| Напрямки посилення конкурентоспроможності торговельного підприємства.
ПЛАН
Вступ. 3
Розділ 1. Теоретичні основи механізму забезпечення конкурентоспроможності торговельного підприємств. 5
1.1 Поняття та визначення конкурентоспроможності підприємства. 5
1.2 Підходи до оцінки конкурентоспроможності масового товару. 12
Розділ 2. Оцінка конкурентоспроможності ЗАТ „Консорціум”. 17
2.1 Характеристика об’єкта дослідження. 17
2.2 Аналіз маркетингових складових конкурентоспроможності ЗАТ „Консорціум” 20
2.3 Аналіз конкурентоспроможності товарної продукції ЗАТ „Консорціум” 26
Розділ 3 Шляхи посилення конкурентоспроможності ЗАТ „Консорціум”. 33
Висновок. 36
Список використаної літератури. 38
В жорсткому конкурентному середовищі вітчизняні торгові підприємства можуть успішно діяти завдяки створенню механізму забезпечення стійкого стану на ринку. Під механізмом стійкості на рівні підприємства необхідно розуміти сукупність економічних, екологічних і соціальних факторів. Економічна стійкість в більшості забезпечує досягнення стійкості і в інших напрямах функціонування торговельного підприємства. Економічну стійкість підприємств на конкурентному ринку сучасна теорія і практика поєднує з забезпеченням конкурентоспроможності. Цей підхід закладено в основу чинного стратегічного менеджменту.
Стійку діяльність підприємств можна забезпечити за рахунок інноваційної діяльності, пошуку нових рішень та ідей, тобто – підприємництва. Для успішного існування і стійкого розвитку підприємства повинні бути конкурентоспроможними не тільки на внутрішньому, але й на зовнішньому ринку. Якщо підприємству притаманні риси підприємницької структури, то в нього є всі шанси бути конкурентоспроможним і займати стійке положення на ринку. Тільки постійне вдосконалення, пошук нового, використання новітніх технологій і методів організації виробництва та управління допоможуть підприємствам досягти й утримати стійке положення на конкурентному ринку.
Підприємствам важливо відчувати підтримку держави при розв’язанні питань підприємницького розвитку. Проблеми стійкості та конкурентоспроможності набули широкого розвитку в роботах багатьох вчених, а саме: Г. Азоева, О. Градова, В. Марченко, Т. Мостенської, О. Гудзинського, Л. Смоляр, Р. Фатхутдінова, А. Юданова та ін.
Забиваем Сайты В ТОП КУВАЛДОЙ - Уникальные возможности от SeoHammer
Каждая ссылка анализируется по трем пакетам оценки: SEO, Трафик и SMM.
SeoHammer делает продвижение сайта прозрачным и простым занятием.
Ссылки, вечные ссылки, статьи, упоминания, пресс-релизы - используйте по максимуму потенциал SeoHammer для продвижения вашего сайта.
Что умеет делать SeoHammer
— Продвижение в один клик, интеллектуальный подбор запросов, покупка самых лучших ссылок с высокой степенью качества у лучших бирж ссылок.
— Регулярная проверка качества ссылок по более чем 100 показателям и ежедневный пересчет показателей качества проекта.
— Все известные форматы ссылок: арендные ссылки, вечные ссылки, публикации (упоминания, мнения, отзывы, статьи, пресс-релизы).
— SeoHammer покажет, где рост или падение, а также запросы, на которые нужно обратить внимание.
SeoHammer еще предоставляет технологию Буст, она ускоряет продвижение в десятки раз,
а первые результаты появляются уже в течение первых 7 дней.
Зарегистрироваться и Начать продвижение
Проблемам підприємництва присвячено багато праць провідних вчених, серед них можна визначити таких: В. Власова, М.Войнаренко, В. Горфинкель, М. Мартиненко, В. Сизоненко, П. Друкер та ін.
Метою
і завданнями дослідження є розробка теоретичних положень та методичних рекомендацій щодо забезпечення стійкої діяльності торгового підприємства на ринку.
Відповідно до мети в роботі визначено такі завдання
:
1. дослідити особливості понять підприємництво, конкурентоспроможність, конкурентноздатність, стійкість;
2. обґрунтувати принципи підприємництва та їх вплив на конкурентоспроможність торгового підприємства на ринку;
3. обґрунтувати методичний підхід до визначення факторів внутрішнього і зовнішнього середовища, що впливають на підприємництво та конкурентні переваги торгового підприємства на ринку;
4. розробити рекомендації для покращення конкурентоспроможності торгового підприємства.
Об’єкт
дослідження – процес забезпечення конкурентоспроможності торгового підприємства, що діє на міжнародному ринку.
Предмет
дослідження – теоретичні аспекти, загальні принципи, методи та інструменти забезпечення стійкої діяльності торгового підприємств на міжнародному ринку.
Методи дослідження
. Теоретичною основою положень курсової роботи є методологія та загальнонаукові принципи проведення комплексних досліджень. При виконанні роботи використані результати досліджень, що містяться в наукових працях провідних вітчизняних та зарубіжних вчених.
Для досягнення поставленої мети використано систему загальнонаукових та специфічних методів дослідження. Для теоретичних й методологічних узагальнень використовувались діалектичний та системний аналіз, при аналізі економічного розвитку – економіко-статистичні методи; Обробка даних здійснювалась з використанням засобів комп’ютерної техніки.
Основна частина курсової роботи складається з трьох розділів у яких послідовно досліджується поставлена проблема.
Конкуренція є дуже тонким та гнучким механізмом. Гнучкість механізму конкуренції виявляється в його миттєвій реакції на будь-яку зміну обстановки. Конкуренція – одна з існуючих ознак ринків, механізм регулювання виробництва. Конкуренція відображає систему взаємовідношень між виробниками з приводу встановлення цін, обсягів пропозиції товарів на ринку та споживачами певного товару. З розвитком конкуренції виникла необхідність впровадження понять конкурентоспроможність та конкурентоздатність товару і підприємств.
Сервис онлайн-записи на собственном Telegram-боте
Попробуйте сервис онлайн-записи VisitTime на основе вашего собственного Telegram-бота:
— Разгрузит мастера, специалиста или компанию;
— Позволит гибко управлять расписанием и загрузкой;
— Разошлет оповещения о новых услугах или акциях;
— Позволит принять оплату на карту/кошелек/счет;
— Позволит записываться на групповые и персональные посещения;
— Поможет получить от клиента отзывы о визите к вам;
— Включает в себя сервис чаевых.
Для новых пользователей первый месяц бесплатно.
Зарегистрироваться в сервисе
Азоєв Г.Л. під конкуренцією розуміє суперництво на якому-небудь поприщі між окремими юридичними або фізичними особами (конкурентами), зацікавлених в одній і тій же меті.
Юданов А.Ю. стверджує, що ринкова конкуренція – боротьба фірм за обмежений обсяг платоспроможного попиту споживачів, що ведеться ними на доступних сегментах ринку.
Фатхудинов Р.А. Конкуренція – процес управління суб'єктами своїми конкурентними перевагами для утримання перемоги або досягнення інших цілей у боротьбі з конкурентами за задоволення об'єктивних або суб'єктивних потреб у рамках законодавства або в природних умовах. Конкуренція є рушійною силою розвитку суб'єктів і об'єктів керування, суспільства в цілому.
Розрізняють такі методи конкуренції:
• На основі критерію підвищення якості товару (нецінова);
• На основі критерію підвищення якості сервісу товару;
• На основі зниження ціни (цінова);
• На основі зниження експлуатаційних витрат у споживача товару;
• На основі використання всіх конкурентних переваг об'єкта або суб'єкта (інтегральна).
Ринок – умовне місце купівлі-продажу конкретного виду товару, що здійснюється у визначених по інтенсивності умовах конкуренції, з дотриманням етичних і правових норм і правил.
Характеристика різних форм ринків приведена в таблиці 1.1.
Таблиця 1.1
Характеристика форм ринків
| Параметри (ознаки)
|
Форми ринків
|
| Чиста конкуренція
|
Монополістична конкуренція
|
Олігополія
|
Монополія
|
| Кількість виробників
|
Багато
|
Багато, але товари кожного з них мають суттєву відмінність
|
Мало (2-8)
|
Один
|
| Кількість споживачів
|
Багато
|
Те ж
|
Два і більше
|
Один або декілька
|
| Сила конкуренції
|
Дуже сильна
|
Сильна
|
Слабка
|
Відсутня
|
| Частка на ринку
|
Мала
|
Мала
|
Велика
|
Увесь ринок
|
| Доступ до ринку
|
Відкритий
|
Бар’єр
|
Бар’єр
|
Закритий
|
| Об’єм продажу
|
Визначається конкурентноздатністю і попитом на товар
|
Визначається конкурентно-здатністю, попитом, змовою учасників
|
Визначається конкуренто-здатністю, попитом, змовою учасників
|
Визначається попитом
|
| Політика ціноутворення
|
На основі попиту і пропозиції
|
На основі попиту і конкурентноздатності
|
Визначається на основі попиту і конкурентно-здатності
|
Визначається виробником
|
| Роль якості і конкуренція
|
Дуже висока
|
Дуже висока
|
Висока
|
Визначається ситуацією
|
| Роль реклами у просуванні товару
|
Висока
|
Висока
|
Дуже висока
|
Визначається ситуацією
|
| Норма прибутку виробника
|
Незначна
|
2-8%
|
8-20%
|
Більше 20%
|
| Ефективність використання ресурсів
|
Дуже висока
|
Висока
|
Середня
|
Низька
|
Фактори, що впливають на конкурентну боротьбу:
1. Розмір ринку – чим більше, тим сильніше конкуренти;
2. Темп росту ринку – швидкий ріст полегшує проникнення на ринок;
3. Потужності – зайві потужності приводять до падіння цін;
4. Перешкоди для входу або виходу з ринку – бар'єри захищають позицію фірми, їхня відсутність робить ринки уразливими для проникнення туди неконкурентоспроможних новачків;
5. Ціна;
6. Рівень стандартизації товарів – покупці мають перевагу, тому що їм легко переключитися з одного товару на іншій;
7. Мобільні технологічні модулі;
8. Вимоги до розмірів необхідних капітальних вкладень – тверді вимоги підвищують ризик, створюють додаткові бар'єри входу – виходу;
9. Вертикальна інтеграція підвищує вимоги до розмірів капіталу, приводить до сильних розходжень у конкурентоспроможності і витратах на виробництво інтегрованих, частково інтегрованих і неінтегрованих фірм;
10. Економія в масштабі – збільшує частку ринку, необхідну для досягнення конкурентоспроможності товару;
11. Швидке відновлення асортименту продукції, що випускається.
Для оцінки конкуренції в галузі застосовують різні методики.
Конкурентоспроможність об'єкта визначається стосовно конкретного ринку, або до конкретної групи споживачів, формованої по відповідних ознаках стратегічної сегментації ринку. Якщо не зазначений ринок, на якому конкурентоспроможний об'єкт, це означає, що даний об'єкт у конкретний час є кращим світовим зразком. В умовах ринкових відносин конкурентоспроможність характеризує ступінь розвитку суспільства. Чим вище конкурентоспроможність країни, тим вище життєвий рівень у цій країні.
Закон конкуренції – закон, відповідно до якого у світі відбувається об'єктивний процес підвищення якості продукції і послуг, зниження їхньої питомої ціни. Закон конкуренції – об'єктивний процес «вимивання» з ринку неякісної дорогої продукції. При цьому він може діяти тривале тільки при наявності якісного антимонопольного законодавства, що регламентує норми, що обмежують монополістичну діяльність, принципи ведення боротьби на ринку, повноваження державних органів по нагляду за дотриманням відповідних правових норм.
Конкуренція на ринку створила дуже складну і важливу проблему для успішної діяльності підприємства – забезпечення стійкого положення на конкурентному ринку. Конкурентоздатність – це наявність внутрішніх факторів, які дадуть змогу (теоретично) завоювати ринок за допомогою продукції власного виробництва, або це можливість знаходити шляхи для досягнення переваг над іншими учасниками ринку за рахунок внутрішніх факторів.
Конкурентоспроможність – це наявність внутрішніх та зовнішніх факторів, які відображають відповідність підприємства вимогам конкурентного середовища та можливість збуту його продукції. Конкурентостійкість – це можливість підприємства втримати свою нішу на ринку товарів та/або розширити її.
Конкурентоздатність та конкурентоспроможність вважають синонімічними поняттями, вони мають певні спільні риси, але також існують відмінності. Конкурентоздатність відображає майбутні можливості виживання на ринку, а конкурентоспроможність відображає сучасне положення підприємства.
Підприємство буде конкурентоздатним, якщо буде використовувати кореневі компетенції, тобто ініціативний потенціал своїх працівників. Керівництво підприємства повинно постійно шукати нові шляхи та заходи боротьби з конкурентами. Процес пошуку нових ідей, шляхів, які можуть перерости в конкурентні переваги повинен бути безперервним.
Постійний пошук нового та вдосконалення існуючого змушує керівників займатись підприємницькою діяльністю. Підприємництво — це певний стиль господарювання, якому властиві принципи новаторства, антибюрократизму, постійної ініціативи, орієнтації на нововведення у процеси виробництва, маркетингу, розподілу і споживання товарів і послуг. Підприємництво виступає як особливий вид економічної активності, бо його початковий етап пов’язаний, як правило, лише з ідеєю - результатом розумової діяльності, що згодом приймає матеріалізовану форму (бізнес). Кращі ідеї покращують конкурентоспроможність і, навпаки, для підвищення рівня конкурентоспроможності необхідно впроваджувати нові ідеї, досягнення, займатись підприємництвом.
Підприємництво характеризується обов’язковою наявністю інноваційного моменту, чи то виробництво нового товару, зміна профілю діяльності або підстава нового підприємства. Досягнення підприємством конкурентостійкості ґрунтується на поєднанні конкурентоздатність та конкурентоспроможності підприємства. Одним з аспектів конкурентостійкості є створення найкращих можливостей для заохочення та збереження споживачів. Як вже зазначалось, на підприємстві мають бути присутні кореневі компетенції та конкурентні переваги, бо саме через них можна досягти конкурентостійкості підприємства.
Кореневі компетенції підприємства, можна назвати можливостями, або активною частиною потенціалу. Досі домінує однобічний підхід до економічного трактування сутності потенціалу – або як до сукупності ресурсів, або як до здатності господарської системи випускати продукцію, або як до можливості виробничих сил досягти певного ефекту. Потенціал – це можливість підприємства забезпечити досягнення визначених цілей, відповідно реагувати на вимоги зовнішнього середовища. В стратегічному менеджменті розглядають фінансовий, маркетинговий, виробничий, управлінський та кадровий.
Сутність поняття “підприємницький потенціал” не знайшла достатньо чіткого обґрунтування в сучасній теорії і практиці. Підприємницький потенціал – це можливість підприємства знаходити та використовувати нові види продукції, розробки нової техніки і технології, нові форми організації виробництва та управління. Використання пропозицій власних робітників, удосконалення найкращого досвіду провідних компаній, спеціальні розробки для фірми. Основним ресурсом для підприємницького потенціалу є люди. Саме люди є джерелом пошуку підприємницької ідеї та носіями кореневих компетенцій.
Виходячи з цього, підприємницький потенціал необхідно розглядати, як відкриту систему, тому що він знаходиться під впливом факторів зовнішнього середовища: законодавчої бази, змін у зовнішній політиці, розвитку пріоритетних галузей, рівня освіти населення, рівня життя і інше та внутрішнього середовища: нові розробки, нові джерела фінансування та інше.
Основним інструментом підприємництва, а відповідно і підприємницького потенціалу є нововведення, за допомогою якого вони використовують зміни як сприятливу можливість для здійснення своїх задумів у сфері підприємництва. До основної задачі підприємців входить цілеспрямований пошук нових джерел нововведень, а також змін та їх ознак, що вказують на досягнення успіху.
Конкурентні переваги показують, у яких областях (у даному випадку в рамках комплексу маркетингу) підприємство досягло більш високих результатів, чим конкуренти. Конкурентні переваги дозволяють правильно виробити стратегію позіціонування товарів і послуг на ринку, вибравши цільові ринкові сегменти і сконцентрувати там фінансові ресурси підприємства. Для виміру конкурентних переваг українських підприємств можуть бути використані наступні елементи:
· конкурентне ціноутворення;
· переваги у витратах виробництва;
· якість продукту/послуг;
· дизайн продукту;
· упаковка;
· експлуатаційні характеристики продукту;
· післяпродажне обслуговування;
· швидкість реакції на запити споживача;
· імідж компанії/товарної марки;
· пропонований асортимент продукції;
· чистий доход на одного зайнятого;
· чисельність зайнятих;
· кількість основних конкурентів
· контакти з постачальниками;
· широта розподільної мережі;
· реклама;
· інші складові частини комплексу стимулювання збуту;
· техніка особистих продажів;
· система маркетингової інформації;
· маркетингові дослідження.
Варто підкреслити, що незважаючи на велику увагу до вивчення взаємозв'язку між ступенем маркетингової орієнтації і результатам діяльності підприємства, а також взаємозв'язку між конкурентоспроможністю і результатами діяльності, у більшості досліджень результати економічної діяльності підприємств розглядаються як наслідок підвищення конкурентоспроможності і розвитку маркетингової орієнтації.
Місткість ринку характеризується обсягом реалізованого товару на даному ринку протягом визначеного періоду часу. Його можна розрахувати як суму національного виробництва, імпорту і непрямого імпорту за винятком непрямого експорту і залишків продукції на складі. Отже, критерій конкурентоспроможності визначається стабільністю місця на своєму ринку підприємства і його продукції, а також рівнем продажі продукції підприємства на ринках.
В системі управління конкурентоспроможністю товару важливе місце займає її оцінка. Не дивлячись на те що існує велика кількість методик дослідження конкурентоспроможності товару, процес їх модифікації і створення нових варіантів продовжується.
Споживчі товари масового призначення орієнтовані на основну масу покупців, вивчення думки яких проводиться за допомогою використовування таких методів збору і обробки інформації, які б дозволили оперувати великими масивами даних. Тому для споживчих масових товарів потрібна така методологія, дієвість якої в значній мірі визначається використовуванням статистичних методів збору і обробки інформації. Для дослідження конкурентних позицій масового товару доцільно використовувати такі методи, які відображають стохастичний зв’язок між явищами і призначені для обробки великого масиву даних. До них відносяться: спостереження, у тому числі вибірковий метод, зведення, угрупування, варіаційний і кореляційно-регресійний аналіз, вимірювання зв'язку некількісних ознак.
Метод оцінки конкурентоспроможності товару включає термінологічний апарат, основні принципи і методичні положення; етапи, сукупність прийомів і способів обстеження конкурентної позиції товару на ринку і чинників, що її зумовили. Дамо характеристику перерахованим складовим.
Методика оцінки конкурентоспроможності конкретного товару залежить від підходу до визначення цього складного феномена. В спеціальній літературі існує безліч різних дефініцій поняття «конкурентоспроможність товару», тому визначимо термінологічну базу, що використовується автором для подальшого викладу методичних положень оцінки конкурентоспроможності масового продукту. Для цієї мети представимо визначення конкурентоспроможності товару (будь-кого) і принципи його оцінки. Такі методологічні положення застосовні у тому числі для масового споживацького продукту. Особливості оцінки конкурентоспроможності останнього полягають в специфіці переліку її складових і методів первинного збору інформації, тому, на наш погляд, немає необхідності формулювати визначення і принципи оцінки конкурентоспроможності для даного окремого випадку.
Конкурентоспроможність товару — його інтегральна властивість, що обумовлює здатність товару задовольняти вимогам покупців до його складових в порівнянні з товарами-аналогами в умовах конкретного конкурентного ринку в даний період часу. Складові конкурентоспроможності товару є рівнями його певних технічних, економічних і комерційних характеристик, необхідних для досягнення успіху на конкретному ринку, що пов'язано з твердженням: товар конкурентоздатний, якщо такими є його елементи. При цьому одні складові можна назвати «умовно жорсткими», а інші — «умовно м'якими» (останні, на відміну від перших, пов'язані із сприйняттям покупця і насилу піддаються вимірюванню). Наприклад, рівні якості і ціни товару є «умовно жорсткими складовими» конкурентоспроможності, тоді як імідж товару, його популярність, торгову марку можна вважати «умовно м'якими параметрами».
Основними принципами оцінки конкурентоспроможності товару є:
· принцип інтегральності, що забезпечує поглиблення і конкретизацію зв'язків між чинниками конкурентоспроможності;
· принцип комплексності, що припускає виявлення різних складових конкурентоспроможності товару і чинників, що роблять на неї вплив;
· принцип діалектичності, що має на увазі розгляд сукупності чинників в розвитку.
На основі цих принципів сформулюємо методичні положення оцінки конкурентоспроможності товару, тобто сукупність тверджень, за допомогою яких проводиться побудова методики.
Методична база повинна будуватися відповідно до сутності товару як продукту, призначеного для продажу і подальшого споживання. Для споживача цінний не товар як такий, а ті блага, які він одержує при його використовуванні. Тому при визначенні конкурентоспроможності товару оцінюється те, наскільки краще / гірше він задовольняє запити користувачів в порівнянні з товарами-конкурентами, а при обстеженні чинників — наскільки вони сприяють або перешкоджають досягненню конкурентоспроможності товару.
При виявленій проблемі конкурентоспроможності товару її вирішення і управлінську дію доцільно здійснювати на основі маркетингового дослідження, що припускає вивчення відношення покупців до товарів аналізованого підприємства і його конкурентів, а також достоїнств і недоліків внутрішнього середовища фірми; ефективності використовування можливостей і уникнення загроз її зовнішнього оточення.
Оцінка конкурентоспроможності товару повинна проводитися періодично, а не тільки при виникненні проблемної ситуації. Це обумовлено тим, що вживання превентивних заходів на основі виявлення сигналів про потенційне погіршення конкурентоспроможності товару більш ефективно, ніж спроба підвищити його реальну низьку конкурентоспроможність.
На наш погляд, показником конкурентоспроможності товару може служити рівень його переваги покупцями, оскільки факт придбання даного товару свідчить про його більшу привабливість в певний проміжок часу на конкретному ринку. Такий підхід дозволяє досліджувати мотивацію купівельного вибору.
Оскільки товари орієнтовані на певні сегменти покупців, складові конкурентоспроможності товару є технічними, економічними і комерційними характеристиками продукту, якими більшість покупців конкретного сегменту в основному керується при виборі того або іншого товару.
Перелік значущих для покупців складових конкурентоспроможності товару має специфіку залежно від типу останнього. Так, для продовольчих товарів до- і післяпродажне обслуговування звичайно не є значущим, в той же час важливо отримати консультацію, наприклад, при виборі косметики і її використовуванні (тобто в цьому випадку є значимим передпродажне обслуговування), а для товарів тривалого призначення істотну роль відіграє післяпродажний сервіс. У зв'язку з цим з'являється необхідність виділення складових конкурентоспроможності у кожному конкретному випадку.
Їх перелік розрізнений не тільки для товарів різних типів — значущість цих складових і відношення до них після закінчення часу для одного і того ж товару можуть змінюватися. Так, наприклад, якщо в період дефіциту продуктів в післявоєнні роки велика наявність калорій в продуктах харчування вважалася позитивною, то зараз спостерігається прямо протилежна ситуація. Навіть на упаковці пива указується кількість калорій що містяться в ньому, а в країнах з розвинутою ринковою економікою стали випускати пиво з їх пониженим вмістом. Споживачі починають більше піклуватися про своє здоров'я, тому посилюється значущість таких показників, як екологічність, вміст натуральних речовин, корисність для здоров'я. Отже, для того, щоб формувати конкурентні переваги, необхідно мати в своєму розпорядженні інформацію про тенденції купівельного попиту.
Визначення набору складових конкурентоспроможності товару — ключовий момент її оцінки. При цьому на перший план необхідно висувати ті, які мають найбільшу значущість для покупця. Визначення «ваги» кожного параметра може проводитися як за допомогою експертних, так і соціологічних методів. Володіючі найбільшою значущістю параметри повинні досліджуватися в першу чергу, що не виключає вивчення другорядних складових, які в деяких випадках можуть робити відчутний вплив на ринковий успіх товару.
При оцінці конкурентоспроможності товару повинні досліджуватися не тільки легковимірювані ознаки, але і некількісні, наприклад «умовно м'які складові» конкурентоспроможності. Для їх вимірювання можна використовувати бальний метод. Отримані бали «умовно м'яких складових» тестованого продукту співвідносять з аналогічною оцінкою відповідних параметрів товарів-конкурентів.
Останнім часом великий інтерес серед вітчизняних учених і практиків викликає метод фокус-групи, що є глибинним груповим інтерв'ю. Доцільність його використовування пов'язана з рядом причин. Отримані в результаті соціологічного опиту відомості відображають відношення споживачів до того або іншого товару і до його параметрів в цілому. Але для виявлення недоліків і достоїнств складових конкурентоспроможності аналізованого товару і розробки рекомендацій по їх поліпшенню потрібне проведення більш ретельного дослідження. Масове опитування для цієї мети не підходить, оскільки деякі асортиментні позиції товару можуть бути невідомими більшості споживачів (наприклад, унаслідок того, що він недавно з'явився на ринковому сегменті і / або товаровиробником в недостатньому ступені використаний інструментарій маркетингових комунікацій). В дискусії в ході проведення глибинного групового інтерв'ю крім розгляду рівня якості, ціни, популярності і упаковки товарів-конкурентів; обговорення проблем іміджу, сприйняття того або іншого сорту і способів їх створіння, зокрема оформлення упаковки, з'являється можливість надавати більшу увагу «умовно м'яким складовим» конкурентоспроможності продукту. Крім того, для проведення більш глибокого дослідження необхідний більше часу, і до учасників пред'являються більш строгі вимоги: дуже важливо, щоб опитуваний був здатний виразити своє відношення і свої відчуття не тільки в кількісній формі, але і вербалізувати їх.
Переважна більшість учених, що займаються проблемою конкурентоспроможності, вважає, що зв'язок між результативним показником конкурентоспроможності і показниками чинників є функціональним. На відміну від поширеного підходу ми вважаємо, що взаємозв'язок між перевагою, що виражає конкурентоспроможність, і най значущішими для споживача її складовими (рівень ціни, якості, сервісу, популярності, якості і естетичної привабливості упаковки) носить стохастичний характер.
В якості об’єкта дослідження в даній роботі нами використано ЗАТ „Консорціум”. Основна сфера діяльності підприємства – оптова торгівля продуктами переробки бобів сої.
Вищим органом управління ЗАТ "Консорціум" є Загальні збори акціонерів. У перервах між Загальними збори акціонерів управління компанії здійснюється Радою директорів, що обирається на один рік.
Виконавчим органом ЗАТ "Консорціум" є Генеральний директор, що обирається Загальними зборами акціонерів на необмежений термін, та здійснює поточне керівництво діяльністю компанії.
Юридична адреса ЗАТ „Консорціум”:
м. Київ, вул. Гайдамацька 27.
Підприємство реалізує соєве борошно, соєве молоко і молочні продукти (йогурт, сир, майонез і т.п.), з відходів виробляється комбікорм.
Реалізацію продукції проводиться наступним чином: 70% - на російському ринку, 30% - на українському ринку.
У таблиці 2.2 наведено порівняльний аналітичний баланс ЗАТ „Консорціум”. Розглянемо його докладніше.
Таблиця 2.1
Агрегований порівняльний аналітичний баланс ЗАТ „Консорціум”
станом на 01.01.2006р.
| № п/п
|
Стаття балансу
|
На початок звітного періоду
|
На кінець звітного періоду
|
Зміни за звітний період
|
| тис. грн.
|
% до підсумку
|
тис. грн.
|
% до підсумку
|
абсолютні 3-1
|
темп, % (5/1)*100
|
частка пунктів 4 - 2
|
| а
|
б
|
1
|
2
|
3
|
4
|
5
|
6
|
7
|
| Актив
|
| 1
|
Майно разом
|
2757,70
|
100,00
|
2649,70
|
100,00
|
-108,00
|
-3,92
|
0,00
|
| 1.1
|
Необоротні активи
|
158,10
|
5,73
|
205,90
|
7,77
|
47,80
|
30,23
|
2,04
|
| 1.2
|
Оборотні активи
|
2599,60
|
94,27
|
2443,80
|
92,23
|
-155,80
|
-5,99
|
-2,04
|
| 1.2.1
|
Запаси
|
1115,80
|
40,46
|
1428,70
|
53,92
|
312,90
|
28,04
|
13,46
|
| 1.2.2
|
Дебіторська заборгованість
|
692,00
|
25,09
|
768,10
|
28,99
|
76,10
|
11,00
|
3,89
|
| 1.2.4
|
Витрати майбутніх періодів
|
2,20
|
0,08
|
1,60
|
0,06
|
-0,60
|
-27,27
|
-0,02
|
| 1.2.5
|
Кошти та їх еквіваленти
|
739,10
|
26,80
|
197,60
|
7,46
|
-541,50
|
-73,26
|
-19,34
|
| 1.2.6
|
Інші оборотні активи
|
50,50
|
1,83
|
47,80
|
1,80
|
-2,70
|
-5,35
|
-0,03
|
| Пасив
|
| 2
|
Джерела майна
разом
|
2757,70
|
100,00
|
2649,70
|
100,00
|
-108,00
|
-3,92
|
0,00
|
| 2.1
|
Власний капітал
|
193,40
|
7,01
|
186,20
|
7,03
|
-7,20
|
-3,72
|
0,01
|
| 2.1.1
|
Статутний капітал
|
187,60
|
6,80
|
180,40
|
6,81
|
-7,20
|
-3,84
|
0,01
|
| 2.1.2
|
Нерозподілений
прибуток
|
1,50
|
0,05
|
1,50
|
0,06
|
0,00
|
0,00
|
0,00
|
| 2.1.3
|
Інші джерела
|
4,30
|
0,16
|
4,30
|
0,16
|
0,00
|
0,00
|
0,01
|
| 2.2
|
Позиковий капітал
|
2564,30
|
92,99
|
2463,50
|
92,97
|
-100,80
|
-3,93
|
-0,01
|
| 2.2.2
|
Короткострокові
кредити та позики
|
0,00
|
0,00
|
517,30
|
19,52
|
517,30
|
-
|
19,52
|
| 2.2.3
|
Кредиторська
заборгованість
і поточні
зобов’язання
|
2564,30
|
92,99
|
1946,20
|
73,45
|
-618,10
|
-24,10
|
-19,54
|
Проаналізувавши порівняльний аналітичний баланс за три останні роки, можна виявити як позитивне, так і негативне у фінансовому стані підприємства:
Позитивне:
· збільшення запасів на 28,04% в даному випадку можна розглядати як позитивну тенденцію, так як наряду з ними на 13,3% збільшилась виручка підприємства, що свідчить про значне збільшення реалізації продукції підприємства;
· на 618,1 тис. грн. або 24,1% зменшилась кредиторська заборгованість підприємства.
Негативне:
· майно підприємства зменшилось на 108 тис. грн. або 3,92%. Зменшення майна відбулося, в основному за рахунок зменшення оборотних активів та грошових коштів на рахунках підприємства;
· за аналізований період відбулося зменшення власного капіталу підприємства на 7,2 тис. грн. або 3,72% за рахунок зменшення статутного капіталу;
· дебіторська заборгованість збільшилась на 76,1 тис. грн. або на 11,00%, а також враховуючи, що питома вага дебіторської заборгованості у оборотних активах складала у 2005 році 31,40% (при нормативному значенні 10-20%) то це є вкрай негативним показником який свідчить про не виважену політику підприємства стосовно власних дебіторів;
· кошти підприємства зменшились на 541,5 тис. грн. або 73,26%, що негативно позначилось на показниках ліквідності підприємства.
Маркетингова програма ЗАТ "Консорціум" орієнтована на оптові постачання продуктів переробки сої підприємствам харчової промисловості, оптовим продовольчим фірмам, лікувальним і дитячим установам, а також комбікормів тваринницьким і птахівницьким агрофірмам України, Центральному і Центрально-чорноземному районам РФ.
Нижче представлений розрахунок ємності потенційних ринків збуту кінцевої продукції створюваного комплексу по заглибленій переробці бобів сої.
Потенційні споживачі продуктів переробки бобів сої, одержуваних при реалізації даного проекту:
Текстурований соєвий білок:
· м'ясні (напівфабрикати) і ковбасне виробництво;
· виробництва суцільномолочної продукції і замінників незбираного молока;
· хлібопекарське виробництво;
· борошняне кондитерське виробництво.
Молочні соєві продукти, соєва олія:
· торгові продовольчі фірми;
· лікувально-оздоровчі установи (санаторії, профілакторії, поліклініки, лікарні, реабілітаційні центри і т.п.);
· шкільні і дошкільні установи;
· роздрібна торгова мережа.
Комбікорму:
· агрофірми;
· тваринницькі і птахівницькі господарства;
· птахофабрики;
· фермерські господарства, приватники.
В таблицях 2.2 – 2.4 наведено розрахунок потреби господарств України та РФ в продукції підприємства
Таблиця 2.2
Потреба в соєвому борошні
| Галузь харчової промисловості
|
Потреба соєвого борошна, т/рік
|
| М'ясна
|
1400-1750
|
| Молочна
|
600-950
|
| Хлібопекарська, включаючи виробництво кондитерських виробів
|
3850-4450
|
| РАЗОМ:
|
5850-7150
|
Таблиця 2.3
Потреба в соєвому молоці
| Основні споживачі
|
Потреба соєвого молока, т/рік
|
| оптово-роздрібні фірми
|
600-670
|
| лікувально-оздоровчі установи
|
370-410
|
| харчова промисловість
|
200-300
|
| РАЗОМ:
|
1170-1380
|
Таблиця 2.4
Потреба в комбікормах
| Основні споживачі
|
Потреба комбікорму, т/рік
|
| м'ясокомбінати
|
8400-9000
|
| птахофабрики
|
9500-9800
|
| агрофірми, фермерські господарства
|
2700-3000
|
| РАЗОМ:
|
20600-21800
|
Таким чином, плановані обсяги продажів:
текстурований соєвий білок (ТСБ) 4920 т/рік
соєва олія 696 т/рік
молоко 1296 т/рік
молочні продукти 1323 т/рік
комбікорму 22000 т/рік
цілком покриваються потребою ринку в даних харчових продуктах.
Необхідно також відзначити, що розрахунок проводився на основі песимістичних припущень і прогнозів і при низькому територіальному охопленні.
Соєві молочні продукти
. На ринок продовольства вітчизняна промисловість по переробці сої поставляє (крім соєвої олії) соєве молоко, сир (тофу), сир, майонез, йогурти.
Основними конкурентами реалізації молочних продуктів з бобів сої є:
· підприємство "Флора" - найбільший виробник соєвих йогуртів, майонезу і м'ясних продуктів в Україні;
· ВАТ "Курганський птицекомбинат", що розробив і надав ЗАТ "Консорціум" технологію переробки соєвих бобів у молоко і молочні продукти.
Однак для даних підприємств переробка соєвих бобів у молоко і виробництво молочних продуктів харчування не є основним видом діяльності, а тільки в якості експериментального, додаткового виду діяльності. На підставі чого можна припустити, що обсяг продукції, яка реалізується цими підприємствами, не покриває потреб в білкових виробах навіть тих регіонів, у яких вони розташовані. Отже, конкуренцією з існуючими підприємствами по виробництву молочних продуктів з бобів сої можна зневажити.
Комбікорм
. В даний час галузі агрокомплексу, що спеціалізуються на продукції тваринництва і птахівництва, мають серйозні труднощі в гарантованому забезпеченні своїх потреб у комбікормах. Це пов'язано з тим, що власне виробництво комбікормів у підприємствах агрокомплексу знаходиться в складному стані - великий ступінь фізичного зносу, не довершені знову споруджувані технологічні лінії через відсутність фінансування і складного фінансового стану самих підприємств. У цьому зв'язку на сьогодні дуже гостро постає питання про безперебійне забезпечення комбікормами діючих виробництв. І тому, ми вважаємо, що при існуючій ситуації конкуренцією в даній галузі можна зневажити.
Текстурований соєвий білок, соєве борошно
. Конкурентів як в Україні так і в Росії на даний момент немає.
Таким чином, проаналізувавши існуючу конкуренцію на ринках соєвих продуктів, можна стверджувати, що серйозної конкуренції на ринку немає.
Розглянемо с особливості стратегії маркетингу підприємства. Так, відсутність аналогів (або наявність істотних переваг перед аналогами), а також висока якість продукції роблять відповідні сектори внутрішнього ринку відкритими для продукції ЗАТ "Консорціум".
Серед вітчизняних та російських торговельних підприємств, що займаються реалізацією соєвої продукції для ЗАТ "Консорціум" у даний час серйозних конкурентів не має. Однак, ситуація з відсутністю конкуренції є тимчасовою, тому що для ринку характерно швидке заповнення існуючих "ніш", тому відповідними підрозділами ЗАТ "Консорціум" постійно повинна проводитися робота, спрямована на забезпечення конкурентноздатності продуктів з перероблених бобів сої за ціною і якістю.
Не менш важливим є питання доведення створених продуктів до потрібного покупця за потрібною ціною й у потрібний час, тобто для досягнення кінцевої мети (насичення відповідних ринків продуктами переробки сої і виходу на плановані обсяги продажів) повинна існувати професійно розроблена й успішно реалізована стратегія маркетингу, що припускає:
· стратегію збуту;
· оптимізацію ціноутворення;
· широке проведення заходів щодо реклами і просування продукції, що випускається.
При цьому досягнення зазначених цілей можливо тільки при ефективному використанні і професійному сполученні всіх інструментів маркетингу.
Збут продукції здійснюється в основному великими оптовими партіями. З цією метою в штаті ЗАТ "Консорціум" передбачена служба маркетингу, задачами якої є просування продукції переробки сої на відповідних ринках і організація її збуту.
Головним покупцем і розповсюджувачем у РФ текстурованого соєвого білка і соєвої олії є один з співзасновників ЗАТ - велика оптова фірма ВАТ "Петротрейд". ВАТ " Петротрейд " у даний час має велику мережу збуту по імпортним рослинним текстуратам у РФ.
Поряд з новизною і якістю основним показником конкурентноздатності продуктів переробки бобів сої є їхня ціна. Особливе значення ціна на продукцію, плановану до випуску в рамках проекту, має в забезпеченні конкурентноздатності із соєвим борошном і текстурованими соєвими білками імпортного виробництва.
Передумовами для досягнення конкурентноздатних цін на продукцію ЗАТ "Консорціум" (при досить високому показнику рентабельності) є:
· оптовий продаж продукції переробки сої, що дозволяє до мінімуму скоротити витрати, пов'язані зі збутом;
· низькі (у порівнянні з імпортом) експлуатаційні витрати.
Оптимізація процесів ціноутворення на користь кінцевого споживача продукції переробки сої досягається максимально можливим скороченням ланок між виробником і кінцевим споживачем, а також установленням контролю над оптовими компаніями і проведенням єдиної цінової політики.
Пропонується (у тому числі в розрахунку ефективності), що ціни на продукцію, плановану до випуску при реалізації пропонованого проекту, нижче цін на імпортні аналоги н 10-15%.
Для просування усіх видів продукції використовується два види реклами:
· "престижна" реклама;
· реклама продукції.
Мета "престижної" реклами - створення корпоративного іміджу і досягнення популярності торгової марки. Серйозними перевагами пізнаваної компанії є:
· сприятливі умови для пропозиції нових продуктів;
· зацікавленість оптових покупців у придбанні продукції компанії.
Досить розповсюдженим каналом "престижної" реклами (комерційної пропаганди позитивного образа компанії) є організація прес-конференцій із запрошенням представників громадськості і преси.
Основний упор рекламної акції робиться на продукти переробки соєвих бобів: текстурований соєвий білок, соєва олія, молоко і молочні соєві продукти (йогурт, сир, майонез, напої), тому що дані продукти харчування є відносно новими як в Україні так і в Росії в порівнянні з комбікормовими сумішами, що не мають потреби в дорогому представленні і рекламуванні.
Для створення іміджу і популяризації продукції ЗАТ "Консорціум" використовуються наступні канали інформації:
· "dіrect-maіl";
· періодичні видання;
· радіотелевізійні;
· образотворчі;
· глобальна світова мережа Іnternet.
При виборі каналу масової інформації основними є наступні критерії їхньої оцінки:
· охоплення;
· приступність;
· вартість;
· авторитетність.
По оцінках експертів, засоби, необхідні для просування нової продукції на відповідному ринку, досягають 2-5% від обсягу продажів і зменшуються в міру придбання ЗАТ "Консорціум" і його продукції популярності серед потенційних споживачів.
Під конкурентоспроможністю (КС) продукту можна розуміти порівняльну характеристику споживчих і вартісних властивостей продукту, тобто
КС= К/Ц (1)
де К
- загальний рівень споживчого ефекту з урахуванням різних його показників;
Ц
- ціна споживання або володіння, що включає ціну покупки і вартість експлуатації і утилізації.
Показники якості, якими оцінюється рівень споживчого ефекту, вибираються експертами. Наприклад, для оцінки соєвого молока фахівці використовують такі показники, як смак, жирність, корисність.
Основними етапами алгоритму розрахунку конкурентоспроможності будуть наступні:
1. розробка на основі знання ринку і вимог до товару сукупність показників його якості;
2. вибір з цієї сукупності декількох найважливіших, назвемо їх параметрами якості;
3. кількісні характеристики значущості (а) кожного з параметрів шляхом опиту експертів при дотриманні умови i=1,m.
= 1 (2)
4. формулювання моделі еталона - зразка товару в розрізі вибраних параметрів з позиції покупців, задавши його кількісні оцінки (niэ
);
5. розробка кількісної оцінки тих же самих параметрів якості по своєму виробу (ni) і по виробу-конкуренту (nik
) ;
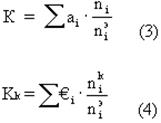
6. оцінка рівня якості або споживчого ефекту свого товару (К) і товару-конкурента (Kk)по формулах:

де ai
- кількісна оцінка значущості i-го параметра;
ni
- кількісна оцінка i-го параметра якості по своєму виробу (ni
) і по виробу-конкуренту (ni
k
);
7. розрахунок ціні Ц споживання свого товару і встановлення ціни Цк споживання товару-конкурента з урахуванням відпускної або роздрібної ціни і експлуатаційних витрат в період користування товаром;
8. розрахунок інтегрального показника конкурентоспроможності свого товару по відношенню до товару-конкуренту:
 (5)
9. якщо свій товар планується експортувати, то необхідно перевірити вибрані параметри якості на відповідність інтернаціональним або національним стандартам передбачуваного імпортера. Якщо хоча б один з нормативних параметрів не відповідає порівнюваному стандарту, необхідно таку невідповідність усунути. При цьому кінцева формула для КС прийме такий вигляд:
(6)
де П - підсумок всіх ;
- параметр якості, врахований в зарубіжному стандарті;
= 0 - невідповідність стандарту;
= 1 - відповідність стандарту.
Якщо хоча б один з параметрів якості буде дорівнювати 0, то КС не матиме сенсу.
Проаналізуємо конкурентоспроможність на російському ринку соєвого молока, яке виробляється ЗАТ „Консорціум”.
Таблиця 2.5
Експертна оцінка якості соєвого молока ЗАТ „Консорціум”
| Вибрані експертами параметри якості
|
Кількісні характеристики
|
| niэ
|
ni
|
nik
|
ai
|
| Пакування, бали
|
100
|
90
|
80
|
0,7
|
| Смакові якості, бали
|
10
|
5
|
8
|
0,1
|
| Дизайн, бали
|
10
|
5
|
10
|
0,2
|
Тепер, використовуючи формули п.п 6 і 8, визначимо КС нашого продукту.

Відомо, що ЦК
= 70 тис. руб. / т.., а Ц = 72 тис. руб./т (ціни наведено в рублях, так як порівняння робиться для російського ринку на якому відбувається основна реалізація
). Цих даних достатньо, щоб по формулі (5) розрахувати 
= (К* ЦК
)/(КК
*Ц) = (0,78*70*103)/(0,84*72*103) = 0,90
Вважається, що якщо КС < 1, то фірма пропонує на ринок явно неконкурентоздатний товар і необхідно змінити його споживчі (або технічні) і економічні характеристики. Більш того, вважається, що перевищення на 10-20% дуже мало, щоб бути упевненим в успіху на ринку. Проте якщо це перевищення складає 30-50%, то вважається, фірма займає на ринку достатньо стійке положення.
Перевищення в 50-70% по конкурентоспроможності говорить про вірність вибраного напряму дій фірми на ринку, але досягнення необхідно нарощувати і думати про те, як їх зберегти.
Вважається, що для гарантованого виводу свого виробу на будь-який новий ринок фірма повинна мати по ньому КС > 1,4.
За аналогічним алгоритмом проаналізуємо конкурентоспроможність іншої продукції переробки сої, що експортується ЗАТ „Консорціум” до Російської Федерації.
Проаналізуємо конкурентоспроможність на російському ринку соєвої олії, яка виробляється ЗАТ „Консорціум”.
Таблиця 2.6
Експертна оцінка якості соєвої олії ЗАТ „Консорціум”
| Вибрані експертами параметри якості
|
Кількісні характеристики
|
| niэ
|
ni
|
nik
|
ai
|
| Пакування, мл.
|
500
|
350
|
350
|
0,3
|
| Смакові якості, бали
|
9
|
6
|
8
|
0,5
|
| Дизайн, бали
|
10
|
7
|
10
|
0,2
|
Використовуючи формули п.п 6 і 8, визначимо КС нашого продукту.


Середні значення ЦК
= 24,2 тис. руб. / т.., а Ц = 18,0 тис. руб./. По формулі (5) розрахуємо 
= (К* ЦК
)/(КК
*Ц) = (0,68*24,2)/(0,85*18) = 1,07
Базуючись на наведених вище розрахунках можна зробити висновок, що соєва олія є конкурентоспроможною на російському ринку.
В таблиці 3 наведено аналіз конкурентоспроможності по іншій продукції ЗАТ „Консорціум”, яка поставляється на російський ринок.
Таблиця 2.7
Експертна оцінка якості продукції ЗАТ „Консорціум”
| Вибрані експертами параметри якості
|
Кількісні характеристики
|
| niэ
|
ni
|
nik
|
ai
|
| Текстурований соєвий білок
|
| Органолептика, бали
|
100
|
95
|
80
|
0,5
|
| Очистка, бали
|
10
|
7
|
8
|
0,2
|
| Харчова цінність, бали
|
10
|
9
|
10
|
0,3
|
| Шрот
|
| Органолептика, бали
|
90
|
100
|
80
|
0,3
|
| Очистка, бали
|
9
|
8
|
6
|
0,4
|
| Харчова цінність, бали
|
10
|
7
|
8
|
0,3
|
| Лушпайка
|
| Пакування, .бали
|
100
|
80
|
90
|
0,4
|
| Харчова цінність, бали
|
10
|
10
|
9
|
0,3
|
| Переробка, бали
|
9
|
7
|
10
|
0,3
|
| Комбікорм
|
| Пакування, .бали
|
80
|
70
|
90
|
0,3
|
| Харчова цінність, бали
|
9
|
8
|
8
|
0,5
|
| Переробка, бали
|
10
|
7
|
10
|
0,2
|
За формулами, наведеними вище, визначимо КС за видами продукції.
Текстурований соєвий білок:
0,89
0,86
Середні значення ЦК
= 13258 руб. / т.., а Ц = 12824 руб./. По формулі (5) розрахуємо 
= (К* ЦК
)/(КК
*Ц) = (0,89*13258)/(0,86*12824) = 1,07
Шрот:
0,90
0,78
Середні значення ЦК
= 1130 руб. / т.., а Ц = 805 руб./. По формулі (5) розрахуємо 
= (К* ЦК
)/(КК
*Ц) = (0,90*1130)/(0,78*805) = 1,62
Лушпайка:
0,85
0,96
Середні значення ЦК
= 13200 руб. / т.., а Ц = 12600 руб./. По формулі (5) розрахуємо 
= (К* ЦК
)/(КК
*Ц) = (0,85*13200)/(0,96*12600) = 0,93
Комбікорм:
0,84
0,98
Середні значення ЦК
= 2038 руб. / т.., а Ц = 2092 руб./. По формулі (5) розрахуємо 
= (К* ЦК
)/(КК
*Ц) = (0,84*2038)/(0,98*2092) = 0,84
Отже, на основі проведених розрахунків зробимо загальний висновок стосовно конкурентоспроможності продукції ЗАТ „Консорціум”:
· соєве молоко – неконкурентоспроможне;
· соєва олія – конкурентоспроможна;
· текстурований соєвий білок – конкурентоспроможний;
· шрот – конкурентоспроможний;
· лушпайка – неконкурентоспроможна;
· комбікорм - неконкурентоспроможний.
Ще раз хочемо відзначити, що поняття „конкурентоспроможність” в даному випадку включає в себе певний запас стійкості для підприємства і висновок, що товар є неконкурентоспроможним не означає, що він не продається. В нашому випадку поняття „неконкурентоспроможний” означає що по даному товару у підприємства відсутній запас стійкості, в наслідок чого воно може втратити свою ринкову нішу.
Виходячи з вищесказаного можна зробити наступні висновки по:
а) оскільки К < КК
це означає, що наша фірма програє конкуренцію повинна вжити заходів до зміни споживчих або економічних параметрів продукту і наближення їх до еталонної моделі;
б) якщо ніякі зміни в нашому товарі вже неможливі, то вкладати в нього гроші недоцільно;
в) окрім збільшення К для підвищення конкурентоспроможності завжди непогано проглянути можливості зниження ціни.
Одним із методів підвищення конкурентоспроможності торговельного підприємства є прогнозування та планування збуту. Розглянемо основні засади організації даного процесу.
Складання прогнозу збуту починається з аналізу продажів існуючих товарів або послуг і існуючих споживачів в динаміці за ряд років (прогноз збуту А
). При цьому необхідно відповісти на наступні питання:
1. яким був об'єм реалізації товарів за останні 3-5 років і минулого року?
2. чи будуть споживачі і далі продовжувати купувати ваші товари?
3. чи зможете ви надалі розраховувати на такий же об'єм продажів, як і в минулому періоді?
Прогноз А дуже важливий, оскільки швидше за все він є базовим і буде більш точним, бо базується на перевіреній інформації минулих літ. Якщо бізнес розрахований на високий рівень регулярних продажів, то об'єми реалізації можна прогнозувати, спираючись на звичку постійних клієнтів купувати товари нашого підприємства. У разі ж, коли проводиться більше разових продажів, необхідно проаналізувати загальний об'єм продажів і продумати, як краще пристосуватися до умов ринку в цілому.
Після розробки обґрунтованого базового прогнозу доцільно зайнятися пошуком можливостей розширення круга існуючих споживачів - для цього доведеться виходити на нові ринки (прогноз збуту Б
). Це потребує збільшення числа торгових агентів (дуже важливо, щоб їх кваліфікація не була нижчою вже працюючих на підприємстві, оскільки ним, швидше за все, доведеться працювати з новими покупцями) і витрат на рекламу. При цьому минулий досвід може допомогти скласти більш точні прогнози, особливо якщо зміни в умовах продажу і в покупцях при виході на нові ринки будуть не дуже значні. При складанні прогнозу Б не слід забувати про можливих конкурентів, вже що вийшли на нові ринки, і про досягнуті ними об'єми реалізації.
Складання прогнозу збуту В
(оцінка очікуваного об'єму продажів для нових товарів на існуючих ринках) набагато складніше, ніж попереднього, а сам прогноз менш точний. Тут доведеться істотно розширити застосування експертних методів прогнозування – в першу чергу, необхідно спертися на думку своїх агентів (метод сукупних думок працівників збуту), провести опити безпосередніх споживачів (метод очікуваних запитів споживачів), а також залучити експертів в цій області із сторони.
Розробка прогнозу збуту Г
(оцінка очікуваних об'ємів продажів нових товарів на нових ринках) найбільш складна, а такий спосіб розвитку та підвищення конкурентоспроможності підприємства самий ризикований. Методи прогнозування об'ємів продажів, швидше за все, будуть аналогічні методам, вживаним при розробці попереднього прогнозу.
При складанні будь-якого з розглянутих варіантів прогнозів продажів не слід забувати про конкурентів. Необхідно також мати на увазі, що розрахунок об'ємів продажів ніколи не буває легким, точність прогнозів не може бути абсолютною, але їх необхідно виконувати, оскільки від цього залежатиме точність прогнозів прибутку (збитків) підприємства.
Необхідно відзначити, що прогнози продажів враховують очікуваний час продажів. Реально ж гроші на рахунки поступають із запізненням.
Це були загальні рекомендації стосовно покращення конкурентоспроможності торгових підприємств, тепер розглянемо конкретно яким чином можна покращити конкурентоспроможність товарної продукції, яка реалізується ЗАТ „Консорціум”.
Основним критерієм конкурентоспроможності в нашому випадку є ціна. Як нами було проаналізовано вище не всі товари, якими торгує досліджуване підприємство є конкурентоспроможними. Також, як були вище відмічено, 70% продукції реалізується підприємством на російському ринку, а отже розрахунок ціни також будемо проводити в рублях.
Отже, неконкурентоспроможними у нас виявилася наступна продукція:
· соєве молоко;
· лушпайка соєва;
· комбікорм.
Дамо відповідь на питання на питання якою повинна бути ціна Ц
для забезпечення конкурентоспроможності нашого продукту на ринку. Для цього треба скористатися вищенаведеними у п.2.3 рекомендаціями і вважати, що КС повинне бути більше, ніж 1,4.
1,4 = (К*ЦК) / (КК*Ц) = (0,78*70) / (0,84*Ц);
Ц = (0,78*70) /1,4* 0,84 = 47 тис. руб.
Отже, для забезпечення конкурентоспроможності на російському ринку соєвого молока ціна на нього повинна становити 50 тис. руб. за тону.
Аналогічним чином розрахуємо конкурентоспроможні ціни для соєвої лушпайки та комбікорму.
Ціна соєвої лушпайки:
1,4 = (К*ЦК) / (КК*Ц) = (0,85*13200) / (0,96*Ц);
Ц = (0,85*13200) / (1,4*0,96) = 8348 руб.
Ціна комбікорму:
1,4 = (К*ЦК) / (КК*Ц) = (0,84*2038) / (0,98*Ц);
Ц = (0,84*2038) / (1,4*0,98) = 1248 руб.
Таким чином, ми можемо зробити висновок, що для зміцнення конкурентних позицій ЗАТ „Консорціум” на російському ринку необхідно переглянути такі економічні складові конкурентоспроможності як ціна товару. Проте це не означає, що на даний момент товари є неконкурентоспроможними за ціною, даний розрахунок показав тільки якою повинна бути ціна, щоб підприємство мало стабільний запас конкурентостійкості.
Дослідивши в даній курсовій роботі проблему конкурентоспроможності ми можемо зробити наступні висновки:
1. Поняття конкурентоспроможність має універсальне значення і все більш застосовується не тільки стосовно продукції (послуг) у цілому, а й стосовно окремих фірм і навіть країн.
2. Конкуренція – процес управління суб'єктами своїми конкурентними перевагами для утримання перемоги або досягнення інших цілей у боротьбі з конкурентами за задоволення об'єктивних або суб'єктивних потреб у рамках законодавства або в природних умовах. Конкуренція є рушійною силою розвитку суб'єктів і об'єктів керування, суспільства в цілому.
3. Конкурентоспроможність об'єкта визначається стосовно конкретного ринку, або до конкретної групи споживачів, формованої по відповідних ознаках стратегічної сегментації ринку. Якщо не зазначений ринок, на якому конкурентоспроможний об'єкт, це означає, що даний об'єкт у конкретний час є кращим світовим зразком. В умовах ринкових відносин конкурентоспроможність характеризує ступінь розвитку суспільства. Чим вище конкурентоспроможність країни, тим вище життєвий рівень у цій країні.
4. Українське законодавство, що регулює економічну конкуренцію, зароджувалося насамперед як антимонопольне законодавство. Його основу становили прийнятий у лютому 1992 р. Закон України „Про обмеження монополізму і недопущення недобросовісної конкуренції у підприємницькій діяльності” та Закон України „Про Антимонопольний комітет України” від 26 листопада 1993 р. Відповідні норми закріплено в Конституції України (ст.42): „Держава забезпечує захист конкуренції у підприємницькій діяльності. Не допускаються зловживання монопольним становищем на ринку, неправомірне обмеження конкуренції та недобросовісна конкуренція. Види і межі монополії визначаються законом”.
5. Конкурентні переваги показують, у яких областях (у даному випадку в рамках комплексу маркетингу) підприємство досягло більш високих результатів, чим конкуренти. Конкурентні переваги дозволяють правильно виробити стратегію позіціонування товарів і послуг на ринку, вибравши цільові ринкові сегменти і сконцентрувати там фінансові ресурси підприємства.
1. Азоев Г.Л. Конкуренция: анализ, стратегия и практика. — М.: Центр экономики и маркетинга, 1996.
2. Антонюк Л. Л. Міжнародна конкурентоспроможність країн: теорія та механізм реалізації. Київ: КНЕУ, 2004, 275 с.
3. Балабанова Л.В. Маркетинг. Київ: Знання-Прес, 2004, 645 с.
4. Голубков Е.П. Маркетинговые исследования: теория, методология и практика. - 2-е издание, переаботанное и дополненное. - М.: Издательство "Финэкспресс", 2000. - 464 с.
5. Должанський І.З., Загорна Т.О. Конкурентоспроможність підприємства. Київ: Центр навчальної літератури, 2006, 384 с.
6. Евдокимов Ф.И., Гавва В.М. Азбука маркетинга: Учебное пособие. – Д.: Сталкер, 1988. – 432с.
7. Економіка підприємства: Підручник / За заг. ред. С.Ф.Покропівного. – Вид. 2-ге, перероб. та доп. – К.: КНЕУ, 2001. – 528 с., іл.
8. За ред. А.П. Румянцева. Міжнародна економіка. Київ: Знання, 2006, 479 с.
9. Іванова І.В. Менеджмент підприємства. Київ: Київський національний торгово-економічний ун-т, 2001, 247 с.
10. Кардаш В.Я. Маркетингова товарна політика: Навч. - Метод. посібник для самот. вивч. дисц. - К: КНЕУ, 2000. - 124 с.
11. Качан Є.П., Шушпанов Д.Г. Управління трудовими ресурсами. Київ: Видавничий Дім "Юридична книга", 2003, 258 с.
12. Ковалёв Д., Сухорукова Т. Экономическая безопасноть предприятия // Экономика Украины. – 2004. - № 10. – С.48-52.
13. Костусєв О. Захист економічної конкуренції в Україні: стан і проблеми // Економіка України. - 2003. - №7. - с. 5-11
14. Мазаракі А.А. Економіка торговельного підприємства. Київ: "Хрещатик", 1999, 800 с.
15. Мунтіян В.І. Економічна безпека України: Підручник. – Видавництво КВІСТ. – 1999. – 457 с.
16. Раздина Е. Коммерческая информация и экономическая безпасность предприятия // Бизнес-информ. – 2003. - № 24. – с. 63-65.
17. Румянцев А.П., Климко Г.Н., Рокоча В.В. Міжнародна економіка. Київ: Знання-Прес, 2003, 447 с.
18. Сизоненко В.О. Сучасне підприємництво. Київ: Знання-Прес, 2003, 379 с.
19. Сіваченко І.Ю. Управління міжнародною конкурентоспроможністю підприємства (організації). Київ: ЦУЛ, 2003, 186 с.
20. Ступницький О.І. Транснаціоналізація науково-технічної політики в умовах посилення міжнародної економічної взаємозалежності. Київ: ВПЦ "Київський університет", 2001, 243 с.
21. Терещенко О.О. Фінансова санация та банкрутство підприємств. – К.:КНЕУ, 2000. – 412 с.
22. Фатхудинов Р.А. Конкурентоспособность: экономика, стратегия, управление. - М.: ИНФРА - М. - 2000.-312 с.
23. Харів П.С. Економіка підприємства: Збірник задач і тестів. Київ: Знання-Прес, 2001, 301 с.
24. Швиданенко Г.О., Покропивний С.Ф., Клименко С.М. Економіка підприємства. Київ: КНЕУ, 2000, 248 с.
25. Шершньова З.Є. Стратегічне управління. Київ: КНЕУ, 2004, 699 с.
26. Юданов А.Ю. Конкуренция: теория и практика: Учебное пособие. — 2-е изд. — М.: Гном-Пресс, 1998
|