| Міністерство освіти і науки України
Національний університет харчових технологій
Кафедра менеджменту
Контрольна робота
з дисципліни: “Корпоративне управління”
Виконала:
студентка 6 курсу
(з. ф. н) спеціальність МЗЕД
Вишняк Антоніна
Перевірив:
Викладач
Березянко Тамара Володимирівна
Київ - 2009
Задача 1.
За привілейованою акцією щорічно виплачують дивіденди в розмірі (за даними таблиці 1). Необхідно знайти вартість цієї акції, якщо мінімально приваблива ставка доходності для інвестора складає (за даними таблиці).
Таблиця 1. Вихідні дані та розрахунок вартості акції
| Варіант/показник
|
1
|
| Розмір дивідендів
|
12
|
| Ставка доходності
|
14
|
| Ставка доходності у десятковому дробі
|
0,14
|
| Вартість акції
|
85,71
|
За привілейованою акцією щорічно виплачують дивіденди в розмірі 12 грн. Необхідно знайти вартість цієї акції, якщо мінімально приваблива ставка доходності для інвестора складає 14%.
Вартість акції = Розмір дивідендів/Мінімально приваблива ставка доходності у десятковому дробі [1]
Якщо ставка дисконтування r = 14%, то маємо:
V=12/0,14= 85,71 грн.
Таким чином вартість акції дорівнює 85,71 грн.
Задача 2.
Розрахуйте ставку доходності акції за наступними даними.
Таблиця 2. Вихідні дані для розрахунку внутрішньої норми доходності акції
| Варіант/показник
|
1
|
2
|
3
|
4
|
5
|
6
|
7
|
8
|
9
|
10
|
| Розмір дивідендів
|
12
|
20
|
18
|
19
|
17
|
14,5
|
15
|
14
|
20
|
16
|
| Вартість акції
|
70,0
|
82,0
|
94,0
|
100
|
80
|
76
|
84
|
96
|
88
|
62
|
Таблиця 3. Розрахунок внутрішньої норми доходності
| Варіант/показник
|
1
|
| Розмір дивідендів
|
12
|
| Вартість акції
|
70
|
| Внутрішня норма доходності
|
17,14
|
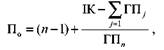
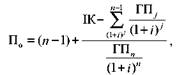
Іноді виникає обернене завдання: оцінити треба внутрішню норму дохідності, коли ми знаємо ринкову вартість акції.
Тоді:
НД (внутрішня норма доходності) = Величина дивідендів/ Ринкова вартість акції [2]
НД = 12/70 * 100% = 17,14%.
Доходність для інвестора має два варіанти:
за рахунок перепродажу у разі підвищення курса акцій.
Доходність від перепродажу = купівля за ціною Р1 - продаж за ціною Р2;
за рахунок дивідендів, отриманих за період володіння акцією.
Аналізуючи ефективність інвестування в акції, зазвичай мають справу із середньозваженою дохідністю.
Задача 3.
Виходячи із попередніх статистичних даних про дохідність акції та виплату дивідендів, розрахуємо дохідність за минулі періоди та оцінимо очікувану дохідність.
Забиваем Сайты В ТОП КУВАЛДОЙ - Уникальные возможности от SeoHammer
Каждая ссылка анализируется по трем пакетам оценки: SEO, Трафик и SMM.
SeoHammer делает продвижение сайта прозрачным и простым занятием.
Ссылки, вечные ссылки, статьи, упоминания, пресс-релизы - используйте по максимуму потенциал SeoHammer для продвижения вашего сайта.
Что умеет делать SeoHammer
— Продвижение в один клик, интеллектуальный подбор запросов, покупка самых лучших ссылок с высокой степенью качества у лучших бирж ссылок.
— Регулярная проверка качества ссылок по более чем 100 показателям и ежедневный пересчет показателей качества проекта.
— Все известные форматы ссылок: арендные ссылки, вечные ссылки, публикации (упоминания, мнения, отзывы, статьи, пресс-релизы).
— SeoHammer покажет, где рост или падение, а также запросы, на которые нужно обратить внимание.
SeoHammer еще предоставляет технологию Буст, она ускоряет продвижение в десятки раз,
а первые результаты появляются уже в течение первых 7 дней.
Зарегистрироваться и Начать продвижение
Таблиця 4. Вихідні дані для розрахунку очікуваної доходності акції
| Варіант
|
Період
|
Ціна акції Р1
|
Дивіденди
|
| 1
|
0
|
50
|
-
|
| |
1
|
55
|
14
|
| |
2
|
52
|
15
|
| 2
|
0
|
48
|
-
|
| |
1
|
56
|
10
|
| |
2
|
54
|
12
|
| 3
|
0
|
214
|
-
|
| |
1
|
234
|
56
|
| |
2
|
228
|
54
|
| 4
|
0
|
55
|
-
|
| |
1
|
52
|
12
|
| |
2
|
48
|
12
|
| 5
|
0
|
326
|
-
|
| |
1
|
340
|
55
|
| |
2
|
342
|
52
|
| 6
|
0
|
564
|
-
|
| |
1
|
578
|
56
|
| |
2
|
588
|
54
|
| 7
|
0
|
48
|
-
|
| |
1
|
56
|
6
|
| |
2
|
54
|
4
|
| 8
|
0
|
55
|
-
|
| |
1
|
52
|
10
|
| |
2
|
48
|
11
|
| 9
|
0
|
630
|
-
|
| |
1
|
632
|
56
|
| |
2
|
654
|
54
|
| 10
|
0
|
50
|
-
|
| |
1
|
55
|
8
|
| |
2
|
52
|
11
|
Таблиця 5. Розрахунок очікуваної доходності акції
| Варіант
|
Період
|
Ціна акції Р1
|
Дивіденди
|
Доходність акцій у відповідному періоді
|
Очікувана доходність акції
|
| 1
|
0
|
50
|
-
|
|
0,2991
|
| 1
|
55
|
14
|
0,3800
|
| 2
|
52
|
15
|
0,2182
|
В першому періоді дохідність становитиме:
Д1 = (55 - 50 + 14) /50 = 0,3800 або 38%.
Д2= (52 - 55 + 15) /55 = 0,2182 або 21,82%.
Тоді сподівана дохідність буде визначена як середня величина за 2 періоди і становитиме:
Дс = (0,3800 + 0,2182) /2 = 0,2991 або 29,91%.
Задача 4.
Оцінити вартість V трирічної облігації номіналом N грн. з купонною ставкою K річних, якщо купонні виплати здійснювались 1 раз на рік, за ставкою дисконтування r% річних.
Таблиця 6. Вихідні дані для оцінки трирічної облігації
| Варіант
|
N (номінал облігації, грн)
|
K (річна купонна ставка,%)
|
r (річна ставка дискон-тування,%)
|
| 1
|
1200
|
6
|
10
|
| 2
|
900
|
8
|
12
|
| 3
|
750
|
10
|
14
|
| 4
|
500
|
12
|
16
|
| 5
|
1100
|
4
|
18
|
| 6
|
1500
|
8
|
20
|
| 7
|
2000
|
6
|
14
|
| 8
|
1800
|
10
|
12
|
| 9
|
600
|
12
|
10
|
| 10
|
400
|
4
|
8
|
Таблиця 7. Оцінка вартості трирічної облігації
| Варіант
|
N (номінал облігації, грн)
|
K (річна купонна ставка,%)
|
Річні купонні виплати, грн
|
r (річна ставка дискон-тування,%)
|
Коефіціент дисконтування
|
Оцінка вартості трирічної облігації, грн
|
| 1
|
1200
|
6
|
72
|
10
|
1,1
|
1287,3
|
Оцінити вартість трирічної облігації номіналом 1200 грн. з річною купонною ставкою 6% за таких умов:
Ставка дисконтування r = 10% річних
За класичною формулою маємо: 2 3
V= 72/1,1 +72/1,1 + (1200 + 72) /1,1 = 1287,3 грн.
Купонна ставка вища від ринкової норми доходності, це преміальна облігація і її треба продавати вище номіналу. [3]
Остання цифра залікової книжки - 2.
Задача 1.
За привілейованою акцією щорічно виплачують дивіденди в розмірі (за даними таблиці 1). Необхідно знайти вартість цієї акції, якщо мінімально приваблива ставка доходності для інвестора складає (за даними таблиці).
Таблиця 1. Вихідні дані та розрахунок вартості акції
| Варіант/показник
|
2
|
| Розмір дивідендів
|
20
|
| Ставка доходності
|
8
|
| Ставка доходності у десятковому дробі
|
0,08
|
| Вартість акції
|
250,00
|
За привілейованою акцією щорічно виплачують дивіденди в розмірі 20 грн. Необхідно знайти вартість цієї акції, якщо мінімально приваблива ставка доходності для інвестора складає 8%.
| Вартість акції = Розмір дивідендів / Мінімально приваблива ставка доходності у десятковому дробі
Сервис онлайн-записи на собственном Telegram-боте
Попробуйте сервис онлайн-записи VisitTime на основе вашего собственного Telegram-бота:
— Разгрузит мастера, специалиста или компанию;
— Позволит гибко управлять расписанием и загрузкой;
— Разошлет оповещения о новых услугах или акциях;
— Позволит принять оплату на карту/кошелек/счет;
— Позволит записываться на групповые и персональные посещения;
— Поможет получить от клиента отзывы о визите к вам;
— Включает в себя сервис чаевых.
Для новых пользователей первый месяц бесплатно.
Зарегистрироваться в сервисе
|
Якщо ставка дисконтування r = 8%, то маємо:
V= 20/0,08 = 85,71 грн.
Таким чином вартість акції дорівнює 250 грн.
Задача 2.
Розрахуйте ставку доходності акції за наступними даними.
Таблиця 2. Вихідні дані для розрахунку внутрішньої норми доходності акції
| Варіант/показник
|
1
|
2
|
3
|
4
|
5
|
6
|
7
|
8
|
9
|
10
|
| Розмір дивідендів
|
12
|
20
|
18
|
19
|
17
|
14,5
|
15
|
14
|
20
|
16
|
| Вартість акції
|
70,0
|
82,0
|
94,0
|
100
|
80
|
76
|
84
|
96
|
88
|
62
|
Таблиця 3. Розрахунок внутрішньої норми доходності
| Варіант/показник
|
2
|
| Розмір дивідендів
|
20
|
| Вартість акції
|
82
|
| Внутрішня норма доходності
|
24,39
|
Іноді виникає обернене завдання: оцінити треба внутрішню норму дохідності, коли ми знаємо ринкову вартість акції. Тоді:
| НД (внутрішня норма доходності) = Величина дивідендів/ Ринкова вартість акції
|
НД = 20/82 * 100% = 24,39%.
Доходність для інвестора має два варіанти:
за рахунок перепродажу у разі підвищення курса акцій.
Доходність від перепродажу = купівля за ціною Р1 - продаж за ціною Р2;
за рахунок дивідендів, отриманих за період володіння акцією.
Аналізуючи ефективність інвестування в акції, зазвичай мають справу із середньозваженою дохідністю.
Задача 3.
Виходячи із попередніх статистичних даних про дохідність акції та виплату дивідендів, розрахуємо дохідність за минулі періоди та оцінимо очікувану дохідність.
Таблиця 4. Вихідні дані для розрахунку очікуваної доходності акції
| Варіант
|
Період
|
Ціна акції Р1
|
Дивіденди
|
| 2
|
0
|
48
|
-
|
| |
1
|
56
|
10
|
| |
2
|
54
|
12
|
Таблиця 5. Розрахунок очікуваної доходності акції
| Варіант
|
Період
|
Ціна акції Р1
|
Дивіденди
|
Доходність акцій у відповідному періоді
|
Очікувана доходність акції
|
| 2
|
0
|
214
|
-
|
|
0,2801
|
| 1
|
234
|
56
|
0,3551
|
| 2
|
228
|
54
|
0, 2051
|
В першому періоді дохідність становитиме:
Д1 = (234 - 214 + 56) / 214 = 0,3551 або 35,51%.
Д2= (228 - 234 + 54) / 234 = 0, 2051 або 20,51%.
Тоді сподівана дохідність буде визначена як середня величина за 2 періоди і становитиме:
Дс = (0,3551+0, 2051) /2= 0,2801 або 28,01%.
Задача 4.
Оцінити вартість V трирічної облігації номіналом N грн. з купонною ставкою K річних, якщо купонні виплати здійснювались 1 раз на рік, за ставкою дисконтування r % річних.
Таблиця 6. Вихідні дані для оцінки трирічної облігації
| Варіант
|
N (номінал облігації, грн)
|
K (річна купонна ставка,%)
|
r (річна ставка дискон-тування,%)
|
| 2
|
900
|
8
|
12
|
Таблиця 7. Оцінка вартості трирічної облігації
| Варіант
|
N (номінал облігації, грн)
|
K (річна купонна ставка,%)
|
Річні купонні виплати, грн
|
r (річна ставка дискон-тування,%)
|
Коефіціент дисконтування
|
Оцінка вартості трирічної облігації, грн
|
| 2
|
900
|
8
|
72
|
12
|
1,12
|
996,43
|
Оцінити вартість трирічної облігації номіналом 900 грн. з річною купонною ставкою 8% за таких умов: ставка дисконтування r = 10% річних
За класичною формулою маємо: 2 3
V= 72/1,12 +72/1,12 + (900 + 72) /1,12 = 996,43 грн.
Купонна ставка вища від ринкової норми доходності, це преміальна облігація і її треба продавати за ціною вище номіналу.
ВАРІАНТ 1
Задача 1.
За привілейованою акцією щорічно виплачують дивіденди в розмірі (за даними таблиці 1). Необхідно знайти вартість цієї акції, якщо мінімально приваблива ставка доходності для інвестора складає (за даними таблиці).
Таблиця 1. Вихідні дані та розрахунок вартості акції
| Варіант/показник
|
1
|
| Розмір дивідендів
|
12
|
| Ставка доходності
|
14
|
| Ставка доходності у десятковому дробі
|
0,14
|
| Вартість акції
|
85,71
|
За привілейованою акцією щорічно виплачують дивіденди в розмірі 12 грн. Необхідно знайти вартість цієї акції, якщо мінімально приваблива ставка доходності для інвестора складає 14%.
Вартість акції = Розмір дивідендів/Мінімально приваблива ставка доходності у десятковому дробі
Якщо ставка дисконтування r = 14%, то маємо:
V=12/0,14= 85,71 грн.
Таким чином вартість акції дорівнює 85,71 грн.
Задача 2.
Розрахуйте ставку доходності акції за наступними даними.
Таблиця 2. Вихідні дані для розрахунку внутрішньої норми доходності акції
| Варіант/показник
|
1
|
2
|
3
|
4
|
5
|
6
|
7
|
8
|
9
|
10
|
| Розмір дивідендів
|
12
|
20
|
18
|
19
|
17
|
14,5
|
15
|
14
|
20
|
16
|
| Вартість акції
|
70,0
|
82,0
|
94,0
|
100
|
80
|
76
|
84
|
96
|
88
|
62
|
Таблиця 3. Розрахунок внутрішньої норми доходності
| Варіант/показник
|
1
|
| Розмір дивідендів
|
12
|
| Вартість акції
|
70
|
| Внутрішня норма доходності
|
17,14
|
Іноді виникає обернене завдання: оцінити треба внутрішню норму дохідності, коли ми знаємо ринкову вартість акції. Тоді:
НД (внутрішня норма доходності) = Величина дивідендів/ Ринкова вартість акції
НД = 12/70 * 100% = 17,14%.
Доходність для інвестора має два варіанти:
за рахунок перепродажу у разі підвищення курса акцій.
Доходність від перепродажу = купівля за ціною Р1 - продаж за ціною Р2;
за рахунок дивідендів, отриманих за період володіння акцією.
Аналізуючи ефективність інвестування в акції, зазвичай мають справу із середньозваженою дохідністю.
Задача 3.
Виходячи із попередніх статистичних даних про дохідність акції та виплату дивідендів, розрахуємо дохідність за минулі періоди та оцінимо очікувану дохідність.
Таблиця 4. Вихідні дані для розрахунку очікуваної доходності акції
| Варіант
|
Період
|
Ціна акції Р1
|
Дивіденди
|
| 1
|
0
|
50
|
-
|
| |
1
|
55
|
14
|
| |
2
|
52
|
15
|
Таблиця 5. Розрахунок очікуваної доходності акції
| Варіант
|
Період
|
Ціна акції Р1
|
Дивіденди
|
Доходність акцій у відповідному періоді
|
Очікувана доходність акції
|
| 1
|
0
|
50
|
-
|
|
0,2991
|
| 1
|
55
|
14
|
0,3800
|
| 2
|
52
|
15
|
0,2182
|
В першому періоді дохідність становитиме:
Д1 = (55 - 50 + 14) /50 = 0,3800 або 38%.
Д2= (52 - 55 + 15) /55 = 0,2182 або 21,82%.
Тоді сподівана дохідність буде визначена як середня величина за 2 періоди і становитиме:
Дс = (0,3800 + 0,2182) /2 = 0,2991 або 29,91%.
Задача 4.
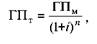
Оцінити вартість V трирічної облігації номіналом N грн. з купонною ставкою K річних, якщо купонні виплати здійснювались 1 раз на рік, за ставкою дисконтування r% річних.
Таблиця 6. Вихідні дані для оцінки трирічної облігації
| Варіант
|
N (номінал облігації, грн)
|
K (річна купонна ставка,%)
|
r (річна ставка дискон-тування,%)
|
| 1
|
1200
|
6
|
10
|
Таблиця 7. Оцінка вартості трирічної облігації
| Варіант
|
N (номінал облігації, грн)
|
K (річна купонна ставка,%)
|
Річні купонні виплати, грн
|
r (річна ставка дискон-тування,%)
|
Коефіціент дисконтування
|
Оцінка вартості трирічної облігації, грн
|
| 1
|
1200
|
6
|
72
|
10
|
1,1
|
1287,3
|
Оцінити вартість трирічної облігації номіналом 1200 грн. з річною купонною ставкою 6% за таких умов:
Ставка дисконтування r = 10% річних
За класичною формулою маємо: 2 3
V= 72/1,1 +72/1,1 + (1200 + 72) /1,1 = 1287,3 грн.
Купонна ставка вища від ринкової норми доходності, це преміальна облігація і її треба продавати вище номіналу.
Остання цифра залікової книжки - 1
Задача 1.
За привілейованою акцією щорічно виплачують дивіденди в розмірі (за даними таблиці 1). Необхідно знайти вартість цієї акції, якщо мінімально приваблива ставка доходності для інвестора складає (за даними таблиці).
Таблиця 1. Вихідні дані та розрахунок вартості акції
| Варіант/показник
|
1
|
| Розмір дивідендів
|
12
|
| Ставка доходності
|
14
|
| Ставка доходності у десятковому дробі
|
0,14
|
| Вартість акції
|
85,71
|
За привілейованою акцією щорічно виплачують дивіденди в розмірі 12 грн. Необхідно знайти вартість цієї акції, якщо мінімально приваблива ставка доходності для інвестора складає 14%.
Вартість акції = Розмір дивідендів/Мінімально приваблива ставка доходності у десятковому дробі
Якщо ставка дисконтування r = 14%, то маємо:
V=12/0,14= 85,71 грн.
Таким чином вартість акції дорівнює 85,71 грн.
Задача 2.
Розрахуйте ставку доходності акції за наступними даними.
Таблиця 2. Вихідні дані для розрахунку внутрішньої норми доходності акції
| Варіант/показник
|
1
|
2
|
3
|
4
|
5
|
6
|
7
|
8
|
9
|
10
|
| Розмір дивідендів
|
12
|
20
|
18
|
19
|
17
|
14,5
|
15
|
14
|
20
|
16
|
| Вартість акції
|
70,0
|
82,0
|
94,0
|
100
|
80
|
76
|
84
|
96
|
88
|
62
|
Таблиця 3. Розрахунок внутрішньої норми доходності
| Варіант/показник
|
1
|
| Розмір дивідендів
|
12
|
| Вартість акції
|
70
|
| Внутрішня норма доходності
|
17,14
|
Іноді виникає обернене завдання: оцінити треба внутрішню норму дохідності, коли ми знаємо ринкову вартість акції.
Тоді:
НД (внутрішня норма доходності) = Величина дивідендів/ Ринкова вартість акції
НД = 12/70 * 100% = 17,14%.
Доходність для інвестора має два варіанти:
за рахунок перепродажу у разі підвищення курса акцій.
Доходність від перепродажу = купівля за ціною Р1 - продаж за ціною Р2;
за рахунок дивідендів, отриманих за період володіння акцією.
Аналізуючи ефективність інвестування в акції, зазвичай мають справу із середньозваженою дохідністю.
Задача 3.
Виходячи із попередніх статистичних даних про дохідність акції та виплату дивідендів, розрахуємо дохідність за минулі періоди та оцінимо очікувану дохідність.
Таблиця 4. Вихідні дані для розрахунку очікуваної доходності акції
| Варіант
|
Період
|
Ціна акції Р1
|
Дивіденди
|
| 1
|
0
|
50
|
-
|
| |
1
|
55
|
14
|
| |
2
|
52
|
15
|
Таблиця 5. Розрахунок очікуваної доходності акції
| Варіант
|
Період
|
Ціна акції Р1
|
Дивіденди
|
Доходність акцій у відповідному періоді
|
Очікувана доходність акції
|
| 1
|
0
|
50
|
-
|
|
0,2991
|
| 1
|
55
|
14
|
0,3800
|
| 2
|
52
|
15
|
0,2182
|
В першому періоді дохідність становитиме:
Д1 = (55 - 50 + 14) /50 = 0,3800 або 38%.
Д2= (52 - 55 + 15) /55 = 0,2182 або 21,82%.
Тоді сподівана дохідність буде визначена як середня величина за 2 періоди і становитиме:
Дс = (0,3800 + 0,2182) /2 = 0,2991 або 29,91%.
Задача 4.
Оцінити вартість V трирічної облігації номіналом N грн. з купонною ставкою K річних, якщо купонні виплати здійснювались 1 раз на рік, за ставкою дисконтування r% річних.
Таблиця 6.
Вихідні дані для оцінки трирічної облігації
| Варіант
|
N (номінал облігації, грн)
|
K (річна купонна ставка,%)
|
r (річна ставка дискон-тування,%)
|
| 1
|
1200
|
6
|
10
|
Таблиця 7.
Оцінка вартості трирічної облігації
| Варіант
|
N (номінал облігації, грн)
|
K (річна купонна ставка,%)
|
Річні купонні виплати, грн
|
r (річна ставка дискон-тування,%)
|
Коефіціент дисконтування
|
Оцінка вартості трирічної облігації, грн
|
| 1
|
1200
|
6
|
72
|
10
|
1,1
|
1287,3
|
Оцінити вартість трирічної облігації номіналом 1200 грн. з річною купонною ставкою 6% за таких умов:
Ставка дисконтування r = 10% річних
За класичною формулою маємо: 2 3
V= 72/1,1 +72/1,1 + (1200 + 72) /1,1 = 1287,3 грн.
Купонна ставка вища від ринкової норми доходності, це преміальна облігація і її треба продавати вище номіналу.
Остання цифра залікової книжки - 8.
Тема. Аналіз та оцінювання акцій та облігацій
Задача 1.
За привілейованою акцією щорічно виплачують дивіденди в розмірі (за даними таблиці 1). Необхідно знайти вартість цієї акції, якщо мінімально приваблива ставка доходності для інвестора складає (за даними таблиці).
Таблиця 1. Вихідні дані та розрахунок вартості акції
| Варіант/показник
|
8
|
| Розмір дивідендів
|
12
|
| Ставка доходності
|
17
|
| Ставка доходності у десятковому дробі
|
0,17
|
| Вартість акції
|
70,59
|
За привілейованою акцією щорічно виплачують дивіденди в розмірі 12 грн. Необхідно знайти вартість цієї акції, якщо мінімально приваблива ставка доходності для інвестора складає 17%.
Вартість акції = Розмір дивідендів/Мінімально приваблива ставка доходності у десятковому дробі [4]
Якщо ставка дисконтування r = 14%, то маємо:
V=12/0,17 = 70,59 грн.
Таким чином вартість акції дорівнює 70,59 грн.
Задача 2.
Розрахуйте ставку доходності акції за наступними даними.
Таблиця 2. Вихідні дані для розрахунку внутрішньої норми доходності акції
| Варіант/показник
|
1
|
2
|
3
|
4
|
5
|
6
|
7
|
8
|
9
|
10
|
| Розмір дивідендів
|
12
|
20
|
18
|
19
|
17
|
14,5
|
15
|
14
|
20
|
16
|
| Вартість акції
|
70,0
|
82,0
|
94,0
|
100
|
80
|
76
|
84
|
96
|
88
|
62
|
Таблиця 3. Розрахунок внутрішньої норми доходності
| Варіант/показник
|
8
|
| Розмір дивідендів
|
14
|
| Вартість акції
|
96
|
| Внутрішня норма доходності
|
14,58
|
Іноді виникає обернене завдання: оцінити треба внутрішню норму дохідності, коли ми знаємо ринкову вартість акції.
Тоді:
НД (внутрішня норма доходності) = Величина дивідендів/ Ринкова вартість акції [5]
НД = 14/96 * 100% = 14,58%.
Доходність для інвестора має два варіанти:
за рахунок перепродажу у разі підвищення курса акцій.
Доходність від перепродажу = купівля за ціною Р1 - продаж за ціною Р2;
за рахунок дивідендів, отриманих за період володіння акцією.
Аналізуючи ефективність інвестування в акції, зазвичай мають справу із середньозваженою дохідністю.
Задача 3.
Виходячи із попередніх статистичних даних про дохідність акції та виплату дивідендів, розрахуємо дохідність за минулі періоди та оцінимо очікувану дохідність.
Таблиця 4. Вихідні дані для розрахунку очікуваної доходності акції
| Варіант
|
Період
|
Ціна акції Р1
|
Дивіденди
|
| 1
|
0
|
50
|
-
|
| |
1
|
55
|
14
|
| |
2
|
52
|
15
|
| 2
|
0
|
48
|
-
|
| |
1
|
56
|
10
|
| |
2
|
54
|
12
|
| 3
|
0
|
214
|
-
|
| |
1
|
234
|
56
|
| |
2
|
228
|
54
|
| 4
|
0
|
55
|
-
|
| |
1
|
52
|
12
|
| |
2
|
48
|
12
|
| 5
|
0
|
326
|
-
|
| |
1
|
340
|
55
|
| |
2
|
342
|
52
|
| 6
|
0
|
564
|
-
|
| |
1
|
578
|
56
|
| |
2
|
588
|
54
|
| 7
|
0
|
48
|
-
|
| |
1
|
56
|
6
|
| |
2
|
54
|
4
|
| 8
|
0
|
55
|
-
|
| |
1
|
52
|
10
|
| |
2
|
48
|
11
|
| 9
|
0
|
630
|
-
|
| |
1
|
632
|
56
|
| |
2
|
654
|
54
|
| 10
|
0
|
50
|
-
|
| |
1
|
55
|
8
|
| |
2
|
52
|
11
|
Таблиця 5. Розрахунок очікуваної доходності акції
| Варіант
|
Період
|
Ціна акції Р1
|
Дивіденди
|
Доходність акцій у відповідному періоді
|
Очікувана доходність акції
|
| 8
|
0
|
55
|
-
|
|
0,1390
|
| 1
|
52
|
10
|
0,1273
|
| 2
|
48
|
11
|
0,1346
|
В першому періоді дохідність становитиме:
Д1 = (52 - 55 + 10) /52 = 0,1273 або 12,73%.
Д2= (48 - 52 + 11) /48 = 0,1346 або 13,46%.
Тоді сподівана дохідність буде визначена як середня величина за 2 періоди і становитиме:
Дс = (0,1273 + 0,1346) /2 = 0,1390 або 13,90%.
Задача 4.
Оцінити вартість V трирічної облігації номіналом N грн. з купонною ставкою K річних, якщо купонні виплати здійснювались 1 раз на рік, за ставкою дисконтування r% річних.
Таблиця 6. Вихідні дані для оцінки трирічної облігації
| Варіант
|
N (номінал облігації, грн)
|
K (річна купонна ставка,%)
|
r (річна ставка дискон-тування,%)
|
| 1
|
1200
|
6
|
10
|
| 2
|
900
|
8
|
12
|
| 3
|
750
|
10
|
14
|
| 4
|
500
|
12
|
16
|
| 5
|
1100
|
4
|
18
|
| 6
|
1500
|
8
|
20
|
| 7
|
2000
|
6
|
14
|
| 8
|
1800
|
10
|
12
|
| 9
|
600
|
12
|
10
|
| 10
|
400
|
4
|
8
|
Таблиця 7. Оцінка вартості трирічної облігації
| Варіант
|
N (номінал облігації, грн)
|
K (річна купонна ставка,%)
|
Річні купонні виплати, грн
|
r (річна ставка дискон-тування,%)
|
Коефіціент дисконтування
|
Оцінка вартості трирічної облігації, грн
|
| 8
|
1800
|
10
|
180
|
12
|
1,12
|
2089,3
|
Оцінити вартість трирічної облігації номіналом 1200 грн. з річною купонною ставкою 6% за таких умов:
Ставка дисконтування r = 10% річних
За класичною формулою маємо: 2 3
V= 180/1,12 + 180/1,12 + (1800 + 180) /1,12 = 2089,3 грн.
Купонна ставка вища від ринкової норми доходності, це преміальна облігація і її треба продавати вище номіналу. [6]
Тема. Аналіз та оцінювання акцій та облігацій
Задача 1.
За привілейованою акцією щорічно виплачують дивіденди в розмірі (за даними таблиці 1). Необхідно знайти вартість цієї акції, якщо мінімально приваблива ставка доходності для інвестора складає (за даними таблиці).
Таблиця 1. Вихідні дані та розрахунок вартості акції
| Варіант/показник
|
7
|
| Розмір дивідендів
|
8
|
| Ставка доходності
|
10
|
| Ставка доходності у десятковому дробі
|
0,1
|
| Вартість акції
|
80,00
|
За привілейованою акцією щорічно виплачують дивіденди в розмірі 8 грн. Необхідно знайти вартість цієї акції, якщо мінімально приваблива ставка доходності для інвестора складає 10%.
Вартість акції = Розмір дивідендів/Мінімально приваблива ставка доходності у десятковому дробі [7]
Якщо ставка дисконтування r =10%, то маємо:
V= 8/0,10 = 80,00 грн.
Таким чином вартість акції дорівнює 80,00 грн.
Задача 2.
Розрахуйте ставку доходності акції за наступними даними.
Таблиця 2. Вихідні дані для розрахунку внутрішньої норми доходності акції
| Варіант/показник
|
1
|
2
|
3
|
4
|
5
|
6
|
7
|
8
|
9
|
10
|
| Розмір дивідендів
|
12
|
20
|
18
|
19
|
17
|
14,5
|
15
|
14
|
20
|
16
|
| Вартість акції
|
70,0
|
82,0
|
94,0
|
100
|
80
|
76
|
84
|
96
|
88
|
62
|
Таблиця 3. Розрахунок внутрішньої норми доходності
| Варіант/показник
|
7
|
| Розмір дивідендів
|
15
|
| Вартість акції
|
84
|
| Внутрішня норма доходності
|
17,86
|
Іноді виникає обернене завдання: оцінити треба внутрішню норму дохідності, коли ми знаємо ринкову вартість акції.
Тоді
НД (внутрішня норма доходності) = Величина дивідендів/ Ринкова вартість акції [8]
НД = 15/84 х 100= 17,86%.
Доходність для інвестора має два варіанти:
за рахунок перепродажу у разі підвищення курса акцій.
Доходність від перепродажу = купівля за ціною Р1 - продаж за ціною Р2;
за рахунок дивідендів, отриманих за період володіння акцією.
Аналізуючи ефективність інвестування в акції, зазвичай мають справу із середньозваженою дохідністю.
Задача 3.
Виходячи із попередніх статистичних даних про дохідність акції та виплату дивідендів, розрахуємо дохідність за минулі періоди та оцінимо очікувану дохідність.
Таблиця 4. Вихідні дані для розрахунку очікуваної доходності акції
| Варіант
|
Період
|
Ціна акції Р1
|
Дивіденди
|
| 1
|
0
|
50
|
-
|
| |
1
|
55
|
14
|
| |
2
|
52
|
15
|
| 2
|
0
|
48
|
-
|
| |
1
|
56
|
10
|
| |
2
|
54
|
12
|
| 3
|
0
|
214
|
-
|
| |
1
|
234
|
56
|
| |
2
|
228
|
54
|
| 4
|
0
|
55
|
-
|
| |
1
|
52
|
12
|
| |
2
|
48
|
12
|
| 5
|
0
|
326
|
-
|
| |
1
|
340
|
55
|
| |
2
|
342
|
52
|
| 6
|
0
|
564
|
-
|
| |
1
|
578
|
56
|
| |
2
|
588
|
54
|
| 7
|
0
|
48
|
-
|
| |
1
|
56
|
6
|
| |
2
|
54
|
4
|
| 8
|
0
|
55
|
-
|
| |
1
|
52
|
10
|
| |
2
|
48
|
11
|
| 9
|
0
|
630
|
-
|
| |
1
|
632
|
56
|
| |
2
|
654
|
54
|
| 10
|
0
|
50
|
-
|
| |
1
|
55
|
8
|
| |
2
|
52
|
11
|
Таблиця 5. Розрахунок очікуваної доходності акції
| Варіант
|
Період
|
Ціна акції Р1
|
Дивіденди
|
Доходність акцій у відповідному періоді
|
Очікувана доходність акції
|
| 7
|
0
|
48
|
-
|
-
|
0,1637
|
| 1
|
56
|
6
|
0,2917
|
| 2
|
54
|
4
|
0,0357
|
В першому періоді дохідність становитиме:
Д1 = (56 - 48 + 6) /48 = 0,2917 або 29,17%.
Д2= (54 - 56 + 4) / 56 = 0,0357 або 3,57%.
Тоді сподівана дохідність буде визначена як середня величина за п”ять періодів і становитиме:
Дс = (0,2917 + 0,0357) / 2 = 0,1637 або 16,37%.
Задача 4.
Оцінити вартість V трирічної облігації номіналом N грн. з купонною ставкою K річних, якщо купонні виплати здійснювались 1 раз на рік, за ставкою дисконтування r% річних.
Таблиця 6. Вихідні дані для оцінки трирічної облігації
| Варіант
|
N (номінал облігації, грн)
|
K (річна купонна ставка,%)
|
r (річна ставка дискон-тування,%)
|
| 1
|
1200
|
6
|
10
|
| 2
|
900
|
8
|
12
|
| 3
|
750
|
10
|
14
|
| 4
|
500
|
12
|
16
|
| 5
|
1100
|
4
|
18
|
| 6
|
1500
|
8
|
20
|
| 7
|
2000
|
6
|
14
|
| 8
|
1800
|
10
|
12
|
| 9
|
600
|
12
|
10
|
| 10
|
400
|
4
|
8
|
Таблиця 7. Оцінка вартості трирічної облігації
| Варіант
|
N (номінал облігації, грн)
|
K (річна купонна ставка,%)
|
Річні купонні виплати, грн
|
r (річна ставка дискон-тування,%)
|
Коефіціент дисконтування
|
Оцінка вартості трирічної облігації, грн
|
| 7
|
2000
|
6
|
120
|
14
|
1,14
|
2070,2
|
Оцінити вартість трирічної облігації номіналом 2000 грн. з річною купонною ставкою 6% за таких умов:
Ставка дисконтування r = 14% річних
За класичною формулою маємо: 2 3
V= 120/1,14 + 120/1,14 + (120 + 2000) /1,14 = 2070,2 грн.
Купонна ставка вища від ринкової норми доходності, це преміальна облігація і її треба продавати вище номіналу. [9]
ВАРИАНТ 2. Стратегії однобізнесових та мультибізнесових підприємств, їх види та призначення. Ієрархія та етапи формування стратегії підприємства. [10]
Ієрархія стратегій
Стратегія підприємства має кілька рівнів декомпонування, кожному з яких відповідає стратегія певного рангу, тобто, стратегія підприємства має ієрархічну будову.
Ієрархія стратегій означає ранжування, взаємозв'язок і підпорядкованість різних стратегій, які становлять стратегію підприємства.
У мультибізнесовому підприємстві (багатопрофільному, диверсифікованому, що виробляє різнотипну продукцію) застосовують чотирирівневу стратегію, до якої входять:
Корпоративна (загальна) стратегія, що одночасно є портфельною.
Конкурентні (ділові, бізнесові) стратегії.
Функціональні стратегії.
Операційні стратегії.
У однобізнесовому підприємстві (вузькопрофільному, що виробляє однотипну продукцію) застосовують трьохрівневу стратегію, до якої входять:
Корпоративна стратегія, що одночасно є конкурентною (діловою, бізнесовою).
Функціональні стратегії.
Операційні стратегії.
Корпоративна (загальна, портфельна) стратегія займає в ієрархії найвищий рівень. Вона визначає загальний напрямок діяльності підприємства, один із наступних: або стратегію зростання, або стабілізації, або скорочення.
Конкурентні (ділові, бізнесові) стратегії підпорядковуються корпоративній, вказують шляхи досягнення вибраного нею напрямку в кожній СОБ (стратегічній одиниці бізнесу) і являють собою план завоювання сильних довгострокових конкурентних позицій (переваг). Дані стратегії називають ще стратегіями бізнесу, або стратегіями конкурентоспроможності.
Функціональні стратегії розробляють для кожного функціонального напрямку діяльності: стратегія виробництва, маркетингу, фінансова стратегія, стратегія науково-дослідних робіт, стратегія управління персоналом тощо. Функціональні стратегії конкретизують, доводять корпоративну і конкурентні стратегії до функціональних служб господарства. Одночасно функціональні підрозділи помітно впливають на формування корпоративної і конкурентних стратегій.
Операційні стратегії - це вузькі стратегії для основних структурних підрозділів підприємства, що не є самостійними: заводів, що входять до складу підприємства, цехів, бригад, відділів, дилерів тощо. Це найнижчий рівень стратегії підприємства, з яким пов'язані стратегії, що займають вищий рівень за ієрархією: корпоративна, конкурентні, функціональні.
Кожен з названих вищих рівнів утворює стратегічне середовище для нижчого рівня і обмежує його в чомусь.
Ієрархію стратегій підприємства зображено на рис.1.
Етапи формування стратегії підприємства
Формування стратегії підприємства є процесом, який проходить певні етапи. Найпростіша схема етапів формування стратегії підприємства зображена на рис.1.2
На першому етапі розробки стратегії підприємства здійснюють аналіз середовища, прогнозують його майбутній розвиток, виявляють можливості і загрози, сильні і слабкі сторони, оцінюють конкурентоспроможність і прогнозують її зміни.
На другому етапі або паралельно (на новоствореному підприємстві - на першому) визначають місію, мету і цілі підприємства.
На третьому етапі здійснюють стратегічний аналіз, який полягає в порівнянні мети і цілей з результатами аналізу середовища, виявленні і усуненні розривів між ними і, головне, у виробленні альтернативних стратегій - варіантів стратегічного розвитку.
На четвертому етапі моделюються варіативні сценарії розвитку подій (оптимістичний, песимістичний та найбільш вірогідний) і досліджується вплив кожного на сформульовані альтернативні стратегії.
Визначається конкурентоспроможність підприємства у разі реалізації тієї чи іншої стратегії за певним сценарієм.
На п'ятому етапі здійснюється вибір найбільш прийнятної стратегії з альтернативних.
На шостому - готується кінцевий варіант стратегічного плану підприємства.
На сьомому етапі на базі стратегічного плану розробляються тактичні середньострокові плани.
Нарешті, на восьмому етапі розробляються оперативні плани та проекти, і на цьому процес стратегічного планування завершується. Розпочинається процес реалізації стратегічного плану, тобто процес стратегічного управління.
Він передбачає не лише організацію реалізації стратегії (9-й етап) але і її практичну оцінку, контроль за виконанням (10-й етап) і зворотний зв'язок, якщо виявляються помилки, недоробки у формуванні стратегічного плану на будь-якому із етапів. Інколи такий зворотний зв'язок передбачає часткові зміни місії і цілей, якщо вони виявилися до певної міри нереальними.
До речі, зворотний зв'язок можливий на будь-якому з етапів формування стратегії. Все це свідчить про те, що і формування, і реалізація стратегії становлять єдиний процес.

Рис.1. Ієрархія стратегії підприємства
Причому він є безперервним, оскільки середовище, а, значить, і умови діяльності підприємства постійно змінюються, стратегічний план регулярно коригується.

Рис.2. Етапи стратегічного планування і управління
Організація розробки стратегії на підприємстві

Рис. 3. Схема формування стратегічного плану підприємства за І Ансоффом.
Складнішу схему формування стратегічного плану підприємства запропонував І. Ансофф (рис. 3). Організація розробки стратегії підприємства передбачає відбір кадрів розробників, організацію їх роботи і контроль, зміну організаційної структури управління відповідно до потреб стратегічного менеджменту, розвитку в кадрів стратегічних здібностей та інформаційно-аналітичного забезпечення процесу розробки стратегії.
Добір людей і перевірка виконання
Добір людей і перевірка виконання становить основу керування будь-яким процесом, а надто - процесом стратегічного планування. Оскільки стратегічне планування і стратегічні зміни на підприємстві приводять до певних, часто кардинальних, змін усталеної поведінки персоналу, нерідко помітно впливають на людські долі (закриваються окремі підрозділи, скорочується виробництво, змінюється географія розміщення підрозділів тощо), остільки надзвичайно важливо, щоб у розробці стратегії було, в першу чергу, по-справжньому зацікавлене вище керівництво підприємства. Причому, від рівня його стратегічного мислення, від рівня підготовки в цілому суттєво залежатиме якість і дієвість стратегічного плану. В усіх інших випадках стратегічний план буде формальним.
Для проведення поточної роботи з формування і реалізації стратегічного плану на крупних підприємствах доцільно створювати відділи стратегічного розвитку на чолі із заступником першого керівника. На середніх і малих підприємствах дані функції має здійснювати планово-економічна служба господарства, а куратором проблеми стратегічного розвитку знову ж таки має заступник керівника підприємства або й сам керівник.
До розробки стратегічного плану залучаються всі функціональні служби, спеціалісти і керівники всіх рівнів (звідси і необхідність в кураторстві заступника директора чи й самого директора), а також експерти і науковці з інших інститутів. Для формування стратегічного плану (або окремих проектів) можуть створюватись спеціальні тимчасові робочі групи із залученням кадрів з усіх відділів господарства.
Функції (завдання) вищого керівництва, кураторів стратегічного розвитку в організації розробки стратегії підприємства наступні:
окреслити мету, завдання і основні цілі стратегічного планування на підприємстві;
сформувати команду, здатну стратегічно мислити;
залучити до розробки стратегії максимально можливу кількість працівників підприємства;
сформувати таку організаційну структуру підприємства, яка найбільше відповідала б потребам стратегічного планування і реалізації стратегії;
передбачити відповідний рівень і створити систему інформаційно-аналітичного забезпечення процесу розробки
та реалізації стратегії;
забезпечити доступність і розуміння необхідної інформації зі стратегічного планування всіма працівниками,
організувати відповідну роз'яснювальну роботу;
розвивати у керівників і спеціалістів стратегічне мислення, формувати у них підприємливість.
І. Ансофф, аналізуючи тривалу практику впровадження стратегічного планування, особливо наголошував на таких завданнях вищого керівництва:
Щоб укласти якісний стратегічний план і здолати опір тих, котрі не хочуть його виконувати, потрібно, насамперед, щоб у розробці та реалізації плану обов'язково брало участь вище керівництво, причому постійно, не послаблюючи уваги.
Стратегічне планування повинно здійснюватись комплексно і поєднуватись із розвитком умінь і навичок персоналу підприємства стратегічного планування та управління.
Необхідно забезпечити мирне співіснування конкурентної й підприємницької діяльності та їх прихильників, надаючи пріоритет підприємницькій поведінці, оскільки ці обидва типи поведінки суттєво відрізняються, часто навіть несумісні, кожен потребує відповідних управлінських структур.
При доборі людей для розробки стратегічного плану і при його формуванні слід враховувати різні типи поведінки працівників підприємства.
Конкурентна поведінка - це операційна поступова поведінка, з метою отримання прибутку в умовах, коли існуючі ринки дозволяють забезпечувати цільовий рівень виробництва й прибутку.
Операційна поведінка означає такий зв'язок із зовнішнім середовищем, коли підприємство намагається отримати вигоду з обміну з ним товарами та послугами (зниження собівартості, зростання ціни реалізації тощо), тобто це діяльність, метою якої є поточна прибутковість.
Поступова поведінка необхідна тоді, коли товари і ринки розвиваються разом із поступовим, поетапним внесенням в них змін, покращень розвитку підприємства.
Підприємницька поведінка - це стратегічна, переривчаста поведінка, з метою отримання прибутку в умовах, коли передбачається, що існуючі ринки перестають забезпечувати цільовий рівень виробництва й прибутку.
Стратегічна поведінка - це зв'язок із зовнішнім середовищем, коли підприємство намагається замінити застарілі товари (послуги) на нові, що забезпечать високий прибуток у майбутньому (пошук сфер підвищеного попиту, розробка нових товарів, розвиток нових здібностей персоналу), тобто це діяльність з орієнтуванням на майбутню прибутковість.
Переривчаста стратегічна поведінка означає зміну логіки еволюційного процесу розвитку підприємства за допомогою зміни технології, структури, диверсифікації та інтернаціоналізації виробництва.
При переході від переважно конкурентної до переважно підпри ємницької поведінки, тобто до стратегічного планування і управління, вище керівництво підприємства повинно (за І. Ансоффом):
розробити новий вектор розвитку здібностей персоналу, тобто формувати нові навички, системи й структури. Стратегічне планування - це лише один із складових цього вектора, і його результативність залежатиме від комплексного розвитку всіх складових;
створити відповідну підприємницьку культуру, яка б стимулювала переміни, нововведення і ризик, без цього добре вкорінена конкурентна культура гальмуватиме переміни, серед них і стратегічне планування;
подбати про гармонійне, взаємодоповнююче співіснування конкурентних та підприємницьких здібностей і культур.
Щоб розвинути нові підприємницькі здібності і культуру, а, значить, сприяти стратегічному менеджментові, потрібно навчитись визначати рівень ділових здібностей та рівень організаційної культури. Це можна зробити, оцінивши їх характеристики, і визначити до якого типу культури і здібностей вони відносяться.
Щоб здібності керівництва приносили ефект, треба, щоб їх характеристики і характеристики культури були одного типу. Якщо одна чи декілька характеристик культури не збігаються з характеристикою здібностей, ефективність організації знижується. Середовище також буває різних типів: стабільне, реагуюче та ін. І треба, щоб характеристики його типів збігалися з типами здібностей персоналу з врахуванням майбутньої турбулентності середовища.
Оцінивши розвиток здібностей і культури, можна побудувати графік змін здібностей у стратегічному періоді.
Розробка стратегії і організаційна структура управління
Організаційна структура управління (ОСУ)
визначає підпорядкованість посад, завдань, повноважень і відповідальності персоналу підприємства.
Розрізняють такі основні стадії розвитку ОСУ:
1. Класичні ОСУ (лінійні, функціональні, лінійно-функціональні). Вони є стабільними, ієрархічними, централізованими.
Ознаки класичних ОСУ: а) розподіл праці - чіткий; б) спеціалізація - чітка; в) обов'язки доводяться у стандартних організаційних документах (приміром, посадова інструкція); г) механізм контролю централізований.
2. Удосконалені лінійно-функціональні ОСУ.
3. Стратегічні ОСУ - нестабільні, децентралізовані, гнучкі, з універсальними ланками, нерідко тимчасовими, створеними з певною метою, під певний проект. Принцип (мета) формування тимчасових універсальних ланок - орієнтація на виявлення та розв'язання проблем. Для цього використовують як адміністративні методи, так і соціально - психологічні методи контролю. Наприклад, група реалізації проекту № 1 "Розробка і впровадження на ринки нового товару "А". Або: відділ стратегічного планування тощо. Стратегічні ОСУ можуть включати елементи класичних. Інформаційно-аналітичне забезпечення процесу розробки стратегії Розробка стратегії немислима без регулярного потоку інформації про стан зовнішнього і внутрішнього середовища, про хід реалізації стратегії.
Збір та аналіз стратегічної інформації і представлення її стратегічним менеджерам організовують відділи стратегічного планування (якщо вони створені) або спеціально призначені працівники підприємства. Їх завдання: а) моніторинг середовища, ходу виконання плану; б) обробка отриманої інформації; в) представлення аналітично-інформаційного матеріалу стратегічним менеджерам; г) створення системи регулярного перегляду стратегічного плану і забезпечення цього процесу; д) створення бази даних.
База даних - це комплексна інформаційна характеристика господарства. Вона формується внаслідок цільового збору з багатьох (усіх) можливих джерел, це процес перетворення сукупності даних у стратегічну інформацію на основі їх спеціальної обробки з орієнтацією на розробку і реалізацію стратегічного плану. База даних створюється, як правило, в комп'ютері.
Інформація є ще одним надзвичайно цінним ресурсом підприємства. Її оцінюють за багатьма параметрами, основними з яких є: обсяг, достовірність, насиченість, повнота, актуальність, цінність.
Класифікують інформацію за такими ознаками:
За характером реагування (на неї):
а) вимагає негайного реагування;
б) нетермінова.
За часом появи:
а) поточна;
б) місячна;
в) квартальна;
г) річна і т.д.
За сферою поширення:
а) внутрішня;
б) зовнішня.
За функціональною належністю:
а) технологічна;
б) технічна;
в) фінансова;
г) кадрова;
д) маркетингова тощо.
За ієрархією:
а) первинна;
б) вторинна;
в) результативна.
За рівнем:
а) оперативна;
б) стратегічна.
Основні методи отримання інформації:
а) спостереження (збір цифр і фактів);
б) опитування;
в) експеримент.
Конкурентоспроможність підприємств
Методики визначення та оцінки конкурентоспроможності організації [11]
Конкурентний статус організації - це позиція організації в конкурентній боротьбі, своєрідний визначник її положення на ринку. У цьому розумінні конкурентний статус використовується для визначення порівняльних конкурентних позицій організації при формуванні стратегічних позицій за методом "Дженерал Електрік" ~ "МакКінсі".
Конкурентні переваги -
це характеристики, властивості товару або торгової марки, які створюють для організації певні переваги над прямими конкурентами. Ці характеристики (атрибути) можуть бути найрізноманітнішими і відносяться як до самого товару (базової послуги), так і до додаткових послуг, що супроводжують базову, до форм виробництва, збуту або продаж.
Основними методами конкурентної боротьби
є поліпшення якості, дизайну товарів і послуг, швидке оновлення асортименту продукції, надання гарантій і післяпродажних послуг, тимчасове зниження цін, умов оплати, впровадження заходів інноваційної політики, ефективне рекламування продукції тощо. Поряд з цим використовуються "мирні" методи обмеження конкуренції: таємні угоди про єдину політику цін і поділ ринків збуту, реалізацію крупних науково-технічних проектів, обмін інформацією з різних питань наукової, технічної, ринкової стратегії. Серед неекономічних методів конкурентної боротьби - фінансові махінації та спекуляції цінними паперами, промислове шпигунство, підкуп чиновників державного апарату з метою отримання урядових контрактів, субсидій тощо.
Конкурентоспроможність -
це здатність об'єкта, що характеризується отупінню реального чи потенційного задоволення ним певної потреби у порівнянні з аналогічними об'єктами, представленими на даному ринку. Конкурентоспроможність визначає здатність витримувати конкуренцію у порівнянні
з аналогічними об’єктами
.
Конкурентоспроможність організації
може бути визначена як комплексна порівняльна характеристика підприємства, яка відображує ступінь переваги сукупності оціночних показників його діяльності, що визначають успіх підприємства на певному ринку за певний проміжок часу, по відношенню до сукупності показників конкурентів.
Конкурентоспроможність організації можна виявити тільки серед групи організацій, які належать до однієї галузі або випускають товари-субститути, тобто конкурентоспроможність е поняттям відносним. Одну й ту ж організацію в межах регіональної стратегічної групи можна визнати конкурентоспроможною, а на світовому ринку або його сегменті - ні. Оцінюють конкурентоспроможність організації загалом за умови єдиної стратегічної зони господарювання або кожної зі створених у структурі диверсифікованої організації стратегічної одиниці бізнесу, які діють у конкретній стратегічній зоні господарювання.
Конкурентоспроможність фірми нерозривно пов'язана з впровадженням змін, тобто з процесом реструктуризації. Але здійснення таких змін також має певні особливості. Одноразові, надзвичайні заходи можуть на короткий час поліпшити конкурентоспроможність підприємства, але по-справжньому успішна реструктуризація є тривалим процесом.
Таблиця 1. Критерії та показники конкурентоспроможності організації
| Критерії та показники конкурентоспроможності
|
Роль показника в оцінці
|
Правило розрахунку показника
|
| 1. Показник ефективності виробничої діяльності підприємства (ВД)
|
| 1.1 Відносний показник витрат на одиницю продукції (В)
|
Відображає ефективність витрат при випуску продукції
|
В = Валові витрати/ Обсяг випуску продукції
|
| 1.2 Відносний показник фондовіддачі (Ф)
|
Характеризує ефективність використання основних виробничих фондів
|
Ф = Обсяг випуску продукції/Середньорічна вартість основних виробничих фондів
|
| 1.3 Відносний показник рентабельності товару (РТ)
|
Характеризує ефективність використання основних виробничих фондів
|
Рт =
Прибуток від реалізації * 100% /Повна собівартість продукції
|
| 1.4 Відносний показник продуктивності праці (ПП)
|
Відображає ступінь організації виробництва та використання робочої сили
|
ПП = Обсяг випуску продукції / Середньоспискова чисельність робітників
|
| 2. Фінансове положення підприємства (ФП)
|
| 2.1 Коефіцієнт автономії (КА)
|
Характеризує незалежність підприємства від зовнішніх джерел фінансування
|
КА = Власні засоби підприємства /Загальна сума джерел фінансування
|
| Критерії та показники конкурентоспроможності
|
Роль показника в оцінці
|
Правило розрахунку показника
|
| 2.2 Коефіцієнт платоспроможності (КП)
|
Відображає здатність підприємства виконувати свої фінансові зобов'язання та визначає ймовірність банкрутства
|
КП = Власний капітал / Загальні зобов'язання
|
| 2.3 Коефіцієнт абсолютної ліквідності (КЛ)
|
Показує якісний склад засобів, котрі є джерелами покриття поточних зобов'язань
|
КЛ = Грошові засоби та швидко реалізовувані цінні папери / Короткострокові зобов'язання
|
| 2.4 Коефіцієнт обіговості обігових засобів (КО)
|
Аналізує ефективність використання обігових засобів. Дорівнює часу, протягом якого обігові засоби проходять всі стадії виробництва та обігу
|
КО = Виручка від реалізації / Середньорічний залишок обігових засобів
|
| 3. Ефективність організації збуту та просування товару (ЕЗ)
|
| 3.1 Рентабельність продаж (РП)
|
Характеризує ступінь прибутковості роботи підприємства на ринку, правильність встановлення ціни
|
РП = Прибуток від реалізації * 100% / Обсяг продаж
|
| 3.2 Коефіцієнт затовареністю готовою продукцією (КЗ)
|
Відображає ступінь затовареності готовою продукцією. Зростання показника свідчить про падіння попиту
|
КЗ = Обсяг нереалізованої продукції/ Обсяг продаж
|
| 3.3 Коефіцієнт загрузки виробничих потужностей (ВП)
|
Показує ділову активність підприємства, ефективність роботи служби збуту
|
КМ = Обсяг випуску продукції/Виробнича потужність
|
| 3.4 Коефіцієнт ефективності реклами та засобів стимулювання збуту (КР)
|
Показує економічну ефективність реклами та засобів стимулювання збуту
|
КР = Витрати на рекламу та стимулювання збуту / Приріст прибутку від реалізації
|
| 4. Конкурентоспроможність товару (КТ)
|
| 4.1 Якість товару
|
Характеризує здатність товару задовольняти потребу у відповідності з його призначенням
|
Комплексний метод оцінки
|
У зв'язку з тим, що кожний з цих показників має різну ступінь важливості для розрахунку коефіцієнта конкурентоспроможності організації (ККО), експертним шляхом були розраховані коефіцієнти вагомості кожного критерію та показника.
Тоді конкурентоспроможність організації може бути визначена методом середньозваженої арифметичної:
ККО = 0.15ВД + 0.29ФП + 0,23ЕЗ + О.33КТ (1) [12]
де ККО - коефіцієнт конкурентоспроможності організації;
ВД - значення критерію ефективності виробничої діяльності організації;
ФП - значення критерію фінансового положення організації;
ЕЗ - значення критерію ефективності організації збуту та просування товару;
КТ - значення критерію конкурентоспроможності
товару.
Усі вказані критерії відповідно можуть бути розраховані таким чином.
ВД = 0,31В + 0, 19Ф + 0.4РТ + 0.1ПП, (2) [13]
де В - відносний показник витрат виробництва на одиницю продукції;
Ф - відносний показник фондовіддачі;
РТ - відносний показник рентабельності товару;
ПП - відносний показник продуктивності праці.
ФП = 0,29КА + 0,2КП + 0,36КЛ + 0,15КО, (3) [14]
де КА - відносний показник автономії організації;
КП - відносний показник платоспроможності організації:
КЛ - відносний показник ліквідності організації;
КО - відносний показник обіговості обігових засобів.
Е3= 0.37РП + 0.29КЗ +0,21ВП+0,14КР (4) [15]
де РП - відносний показник рентабельності продаж:
КЗ - відносний показник затовареності готовою продукцією;
ВП - відносний показник загрузки виробничих потужностей;
КР - відносний показник ефективності реклами та засобів стимулювання збуту.
Загалом алгоритм розрахунку коефіцієнта конкурентоспроможності організації передбачає три поступові етапи.
Етап 1.
Розрахунок одиничних показників конкурентоспроможності організації та переведення показників 1.1 - 3.4 у відносні величини (бали).
Для переведення цих показників у відносні величини здійснюється їх порівняння з базовими показниками. В якості базових показників можуть виступати:
середньогалузеві показники;
показники будь-якої конкуруючої організації або організації-лідера на ринку;
показники підприємства, котре оцінюється за минулі від" різки часу.
У цілях переведення показників у відносні величини використовується 15-бальна шкала. При цьому значення "5 балів" надається показнику, який гірший за базовий; "10 балів" - на рівні базового; "15 балів" - значення показника більше за базовий.
Етап 2.
Розрахунок критеріїв конкурентоспроможності підприємства за формулами, наведеними вище.
Етап 3.
Розрахунок коефіцієнта конкурентоспроможності підприємства.
Така оцінка конкурентоспроможності охоплює всі найбільш важливі оцінки господарської діяльності підприємства, виключає дублювання окремих показників, дозволяє швидко та ефективно отримати картину стану підприємства на галузевому ринку.
Розглянутий метод має явні переваги. Він є зручним для використання при дослідженні конкурентоспроможності виробничого підприємства, охоплює основні напрями діяльності такої організації. Разом з тим в його основу закладена експертна оцінка показників вагомості кожного коефіцієнта, а така оцінка не може вважатися абсолютно достовірною.
Конкурентоспроможність підприємства залежить від ряду таких чинників, як:
• конкурентоспроможність товарів підприємства на зовнішньому і внутрішньому ринках;
• вид виробленого товару;
• місткість ринку (кількість щорічних продажів);
• легкість доступу на ринок;
• однорідність ринку;
• конкурентні позиції підприємств, що вже працюють на даному ринку;
• конкурентоспроможності галузі;
• можливість технічних нововведень у галузі;
• конкурентоспроможність регіону і країни.
Конкурентоспроможність підприємства - це відносна характеристика, що виражає відмінності розвитку даної фірми від розвитку конкурентних фірм за ступенем задоволення своїми товарами потреби людей і по ефективності виробничої діяльності. Конкурентоспроможність підприємства характеризує можливості і динамікові його пристосування до умов ринкової конкуренції.
Конкурентоспроможні компанії повинні виробляти і пропонувати ринкові товари, що задовольняють нестаток їх цільових споживачів. У противному випадку підприємства не можуть одержувати доходи, а виходить, бути конкурентоспроможним. Для того щоб задовольнити нестаток споживачів краще, ніж конкуренти, підприємства повинні скорочувати виробничий цикл і витрати, поліпшувати якість продуктів і послуг, зміцнювати співвідношення з постачальниками і споживачами, удосконалювати свої організаційні системи, щоб відповідна реакція на зміну споживчих смаків переваг була як можна швидкою. Інакше кажучи, для досягнення конкурентоспроможності підприємство повинне створювати і розвивати свої конкурентні переваги, що дозволять щонайкраще використовувати фінансові ресурси умовах макросередовища. Отже, при вимірі конкурентоспроможності повинні враховуватися такі моменти: адаптивність організації до змін навколишнього середовища, конкурентні переваги в рамках комплекс маркетингу і результати діяльності.
Адаптивність підприємства відбиває здатність підприємства пристосуватися до змін навколишнього середовища. Це означає використання ряду адаптаційних мір у рамках усіх складових частин комплексу маркетингу.
Конкурентні переваги показують, у яких областях (у даному випадку в рамках комплексу маркетингу) підприємство досягло більш високих результатів, чим конкуренти. Конкурентні переваги дозволяють правильно виробити стратегію позиціонування товарів і послуг на ринку, вибравши цільові ринкові сегменти і сконцентрувати там фінансові ресурси підприємства. Для виміру конкурентних переваг українських підприємств були використані наступні елементи:
конкурентне ціноутворення;
переваги у витратах виробництва;
якість продукту/послуг;
дизайн продукту;
упаковка;
експлуатаційні характеристики продукту;
післяпродажне обслуговування;
швидкість реакції на запити споживача;
імідж компанії/товарної марки;
пропонований асортимент продукції;
чистий доход на одного зайнятого;
чисельність зайнятих;
кількість основних конкурентів
контакти з постачальниками;
широта розподільної мережі;
реклама;
інші складові частини комплексу стимулювання збуту;
техніка особистих продажів;
система маркетингової інформації;
маркетингові дослідження.
Варто підкреслити, що незважаючи на велику увагу до вивчення взаємозв'язку між ступенем маркетингової орієнтації і результатам діяльності підприємства, а також взаємозв'язку між конкурентоспроможністю і результатами діяльності, у більшості досліджень результати економічної діяльності підприємств розглядаються як наслідок підвищення конкурентоспроможності і розвитку маркетингової орієнтації.
Місткість ринку характеризується обсягом реалізованого товару на даному ринку протягом визначеного періоду часу. Його можна розрахувати як суму національного виробництва, імпорту і непрямого імпорту за винятком непрямого експорту і залишків продукції на складі.
Критерій конкурентоспроможності визначається стабільністю місця на своєму ринку підприємства і його продукції, а також рівнем продажі продукції підприємства на ринках.
Кокурентоспроможність організації можна визначити в статиці і динаміці. У статиці вона визначається з урахуванням вагомості товарів і ринків, на яких вона реалізується:
(5) [16]
де ai
- питома вага і-го товару організації в обсязі продажів, за період який аналізується, долі од.;
bi
- показник значимості ринку, на якому представлений товар організації. Для промислово розвитих країн значимість ринку рекомендують приймати рівної 1, для інших країн - 0,7 для внутрішнього ринку - 0,5;
K ij
- конкурентоспроможність i-го товару на j-му ринку.
Питома вага i-го товару організації в обсязі продажів визначається по формулі:
(6) [17]
де Vi
- обсяг продажів i-го товару за період який аналізується, грош. од.;
V - загальний обсяг продажу організації за той же період, грош. од.
Сьогодні існує декілька методів оцінки конкурентоспроможності товару. Визначення рівня конкурентоспроможності як відносного показника, що відображає відмінність товару, який аналізується від товару-конкурента по ступені задоволення конкретної суспільної потреби.
Усі параметри, що характеризують рівень конкурентоспроможності, які підрозділяються на три групи: нормативні (патентна чистота, відповідність стандартам і нормам), технічні й економічні. Облік нормативних параметрів пропонується забезпечити шляхом уведення спеціального показника, що відповідає обов'язковим нормам і стандартам (при відповідності показник дорівнює 1, при невідповідності - 0). Загальний показник по нормативних параметрах (Iнп) являє собою добуток часних показників по кожному з них. Якщо хоча б один з параметрів буде дорівнює 0, то і Iнп = 0, що свідчить про не конкурентоспроможність товарів.
Достоїнством цієї методики є облік трьох найважливіших параметрів (критеріїв) конкурентоспроможності: якості товарів і післяпродажного обслуговування, а також ціни споживання. До недоліків відноситься скорочення області застосування зазначеного способу до оцінки тільки товарів, що володіють різною ціною споживання. Однак раніше відзначалося, що не всі товари володіють нею (наприклад, багато продуктів харчування)
Також, до аспекту конкурентоспроможності підприємства відносять ідентифікацію його фінансового становища.
Стратегія НДПКР.
Стратегії НДПКР (наукових досліджень та розробок) [18]
.
Роль такої функціональної стратегії зростає в наукомістких галузях, однак кожне підприємство, що змагається за свою конкурентоспроможність, має більш-менш розвинену стратегію наукових досліджень. Розробка продукту, його вдосконалення, модифікація не можуть відбуватися без певного обгрунтування. Основою є маркетингові дослідження, що "задають" вимоги споживача до товару, однак остаточної форми продукт набирає в результаті реалізації функцій досліджень і розробок, а надто підфункції - конструкторсько-технологічної підготовки виробництва.
Стратегія НДПКР базується на науково-технічних прогнозах і формується з урахуванням можливих винаходів та технологічних проривів у тій чи інших галузях у той період, на який розробляється стратегія.
Тому при створенні нового продукту треба визначити взаємозв’язок "життєвих циклів" продукту, попиту та технології, оскільки вони значною мірою впливають на тривалість життєвого циклу всього підприємства.
Якщо технологія, що використовується, дає змогу виготовляти серію виробів, головним стратегічним орієнтиром НДПКР буде створення виробів на базі вдосконалення існуючої технології. Отже, технологія - це рушійна сила розвитку підприємства, яке стає "тим, що йде за технологією". Як тільки значення "первісної" технології починає зменшуватися (можлива ситуація, коли тиражуються застарілі зразки, що втратили конкурентоспроможність), підприємство мусить бути готове перейти до іншого технологічного способу виробництва.
Прийняття рішення про перехід до нової технології або вдосконалення існуючої повинно базуватись на аналізі техніко-технологічного рівня виробництва. В Україні існують галузеві методики визначення техніко-технологічного рівня окремих виробництв та підприємств в цілому. На рис.4 наведений приклад застосування матричної моделі для аналізу технологій, що використовується на підприємстві. Основна ідея, що закладена в цю модель - зіставлення рівня самої технології і рівня її освоєння на підприємстві. Залежно від результатів аналізу розробляються або стратегії продовження використання існуючої технології ("виграшне парі"), стратегії поліпшення використання існуючої технології ("надійна готівка"), стратегії "зняття врожаю" ("принада") і, нарешті відмова від використання, ліквідація технологічного процесу ("загін для худоби").
Здійснення загальних конкурентних стратегій (за М. Портером) також має "чисто технологічне трактування", оскільки передбачає стратегії лідирування або послідовника в стратегіях зниження витрат або диференціації як стратегій, за рахунок яких формуються конкурентні переваги фірми.
Рис.4. Портфель технологій (розробка фірми "Сімена")
Таблиця 2. Зв'язок загальних конкурентних стратегій та стратегій у галузі досліджень і розробок у формуванні конкурентних переваг
| Стратегії
|
Лідер по НДПКР
|
Послідовник по НДПКР
|
| Лідер за рахунок зниження витрат (цін)
|
Порівняно низька собівартість нової продукції. Менші витрати при впровадженні технології. Результат - виробництво з найменшими витратами
|
Низька собівартість нової продукції, створеної методом копіювання конструкторських рішень і технології лідера. Відсутність витрат на НДПКР
|
| Диференціація
|
Висока споживча вартість продукції з унікальними можливостями. Усі види інновацій спрямовані на створення та розвиток унікальних властивостей
|
Пристосування продукції, системи виробництва та збуту до потреб споживача, через використання досвіду лідера
|
Конструкторсько-технологічні розробки сприяють зростанню прибутковості фірми, оскільки дають змогу:
знижувати собівартість продукції за рахунок досконаліших МТР та їхнього використання, а також якісних виробничо-технологічних процесів;
забезпечувати нарощування обсягів виробництва та продажу продукції, що має попит, на тих самих потужностях або на створюваних, продуктивніших;
створювати нові умови для виробництва конкурентоспроможних, нових продуктів тощо.
Стратегія НДПКР пов’язана зі структурою фундаментальних і прикладних досліджень. Тут спостерігається тісний зв’язок між типом підприємства та наявним рівнем його розвитку, обраними загальними стратегіями, стратегіями маркетингу та розвитку виробництва. Акцент може робитися на окремі етапи інноваційного процесу або на створення цілісної системи НДПКР. Стратегія НДПКР - це стратегія створення та використання нововведень різних типів, що, зрештою, і забезпечує підприємству стратегічний розвиток.
Рис. 5. Співвідношення витрат і результатів створення та освоєння інновацій
Кожна інновація потребує значних інвестицій. Існує тісний зв’язок: чим більш технологічною є інновація, тим більші загальні витрати потрібні для її створення та освоєння (рис.5). Функція НДПКР в організаційному плані має забезпечити скорочення часу при переході від точки 11 до 21, тобто інтервалу освоєння нововведення. Чим меншими будуть часові та витратні характеристики цього "переходу", тим стабільніше розвиватиметься підприємство. Світовий досвід показує, що на цьому відрізку банкрутують сім фірм з десяти. Наявність обгрунтованої стратегії інновацій допомагає пережити підприємству важкий період.
НДПКР мають за мету розробку та впровадження інновацій різних типів (існує кілька десятків класифікацій). Наведемо класифікацію за К. Фріманом, який розрізняв інновації "за менеджерською поведінкою", яка дає змогу сформулювати стратегії, які наведено в табл.3.
Таблиця 3. Модифікації інноваційної стратегії
| Тип стратегії
|
Основний зміст
|
Можливі результати
|
| Традиційна
|
Підвищення якості існуючих продуктів на існуючій технологічній базі
|
Поступове відставання в техніко-технологічному, а потім і в економічному відношенні
|
| Опортуністична
|
Орієнтація на продукт - лідер на ринку, що не потребує високих витрат на НДПКР
|
Можливий виграш за рахунок монопольної присутності на ринку. Помилки в оцінці власних адаптаційних можливостей та ринку призводить до ризику швидко втратити свої переваги
|
| Імітаційна
|
Закупки ліцензій з мінімальними витратами на власні НДПКР
|
Успіх можливий за умови високої спеціальної кваліфікації та постійної підтримки досягнутого рівня. У протилежному випадку - швидка втрата монопольних переваг
|
| Оборонна
|
Не відставати від інших, не претендуючи на домінування
|
Використовується на невеликих підприємствах, нерідко - залежних від великих фірм
|
| Наступальна
|
Бути першим на ринку за рахунок високого рівня інноваційного процесу, кваліфікованих кадрів, можливостей до розподілу ризику та інших конкурентних переваг
|
Ризики, пов’язані з будь-яким лідируванням, але і переваги від такої позиції на ринку основа "агресивної ініціативи"
|
Нині великого значення набувають такі суттєві характеристики нових технологій та інших інновацій, як екологічність, аварійнобезпечність, енерго- та ресурсозбереження, інформаційна місткість тощо.
Кожне підприємство вирішує для себе: або використовувати послуги науково-дослідних організацій, або створювати власну розвинену підсистему НДПКР; можливі також комбінації зазначених підходів. Власні дослідження та розробки традиційно здійснювались на науково-виробничих об’єднаннях України, формуючи їхній досить високий науково-технічний потенціал. Однак в умовах кризи більшість досліджень поступово згортались (зараз їх навіть призупинено). Застарілі знання та невикористані результати досліджень спонукають до пошуку нових технологій, конструкторських рішень тощо. Організації купують проекти, вступають у договірні відносини з підприємствами-власниками патентів і ліцензій, створюють спільні підприємства для використання прогресивних технологій (Рис.6).

Рис.6. Вибір ринку know-how
Патентно-ліцензійна стратегія є важливою частиною стратегій НДПКР, оскільки дає змогу деякою мірою захистити себе від своїх конкурентів, оформлюючи патенти чи ліцензії. З іншого боку, продаж ліцензій і дозвіл користуватися "патентозахищеними конкурентними перевагами" сприяють зростанню доходів.
Складність і спрямованість у майбутнє стратегій НДПКР потребує обгрунтованих підходів до їхньої розробки. Лише тоді, коли це матиме системний, плановий характер, дослідження та розробки можуть створити міцну базу конкурентних переваг підприємства.
Як і для кожного напрямку діяльності, керівництво підприємства визначає зміст і темпи розвитку наукових досліджень та розробок, які відбито у відповідних стратегіях. Здійснення стратегій НДПКР залежить від ресурсного, а особливо - інформаційного забезпечення та рівня кваліфікації персоналу. Тісний зв’язок стратегії НДПКР з іншими стратегіями допомагає створити інноваційну організацію, закласти підвалини її довгострокового існування.
Наведемо приклади стратегій НДПКР:
1. Пріоритетні дослідження та розробки: збільшення асигнувань; стабілізація асигнувань; зниження асигнувань; одночасне проведення фундаментальних досліджень і розробок; створення нової продукції; створення нової технології тощо.
2. Технологічні розробки (проекти): вдосконалення діючої; підтримка діючої; використання чужої технології тощо.
3. Розвиток (вдосконалення) потужностей (проекти): створення нових; підтримка існуючих; розширення існуючих; удосконалення робочих місць; введення змін в організацію; згортання раціоналізації; концентрація та централізація; децентралізація та створення невеликих виробництв; децентралізація системи управління виробництвом.
4. Розробки відносно якості та продуктивності: використання концепції "груп якості"; суперавтоматизація (впровадження робото-комп’ютерної технології); система управління якістю виробництва тощо.
5. Стратегія розвитку / скорочення підсистеми НДПКР на підприємстві.
Загальна програма (план) НДПКР на підприємстві.
Стратегія НДПКР - це план проведення головних досліджень щодо нової продукції, техніки, технології, організації тощо, а також розвитку та ефективнішого використання існуючих продуктів, процесів, методів виготовлення та ін.
Структура програми залежить від галузевої приналежності підприємства та охоплення ним тих чи інших етапів процесу "дослідження - виробництво". Але будь-яка програма розвитку НДПКР матиме такі підрозділи.
1. Розвиток НДПКР і нагромадження наукових знань:
1.1 основні фундаментальні дослідження;
1.2 прикладні розробки;
1.3 конструкторсько-технологічна підготовка виробництва.
2. Підвищення техніко-економічного рівня виробничого потенціалу підприємства.
3. Створення нової продукції та підвищення техніко-економічного рівня тієї, що вже виготовляється.
4. Удосконалення управління, організації виробництва та праці (в тому числі у підсистемі конструкторсько-технологічної підготовки виробництва).
5. Збереження та оздоровлення навколишнього середовища, раціональне використання природних ресурсів.
ВАРІАНТ 1. Прогнозування та його роль у діяльності підприємства
Прогнозування (передбачення) - це спроба визначити стан будь-якого явища або процесу в майбутньому.
Прогнозування - це процес складання прогнозу, тобто це наукове обґрунтування можливих кількісних і якісних змін стану діяльності підприємства в майбутньому.
Основні принципи прогнозування:
1. Цілеспрямованість - тобто опис поставлених задач
2. Системність - будування прогнозу згідно послідовності дій
3. Наукова обґрунтованість - тобто обґрунтування об'єктивних законів розвитку суспільства, а також використання світового досвіду.
4 Багаторівневий опис - опис кожного об'єкту як елементу складної системи.
5. Інформаційна єдність
6. Адекватність об'єктивним закономірностям розвитку, тобто виявлення тенденцій розвитку об'єкту.
7. Альтернативність - можливі варіанти розвитку об'єкту.
В залежності від джерел інформації технології її обробки і одержуваних результатів, всі економічні методи прогнозування поділяються на дві великі групи:
фактографічні методи;
евристичні
Фактографічні методи - це методи, які базуються на фактичних даних. Фактографічні методи поділяються на метод екстраполяції - тобто це припущення про незмінність чинників, що визначають розвиток об'єкту дослідження тобто суть цього методу полягає в розповсюдженні закономірностей розвитку об'єкту у минулому на його майбутнє.
Метод кореляційно-регресійного аналізу, який полягає у пошуку математичних формул, в яких встановлюються залежність будь-якого показника від іншого (парна кореляція), або групи інших показників (множинна кореляція).
Евристичні методи передбачають здійснення прогнозних розробок за допомогою логічних прийомів в свою чергу евристичні методи поділяються на дві групи:
інтуїтивні методи;
аналітичні методи прогнозування
До інтуїтивних методів відноситься метод експертної оцінки, який використовується у разі відсутності достатньої статистичної інформації. В його основу покладено збір необхідної інформації, шляхом анкетування, після чого ця інформація аналізується і відповідно в залежності від того оцінку інформації дає одна особа або група. Виділяють два підходи в оцінці інформації:
індивідуальна оцінка;
групова оцінка.
Метод "мозкової атаки" який є різновидом методу групових експертних оцінок і зводиться до творчої співбесіди певної групи експертів шляхом проведення дискусій.
Аналітичні методи:
метод морфологічного аналізу, який заснований на дослідженні всіх можливих варіантів розвитку підприємства в майбутньому виходячи із закономірностей його розвитку
Метод побудови "дерева цілей" - застосовується з метою розбиття основних задач на під задачі.
Метод оптимізації - який побудований на основі аналізу максимально можливої кількості чинників пов'язаних із виробництвом та фінансово-економічними показниками.
Загальні поняття про середовище підприємства
Кожне підприємство функціонує у певному середовищі. В ринковій економіці середовище переважно і забезпечує ефективність діяльності підприємства, навіть, значною мірою, детермінує його існування. Саме тому розробка стратегії і починається з діагностування та прогнозування розвитку середовища підприємства, а результати цього стануть базою для формування його місії, цілей, вибору стратегій.
Розглядаючи структуру середовища, виявляємо його елементи, тобто складові. Ці ж елементи, з точки зору впливу на підприємство, є факторами. Середовище підприємства поділяють на такі групи елементів-факторів: S зовнішнє середовище: макросередовище; мікросередовище; S внутрішнє середовище.
Макросередовище складається з елементів-факторів непрямої дії, тобто вони переважно прямо не пов'язані з конкретним підприємством, зате створюють певне сприятливе або несприятливе середовище для його господарсько-бізнесової діяльності.
При розробці стратегії варто враховувати вплив наступних факторів макросередовища: а) стану економіки країни; б) політико-правових відносин; в) ефективності державного регулювання економіки; г) рівня НТП; д) рівня соціального розвитку; ж) стану культури, ціннісних орієнтацій в суспільстві; з) дієвості профспілок, партій і громадських організацій; е) демографії; к) природних умов, екології; л) міжнародного становища; м) надзвичайних обставин, яким не могли запобігти керівники (форс-мажорних).
Мікросередовище - це середовище безпосереднього впливу на підприємство, тобто це учасники ринку, які безпосередньо контактують з підприємством.
Фактори мікросередовища: а) конкуренти і конкурентне середовище в цілому; б) покупці; в) постачальники; г) партнери; д) місцеві органи профспілок, партій, громадських організацій; ж) місцеві органи влади тощо.
Внутрішнє середовище - це елементи та фактори, що визначають внутрішній стан, сильні і слабкі сторони і, значною мірою, ефективність діяльності підприємства.
Фактори внутрішнього середовища підприємства: а) його виробничий потенціал; б) кадрово-управлінський потенціал; в) конкурентоспроможність продукції і конкурентний потенціал; г) організація маркетингу і збуту; д) фінансовий стан; е) ефективність виробництва; є) стратегія, місія і цілі; ж) організаційна структура і культура; з) організація виробництва і праці; к) мотиваційні механізми; л) екологічність виробництва; м) соціальна ефективність; н) імідж підприємства тощо.
Середовище підприємства можна зобразити наступним чином (рис.1.1).
Логіка вивчення середовища підприємства наступна:
а) спочатку визначають (роблять перелік) факторів макро-, мікро- і внутрішнього середовища, що впливають на підприємство і будуть справляти вплив на нього в стратегічному періоді;
б) потім отримують про ці фактори максимальну інформацію;

в) далі оцінюють отриману інформацію про кожний фактор впливу середовища на підприємстві і прогнозують величину можливого впливу;
г) результатом оцінювання величини впливу кожного фактора на підприємство в стратегічному періоді є визначення можливостей і загроз зовнішнього середовища та сильних і слабких сторін - внутрішнього;
д) як підсумок отримуємо базу для стратегічного аналізу і визначення альтернативних стратегій.
Пошук інформації про фактори середовища здійснюють переважно за допомогою таких форм і методів:
Сканування середовища (процес збирання уже сформованої інформації (статистичні збірники, наукові статті та ін.).
Моніторингу середовища (постійне регулярне збирання поточної і нової інформації).
Прогнозування середовища (створення інформації про майбутній стан підприємства).
Методи сканування і моніторингу: а) спостереження, б) опитування (анкетування) - метод Дельфі, в) експеримент.
Методи прогнозування: а) екстраполяції (прогнозування від досягнутого рівня); б) мозкового штурму (спільного прогнозування майбутнього групою експертів); в) статистично-математичне моделювання; г) побудова сценаріїв та інші методи.
Діагностика і прогноз макросередовища
В умовах командно-адміністративної економічної системи, коли ресурси виділялись за рознарядкою "згори", звідти ж "спускались" основні показники виробництва і плани поставок, вивчати зовнішнє середовище не було потреби. До речі, в умовах державної власності на ресурси і вироблену продукцію, навіть аналіз внутрішнього середовища нерідко проводився формально.
Із впровадженням в Україні змішаної економічної системи, без діагностики і врахування динаміки впливу зовнішнього середовища навіть сильні внутрішні сторони підприємства можуть не реалізуватися. Адже в умовах ринку власне фактори зовнішнього середовища визначають переважно успіх підприємства та, на жаль, вони найменше залежать від нього. В зовнішньому середовищі знаходяться ресурси. Там же перебувають клієнти і формується певна економічна атмосфера бізнесу.
Крім цього, зовнішнє середовище підприємства характеризується наступними особливостями:
складністю (факторів безліч, до того ж вони перебувають в різних комбінаціях);
взаємозв'язком і взаємообумовленістю факторів (зміна одного із них може викликати лавину змін інших);
невизначеністю (стратегічні рішення приймають в умовах неповноти інформації про зовнішнє середовище: повну здобути неможливо);
багатоваріантністю розвитку середовища (дуже важко спрогнозувати дію його факторів в стратегічному періоді);
динамізмом і мінливістю (зміни в зовнішньому середовищі відбуваються достатньо динамічно, з наростаючою швидкістю).
Тому-то діагностика і прогнозування зовнішнього середовища повинна посідати центральне місце у формуванні стратегії підприємства. Цього потрібно невідкладно і серйозно вчитися українським спеціалістам, причому, як кажуть, на ходу.
Особливо це стосується макросередовища. По-перше, в недалекому минулому на нього мало хто зважав. Отже, будь-який досвід його аналізу відсутній. По-друге, воно анітрохи не залежить від зусиль підприємства; до нього слід адаптуватися. По-третє, його значний вплив на підприємство незаперечний.
Ні для кого не є секретом, що головною причиною жалюгідного становища українських підприємств стали грубі макроекономічні прорахунки, повільне і неефективне освоєння методів та інструментів державного регулювання економіки, а на місцях - невміння враховувати дію макросередовища, його факторів і параметрів.
У світовій економічній науці аналіз основних факторів макросередовища називають PEST-аналізом (від абревіатури назв основних елементів цього середовища: P - political and legal environment (політико-правове середовище); Е - economie environment (економічне середовище); S - sociocultural environment (соціокультурне середовище); T - technological environment (технологічне середовище).
Зважаючи на реалії, елементи макросередовища, що діють на підприємство як фактори, слід конкретизувати. Отже, предметом діагностики і прогнозування макросередовища мають стати його наступні елементи-фактори та їх складові:
Елементи-фактори макросередовища, що діагностуються і прогнозуються:
1. Стан економіки країни. Серед факторів даного елементу макросередовища найбільш відчутний вплив на підприємство можуть справляти: а) обсяги ВНП, ВВП, національного доходу на душу населення; б) фаза економічного циклу; в) рівень зайнятості ресурсів, безробіття; г) рівень інфляції; д) участь у зовнішньо-економічній діяльності; е) рівень тінізації національної економіки; є) стан сукупного попиту та ін.
2. Політико-правові відносини. Фактори: а) економічна система; б) форми власності, розподілу і перерозподілу ВВП; в) політична система; г) законодавча база, ефективність законів і підзаконних актів у галузі економіки; д) рівень лібералізації економічного життя; е) політична стабільність тощо.
3. Ефективність державного регулювання економіки. Фактори: а) уміле поєднання механізмів ринкового саморегулювання економіки з важелями її державного регулювання; б) фіскальна політика держави, податкова система, стан держбюджету, стан державного боргу; в) монетарна (грошово-кредитна) політика держави, регулювання грошової маси в обігу банківською системою, доступність кредитів, резерви і процентні ставки банків, обмінні курси, платіжний баланс країни; г) антиінфляційна політика; д) антициклічна політика; е) зовнішньоекономічна політика держави; є) контроль за дотриманням законів; ж) уміле обмежене застосування адміністративних регуляторів економіки (дозволів, заборон, обмежень, норм).
4. Розвиток НТП. Фактори: а) розвиток освіти і науки; б) рівень інновацій; в) технологічний рівень; г) технічний рівень економіки.
5. Соціальний розвиток. Фактори: а) рівень доходів населення; б) рівень поляризації населення в доходах; в) соціальний захист вразливих верств суспільства (безробітних, дітей, інвалідів, пенсіонерів, студентів, тощо); г) встановлення певних соціальних параметрів: межі бідності, мінімальних обсягів зарплати, пенсій, стипендій, допомог; д) індексація доходів; е) рівень умов праці і техніки безпеки тощо.
6. Розвиток культури, ціннісні орієнтації в суспільстві. Фактори: а) рівень освіченості та професійної підготовки населення; б) розвиток всіх складових культури; в) ціннісні орієнтації населення, традиції, менталітет.
Природні умови, екологія. Фактори: а) запаси і використання природних ресурсів: вугілля, нафти, газу, руди, лісів, водних ресурсів тощо; б) клімат і ґрунти; в) екологічні вимоги щодо захисту повітря, ґрунту і води від забруднення внаслідок економічної діяльності.
Демографія. Фактори: а) чисельність і склад населення; б) розподіл населення по території; в) рівень народжуваності, смертності і природний приріст; г) середня тривалість життя і середній вік працюючих; д) співвідношення чоловіків і жінок; е) демографічне навантаження; є) механічний рух населення, міграції.
Дієвість профспілок. Фактори: а) соціальне партнерство профспілок з роботодавцями і владою; б) рівень профспілкових вимог щодо рівня і умов зайнятості; в) вимоги профспілок щодо умов і захисту праці; г) робота профспілок з оздоровлення працюючих і їх сімей.
Міжнародне становище. Фактори: а) наявність військових конфліктів; б) рівень діяльності міжнародних організацій з врегулювання міжнародний політичних і економічних зносин; в) рівень діяльності зовнішньоекономічних відомств і вищих органів влади країни з врегулювання зовнішньоекономічної діяльності.
Форс-мажорні обставини. Йдеться про фактори випадку, природні чи техногенні катаклізми, надзвичайні ситуації, які можуть суттєво вплинути на реалізацію стратегії: аварії, повені, пожежі, бурі, обледеніння тощо.
Покажемо це на схемі аналізу макросередовища на умовному прикладі умовного м'ясокомбінату (табл.1).
У наведеному прикладі аналізу макросередовища перелік його факторів і їх можливого прояву на підприємстві подано неповно. Показано лише найсуттєвіші, щоб показати основні підходи до аналізу даного середовища.
Таблиця 1. Примірна схема аналізу макросередовища умовного підприємства (м'ясокомбінату)



Результатом такого аналізу є виявлення загроз підприємству, що містяться у зовнішньому середовищі і можливостей, які надає йому це середовище.
За допомогою експертів і відповідних методів (про це в наступних темах) оцінюють ступінь впливу кожного фактора-загрози та реальності кожної можливості, їх градацію за важливістю. Виявляють критичні для підприємства загрози та найбільш реальні і бажані можливості.
Аналіз і прогнозування мікросередовища
Елементи мікросередовища називають іншими словами елементами зовнішнього середовища безпосереднього факторіального впливу на підприємство. Саме тому їх глибокий аналіз має неабияке значення для вироблення ефективної стратегії. Адже кожен фактор мікросередовища за певних обставин може призвести навіть до банкрутства підприємства.
Елементи-фактори мікросередовища - наступні:
Конкурентне середовище. Конкуренти. Галузь, в якій діє підприємство.
Покупці (споживачі, клієнти).
Партнери (стейкхолдери) зовнішні: постачальники, компаньйони, власники, акціонери, засоби масової інформації, місцеві органи влади, партії і громадські організації, профспілкові органи та інші, заінтересовані в успішній діяльності підприємства.
Постачальники: сировини, матеріалів, енергоносіїв, робочої сили, фінансових ресурсів, капіталу, інформації тощо.
Профспілки, партії і громадські організації, їх місцеві органи.
Місцеві органи влади: держадміністрація, рада, податкова адміністрація, казначейство, фінорган, санстанція, орган держстатистики, пожежний нагляд, технагляд та ін.
Розглянемо кожен з цих факторів. Зрозуміло, що в умовах ринкових відносин найбільш суттєвий вплив має на підприємство те конкурентне середовище, в якому воно перебуває. Йдеться в першу чергу про галузь, в якій функціонує підприємство, і його конкурентів.
Конкурентоспроможність продукції
Перш ніж приступити до розробки конкурентних стратегій, досить скрупульозно вивчають середовище підприємства, зокрема конкурентне. Після оцінювання конкурентного середовища, приступають до діагностики конкурентоздатності підприємства. Але це можна зробити лише виконавши попередньо оцінку конкурентоспроможності продукції підприємства. Адже конкурентоспроможність продукції - це успіх підприємства в умовах ринку. І, до речі, розв'язувати проблему конкурентоспроможності продукції потрібно впродовж всього її життєвого циклу аж до старіння.
Основними складовими конкурентоспроможності товару є:
Комплекс його властивостей, що приваблюють споживача:
а) якість,
б) технічний рівень,
в) дизайн, тара і ін.
Ціна товару і витрати споживача на його експлуатацію.
Стан даного ринку, його вимоги, переваги споживачів.
Відмінність товару за властивостями від аналогічного, що виробляють конкуренти.
Час і місце продажу.
Конкурентоспроможність продукції, на наш погляд, - це її переваги на ринку, що забезпечуються привабливими для споживача властивостями, низькою порівняно ціною та експлуатаційними витратами, оптимальним поєднанням параметрів ціна-якість, відповідністю умовам даного ринку, часу продаж і перевагам споживача, а також відмінністю в кращу сторону її основних характеристик від аналогічних у
Конкурентоспроможність продукції можна і потрібно оцінювати кількісно.
Формула конкурентоспроможності продукції
В загальному вигляді конкурентоспроможність продукції (Кп) прямо пропорційна якості (Я) і обернено пропорційна ціні (Ц) та залежить від кон'юнктури ринку:
Кп = Я/Ц
Параметри кількісних показників конкурентоспроможності
Кількісні показники конкурентоспроможності продукції розраховують в розрізі наступних параметрів:
1. Технічні параметри - включають такі показники:
а) призначення товару;
б) надійність;
в) довговічність;
г) естетичні характеристики (дизайн);
д) ергономічні характеристики.
2. Економічні параметри - ціна споживання, яка включає витрати споживача на придбання, а також на використання виробу впродовж усього періоду його споживання. Економічний параметр - ціна споживання (Цсп) - включає в себе такі економічні показники: Ц1 - ціна придбання; Ц2 - витрати на транспортування; Ц3 - витрати на монтаж та наладку; Ц4 - витрати на експлуатацію; Ц5 - витрати на ремонти; Ц6 - витрати на техобслуговування; Ц7 - витрати на навчання персоналу; Ц8 - податки; Ц9 - страхові витрати і т.д.
Формула ціни споживання:
Цсп = Ц1+Ц2+Ц3+Ц4+Ц5+Ц6+Ц7+Ц8+Ц9+ Цn;
Ціна споживання (Цсп), як бачимо, більша ціни придбання (Ц1): Цсп > Ц1. А тому чим нижча ціна споживання (Цсп), тим вища конкурентоспроможність продукції (Кп).
3. Нормативні параметри - це діючі на даному ринку:
а) технічні умови;
б) стандарти;
в) норми.
Причому, нормативні параметри можуть мати лише два значення: нуль - якщо товар не відповідає нормативним параметрам, що діють на даному ринку чи в країні і одиниця - якщо відповідає.
Щоб об'єктивно оцінити конкурентоспроможність продукції треба щоб виробник використовував ті ж параметри, що і споживач.
Перш ніж розраховувати кількісні показники конкурентоспроможності продукції, потрібно відібрати товар-аналог, або товар-зразок, з яким і будемо порівнювати параметри нашого товару. При відборі товару-зразка враховують:
а) щоб порівнювані товари були з однієї фази життєвого циклу,
б) щоб вони були з одного і того ж класу,
в) орієнтовані на одну і ту ж групу споживачів
г) зразок має бути найширше представленим на ринку.
Конкурентоспроможність продукції визначається
шляхом порівняння техніко-економічних параметрів виробу з відповідними параметрами товару-зразка.
При цьому розраховують наступні кількісні показники конкурентоспроможності продукції:
Кількісні показники конкурентоспроможності продукції
Одиничні - характеризують рівень конкурентоспроможності по одному з параметрів і розраховуються шляхом відношення значення будь-якого технічного чи економічного параметру виробу підприємства до значення аналогічного параметру товару-зразка.
Групові - об'єднують одиничні показники і характеризують рівень конкурентоспроможності за однією групою показників: економічних, технічних, нормативних.
Інтегральний показник конкурентоспроможності продукції (Кі) - дає числову характеристику конкурентоспроможності товару і визначається на основі групових показників:
а) технічних (ГПт);
б) нормативних (ГПн);
в) економічних (Цсп).
Звідси формула інтегрального показника конкурентоспроможності продукції:
Кі = ГПн (ГПт / Цеп)
Якщо Кі > 1, то товар перевершує за конкурентоспроможністю зразок, якщо Кі < 1 - поступається, а коли Кі = 1 - на одному рівні.
Аналіз конкурентоспроможності продукції проводять, як правило, експерти, використовуючи експертні оцінки. Але виконати цю роботу можна і силами спеціалістів підприємства, при високій їх підготовці.
Методи оцінювання конкурентоспроможності продукції:
Диференціальний - базується на використанні одиничних показників конкурентоспроможності продукції (технічних та економічних). За ними важко судити про конкурентоспроможність продукції однозначно.
Комплексний - базується на використанні групових та інтегральних показників.
Змішаний - базується на спільному використанні одиничних та комплексних показників: а) найважливіші показники використовуються як одиничні, б) інші одиничні показники об'єднуються у групи, для кожної з яких визначають груповий показник, в) на основі отриманих групових та одиничних показників і оцінюють конкурентоспроможність продукції.
Процес оцінювання конкурентоспроможності продукції показано на схемі. Оскільки конкурентоспроможність в умовах ринку слід розглядати як основну умову отримання прибутку і успішної діяльності підприємства в цілому, остільки конкурентоспроможністю слід навчитися управляти. Йдеться про те, що її закладають ще на стадії проектування товару і в процесі виробництва, впродовж усього його життєвого циклу оптимізують і матеріалізують найважливіші елементи конкурентоспроможності продукції: якість і витрати.
Маркетингова стратегія
Маркетингова стратегія є визначальною серед інших функціональних стратегій.
Маркетингова стратегія визначає найефективніші маркетингові заходи, які забезпечують реалізацію корпоративної, конкурентних і функціональних стратегій підприємства. Йдеться про способи просування товару на відповідні ринки, товарну і цінову політику, канали розподілу товару, форми стимулювання збуту, організацію рекламних кампаній тощо.
Маркетингова діяльність підприємства в цілому є предметом вивчення цілої однойменної дисципліни.
Для розробки повноцінної маркетингової стратегії використовують методи однопродуктового і портфельного аналізу, в тому числі матричні: криву досвіду, ЖЦТ і ринку, „продукт-ринок", БКГ, Мак-Кінсі, АДЛ і т.д.
Специфічні завдання маркетингової стратегії: формування цільових ринків, вибір номенклатури та асортименту продукції, ведення цінової політики, організація системи збуту, форм продаж, реклами тощо.
Маркетингова стратегія набирає форми маркетингового плану (програми), що є базовим документом, який регулює і координує діяльність всіх підрозділів і функціональних служб підприємства з метою їх ефективної діяльності на ринку в руслі корпоративної і конкурентних стратегій підприємства. Такий план умовно можна розділити на три розділи: цілі та завдання маркетингу, стратегія маркетингу (загальна і за конкретними ринками) і бюджет маркетингу.
Примірні характеристики компонентів стратегії маркетингу та вибір стратегії маркетингу можна показати наступним чином (табл.2 і рис.2).
Таблиця 2. Примірна матриця стратегій маркетингу
| Компоненти стратегії маркетингу
|
Різновиди характеристик компонентів
|
| 1. Обсяг ринку (Е)
|
(Р11) невеликий (Е)
|
(Р12) великий (Е)
|
|
| 2. Конкуренція (К)
|
(Р21) відсутня (К)
|
(Р22) незначна (К)
|
(Р23) висока (К)
|
| 3. Обізнаність споживачів (Ос)
|
(Р31) відсутня (Осі)
|
(Р32) наявна у меншості (Ос)
|
(Р33) наявна у більшості (Ос)
|
| 4. Ставлення споживачів до ціни (Сц)
|
(Р41) висока неприйнятна ціна (Сц)
|
(Р42) згода сплачувати помірно (Сц)
|
(Р43) згода сплачувати високу ціну (Сц)
|
| 5. Ціна (Ц)
|
(Р51) низька (Ц)
|
(Р52) середня (Ц)
|
(Р53) висока (ЦТ)
|
| 6. Витрати на маркетинг (В)
|
(Р61) низькі (В)
|
(Р62) середні (В)
|
(Р63) високі (В)
|

ВАРІАНТ 2. Інформаційно-аналітичне забезпечення процесу розроблення стратегії
Реалізація концепції стратегічного управління на підприємстві торкається всіх аспектів його діяльності; однак оскільки інформація - це предмет управлінської праці, а більшість важелів впливу суб’єкта управління на об’єкт мають інформаційний характер, перебудовувати інформаційно-аналітичне забезпечення стратегічного управління згідно з обраними стратегіями треба дуже ретельно. Як зазначалося при розгляді ресурсних, функціональних і комплексних стратегій, кожне підприємство повинно:
визначити тип та обсяги необхідної для стратегічної діяльності інформації;
розробити ефективну систему збирання, обробки, використання та зберігання інформації;
вжити заходів для запобігання негативного ефекту використання недостовірної інформації;
створити умови для ефективного використання необхідної інформації для прийняття стратегічних рішень.
Сутність стратегічної інформації.
Стратегічні рішення безпосередньо визначають долю підприємства, впливають на його розвиток і життєздатність. Обгрунтованість рішень, що приймаються, залежить від інформації, на якій вони базуються, а ціна помилок постійно зростає.
Існуючі інформаційні системи надають керівникам підприємств інформацію, що зорієнтована в основному на внутрішнє середовище - технологію, організацію виробництва, фінансово-економічні ретроспективні показники тощо - і характеризує його. Інформація про зовнішнє середовище має фрагментарний, несистемний характер. Немає інформації про економічні тенденції, науково-технічні досягнення, ринки та конкуренцію на них, споживачів та їхні потреби тощо. До того ж бракує соціально-політичної інформації, збиранням і аналізом якої навіть науково-дослідні інститути мало займаються. Усе це призводить до домінування суб’єктивних уявлень про ситуацію на підприємстві та поза ним, що не дає змоги складати обгрунтовані прогнози та приймати стратегічні рішення про пристосування до майбутнього та формування самого майбутнього. Але навіть якщо обсягів необхідної інформації достатньо, це не завжди забезпечує прийняття ефективних рішень. Наявну інформацію мож-на інтерпретувати по-різному, що залежить від специфіки гіпотези щодо функціонування об’єкта аналізу, методів обробки, перевірки та напрямків використання інформації. Гіпотези, моделі, системи не можуть бути жорстко встановлені, особливо враховуючи уподобання та знання того чи іншого керівника підприємства. Можна стверджувати лише одне: інтерпретація емпіричних даних у складному середовищі - як зовнішньому, так і внутрішньому - потребує підтримки з боку теорії та різних за змістом і призначенням моделей. Висуваючи гіпотези, треба враховувати стратегічні інформаційні потреби підприємства.
Стратегічні інформаційні потреби підприємства охоплюють усе, що може вплинути на довгострокову діяльність підприємства, непередбачені випадковості, пов’язані зі змінами у середовищі (в тому числі з форс-мажорними обставинами), навіть інформацію про події, що перебувають за межами безпосередньої діяльності та впливу, але можуть змінити долю підприємства. Стратегічні інформаційні потреби залежать від тих стратегічних цілей, які підприємство ставить перед собою.
У процесі формування стратегії збирають і обробляють певні обсяги інформації, щоб мати змогу відповісти на запитання:
які можливості надає та чому привертає певна сфера діяльності конкретне підприємство;
як можна використати можливості зовнішнього середовища;
які види конкурентних стратегій доцільно використовувати в конкретній галузі;
в який спосіб визначається та за допомогою чого займає певне місце підприємство у цій галузі, що є його ключовими факторами успіху, тощо.
Оцінка зовнішнього середовища, галузі та конкуренції зумовлює необхідність на основі аналізу та обгрунтованого прогнозування прийняти рішення щодо якнайкращого пристосування до нього, участі (або ні) підприємства в процесах, які зумовлюють особливості функціонування галузі (постачанні, збуті, системі фінансування, державного регулювання тощо). Тут значення мають не обсяг, а цільова спрямованість, об’єктивність і можливість своєчасного одержання необхідної інформації.
Стратегічна діяльність потребує надійного інформаційного забезпечення у вигляді баз стратегічних даних, допущень і прогнозів. Створення такого забезпечення - це не лише нагромадження інформації та її обробка.
База стратегічних даних (БСД) - це стислий системний опис найсуттєвіших стратегічних елементів, що належать до зовнішнього середовища підприємства; вона (БСД) використовується для оцінки поточного становища, застосовується для визначення прояву процесів у майбутньому та для прийняття стратегічних рішень.
У БСД міститься інформація про вплив окремих складових і чинників процесу стратегічного аналізу та управління на формування стратегічних альтернатив, а також інформація, що дозволяє обирати ті або інші рішення з визначених альтернативних варіантів, тобто БСД може трактуватись як підсистема підтримки управлінських рішень.
БСД формується за допомогою цільових підборок інформації, що надходить з багатьох джерел (рис.5.31) і являє собою по суті процес перетворення сукупності даних у стратегічну інформацію на основі їхньої аналітичної обробки з орієнтацією на конкретне використання в процесі встановлення та на реалізацію стратегічних планів, проектів і програм.
Рис. Джерела та об’єкти аналізу для отримання інформації
БСД підприємства може мати досить складну структуру, тобто складатися з таких підсистем: БСД про сильні та слабкі сторони підприємства; БСД про загрози та можливості (з оцінкою рівня ризику), що існують у зовнішньому середовищі; БСД про рівень конкуренції та критерії конкурентоспроможності в галузі; БСД про стан економіки взагалі; БСД про ситуацію на суміжних ринках тощо.
Допущення та прогнози дають змогу сконцентрувати увагу на найсуттєвіших факторах, які впливають на ситуацію та розвиток її в найімовірнішому напрямку. Допущення дозволяють дещо "стиснути" інформацію, ввести якісні оцінки у міркування про майбутній розвиток подій. Прогнози більш орієнтовані на кількісні показники і надають майбутньому більш чітко виражені риси (див. підрозд.2.7).
БСД, добре сформовані та постійно поновлювані, є основою для стратегічного планування та управління. У табл.5.6 наведено зага-льну схему виникнення інформації, формування БСД і використання окремих складових БСД на різних етапах стратегічного планування. БСД можуть мати вигляд картотек, структурованих у певні розділи (табл.).

Таблиця. Приклад картотеки стратегічної інформації фірми-виробника спортивного одягу
| Назва розділу
|
Причини введення розділу
|
| Тенденції по країнах - потенційних імпортерах
|
Розвиток економіки, насамперед у багатих країнах, оскільки якісний спортивний одяг відносно дорогий, а спорт розвивається найчастіше у багатих країнах;
розвиток окремих видів діяльності та спорту (аеробіка, індивідуальні чи колективні види спорту: які саме?);
наявність спортивних споруд (корти, палаци спорту та ін);
динаміка моди: можливість використання спортивного одягу як повсякденного
|
| Технології
|
Сировина та нові матеріали (високотехнологічні та екологічні тканини, синтетичні матеріали, пластмаси з якостями натуральних речовин і т. ін);
виробничі технології (застосування АСУП, технологій розкрою (водою, плазмою), пошиву (клеєння, зварювання і т. ін)
|
| Диверсифікація
|
Розвиток виготовлення спецодягу для пожежників, для роботи з хімічними речовинами (промисловість, армія), для АЕС, для авіації, космонавтики
|
| Партнери (в тому числі акціонери)
|
Економічне та соціальне становище;
тенденції до об’єднання з іншими фірмами (для організацій);
бюджет НДПКР і його розподіл;
кадрові зміни
|
| Конкуренти (в тому числі потенційні)
|
Виробники сировини, обладнання, готового одягу (постійно поновлювальний перелік);
торговий оборот (оцінка здатності до проникнення на новий ринок);
кадрові зміни в керівництві (наприклад, наймання на роботу для фірми, що виготовляє жіночий одяг, спеціалістів-спортсменів та тренерів);
поглинання, об’єднання з іншими організаціями
|
Інформаційна система стратегічного управління.
Управлінська діяльність - це діяльність, орієнтована на використання інформації (збирання, обробку, зберігання, передачу), тобто пов’язана з великою кількістю рутинної роботи, яка іноді заважає творчому веденню справи. Кількість інформації та складність проблем, пов’язаних з координацією діяльності, зростає зі збільшенням розмірів організації. Планова та контрольно-облікова діяльність, які відіграють визначальну роль у полегшенні керівництва, потребують своєчасної, конкретної та точної інформації, витрати на отримання якої ефективні стосовно одержаних результатів.
Досвід підприємств, що вміють добре організовувати інформаційне обслуговування робітників апарату управління, показує, що багато проблем можна вирішити, якщо БСД формувати одночасно з розробкою та використанням інформаційно-управлінських систем (ІУС) різного типу.
ІУС дає змогу:
нагромаджувати інформацію про минуле й сучасне;
складати прогнози розвитку подій;
мати уявлення про реальні справи на підприємстві в конкретний відрізок часу;
відслідковувати події в зовнішньому середовищі.
ІУС у стратегічному управлінні може мати дворівневу ієрархічну структуру.
I рівень - підсистема стратегічної та прогнозної інформації, яка використовує текстову та кількісну інформацію, що надходить з усіх доступних підприємству джерел, у тому числі від консультантів, експертів і фірм, що професійно займаються збиранням, обробкою та продажем спеціалізованої інформації.
ІІ рівень - підсистема тактичної та оперативної інформації, що використовує дані аналізу господарської діяльності підприємства, а також інформацію, отриману під час контактів співробітників з колегами на конференціях, ярмарках, виставках.
У процесі гармонізації діяльності цих двох рівнів виникають досить великі проблеми, пов’язані з можливостями отримання "непрофільної", зайвої й навіть шкідливої інформації різними користувачами. На вітчизняних підприємствах домінує ІІ рівень, що проявляється в нерозвиненості стратегічного управління взагалі. Вузько професійні інтереси окремих груп працівників заважають формуванню цілісних БСД. Якщо І рівень переважатиме ІІ, інформація може бути неприйнятною для повсякденного керівництва та розв’язання поточних проблем.
З метою координації діяльності підсистем обох рівнів розрізняють централізований та децентралізований підхід.
Централізована система передбачає відповідність вищих рівнів ОСУ І рівню ІУС, дані з ІІ рівня передаються у централізовані органи для прийняття рішень. Переваги централізованих ІУС: координація зусиль та економія на масштабах1; можливість аналізувати та порівнювати стратегічну та поточну інформацію. Недоліки такого підходу зумовлені тим, що багатопрофільність інформаційних потреб поліпродуктових фірм і пов’язані з цим витрати можуть переважати ефект масштабу. Централізована ІУС створює також умови, за яких інформація перетворюється на важіль адміністративного впливу, а децентралізовані управлінсько-виробничі ланки для збільшення своєї власної свободи починають приховувати невигідну для них інформацію.
Децентралізована система зорієнтована на збирання, обробку і використання стратегічної інформації децентралізованими підрозділами (наприклад, СГЦ або дивізіоном), тобто на створення власної системи, де представлено обидва рівні. Переваги такої системи: відповідність стратегічних інформаційних потреб інформації, яка використовується в ній; інформаційні потоки та керування ними спрощено. Недоліки децентралізованої системи: збільшення витрат на підтримку функціонування такої системи за рахунок дублювання робіт; необхідність виконання роботи у повному обсязі (збирання, обробка, розповсюдження, зберігання) та утримання персоналу необхідної кваліфікації та технічних засобів. Децентралізована система створює умови для підвищення конкуренції між підрозділами, виникнення "комерційних таємниць" усередині великої системи, заблоковування обміну інформацією.
Можна зробити загальний висновок про те, що не існує ідеальних ІУС і кожне підприємство має самостійно приймати рішення відносно її форми.
У межах ІУС можна досягти найбільшого поєднання контролю, координації, обліку та аналізу діяльності підприємства. Це важливо, оскільки в ході виконання робіт за стратегічними планами та програмами треба встановлювати та контролювати конкретні терміни стосовно всіх робіт, які виконують усі учасники програм і планів, постійно вирішувати питання щодо перерозподілу ресурсів, кооперації та взаємодії між окремими виконавцями і завданнями, а також щодо оцінки результатів ефективності прийнятих рішень. Усе це знаходить відображення у роботах по координації окремих видів діяльності з метою вчасного і якісного досягнення цілей. Контроль реалізується за допомогою обліку. На основі результатів, отриманих за допомогою обліку, можна приймати рішення про характер і напрямки змін, що здійснюються на підприємстві, від якості обліку залежить якість прийнятих рішень та ефективність функціонування підприємства взагалі.
В умовах використання стратегічного управління зростають вимоги до організації обліку, який має бути: цілеспрямованим, систематичним, цілісним, всебічним, оперативним та оптимальним. У стратегічному управлінні та контролі використовуються дані оперативно-технічного, бухгалтерського та статистичного обліку. Коли облік перетвориться на той, що дає не лише фактичні, а й прогнозні, очікувані результати, стратегічне управління матиме те інформаційне підгрунтя, яке дасть змогу проводити зміни на підприємстві в найбільш раціональному режимі з використанням надійних матеріалів.
Для забезпечення такої вимоги велике значення мають переваги, які надаються системою ІУС. Головне призначення ІУС - надати потрібну інформацію працівникам у необхідний термін. Запровадження комп’ютерів і комп’ютерних технологій полегшує створення ІУС, але завданням керівників підприємства, навіть в умовах діючої ІУС, є постійне вдосконалення планово-контрольних підсистем у напрямку адекватного відображення процесів управління і приведення її в стан, який відповідав би інформаційним потребам користувачів. Це підвищує значення навчання керівників і фахівців апарату управління не тільки методам користування ЕОМ, а й постановці задач для розробки оригінального програмного забезпечення, що відбивало б специфіку діяльності кожного підприємства.
Стратегічні зміни на підприємстві
Забезпечення єдності поточної і стратегічної діяльності формування стратегії і стратегічного плану підприємства завершено. Постають чергові завдання по організації їх виконання:
Скоординувати стратегічні дії з оперативними, себто стратегічного плану з поточними планами підприємства (середньостроковим - тактичним і короткостроковими - річним, квартальним, місячними, по періодах робіт тощо).
Розробити програми і проекти що будуть застосовуватися в рамках стратегії та процедури для оцінки, вибору і реалізації проектів (управління за проектами).
Виробити тактику подолання опору стратегічним змінам.
Привести у відповідність зі стратегією організаційну структуру підприємства.
Привести у відповідність зі стратегією організаційну культуру підприємства, стиль управління та інші завдання.
Програми - це детально відпрацьовані основні напрямки реалізації стратегії підприємства. Наприклад: програма впровадження нової технології, програма кадрового забезпечення стратегії, програма вдосконалення організації виробництва та інші.
Проекти - основні форми реалізації стратегії підприємства, тобто це проблемні завдання, замисли, що конкретизують стратегію підприємства з досить детальним обґрунтуванням необхідних параметрів, засобів, графіків виконання, визначенням конкретних виконавців та оформлення їх у вигляді організаційно-правових і розрахунково-фінансових документів.
В результаті координації стратегії з поточними планами, розробки програм і проектів, діяльність підприємства і всіх його структурних підрозділів зосереджується на реалізації двох груп завдань: стратегічних і поточних.
Поточна діяльність направлена на реалізацію тактичних і оперативних планів, їх програм, проектів і бюджетів, що забезпечують раціональне використання наявних ресурсів задля отримання цільового поточного прибутку.
Оперативні плани досягаються за допомогою програм, проектів і бюджетів, розроблених для кожного постійного функціонального підрозділу підприємства: цеху, бригади, ферми, заводу, СОБ т.д.) і розраховані на календарний строк виконання: короткострокові на рік і менше - тиждень, місяць, квартал, сезон; середньострокові (тактичні) - від одного до 3-х років; довгострокові - понад 3 роки. Контроль за поточними планами будується в кінцевому підсумку на порівнянні фактичного і планового прибутку, резервах його росту.
Стратегічна діяльність направлена на реалізацію відповідних стратегій, їх програм, проектів і бюджетів, що ведуть до таких стратегічних змін, які забезпечать конкурентні переваги і високу прибутковість в майбутньому.
Стратегічна діяльність реалізується через програми, проекти і бюджети, які розробляються інакше ніж поточні.
По-перше, такі проекти обмежені в часі і потребують спільної участі всіх або більшості функціональних служб, розробляється тимчасовими організаційними формуваннями. Після завершення чергового проекту, команда, що його виконувала, розпускається, а її учасники повертаються у свої підрозділи або перегруповуються, щоб розпочати новий проект.
По-друге, стратегічні проекти, на відміну від поточних, мають різні (не календарні) строки виконання, а контроль за стратегічною діяльністю будується на відношенні до ризику.
Баланс пріоритетів між стратегічним і оперативним плануванням залежить в першу чергу від мобільності зовнішнього середовища. Якщо попит на ринках збуту продукції стабільно зростає, технологія виробництва теж залишається стабільною і переваги споживачів міняються повільно - пріоритет надається оперативній діяльності і відповідно оперативному (поточному) плануванню. Якщо ж зовнішнє середовище надто мінливе, нестабільне (як на Україні) і рівень попиту близький до насичення - пріоритет надається стратегічній діяльності і стратегічному плануванню, альтернатива якому - банкрутство.
Зміна організаційної структури управління відповідно до потреб реалізації стратегії
Організаційні структури управління (ОСУ) на підприємствах, особливо на Україні, створювались відповідно до потреб поточної діяльності, а тому, як правило, налаштовані на розв'язання оперативних проблем. Щоб провести відповідно до стратегічного плану підприємства стратегічні зміни, які потребують значних зусиль, існуючі ОСУ слід переглянути. Наслідком перегляду має стати їх пристосування до одночасного розв'язання як оперативних так і стратегічних завдань або навіть створення спеціальних формувань, які б систематично і професійно розв'язували стратегічні проблеми. Тут широке поле для творчості.
Розглянемо основні ОСУ і зауважимо, які найнеобхідніші зміни в них слід провести у зв'язку з впровадженням стратегічного планування. Хто має реалізовувати, контролювати і, що дуже важливо, постійно переглядати стратегічні плани залежно від різких змін середовища.
Лінійна ОСУ (елементарна). Застосовується, як правило, на невеликих підприємствах. Дворівнева: керівник особисто управляє всіма підрозділами. Із введенням стратегічного планування на нього покладається також організація і контроль стратегічної діяльності. Переваги - оперативність, узгодженість. Недоліки - перевантаженість керівника, що приводить до поверховості і серйозних упущень. Видається обов'язки стратегічного управління і контролю за стратегічним планом варто покласти на першого заступника керівника, обумовивши це посадовою інструкцією і контрактом. Крім того, оперативний контроль за стратегічним планом персонально покладається на конкретного працівника економічної служби чи служби маркетингу, якщо така є.
Функціональна ОСУ. Передбачає розподіл праці і спеціалізацію. Тут керівник управляє функціональними підрозділами: службою маркетингу, інженерно-технологічною, економічною, фінансовою, дослідно-конструкторською та іншими службами. А останні виходять на виробничі підрозділи. Переваги - компетентне керівництво. Недоліки - суперечливість, неузгодженість розпоряджень, що надходять з функціональних служб, міжфункціональні конфлікти. З введенням стратегічного планування на першого керівника можна покласти обов'язки загального контролю за корпоративною стратегією. Крім того, нарівні з іншими функціональними службами створити ще одну - відділ стратегічного розвитку підприємства, який може очолити, як інші служби, відповідний заступник директора.
Лінійно-функціональна ОСУ. Це така структура, коли управління здійснюється за лінійною схемою (директор-цех-бригада-зміна), а функціональні служби лише допомагають лінійним керівникам в компетентному управлінні, уже не маючи управлінських повноважень. Переваги має в умовах незначних змін середовища і полягають вони в оперативності і компетентності. В умовах нестабільності ці переваги втрачаються і така ОСУ стає непридатною, оскільки збільшується тривалість розробки і погоджень рішень, що веде до помітних втрат. Тому при стратегічному плануванні можна також додати ще один функціональний підрозділ, який буде курувати стратегічні зміни, а загальний стратегічний контроль залишити за директором, чи відповідним заступником.
Дивізіональна ОСУ. Застосовується на підприємствах, які мають самостійні підрозділи - СБЦ або СОБ. Їм надається право не лише самостійно організовувати оперативну діяльність за названими вище ОСУ, але і стратегічну. Але корпоративний стратегічний план контролює генеральний директор і відповідний відділ стратегічного розвитку, очолюваний заступником генерального директора. Переваги - гнучке реагування на зміни в середовищі, швидкість прийняття рішень і їх висока якість. Недоліки - висока чисельність апарату управління.
Проектно-матрична ОСУ. При такій структурі оперативні і стратегічні проблеми розмежовуються. До функціональної чи дивізіональної ОСУ добавляється відділ по управлінню стратегічними проектами. Тобто створюється два напрями управління: а) вертикальний - управління лінійними структурними підрозділами і б) горизонтальний - управління проектами. До реалізації стратегічних проектів залучаються фахівці і ресурси різних підрозділів. Проекти, як зазначалося, - тимчасові структури. Переваги - висока гнучкість управління та орієнтація на інновації. Недоліки - збільшення чисельності управлінського персоналу та кількості інформаційних потоків, конфлікти через невизнання принципу єдиноначальності.
В результаті вибір тої чи іншої ОСУ залежить:
Від розміру підприємства і номенклатури продукції. Чим більший розмір, тим більше рівнів управління і можливостей створення окремого відділу стратегічного управління;
Від географічного розміщення - ізольованим регіонам варто надавати самостійність, переходити до дивізіональних ОСУ;
Від технології - ОСУ будується на певній технології, але повинна сприяти оновленню продукції;
Від ставлення менеджерів і власників до ОСУ - багато залежить від того яким ОСУ вони надають переваги;
Від динамізму зовнішнього середовища - чим він вищий, тим гнучкішою має бути ОСУ;
Від відповідності стратегії, що реалізується на підприємстві.
Зміна організаційної культури і стилю управління відповідно до потреб реалізації стратегії
Поряд з ОСУ, на ефективність впровадження стратегії в значній мірі впливає організаційна культура, стиль управління підприємством.
Оргкультура - це певна філософія, певні постулати віри, що оволодівають більшістю працівників, щодо того, як досягти цілей; це певні естетичні стандарти, які домінують на підприємстві. Наприклад, віра, що охайність і ввічливість персоналу, сприяє іміджу фірми.
В склад оргкультури входять: норми поведінки на виробництві, яких добровільно дотримується більшість персоналу, атмосфера у стосунках між працівниками, поведінкові ритуали (посвячення у професію, відмічання першої зарплати т.д.), сленгові вислови, бренди, правила „гри", домінуючі цінності і філософія підприємства.
Оргкультура буває двох видів:
а) природна, яка формується стихійно, без втручання керівництва;
б) штучна - сформована ціленаправлено керівництвом. Причому, слід відмітити, що елементи нової оргкультури можна прищепити набагато швидше і дешевше, ніж змінити природну оргкультуру чи оргструктуру фірми.
Оргкультура проявляється: а) у стилі відносин між працівниками; б) у стилі прийняття рішень; в) у стилі управління змінами і крупними невідкладними проблемами; г) у ставленні до історії підприємства; д) в установлених формальних процедурах.
Чинники, під впливом яких формується оргкультура:
а) точки концентрації уваги вищого керівництва (від того, на що звертає в першу чергу увагу вищий керівник формується певні норми і адекватна поведінка всього персоналу);
б) реакція керівництв на критичні ситуації;
в) особиста поведінка керівників, їх ставлення до службових обов'язків;
г) критерії стимулювання працівників;
д) критерії відбору, розстановки, просування і звільнення працівників (наприклад, якщо це відбувається під впливом особистої відданості, породжується підлабузництво тощо).
А ще серйозно появляються і вторинні чинники: зміна структури підприємства (делегування повноважень, рівень довіри, свободи в діях т.д.), процедури поширення інформації, дизайн приміщень, факти з історії підприємства, що зіграли якусь суттєву роль тощо.
Знаючи сутність, форми прояви і чинники оргкультури, керівництву підприємства, з переходом до стратегічного планування і управління, слід формувати нові елементи оргкультури, адекватні новому, стратегічному мисленню.
Зокрема, потрібно наполегливо впроваджувати у свідомість колективу такі стандарти поведінки, що найбільш сприяють становленню ринкових відносин і стратегічної поведінки. Йдеться про: S створення єдиної, зрозумілої для всіх стратегічної термінології;
створення чіткого безболісного механізму регулярної зміни структури для управління стратегічним проектами, механізму наділення владою і позбавлення цих прав, закріплення певного статусу за окремими працівниками;
розробка оцінок стратегічної поведінки працівників;
формування оргкультури адекватної місії підприємства через формалізовані положення про сенс існування підприємства, його філософію;
формування чесності і порядності у конфліктах інтересів, в дотриманні законодавства, у стосунках із клієнтами і всіма стейкхолдерами, в отриманні і використанні інформації т.д.
впровадження конфіденційності стосунків;
прищеплення персоналу порядності і справедливості в управлінні цінами, контрактами, рахунками і таке інше;
створення у свідомості персоналу меж між стратегічною і оперативною діяльністю;
встановлення норм, які регулюють неформальні стосунки.
Організація стратегічних змін на підприємстві
Завершивши стратегічне планування, прийнявши до реалізації стратегічні проекти, паралельно з формуванням адекватних стратегічному управлінню організаційних структур і культури, наполегливо проводять стратегічні зміни, долаючи потужний опір.
Стратегічні зміни - це зміни, зв'язані з освоєнням підприємством нової галузі, нового ринку, нового товару, чи нової технології відповідно до стратегічного плану.
Стратегічні зміни на підприємстві бувають трьох рівнів:
Помірні зміни - коли підприємство виводить новий продукт на новий чи уже освоєний ринок. Тобто проходять зміни переважно в маркетингу;
Радикальні зміни - пов'язані з глибокими структурними перетвореннями в середині підприємства, зумовлені його поділом чи злиттям з аналогічною фірмою. Зміни тут відбуваються уже в номенклатурі, оргструктурі, оргкультурі тощо;
Докорінна реорганізація - це зміни, що забезпечують перехід підприємства у зовсім іншу галузь. Тут зміни носять докорінний характер: в номенклатурі, ринках збуту, складі ресурсів, технології тощо.
Будь-яка зміна, як відомо, зустрічає опір. Тим більше - стратегічна, від проведення якої нерідко залежать людські долі. А тому, приступаючи до стратегічних змін на підприємстві, треба бути готовим прикласти особливі зусилля:
а) на передбачення характеру, направленості і сили опору, форм його прояву;
б) до послаблення опору;
в) проведення стратегічних змін.
Опір передбачають по комбінації двох параметрів:
а) прийняття чи не прийняття змін, тобто наявність опору;
б) форма опору (відкрита чи прихована).
Виясняють це шляхом співбесід з окремими працівниками чи групами, анкетування, проведення нарад, зборів колективів тощо.
І, користуючись матрицею „зміна-опір", визначають як розподіляється персонал фірми по квадрантах матриці, відповідно до чого планують певні заходи по зменшенню опору змінам (рис.1).
До кожної з груп свій підхід:
а) на групи 1 і 3 в проведенні стратегічних змін можна опиратися;
б) щодо груп з квадрантів 2, 4 слід з'ясувати насамперед причини неприйняття змін, провести роз'яснюючу роботу;
в) стосовно ж тих, хто і після не зрозуміє необхідності змін, можна зробити навіть оргвисновки.
| Форма опору
|
Ставлення до змін
|
| сприймаються
|
не сприймаються
|
| Відкритий
|
1. Прихильники
|
2. Противники
|
| Прихований
|
3. Пасивні прихильники
|
4. Небезпечні елементи
|
Рис.1. Матриця "Зміна-опір"
Стилі стратегічного керівництва.
Для подолання опору і проведення стратегічних змін, залежно від ситуації і організаційної культури, що існує чи формується, менеджери використовують наступні стилі керівництва:
Конкурентний - акцент робиться на силу, примус, людину просто заставляють без особливих роз'яснень поступати так, як вимагає стратегія. Розв'язання такого конфлікту передбачає наявність переможця і переможеного.
Компроміс - помірна наполегливість менеджерів, намагання роз'яснити і порозумітись, навіть скооперуватись з тими, хто виступає проти змін.
Співробітництво - менеджери проводять зміни на основі кооперації з тими, хто чинить опір.
Пристосування - намагання співпрацювати з опонентами при дуже слабкому наполяганні на проведенні змін.
Самоліквідація - менеджери навіть не шукають шляхів співробітництва з тими, хто чинить опір і не проявляють особливої наполегливості у проведення змін, має місце самоплив.
Методи проведення стратегічних змін
Нарешті, методи, що застосовуються при проведенні стратегічних змін можуть бути наступними:
Примушування - коли стратегічні зміни проводять під значним адміністративним тиском. Застосовується в умовах гострого дефіциту часу. Переваги - швидкість. Недоліки - значний опір, значні моральні і матеріальні втрати, негативні, як правило, соціальні наслідки.
Переконання і залучення - коли персонал переконують в необхідності змін і навіть залучають до співпраці. Застосовується, як правило, в комбінаціях з послідуючими методами і в тих же умовах. Переваги - персонал іде на зміни свідомо, поводиться добросовісно, а отже сприяє змінам. Недоліки - повільність.
Адаптаційний - коли створюють умови для привикання до змін. Застосовують в умовах достатнього запасу часу і високої передбачуваності середовища. Переваги - невисокий опір і легкість проведення змін. Недоліки - повільність змін.
Кризовий - коли зміни проводять у надто мінливому і не передбачуваному середовищі, що загрожують існуванню підприємства. Тобто проводять в умовах загрози виживанню.
Переваги - низький опір, оскільки страх перед банкрутством вищий ніж перед змінами, має місце навіть підтримка змін.
Недоліки - ризик провалу.
Метод управління опором - застосовують тоді, коли часу для проведення змін більше, щоб не застосовувати примушування, але менше, щоб застосовувати адаптаційний метод. Тобто застосовується в умовах помірної терміновості змін, при переривчастих змінах середовища, що постійно повторюються. Переваги - невисокий опір, пристосування до часу, значний ріст досвіду. Недоліки - складність, оскільки має місце поетапний плановий підхід, причому планування і проведення змін відбувається майже одночасно.
Контроль і коректування стратегічного плану
При здійсненні на основі стратегічного плану стратегічних змін, виявляються помилки, допущені на певних етапах його формування або ж, внаслідок різкої, не прогнозованої зміни середовища, окремі достатньо обґрунтовані елементи плану стають малоефективними а то і шкодять стратегічному розвитку.
Отож логічно виникає гостра необхідність постійного контролю і коректування стратегічного плану в процесі його реалізації. При цьому, інколи здійснюють зворотний зв'язок, повертаючись навіть до перегляду місії чи окремих цілей, повертаються на певні етапи формування стратегії і роблять нові додаткові розрахунки та коректування стратегічного плану.
Означене слід мати на увазі, здійснюючи реалізацію стратегії, розробити відповідні форми і розставити відповідно кадри. Цими проблемами займається дисципліна „Стратегічне управління".
Стратегія фінансування. Стратегія фінансування поточних активів
В теорії фінансового менеджменту прийнято виділяти різні стратегії фінансування поточних активів в залежності від відношення фінансового менеджера до вибору джерел покриття варійованої частини оборотних активів.
Відомі чотири моделі стратегіях фінансування поточних активів: ідеальна, агресивна, консервативна, компромісна.
Ідеальна модель побудована виходячи з понять “поточні активи” та “поточні зобов”язання". Термін “ідеальний” означає не в прямому значенні ідеал, а рівність поточних активів з короткостроковими зобов”язаннями. Сутність цієї стратегії полягає в тому, що довгострокові пасиви встановлюються на рівні необоротних активів, тобто ця модель має такий вигляд:
ДП = НА, де ДП - довгострокові пасиви НА - необоротні активи Довгострокові пасиви включають: власні кошти (статутний капітал, додатковий капітал, резервний капітал, нерозподілений прибуток) та запозичені (довгострокові кредити банку, інші довгострокові позички).
Необоротні активи включають: нематеріальні активи, незавершене будівництво, основні засоби, довгострокові фінансові інвестиції, довгострокова дебіторська заборгованість (заборгованість за майно), відстрочені податкові активи, інші необоротні активи.
В реальному житті ця модель практично не зустрічається через те, що вона найбільш ризикована, оскільки при несприятливих умовах (наприклад, коли треба розрахуватися зі всіма кредиторами одночасно) підприємство може опинитися перед необхідністю продажу частини основних засобів для покриття поточної кредиторської заборгованості. Сутність цієї стратегії полягає в тому, що довгострокові пасиви встановлюються на рівні необоротних активів.
Агресивна модель фінансування поточних активів полягає в тому, що довгострокові пасиви є джерелом покриття необоротних активів та постійної частини поточних активів, тобто їх мінімуму, який необхідний для здійснення господарської діяльності. В цьому разі варійована частина поточних активів в повному обсязі покривається короткостроковою кредиторською заборгованістю.
З позиції ліквідності ця стратегія також є ризикованою, оскільки в практичній діяльності обмежуватися лише мінімумом на поточних активів не можливо. Агресивна модель фінансування поточних активів має такий вигляд:
ДП + ПА + ПЧ,
де ДП - довгострокові пасиви;
ПА - необоротні активи;
ПЧ - постійна частина оборотних активів (норматив оборотних коштів).
Консервативна модель передбачає, що варійована частина поточних активів також покривається довгостроковими активами, Як правило, консервативна модель застосовується на початкових стадіях існування підприємства за умови достатньої величини капіталу власників підприємства і доступності довгострокових кредитів інвестиційного фінансування.
В цьому разі короткострокової кредиторської заборгованості немає, відсутній ризик втрати ліквідності, тобто модель має штучний вигляд. В господарській діяльності такого не буває, щоб була відсутня кредиторська заборгованість.
Ця модель має такий вигляд:
ДП = ПА + ПЧ + ВЧ,
де ВЧ - варійована частина поточних активів Компромісна модель фінансування поточних активів найбільш реальна. Сутність її полягає її в тому, що необоротні активи, постійна частина поточних активів і приблизно половина варійованої частини поточних активів покривається довгостроковими пасивами. При цьому чистий оборотний капітал визначається у вигляді різниці між довгостроковими та необоротними активами, тобто:
ЧК = ДП - ПА,
де ЧК - чистий оборотний капітал, Чистий оборотний капітал також можна відобразити таким рівнянням:
ЧК = ПЧ + 0,5ВЧ
При компромісній моделі в окремі періоди господарської діяльності підприємство може мати надмірні поточні активи, що негативно впливає на розмір прибутку. Водночас це дає можливість підтримувати ліквідність балансу підприємства на відповідному рівні.
Компромісна модель фінансування поточних активів має такий вигляд:
ДП= ПА+ПЧ+05+ВЧ,
де ДП-довгострокові пасиви ПА-необоротні активи ПЧ-постійна частина активів ВЧ - варійована частина поточних активів.
Таким чином, можна зробити висновок, що з точки зору оптимізації прибутковості і ризику найбільш оптимальною є стратегія комерційного фінансування. Дана стратегія оптимально поєднує рівень прибутковості і середній рівень ризику, забезпечує достатньо високий рівень фінансової стійкості та платоспроможності підприємства. Проте, виходячи з пріоритетності цілей фінансово-господарської діяльності підприємства на окремих стадіях його розвитку, оптимально може стати інша стратегія фінансування. Взагалі, при виборі стратегії фінансування необхідно знайти бажане співвідношення між рівнем рентабельності і використання власного капіталу і рівнем ризику зниження фінансової стійкості підприємства, яка оцінюється величиною його чистого оборотного капіталу.
Стратегія фінансування інвестиційного проекту
Цей розділ бізнес-плану є найважливішим і узагальнюючим. Він містить прогноз обсягів реалізації продукції, баланс грошових надходжень і витрат, зведений баланс активів і пасивів підприємства, графік досягнення беззбитковості. Цей розділ становить найбільший інтерес для інвесторів та банківських установ, які надають кредити.
Згідно з фінансовим планом розроблюють стратегію фінансування інвестицій і план повернення коштів інвесторам. Найчастіше стратегію фінансування інвестиційного проекту виокремлюють у самостійний розділ.
Фінансовий план будують у вигляді порівняння майбутніх доходів та експлуатаційних витрат з виходом на валовий і чистий прибутки, грошовий потік.
Грошовий потік - це основний показник, що характеризує ефективність здійснення інвестицій. Він охоплює чистий прибуток і суму амортизації, що є джерелом для повернення інвестору вкладеного капіталу.
План доходів і витрат можна побудувати у вигляді табл.25, де на перший рік експлуатації інвестиційного об'єкта показники прогнозуються помісячно, на другий - поквартально, на третій і наступні - у цілому за рік.

Поріг беззбитковості можна визначити за формулою

де В - загальний обсяг випуску (кількість) продукції, при якому досягається беззбитковість виробництва; ПВВ - умовно-постійні витрати на весь випуск; Ц - ціна одиниці продукції; ЗВО - змінні витрати на одиницю продукції.
До умовно-постійних витрат зараховують такі, що не залежать від обсягу виробництва (амортизація основних засобів, орендна плата, витрати на адміністративно-управлінський апарат тощо).
До змінних витрат зараховують такі, що залежать від обсягу виробництва (вартість матеріалів, палива, енергії, технологічні затрати, основна заробітна плата працівників тощо).
Законодавчі акти України, зокрема типові положення з планування, обліку та калькуляції собівартості продукції у промисловості, сільському господарстві, будівництві, торгівлі, не передбачають розподілу витрат під час їх планування та обліку на постійні та змінні. Через відсутність інформації про ці групи витрат виникають певні труднощі у процесі визначення й аналізу порога беззбитковості (особливо під час прогнозування фінансових показників від майбутньої діяльності інвестиційного проекту, коли важко уявити, як формуватимуться ті чи інші витрати у разі зміни обсягів виробництва).
З огляду на викладене науковцям доцільно розробити класифікатор ступеня залежності тих чи інших витрат від зміни обсягів виробництва. Оскільки практично немає суто постійних і суто змінних витрат, доцільно виразити залежність тих чи інших витрат від зміни обсягів виробництва у процентному відношенні. Використовуючи ці нормативи, можна визначити постійні та змінні витрати, розрахувати й графічно зобразити умови досягнення беззбитковості (рис.41).
Стратегія фінансування інвестиційного проекту.
Наступним етапом прогнозування фінансових показників при складанні інвестиційного бізнес-плану є визначення стратегії фінансування інвестиційного проекту. На цьому етапі необхідно виявити загальні потреби у фінансових ресурсах і джерела фінансування інвестиційного проекту.

Джерелами для здійснення інвестицій можуть бути насамперед власні кошти підприємства (залишковий прибуток, фонди економічного стимулювання, амортизаційний фонд тощо), а також такі ресурси:
• позичкові фінансові кошти (банківські та бюджетні кредити, надходження від випуску й продажу облігацій тощо);
• залучені фінансові ресурси (залучений акціонерний капітал, пайові та інші внески громадян і юридичних осіб);
• бюджетні інвестиційні асигнування;
• безоплатні та благодійні внески, пожертвування організацій, підприємств, громадян.
У бізнес-плані слід чітко розмежовувати наявні та необхідні фінансові ресурси, фінансові вклади українських і іноземних інвесторів. Форми здійснення як вітчизняних, так і іноземних інвестиційних внесків можуть бути різними: грошові вклади в національній чи іноземній валюті; майнові вклади у вигляді поставки устаткування, матеріалів, товарів; кредити в банках; передавання права на використання винаходів, патентів, ноу-хау; підготовка експлуатаційних кадрів; забезпечення ринку збуту та умов експортування продукції за кордон тощо.
Графік потоку джерел інвестування слід спрогнозувати на весь період фінансування інвестиційного проекту, причому на перший рік - щомісячне фінансування, на другий - щоквартальне.
Визначення ефективності інвестиційного проекту.
Заключним етапом складання фінансового плану є розрахунок показників ефективності майбутніх інвестицій. Це дуже важлива, відповідальна та складна робота.
Важливість її полягає в тому, що кожний інвестор хоче мати хоча б приблизне уявлення про результати, які будуть отримані в результаті реалізації інвестиційного проекту. Проекти, які не даватимуть відповідного ефекту, є безперспективними і тому ніхто не вкладатиме в них кошти.
Необхідно обґрунтувати показники ефективності інвестицій з високим ступенем достовірності й точності, урахувати всі фактори, які можуть впливати на ефективність проекту, оцінити можливі ризики.
Значна відмінність між прогнозованими і фактичними результатами може призвести до конфліктних ситуацій між учасниками інвестиційного проекту, втрати запланованих доходів, а найгірше - вкладених капіталів.
Складність розрахунку ефективності майбутніх інвестицій зумовлюється тим, що дуже важко правильно оцінити всі сторони інвестиційної діяльності як на етапі здійснення інвестицій, так і під час експлуатації інвестиційного проекту, точно спрогнозувати й досягти високого ступеня достовірності інформації.
Крім того, існує кілька методик визначення ефективності інвестиційної діяльності.
Як відомо, під ефективністю розуміють співвідношення результатів і затрат на їх досягнення. В інвестиційній діяльності економічну ефективність визначають шляхом порівняння результатів, одержаних у процесі експлуатації об’єктів інвестування, і сукупних затрат на здійснення інвестицій.
У вітчизняній економіці дотепер традиційно використовують два показники для оцінювання ефективності капітальних вкладень - коефіцієнт ефективності (Е) та обернений до нього показник - період окупності (П), які розраховують так:

де П - середньорічний прибуток у період експлуатації об’єктів інвестування; К - сума капіталовкладень у ці об’єкти (сума інвестицій).
Застосування цих показників для оцінювання ефективності інвестицій в умовах ринкової економіки дає змогу виявити їх істотні недоліки. Основний недолік розглядуваної методики полягає в тому, що вона не враховує фактор часу. Як відомо, інвестиційний цикл - це довготривалий процес, який охоплює періоди здійснення інвестицій та експлуатаційний, тобто час повернення вкладених капіталів. Інвестиційний лаг може три-вати роками. За цей час в економіці країни можуть відбуватися важливі процеси, що спричинюються економічним спадом, інфляцією або розвитком. Крім того, слід ураховувати, що вкладені кошти могли б дати певний ефект, якби їх використали в іншій сфері діяльності, наприклад як депозитний вклад у банку. Ця методика не передбачає приведення майбутнього ефекту до теперішньої вартості вкладених капіталів.
Другий істотний недолік традиційного способу оцінювання ефективності капітальних вкладень полягає в тому, що за основне джерело повернення вкладеного капіталу беруть тільки прибуток. Проте серед основних джерел фінансування інвестиційної діяльності особливо важливими є амортизація та повне відновлення основних засобів.
Тому, вибираючи методи оцінювання ефективності інвестиційних проектів, слід звертатися до зарубіжної практики.
Найпоширенішим є метод оцінювання ефективності інвестицій за допомогою визначення розмірів грошового потоку, який складається із су-ми чистого прибутку та амортизаційних відрахувань за час експлуатації. При цьому суму грошового потоку й капіталовкладень необхідно при-вести до теперішньої їх вартості.
До показників, які використовують для визначення ефективності інвестицій, належать сума чистого приведеного доходу, індекс дохідності, період окупності та внутрішня норма дохідності.
Чистий приведений дохід - це абсолютна сума ефекту від здійснення інвестицій, що визначається за формулою
чпд = гпт-ік,
де ГПт - сума грошового потоку, приведена до теперішньої вартості, за весь період експлуатації інвестиційного проекту (чистий прибуток плюс амортизаційні відрахування); ІК - сума інвестиційних коштів, спрямованих на реалізацію інвестиційного проекту.
Приведення грошового потоку до його теперішньої вартості здійснюють методом дисконтування, використовуючи складні проценти. Теперішню вартість грошового потоку за наведеною методикою можна роз-рахувати так:

де ГПм - майбутня вартість грошового потоку; і - відсоткова ставка, виражена десятковим дробом; п - кількість періодів (місяців, кварталів, років) з початку інвестиційного циклу.
Грошовий потік охоплює чистий прибуток та амортизацію за весь пе-ріод експлуатації. Якщо цей період визначити важко, то для розрахунків беруть період 5 років.
Дисконтна ставка - це відсоткова ставка, застосування якої у процесі дисконтування дасть змогу привести майбутню вартість грошового пото-ку до теперішньої. Це дуже важливий і складний показник. Визначають його з урахуванням таких факторів:
• середньої реальної депозитної або кредитної ставки за грошовими вкладами у банки;
• темпу інфляції, що передбачається на період.
Реальну ставку відсотка з урахуванням цього фактора визначають так:
гр = г-Т,
де і - номінальна ставка відсотка; Т - темп інфляції.
Що вищий темп інфляції, то вищою має бути ставка відсотка, яка могла б компенсувати інвестору втрачений дохід у вигляді:
• “премії від інфляції”;
• премії за ризик. Загальна відсоткова ставка має враховувати ступінь ризику інвестицій і компенсувати можливі втрати від нього у вигляді “премії за ризик". За більш ризикових об’єктів інвестування слід відповідно збільшувати ставку відсотка;
• премії за низьку ліквідність (встановлюючи ставку відсотка, необхідно враховувати й компенсувати у вигляді додаткового доходу можливі втрати інвестора від зниження ліквідності інвестицій).
Чистий приведений дохід не може бути від’ємним, бо в цьому разі зроблені інвестиції не принесуть доходу і будуть збитковими.
Індекс дохідності - це відносний показник, що характеризує ефективність інвестицій.
Він визначається відношенням суми грошового по-току, приведеної до теперішньої вартості, до суми інвестиційних коштів:

Індекс дохідності не може бути менший за одиницю (такий проект є неефективним, і його слід відхилити).
Чистий приведений дохід та індекс дохідності перебувають у прямій залежності. Зі збільшенням абсолютної суми чистого приведеного доходу підвищується й індекс дохідності, тому на практиці можна розрахувати лише один із зазначених показників. Проте порівнюючи кілька інвестиційних проектів, доцільно розраховувати обидва показники з метою глибшого вивчення наявних проектів і вибору найкращого.
Період окупності - найпоширеніший з показників оцінювання ефективності інвестицій. Він допомагає відповісти на питання, за який період вкладені кошти повернуться до інвестора. Період окупності розраховують за формулою

де ГПс - середня сума грошового потоку в теперішній вартості в конкретному періоді (у разі короткострокових інвестицій цей період може тривати один місяць, а в разі довгострокових - один рік).
На практиці використовують також дещо модифіковані способи визначення періоду окупності:


де ГП. - обсяг грошового потоку ву'-му періоді; ГПй - обсяг грошового потоку в і-му періоді, коли його наростаюча сума досягне розмірів вкладених інвестицій; і - дисконтна ставка для приведення грошового потоку до теперішньої вартості; п - порядковий номер періоду (року, кварталу, місяця), в якому сума дисконтованого грошового потоку, включаючи грошові потоки за всі попередні роки, уперше перевищить розмір інвестицій.
За допомогою зазначених методів можна розраховувати період окупності згідно із сумами грошового потоку кожного періоду (у першому випадку без дисконтування майбутньої вартості, у другому - з урахуванням дисконтних ставок і приведенням грошового потоку до теперішньої вартості).
Визначення внутрішньої норми дохідності інвестиційного проекту.
Показник внутрішньої норми дохідності у розрахунках характеризує рівень дохідності конкретного інвестиційного проекту (у відсотках) у формі дисконтної ставки в розмірах, за яких майбутній обсяг грошового потоку приводиться до теперішньої вартості вкладених інвестицій. Іншими словами, внутрішню норму дохідності можна охарактеризувати як дисконтну ставку, за якої чистий приведений дохід у процесі дисконтування дорівнюватиме нулю. Внутрішню норму дохідності як показник використовують здебільшого для порівняльного оцінювання ефективності інвестицій. Порівнюючи два і більше проекти, можна вибрати варіант, який забезпечує найвищий рівень дохідності. Розглянемо на прикладі методику розрахунку ефективності інвестицій, використовуючи умовні дані. Вихідні дані для розрахунку інвестиційних проектів А і Б наведено в табл.26.


На основі виконаних розрахунків доходимо таких висновків:
1. Загальна сума грошового потоку за проектом Б набагато перевищує цей показник за проектом А. Однак необхідно зважити на те, що за другим проектом термін повернення капіталу у вигляді грошового потоку більший на один рік, ніж за першим.
2. Унаслідок проведення дисконтування визначено теперішню вартість грошового потоку, яка є набагато нижчою від майбутньої: за проектом А теперішня вартість становить 78,3%, а за проектом Б - лише 69,5%. Більш різке зниження реального грошового потоку за другим проектом порівняно з першим спричинене відмінністю дисконтних множників (15% проти 12%), що може призвести до збільшення відсоткової кредитної ставки, підвищення ризику та зменшення ліквідності. Крім того, слід зважити й на те, що за проектом Б на один рік збільшено період дисконтування, а з віддаленням строку повернення вкладених коштів їх реальна ціна зменшується. Наприклад, за перший рік за проектом Б реальна вартість потоку зменшилася на 13,1% порівняно з майбутньою (100 - 3043/3500-100), а за четвертий рік це зниження становило аж 42,2% (100-3145/5550-100).
3. Чистий приведений дохід для проекту А становить 1539 тис. грн, а для проекту Б - 1207 тис. грн. Проте абсолютні значення цього показника не розкривають повної картини через різні терміни експлуатації об'єктів.
4. За індексом дохідності перший варіант превалює над другим.
5. Аналізуючи період окупності затрат за кожним варіантом, доходимо висновку, що інвестиційний проект А окупиться на рік швидше, ніж проект Б.
6. Визначення внутрішньої норми дохідності дало змогу розрахувати мінімальний коефіцієнт прибутковості (або поріг беззбитковості), тобто норму дисконту, за якої чистий приведений дохід дорівнюватиме нулю. Порівнюючи цю норму з дисконтними ставками за кожним проектом, можна встановити рівень прибутковості кожного варіанта. Що нижчою буде реальна відсоткова ставка від розрахункової, то прибутковішими будуть інвестиції. У першому варіанті розрахункова норма становить 19,2%, тоді реальна дисконтна ставка дорівнюватиме 12%, тобто нижча на 7,2%. У другому варіанті ця різниця набагато менша й становить 2,5%, отже, цей варіант ближчий до межі, за якою реалізація інвестиційного проекту може бути збитковою і неефективною.
Підбиваючи підсумок проведеного аналізу, констатуємо, що інвестиційний проект А вигідніший, ефективніший як за розміром чистого приведеного доходу й індексу дохідності, так і за періодом окупності. Цей варіант має більший запас щодо норми дохідності.
В економічній теорії зустрічаються й інші поняття та показники для оцінювання ефективності інвестицій, наприклад чиста поточна вартість, внутрішня рентабельність, які виражають такі самі показники чистого приведеного доходу та внутрішньої норми дохідності. Під час оцінювання ефективності доцільно враховувати і супутні, і народногосподарські інтереси.
Практично досить важко розрахувати розглянуті показники з високим ступенем достовірності, тим більше спрогнозувати їх на близьку й далеку перспективу. Тому у процесі складання інвестиційних бізнес-планів достатньо розраховувати показники, що застосовуються в зарубіжній практиці: чистий приведений дохід, індекс дохідності, період окупності, внутрішню норму дохідності.
Фінансова стратегія підприємства
Названа стратегія теж надзвичайно важлива серед інших функціональних стратегій, оскільки без її позитивної реалізації неможливі будь-які інші стратегії господарства: корпоративна, конкурентні, функціональні.
Фінансова функціональна стратегія означає прогнозування і коригування фінансових потоків відповідно до нових стратегій підприємства: корпоративної, конкурентних і функціональних; розподіл і постійний контроль за використанням фінансових ресурсів СОБ і функціональними службами; оцінювання інвестиційних проектів.
Принципи розробки фінансової стратегії
Розробка фінансової стратегії повинна базуватися на таких принципах:
а) балансування матеріальних і фінансових потоків;
б) найефективніший розподіл фінансових ресурсів для результативного фінансування корпоративної, конкурентних і функціональних стратегій підприємства;
в) прогнозування альтернативних можливостей розвитку підприємства і його складових з точки зору фінансових харак теристик його діяльності в різних умовах середовища;
г) фінансовий аналіз та контроль.
Завдання фінансової стратегії
Найважливіші завдання фінансової стратегії такі:
а) балансування, встановлення розумних співвідношень між коротко - та довгостроковими ефектами використання фінансових ресурсів;
б) зростання вартості власного внутрішнього капіталу;
в) забезпечення високих темпів зростання доходів;
г) оптимізація співвідношень власного і позичкового капіталу;
д) вдосконалення структури капіталу підприємства;
е) бюджетування;
є) проведення оптимальної дивідендної політики і інші.
Деякі найголовніші напрямки фінансової стратегії
Розглянемо деякі найголовніші напрямки і завдання фінансової стратегії детальніше.
1. Фінансова стратегія розробляється переважно у формі бюджету (фінансового плану). Отже бюджет - найважливіша складова фінансової стратегії, найважливіший напрямок її розробки.
Фінансовий план або бюджет - це фінансовий документ в якому визначено витрати майбутніх періодів і джерела їх покриття.
Бюджет підприємства включає:
План доходів і видатків. Йдеться про очікувані доходи (прибутки) та їх розподіл;
План грошових надходжень і виплат (план руху готівки);
Плановий баланс (групування коштів за їх складом і розміщенням та джерелами надходження).
Розрізняють наступні типи бюджетів підприємства:
Матеріальний бюджет - визначає кількість сировини і матеріалів по видах для реалізації стратегії;
Бюджет закупок - конкретизує витрати на закупівлю сировини і матеріалів для реалізації стратегії;
Бюджет праці - розраховує потребу у трудових ресурсах для реалізації стратегії.
Бюджет адміністративних витрат - розраховує витрати на управління.
Бюджетування в умовах ринку зустрічається з певними труднощами. По-перше, прогнозовані показники грошових надходжень, що залежать від коливання обсягів продаж, можуть не співпадати з фактичними потребами у фінансах на той чи інший період. По-друге, якщо планувати бюджет по діючих нормативах, то він може неадекватно вплинути на ресурсозабезпечення обраної стратегії, якщо середовище суттєво зміниться.
В зв'язку з цим, в умовах нестабільного середовища, з метою уникнення названих і деяких інших труднощів бюджетування, здійснюють певні нейтралізаційні заходи. Серед них: а) застосовують методики гнучкого бюджетування, які передбачають розробку бюджетів з врахуванням багатоваріантності умов їх реалізації; б) розробляють кілька альтернативних бюджетів для різних сценаріїв розвитку середовища; в) зокрема, використовують метод нульового бюджетування - підхід, який зовсім не враховує минулих і поточних бюджетних пропорцій для розподілу ресурсів під реалізацію нової стратегії підприємства.
2. Ще одним напрямом, завданням фінансової стратегії є розробка ефективної структури капіталу підприємства.
Ефективна структура капіталу означає розробку оптимальних співвідношень між основним і оборотним, власним і залученим капіталом, формування оптимальної структури майна підприємства Серед названого особливого значення слід надавати формуванню оптимального співвідношення між власним і залученим капіталом. Фінансовий ліверидж - використання боргів для фінансування інвестицій - нерідко вигідний підприємству. Але надмірні борги підвищують ризик, насторожують інвесторів, що може привести до підвищення вартості капіталу (позичок на капвкладення). Тобто доводиться в такому разі платити вищий дохід на акції, щоб спонукати їх покупку і отримати в такий спосіб фінансування на капвкладення. Беручи в борг (кредит) слід пам'ятати, що підприємству це вигідно доти, доки віддача від позичених коштів перевищує процент, який слід заплатити за користування ними.
3. Проведення дивідендної політики - теж важлива складова, важливий напрямок і завдання фінансової стратегії підприємства.
Дивідендна політика означає вибір оптимального співвідношення між розмірами частки доходу, що направляється на дивіденди (споживання) і часткою доходів, що направляється на інвестування (на нагромадження капіталу).
Існує декілька теорій дивідендної політики:
Дивіденди виплачуються лише після того, коли здійснено всі обов'язкові платежі і задоволено потребу у фінансуванні капвкладень (інвестуванні);
Дивіденди на акції не впливають на ціну цих акцій;
Дивіденди - впливають на ціну акцій і є важливим показником вартості підприємства.
На практиці ж спостерігаємо наступне:
Підприємства, які швидко розвиваються, часто не виплачують дивідендів (або ж виплачують у мінімальних розмірах), а весь дохід, за вирахуванням обов'язкових платежів, скеровують на розвиток виробництва, тобто на інвестування.
Підприємства, які повільно розвиваються, навпаки, вартість акцій підтримують сплатою високих дивідендів, а тому власних коштів на інвестування і швидкий розвиток їм не вистачає.
При розробці фінансової стратегії названі виклади теорії і практики обов'язково враховуються, особливо для вироблення дивідендної політики, управління дивідендами. При цьому розраховують коефіцієнт виплати дивідендів, який є часткою від ділення дивідендів з розрахунку на акцію на дохід з розрахунку на ту ж акцію. Так от підприємства, які прийняли стратегію зростання, планують названий коефіцієнт невисоким, нерідко розраховуються не дивідендами, а новими акціями, кошти від яких направляють на чисті інвестиції, на прискорений розвиток виробництва. І, навпаки, реалізуючи стратегію стабілізації, можна вже більшу кількість доходу направити на дивіденди і коефіцієнт планувати вищим.
[1]
Корпоративне управління підприємством: Метод. вказівки до вивчення дисципліни та виконання практичних робіт для студентів спец. 8.050.206 , 8.050.201 “Менеджмент організацій” денної та заочної форм навчання / Укл.: Березянко Т.В. – К: НУХТ, 2006 – с. 12.
[2]
Корпоративне управління підприємством: Метод. вказівки до вивчення дисципліни та виконання практичних робіт для студентів спец. 8.050.206 , 8.050.201 “Менеджмент організацій” денної та заочної форм навчання / Укл.: Березянко Т.В. – К: НУХТ, 2006 – с. 13.
[3]
Корпоративне управління підприємством: Метод. вказівки до вивчення дисципліни та виконання практичних робіт для студентів спец. 8.050.206 , 8.050.201 “Менеджмент організацій” денної та заочної форм навчання / Укл.: Березянко Т.В. – К: НУХТ, 2006 – с. 15.
[4]
Корпоративне управління підприємством: Метод. вказівки до вивчення дисципліни та виконання практичних робіт для студентів спец. 8.050.206 , 8.050.201 “Менеджмент організацій” денної та заочної форм навчання / Укл.: Березянко Т.В. – К: НУХТ, 2006 – с. 12.
[5]
Корпоративне управління підприємством: Метод. вказівки до вивчення дисципліни та виконання практичних робіт для студентів спец. 8.050.206 , 8.050.201 “Менеджмент організацій” денної та заочної форм навчання / Укл.: Березянко Т.В. – К: НУХТ, 2006 – с. 13.
[6]
Корпоративне управління підприємством: Метод. вказівки до вивчення дисципліни та виконання практичних робіт для студентів спец. 8.050.206 , 8.050.201 “Менеджмент організацій” денної та заочної форм навчання / Укл.: Березянко Т.В. – К: НУХТ, 2006 – с. 15.
[7]
Корпоративне управління підприємством: Метод. вказівки до вивчення дисципліни та виконання практичних робіт для студентів спец. 8.050.206 , 8.050.201 “Менеджмент організацій” денної та заочної форм навчання / Укл.: Березянко Т.В. – К: НУХТ, 2006 – с. 12.
[8]
Корпоративне управління підприємством: Метод. вказівки до вивчення дисципліни та виконання практичних робіт для студентів спец. 8.050.206 , 8.050.201 “Менеджмент організацій” денної та заочної форм навчання / Укл.: Березянко Т.В. – К: НУХТ, 2006 – с. 13.
[9]
Корпоративне управління підприємством: Метод. вказівки до вивчення дисципліни та виконання практичних робіт для студентів спец. 8.050.206 , 8.050.201 “Менеджмент організацій” денної та заочної форм навчання / Укл.: Березянко Т.В. – К: НУХТ, 2006 – с. 15.
[10]
buklib.net/component/option,com_jbook/task,view/Itemid,36/catid,95/id,1257 · 32 КБ
[11]
inpos.com.ua/511 · 39 КБ
[12]
inpos.com.ua/511
[13]
Там же
[14]
Там же
[15]
Там же
[16]
inpos.com.ua/511
[17]
Там же
[18]
www.vuzlib.net/strat_upr/25.htm
|