Курсовую работу выполнил Иван Калугин
МГАУ, 1998
Задание на выполнение курсовой работы
Содержание курсовой работы;
Введение.
I раздел. Оценка обстановки.
II раздел. Защита работающего персонала. Ш раздел. Организационные и инженерно-технические мероприятия по повышению
устойчивой работы подразделения сельскохозяйственного объекта.
Заключение.
ИСХОДНЫЕ ДАННЫЕ
Вариант № 7
1. Ситуация TА=7:00; tвып=2ч.; tн.р.=4ч.; P1=55мР/ч; Hуст=0.25мЗв; Pт.доп.=0.1
2. Подразделение объекта гараж, Пенкино
3. Численность работающих (чел.) 20
4. Здания: -производственные(служебные) кирп h=0.51м G=400кгс/м2
-жилые кирп h=0.38м G=300кгс/м2
5. ПРУ: -имеется подвал(р) на 10 чел с Кз = 50
необходимо приспособить (построить) помешение №6
на 5 человек с Кз = 200
6. Время года, метеоусловия реальные
7. Открыто расположенная техника, ед.
8. Организационные и инженерно-технические мероприятия повышение устойчивой работы гаража в условиях РЗМ, обосновать какая СХТ используется для оснащения формирований ГО. Схема ПРВГ
9. Графическая часть. Чертеж укрытия А-1. Схема ПРВГ А-2
Введение.
Очень важно в любой экстремальной ситуации обеспечить устойчивую работу объекта, не прекращая выпуска продукции. Для этого необходимо иметь навык по составлению плана действий в чрезвычайной ситуации, например, таких, как химическое или радиоактивное заражение местности.
Главной задачей в данной ситуации является приобретение знаний и умений в составлении режима работы на объектах сельскохозяйственного значения (в данном случае на ремонтной мастерской). Так же необходимо обеспечить работу ремонтной мастерской, правильно рассчитать укрытие, в котором, во время аварии, люди были бы организованы, между ними были бы распределены обязанности, были бы сохранены животные и сельскохозяйственное оборудование.
Автомобильный гараж на 25 машин предназначен для хранения, технического обслуживания и текущего ремонта автомобилей. В производственном здании имеются участки для технического обслуживания и ремонта автомобилей, бытовые и другие помещения. Часть автомобилей хранится в производственном здании, а остальные — под навесом и на открытых стоянках.
В этой работе требуется разработать мероприятия по подготовке к работе в чрезвычайной ситуации, спланировать мероприятия по защите работающего персонала, техники и оборудования.
Забиваем Сайты В ТОП КУВАЛДОЙ - Уникальные возможности от SeoHammer
Каждая ссылка анализируется по трем пакетам оценки: SEO, Трафик и SMM.
SeoHammer делает продвижение сайта прозрачным и простым занятием.
Ссылки, вечные ссылки, статьи, упоминания, пресс-релизы - используйте по максимуму потенциал SeoHammer для продвижения вашего сайта.
Что умеет делать SeoHammer
— Продвижение в один клик, интеллектуальный подбор запросов, покупка самых лучших ссылок с высокой степенью качества у лучших бирж ссылок.
— Регулярная проверка качества ссылок по более чем 100 показателям и ежедневный пересчет показателей качества проекта.
— Все известные форматы ссылок: арендные ссылки, вечные ссылки, публикации (упоминания, мнения, отзывы, статьи, пресс-релизы).
— SeoHammer покажет, где рост или падение, а также запросы, на которые нужно обратить внимание.
SeoHammer еще предоставляет технологию Буст, она ускоряет продвижение в десятки раз,
а первые результаты появляются уже в течение первых 7 дней.
Зарегистрироваться и Начать продвижение
В условиях радиоактивного заражения, стихийных бедствий и других чрезвычайных ситуаций необходимо действовать по досконально продуманному плану ликвидации последствий. Для выполнения этих задач необходим подготовленный и высококвалифицированный персонал.
Раздел 1. Оценка обстановки.
Радиоактивная обстановка - это масштабы и степень радиоактивного заражения местности, оказывающие влияние на действия личного состава формирований гражданской обороны, на производственную деятельность объектов, и на жизнедеятельность людей.
Под оценкой радиационной обстановки понимается определение характеристик радиоактивного заражения местности и их влияния на людей, животных, растений, технику, здания. Оценка обстановки может осуществляться методом прогнозирования и на основании данных о радиационной обстановки. При оценке методом прогнозирования на схему местности наносятся зоны возможного радиоактивного заражения.
Определение возможных доз облучения людей при их деятельности в условиях радиоактивного заражения местности.
Определим возможную дозу внешнего облучения работников гаража за первые четверо суток с момента начала облучения при следующих исходных данных:
Та — 7.00 — время аварии;
tВЫП— 2 часа — время через которое выпадут осадки;
P1 — 55 мР/ч — приведенный уровень радиации;
HУСТ — 0,25 мЗв — установленная доза однократного внешнего облучения работающего человека;
PТ ДОП— 0,1 мР/ч — предельно допустимый уровень
Характеристики видов деятельности персонала гаража на четверо суток приняты одинаковыми:
8.00—16.00 – работа в одноэтажном производственном здании (Кз=7);8ч;
16.00—20.00 – пребывание на открытой местности (Кз=1);4ч;
20.00—6.00 – пребывание в жилом доме (Кз=10);10ч;
6.00—8.00 – пребывание на открытой местности (Кз=1);2ч;Для 4-х суток находим время продолжительности (DТ), время окончания (tК) и время начала (tН) перемены пребывания в заданных условиях
В призводственном здании:
tН = tВЫП = 2 ч.
DТ=Tконца работы – (Tа + tВЫП) = 16.00 – ( 7.00 + 2ч ) = 7ч.
tК = tН + DТ = 2 + 7 = 9ч.
На открытой местности:
tН = 9ч.; DТ= 4ч.; tК= 13 ч.
В жилом доме:
tН = 13ч.; DТ= 10ч.; tК= 23 ч.
На открытой местности:
tН = 23ч.; DТ= 2ч.; tК= 25 ч.
В призводственном здании:
tН = 25ч.; DТ= 1ч.; tК= 26 ч.
Аналогично для 2, 3 и 4 суток и результаты заносим в табл.1
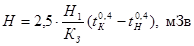
Дозу внешнего облучения персонала для каждого вида деятельности определяем по формуле:для i-тых календарных суток Hi=SHmi , мЗв
Рассчитываем дозу облучения персонала за 1 сутки и за 2, 3 и 4.
Сервис онлайн-записи на собственном Telegram-боте
Попробуйте сервис онлайн-записи VisitTime на основе вашего собственного Telegram-бота:
— Разгрузит мастера, специалиста или компанию;
— Позволит гибко управлять расписанием и загрузкой;
— Разошлет оповещения о новых услугах или акциях;
— Позволит принять оплату на карту/кошелек/счет;
— Позволит записываться на групповые и персональные посещения;
— Поможет получить от клиента отзывы о визите к вам;
— Включает в себя сервис чаевых.
Для новых пользователей первый месяц бесплатно.
Зарегистрироваться в сервисе
Возможная доза облучения персонала гаража за первые четверо суток составляет:
H1 + H2 + H3 + H4 = 1.0111605+0.507001+0.376146+0.308841=2.20359мЗв
Выводы:
Результаты расчетов показывают, что возможная доза внешнего облучения существенно превышает установленное значение однократного внешнего облучения (HУСТ=0,25 мЗв).
С целью исключения переоблучения персонала необходимо разработать мероприятия по их защите, включая расчет режима работы в условиях РЗМ с использованием имеющихся защитных сооружений.
Табл.1Определение возможной степени радиоактивного заражения сельскохозяйственной техники.
Формула спада уровня радиации:
PТНР = P1*t -qНР,
t -qНР для q=0,6 и q=1,6 из приложения 10 и11.
Рт.доп.=0,1 мР/ч,
1. Определение степени возможного первичного заражения открыто расположенной техники
P1T=0,1*P1=0,1*55= 5,5 мР/ч,
2. Определяем степень заражения открыто расположенной техники на время планируемого использования
Ртнр=Р1Т*t -0,6=5,5*6 -0,6=5,5*0,341 = 1,877 мР/ч,
3. Сравниваем значения
Ртнр= 1,877мР/ч > Рт.доп.=0,1 мР/ч,
4. Рассчитываем время естественной дезактивации техники с использованием формулы спада уровня радиации
Рт.доп.=P1Т*t -0,6ДЕЗ,
t -0,6ДЕЗ=0,1/5,5= 0,018
t ДЕЗ=809 часов=33.7 суток
Вывод: так ак возможная степень радиоактивного заражения техники значительно выше предельного значения, а время естественной дезактивации существенно больше запланированного времени начала использования техники при внедрении CHAP, то необходимо разработать мероприятия по защите техники от заражения при выпадении радиоактивных осадков или по ее дезактивации.
Рассчитываем изменение уровня радиоактивного заражения техники в течении первых суток после аварии по формуле:
PT=P1T*t -q,
где t - время от 1 до 24 ч.По данным таблицы строится график зависимости PT,мР/ч от t,ч.
 По графику определяем уровень радиации сельскохозяйственной (автомобильной) техники к моменту запланированного (необходимого) начала ее использования (tНР = 4ч.):
PТ НР=2,394 мР/ч
Вывод: уровень заражения техники довольно высокий. Для использования этой техникой необходимо произвести дезактивацию, т. к. как естественная дезактивация длится значительное время.
Раздел 2. Защита работающего персонала.
Наиболее способ защиты населения от оружия массового поражения и других средств нападения противника - укрытие населения в защитных сооружениях. В первую очередь необходимо укрыть население в защитных сооружениях по месту нахождения: на работе, учебе или в местах его постоянного проживания.
Защитные сооружения - это инженерные, предназначенные специально для защиты населения от ядерного, химического и бактериологического оружия, а также воздействия вторичных поражающих факторов при ядерных взрывах или применения обычных средств поражения.
В зависимости защитных свойств сооружения подразделяются на:
- убежища,
- противорадиоационные укрытия (ПРУ).
Помимо этого, для защиты населения могут использоваться и другие, более простые способы защиты. Убежища и ПРУ сооружают, как правило, сооружают в мирное время - заблаговременно. Количество защитных сооружений можно постоянно увеличивать до полного удовлетворения в них населения. В чрезвычайной ситуации при оповещении населения, такие убежища будут заняты населением в кратчайшее время. Если же убежищ и ПРУ недостаточно, то необходимо приспособить уже имеющиеся помещения, в данном случае, на ремонтном предприятии, используя стандартные строительные материалы, элементы и законченные конструкции из железобетона и кирпича.
Определение значения коэффициента защиты для подвального помещения
Необходимо повысить защитные свойства помещения при следующих исходных данных:
- помещение находится в подвале гаража;
- размеры помещения -3 х 5,6м, высота - 4,2 м;
- наружные и внутренние несущие стены - кирпичные, толщиной 0,38 м
Решение.
1. Определение значения Кэ.
Значение Кз для помещении укрытия на первом этаже в многоэтажных каменных зданиях определяется по формуле:
Kз=(0,65*K1*Kст)/((1 -Кш)*(Ко*Кст+1 )*Км)
Находим значения коэффициентов, входящих в формулу. Так как помещение имеет только одну наружную стену, а с остальных трех сторон защищено двумя и более стенами, суммарный вес 1м2 которых в одном направлении более 1000 кгс, то
K1=360°/36°-56°=3,9.
Приведенный вес 1 м' наружной кирпичной стены равен
0,38*1840*1 *(1-acт)=700*(1-So/Scт)=700*(1-4,5/12,6)=450.
Кст=22 (табл. 1). Кш=0,06 (табл. 2). a=So/Sn=(1,5*3)/(3*5,6)=0,24
Ко=0,8*0,24=0,19. Км=1.
Подставив значение коэффициентов в формулу, получим
Кз=(0,65*3,9*22)/( (1 -0,06)*(0,19*22+1 )*1 )=11,5
С учетом того, что заражение радиоактивными смежного с укрытием помещения 1 не предотвращено (п.б.10" СНиП),
Кз=11,5*0,8=9,2<20.
Так как значение Кз мало, необходимо рассмотреть возможный вариант
повышения защитных свойств помещения.
2. Вариант повышения защитных свойств помещения.
С целью увеличения значения Кэ уменьшим высоту оконного проема путем устройства экрана высотой 0,5 м, т. е. расстояние от низа окна составит
0,8+0,5=1,3 м, тогда
(х=(1,5*2,5)/16,8=0,224 Ко=0,34*0,224=0,076.
Приведенный вес 1 м^ наружной стены равен
700*(1-(3,75/12,6))=0,490кгс. Кст=30 (табл. 1, по интерполяции).
Кз=(0,65*3,9*30)/((1-0,06)*(0,076*30+1 )*1 )=24,8
С учетом указаний П.6.10" СНиП Кз=24,8*0,8=20, т.е. соответствует требованиям.
3. Определение трудоемкости работ.
Трудоемкость по повышению защитных свойств помещения ориентировочно составляет: изготовление, установка на подоконнике короба из досок и заполнение его грунтом (размеры короба: длина - 1,5 м, ширина - 0,5 м, высота - 0,5м; объем пиломатериалов - 0,065 м^, потребность грунта - 0,27м") - 4 чел.-ч; герметизация помещения - 2чел.-ч; другие (неучтенные) работы - 2 чел.-ч; итого - 8 чел.-ч.
4. Предложения по выполнению работ.
Работы по повышению защитных свойств помещения целесообразно выполнить бригаде в составе 4 человек. Выводы:
1. Результаты расчетов показывают, что при устройстве защитного экрана высотой 0,5м на оконном проеме значение К, помещения участка регулировки и испытания топливной аппаратуры повышается до 20.
2. Общая трудоемкость работ по повышению защитных свойств помещения составляет 8 чел.-ч. Бригада рабочих в составе 4 человек сможет выполнить работы за 2 часа.
Раздел 3. Организационные и инженерно-технические мероприятия по повышению устойчивой работы и жизнедеятельности персонала ремонтной мастерской в условиях РЗМ.
Основными подразделениями сельскохозяйственного объекта являются полеводческие, животноводческие бригады, фермы КРС, свино- и птицефермы, машинные дворы с ремонтными мастерскими, гаражами и т.д.
Для повышения устойчивой работы этих объектов в условиях ЧС планируются и осуществляются организационные и инженерно-технические мероприятия. Эти мероприятия осуществляются штабом ГО объекта с привлечением соответствующих служб.
Перечень и содержание мероприятий зависит от назначения. состава, расположения подразделения, численности персонала, особенностей его функционирования и характера ЧС.
Оповещение об угрозе или возникновении ЧС осуществляется штабом ГО объекта. Основным средством доведения сигналов и распоряжений является централизованная система оповещения (телевидение, радиостанции, телефонная связь и другие).
Мероприятия, обеспечивающие устойчивую работу объекта.
Основные мероприятия по обеспечению работы гаража:
Подготовка производственных и подсобных помещений гаража и заправочных пунктов для работы в условиях РЗМ.
Создание резерва материалов, запасных частей, ТСМ, обеспечивающих автономную работу в условиях срыва поставок.
Подготовка к работе от автономного источника энергоснабжения.
Приведение в готовность складов и гаражей (навесов) для хранения запчастей, материалов и техники, находящейся на ремонте или обслуживании.
Создание подвижных ремонтно-восстановительных групп.
Дооборудование мойки машин с целью использования ее для дезактивации СХТ.
Проверка работоспособности оборудования и инструмента мастерских.
Проведение противопожарных мероприятий, увеличение запасов первичных средств пожаротушения.
Повышение защитных свойств зданий и сооружений.
Для повышения защитных свойств зданий и сооружений МД потребуется усилить наиболее слабые элементы конструкции здания гаража.
Часть оконных проемов проемов заложить карпичом, оборудовать пожарные водоемы и подъезды к ним, подготовить противопожарные средства, произвести герметизацию помещения, на входных воздуховодах с целью уменьшения попадания РВ установить фильтры. После герметизации здания потребуется необходимо соблюдать режим воздухообмена, в том числе изменения его кратности.
Ремонтная мастерская на первом этаже может быть использована для выполнения работ по подготовке техники формирований ГО, убывающих для радиационной разведки и выполнения аварийно-спасательных работ и других неотложных работ, а также для проведения дезактивации.
В этом случае потребуется специальная подготовка техники. С целью уменьшения внешней части машин, т.е. уменьшения налипания РВ машины покрываются специальными лаками или эмалями, коэффициент дезактивации при этом повышается. С целью уменьшения попадания РВ во внутренние поверхности машины, а также в элементы кабины и кузова необходимо тщательно проводить герметизацию и работу фильтрационных установок.
Повышение устойчивости электроснабжения машинного двора.
По надежности электроснабжения, гараж относится к потребностям третьей категории, где не требуется резервное электроснабжение, однако, обстановка ЧС может потребовать проведение работ в условиях полного отсутствия электроснабжения. В качестве резервного источника может быть использован ДЕС или агрегат на базе генератора с приводом от ВОМ трактора (РИПТ). Расчетная нагрузка электропотребления составляет 20 кВт.
Принимаем марку генератора ДГУ-400 при n=1500 об/мин. Выбираем марку трактора МТЗ-80 с N=59 кВт, который будет обеспечивать электроснабжение с приводом от ВОМ. Установим его на железобетонную эстакаду, рядом оборудуем щит и место хранения необходимого топлива. Генераторная установка может быть выполнена в виде рамной конструкции и устанавливаться на самом тракторе, монтироваться тракторном прицепе или же крепиться к трактору с помощью механизма навести.
Повышение устойчивости теплоснабжения, водоснабжения и канализации.
Теплоснабжение предусмотренное для ТО и ремонта СХТ, связано с внешними теплосетями. Горячее водоснабжение - централизованное. Теплая вода подаваемая в систему отопления является перегретой водой, когда для горячая вода подаваемая по теплосетям имеет температуру t=55...65° С.
Водоснабжение для ТО и ремонта техники разрабатываются в соответствии со СНиП. Обычно функционирует объединенная система хозяйственно-питьевого и проиэводственно-противопожарного водоснабжения. Забор воды осуществляется непосредственно из подземного источника, затем вода подается в емкость водонапорной башни и по подземному водопроводу подается в здание РМ.
Канализация в здании РМ для проведения ТО и ремонтов СХТ разработаны в строгом соответствии со СНиП. Сброс сточных вод осуществляется в наружные сети канализации. Производственные сточные воды, имеющие в своем составе взвешенные частицы веществ, входящих в состав нефтепродуктов, перед их выпуском в наружную канализацию проходят локальную очистку в грязеотстойниках с бензомаслоулавителями, которые имеют степень очистки до 90%.
Разработка режимов работы
Исходные данные: гараж Пенкино, tвып=2 часа, tНР=4часа, P1=25мр/ч,
ПРУ с KЗ=200, восстановительные и защитные работы DTч=8часов., ПРУ DTПРУ=14,5часов.
| Сутки |
Условия пребывания персонала |
tн,ч |
dT,ч |
tк,ч |
Kз |
Kд |
H,мЗв |
доза за сутки |
| 1 |
нахождение в ПРУ |
2 |
8 |
10 |
200 |
2,980946 |
0,008198 |
0,046448 |
| в здании ПТО |
10 |
1 |
11 |
7 |
0,244031 |
0,019174 |
| нахождение в ПРУ |
11 |
11 |
22 |
200 |
2,084389 |
0,005732 |
| в здании ПТО |
22 |
1 |
23 |
7 |
0,154428 |
0,012134 |
| нахождение в ПРУ |
23 |
3 |
26 |
200 |
0,440436 |
0,001211 |
| 2 |
нахождение в ПРУ |
26 |
9 |
35 |
200 |
1,161952 |
0,003195 |
0,047956 |
| в здании ПТО |
35 |
2 |
37 |
7 |
0,232971 |
0,018305 |
| нахождение в ПРУ |
37 |
8 |
45 |
200 |
0,863145 |
0,002374 |
| в здании ПТО |
45 |
3 |
48 |
7 |
0,299724 |
0,02355 |
| нахождение в ПРУ |
48 |
2 |
50 |
200 |
0,193616 |
0,000532 |
| 3 |
нахождение в ПРУ |
50 |
7 |
57 |
200 |
0,643256 |
0,001769 |
0,073554 |
| в здании ПТО |
57 |
2 |
59 |
7 |
0,174982 |
0,013749 |
| нахождение в ПРУ |
59 |
10 |
69 |
200 |
0,8255 |
0,00227 |
| на открытой местности |
69 |
1 |
70 |
1 |
0,07849 |
0,043169 |
| в здании ПТО |
70 |
2 |
72 |
7 |
0,154985 |
0,012177 |
| нахождение в ПРУ |
72 |
2 |
74 |
200 |
0,152423 |
0,000419 |
| 4 |
нахождение в ПРУ |
74 |
6 |
80 |
200 |
0,442958 |
0,001218 |
0,108863 |
| на открытой местности |
80 |
2 |
82 |
1 |
0,143202 |
0,078761 |
| в здании ПТО |
82 |
3 |
85 |
7 |
0,210927 |
0,016573 |
| нахождение в ПРУ |
85 |
8 |
93 |
200 |
0,541497 |
0,001489 |
| в здании ПТО |
93 |
2 |
95 |
7 |
0,130967 |
0,01029 |
| нахождение в ПРУ |
95 |
3 |
98 |
200 |
0,193384 |
0,000532 |
Суммарная доза за четыре дня равна 0,276821 мЗв.
Руководителям хозяйств, главным инженерам рекомендуется произвести заранее инструктаж по работе ПТО при перебоях в энерговодоснабжении. Учитывая конкретные местные условия: возможные перерывы в электроснабжении при производственных авариях и стихийных бедствиях.
| N |
мероприятия |
Исполнитель |
Сроки выполнения |
Примечание |
| часы |
сутки |
| 2 |
4 |
6 |
8 |
10 |
12 |
16 |
20 |
24 |
2 |
3 |
4 |
5 |
| Защита работающего персонала |
| 1 |
Оповестить об угрозе или возникновении ЧС в гараже |
нач.штаба |
| 2 |
Получить и выдать СИЗ персоналу гаража |
ком-р |
| 3 |
Привезти в
готовность
существующие ПРУ (подвал производственного помещения)
|
ФРО штаб ГО |
| 4 |
Приспособить под ПРУ подвалы жилых домов |
-"- |
| 5 |
Развернуть посты РХН |
-"- |
| 6 |
Создать запасы продуктов, медикаментов, воды |
? |
| 7 |
Уточнить режим работы подразделения гаража |
нач.штаба |
| 8 |
Определить защитные свойства зданий и сооружений |
ком. под. |
| 9 |
Определить порядок эвакуации |
шт.го |
| Обеспечение работы гаража |
| 1 |
Подготовить производственные и
подсобные помещения гаража.
|
зам нач гар. |
| 2 |
Подготовить подвижные средства ремонта автомашин в полевых условиях |
гл. инженер |
| 3 |
Создать на базе гаража и подготовить к работе ПРВГ |
-"- |
| 4 |
Привести в готовность средства механизации, используемые при выполнении задач ГО |
зав. гаража |
| 5 |
Создать резервы материалов, запасных частей, ТСМ, обеспечивающих автономну работу в условиях прекращения поставок. |
зам. по инж.тех.обсл. |
| 6 |
Дооборудовать мойку с целью использования ее при дезактивации |
зав. гаража |
| 7 |
Провести противопожарные мероприятия увеличить запасы первичных средств пожаротушения |
ком-ры подразд |
| 8 |
Проверить работоспособность оборудования и инструмента мастерских, подвижных источников электроснабжения |
Заключение.
Защита населения в различных чрезвычайных ситуациях является главной задачей сил ГО. Защитные мероприятия необходимо произвести заблаговременно - в мирное время. Эффективная защита населения может быть проведена только лишь в случае наиболее серьезного подхода к проведению этих мероприятий.
Основными создания фонда защитных сооружений для сельского населения являются:
- заблаговременное строительство сооружение двойного назначения, то есть ПРУ, используемых в обычных условиях другому назначению, приспособление под ПРУ существующих зданий, строительство простейших укрытий.
Для сельскохозяйственных объектов наиболее характерным является приспособление под ПРУ уже существующих зданий и строительство простейших укрытий.
С целью приспособления под ПРУ существующих зданий следует серьезно подойти к его проектированию, а также качественно выполнить комплекс работ, содержание которых зависит от характеристик ПРУ и от приспосабливаемых зданий.
Под укрытия возможно приспособить отдельные помещения, цокольные и первые этажи жилых домов, производственных и административных зданий, а также подвалы в выше перечисленных сооружениях.
Своевременное выявление и оценка радиоактивной обстановки способствуют тому, что мероприятия, направленные на снижение дозовой нагрузки будут выполнены в предельно короткий срок.
Список литературы
1. Богданов В.Д., Головатов Ю.П., Дедов В.Н., Дмитриев П.С., Турищев Г.Ф. Безопасность жизнедеятельности в чрезвычайных ситуациях. М.: МГАУ, 1994.
2. Дедов В.Н., Дмитриев П.С. Выявление и оценка радиационной обстановки на сельскохозяйственных объектах. М.: МИИСП, 1993.
3. Дмитриев П.С. Противорадиоационные укрытия для сельского населения. М.: МГАУ, 1994.
4. Богданов В.Д. Основы устойчивости работы сельхозобъекта в чрезвычайных ситуациях. М.: МИИСП, 1993.
Богданов В.Д., Головатов Ю.П., Дедов В.Н., Дмитриев П.С., Турищев Г.Ф. Характеристика сельскохозяйственного объекта "Луч". М.: МГАУ, 1995.
|