| План
1. Методи обчислення дисперсії
2. Задача №6
3. Задача №12
4. Задача №18
5. Задача №24
1. Методи обчислення дисперсії
Статистична дисперсія
(від англ. statistical
dispersion
) — ступінь відхилення або зміни значень змінній від центрального пункту. Статистична дисперсія розраховується як різниця між значенням середньою квадратів варіюючої ознаки і квадратом середнього значення цієї ознаки. Дисперсія є базовим інструментом для статистичної оцінки варіації розподілу. Якщо значення ознаки розподілу ідентичні, то дисперсія рівна нулю. Дисперсія не може бути негативною величиною.

Умови існування і розвитку окремих одиниць сукупності певною мірою різні, що позначається і на відмінності значень у них узятої нами ознаки. Середня величина відображає ці середні умови.
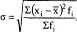
Середнє лінійне відхилення дає узагальнену характеристику ступеня тієї, що коливається ознаки в сукупності. Проте при його численні доводиться допускати некоректні з погляду математики дії, порушувати закони алгебри, що спонукало математиків і статистиків шукати інший спосіб оцінки варіації для того, щоб мати справу тільки з позитивними величинами. Найпростіший вихід - звести всі відхилення в другий ступінь.
 
Отримана міра варіації називається дисперсією
, а корінь квадратний з дисперсії - середнім квадратичним відхиленням.
Ці показники є загальноприйнятими заходами варіації і часто використовуються в статистичних дослідженнях, а також в техніці, біології і інших галузях знань. Дані показники знайшли також своє широке застосування в міжнародній практиці обліку і статистичного аналізу, зокрема в системі національного рахівництва.
Середнє квадратичне відхилення - це узагальнююча характеристика розмірів варіації ознаки в сукупності. Воно виражається в тих же одиницях вимірювання, що і ознака (у метрах, тоннах, рублях, відсотках і т. д.).
Дисперсія
- середній квадрат відхилень індивідуальних значень ознаки від їх середньої величини.
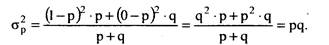
Серед безлічі варіюючих ознак, що вивчаються статистикою, існують ознаки, якими володіють одні одиниці сукупності і не володіють інші. Ці ознаки називаються альтернативними.
Прикладом таких ознак є: наявність бракованої продукції, вчений ступінь у викладача вузу, робота по отриманій спеціальності і так далі. Варіація альтернативної ознаки кількісно виявляється в значенні нуля у одиниць, які цією ознакою не володіють, або одиниці у тих, які дану ознаку мають.
Забиваем Сайты В ТОП КУВАЛДОЙ - Уникальные возможности от SeoHammer
Каждая ссылка анализируется по трем пакетам оценки: SEO, Трафик и SMM.
SeoHammer делает продвижение сайта прозрачным и простым занятием.
Ссылки, вечные ссылки, статьи, упоминания, пресс-релизы - используйте по максимуму потенциал SeoHammer для продвижения вашего сайта.
Что умеет делать SeoHammer
— Продвижение в один клик, интеллектуальный подбор запросов, покупка самых лучших ссылок с высокой степенью качества у лучших бирж ссылок.
— Регулярная проверка качества ссылок по более чем 100 показателям и ежедневный пересчет показателей качества проекта.
— Все известные форматы ссылок: арендные ссылки, вечные ссылки, публикации (упоминания, мнения, отзывы, статьи, пресс-релизы).
— SeoHammer покажет, где рост или падение, а также запросы, на которые нужно обратить внимание.
SeoHammer еще предоставляет технологию Буст, она ускоряет продвижение в десятки раз,
а первые результаты появляются уже в течение первых 7 дней.
Зарегистрироваться и Начать продвижение
Хай р - частка одиниць в сукупності, що володіють даною ознакою (р = m/n); q - частка одиниць, що не володіють даною ознакою, причому р + q = 1. Альтернативну ознаку приймає всього два значення - 0 і 1 з вагами відповідно q і р. Обчислений середнє значення альтернативної ознаки по формулі середньої арифметичної:

Дисперсія альтернативної ознаки визначається по формулі:

Таким чином, дисперсія альтернативної ознаки рівна твору частки на доповнюючи цю частку до одиниці число. Корінь квадратний з цього показника відповідає середньому квадратичному відхиленню альтернативної ознаки.
Показники варіації альтернативних ознак широко використовуються в статистиці, зокрема при проектуванні вибіркового спостереження, обробці даних соціологічних обстежень, статистичному контролі якості продукції, у ряді інших випадків.
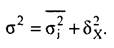
Буває необхідно прослідкувати кількісні зміни ознаки по групах, на які розділяється сукупність, а також і між групами. Таке вивчення варіації досягається за допомогою обчислення і аналізу різних видів дисперсії.
Виділяють дисперсію загальну, міжгрупову і внутрішньогрупову. Загальна дисперсія
вимірює варіацію ознаки у всій сукупності під впливом всіх чинників, що зумовили цю варіацію.
Існує закон, що зв'язує три види дисперсії. Загальна дисперсія рівна сумі середньої з внутрішньогрупових і міжгруповою дисперсій:
 
Дане співвідношення називають правилом складання дисперсій.
Згідно цьому правилу, загальна дисперсія, що виникає під дією всіх чинників, рівна сумі дисперсії, що з'являється під впливом всіх інших чинників, і дисперсії, що виникає за рахунок группировочного ознаки.
Знаючи будь-які два види дисперсій, можна визначити або перевірити правильність розрахунку третього вигляду.
2.
Задача №6
Виробництво хімічних волокон і ниток становили, в млн. грн.:
| |
2003 р.
|
2004 р.
|
2005 р.
|
| Штучні волокна і нитки
|
2,3
|
1,6
|
3,5
|
| Синтетичні волокна і нитки
|
2,7
|
2,4
|
4,8
|
Визначити по кожному волокну:
1. Базисні та ланцюгові темпи зростання та приросту.
2. Середньорічні темпи зростання та приросту.
Здійснити аналіз:
1. Зміни виробництва волокон по відношенню до минулого року.
2. Зміни виробництва волокон по відношенню до базисного року.
Сервис онлайн-записи на собственном Telegram-боте
Попробуйте сервис онлайн-записи VisitTime на основе вашего собственного Telegram-бота:
— Разгрузит мастера, специалиста или компанию;
— Позволит гибко управлять расписанием и загрузкой;
— Разошлет оповещения о новых услугах или акциях;
— Позволит принять оплату на карту/кошелек/счет;
— Позволит записываться на групповые и персональные посещения;
— Поможет получить от клиента отзывы о визите к вам;
— Включает в себя сервис чаевых.
Для новых пользователей первый месяц бесплатно.
Зарегистрироваться в сервисе
 

  
Среднегодовой темп роста выпуска товаров:

Среднегодовой темп прироста выпуска товаров:

| Показатели
Год
|
уц
|
уб
|
Тц
|
Тб
|
Тц
%
|
Тб
%
|
| 2003
|
-----
|
-----
|
-----
|
1
|
-----
|
-----
|
| |
|
|
|
|
|
|
| 2004
|
-0,7
|
-0,7
|
69,56
|
69,56
|
-30,43
|
-30,43
|
| |
-0,3
|
-0,3
|
88,89
|
88,89
|
-11,11
|
-11,11
|
| 2005
|
1,9
|
1,2
|
218,75
|
152,17
|
118,75
|
52,17
|
| |
2,4
|
2,1
|
200
|
117,78
|
100
|
77,78
|
Рассчитываем среднегодовые темп роста и темп прироста по формулам

Среднегодовой темп роста
3.
Задача № 12
Є такі дані про чисельність населення України і виробництво цукру–піску:
| Рік
|
1994 р.
|
1995 р.
|
1996 р.
|
| Чисельність населення на початок року, млн.чол.
|
52,1
|
51,7
|
51,3
|
| Виробництво цукру-піску, млн.т.
|
3,4
|
3,9
|
3,3
|
Обчисліть:
1. Середні рівні рядів динаміки;
2. Середньорічні абсолютні прирости зменшення і середньорічні темпи зростання (зниження). Проаналізуйте обчислені показники.
4.
Задача № 18
Слюсарі ремонтного цеху у березні отримали таку заробітню платню:
| З/п, грн.
|
204
|
212
|
215
|
225
|
240
|
244
|
250
|
260
|
| Число слюсарів
|
2
|
3
|
4
|
6
|
2
|
3
|
3
|
2
|
Розрахувати розміри середньої заробітньої платні за місяць одного слюсаря:
а) для всієї сукупності слюсарів;
б) для тих слюсарів, які мають заробітню платню вищу загального середнього;
в) для тих слюсарів, які мають заробітню платню нижчу загального середнього.
5.
Задача № 24
Собівартість і обсяг продукції підприємства характеризується такими даними:
| Вид виробів
|
Собівартість одиниці продукції, грн.
|
Вироблено продукції, тис.шт.
|
| Базисний період
|
Звітний період
|
Базисний період
|
Звітний період
|
| А
|
30
|
29
|
120
|
125
|
| Б
|
24
|
20
|
140
|
50
|
| В
|
8
|
9
|
90
|
76
|
Визначте:
Індивідуальні індекси собівартості і фізичного обсягу продукції; загальний індекс собівартості; суму економії від зміни собівартості.
|