения, в которых подбираются работники разных специальностей, имеющие высокий уровень квалификации. Они имеют возможность выполнять широкий круг функций. Такая ячейка отвечает за производство узла, крупной стадии производственного процесса или продукта в целом. В рамках подобного подразделения работник обогащает свой труд, видит производственный процесс в целом, получает реальную автономию в принятии управленческих решений. Во взаимодействии с другими структурными подразделениями могут присутствовать элементы рыночных отношений (купли-продажи). Для создания внутренней конкуренции формируется несколько параллельных подразделений, осуществляющих аналогичные функции.
3. Изменение подхода к нормированию труда. Происходит отказ от индивидуальных норм и показателей производительности труда в пользу коллективных, чаще всего норма устанавливается по конечной операции производственного процесса. Такой подход позволяет снизить межоперационные запасы, делает ненужным контроль за каждым работникам.
4. Внедрение контроля качества по конечному продукту, но при этом предполагается сплошной контроль, так как каждый участник производственного процесса считается потребителем, который имеет право отказаться от некачественного продукта или услуги.
5. Создание системы привлечения работников всех уровней к выявлению проблем и принятию решений, по сокращению всех видов потерь, поиску совершенствования форм организации производства и его гибкости, повышения производительности труда, качества продукции и обслуживания потребителей. Любой работник должен иметь возможность получить доступ к руководителю любого уровня для изложения своих предложений.
Организационные изменения возможны только при применении соответствующей технической базы: гибких производственных систем, способных осуществить переналадку оборудования за короткий период. Требуется и иная концепция размещения оборудования и организации рабочих мест: все оборудование, предназначенное для выпуска однотипных изделий или семейства сходных продуктов, группируется в одном месте от начала до конца технологического цикла (ячеечная компоновка).
В рамках нового организационного построения фирмы могут произвести отказ не только от индивидуальной сдельной оплаты труда, но и от повременной. Обе эти системы заменяются оплатой труда с жесткой увязкой с конечным результатом деятельности производственного подразделения и предприятия в целом. Все работники получают фиксированное жалованье в соответствии со своей квалификацией. Взаимосвязь оплаты труда с конечными результатами устанавливает через премии, которые выплачиваются по итогам года или полгода. Такие поощрительные системы, отличая их от сдельной и повременной оплаты труда, именуют бестарифными, хотя говорить о полном отсутствии тарифных ставок в данном случае не совсем справедливо: как уже указывалось, первоначальная ставка устанавливается с учетом квалификации работника и премии, определяются в процентном отношении к должностному окладу.
Применение бестарифной системы связано с формированием поощрительного фонда оплаты труда. Наибольшее применение получили следующие методы образования поощрительных фондов.
Пересчет фонда на основе норматива заработной платы на единицу объема продажи рассчитанного в базовом периоде.
При этом методе рассчитывается условный фонд заработной платы в отчетном периоде по формуле:
(1.9)
где: Vf
- фактический объем продаж.
Разница Fи
и фактического фонда заработной платы составит величину условной экономии заработной платы.
(1.10)
где: Fo
- фактическая величина фонда заработной платы компании за отчетный период.
Условная экономия распределяется в определенных пропорциях между компанией и работниками. Этот метод получил наименование плана Скэнлона и был применен впервые 1954 в США.
Основные недостатки данного метода заключаются в следующем. Экономия по заработной плате определяется в связи с изменением объема продаж. Однако объем продаж может изменяться и под воздействием внешних факторов, не зависящих от усилий работников фирмы, а также из-за изменения доли формах оплаты труда. В то же время остаются проблемы, которые требуют своего решения. К числу их относятся, обоснование распределения дополнительной прибыли между компанией и коллективом, распределение поощрительного фонда заработной платы между подразделениями, распределение дополнительных выплат между работниками.
Многие компании используют сложную структуру дополнительных выплат. Так, например, в Японских фирмах заработная плата включает в себя основную часть, которая формируется первоначально в зависимости от квалификации и образовательного уровня. Каждый год на основе оценок достижений эта часть увеличивается. Дополнительная составляющая заработной платы определяется в зависимость от оценок по различным направлениям: производственные достижения работника, качества работы и т.п. (подробнее оценки будут рассмотрены ниже); доплаты за выполнение определенных функций.
Использование системы оценок для определения дополнительных вознаграждений получило широкое распространение во всем мире. Естественно, каждая фирма, применяющая подобные системы, формирует свой набор оценочных показателей, свою шкалу оценок в зависимости от конкретных условий своей деятельности, категории работников и других факторов.
Все многообразие оценочных показателей можно свести к следующим группам:
1. Знания, профессиональный опыт и их изменения в оцениваемом периоде;
2. Объем выполняемой работы;
3. Качество работы и уровень удовлетворения потребителей, в том числе собственных структурных подразделений.
4. Ответственность за использование материальных ресурсов, оборудование, инструменты.
5. Условия труда: физические и психологические нагрузки, вредность и другие.
6. Необходимость принятия самостоятельных решений.
В Японии традиционно в состав оценочных характеристик дополнительно включаются: умение сотрудничать и работать в коллективе; число поданных рационализаторских предложений.
Введение системы оценок в организацию заработной платы позволит не только оптимизировать процесс ее дифференциации, но и усилить мотивацию работников.
Последовательность работы по организации заработной плата на предприятии представлена на рис.3, где показаны решения задач, объединенных в три крупных блока:
- выбор способа формирования основной заработной плата (блок 1);
- выбор форм оплаты труда (блок 2);
- выбор систем поощрения (блок 3).
В условиях рыночных отношений организация заработной платы на предприятии призвана обеспечивать решение двуединой задачи:
- гарантировать оплату труда каждому работнику в соответствии с результатами его труда и ценой труда на рынке;
- обеспечить работодателю (независимо от того, кто выступает в качестве такового - государство, акционерное общество, частное лицо, или кто-либо другой) достижение в процессе производства такого результата, который позволил бы ему (после реализации продукции на рынке товаров) возместить затраты и получить прибыль.
Тем самым через организацию заработной платы достигается необходимый компромисс между интересами работодателя и работника, способствующий развитию отношений социального партнерства между двумя движущими силами рыночной экономики.
Главными требованиями к организации заработной платы на предприятии, отвечающими как интересам работника, так и интересам работодателя, являются обеспечение необходимого роста заработной платы при снижении ее затрат на единицу продукции и повышение оплаты труда каждого работника по мере роста эффективности деятельности предприятия в целом. Соблюдение этих требований при разработке конкретного механизма оплаты труда побуждает руководителей и специалистов предприятия в максимальной степени использовать имеющиеся научные, технические, организационно-экономические и социальные резервы повышения эффективности производства.
Рис. 3. Последовательность работы по организации заработной платы на предприятии.

Рынок труда, как составная часть рыночной экономики представляет собой систему общественных отношений с согласованными интересами работодателей и наемной рабочей силы. Однако здесь не только переплетаются интересы работника и работодателя при определении цены труда и условий его функционирования, но и как в зеркале отражаются практически все социально - экономические явления, происходящие в обществе. От того, насколько успешно функционирует экономика, в какой фазе экономического цикла она находится, каково поведение основанных субъектов рынка зависит спрос на рабочую силу и ее предложение, а соответственно и уровень безработицы.
В развитии экономики Республики Корея можно выделить несколько периодов. Первый из них охватывает 1948-61 годы, второй с 1961 года до середины 70-х годов, а третий с конца 70-х годов до настоящего времени. В первый период в экономике страны преобладающее положение занимало сельское хозяйство. Второе место в структуре экономике занимала торговля. Наибольшее развитие получила обрабатывающая промышленность, удельный вес которой увеличился в полтора раза и достиг 14,6 % в 1960 году. При этом необходимо отметить, что в структуре обрабатывающей промышленности основное место занимало производство потребительских товаров: помол муки, производство сахара и обработка хлопка. Этот период характеризовался аграрно-сырьевым направлением, низким уровнем развития, отсталой структурой. Он был следствием колониального прошлого, войны 1950-1952 года, раскола страны. На севере страны были сосредоточены основные мощности добывающей и обрабатывающей промышленности.
Внутренний рынок предъявлял спрос преимущественно на конечные изделия, особенно потребительские товары. В этот и частично в последующий период экономическое развитие опиралось на подъем местной промышленности и снижения импорта товаров, которые могли производиться в стране. При импортозамещающей политике предусматривалось опережающее развитие ключевых отраслей, которые через сеть прямых и обратных связей вызывали рост в сопряженных отраслях. Наиболее последовательно данное направление развития стало осуществляться после 1962 года, когда были поставлены задачи достижения независимости экономики, которые решались путем поощрения частной инициативы, внедрения принципов рыночной экономики при содействии государственного аппарата.
Традиционные средства, которые использовал ряд развивающихся стран для повышения уровня экономического развития, Республики Корея не подходили. Она не обладала значительными источниками сырья для увеличения экспортных доходов. Единственный выход был в развитии обрабатывающей промышленности.
Для осуществления индустриализации необходимо было реконструировать существующие отрасли, заложить основы новых капиталоемких производств, расширить и модернизировать промышленную инфраструктуру. Поэтому процесс индустриализации в 60-е годы сопровождался переходом к экспортной модели развития. Роль первопроходца на внешние рынки была отведена текстильной и обувной промышленности.
Создание экспорториентированного производства осуществлялось при сохранении протекционизма на внутреннем рынке. Тем самым стремились достичь положительного сальдо по текущим операциям платежного баланса и высоких темпов роста, которые тормозились небольшими размерами внутреннего рынка.
В результате этого за последние тридцать лет в Корее произошел быстрый экономический рост. С 1963 но 1998 ежегодный средний рост уровня ВНП в реальном выражении составил 9% (таблица 3.). Такие темпы роста реального ВНП были достигну благодаря расширению объема экспорта, который начался после принятия стратегии развития, ориентированной на экспорт. Согласно данным платежного баланса, средне годовой уровень экспорта составил 32,7% за период 1963-1998.
До середины 70-х годов, основной единицей экспорта была продукция трудоемкого текстильного производства. Затем, инициатива перешла к тяжелой и химической промышленности.
Два фактора заставили государство изменить направление производственной политики. Первым был быстрый рост ставки заработной платы. В 70-х годах реальная заработная плата возросла в странах с поздней индустриализацией, но наибольший рост произошел в Корее, что ухудшило сравнительные преимущества Кореи в международной конкуренции.
Другой причиной был все возрастающий протекционизм со стороны передовых индустриальных стран. Одним таким примером стало двухстороннее соглашение между Соединенными Штатами Америки и Кореей о сдерживании текстильного производства в 1971 году, когда экспорт продукции текстильной промышленности и предметов одежды составлял около 40 % от всего объема экспорта Кореи.
Внутренние и внешние барьеры заставили Корею диверсифицировать своих торговых партнеров и усовершенствовать свои предметы экспорта до уровня мировой промышленной продукции. Такие отрасли как судостроение, машиностроение, производство железа, стали, цветных металлов и нефтехимическая промышленность были объявлены стратегическими, и огромное количество финансового стимулирования было проведено с целью поощрения инвестирования в эти отрасли народного хозяйства. Развитие этих отраслей должно было ликвидировать проблему мелкомасштабного производства на внутреннем рынке. Для поддержания тяжелой и химической промышленности, корейское правительство провело ряд прямых инвестиций, а также обеспечило косвенное финансовое содействие частным предприятиям. В дополнение ко всему, некоторые защитные меры, включая тарифные и нетарифные барьеры, были предприняты для обеспечения замещения импорта внутренним производством в этих отраслях. Эта политика поддержки тяжелой и химической промышленности привела к нерациональному использованию ресурсов, вызвала ускорение инфляции и снизила конкурентоспособность корейской экономики.
В связи с этим в начале 80-х годов, сразу после второго нефтяного кризиса 1979 года, правительство провело ряд реформ для того, чтобы достичь высокого уровня экономики со стабильными ценами. С одной стороны государство поддерживало как конкретные производственные отрасли, так и малые фирмы. Наиболее динамичными секторами экономики в современных условиях становятся отрасли вторичного производства, занятые обработкой первичных ресурсов и средних размеров, а с другой были сняты защитные меры с тем, чтобы увеличить иностранную конкуренцию.
Производственная политика вызвала изменения в структурах производства и трудоустройства. Перестройка отраслевой структуры экономики Республики Корея в ходе ее реформирования, изменения в пропорциях и экономических связях отраслей, производств и отдельных предприятий наряду со сдвигами в их специализации, комбинировании и кооперации знаменуют новый этап развития производства, и получением готовой продукции и третичного производства - сферы услуг, в широком понимании этого слова. Именно в сфере услуг производится растущая часть валового национального продукта и сосредотачивается всё большая численность работников. Так, доля первичного производства в ВВП упала с 45,0% (1963) до 10,8% (2008), в то время как доли вторичного и третичного производства за тот же промежуток времени увеличились с 15,65% до 32,3% и с 39,55% до 56,9 % соответственно (таблица 3). Аналогично, внутри производственного сектора тяжелая и химическая промышленность превзошли легкую по степени важности, что стало результатом производственной политики 70-х годов корейского правительства, направленной на развитие этих отраслей (таблица 4).
Таблица 3. Экономическое развитие и структурное изменение экономики.
| Показатели
|
1963
|
1970
|
1990
|
2008
|
| ВНП (US$, млрд.)
|
3,1
|
8,1
|
60,5
|
269,2
|
| Уровень роста
|
9,6
|
7,6
|
4,8
|
12,2
|
| Экспорт (US$, млрд.)
|
0,09
|
0,9
|
17,2
|
130
|
| Уровень роста экспорта (%)
|
58,2
|
34,0
|
17,1
|
29,0
|
| Производственная структура (%)
|
| первичная
|
45,0
|
31,1
|
14,6
|
10,8
|
| вторичная
|
15,5
|
20,4
|
30,9
|
32,3
|
| третичная
|
39,5
|
48,5
|
54,5
|
56,9
|
| Структура занятости (%)
|
| первичная
|
63,1
|
50,4
|
34,0
|
20,6
|
| вторичная
|
8,7
|
14,4
|
22,5
|
28,5
|
| третичная
|
28,2
|
35,2
|
43,5
|
50,9
|
Таблица 4. Структурное изменение в обрабатывающей промышленности.
| Отрасли
|
1960
|
1970
|
2005
|
2000
|
2005
|
2008
|
| Легкая промышленность
|
72,7
|
59,3
|
44,7
|
45,7
|
43,8
|
42,5
|
| Тяжелая и химическая промышленность
|
27,3
|
40,7
|
55,3
|
54,3
|
56,2
|
57,5
|
| ИТОГО:
|
100,0
|
100,0
|
100,0
|
100,0
|
100,0
|
100,0
|
В связи с этим очень значительно изменилась структура занятости населения. Процент занятых в первичном производстве резко сократился с 63,1% (1963) до 20,6% (2007), в то время как во вторичном и третичном производствах за тот же самый период он вырос с 8,7% до 28,5% и с 28,2% до 50,9% соответственно.
Это объясняется тем что, в 60-х годах наблюдалось движение рабочей силы из сельской местности в города, а также из добывающих отраслей промышленности в обрабатывающие отрасли и в сферу услуг. В 70-х годах значительно изменилось движение рабочей силы: теперь переход осуществляется из межотраслевой промышленности в производственный сектор одной отрасли. В 80-х годах наблюдалось перемещение рабочей силы из крупных предприятий на фирмы средних и малых размеров.
Производственная политика также вызвала мощное передвижение рабочей силы из одной отрасли в другую, а также внутри отрасли, что привело к несбалансированному инвестированию между тяжелой и легкой промышленностью. Доля занятого населения и ВВП в легкой промышленности быстро сократились с 1995 года, вследствие производственной политики, которая делала ставку на тяжелую и химическую промышленность.
Трудовая деятельность в тяжелой промышленности позволяла иметь более высокий уровень зарплаты, по сравнению с другими отраслями; стабильную занятость и надежное положение работника; наличие возможностей профессионального роста работника и продвижение его по служебной лестнице; использование прогрессивных технологий, требующих высокой квалификации работников и соответствующего уровня образования. То есть формируется первичный рынок труда со всеми присущими ему чертами. Это в свою очередь делает привлекательными отрасли тяжелой промышленности для трудоустройства, что несомненно сказалось на тенденциях роста занятости.
В таблице 5 показана тенденция роста занятости в обрабатывающей промышленности за период 1972-2005. Занятость, в текстильной, кожной и швейной промышленностях росла до середины 70-х годов, но после этого подобный рост наблюдался лишь в автомобилестроении, машиностроении и в производстве оборудования, как в наиболее привлекаемых отраслях.
Правительственная политика по расширению производственных мощностей, осуществляемая через симулирование быстро растущих фирм в 70-х годах, привела к появлению нескольких крупных предпринимательских группировок, так называемых «chaebols», корейских аналогов японским «zaibatsu». Более сложной, развитой и гибкой становится вся сфера организационно-экономических отношений. Складываются единые национальные производственные комплексы, основными элементами которых являются не отдельные отрасли, а межотраслевые образования; машиностроительный, топливоэнергетический, транспортный и другие комплексы подобного рода.
Таблица 5. Изменения в системе трудоустройства по отраслям обрабатывающей промышленности за период 1982-2005.
| Наименование отраслей
|
1982
|
2005
|
2005
|
| Пищевая промышленность
|
14,1
|
8,3
|
7,1
|
| Текстильная, производство одежды
|
32,3
|
31,6
|
25,0
|
| Лесная промышленность
|
4,6
|
3,0
|
1,5
|
| Бумажная, полиграфическая, издательская промышленность
|
5,9
|
4,6
|
4,8
|
| Химическая промышленность
|
11,5
|
13,2
|
9,5
|
| Производство неметаллической продукции
|
4,6
|
4,5
|
4,7
|
| Производство неблагородных металлов
|
2,8
|
4,2
|
4,1
|
| Металлоизделия, машиностроение, производство оборудования
|
17,7
|
26,8
|
43,2
|
В составе межотраслевых комплексов значительное развитие получают технически оснащенные средние и мелкие предприятия, способные быстро переходить к выпуску новых изделий, выполнять индивидуальные заказы. При этом отличительной чертой корейских конгломератов от японских, немецких и других стран является то, что они имеют свою базу не только в производственной сфере, но их влияние также распространилось и на финансовые структуры, такие как страхование, банковское дело и брокерские операции с ценными бумагами. Они осуществляли операции на нескольких рынках и диверсифицировали свой бизнес для того чтобы иметь возможность получать более субсидированные банковские займы и уменьшить неопределенность в инвестировании. Система нормирования банковских займов, с помощью которой происходило перераспределение наличных фондов в соответствии с размерами капитала каждого дебитора, побудила владельцев конгломератов создать дочерние компании в различных отраслях промышленности. За период 1987-2005 количество фирм, принадлежащих тридцати крупнейшим конгломератам, увеличилось с 304 до 608 в общем производственном секторе.
Конгломераторы организовывали свое производство во всех отраслях, начиная с трудоемкой текстильной промышленности и заканчивая капиталоемким и высоко технологичным производством. Также, они косвенно принимали участие в некоторых предприятиях, и конкурировали между собой на различных рынках. Конгломераты заняли доминирующее положение на рынке в отношении объемов производства и уровня занятости на их предприятиях, таким же способом, как и в отношении банковских кредитов, и установили собственное ограничение на число нанимаемых работников. Они привлекали высококвалифицированную рабочую силу тем, что предоставляли более привлекательные возможности в отношении пожизненного заработка.
Большое влияние на рынок труда в Республике Корея в этот период времени оказал демографический фактор. Демографические процессы воспроизводства населения составляют как бы естественную основу его потребности в рабочих местах. В исследовании этого аспекта центральное место занимает возрастно-половая структура населения как основа количественных и качественных изменений в предложении труда. Существуют достаточно устойчивые профессионально- отраслевые ориентиры и предпочтения отдельных возрастно-половых групп населения. Так, в Республики Корея мужчины, особенно в молодом возрасте, сориентированы на работу в финансовой, коммерческой, индустриальной сферах труда. Женщины больше тяготеют к отраслям и профессиям, которые являются продолжением их повседневных домашних работ - сфера услуг, торговле и общественному питанию, легкой промышленности.
Если с 1995 по 2005 год население Республики Корея возросло с 15,4 миллионов человек до 29,6 миллионов человек, то в то же время экономически активное население Республики Корея увеличилось с 8,7 миллионов человек до 17,3 миллионов человек (таблица 6). Общий показатель производственной активности постепенно возрастал. Несмотря на то, что мужской показатель производственной активности стабильно падал, в основном из-за того, что резко снизилось число работающих в возрасте 15-24 лет, в то же время женский показатель последовательно рос. Показатель производственной активности по Корее в 2005 году составил 58,5 %, что ниже, чем ППА США (63,2%). Число безработных оставалось на уровне 0,4-0,7 миллионов человек, но уровень безработицы упал с 7,35% (1995) до 2,5% (2005), в связи с появлением возможностей для трудоустройства в результате экономического развития.
Таблица 6. Производственная активность населения (ППА).
| Показатели
|
1995
|
1980
|
1995
|
1990
|
2000
|
2005
|
| Все население (А)
|
15,367
|
17,486
|
20,918
|
24,463
|
27,553
|
29,602
|
| Экономически активное население (В)
|
8,754
|
10,062
|
12,193
|
14,431
|
15,592
|
17,305
|
| Занятое население (С)
|
8,112
|
9,617
|
11,692
|
13,683
|
14,970
|
16,870
|
| Безработные (D)
|
642
|
445
|
501
|
748
|
622
|
435
|
| ППА (В/А)
|
57,0
|
57,5
|
58,3
|
59,0
|
56,6
|
58,5
|
| Мужской ППА
|
78,9
|
77,9
|
77,4
|
76,4
|
72,3
|
72,9
|
| Женский ППА
|
32,2
|
39,3
|
40,4
|
42,8
|
41,9
|
45,0
|
| Уровень безработицы D/B
|
7,3
|
4,4
|
4,1
|
5,2
|
4,0
|
2,5
|
Количество рабочих часов в неделю, которое является важным фактором, влияющим на предложение рабочей силы, в Корее было стабильным за период с 1980 по 2007, кроме некоторых изменений во время циклов экономической активности.
Таким образом, число работающих в Корее, быстро выросло за последние десятилетия. Однако, предложение дешевой рабочей силы, имеющейся в изобилии, не было неисчерпаемым. Таким образом, корейский рынок труда уже пережил переломный момент.
Существует доказательство того, что экономика перешла через этот поворотный момент в отношении избытка предложения рабочей силы приблизительно в 1995 году.
История свидетельствует, что во всех странах на определенном этапе общественного развития возникают профессиональные объединения трудящихся.
Возникновение профсоюзов вызывается ростом численности лиц наемного труда, концентрацией наемных работников на крупных предприятиях под знаком необходимости их объединения для защиты своих интересов. Осознав такую необходимость, работники делают попытки объединения. Простейшей наиболее доступной формой объединения становятся профсоюзы.
Наемные работники создают свои общественные, как правило, профессиональные объединения для того, чтобы их лидеры (обычно это люди более экономически грамотные и подготовленные) отстаивали их экономические интересы всеми законными способами.
В свою очередь, экономические интересы наемных работников жестко зависят от характера их профессии. Для рыночных отношений характерно не только разделение работников и работодателей, но и разграничение первых на относительно замкнутые самостоятельные группы, связанные с какой-либо профессией, существенно различающиеся по условиям труда и уровню зарплаты. Кроме того, система наемного труда и безработица предполагают конкуренцию не только среди предпринимателей, но и среди самих работников, что раскалывает их ряды, делает каждого из них по отдельности более зависимым от работодателя. Это служит мощным стимулом для профессионального объединения работников и снижает конкуренцию между ними.
В связи с этим наиболее важным изменением на корейском рынке труда в последнее время стал подъем рабочего движения. Число конфликтов рабочих, зарегистрированных на 29 июля 1987 года, было беспрецедентным; что серьезно влияет на корейскую экономику в целом. Наряду с переломным моментом, который корейский рынок труда пережил в середине 70-х годов, некоторые можно также выделить второй переломный момент, который возник в результате политической демократизации, объявленной 29 июля 1987 года. В то время как первый - был основан на предложении рабочей силы, второй - был вызван политическими аспектами во взаимоотношениях управляющего персонала и работников.
При этом политика корейского правительства в области трудовых отношений всегда выражалась в прямом вмешательстве государства, по крайней мере, так было до лета 1987 года, а рабочее движение всегда подавлялось. До 1987, в Корее практически не было забастовок, коллективные рабочие организации (профсоюзы) запрещались законом. Причиной тому было стремление укрепить конкурентоспособность в торговле и поддержать благоприятную среду для инвестиций путем сдерживания высокого уровня инфляции и сохранением нормальных взаимоотношений между управляющим персоналом и работниками.
Однако в связи с политической демократизацией 1987 контроль над этой сферой прекратился. С 1987 года начались открытые требования рабочих, направленные на увеличение ставки заработной платы.
Другой вид вмешательства государства - это ограничение на временное увольнение, накладываемое трудовым законодательством. Это ограничение и было причиной такою большого количества рабочих часов в Корее. В таблице 7 показано, что среднее количество рабочих часов в Корее сокращается. Но, тем не менее, оно в 1,26 раз больше, чем в Германии, в 1,22 больше чем в США и Японии по данным на 1990 год. Среднее количество рабочих часов в Корее также больше, чем в Сингапуре и Тайване, которые являются основными конкурентами Кореи в торговле.
Наряду с политической демократизацией 1987 года резко изменилась и политика корейского государства в области трудовых отношений. После прекращения государственного вмешательства в трудовые конфликты, прокатилось волна забастовок, что серьезно пошатнуло конкурентоспособность корейской экономики.
Таблица 7. Среднее количество рабочих часов в неделю в обрабатывающей промышленности в некоторых странах.
| Годы
|
Страны
|
| Корея
|
Япония
|
Сингапур
|
Тайвань
|
США
|
Германия
|
| 2005
|
53,7
|
41,0
|
48,7
|
48,5
|
39,8
|
41,1
|
| 2000
|
49,8
|
40,8
|
48,5
|
46,6
|
40,8
|
39,5
|
Забастовочное движение, как правило, возглавляют профсоюзы, которые в последние годы все более активную роль играют в рабочем движении. Профсоюзы были организованы на базе предприятий, а низовые профсоюзные организации в каждой отрасли сформировали единое производственное профсоюзное объединение. В 1998 году уже было сформировано 21 профсоюзное объединение. В том же году существовало 6.143 низовых профсоюзных организаций.
За период 1980-1988, число членов профсоюзов достигло одного миллиона человек, но позже эти цифры значительно сократились, во многом из-за поправки к закону о профсоюзах, принятой в декабре 1990 года (таблица 8). К концу 2007, число членов профсоюзов возросло до 1,7 миллионов человек, а количество предприятий, на которых были организованы профсоюзные организации, составили 22% от общей их численности.
Уровень количества организаций, в которые вступали мужчины, был выше, чем уровень количества организаций, в которые вступали женщины.
В 2007 году вследствие демократизации резко возросло количество трудовых конфликтов. До этого времени, в год происходило лишь около 100-200 трудовых конфликтов. В 1980 во время политического кризиса, связанного со смертью президента, было зарегистрировано 407 случаев трудовых конфликтов. В 2007, после объявления демократизации 29 июля, их количество резко возросло до 3749.
Таблица 8. Тенденции развития профсоюзного увеличения в Республике Корея.
| Годы
|
Число членов профсоюзов (тыс. чел)
|
Число работающих на предприятиях (тыс. чел.)
|
Уровень количества организаций %
|
| Общее число
|
Число мужчин
|
Общее Число.
|
Число . мужчин
|
Общее число
|
Мужские организации
|
| 1980
|
479
|
358
|
2363
|
1779
|
20,2
|
20,1
|
| 2005
|
750
|
509
|
3258
|
2377
|
23,0
|
21,4
|
| 2006
|
846
|
559
|
3630
|
2575
|
23,3
|
21,7
|
| 2007
|
955
|
635
|
3922
|
2801
|
24,3
|
22,7
|
| 1998
|
1055
|
697
|
4389
|
3051
|
24,0
|
23,6
|
| 1999
|
1088
|
724
|
4609
|
3174
|
23,6
|
22,8
|
| 2000
|
948
|
600
|
4728
|
3251
|
20,1
|
18,5
|
| 2001
|
967
|
628
|
4946
|
3393
|
19,6
|
18,5
|
| 2002
|
984
|
653
|
5160
|
3505
|
19,1
|
18,6
|
| 2003
|
1010
|
673
|
5594
|
3773
|
18,1
|
17,8
|
| 2004
|
1011
|
684
|
6031
|
4142
|
16,8
|
16,6
|
| 2005
|
1004
|
692
|
6397
|
4345
|
15,7
|
15,9
|
| 2006
|
1036
|
725
|
6666
|
4472
|
15,5
|
16,2
|
| 2007
|
1267
|
900
|
7316
|
4867
|
17,3
|
18,5
|
| 2008
|
1707
|
1232
|
7772
|
5153
|
22,0
|
23,9
|
| 2009
|
1932
|
1402
|
8270
|
5402
|
23,7
|
26,0
|
Наибольшая доля конфликтов приходится на обрабатывающую промышленность, машиностроение и металлообработку, производство электроэнергии и электроприборов (таблица 9). При этом число трудовых конфликтов в легкой промышленности сократилось, в то время как в тяжелой и химической наоборот возросло. Основная масса трудовых конфликтов происходит на крупных фирмах. Так, на протяжении 2008 года 43,0% крупных фирм (всего их было около 91,000) пережило трудовые конфликты, в то время как на мелких предприятиях их возникало гораздо меньше (1,2%).
Обращаясь к причинам трудовых конфликтов, надо сказать, что до 2005 года основными причинами их были невыплаты заработной платы, но позже рабочие стали требовать повышения заработной платы и улучшения условий труда (таблица 10). Следует отметить, что наиболее распространенными формами выражения недовольства были отказ от работы и устройство забастовок на рабочем месте (таблица 11).
Таблица 9. Рабочие стачки в различных отраслях промышленности.
| Отрасль
|
Годы
|
| 2007
|
2008
|
2009 (1-2 кв.)
|
| Число случаев
|
Процент от общего числа
|
Число случаев
|
Процент от общего числа
|
Число Случаев
|
Процент от общего числа
|
| Обрабатывающая
|
1955
|
52,1
|
801
|
42,8
|
114
|
64,0
|
| в т.ч. химическая
|
87
|
2,3
|
72
|
3,8
|
1
|
0,6
|
| машиностроение и металлообработка
|
598
|
15,9
|
244
|
13,1
|
31
|
17,4
|
| Производство электроэнергии и электроприборов
|
253
|
6,7
|
136
|
7,3
|
26
|
14,5
|
| Текстильная
|
271
|
7,2
|
68
|
3,6
|
17
|
9,6
|
| Другие
|
751
|
20,0
|
281
|
15,0
|
39
|
21,9
|
| Транспорт
|
1365
|
36,4
|
811
|
43,3
|
24
|
13,5
|
| Добывающая
|
135
|
3,6
|
44
|
2,3
|
8
|
4,5
|
| Прочие
|
394
|
7,9
|
217
|
11,6
|
32
|
18,0
|
| Общее число
|
3749
|
100,0
|
1873
|
100,0
|
178
|
100,0
|
Таким образом, корейские трудовые конфликты имеют следующие характеристики: во-первых, они были вызваны недостаточной защитой прав рабочих, так, например, существовали невыплаты заработной платы и несправедливая система оплаты труда. Во-вторых, большинство этих стачек были нелегальными, так как законом эта форма протеста не оговаривалась.
Необходимо отметить то, что структура заработной платы имеет большое значение, частично из-за того, что она влияет на распределение человеческих ресурсов, и частично из-за того, то она является частью структуры издержек всей экономики. В дополнение ко всему, она является важным фактором в определении структуры дохода. Из всех этих выполняемых ею функций, зарплате, как фактору издержек, уделялось большее внимание, в то время как концепция зарплаты, как фактор дохода, оставалась в тени. Это стало следствием стратегии развития экономики, ориентированной на экспорт.
Таблица 10. Причины рабочих конфликтов.
| Причины конфликтов
|
Годы
|
| 1990-99
|
2001-05
|
2006-08
|
| Число случаев
|
Процент от общего числа
|
Число случаев
|
Процент от общего числа
|
Число случаев
|
Процент от общего числа
|
| Невыплата заработной платы
|
419
|
51,1
|
230
|
30,7
|
152
|
2,6
|
| Требование повысить зарплату
|
181
|
22,1
|
166
|
22,1
|
3650
|
61,9
|
| Закрытие предприятия
|
20
|
2,4
|
38
|
5Д
|
42
|
0,71
|
| Недовольство условиями труда
|
31
|
3,8
|
127
|
16,9
|
750
|
12,7
|
| Сокращение производства
|
19
|
2,3
|
44
|
5,9
|
195
|
3,3
|
| Несправедливая система труда
|
150
|
18,3
|
145
|
19,3
|
1190
|
18,8
|
| Общее число
|
820
|
100
|
750
|
100
|
5898
|
100
|
Существовали споры по поводу того, что низкий уровень заработной платы в Корее определялся малой производительностью и слабостью профсоюзов. Но после пересечения двух переломных моментов и ревальвации волны, стал быстро расти уровень ставки заработной платы (таблица 12). Общий объем выплат заработной платы составил 393 тысяч вон, объем же выплат в производственной сфере был равен 346 тысяч вон в 2008.
Однако, по сравнению с уровнем заработной платы в Японии (2487 USS) и Тайвани (589 US$), на основании среднего показателя обменного курса валюты 1988 уровни заработной платы в Корее были ниже.
Как было отмечено ранее, до 1987 года влияние профсоюзов на определение ставки заработной платы было слабым, поскольку правительство всячески подавляло их деятельность. Размеры заработной платы определялись «сверху», что и стало причиной таких низких окладов.
Необходимо выделить характерные особенности корейской системы заработной платы. Во-первых, доля регулярных выплат от общих платежей сравнительно мала. Другими словами, существенная часть зарплаты выплачивается в форме надбавки. В дополнение ко всему, цель, с которой выплачиваются эти надбавки, до конца не ясна. Следовательно, соотношение между затраченными усилиями и вознаграждением является спорным. Во-вторых, размер регулярных выплат в первую очередь определяется такими критериями как пол, возраст и уровень полученного образования, и в большинстве случаев не зависит от характеристик самой работы и от качества ее выполнения. Вот почему в Корее велика разница в заработной плате, которая зависит or уровня образования и от пола человека.
Таблица 11. Типы рабочих конфликтов.
| Период
|
Отказ от работы
|
Забастовки на работе
|
Демонстрация
|
Другие виды
|
Общее число
|
| 2006-99
|
316
|
348
|
72
|
84
|
820
|
| 2001-05
|
387
|
283
|
47
|
33
|
750
|
| 2006
|
138
|
112
|
21
|
5
|
276
|
| 2007
|
1226
|
2428
|
88
|
7
|
3749
|
| 2008
|
675
|
1178
|
5
|
15
|
1873
|
| 2009
|
632
|
898
|
1
|
85
|
1615
|
Корейский рынок труда включает развитые внутренние рынки труда, для которых характерен высокий уровень внутрифирменных инвестиций в человеческий капитал, сопровождаемой системой «пожизненного найма» для значительной части работников крупных фирм.
Исследуемый период с 1980 по 2005 годы охватывает все наиболее крупные события, происходящие в Корейской экономике в XX веке, и позволяет выявить основные тенденции в системе оплаты труда и ее дифференциацию в Корее.
Исследование различий в заработной плате по отдельным категориям работников невозможно рассмотреть без анализа общих тенденций изменения заработной платы. За период с 1980 по 2005 годы фактическая производительность труда на единицу затраченного времени возрастала в среднем на 11,4% в год, в то время как реальная заработная плата увеличилась в среднем за год лишь на 9,5. Однако, как видно из таблицы 13 в исследуемом периоде эти изменения не были последовательны.
В середине 70-х годов в стране были осуществлены крупные инвестиции в тяжелую и химическую промышленности. В результате возрос спрос на квалифицированных рабочих и специалистов с высшим образованием. Произошло отклонение фактических ставок оплаты труда от расчетной величины заработной платы, устанавливаемой в тот период Корейским правительством. Третий пятилетний период характеризовался тем, что национальная экономика в связи со вторым нефтяным кризисом испытывала большие трудности.
Определенные перспективы план намечает в исследованиях в области аэронавтики и космических технологий. Доля затрат на научные исследования достигла 2,7% ВВП, что соответствует уровню затрат ведущих мировых держав. Большинство ассигнований направляются на разработки прикладного характера.
Необходимо отметить, что рост производительности труда на предприятии может быть в значительной мере обусловлен замещением живого труда работой автоматических станков. При этом, если учитывать только затраты живого труда, то будет отмечен существенный рост показателя производительности, но при этом будет проигнорирован тот факт, что этот выигрыш в большей степени компенсируется затратами, связанными с автоматизацией производственного процесса.
Следовательно, производительность труда - это отношение, количества продукции, изготовленной хозяйствующим субъектом за определенный период времени, к величине затрат живого и овеществленного труда.
На производительность труда непосредственное воздействие оказывают такие факторы как технический прогресс, фондовооруженность, количество и качество рабочей силы, эффективность управления производственным процессом.
По оценке корейских и зарубежных специалистов две трети прироста производительности труда обеспечиваются за счет научно-технического прогресса. Научно-технический прогресс включает в себя не только совершенно новые методы производства, но также и новые формы управления и организации производства. На практике научно-технический прогресс тесно взаимосвязан с инвестициями, так как технический прогресс влечет за собой инвестиции в новые машины и оборудование.
В развитии корейской экономики и приобщении страны к достижениям научно-технического прогресса немаловажную роль играло заимствование иностранной технологии. На этот путь страна встала с началом программы индустриализации. Как правило, закупки оборудования за границей сопровождались получением прав использования технологических процессов. При слабом развитии национальной науки привлечение из-за рубежа передовой технологии способствовало созданию новых производств и модернизации действующих.
По мере повышения уровня индустриализации постепенно увеличивалось развитие собственных научных исследований. За период с 1960 по 1980 год расходы на эти цели увеличились с 0,25 до 0,58% ВВП.
В 1987 году министерство науки и технологии разработало 15-летний план, определивший основное направление научно-технической политики государства.
Дальнейшая детализация исследования тенденций в производительности труда и заработной платы предполагает рассмотрение отраслевых особенностей этого процесса. Статистические данные и наша их обработка приведены в таблице 14, наименование отраслей приведены в соответствии с действующей системой их кодификации в Республике Корея.
Таблица 14. Годовой уровень роста производительности руда и реальной заработной платы по отраслям промышленности (1982-2005) (%).
| Отрасли экономики
|
Производительность (А)
|
Реальная заработная плата (В)
|
(А/В)
|
| Пищевая промышленность
|
9,9
|
7,7
|
1,29
|
| Текстильная и кожевенная
|
8,0
|
1,46
|
| Лесная и мебельная промышленность
|
8,2
|
7,7
|
1,06
|
| Бумажная и печатная промышленность
|
9,7
|
7,7
|
1,29
|
| Нефтехимическая промышленность и производство пластических материалов
|
8,8
|
7,7
|
1,14
|
| Добыча неметаллических полезных ископаемых
|
7,9
|
8,7
|
0,91
|
| Неблагородные металлы
|
13,1
|
7,5
|
1,75
|
| Металлообработка, машиностроение и производство оборудования
|
16,6
|
7,5
|
2,21
|
По данным, приведенным в таблице 14 был рассчитан коэффициент опережения темпов роста производительности труда над темпами роста заработной платы за период с 1980 по 2005 год в среднегодовом исчислении. Коэффициент опережения варьируется в довольно широком диапазоне, отражая различные подходы в политике заработной платы в отдельных отраслях национальной экономики. Единственной отраслью, где коэффициент опережения оказался меньше единицы (0,91), то есть темпы роста производительности труда были ниже, чем темпы заработной платы оказалась добыча неметаллических полезных ископаемых. Наивысший коэффициент (2,21) зафиксирован в отраслях металлообработки и машиностроения. Таким образом, коэффициент опережения варьируется от 0,91 до 2,1, отражая тем самым и различия в политике инвестирования, осуществляемой с участием правительства в различных отраслях и секторах национальной экономики.
Следующим объектом нашего исследования стали различия в заработной плате на предприятиях разного размера. Основной критерий для распределения компаний по группам в зависимости от масштаба, принятый в корейской статистике - количество работающих в фирме. Обработка статистических данных по заработной плате на предприятии различных размеров сведены в таблицу 15.
Отсутствие сведений о заработной плате по крупным предприятиям в 1982 связан с процессом концентрации производства в экономике Кореи, который отражен во второй главе. До настоящего исследования существовали споры, о том действительно ли на крупных предприятиях заработная плата выше, чем на мелких. Наши расчеты убедительно подтверждают этот факт, для фирм с численностью 500 и более человек. Но следует отметить, самая низкая заработная плата оказалась не на самых мелких предприятиях с численностью работников от 10 до 29 работников, а в другой группе компаний, где численность составила от 30 до 99 работников. В 2001 году размер заработной работников в этой группе составил лишь 70,7% от оплаты труда в крупнейших компаниях, хотя в предыдущем периоде соотношения в оплате труда между первой и второй группой компаний было другим.
Таблица 15. Дифференциация заработной платы на предприятиях разных масштабов и тенденции времени (1972-1991) (%).
| Компании с количеством работающих
|
1982
|
1992
|
2001
|
| 10-29 работников
|
69,5
|
88,2
|
81,5
|
| 30-99 работников
|
90,8
|
94,2
|
70,7
|
| 100-299 работников
|
100
|
86,7
|
81,5
|
| 300-499 работников
|
-
|
90,5
|
87,98
|
| 500 и более человек
|
-
|
100,0
|
100,0
|
За период с 1982 по 2001 год дифференциация заработной платы в зависимости от масштабов предприятий несколько уменьшилась, но этот процесс не был последовательным. В первое десятилетие четко прослеживалась тенденция к снижению различий в оплате в компаниях, однако, в последующем десятилетии процесс приобрел обратный характер и разрыв в оплате стал увеличиваться.
Как уже отмечалось выше, в конце первого десятилетия был осуществлен ряд правительственных стабилизационных мер, которые способствовали выравниванию в оплате труда. Однако, демократизация общества в 2007 году усилила роль профсоюзов, имеющих наибольшее влияние в крупных компаниях. Наиболее существенным результатом деятельности профсоюзов в крупных компаниях явилась обязательная выплата сверхурочных. Крупные компании имеют также возможность выплачивать более значимые годовые надбавки, которые превышают по размеру в несколько раз подобные выплаты в мелких предприятиях. Годовая надбавка выплачивается из прибыли и ставится в прямую зависимость от результатов деятельности предприятия: рентабельности и величины прибыли. С одной стороны это заинтересовывает наемных работников в повышении производительности труда, в экономии энергии и всех видов материальных ресурсов, а с другой - приносит дополнительную прибыль собственникам, что в свою очередь является важным условием дальнейшего развития производства.
Таблица 16 Дифференциация заработной платы по компонентам оплаты (данные на 2001).
| Компоненты заработной платы
|
Группы предприятия
|
| Группа I (10-29)
|
Группа II (30-99)
|
Группа III (100-299)
|
Группа IV (300-499)
|
Группа V (500 -)
|
| Общие выплаты
|
100,0
|
102,3
|
106,8
|
114,7
|
120,0
|
| Регулярные выплаты
|
100,0
|
97,8
|
98,6
|
103,7
|
108,5
|
| Оплата сверхурочных
|
100,0
|
173,7
|
237,2
|
290,4
|
302,3
|
| Годовая надбавка
|
100,0
|
120,4
|
160,6
|
230,4
|
263,0
|
Основной целью создания и внедрения различных систем коллективного премирования, в виде годовых надбавок, является мобилизация усилий коллективов наемных работников на повышение эффективности производства. Таким образом, именно оплата сверхурочных и годовая надбавка (как это видно из таблицы 16) стали основной причиной различий в оплате труда работников в зависимости от масштаба предприятия.
Однако, разница в заработной плате, выплачиваемой фирмами различных размеров, является наиболее распространенным явлением лишь для мужчин. Величина заработной платы, выплачиваемой ежемесячно на крупных предприятиях (500 и более человек) для мужчин составляет 132,1, в то время как женщины получают лишь 108,3 (таблица 17).
С точки зрения разницы в заработной плате у людей с неодинаковыми специальностями, то на крупных предприятиях она самая большая у работников в сфере обслуживания (175,6) и у администраторов и менеджеров (166,2), в то время как у производственных рабочих разница минимальна. Все это, позволяет сделать вывод, что крупные фирмы являются более притягательны, для желающих устроится на работу.
Таблица 17. Дифференциация заработной платы по половому признаку и в зависимости от специальности на фирмах разных размеров.
| Показатели
|
2000
|
2006
|
2007
|
2008
|
| Мужчины
|
-
|
113,9
|
-
|
132,1
|
| Женщины
|
-
|
94,5
|
-
|
108,3
|
| Лица свободной профессии и технических специальностей
|
142,1
|
126,4
|
129,4
|
127,6
|
| Администраторы и менеджеры
|
156,7
|
141,0
|
144,4
|
166,2
|
| Служащие
|
140,4
|
127,1
|
129,8
|
141,5
|
| Работники торговой сферы
|
126,7
|
129,3
|
131,7
|
129,3
|
| Работающие в сфере услуг
|
141,5
|
142,5
|
139,1
|
175,6
|
| Производственные рабочие
|
111,4
|
105,4
|
107,3
|
124,8
|
Наряду с системой годовых надбавок крупные предприятия широко используют также систему «пожизненного найма», которая закрепляется трудовым законодательством. Для многих компаний гораздо дешевле создать дополнительные производственные мощности, чем производить сокращения работников. При сокращении рабочей силы фирма должна обеспечить сокращенного в течении нескольких лет пособиями в размере прежней заработной платы, оплачивать в течении двух лет его детей в школе и т.п.
Следовательно, в результате применения указанных систем годовой надбавки и пожизненного найма работники предприятия приближаются к решению текущих, а иногда и стратегических задач, при этом смягчается социальная напряженность, вызванная имущественным неравенством. Таким образом, новые распределительные системы имеют не только экономическое, но и политическое значение.
Следующее направление анализа в данном параграфе является выявление влияния на дифференциацию заработной платы таких факторов как уровень образования, пол, возраст, должность - то есть то, что, мы называем индивидуальными характеристиками человека. Если за рубежом в развитых странах эти показатели (личностные характеристики) выступают главными определяющими моментами в дифференциации заработной платы, то на рынке труда Кореи эти тенденции не столь очевидны. В графической интерпретации тенденции в различии заработной платы можно изобразить в виде перевернутой английской буквы «U» (согласно анализу, проведенного Ли в 1993 году). Дифференциация достигла своего апогея в 70-х годах. Однако, до конца остается не выясненным вопрос - какие факторы определяют дифференциацию заработной платы в наибольшей степени: принадлежность работника к той или иной отрасли, размеры предприятия, место расположения компании или же индивидуальные характеристики работника. Оживленная дискуссия по этому вопросу была в 1984 между Пак СИ. и Пак Х.И. на страницах корейских научных изданий.
В нашем исследовании мы предприняли попытку подробнее разобраться в существующей проблеме. Проводя подобный анализ, следует иметь ввиду то обстоятельство, что показатели, отражающие различия в заработной плате, формируются под влиянием не одного какого-либо фактора, а под воздействием иногда целого их комплекса. В подобных случаях прибегают к методу декомпозиции, который мы рассматривали в первой главе.
В рамках данного параграфа мы уделим внимание исследованию влияния личностных характеристик на процесс дифференциации заработной платы в национальной экономике Кореи. Наиболее существенными, на первый взгляд, представляются различия в заработной плате по половому признаку, данные, о которых представлены в таблице 18.
Таблица 18. Соотношение мужской и женской заработной платы в Республике Корея.
| Специальность
|
1976
|
1988
|
1990
|
2000
|
2006
|
2007
|
| Лица свободной профессии и технических специальностей
|
66,7
|
60,3
|
63
|
72,9
|
66,0
|
49,4
|
| Работники административной и управленческой сфер
|
54,6
|
73,4
|
82,5
|
84,7
|
85,9
|
79,1
|
| Служащие
|
42,3
|
47,1
|
48,1
|
49,0
|
50,6
|
51,7
|
| Работники торговых предприятий
|
44,3
|
53,0
|
67,3
|
53,0
|
48,3
|
49,9
|
| Работающие в сфере услуг
|
69,1
|
60,5
|
64,5
|
61,7
|
64,2
|
64,5
|
| Производственные рабочие
|
53,4
|
50,7
|
48,6
|
49,7
|
52,7
|
54,4
|
Такая ярко выраженная дифференциация по половому признаку естественно отражает дискриминацию женщин на рынке труда. Женщины, как правило, получают более низкооплачиваемую работу, имеющую постоянный характер, либо участвуют в семейном бизнесе на второстепенных ролях. Однако, следует учесть тот факт, что традиционно женщины в Корее имеют более низкий образовательный уровень и производительность труда у них ниже, чем у мужчин. Проведенные в 1984 году исследования этого феномена (Пак С.Х.) методом декомпозиции показали, что в основном существующие различия по половому признаку обусловлены разницей в производительности труда мужчин и женщин. Этот фактор в совокупном влиянии составил 68,5%, и лишь 31,5% объясняются дискриминацией на рынке труда. В тоже время, существующие в стране тенденции на рынке труда показывают возрастающую роль женщин в Корейской экономике, рост их экономической активности (таблица 19).
Доля работающих женщин увеличилась до 44,7% в 2005 с 28,3% в 1982 году, и отношение числа работников - женщин к общему числу занятых в несельскохозяйственном секторе возросла до 39,3% (2005) с 30,8% (1982). Они стали работать как в сферах, требующих низкую квалификацию, так и на трудоемких производствах.
Таблица 19. Доля работающего женского населения в несельскохозяйственном секторе (1982-2005).
| Показатели
|
1982
|
1992
|
2005
|
| Работающее женское население
|
28,3
|
38,5
|
44,7
|
| Процент работающего женского населения
|
30,8
|
36,8
|
39,3
|
Такая же существенная дифференциация заработной платы как по половому признаку присутствует в материальном стимулировании в зависимости от иерархии рабочих мест и специальности работника. Сравнительные характеристики по этому признаку приведены в таблице 20.
В Корее, работники административной и управленческой сфер получают гораздо большую заработную плату, чем производственные рабочие. Если среднее значение заработной платы производственного рабочего составляет 100,0, то управленцы и администраторы получают 267,4, лица свободной профессии и технических специальностей - 183,3, служащие - 126,6, работники торговых предприятий - 107,2, работающие в сфере услуг - 93,2 по данным на 2005 год (таблица 20). Согласно анализу, разница в заработной плате у людей с разным образованием сокращается. Среднее значение заработной платы у работников управленческой и административной сфер по отношению к производственным рабочим в 1995 г. было равно - 451,2, а затем резко сократилось до 257,4 к 2005 году. Очень интересная особенность: общие месячные выплаты производственным рабочим выше, чем выплаты служащим, хотя обе категории работников обладают одинаковым образованием. Это стало следствием сверхурочных пособий, которые получают производственные рабочие.
Профессионально-квалификационная структура и уровень квалификации работников в огромной мере зависят от уровня общего образования. Высокая общеобразовательная подготовка создает прочную основу для роста не только производственной квалификации, но и производственной и общественной активности работников.
Высокотехнологическое автоматизированное производство создает благоприятные возможности для творческого, интеллектуального насыщенного труда, порождая, таким образом, новый тип квалифицированного рабочего, приближающегося по своему развитию, общему и профессиональному образованию к техническому специалисту.
Таблица 20. Различия в заработной плате у людей с разных специальностей.
| Специальности
|
1985
|
1990
|
1995
|
2000
|
2005
|
| Все специальности
|
131,0
|
127,6
|
126,9
|
123,8
|
119,3
|
| Лица свободной профессии и технических специальностей
|
256,6
|
225,1
|
205,6
|
209,1
|
193,3
|
| Работники административной и управленческой сфер
|
451,2
|
370,4
|
300,7
|
288,9
|
267,4
|
| Служащие
|
200,7
|
149,9
|
137,1
|
132,2
|
126,6
|
| Работники торговых предприятий
|
119,1
|
92,0
|
120,7
|
112,3
|
107,2
|
| Работающие в сфере услуг
|
101,4
|
97,6
|
92,7
|
91,6
|
93,2
|
| Производственные рабочие
|
100,0
|
100,0
|
100,0
|
100,0
|
100,0
|
Изменяется социальный и профессиональный облик рабочего. Существенно раздвигаются границы его компетентности. Человек перестает быть придатком машины и фактически поднимается на более высокую ступень, управляя системой высокоэффективных машин. Новые профессии раздвигают жесткие рамки узкой специализации и требуют от рабочего разносторонних знаний и способностей для решения быстро изменяющихся сложных производственных задач.
Таким образом, рабочие кадры в условиях технологических нововведений должны обладать разносторонними техническими и научными знаниями, умением инициативно действовать, должны быть готовыми к освоению новых видов продукции, технологии, оборудования, профессии и места работы.
В свою очередь специалисты должны обладать фундаментальными знаниями, которые бы позволяли бы эффективно решать задачи развития стратегических направлений научно-технического прогресса.
Следующим важным требованием, предъявляемым к кадрам специалистов, является постоянная готовность к самообучению и пополнению знаний, поскольку в условиях внедрения прогрессивных технологий, полученные ранее знания, быстро устаревают, снижая уровень профессиональной компетенции работника.
Кроме того, специалист современного производства должен обладать способностью к инновациям, которая включает техническое творчество, поиск оригинальных решений, умения определять время и условия замены техники и технологии на более современные.
Новые повышенные требования предъявляются также к управленческому персоналу, выдвигая на первый план такие качества как организаторские способности, умение оперативно оценивать производственную ситуацию, просчитывать варианты рационального решения возникающих задач на основе современных методов управления вычислительной техники, способность управлять финансами, кадрами, маркетингом, обосновывать и принимать решения.
В связи с этим, уровень образования играет решающую роль в трудоустройстве, продвижению по службе и в определении размеров заработной платы на корейском рынке труда.
Кроме этого, увеличение длительности обучения предположительно должно увеличить производительность труда в долгосрочном периоде, но слишком быстрый рост уровня образования привел к большему росту объемов предложения офисных работников и к снижению предложений не офисных работников. Это стало причиной несоответствия между числом рабочих мест и количеством стремящихся получить работу на рынке труда В то же время в Республике Корея очень велика дифференциация заработной платы по образованию, она гораздо больше той, которая наблюдается в западных странах и в Японии. Если ставка заработной платы лиц, имеющих неполное среднее образование, не превышает 100,0, то у работников с полным средним образованием она равна 116,8, у лиц с двухгодичным колледжским образованием - 141,0, а у лиц с полным колледжским - 223,0 по данным на 1998 год. И хотя существует большая разница в заработной плате, она сократилась за период 2005-1998 (таблица 22). В 19996 году соотношение размеров заработной платы выпускников колледжей и лиц, имеющих полное среднее образование, составляло 2,2 по Кореи и 1,3 по Японии (1999). Если мы сравним входной уровень заработной платы выпускников колледжа и лиц, имеющих полное среднее образование и четырехгодичный опыт работы, то отношение будет следующим: 1,5 по Корее и 1,1 по Японии.
Положительная зависимость между доходом и уровнем полученного образования работников просматривается не только в Южной Корее, но и во многих других странах. Однако относительное значение разницы в заработной плате у людей с разным образованием заслуживает особого внимания. В таблице 23, 24 представлено отношение заработной платы людей с высшим образованием к заработной плате людей, имеющих полное среднее образование, в некоторых странах ОЭСР. В ней четко показано, что южнокорейские работники с высшим образованием занимают более благоприятную экономическую позицию, чем их «аналоги» в Австралии или в Канаде, и намного лучшую позицию, чем рабочие Италии, США и Японии. Эта разница между перечисленными странами и Южной Кореей кажется огромной.
Таблица 22. Разница в заработной плате у людей с разным уровнем образования.
| Уровень образования
|
1990
|
2005
|
2000
|
2008
|
| Неполное среднее
|
100,0
|
100,0
|
100,0
|
100,0
|
| Полное среднее
|
145,4
|
133,9
|
118,3
|
116,8
|
| Двухгодичное колледжское
|
212,8
|
173,9
|
148,7
|
141,0
|
| Колледжское и выше
|
333,2
|
303,4
|
247,5
|
223,0.
|
В Южной Корее выпускники высших учебных заведений получают заработную плату в три раза большую, чем лица с неполным средним образованием, в то время как в Японии, США и Италии эти соотношения составляют 1,4, 1,3, 1,33 соответственно.
Приведем более детальное сравнение разниц в заработной плате по Японии и Южной Корее. Используя основной обзор структуры заработной платы Японии за 2007 год, мы вычислили относительные заработные платы лиц с двухгодичным колледжским образованием, с полным и неполным средним образованием. Для тех же лиц были проведены расчеты по Корее, а также был использован обзор заработной платы лиц разных специальностей за 2007 год. Очевидно, что даже не производя никакие математических операций, видно, что дифференциация заработной платы в Корее намного больше, чем в Японии. Более того, если принять во внимание огромное количество людей только с начальным образованием, которых уже нет в Японии, разница становится еще большей.
Таблица 23. Международное сравнение дифференциации заработной платы по образованию.
| Пол
|
Страна
|
| США (1999)
|
Япония
|
Италия
|
Австралия
|
Канада
|
Юж. Корея
|
| Мужчины
|
140
|
120
|
*
|
*
|
*
|
220
|
| Женщины
|
128
|
127
|
*
|
*
|
*
|
247
|
| Всего
|
*
|
*
|
133
|
190
|
190
|
250
|
Нами такие были проведены исследования по дифференциации заработной платы в Восточноазиатских странах, в результате которых было установлено, что за последние десятилетия ситуация с перераспределением заработной платы в этих странах улучшилась. Так, например, Япония, чьи показатели по этой проблеме являются наилучшими в регионе, переживала изменения в перераспределении заработной платы с 60-х годов. Конечно, нельзя напрямую сравнивать показатели Японии с показателями развивающихся стран, однако их можно рассматривать как некоторые эталонные показатели этих стран, которые, как правило, стараются брать пример с Японии и реформировать систему оплаты труда, чтобы они радикальным образом не отличались от японской. Очень типичен случай с Тайванем, где неравенство в заработной плате находится на низком уровне в настоящее время, и это благодаря политике проводимой в стране в области оплаты труда за последние тридцать лет. В Тайване, заработная плата человека очень мало варьируется в зависимости от его образования, пола или размера фирмы, в которой он работает. Распределение заработной платы в Тайване в настоящее время считается самым эффективным во всем мире, даже по сравнению с Европейскими странами и Японией. Интересен также опыт Гон Конгской системы распределения дохода, которые показывают определенное снижение неравенство в заработной плате по образованию. В недавнем прошлом, в Сингапуре также было сокращено неравенство в заработной плате. Таким образом, по сравнению с Кореей, другие члены «Четырех Драконов» имеют более низкие дифференциации в заработной плате по образованию и полу.
Таблица 24. Дифференциация заработной платы в Республике Корея и Японии.
| Образование
|
Япония
|
Южная Корея
|
| Мужчины
|
Женщины
|
Мужчины
|
Женщины
|
| Высшее
|
100
|
100
|
100
|
100
|
| Двухгодичное колледжское
|
90
|
83
|
67
|
73
|
| Полное среднее
|
80
|
75
|
43
|
49
|
| Неполное среднее
|
75
|
62
|
36
|
34
|
| Начальное
|
*
|
*
|
35
|
33
|
Так же известен тот факт, что Гон Конг, Сингапур, Тайвань и Южная Корея, образующие «Четыре Дракона», являются наилучшими примерами недавней успешной индустриализации, ориентированной на экспорт. Они представляют собой случай, в котором стратегия ориентирования на экспорт способствовала росту в трудоустройстве и объеме выпуска продукции, что привело к благоприятному влиянию на распределение заработной платы. И совершенно естественным является вопрос, почему в Южной Корее наблюдается ухудшение ситуации в области распределения заработной платы, в то время как в Тайване, Гон Конге, Сингапуре и Японии происходили совершенно противоположные явления, и все это несмотря на то, что эти страны придерживались идентичной стратегии развития? Почему Южная Корея стала исключением в данном отношении? И почему разница в заработной плате у людей с разным образованием так велика?
Очень часто в последнее время в некоторых работах о корейском рынке труда упоминалось завышенное значение заработной платы людей с высшим образованием и офисных работников, однако, причин, по которым все это произошло никто не перечислил. В большинстве случаев, разницу объясняли влиянием конфуцианства, которое проповедовало уважение к образованным людям. Несомненно, все эти культурные и социальные обычаи оказали влияние на неравенство заработной платы. Однако наиболее явно дифференциация заработной платы объясняется взаимодействием между экономическими явлениями (спрос и предложение на рынке труда) и правительственной политикой.
Существующая в настоящее время разница в заработной плате у людей с разным образованием (у офисных и неофисных работников) возникло в первую очередь как часть колониальной политики, которая проводилась японским правительством во времена его колониального влияния в Корее (1910-1945). На ранних этапах индустриализации в Корее, дифференциация заработной платы была спровоцирована политически, поэтому она оказывала большее влияние, чем экономическое, воздействие. Во времена колониального правления, основным работодателем для образованных корейцев было государство и государственные предприятия, которые являлись монополиями, не стремящимися максимизировать свою прибыль. Японскому персоналу выплачивали более высокую заработную плату, в какой-то степени это отразилось и на выплатах корейскому персоналу. Корейские неофисные работники (менее образованные) подвергались дискриминации на корейском рынке труда, гак как их японские «аналоги», работающие в Корее, зарабатывали в два раза больше. Таким образом, высокие ставки заработной платы корейских работников с высшим образованием были скорее определены из политических соображений, нежели экономическим влиянием. «Разделяй и властвуй», хотя экономическое стимулирование являлось основной политикой по отношению к рабочим людям.
После освобождения, в 1945 году, политически мотивированные дифференциации заработной платы сохранились и при корейском правительстве, когда персонал, работающий при японском правительстве, был вновь нанят на работу в государственном секторе. Очень важно помнить, что основными работами работодателями образованных людей в 40-50-ые гг. были монополии, не стремящиеся максимизировать свою прибыль и оперирующие на рынке продукции, то есть они не были подвержены влиянию рынков конкуренции. Частные предприятия, которые постепенно стали появляться после 1945 г. и чей расцвет пришелся на 60-70-ые годы, даже в настоящее время, в условиях экспортного бума в Южной Корее, вынуждены конкурировать с государственным сектором за рабочую силу с высшим образованием.
В 1948 году, государственный сектор производил 35% от общего выпуска продукции, и имел 48,3% занятость на производственных предприятиях (10). Однако и в 1995 году 19,5% от общих выплат рабочим все еще производилось в государственном секторе. Это важное значение государства в области занятости, а в частности его значение в трудоустройстве высокообразованных работников и его относительная независимость от рыночного влияния, оказало большое влияние на складывание структуры заработной платы в Южной Кореи, которое было направлено на закрепление дифференциации заработной платы по образованию, возникшие еще при колониальном правительстве.
В дополнение ко всему, в 60-70-х гг. существовало еще два рыночных влияния, которые способствовали распространению дифференциации заработной платы по образованию. В отношении предложения: государство установило ограничение на число поступающих в высшие учебные заведения. Со стороны спроса: за последние двадцать лет спрос на высокообразованную рабочую силу резко возрос, в связи с ростом широкомасштабного производства, ориентированного на экспорт, и с установившейся зависимостью от привезенных с Запада новых технологий. Таким образом, ограниченное предложение высокообразованной рабочей силы, в совокупности с возросшим спросом на нее, неизбежно привели к тому, что за последние двадцать лет еще сильнее распространилась разница в заработной плате у лиц с высшим и полным средним образованием.
Так как быстрая индустриализация во многом объясняется и склонностью Кореи заимствовать передовые технологии у других стран, нежели разрабатывать их самостоятельно. Процесс поздней индустриализации расширил межотраслевую дифференциацию заработной платы и разницу в ставке заработной платы путем отделения предприятий, ориентированных на традиционные технологии, от промышленности с передовыми технологиями. Это и привело к тому, что внутренний рынок стал монополистическим или олигополистическим.
В таких отраслях, как текстильная промышленность, где технологии производства накапливались годами, начиная с периода раннего развития, расширение и модернизация условий производства не представляли собой проблемы для предпринимателей. Противоположностью им являлись новые капиталоемкие производства, требующие тотальной смены технологии, с чем не могло справиться руководство за предельно короткие сроки («Тейлорист», например). На тех предприятиях, где использовались недостаточно квалифицированные кадры, возникли острые проблемы в конкурентной борьбе за выход на мировые рынки.
Итак, заработная плата в национальной экономике Кореи в основном, определяется индивидуальными характеристиками работника, такими как образование, пол, срок работы на предприятии, и не характеристиками самой работы. Люди с одинаковыми, упомянутыми выше, характеристиками получают, как правило, одинаковую заработную плату, независимо от содержания работы или относящихся к ней аспектов (например, степень ответственности, умственные и физические нагрузки, степень ответственности). Среди этих индивидуальных характеристик работника, уровень образования имеет определяющую роль в установлении заработной платы. Последующие полуавтоматические повышения заработной платы производятся уже на основе установленных стартовых заработных плат и различных надбавок к ним. Поскольку годовое повышение заработной платы различно у людей с разным образованием, то с течением времени пропорционально увеличивается доход у людей с одинаковым образованием.
Представители экономической науки отмечают стабильность относительной величины заработной платы в отдельных отраслях на протяжении длительных периодов времени во многих странах.
Нами проводится исследование заработной платы в обрабатывающей промышленности для того, чтобы выяснить, соответствует ли дифференциация заработной платы по отраслям в Корее этому предположению.
Оценка размеров ежемесячных заработных плат работников, работающих полный рабочий день, производится, используя данные обзора зарплаты по различным специальностям за 1982,1992 и 2001 годы. Этот обзор подготавливается каждый год Министерством труда. Обзор представляет нам необходимую информацию для нашего исследования, потому что содержит наиболее точные данные о каждом из работников и размерах заработной платы и соответствует корейскому коду стандартной промышленной классификации.
Исследования заработной платы и уровня ее дифференциации проводится по 27 отраслям обрабатывающей промышленности (3 разных года). В первую очередь мы попытались оценить варьирование средней заработной платы по отраслям, рассчитав ее отклонение от среднего значения в промышленности. Результаты расчетов сведены в таблицу 25.
Данные наших расчетов подтверждают стабильность относительной дифференциации заработной платы по отраслям. Усредненное среднее значение отклонения по 27 отраслям за 20 лет изменилось на 0,002 или 0,2%. Хотя в 1992 имелось более значительное изменение, но оно не превышало одного процента.
Преимущественно сохраняется традиционные отличия в оплате труда по разным отраслям. Близкие к среднему значению имеет заработная плата в металлообработке, хотя за исследуемый период имелась небольшая тенденция к увеличению отклонения. Сохраняется значительное превышение заработной платы над ее средним значением в целом по промышленности в переработке нефти, производства железа и стали, но здесь отклонение имеет тенденцию к уменьшению. Отрасли, традиционно выплачивающие меньшую заработную плату, не изменили этому подходу (производство одежды, глиняных изделий и фарфора). За истекший период заработная плата в этих отраслях еще более существенно отклонилась в сторону уменьшения от средних значений по промышленности.
Таблица 25. Межотраслевая дифференциация заработной платы с течением времени.
| Отрасль промышленности
|
1982
|
1992
|
2001
|
| Пищевая
Производство напитков
|
0,03916
0,14575
|
0,13563
0,46201
|
-0,06648
0,029110
|
| Текстильная
Производство одежды
Кожевенная
Обувная
|
-0,17887
-0,34712 0,05864
|
-0,12826
-0,35651
-0,27924 -0,020936
|
-0,19457
-0,43373
-0,10018
-0,40821
|
| Лесная
Мебельная
|
0,16761 -0,11309
|
0,06220
0,00339
|
0,03551
0,0114
|
| Бумажная Печатная
|
0,20049
0,20049
|
0,20574
0,20574
|
0,19281
0,19281
|
| Производственные химикаты
Другие виды химикатов
Переработка нефти
|
0,51976
0,10639 1,044540
|
0,33104
0,24561
0,97877
|
0,41090
0,06417
0,67172
|
| Производство нефтепродуктов Резиновая промышленность Производство пластика
|
0,23290
0,00533
0,05957
|
0,41971
-0,09918
0,15272
|
0,06346
-0,20040
0,03401
|
| Отрасль промышленности
|
1982
|
1992
|
2001
|
| Глиняные изделия, фарфор Изделия из стекла
Другие неметаллические изделия
|
-0,37085 0,16970
0,25896
|
-0,23900
0,26191
0,35798
|
-0,41069
0,33002
0,20878
|
| Производство железа и стали
Производство цветных металлов
|
0,55418
0,63843
|
0,39549
0,11322
|
0,48107
0,12304
|
| Металлообработка
Машиностроение
Электронная
Оборудование для транспорта Медицинские приборы
Другие
|
0,00112
0,10202
0,06723
0,16870
0,02770 -0,21121
|
0,00395
0,28465
-0,12381
0,44241
-0,13366
-0,28135
|
0,08328
0,17924
-0,01751
0,28756
0,00485
-0,32281
|
| Среднее отклонение разницы от среднего значения заработной платы в промышленности
|
0,249
|
0,259
|
0,251
|
Среднее исчисленное отклонение заработной платы по отраслям, как мы уже показывали ранее, не имеет какой-либо сильно выраженной тенденции к изменению и этот факт можно трактовать в пользу стабильности отраслевой структуры. Но использование одного показателя не всегда представляется убедительным и нами предлагается дополнительно провести анализ с использованием коэффициента соотношения (Ks
) разницы заработной платы, который может быть исчислен по формуле:
(3.1),
где: Wi
max
, Wj
max
- максимальное значение заработной платы соответственно в i и j году; Wi
min
, Wj
min
- минимальное значение заработной платы соответственно в i и j году.
В наше работе так же был произведен расчет ранжированного коэффициента соотношения разницы (Ksr).
(3-2),
где: - среднее значение заработной платы в отраслях, имеющих значение выше средней величины заработной платы в промышленности;
- среднее значение заработной платы в отраслях, имеющих значение ниже средней величины заработной платы в промышленности.
Рассчитанные нами величины коэффициентов соотношений по отношению к 1991 году представлены в таблице 26.
Таблица 26. Относительные коэффициенты разниц заработной платы 1991 года по отношению к 1982 и 1992.
| Год
|
Коэффициент соотношения разницы заработной платы (Ks)
|
Ранжированный коэффициент соотношения разницы заработной платы (Ksr)
|
| 1982
|
0,844
|
0,865
|
| 1992
|
0,896
|
0,893
|
Коэффициенты соотношения и в первом и во втором случае варьируются в пределах от 0,84 до 0,90, что еще раз подтверждает выводы о стабильности отраслевой структуры заработной платы в обрабатывающей промышленности.
Следующим этапом анализа дифференциации заработной платы в нашей работе стало выявления влияния личностных и квалификационных характеристик на отраслевую структуру заработной платы. В оценку включена ежемесячная заработная плата работников, работающих полный рабочий день. По всем отраслям, включенным в анализ, был произведен расчет методом декомпозиции, целью которого стал учет влияния квалификационного уровня на величину заработной платы. Полученные значения заработной платы по отраслям в дальнейшем используются для исчисления отклонений аналогичным образом, как и в предыдущем варианте (табл.25). В случае параллельности значений отклонений заработной платы по отраслям исчисленной с учетом и без учета квалификации, ее влияние не приносит изменений в структуру заработной платы. Результаты расчетов сведены в таблицу 27.
Уровень полученного образования, семейное положение, профессия, выполняемые обязанности (должность), количество рабочих часов в месяц, место расположения фирмы - все эти факторы были учтены в наших расчетах. Статистическое значение имели и отклонения в заработной плате, связанные с периодами экономического подъема и спада, на которые отдельные отрасли реагировали неодинаково. Особенно это влияние проявилось в 1982 году и это сказалось на величине среднего отклонения (0,119, в то время, как в 1992 и 2001 годах соответственно 0,08 и 0,09).
Таблица 27. Межотраслевая дифференциация заработной платы с учетом квалификации рабочей силы.
| Отрасль промышленности
|
1982
|
1992
|
2001
|
| Пищевая
|
-0,01565
|
0,03789
|
-0,5160
|
| Производство напитков
|
0,09272
|
0,020486
|
0,062720
|
| Текстильная
|
0,00372
|
0,02308
|
-0,05098
|
| Производство одежды
|
-0,10269
|
-0,06085
|
-0,15734
|
| Кожевенная
|
-0,04682
|
-0,13270
|
-0,01923
|
| Обувная
|
0,011686
|
-0,07174
|
| Лесная
|
0,01534
|
-0,00446
|
-0,02331
|
| Мебельная
|
-0,07247
|
0,01638
|
0,06174
|
| Бумажная
|
0,04090
|
-0,01477
|
0,07217
|
| Печатная
|
-0,316683
|
0,12742
|
0,07960
|
| Отрасль промышленности
|
1972
|
1982
|
1991
|
| Производственные химикаты Другие виды химикатов Переработка нефти Производство нефтепродуктов
|
0,25249 -0,06957 0,89258 0,09656.
|
0,10397 0,05302 0,44820 0,16934
|
0,17273 -0,03376 0,37074 -0,11959
|
| Резиновая промышленность Производство пластика
|
0,003230 0,00826
|
0,03033
0,03061
|
-0,03790
0,01949
|
| Глиняные изделия, фарфор
|
-0,28746
|
-0,07509
|
-0,22543
|
| Изделия из стекла
Другие неметаллические изделия
|
0,02763
0,11778
|
0,10163
0,10486
|
0,14147
0,03856
|
| Производство железа и стали
Производство цветных металлов
|
0,24276
0,29498
|
0,09125
-0,08141
|
0,20454
-0,01207
|
| Металлообработка Машиностроение
Электронная
Оборудование для транспорта Медицинские приборы
Другие
|
-0,14333 -0,10645 -0,03004 -0,06967 -0,09654
0,08472
|
-0,11472
0,01315
-0,07699
0,11082
-0,14044
-0,10425
|
0,01084
0,04651
-0,00259
0,09476
0,00689
-0,17202
|
| Среднее отклонение разницы от среднего значения заработной платы в промышленности
|
0,119
|
0,08
|
0,09
|
Представленные в таблице 27 расчетные значения отклонений показывают, что в нефтепереработке заработная плата работающего в 2001 году на 37% выше ее средней величины в обрабатывающей промышленности (с учетом влияния величины человеческого капитала и других личностных и демографических характеристик надбавки в этой отрасли). Отклонения, рассчитанные в этой отрасли, имеют те же тенденции, что и те, которые рассчитаны без учета влияния квалификации. Однако не для всех отраслей эти тенденции однозначны. Это говорит о том, что отношение к найму и закреплению высококвалифицированных кадров в различных отраслях не одинаковы. В то же время существенные различия в отклонениях по отраслям могут происходить под влиянием других факторов, не учтенных нами в данном случае, с помощью которого возможно объяснить эту разницу.
Коэффициенты соотношения размеров разницы в заработной плате по отношению к 2001 году имеют значения 0,878 в 1982 году и 0,877 в 1992 году. Ранжированные величины этого коэффициента 0,848 в 1982 году и 0,879 в 1992 году.
На сокращение среднего значения отклонения в 1992 и в 2001 году существенное воздействие оказали должностные надбавки, которые увеличивались со временем. Это обстоятельство можно объяснить тем, что в 1982 году еще существовал избыток рабочей силы, что не стимулировало фирмы к закреплению кадров. Период 1992-2001 года отличался внедрением новейших технологий, каждая фирма старалась иметь собственное «ноу-хау». В этих условиях каждая компания пыталась удержать квалифицированных работников, особенно имеющих высшее образование, повышая им заработную плату.
Отдельным направлением анализа межотраслевой структуры заработной платы является исследование дифференциации в зависимости от возраста, пола, образования, размеров фирмы, распределение на офисных и неофисных работников. В таблице 28 приводится сравнение заработной платы по некоторым подгруппам, работающих по состоянию на 2001 год. Межотраслевое сравнение показывает, что размеры предприятий одинаково влияют на заработную плату работников, имеющих разный уровень образования. Отсюда следует вывод: дифференциация заработной платы не может быть полностью объяснена различиями в уровне образования работников. Размеры заработной платы офисных и неофисных работников, мужчин и женщин имеют примерно одинаковые отличия в отдельных отраслях. Это говорит о том, что ни характеристики самой работы, ни дискриминация по половому признаку не могут стать причиной межотраслевой заработной платы.
Решающее значение, на наш взгляд, на межотраслевую дифференциацию заработной платы может оказать структура отрасли по составу предприятий.
Среднее отклонение, измеренное в межотраслевом сравнении, показывает, что отклонение заработной платы на мелких предприятиях меньше на 1/3, чем на крупных. Если отрасль состоит из крупных предприятий, где преобладает более высокий уровень заработной платы работающих, то средний размер оплаты груда в отрасли естественно окажется выше.
Таблица 28. Межотраслевая структура заработной платы у разных групп рабочих по данным на 2001 год: размеры ежемесячного заработка, работающих полный рабочий день.
| 1Характеристика
|
Среднее отклонение от разницы в заработной плате, выплачиваемой в производственном секторе
|
Соотношение заработной платы в двух группах с учетом ранжирования (без учета ранжирования)
|
| Возраст (1) 15-30 лет
(2) 50-65 лет
|
-0,093 0,140
|
0,80(0,68)
|
| Пол (3) Мужской
(4) Женский
|
0,133 -0,186
|
0,73(0,61)
|
| Образование (5)
14 лети больше(6)
меньше 14 лет
|
0,079 -0,064
|
0,87(0,85)
|
| Размеры фирмы (7)
10-300 человек (8) 301 и больше
|
-0,198
0,199
|
0,66(0,64)
|
| Профессия (9)
Неофисные работники (10)Офисные работники
|
-0,125
0,091
|
0,80(0,68)
|
Однако, как правило, внутриотраслевое распределение заработной платы между крупными и мелкими предприятиями не так велико, что показывает межотраслевое соотношение разниц заработной платы. Результат соответствует данным, полученным эмпирическим путем Брауном и Медовым (2005), которые указывали на то, что размер фирмы является очень важным фактором в объяснении межотраслевой дифференциации заработной платы и не столь существенно воздействует на формирование различий в оплате труда внутри отдельной отрасли.
В западных странах личные качества работника (образование, опыт работы и т. д.) влияют на определение ставки заработной платы только в той степени, в которой сама работа требует этого (3). В противоположность этому, в Южной Корее, эти индивидуальные особенности имеют наибольшую важность в определении уровня заработной платы, в то время как характеристики работы и выполнение работы имеют малое значение. Таким образом, в Южной Корее нет такой концепции как «рейтинг работы». Другими словами, заработная плата выплачивается в соответствии, кем является человек, а не какую работу он выполняет.
Для дальнейшего анализа дифференциации заработной платы по образованию в Южной Корее будет предпринята попытка выделить не только текущие превалирующие правила и методы определения заработной платы в компаниях, но также рыночные и внерыночные эффекты, которые и стали причиной установления таких правил на предприятиях Южной Кореи. Хотелось бы начать рассмотрение этого вопроса с подробного обзора уровня заработной платы индивидуальных работников компании.
Величина стартовой заработной платы в Южной Корее главным образом определяется уровнем образования человека, его полом, вне зависимости от того, какую работу он выполняет. Практически всегда, работники с более высоким уровнем образования начинают с более высокого уровня входной заработной платы. Лица с одинаковым образованием обычно получают и одинаковую заработную плату независимо от различий в характеристиках работы. Неудивительно, что женщины, имея такое же образование, как и мужчина-конкурент, получают более низкую заработную плату.
Выделяют два дополнительные фактора, которые принимаются во внимание во время определения уровня стартовой заработной платы: первый, прошел или нет этот человек военную службу. Ветераны обычно получают более высокую стартовую заработную плату. Другой фактор, устраивается ли человек на работу как производственный (неофисный) работник, или как непроизводственный (офисный) работник. Стартовая заработная плата офисных работников выше, чем у производственных рабочих, которые заняты на крупномасштабных и мелкомасштабных предприятиях.
Дополнительные выплаты, такие как надбавки, к заработной плате, оплата сверхурочных и премиальные, определяются установленным уровнем стартовой заработной платы. Соответственно работники с высшим образованием получают более высокие общие выплаты.
Основная заработная плата может повыситься за счет регулярных надбавок в установленных количествах, выплачиваемых на ежегодной основе. Такие надбавки непосредственно связаны со сроком работы на предприятии и не ассоциируются с продвижением по службе или с изменениями в содержании работы. Продвижение по службе (например, переход из одного отдела в другой более престижный) может произойти и с отсутствием надбавок, но зато устанавливается более высокий уровень базовой заработной платы.
Интересен тот факт, что не только базовая заработная плата и надбавки к жалованью, но и эти, полуавтоматические регулярные премии варьируются у рабочих с разным уровнем образования, независимо от того, какие характеристики имеет данная работа. Таким образом, значительная разница в заработной плате у людей с разным уровнем образования, существующая на начальных этапах работы, в течение всего периода работы на данном предприятии имеет тенденцию увеличиваться. Вышеперечисленные правила определения уровня заработной платы могут быть проиллюстрированы наилучшим образом с помощью «Таблицы стартовой заработной платы», которая имеется на каждой фирме. Обзор двух фирм представлен в таблицах 29,30.
Данные компании 1 и компании 2 за 1998 год очень четко показывают все значение образования и пола при определении входного уровня заработной платы. Уровень стартовой заработной плат варьируется в зависимости от уровня образования работника, и наиболее заметная разница в заработной плате наблюдается у людей с высшим образованием и с неполным средним образованием. Последние получают лишь 30-40% от той заработной платы, которую получают высокообразованные работники. Мужчины получают заработную плату больше, чем женщины на 10-40%, причем эта разница значительно меньше у людей, имеющих более низкий уровень образования. Данные компании 2 показывают, что существует большая разница не только в уровне стартовой заработной платы, но также и в последующих увеличениях уровня заработной платы, устанавливающихся ежегодно и зависящих от образования человека. Как и предполагалось, ветераны получают более высокую входную заработную плату, а разница эквивалентна размеру двух годовых надбавок. Среди работников, которые сравниваются по уровню образования и полу, непроизводственные рабочие получают заработную плату в 1,7 раз большую, чем производственные. Данные по двум компаниям взяты на крупномасштабных предприятиях, где письменные документы являются более доступными. Мелкие компании могут так же использовать подобные правила установления заработной платы. Эти правила применяются для лиц, недавно вьпустившихся из учебных заведений, а также для приехавших из сельской местности.
Почему же образование играет наиважнейшую роль в определении стартовой заработной платы и в последующих заработках в Южной Корее? Почему именно образование, а не качество выполнения работы, способствует продвижению по службе в административной и управленческой сферах?
В научной литературе по Южной Корее (5), очень часто подчеркивалась важность образования работника, влияющая на структуру заработной платы и трудоустройства, но этому не было представлено убедительного объяснения. Чаще всего в работах упоминается культурное влияние конфуцианства, в котором высоко ценилось образование, оно считалось единственным способом достижения успеха и продвижения по социальной лестнице. Социально-культурный фактор, возможно, также повлиял, но он не является основной причиной существования такого строгого расслоения по образованию в отношении заработной платы и трудоустройства.
Таблица 29. Дифференциация стартовой заработной платы по образованию.
| Компания 1: Sunkyung Hapsun Corporation, текстильная промышленность, 2006
|
| Образование
|
Пол
|
Стартовая
заработная плата
|
| Полное среднее образование
|
Мужчины не прошедшие службу
|
56
|
| Мужчины - прошедшие службу
|
92
|
| Колледж
|
Мужчина
|
100
|
| Неполное среднее
|
Женщина
|
28
|
| Мужчина
|
30
|
| Начальная школа
|
Мужчина
|
25
|
| Женщина
|
22
|
Таблица 30. Дифференциация повышения заработной платы по образованию и полу (%).
| Компания 2: Kankuk Electronic Corporation, электронная промышленность
|
| Образование
|
Характеристики
|
Заработная плата
|
Годовое повышение заработной платы
|
| Неполное среднее
|
Мужчины не прошедшие службу
|
40
|
70
|
| Мужчины -прошедшие службу
|
49
|
80
|
| Полное среднее
|
Женщина производственник
|
24
|
58
|
| Женщина непроизводственник
|
41
|
65
|
| Неполное среднее
|
Женщина
производственник
|
21
|
58
|
Примечание: Относительные заработные платы работников с разным уровнем образования по сравнению с выпускниками колледжей (=100)
Влияние уровня образования на размеры заработной платы и трудоустройство в Южной Корее формировалось по следующим причинам:
(1) Западные страны совершили довольно плавный переход от ремесленных навыков восемнадцатого века к современным технологиям. Квалификационная структура рабочей силы постепенно изменялась, попутно расширяясь. Сосредоточение производственных навыков имело место в основном на рынке труда, а не в образовательных институтах. Таким образом, рынок труда в Западных развитых странах представляет собой рынок, на котором продаются и покупаются определенные виды навыков. В противоположность этому, в Южной Корее, современные производственные навыки были привнесены из зарубежных стран, как уже сформировавшаяся система знаний, которая должна была быть внедрена в институты образования. Таким образом, все усиливающаяся зависимость корейской экономики от ввозимых западных; технологий неизбежно привела к установлению зависимости южно-корейских производственников от научных знаний, а не от традиционных навыков и опыта работы, которые развились самостоятельно за всю историю страны. Поэтому, южнокорейский рынок труда был рынком, на котором покупались и продавались академические знания работников, а не накопленные навыки.
(2) Общий переизбыток предложения рабочей силы на южнокорейском рынке труда в условиях ограничения числа рабочих мест, потребовало разработки схемы, с помощью которой проводился бы рациональный отбор специалистов. И этот отбор происходит на основе образования. Оно использовалось как резонный показатель компетенции работника, и более того, информацию о полученном образовании человека можно получить очень быстро. Такая система была введена уже на начальных стадиях индустриализации, практически из-за того, что универсальное южнокорейское начальное образование и введение современной системы образования предшествовали индустриализации (в отличие от развитых стран Запада, в которых реформа образования последовала за индустриализацией). Вся важность образования работника наблюдается не только в процессе трудоустройства, но также и в определении уровня заработной платы. Главным образом, это произошло из-за того, что введение систем оценки качества труда и содержания самой работы, а не уровня образования, было довольно дорогостоящим, в особенности на начальных этапах индустриализации, когда накопленный опыт был далеко несовременен. (3) Большая разница в заработной плате более образованных и менее образованных людей (лица с высшим образованием, в среднем, получают зарплату в три раза большую, чем люди с неполным средним образованием и в два раза большую, чем люди с полным средним образованием), стала следствием японской колониальной политики. Во времена колониального периода, государственные и национальные предприятия, которые были основными работодателями образованных корейцев, ввели из политических соображений значительную разницу в заработной плате. После 1945 года, эти политически спровоцированные разницы в заработной плате (зависящие от образования) были перенесены в структуру заработной платы, а затем перешли и в частных сектор. После Второй мировой войны, в особенности, в 60-70-х годах, это расслоение все увеличивались, вместо того, чтобы уменьшаться, что было вызвано, главным образом, рыночным влиянием: спрос на высокообразованную рабочую силу резко возрос, так как в этот период увеличилось количество ввозимых западных технологий; в то же время государство установило ограничение, на количество поступающих в высшие учебные заведения.
А теперь мы более подробно рассмотрим вышеперечисленные аргументы. (1) Научные знания (образование) имеют особенное значение на корейском рынке труда, частично вследствие традиционного характера накопившихся навыков, и также из-за большого наплыва современных западных технологий. В большинстве западных стран, с 17-18 века, индустриализация происходила медленно, превращаясь в накопление производственных навыков и в образование традиции гласящей, что каждый навык должен оцениваться соответственно. В компаниях организовывали различные программы профессионального обучения на рабочем месте, для подготовки квалифицированной рабочей силы, проверки и сертификации компетенции производственных работников, и для того чтобы сохранить профессиональные стандарты.
В дополнение ко всему развитые страны Запада претерпели довольно мягкий технический переход от кустарного производства 18 века до новых инженерных фабрик следующего столетия. Эта мягкая трансформация отразилась в непрерывном процессе обучения профессиональным навыкам и в освидетельствовании получении квалификации. До промышленного переворота образование и сертификация производились гильдиями, после него - профсоюзами и профессиональными ассоциациями. Постепенно внедрялись новые изобретения или инновационные технологии, и работникам приходилось повышать свою квалификации осуществляя это прямо на рабочем месте, либо в специальных учебных заведениях. На протяжении всего этого процесса зародилась одна стабильная характеристика западного рынка труда: фактически, рынок труда стал рынком, производящим профессиональные навыки с таким же успехом, как на нем они покупались либо продавались.
В противоположность ему, в Южной Корее, современные производственные навыки не развивались постепенно на рабочем месте и не совершенствовались в течение длительного периода времени. Современные инженерные и управленческие навыки были привнесены из-за рубежа как сформировавшаяся система знаний, которая была внедрена в колледжи и университеты. Процесс обучения профессиональным навыкам или получения промежуточной квалификации, которые являются путем к современному профессиональному статусу, никогда не происходил в Корее. Другими словами, Корея никогда не переживала процессов внутреннего накопления современных производственных навыков сразу же на рабочем месте. Неожиданный и массивный наплыв западных технологий во времена стремительного экономического роста в 60-70-х годах, неизбежно привел к тому, что южнокорейская промышленность оказалась в большей зависимости от образования работников, полученного в учебных заведениях (6).
Во многом благодаря этой особенности работодатели в Южной Корее больше концентрируются на способности работника к изучению современных западных технологий, а не на развитии существующих внутренних навыков (7). Таким образом, современные компании делают акцент на образовании (приобретении прозападных знаний) в процессе принятия на работу и в определении уровня заработной платы. Поэтому, на южнокорейском рынке труда в большинстве случаев покупаются и продаются уровни образования людей, их способность к обучению, а не уже накопившиеся профессиональные знания. (2) Основная особенность корейского рынка труда, как рынка покупателей, привела к необходимости разработки системы отбора, по которой бы происходило распределение ограниченного числа рабочих мест. Уровень образования использовался как метод, производящий сортировку работников, способных выполнить работу наилучшим образом и обладающих лучшими способностями.
Использование образования как средства отбора было распространенным явлением в Южной Кореи с самых ранних этапов индустриализации. Это стало следствием развития современной системы образования, которое произошло до начала индустриализации, в отличие от развитых стран запада, где универсальное начальное образование и введение современных институтов образования последовали за индустриализацией (8).
В Корее современная система образования была введена в конце 19 века, когда Корея была, в основном, еще аграрной страной с ростками сельскохозяйственного кустарного промышленного производства. Обязательное начальное образование с 1948 года стало принудительным, в результате чего в начале 60-х годов уровень грамотности достиг 90%. Население уже довольно успешно получало высшее образование в то время, когда в стране происходила полномасштабная индустриализация. Уже тогда уровень образования рабочей силы было довольно высок, однако сосредоточение современных профессиональных навыков в экономике было низким.
Следует иметь в виду тот факт, что дифференцировать и оценить имеющиеся в наличии профессиональные навыки, задействованные в экономике, по какому-то объективному критерию очень сложно. Также, до тех пор пока экономика не переживет все этапы индустриализации, очень трудно оценить работу в производственной сфере по каким-либо объективным классификационным меркам. С технической стороны, возможно, внедрить системы оценки проделанной работы по западному образцу для того, чтобы выплачивать заработную плату в зависимости от содержания работы, но в то же время это может стоить больших денег и не иметь смысла. Напротив, гораздо проще и менее дорогостоящим образом можно определить потенциальную компетентность (при решении принять на работу) и даже фактическое качество выполнения работы (определение уровня заработной платы), используя информацию о полученном образовании работника, которую можно приобрести самым быстрым и дешевым способом.
Таким образом, с самых начальных этапов индустриализации в Южной Корее, образование играло важную роль как общепринятое средство оценки не только потенциальных способностей, но и качества выполнения работы, и как следствие, в Южной Корее оформилась традиция на рынке труда, по которой выплачивали равную заработную плату людям с одинаковым уровнем образования, требуемым для данной работы, или же с одинаковыми профессиональными навыками.
Различия в оплате труда определяются многими факторами, в числе которых важнейшее место занимает организация стимулирования в компаниях. Организация стимулирования выступает составной частью более крупного направления менеджмента - управления персоналом на предприятиях и может быть рассмотрено только в рамках этого понятия.
Эффективное управление «человеческими ресурсами» выдвинулось в число критических факторов экономического успеха деятельности предприятий.
Еще несколько десятилетий назад конкурентная борьба была сосредоточена в области обладания новинками технического прогресса, совершенствования технологий, структур управления, маркетинга и т.п. В настоящее время общепризнанным фактором экономической состоятельности является успешная работа с персоналом.
Управление кадрами (персоналом) обеспечивает создание благоприятной среды, в которой реализуется трудовой потенциал, развиваются личностные качества человека. Работник получает возможность использовать полнее свой человеческий капитал, а работодатель получает в итоге дополнительную прибыль или другие неявные экономические выгоды.
Основные задачи управления персоналом на предприятии сводятся к следующим: определение потребности в кадрах; изучение рынков труда; наем работников и их первичное обучение; оценка работы и работников; подбор кадров и их расстановка; изучение содержания труда работников; исследования мотивации к труду; стимулирование труда, увольнение работника; исследование личностных особенностей и т.п.
Развитие системы управления персоналом определяются в первую очередь изменениями технико-технологического уровня производственной деятельности. К таким преобразованиям относятся формирование новых высокотехнологичных отраслей, появление гибких технологий, автоматизация производства. С точки зрения систем управления персоналом эти изменения способствуют структурной перестройке национальной экономики и соответственно изменению структуры занятости; дифференциации персонала и формированию внутренних рынков труда; пересмотру принципов в организации производств с акцентом на коллективную работу; развитию горизонтальных коммуникаций, повышению квалификации работников; созданию комплексных систем управления качеством работ.
Происходят изменение и в личностном факторе: изменяются демографические характеристики занятых: пол, возраст, стаж и т.п.; растет образовательный уровень работающих и повышается стоимость человеческого капитала; усложняется мотивация трудовой деятельности и происходит переориентация ценностей; повышается роль интеллектуальных и этических ресурсов в управлении производственной деятельностью. Подобные явления определяют создание непрерывных систем повышения квалификации и совершенствования разнообразных форм внутрифирменного обучения и повышения квалификации персонала; формирует комплексные подходы к воспроизводству человеческих ресурсов (предполагает участия компаний в воспроизводственном процессе); ориентирует на создание систем стимулирования новаторства, участие в управление предприятием; выявление ключевых работников. Действенное влияние на развитие систем управления персоналом в компаниях оказывает формирование многообразных форм предприятий, интегрирование и интернационализация бизнеса, вмешательство государства в сферу трудовых отношений; признание возрастающей роли человеческих ресурсов и в производственной деятельности; обобщение практики хозяйствования на основе системной методологии, усиление взаимодействия кадровых служб предприятия с государственным службами, аккумуляцию передового международного опыта и т.п.
Организация стимулирования представляет самостоятельное направление менеджмента и может быть исследована только в комплексе с другими задачами управления персоналом, с которыми оно находится в тесной связи и взаимозависимости.
С точки зрения создания эффективных систем стимулирования безусловно важнейшее значение имеет выявление мотивации трудовой деятельности. В первом параграфе нашей работе мы рассмотрели основные теории мотивации. В рамках данного раздела представляется целесообразным изучение практических аспектов применения теорий мотивации на уровне предприятия.
Мотивация сотрудников на конкретном предприятии осуществляется в соответствии с потребностями организации в зависимости от ситуации (от давления внешней среды, состояния компании, потребностей сотрудников) (рис.4).
Потребности организации и индивида зависят от состояния внешней среды и никогда полностью не совпадают. Возможны ситуации, когда интересы организации противоречат или даже вредят интересам индивида и наоборот.

Рис. 4. Формирование мотивационной политики предприятия.
Анализ индивидуальных потребностей достаточно затруднителен, так, как поведение человека - это предпринимаемые действия по достижению цели, а одна и та же цель может быть обусловлена различными потребностями, к тому же потребности, которые мотивируют данное поведение, часто не только остаются скрытыми от внешнего наблюдения, но и являются неосознанными для самого индивида.
Существует несколько подходов к выбору мотивационной политики:
1. Стимул и наказание. В этом случае люди работают за вознаграждение - тем, кто работает хорошо и много, вознаграждение увеличивается и наоборот.
2. Мотивирование через саму работу - человеку предоставляют интересную и приносящую ему удовлетворение работу. Достигаемый результат с точки зрения работодателя - высокое качество исполнения.
3. Формирование обратной связи на основе постоянных контактов с руководителем.
Известны следующие мотивационные методы, реализующие приведенные направления в практической деятельности по управлению персоналом. 1. Использование денег в качестве вознаграждения и стимула.
2. Использование других форм индивидуального и коллективного вознаграждения, имеющих неденежную форму. Они могут подразделяться на те, которые явно увеличивают доходы работника и так или иначе могут считаться материальными стимулами, и те, которые явно не приносят материальных выгод. К таким вознаграждениям относят: признание достижений, развитие чувства, сопричастности, мотивирование через работу, обучение и повышение квалификации работника; защита от отрицательных воздействий, участие в руководстве и т.п.
3. Наказания и взыскания
Поскольку темой нашего исследования является заработная плата, то основы ее правильного построения и управления этим процессом будут подробно показаны позже. На настоящем этапе мы лишь рассмотрим соотношение различных групп мотивационных методов с позиций выбора стратегии и тактики управления персоналом и достижения эффективного состояния организации.
Естественно, деньги в качестве заработной платы и других форм вознаграждения - очевидная форма поощрения и мотивации. Однако, тот же Херцбергер, сомневается в эффективности денег как средства мотивации. Основной его довод заключается в том, что повышение заработной платы не приводит автоматически к повышению эффективности и производительности труда. Но следует учитывать тот факт, что деньги являются средством достижения различных целей, прямо или косвенно связанных с удовлетворением различных потребностей: в иерархии А. Маслоу деньги удовлетворяют основные потребности выживания и безопасности, они могут удовлетворить и потребности в самоуважении, в престиже, статусе и т.п. Однако, Херцбергер совершенно справедливо обращает внимание на то обстоятельство, что неизменная систематическая плата может и демотивировать. Использование денег в качестве эффективного мотиватора возможно при реализации следующих подходов в организации заработной платы: установление конкурентной заработной платы для привлечения и удержание работников; определение заработной платы, которая отражает стоимость работы для компании на основах справедливости; согласование величины заработной платы с качеством исполнения (результатом); создание у работника чувство уверенности, что его усилия будут вознаграждены соответствующим образом. Заработная плата не единственная форма материального поощрения. В развитых странах используется широкий спектр вознаграждений, увеличивающих явные и неявные доходы сотрудников.
Заработная плата и другие формы материального вознаграждения остаются основным мотивирующим фактором трудовой деятельности. В то же время в развитых странах на первые места выдвигаются другие мотивы: справедливость, признание, грамотный руководитель, определенность, вовлеченность, обратная связь, достижения положительных результатов и т.п. Это связано с тем, что первичные потребности человека в этих странах практически удовлетворены и на первый план у работника выходят потребности более высокого уровня.
Следует обратить внимание и на то обстоятельство, что потребности индивидуальны и то что, один считает ценным для себя для другого не имеет никого значения. Следовательно, применяемый метод мотивации в одном случае представляет реальное вознаграждение, в другом случае он таковым не является. Нами предложена матрица, позволяющая увязать различные стимулирующие воздействия, разнообразие рабочих мест и работников (рис.5).

Рис. 5. Матрица разнообразия стимулов.
Набор возможных стимулов, сформированный на основе теории мотивации содержится в таблице 31.
Таблица 31. Набор возможных стимулов, используемых для мотивации работников.
| Материальные
|
Безопасность
|
Нематериальные форма
|
| поощрения
|
вознаграждения
|
| Заработная
плата
|
Другие
формы
|
Личный
рост
|
Признание
|
Причастность и
интересная
работа
|
| 1
|
2
|
4
|
5
|
6
|
| Уровень
заработной
платы
|
Страхование
|
Безопасность
рабочего места
|
Возможности для
обучения
|
Продвижение по служебной
лестнице
|
Ощущения
полезности
своей работы
|
| Зарплатообразующие
факторы
|
Лечение
|
Гигиенические
факторы, чистота
|
Возможность карьеры
|
Разнообразные виды
морального
поощрения
|
Причастность к
целям деятельности компаний
|
| Формы и
системы
заработной
платы
|
Обучение
детей в учебных заведениях
|
Уровень шума
и т.п.
|
Рост
ответственности и влияния
|
Участие в
управлении
|
Совместное
принятие
решений
|
| Участие в
прибыли
|
Пенсионные
программы
|
Уровень физической и психологической
нагрузки
|
Возможность развивать
творческие
наклонности
|
Повышение
уровня ответственности
|
Интересная работа, которая
становится главным стимулом
для работника
|
| Другие виды
дополни-
тельных
социальных
благ
|
Представленный фрагмент матрицы содержит наиболее полный набор стимулов. Каждому конкретному рабочему месту и работнику должен соответствовать свой набор стимулов. Если работник обладает более высоким человеческим капиталом, то очевидно должны измениться зараплатообразующие факторы, мера причастности, содержание работы. Дальнейшее развитие матрицы может стать темой самостоятельного исследования. В рамках данной работы мы ограничимся рассмотрением направлений рациональной организации заработной платы в компаниях.
Рациональная организация заработной платы предполагает выработку принципов (основополагающих правил, норм), на базе которых она будет построенa на предприятии. В каждой конкретной компании может существовать собственный набор правил построения заработной платы, однако это не означает, что он является для данного предприятия оптимальным и способствует повышению эффективности его деятельности.
В каждой конкретной компании может существовать собственный набор правил построения заработной платы, однако это не означает, что он является для данного предприятия оптимальным и способствует повышению эффективности его деятельности.
В экономической литературе есть множество обоснованных правил организации заработной платы на предприятиях, которые можно свести к следующим:
1. Учет воздействия рынка труда на формирование ставок оплаты.
2. Создание механизма внутренней конкуренции среди работников.
3. Равная оплата за равный труд.
4. Дифференциация заработной платы в зависимости от трудового вклада, результатов производственной деятельности компании, содержание и условий труда.
5. Простота и доступность форм и систем оплаты труда.
6. Контроль над издержками на заработную плату на основе соотношений темпов роста производительности труда и средней заработной платы.
7. Учет воздействия государственного регулирования экономики и деятельности профсоюзов.
Среди рыночных факторов, влияющих на размер заработной платы, можно выделить следующие: изменение спроса и предложения, полезность ресурса для предпринимателя, эластичность спроса на труд по цене, взаимозаменяемость ресурса, изменение цен на потребительские товары и услуги.
Так падение спроса на рынке товаров и услуг, при производстве которых используется данный труд (в результате роста цен на товары, снижения доходов потребителей, изменения потребительских предпочтений, вытеснения новыми товарами) ведет к сокращению объемов выпуска, а следовательно, к падению спроса на рынке труда и ухудшению условий найма. Напротив, повышение спроса на товары и услуги может привести к росту спроса на труд и повышению ставки заработной платы.
Полезность ресурса для предпринимателя (соотношение величины предельного дохода от использования фактора труда и предельных издержек на этот фактор) связано с тем, что увеличение спроса на труд во многом будет зависеть от того, как долго будет экономически эффективным привлечение дополнительных работников при неизменных характеристиках других факторов производства, в частности, технической оснащенности.
Вовлечение каждого дополнительного работника (предельного работника) может привести к некоторому увеличению количества выпускаемой продукции (предельная производительность труда - дополнительное количество продукции при вовлечении дополнительной единицы ресурса труда). Реализация этой дополнительной продукции (с учетом возможного изменения цен в результате насыщения его рынка) приведет к получению предпринимателем дополнительного дохода. Вместе с тем использование дополнительного работника повышает переменные издержки производства (прежде всего, возникают дополнительные издержки на оплату труда и содержание этого работника). Таким образом, предельному доходу соответствует определенная величина предельных издержек на труд, которые в основном являются издержками на его оплату. До тех пор, пока предельные издержки меньше предельного дохода, предприниматель получает дополнительную экономическую выгоду от привлечения дополнительных единиц труда.
Однако нельзя не учитывать «закона убывающей отдачи». Экономическая эффективность увеличения любого из факторов производства при неизменности всех других факторов имеет определенные пределы, за которыми начинается ее уменьшение. Превышение предельными издержками величины предельного дохода от фактора труда означает исчерпанность эффективности его дальнейшего вовлечения при данной материально - технической базе предприятия. Одновременно можно утверждать, что ориентиром ставки заработной платы для конкретной фирмы будет величина предельного дохода, не меньшая величины предельных издержек.
Эластичность спроса на труд по цене. Повышение цены ресурса (например, рост ставки заработной платы под давлением профсоюзов), увеличение издержек предпринимателя ведут к снижению спроса на труд, а следовательно, к ухудшению условий найма. В то же время эластичность спроса на труд по цене (его реакция на колебания цены труда) не всегда одинакова и зависит от:
- характера динамики предельного дохода. Если предельный доход снижается медленно, то рост цен на ресурс труда вызывает медленное снижение спроса на рынке труда, т.е. эластичность спроса по цене слабая. Например, когда возможности получения отдачи от дополнительного привлечения работников исчерпываются быстро, повышение ставки заработной платы вызывает резкое падение спроса на труд, т.е. в этом случае спрос на рынке данного ресурса труда высоко эластичен;
- доли затрат на ресурс труда в издержках фирмы. Чем выше доля затрат на труд в общих издержках производства товара, тем выше зависимость спроса на труд от цены труда, так как изменение издержек на оплату будет во многом определять динамику общих издержек;
- эластичность спроса на товары, при производстве которых используется данный труд. Например, спрос на такие продукты питания, как хлеб, соль, мало зависят от цены на них, потому и спрос на труд, используемый при их производстве, в меньшей степени будет зависеть от его цены.
Взаимозаменяемость ресурсов. Рассматривая воздействие данного фактора, следует отметить, что возможности работодателя снизить издержки на труд при неизменной технической базе существенно ограничены. Дело в том, что в цене труда присутствует так называемый «эффект храповика». Иными словами, ставка заработной платы, будучи вполне гибкой в сторону увеличения, практически не двигается в сторону уменьшения при изменении конъюнктуры на рынке труда. Основные возможности работодателя в снижении издержек на труд связаны с сокращением переменной части заработка, дополнительных социальных льгот и гарантий работника, уменьшением удельных издержек на труд за счет увеличения рабочего времени, повышения интенсивности труда, организационных мер.
Однако в качестве сдерживающего фактора выступают условия коллективных и индивидуальных трудовых договоров, деятельность профсоюзов, возможность потери кадрового потенциала в результате предлагаемых конкурентами более привлекательных условий оплаты. В этом случае встает вопрос о возможности замещения живого труда более производительной техникой, что может оказать двоякое воздействие на условия найма и конъюнктуру рынка труда в зависимости от того, какой эффект будет предпочтительнее для работодателя. Возможны два варианта: первый - эффект замещения, т.е. сокращение кадров при неизменном или возрастающем выпуске продукции в результате внедрения новой техники. Второй вариант - эффект роста объема выпуска в результате, применения высокопроизводительной техники, который значительно снижает средние издержки производства и повышает его выгодность.
Изменение цен на потребительские товары и услуги. Рост цен на потребительские товары и услуги, вызывая повышение стоимости жизни, влечет за собой в первую очередь увеличение воспроизводственного минимума в структуре ставки заработной платы, а значит уровня заработной платы в целом. При понижении цен на потребительские товары и услуги такой прямой зависимости не будет, если учесть уже упоминавшийся «эффект храповика».
На уровень оплаты труда кроме рыночных воздействуют и нерыночные факторы, к которым относятся: меры государственного регулирования, политика профсоюзов.
Меры государственного регулирования, связанные с установлением минимума заработной платы, уровня гарантированных законодательством компенсационных доплат, а также меры по регулированию занятости и защите внутреннего рынка труда. Кроме того, на размер и условия оплаты труда воздействует механизм договорного регулирования на всех уровнях заключения трудовых отношений.
Фактором относительной стабильности и малой гибкости ставки заработной платы является долговременность взаимных трудовых обязательств фирмы и работника. Для фирмы затраты на наем (набор, отбор, подготовку, адаптацию) работника достаточно высоки. Что касается работника, то за время своей деятельности в данной фирме он адаптируется именно к конкретным условиям работы, в связи, с чем замена его на другого работника, даже обладающего теми же профессионально - квалификационными характеристиками, будет далеко не равноценной. Для самого работника заключение договора на длительный срок также является ценным, поскольку дает некоторые гарантии занятости и условий найма. Именно в силу этого договор (контракт) заключается на определенное время, и фиксируются такие условия, как продолжительность рабочего времени, уровень оплаты и условия ее увеличения, порядок индексации и т.п. Таким образом, у работодателей резко снижается возможность изменять уровень и условия оплаты труда. Более того, они понимают, что падение заработков ведет к снижению трудовой мотивации и, как правило, отрицательно сказывается на трудовой отдаче.
Кроме того, на ставку заработной платы и условия найма существенное влияние могут оказывать политика профсоюзов, сила профсоюзного движения.
Особое значение приобретает традиционная профсоюзная политика, направленная на повышение гарантий в оплате труда представителей уникальных профессий, чей труд имеет ограниченный спрос у работодателей, а также на разрешение ситуаций, когда в поселке, городе занятость обеспечивают «градообразующие предприятия», что создает возможность возникновения «монопсонии» на рынке труда (диктат покупателя). В данном случае предприниматель может получать прибыль за счет ограничения спроса на рабочую силу, снижая тем самым ставку заработной платы и свои издержки на труд по сравнению с конкурентным рынком труда, когда спрос создает множество работодателей и работник может выбирать наиболее устраивающие его условия найма.
Работодатель обязан установить каждому работнику нормируемый объем работ, исходя из установленной законодательством продолжительности рабочего дня, нормальной интенсивности труда и средней для данного вида работ производительности труда. Оплата труда производится пропорционально нормируемому объему работ. Работник не имеет права рассчитывать на полную оплату в случае невыполнения им нормируемого объема работ. Работа сверх нормируемого объема допускается по взаимному согласию работника и работодателя и оплачивается по установленным для этих случаев условиям оплаты. На каждом предприятии целесообразно иметь описание всех видов работ с соответствующими затратами труда на их выполнение (нормативную базу трудозатрат.
3.3 Рационализация дифференциации заработной платы в Республике Корея
Будущее дифференциации заработной платы будет зависеть от комплекса факторов, включая напряженность на рынке труда и развитие внутрифирменных систем стимулирования. В настоящее время напряженность на рынке труда объясняется отсутствием достаточного количества работников, имеющих высшее образование, которое, как видно из ранее изложенных выводов, является определяющим моментом в формировании различий в оплате труда. Если работник имеет научную степень, то не только его стартовая заработная плата, но и его последующий доход, возможность продвижения по службе будут во многом отличаться от соответствующих показателей у тех людей, которые ее не имеют. Особое значение на корейском рынке труда имеет не специализация выпускника университета, оценки в дипломе, а репутация учебного заведения и научная степень. Этот факт во многом объясняет поведение большинства корейских студентов, стремящихся учиться на гуманитарных факультетах, в то время, когда реальный дефицит специалистов с высшим образованием наблюдается среди инженеров и менеджеров. Правительство Южной Кореи после долгого промедления практически вдовое увеличило количество мест в высших учебных заведениях. При этом необходимо обратить внимание, что количество контролируемых правительством мест остается незначительным и предпринятые меры лишь в некоторой степени их увеличивают. По показателю удельного веса бюджетных мест в высших учебных заведениях Южная Корея отстает от многих стран. Однако, предпринятые реформаторские шаги в сфере высшего образования могут создать ряд проблем: переполнение студенческих аудиторий, в формировании профессорского состава, необходимость строительство дополнительных зданий и т.д.
Образование работника выступает в качестве основного фактора отбора и установление конкретной величины заработной платы в компаниях, что существенно отличает внутрифирменные системы стимулирования на предприятиях Южной Кореи от зарубежных аналогов. На наш взгляд, такой подход завышает роль высшего образования, а отсутствие оплаты за достижения в труде, повышение качества работы не способствует внутренней конкуренции среди работников. Это обстоятельство может объяснить имеющее пока отставание в производительности труда и качестве работы, а, следовательно, и недостаточную эффективность национальной экономики Южной Кореи по сравнению с развитыми странами. Сложившаяся система дифференциации заработной платы становится препятствием для дальнейшего экономического развития страны. Представляется целесообразным внедрение новых подходов к организации системы материального стимулирования в компаниях. Однако, возникает проблема выбора конкретного варианта системы заработной платы, который бы отвечал требованиям современной экономики и отражал корейскую специфику. Вряд ли в условиях рыночных отношений и конкуренции между производителями можно рекомендовать для разнообразных компаний однозначную модель системы стимулирования, но необходимость выработки общих подходов к дифференциации заработной платы внутри предприятий не вызывает сомнений. Каждая фирма должна выработать свою концепцию кадровой политики; развить службы управления персоналом; пересмотреть состав заработной платы; выработать свои требования к оценке работников; создать систему оценочных показателей, позволяющих определить эффективность деятельности производственного рабочего, менеджера, и использовать эти оценки при определении величины заработной платы.
В рамках данного исследования мы и попытаемся сформулировать эти к наиболее общие подходы к организации современных систем стимулирования и привести конкретные примеры, откорректированные с учетом тех преобразований, которые происходят в мировой экономике, корейской специфики и новшеств, появляющихся в науке об управлении персоналом.
Концепция кадровой политики предприятия содержит следующие основные разделы: цель, принципы, основные направления и механизм реализации задач управления персоналом.
Примерная концепции кадровой политики компании.
Цели компании: ориентация на сближение интересов работников и компании (акционеров), соединявших свои ресурсы для достижения общих целей по созданию продуктов и услуг, для обеспечения занятости и заработной платы, получение гарантированного дохода на вложенный капитал; создание достойных социальных и экономических условий всех работающих на предприятии, формирование единого подхода к персоналу внутри предприятия и положительного образа компании в глазах общества.
Основные принципы работы с персоналом в современной трактовке сводится обычно к следующим:
- набирать на предприятие людей, подходящих как по личным, так и по деловым качествам и использовать их согласно способностям и умениям;
- уважать индивидуальность путем поощрения высокой производительности, поддерживать уважение работников друг к другу;
- предоставлять всем равные возможности для справедливой оплаты за хорошо выполненную работу с учетом конечных результатов деятельности компании;
- обеспечивать систематическое обучение и повышение квалификации сотрудников, формируя резерв из собственных кадров для занятия высококвалифицированных и руководящих должностей;
- повышать ответственность руководителей за развитие трудового потенциала подчиненных.
Основные направления управления персоналом.
- Набор кадров и их использование: создание образа перспективного привлекательного работодателя, том числе путем контактов со школами и университетами; отбор сотрудников подходящих как по личным так и по деловым качествам, которые будет использовать свои способности, умения знания, навыки на достижение цели компании; предоставление всем сотрудникам равные шансы в профессиональном развитии; выделение и стимулирование работников, способных брать на себя ответственность и решать новые задачи; создание условий для реализации своего опыта и идей.
- Заработная плата и социальное обеспечение: дифференциация заработной платы в соответствие индивидуальной постановкой задач и личной производительностью труда на основе выработки требований к функциям и результатам работы сотрудников; увязывание заработной платы с результатами деятельности подразделений и компании; установление системы социальных благ, структура и размер которых зависит от финансового состояния компании и государственной политики в этой сфере; ориентация размера заработной платы на рынок труда.
- Причастность к управлению: формирование относительно самостоятельных производственных подразделений небольшого размера, объединенных единой целью, где каждому сотруднику предоставляется возможность принимать на себя ответственность, и предоставляются соответствующие полномочия, и обеспечивается регулярное общение с руководителем для обсуждения результатов работы и дальнейшего его совершенствования.
- Квалификация сотрудников: создание условий для повышения квалификации сотрудников в соответствии с изменяющимися требованиями, стимулирование стремления сотрудников к повышению квалификации.
- Сотрудничество с представителями трудящихся: создание конструктивной атмосферы для переговоров с профсоюзами.
Реализация подобной концепции потребует развития служб управления персоналом. В Корее существует мнение о высокой стоимости подобных систем отбора персонала. Однако при этом не учитываются высокие затраты на необходимость обеспечения постоянного дисциплинарного контроля над работниками, недостаточный уровень производительности труда и качества продукции.
Ключевым моментом в создании эффективной системы управления персоналом безусловно является модель формирования заработной платы, определяющая основные зарплатообразующие факторы и их структуру. В основе организации заработной платы, как мы уже отмечали в первой главе, лежит учет разнообразия рабочих мест и работников, которые и выступают в качестве определяющих начал дифференциации оплаты труда. Однако следует иметь в виду, что само по себе разнообразие рабочих мест и работников, без связи с результатами трудовыми усилий не может быть использовано при формировании зарплатообразующих факторов и состава заработной платы. Выявление зарплатообразующих факторов является важнейшим моментом, обуславливающем не только структуру заработной платы, но и построение системы оценок персонала и рабочих мест.
Предлагаемая нами примерная модель формирования заработной платы в корейских компаниях определяет лишь ее общие контуры, и более того предполагает ее непрерывное изменение и развитие под воздействием внутренней и внешней среды. Каждая компания по-своему может подойти к проблеме установления зарплатообразующих факторов, составу и структуре заработной платы. В качестве зарплатообразующих факторов мы рекомендуем, учитывая сложившиеся традиции в оплате труда в Южной Кореи следующие: уровень образования, стаж работы, уровень достижений, выполняемые функции, единовременные выплаты по результатам деятельности предприятия, характеристики рабочего места, безопасность работы. Соответственно заработная плата будет включать в себя несколько частей: основную заработную плату, дополнительные выплаты, доплаты за вредные и тяжелые условия.
Основная заработная плата формируется на базе образовательного и квалифицированного уровня работника. Учитываются особенности рабочего места: уровень ответственности, необходимость принятия самостоятельных решений, возможность нанесения материального ущерба вследствие неправильных действий или решений. В состав основной заработной платы включается ежегодная регулярная надбавка, установленная в процентном отношении к первой части основной заработной платы (базовая ставка). Базовая ставка может быть определена на основе использования данных рынка труда или путем переговоров с профсоюзами. Определение базовой ставки производится применительно определенного рабочего места, должности. В связи с чем, необходимо провести предварительную работу по классификации рабочих мест и их ранжированию (созданию системы разрядов): устанавливается иерархия разрядов по признакам уровня образования и квалификации, необходимых для выполнения работы,, важности выполняемых функций, масштаба ответственности, вклада в достижение целей организации, условий труда, степени физического и умственного напряжения. На основе анализа рабочих мест создается справочник или классификатор рабочих мест, который содержит описание конкретного рабочего места, с выделением важнейших факторов, обеспечивающих его эффективное использование. В описании рабочего места (должностной инструкции) содержится также несколько уровней требований к работнику и выполняемым им функциям. Последнее обстоятельство позволяет придать гибкость системе стимулирования уже на этапе формирования базовой ставки. Базовая ставка разряда может быть установлена в виде должностного оклада (тарифной ставки), верхняя граница которой (максимум) выше, чем нижний предел ставки следующего разряда. Предложенный порядок построения базовой ставки обеспечивает мотивацию работника к повышению квалификации и расширения выполненных функций в пределах рабочего места, и именно этот момент обуславливает определение ежегодной регулярной надбавки.
Дополнительные выплаты производятся за конкретные достижения работника и придают дальнейшую гибкость, системе материального стимулирования, формируя переменную часть заработной платы. Дополнительные выплаты зависят от таких показателей, как объем выполненной работы, качество произведенной продукции (услуг), увязанных с конечными результатами деятельности подразделения, компании в целом и индивидуальными достижениями работника. Дополнительные выплаты проводятся по итогам работы компании за год (полгода), за выполнение крупного заказа. Величина дополнительных выплат зависит от вклада каждого работника в достижение конечного результата и, очевидно, у высших менеджеров она будет выше в относительном (устанавливается пропорционально основной заработной плате) и абсолютном выражении. При использовании коллективной оплаты труда дополнительная выплата выделяется на группу, внутри которой распределение доплат осуществляется на основе системы оценок, учитывающий личный трудовой вклад каждого работника. В первой главе имеется описание нескольких систем, позволяющих увязать заработную плату работника с конечными результатами деятельности компании. Каждая компания в зависимости от специфики своей деятельности может сформировать собственную систему дополнительных выплат. Увязывая их либо с объемами продаж, качеством обслуживания потребителей, увеличением объема условно-чистой продукции или другим, имеющим важное значение для фирмы показателем. Непременным условием реализации системы дополнительных выплат является наличие прибыли и ее рост в периоде, за который определяется надбавка.
Третья составляющая - оплата за работу во вредных для здоровья, пожароопасных условия, а также за выполнение других тяжелых и опасных для жизни действий. Если эти условия имеют постоянный характер, они могут быть включены в основную заработную плату, как составляющий элемент для расчета базовой ставки. Для устранения произвольного характера в таких решениях как повышение разряда, установление новой величины оплаты труда, продвижение по службе - разрабатывают весьма сложные системы оценки, способные обеспечить объективность. Оценки, в рамках таких систем более справедливы, так как применяемые в них критерии обычно тесно связаны с конкретной работой. Когда применяются комплексные системы оценки труда, критерии работы строго формулируются, в результате чего работнику и его начальнику ясно, что именно требуется от работника, а поэтому оба они способны определить - выполнена ли работа надлежащим образом. Однако, современные системы оценки нацелены не только на такие утилитарные вещи, как оценка произведенной работы, они решают гораздо больший круг задач, к числу которых относятся:
- положительное воздействие на мотивацию сотрудников - обратная связь позволяет скорректировать им свое поведение и повысить качество своей работы;
- планирование профессионального развития и карьеры, профессионального обучения: оценка дает возможность выявить недостатки в уровне знаний, навыков, умений, сильные и слабые стороны личности, профессиональные качества;
- принятие решений о вознаграждении, продвижении, увольнений;
- повышения организационной культуры фирмы;
Система оценок в компаниях должна удовлетворять ряду требований:
- система оценки и, самое главное, фактическая оценка работы должны быть максимально объективными и восприниматься работниками как объективные;
- критерии оценок должны быть понятны сотрудникам, доведены до их сведения;
- индивидуальные оценки должны быть отличимые от других показателей и доступны для наблюдения;
- система оценок должна обладать качеством универсальности: единообразие понимания и применения ее во всех подразделениях и уровнях управления;
результаты оценки должны быть конфиденциальными: они должны быть известны работнику, его руководителю и лицам, которые имеют непосредственное отношение к процедуре аттестации;
- активное участие сотрудников в процессе оценки.
Важнейшей проблемой при организации внедрения системы оценки персонала является выбор методов оценки. В процессе выбора необходимо установить критические факторы, определяющие успех при работе на данном рабочем месте путем его анализа. Следующий этап установления способов оценки по каждому показателю: они могут быть качественными - «хорошо», «удовлетворительно», «плохо» и т.д.; количественные, когда каждый показатель оценивается в определенных пределах соответствующим баллом. Количественные способы хороши с точки зрения наглядности, однако, на практике не всегда имеется возможность измерить тот или иной показатель с достаточной точностью. Традиционно оценку производит руководитель подчиненного, хотя в развитых странах появились другие подходы к этой проблеме: когда работник оценивается своим руководителем, коллегами, подчиненными (расширение состава сотрудников, оценивающих работника, противоречит принципу конфиденциальности и может стать причиной целого ряда конфликтов). Мы должны иметь в виду, что и принятие первого способа оценки не всегда может быть удачным. В последнее время дополнительно к оценкам результатов работы, по поводу которых есть справедливое замечание об их ориентации на прошлое, появились психологические методы оценки персонала, позволяющие выявить потенциал сотрудника. Они являются весьма дорогостоящими и их можно рекомендовать для использования в отдельных случаях, например, выявление лидеров.
Рекомендуемые нами стандартные показатели для оценки фактической деятельности работников в корейских компаниях сводятся к следующим: объем работы, качество работы, инициатива, трудовая дисциплина, надежность, способность работать в группе, профессиональные знания и навыки, творчество, коммуникативные навыки, потенциальные возможности руководить, развитие. Представляется, что это самые общие показатели, которые должны конкретизироваться в каждой компании в зависимости от рода ее деятельности. Свой перечень показателей составляется и применительно к группам рабочих мест (должностям). В идеальном варианте каждый показатель должен быть проранжирован, причем значимость той или иной оценки зависит от задач, стоящих перед подразделением или предприятием в исследуемом периоде и видоизменяется во времени.
Ранг того или иного показателя определяется экспертно с обязательным привлечением высшего менеджмента.
В нашей работе предлагается примерная карта оценки деятельности работника, где мы попытались сформулировать критерии контроля, используемые для определения балла оценки.
Процедура проведения оценки предполагает, как мы уже отмечали, обязательное ознакомление оцениваемого работника с ее результатами.
Внедрение подобных систем изменит положение на рынках труда, повысит отдачу работников в национальной экономике Кореи, будет способствовать росту производительности труда, качеству выпускаемой продукции (услуг) адаптации к новым технологиям, внедрению «ноу-хау», т.е. будет способствовать экономическому развитию Кореи.
Наиболее важные выводы и предложения, вытекающие из проведенного исследования, можно сформировать следующим образом:
Теория человеческого капитала, теория мотивации и теория рынка труда во многом объясняют природу дифференциации в оплате труда. Дифференциация заработной платы - такое же естественное явление, как и многообразие цен на другие рыночные товары, определяемое спросом и предложением качественными характеристиками, потребительскими свойствами, полезностью торгуемых продуктов и услуг. С другой стороны различия в оплате труда во многом определяется поведением самого человека: его предпочтениями; неоднородностью психофизиологических качеств, образованием. На дифференциацию заработной платы несомненное влияние оказывают государственное регулирование, профсоюзы, несовершенство самого рынка труда.
Рынок труда имеет свою специфику, отличающую его от других товарных рынков. В первую очередь мы должны отметить особенности самого товара, который продается и покупается на данном рынке: способности, навыки, опыт, квалификация человека, с помощью которых, он производит какие-либо продукты. Эти качества неотделимы от самого работника, но покупатель не имеет возможности купить человека. По сути, работодатель покупает услугу. Но работник проводит часть своей жизни на рабочем месте, поэтому для него важна не только заработная плата, но и неденежные факторы: безопасность, условия труда и режим, возможности обучения и профессионального роста, отношения внутри коллектива, гарантии занятости, статус. Принимая решения о работе, человек учитывает возможность использования своего времени в домашнем хозяйстве, где он может производить другие блага, которые иногда невозможно купить за деньги. Специфика товара «труд» безусловно, оказывает влияние на его предложение, что резко отличает рынок труда от других товарных рынков.
Применяя теорию компенсационных различий можно объяснить дифференциацию заработной платы по отраслям, регионам отдельным рабочим местам. В схеме факторов, определяющих дифференциацию заработной платы, мы выделили такое направление как неоднородность рабочих мест. Рабочие места отличаются по безопасности работы, имеются региональные различия, есть работы творческие, а есть однообразные и т.п. Если рынок работает нормально, фирмы, имеющие худшие условия труда, вынуждены предлагать более высокую заработную плату, иначе она не найдет работников. Работодатель, предоставляющий служащим дополнительные льготы, может позволить себе платить им меньше.
В условиях риска поведение различных людей неодинаково. Каждый работник оценивает риск индивидуально, поэтому их решение отличаются. Один работник будет предпочитать безопасную работу, другой остановит свой выбор на рабочем месте с более опасными характеристиками, но с более высокой оплатой труда. Работодатель также стоит перед выбором: предлагать повышенную заработную плату или снизить уровень риска, осуществив соответствующие инвестиции (если это возможно). Естественно, при этом выборе наниматель будет руководствоваться экономической выгодой, исследуя возможность сохранения допустимого уровня прибыли.
Исследование рынка дает для компаний важную информацию о сложившейся цене труда по различным специальностям, по отраслям и другим сегментам рынка труда, тенденции изменения ставок заработной платы в долгосрочных и краткосрочных периодах. Подобная информация позволяет прогнозировать изменение цены труда, а компании анализируют данные по состоянию рынка труда, могут устанавливать начальные ставки оплаты по отдельным специальностям и разрядам (в дальнейшем мы эти ставки будем именовать базовыми). Установление базовых ставок на основе рыночных исследований обеспечивает внедрение принципов конкуренции в организацию заработной платы на предприятиях, дифференцируя ее в зависимости от состояния внешнего рынка труда.
Использование системы оценок для определения дополнительных вознаграждений получило широкое распространение во всем мире. Естественно, каждая фирма, применяющая подобные системы, формирует свой набор оценочных показателей, свою шкалу оценок в зависимости от конкретных условий своей деятельности, категории работников и других факторов.
Все многообразие оценочных показателей можно свести к следующим группам:
1. Знания, профессиональный опыт и их изменения в оцениваемом периоде;
2. Объем выполняемой работы;
3. Качество работы и уровень удовлетворения потребителей, в том числе собственных структурных подразделений.
4. Ответственность за использование материальных ресурсов, оборудование, инструменты.
5. Условия труда: физические и психологические нагрузки, вредность и другие.
6. Необходимость принятия самостоятельных решений.
Главными требованиями к. организации заработной платы на предприятии, отвечающими как интересам работника, так и интересам работодателя, являются обеспечение необходимого роста заработной платы при снижении ее затрат на единицу продукции и повышение оплаты труда каждого работника по мере роста эффективности деятельности предприятия в целом. Соблюдение этих требований при разработке конкретного механизма оплаты труда побуждает руководителей и специалистов предприятия в максимальной степени использовать имеющиеся научные, технические, организационно-экономические и социальные резервы повышения эффективности производства.
Корейский рынок труда включает развитые внутренние рынки труда, для которых характерен высокий уровень внутрифирменных инвестиций в человеческий капитал, сопровождаемой системой «пожизненного найма» для значительной части работников крупных фирм. При этом в стране поддерживается низкий уровень безработицы в пределах 2-3%; невысокий охват работников профсоюзами, которые имеют преимущественно отраслевую направленность; высокая дифференциация оплаты труда.
В Республике Корея система оплаты сильно отличается от аналогов в развитых странах.
В индустриальных странах Запада, правила определения заработной платы, в основном, опираются на характеристики самой работы и на качество выполнения работы. Такие атрибуты работника, как образование и т. д. рассматриваются только тогда, когда они необходимы для выполнения какой- либо работы. В противоположность этому, в Южной Корее, индивидуальные характеристики работника являются самым важным фактором в определении размеров заработной платы, а работа и качество ее выполнения являются второстепенными и менее значимыми. Как правило, заработную плату выплачивают в соответствии с тем, кем является этот человек, а не какую работу он выполняет.
Основными определяющими внутреннюю структуру заработной платы являются образование, срок службы и пол. Среди них полученное образование играет ведущую роль в определении ставки заработной платы. Кроме стартовой заработной платы оно также влияет на увеличение заработной платы с течением времени на продвижение по службе, таким образом определяя размер общего дохода человека в течение всей его жизни Исходя из того насколько значимыми являются вышеперечисленные правила, можно сказать, что не существует большой разницы между крупными и малыми предприятиями, за исключением размеров надбавок к заработной плате, также определяемых уровнем образования.
Выявленные две причины, по которым в Корее очень важно иметь образование. Это размер заработной платы и трудоустройство. Западные страны совершили довольно плавный переход от ремесленных навыков восемнадцатого века к современным технологиям. Квалификационная структура рабочей силы постепенно изменялась, попутно расширяясь. Сосредоточение производственных навыков имело место в основном на рынке труда, а не в образовательных институтах. Таким образом, рынок труда в Западных развитых странах представляет собой рынок, на котором продаются и покупаются определенные виды навыков. В противоположность этому, в Республике Корея современные производственные навыки были привнесены из зарубежных стран как уже сформировавшаяся система знаний, которая должна была быть внедрена в институты образования. Таким образом, все усиливающаяся большая зависимость корейской экономики от ввозимых западных технологий неизбежно привела к установлению большей зависимости южно-корейских производственников от научных знаний, а не от традиционных навыков и опыта работы, которые развились самостоятельно за всю историю страны. Поэтому, южнокорейский рынок труда был рынком, на котором покупались и продавались академические знания работников, а не накопленные навыки.
Общий переизбыток предложения рабочей силы на южнокорейском рынке труда в условиях ограничения числа рабочих мест, потребовало разработки схемы, с помощью которой проводился бы рациональный отбор специалистов. И этот отбор происходит на основе образования. Оно использовалось как резонный показатель компетенции работника, и более того, информацию о полученном образовании человека можно получить очень быстро. Такая система была введена уже на начальных стадиях индустриализации, практически из-за того, что универсальное южнокорейское начальное образование и введение современной системы образования предшествовали индустриализации (в отличие от развитых стран Запада, в которых индустриализации последовала за реформой образования).
Вся важность образования работника наблюдается не только в процессе трудоустройства, но также и в определении уровня заработной платы. Главным образом, это произошло из-за того, что введение систем оценки качества труда и содержания самой работы, а не уровня образования, было довольно дорогостоящим, в особенности на начальных этапах индустриализации, когда накопленный опыт был далеко несовременен.
По сравнению с другими странами разница в заработной плате у образованных и менее образованных работников в Южной Кореи довольно велика. Это частично объясняется тем, что они были введены во времена колониального правления Японии полугосударственных предприятий в 1910-1945 гг. Эти политически мотивированные разницы в заработной плате оказались выше, чем можно было предположить с экономической точки зрения. После освобождения 1945 года, эта система перекочевала в корейский государственный сектор и на государственные предприятия, когда они вновь наняли на работу образованную элиту, которая пользовалась привилегиями в области надбавок к заработной плате еще во времена японского правления.
Поскольку государственные предприятия являются монополиями, не максимизирующими свою прибыль, также как и монополии на рынке продукции, то структура заработной платы была основана на политических и бюрократических соображениях, которые были подвержены влиянию традиций, а не силам рынка совершенной конкуренции. Частные предприятия, впоследствии, переняли эту систему надбавок к жалованью людей с высшим образованием тем, чтобы привлечь их на свои фирмы из государственного сектора.
С другой стороны, контролируемое государством число поступающих в высшие учебные заведения было ограниченным, во время сильной зависимости промышленности, ориентированной на экспорт, от использования импортируемых современных технологий, увеличился спрос на высокообразованную рабочую силу. Таким образом, за последние десятилетия дифференциация заработной платы по образованию расширилась, а не сократилась.
Из всего сказанного следует, что дифференциация заработной платы во многом будет зависеть от культурного, социального и политического развития Южной Кореи, также как и от экономических факторов. Сильное влияние профсоюзов, которого нет сейчас, может стать общепринятым средством противостояния, дискриминирующим рыночным и внерыночным силам. Вот почему мы не можем быть настолько оптимистичны даже после того, как было произведено некоторое улучшение в области распределения заработной платы. Для того чтобы в будущем сократить разницу в заработной плате у людей с неодинаковым образованием, необходимо провести ряд изменений в существующих социальных, политических и культурных структурах по подобию эгалитарного общества, наряду с ускоренным процессом восстановления и развития экономики.
Рациональная организация заработной платы предполагает выработку принципов (основополагающих правил, норм), на базе которых она будет построена на предприятии. В каждой конкретной компании может существовать собственный набор правил построения заработной платы, однако это не означает, что он является для данного предприятия оптимальным и способствует повышению эффективности его деятельности.
Ключевым моментом в создании эффективной системы управления персоналом, безусловно, является модель формирования заработной платы, определяющая основные зарплатообразующие факторы и их структуру. В основе организации заработной платы, как мы уже отмечали в первой главе, лежит учет разнообразия рабочих мест и работников, которые и выступают в качестве определяющих начал дифференциации оплаты труда. Однако следует иметь в виду, что само по себе разнообразие рабочих мест и работников, без связи с результатами трудовыми усилий не может быть использовано при формировании зарплатообразующих факторов и состава заработной платы. Выявление зарплатообразующих факторов является важнейшим моментом, обуславливающем не только структуру заработной платы, но и построение системы оценок персонала и рабочих мест.
|