|
В настоящее время возникновение кризисных ситуаций, приводящих к банкротству предприятий, обусловлено неправильным управлением и внешними факторами, характеризующими экономическую обстановку, в которой функционирует фирма и от которой она не может не зависеть.
Кризисная ситуация характеризуется повышенным риском банкротства, слабой конкурентной позицией, финансовой неустойчивостью. Для эффективного управления предприятием необходимо провести анализ и диагностику финансового состояния предприятия, которое является своеобразной системой, предупреждающей руководство об опасных ситуациях для бизнеса. Возможное наступление банкротства является кризисным состоянием предприятия. Это значит, что оно не способно осуществлять финансовое обеспечение своей производственной деятельности.
Традиционные методы управления не увязывают организационные цели сменяющейся ситуации, цели остаются прежними. Но если в нормальной ситуации целями любой фирмы являются прибыльность, захват новых рынков и рост, то в кризисной ситуации главная цель – выживание. Чтобы избежать банкротства, предприятие должно мобилизировать свои ресурсы на решения задач выхода из кризиса, а это уже цель не просто управления, а способа управления, адаптированного к стратегическим неожиданностям, антикризисного управления. Методом в нём является диагностика кризисного состояния предприятия. В кризисной ситуации помимо контрольной функции диагностика состояния является своеобразной системой, предупреждающей руководство об опасных ситуациях для бизнеса.
Задача определения степени риска банкротства является актуальной как для собственников предприятия, так и для кредиторов. Поэтому вызывают интерес любые научно обоснованные методики диагностики риска банкротства, которые являются эффективными финансовыми инструментами в управлении предприятием.
Задача анализа финансового состояния предприятия не исчерпывается лишь установлением неплатежеспособности
предприятия по использовавшейся ранее методике анализа финансовой структуры баланса предприятия по трём критериям: по коэффициенту текущей ликвидности, коэффициенту обеспеченности собственными средствами и коэффициенту восстановления
. Но в последнее время стало ясно, что с помощью этой методики не исчерпывается задача анализа финансового положения фирмы. Для того, чтобы выработать правильные решения по выходу предприятия из кризисного состояния, необходимо проведение углублённой финансовой диагностики. При этом должны учитываться отраслевые и региональные особенности.
Забиваем Сайты В ТОП КУВАЛДОЙ - Уникальные возможности от SeoHammer
Каждая ссылка анализируется по трем пакетам оценки: SEO, Трафик и SMM.
SeoHammer делает продвижение сайта прозрачным и простым занятием.
Ссылки, вечные ссылки, статьи, упоминания, пресс-релизы - используйте по максимуму потенциал SeoHammer для продвижения вашего сайта.
Что умеет делать SeoHammer
— Продвижение в один клик, интеллектуальный подбор запросов, покупка самых лучших ссылок с высокой степенью качества у лучших бирж ссылок.
— Регулярная проверка качества ссылок по более чем 100 показателям и ежедневный пересчет показателей качества проекта.
— Все известные форматы ссылок: арендные ссылки, вечные ссылки, публикации (упоминания, мнения, отзывы, статьи, пресс-релизы).
— SeoHammer покажет, где рост или падение, а также запросы, на которые нужно обратить внимание.
SeoHammer еще предоставляет технологию Буст, она ускоряет продвижение в десятки раз,
а первые результаты появляются уже в течение первых 7 дней.
Зарегистрироваться и Начать продвижение
В нашей контрольной работе мы рассмотрим все эти основные показатели неплатежеспособности предприятия в теории, а также рассчитаем на примере организации ООО «Автоимпорт-Логистика».
Актуальность и практическая значимость темы настоящей контрольной работы обусловлена рядом причин.
Во-первых, в настоящее время, в российской экономике ключевой проблемой является кризис неплатежей, и добрую половину российских предприятий следовало уже давно объявить банкротами, а полученные средства перераспределить в пользу эффективных производств, что несомненно бы способствовало оздоровлению российского рынка.
Во-вторых, в условиях массовой неплатежеспособности российских хозяйствующих субъектов особое значение приобретают меры по предотвращению кризисных ситуаций, а также мероприятия, направленные на восстановление платежеспособности предприятия и стабилизацию его финансового состояния.
При написании работы было использовано множество различной литературы, включая гражданское законодательство, а также методические материалы по анализу и статьи практикующих юристов и экономистов, рассматривающих проблемы неплатежеспособности и антикризисного менеджмента. А также бухгалтерский баланс и отчет о прибылях и убытках компании ООО «Автоимпорт-Логистика».
1. Теоретические аспекты анализа неплатежеспособности предприятия
1.1
Основания для признания предприятия неплатежеспособным
Всякое предприятие, осуществляющее коммерческую деятельность, вступает в отношения с налоговыми органами, банками, другими предприятиями (поставщиками и потребителями) и т.д. В процессе этих отношений у предприятия возникают обязательства, которые могут привести к тому, что предприятие станет должником и будет обязано в некоторый срок совершить в пользу другого лица определенные действия, а именно: произвести платеж, поставить товар, исполнить услугу и т.д.
Кредитор имеет право требовать от должника исполнения обязательств, а также возмещения убытков, причиненных неисполнением или ненадлежащим исполнением обязательств.
Обязательства предприятия, возникающие в ходе его финансово-хозяйственной деятельности, имеют определенные сроки исполнения.
Нарушение сроков исполнения обязательств ведет к возникновению у контрагентов рисков. Чем больше рисков создает предприятие контрагентам, чем чаще и длительнее оно задерживает исполнение обязательств, тем ненадежнее оно выглядит в глазах партнеров, контрагентов, собственных работников и т.д.
Сервис онлайн-записи на собственном Telegram-боте
Попробуйте сервис онлайн-записи VisitTime на основе вашего собственного Telegram-бота:
— Разгрузит мастера, специалиста или компанию;
— Позволит гибко управлять расписанием и загрузкой;
— Разошлет оповещения о новых услугах или акциях;
— Позволит принять оплату на карту/кошелек/счет;
— Позволит записываться на групповые и персональные посещения;
— Поможет получить от клиента отзывы о визите к вам;
— Включает в себя сервис чаевых.
Для новых пользователей первый месяц бесплатно.
Зарегистрироваться в сервисе
Такое предприятие обретает репутацию ненадежного партнера, недобросовестного плательщика, налогоплательщика, работодателя и т.д.
Ненадежное исполнение обязательств свидетельствует о:
• необязательности как о стиле взаимодействия с партнерами, если предприятие располагает ресурсами, достаточными для выполнения имеющихся обязательств;
• дефиците или кризисе возможностей для исполнения обязательств.
Необязательность как стиль взаимодействия влечет за собой, как правило, отказ партнеров от взаимодействия, штрафы и иные санкции, предусмотренные законодательством и договорами, но в конечном счете партнеры или кредиторы сохраняют шанс на погашение обязательств без особого ущерба.
Когда предприятие испытывает дефицит или кризис возможностей для исполнения имеющихся обязательств, возникает вопрос, способно ли оно в полной мере, т.е. без ущерба, удовлетворить кредиторов.
И здесь не принципиально, способно ли оно удовлетворить одних кредиторов в ущерб другим. Важно, способно ли предприятие удовлетворить без ущерба всех кредиторов в надлежащие сроки, платежеспособно ли оно?
Предприятие, которое из режима своевременного исполнения обязательств переходит в кризисную зону ненадежного исполнения, исполнения со сбоями и срывами, вплоть до безнадежного состояния, становится как партнер неплатежеспособный, или несостоятельным, наносящим ущерб своим кредиторам.
Очевидно, что неплатежеспособность есть некая переменная характеристика, которая может иметь разные градации – от эпизодической до устойчивой и хронической неплатежеспособности.
Устойчивая и хроническая неплатежеспособность
предприятия с финансовой точки зрения означает, что такое предприятие:
• поглощает (с задержкой или безнадежно) ресурсы или средства кредиторов: их товары, деньги и услуги. Это средства банков, других предприятий, собственных работников, акционеров и т.д.;
• формирует недоимки по налогам и иным обязательным платежам, что блокирует из-за дефицита средств в полной мере исполнение бюджета, выплату пенсий и т.д.
Иными словами, неплатежеспособное предприятие является носителем финансового ущерба кредиторам, оказывает на них депрессирующее влияние путем изъятия их ресурсов.
Как правило, несущие ущерб кредиторы пытаются теми или иными методами, в том числе судебными, истребовать исполнение отдельных обязательств, действуя разрозненно и независимо друг от друга.
Обычно успехи одних кредиторов становятся известны другим, которые также выставляют свои требования. Рано или поздно кредиторы вынуждены прийти к согласованным совместным действиям.
В конечном счете неплатежеспособное предприятие ставит своих кредиторов (и государство в том числе) перед выбором:
• или дать предприятию некий контролируемый шанс на преодоление внутреннего финансового кризиса, на финансовое оздоровление, что может быть реализовано в рамках некоторого ограниченного во времени (временного) соглашения;
• или выставить требования о ликвидации данного предприятия и продажи его имущества, чтобы за счет этого удовлетворить полностью или хотя бы частично требования кредиторов.
Однако здесь выбор стоит не только перед кредиторами. Сам должник, оценивая собственное кризисное состояние и свою неспособность к расчету по обязательствам, может поставить вопрос о диалоге с кредиторами или о собственной ликвидации как предприятия.
Цивилизованная процедура ликвидации должника, продажи его имущества и расчета с кредиторами называется банкротством предприятия.
Рассматривая дело о банкротстве, суд может и не объявлять предприятие банкротом, а пойти по пути попыток финансового оздоровления предприятия.
В настоящее время большинство предприятий России находятся в затруднительном финансовом состоянии. Взаимные неплатежи между хозяйствующими субъектами, высокие налоговые и банковские процентные ставки приводят к тому, что предприятия оказываются неплатежеспособными. Внешним признаком несостоятельности
предприятия является приостановление его текущих платежей и неспособность удовлетворить требования кредиторов в течении трех месяцев со дня наступления сроков их исполнения.
В связи с этим особую актуальность приобретает вопрос оценки структуры баланса, так как решения о несостоятельности предприятия принимаются по признании неудовлетворительности структуры баланса.
Общими причинами
неплатежеспособности организации являются факторы, влияющие на снижение или недостаточный рост выручки и опережающий рост обязательств.
Замедление темпов роста выручки либо ее абсолютное снижение наблюдается при:
- затоваривании, когда рынок снижает спрос на продукцию из-за ее неудовлетворительного качества, высокой цены или снижения на нее потребности;
- влиянии конкуренции;
- растущем невозврате платежей за отгруженную продукцию, когда организация работает с ненадлежащим покупателем или не свободна в выборе надлежащего;
- сужении рынка за счет ограничения на него доступа путем ввода запретов, квот, таможенных барьеров и т.д.
Иными словами, причины здесь простые: или не берут продукцию (услуги), или берут, но не платят, или не пускают на рынок.
Опережающий темп прироста обязательств наблюдается в случаях, когда организация:
- осуществляет неэффективные долгосрочные финансовые вложения (капиталовложения), которые не сопровождаются соответствующим ростом выручки;
- загружает производство избыточными (неработающими) запасами, которые не увеличивают объемов производства и выручки;
- наращивает средства в расчетах, которые практически не имеют отношения к выручке;
- несет убытки;
- тратит выручку на второстепенные цели, на развлечения (больше, чем можно).
Данный комплекс общих причин неплатежеспособности характерен для всех организаций, испытывающих трудности своевременного расчета по своим обязательствам, независимо от страны производства и рынка.
Основная цель проведения предварительного анализа финансового
состояния предприятия – обоснование решения о признании структуры баланса неудовлетворительной, а предприятия – неплатежеспособным в соответствии с системой критериев, утвержденных законодательством.
Основными источниками анализа являются форма №1 «Баланс предприятия», форма №2 «Отчет о прибылях и убытках».
Анализ и оценка структуры баланса предприятия проводится на основе показателей: коэффициента текущей ликвидности; коэффициента обеспеченности собственными средствами.
Основанием для признания структуры баланса неудовлетворительной, а предприятия – неплатежеспособным является одно из следующих условий:
· коэффициент текущей ликвидности на конец отчетного периода имеет значение менее 2;
· коэффициент обеспеченности собственными средствами на конец отчетного периода имеет значение менее 0,1.
Коэффициент текущей ликвидности характеризует общую обеспеченность предприятия оборотными средствами для ведения хозяйственной деятельности и своевременного погашения срочных обязательств предприятия.
Коэффициент обеспеченности собственными средствами характеризует наличие собственных оборотных средств у предприятия, необходимых для его финансовой устойчивости.
В итоге, предприятие, осуществляющее коммерческую деятельность, вступает в отношения с налоговыми органами, банками, другими предприятиями. В процессе этих отношений у предприятия возникают обязательства, которые могут привести к тому, что предприятие станет должником. Нарушение сроков исполнения обязательств ведет к возникновению у контрагентов рисков. Такое предприятие обретает репутацию ненадежного партнера, недобросовестного плательщика, налогоплательщика, работодателя и т.д. При условии, если такое предприятие испытывает дефицит или кризис возможностей для исполнения имеющихся обязательств, то такое предприятие может быть признано неплатежеспособным.
В настоящее время большинство предприятий России находятся в затруднительном финансовом состоянии. Взаимные неплатежи между хозяйствующими субъектами, высокие налоговые и банковские процентные ставки приводят к тому, что предприятия оказываются неплатежеспособными. В связи с этим особую актуальность приобретает вопрос оценки структуры баланса, так как решения о несостоятельности предприятия принимаются по признании неудовлетворительности структуры баланса.
Основными источниками анализа являются форма №1 «Баланс предприятия», форма №2 «Отчет о прибылях и убытках».
Анализ и оценка структуры баланса предприятия проводится на основе показателей:
1. Коэффициент абсолютной ликвидности
.
Коэффициент абсолютной ликвидности показывает, какая часть краткосрочных обязательств
может быть погашена немедленно, и рассчитывается как отношение наиболее ликвидных оборотных активов
к текущим обязательствам должника
.
2. Коэффициент текущей ликвидности
.
Коэффициент текущей ликвидности характеризует обеспеченность организации оборотными средствами для ведения хозяйственной деятельности и своевременного погашения обязательств и определяется как отношение ликвидных активов
к текущим обязательствам должника
.
3. Показатель обеспеченности обязательств должника его активами
.
Показатель обеспеченности обязательств должника
его активами
характеризует величину активов должника, приходящихся на единицу долга, и определяется как отношение суммы ликвидных
и скорректированных внеоборотных активов
к обязательствам должника.
4. Степень платежеспособности по текущим обязательствам
.
Степень платежеспособности по текущим обязательствам
определяет текущую платежеспособность
организации, объемы ее краткосрочных заемных средств и период возможного погашения организацией текущей задолженности перед кредиторами за счет выручки. Степень платежеспособности
определяется как отношение текущих обязательств должника к величине среднемесячной выручки.
1.2 Методика расчета показателей платежеспособности
Платежеспособность – это возможность предприятия расплачиваться по своим обязательствам. При хорошем финансовом состоянии предприятие устойчиво платежеспособно; при плохом – периодически или постоянно неплатежеспособно. Самый лучший вариант, когда у предприятия всегда имеются свободные денежные средства, достаточные для погашения имеющихся обязательств. Но предприятие является платежеспособным и в том случае, когда свободных денежных средств у него недостаточно или они вовсе отсутствуют, но предприятие способно быстро реализовать свои активы и расплатиться с кредиторами.
Платежеспособность предприятия выступает в качестве внешнего проявления финансовой устойчивости, сущностью которой является обеспеченность оборотных активов долгосрочными источниками формирования. Большая или меньшая текущая платежеспособность (или неплатежеспособность) обусловлена большей или меньшей степенью обеспеченности (или необеспеченности) оборотных активов долгосрочными источниками.
Прогнозируемые платежные возможности организации при условии погашения краткосрочной дебиторской задолженности и реализации имеющихся запасов (с учетом компенсации осуществленных затрат) отражает коэффициент покрытия (коэффициент ликвидности):
.
Данный коэффициент показывает, в какой степени предприятия способно погасить свои текущие обязательства за счет оборотных средств. Нижним пределом коэффициента покрытия можно считать 1.0.
Мгновенную платежеспособность предприятия характеризует коэффициент абсолютной ликвидности,
показывающий, какую часть краткосрочной задолженности может покрыть организация за счет имеющихся денежных средств и краткосрочных финансовых вложений, быстро реализуемых в случае надобности. Краткосрочные обязательства включают: краткосрочные кредиты банков и прочие краткосрочные займы, краткосрочную кредиторскую задолженность, включая задолженность по дивидендам, резервы предстоящих расходов и платежей, прочие краткосрочные пассивы. Показатель рассчитывается по формуле:

Нормальное ограничение , распространенное в экономической литературе, означает, что каждый день подлежат погашению 20% краткосрочных обязательств предприятия или, другими словами, в случае поддержания остатка денежных средств на уровне отчетной даты (преимущественно за счет обеспечения равномерного поступления платежей от контрагентов) краткосрочная задолженность, имеющая место на отчетную дату, может быть погашена за 5 дней (1: 0,2).
Общая платежеспособность предприятия определяется как способность покрыть все обязательства предприятия (краткосрочные и долгосрочные) всеми ее активами. Коэффициент общей платежеспособности
рассчитывается по формуле:

Естественным является следующее ограничение для коэффициента: 
Основным фактором, обусловливающим общую платежеспособность, является наличие у предприятия реального собственного капитала.
Сами по себе эти коэффициенты не несут серьезной смысловой нагрузки, однако, взятые за ряд временных интервалов, они достаточно полно характеризуют работу предприятия.
Платежеспособность предприятия с учетом предстоящих поступлений от дебиторов характеризует коэффициент текущей ликвидности
. Он показывает, какую часть текущей задолженности организация может покрыть в ближайшей перспективе при условии полного погашения дебиторской задолженности:

Нормальное ограничение означает, что денежные средства и предстоящие поступления от текущей деятельности должны покрывать текущие долги. Для повышения уровня текущей ликвидности необходимо способствовать росту обеспеченности запасов собственными оборотными средствами, для чего следует увеличивать собственные оборотные средства и обоснованно снижать уровень запасов.
Коэффициент обеспеченности собственными
средствами характеризует наличие собственных оборотных средств у предприятия, необходимых для его финансовой устойчивости:

Он определяется как отношение разности между объемами источников собственных средств (реальный собственный капитал) и фактической стоимостью основных средств и прочих внеоборотных активов (итог I раздела актива баланса) к фактической стоимости находящихся в наличии у предприятия оборотных средств в виде производственных запасов, незавершенного производства, готовой продукции, денежных средств, дебиторских задолженностей и прочих оборотных активов (итог II раздела актива баланса).
В зависимости от полученных конкретных значений Кт.л.
и Коб.
анализ и оценка структуры баланса развиваются по двум направлениям:
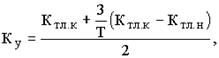
а) в случае, если хотя бы один из этих коэффициентов меньше предельно допустимого значения, следует определить коэффициент восстановления платежеспособности за 6 месяцев
определяется по формуле:

где Ктл.к – фактическое значение (на конец отчетного периода) коэффициента текущей ликвидности,
Ктл.н – значение коэффициента текущей ликвидности на начало отчетного периода,
Т – отчетный период в месяцах (12 месяцев)
2 – нормативное значение коэффициента текущей ликвидности,
6 – нормативный период восстановления платежеспособности в месяцах.
Коэффициента восстановления платежеспособности, принимающий значения больше 1, рассчитанный на нормативный период, равный 6 месяцам, свидетельствует о наличии реальной возможности у предприятия восстановить свою платежеспособность. Если этот коэффициент меньше 1, то предприятие в ближайшее время не имеет реальной возможности восстановить платежеспособность.
б) Если Кт.л
. и Коб
. больше соответствующих предельных значений или равны им, следует рассчитать коэффициент утраты платежеспособности за 3 месяца
:

где Ктл.к – фактическое значение (на конец отчетного периода) коэффициента текущей ликвидности,
Ктл.н – значение коэффициента текущей ликвидности на начало отчетного периода,
Т – отчетный период, мес.,
2 – нормативное значение коэффициента текущей ликвидности,
3 – нормативный период восстановления платежеспособности в месяцах.
Коэффициент утраты платежеспособности, принимающий значение больше 1, рассчитанный за период, равный 3 месяцам, свидетельствует о наличии реальной возможности у предприятия не утратить платежеспособность. Если этот коэффициент меньше 1, то предприятие в ближайшее время может утратить платежеспособность.
В итоге, платежеспособность предприятия выступает в качестве внешнего проявления финансовой устойчивости, сущностью которой является обеспеченность оборотных активов долгосрочными источниками формирования. Методика расчета показателей платежеспособности содержит формулы этих показателей и их нормативные значения, а также пояснения каждого показателя.
Прогнозируемые платежные возможности организации при условии погашения краткосрочной дебиторской задолженности и реализации имеющихся запасов отражает коэффициент покрытия (коэффициент ликвидности). Мгновенную платежеспособность предприятия характеризует коэффициент абсолютной ликвидности. Коэффициент общей платежеспособности предприятия показывает способность покрыть все обязательства предприятия всеми активами.
Анализ и оценка структуры баланса производится на основании определения коэффициентов текущей ликвидности и обеспеченности собственными средствами. Коэффициент текущей ликвидности показывает, какую часть текущей задолженности организация может покрыть в ближайшей перспективе при условии полного погашения дебиторской задолженности. Коэффициент обеспеченности собственными средствами характеризует наличие собственных оборотных средств у предприятия, необходимых для его финансовой устойчивости. Если последние два коэффициента меньше предельно допустимого значения, следует определить коэффициент восстановления платежеспособности. Он свидетельствует о наличии реальной возможности у предприятия восстановить свою платежеспособность. Если коэффициент восстановления окажется меньше нормативного, необходимо рассчитать коэффициент утраты платежеспособности.
2. Анализ платежеспособности предприятия на примере
ООО «Автоимпорт-Логистика»
2.1 Краткая характеристика предприятия
ООО «Автоимпорт-Логистика»
Общество с ограниченной ответственность «Автоимпорт-Логистика» создано в соответствии с гражданским кодексом Российской Федерации и Законом РФ «Об обществах с ограниченной ответственность». Является одним из ключевых подразделений автохолдинга ЗАО «УралАвтоИмпорт». Зарегистрировано 07 мая 2004. Директором общества избран Шальнев Максим Александрович
, а с 26 мая 2009 избран новый директор – Борисова Юлия Александровна.
Полное фирменное наименование общества: Общество с ограниченной ответственностью «Автоимпорт-Логистика».
Сокращенное фирменное наименование общества: ООО «Автоимпорт-Логистика».
Фирменное наименование общества: Общество с ограниченной ответственностью «Автоимпорт-Логистика».
Место нахождения общества (юридический адрес): Российская Федерация 614990 г. Пермь, ул. Стахановская, дом 54а.
Место нахождения общества (фактический адрес): Российская федерация 614053 г. Пермь, ул. Лядовская, дом 175
Общество создано с целью расширения рынка транспортных услуг, а также извлечения прибыли в интересах Участников Общества.
Деятельность ООО «Автоимпорт-Логистика» направлена на оказания транспортных услуг, а именно городские и междугородные перевозки автомобилей, а также перевозки автозапчастей и расходных материалов в интересах компании ЗАО «УралАвтоИмпорт».
Общее количество работников в организации ООО «Автоимпорт-Логистика» на 01 февраля 2010 составляла 37 человека: директор, гл. бухгалтер, бухгалтер кассир, менеджеры по логистике – 2 человека, менеджер по претензиям, водители междугородних перевозок – 14 человек, водители внетренних перевозок – 17 человек, механики 2 чел.
Структура предприятия
В структуре организации наблюдается характеристики горизонтальной иерархии, основной показатель – отсутствие самостоятельности у управляемых подуровней системы; принцип разделения труда на отдельные функции и специализации работников по выполняемым функциям; принцип формализации и стандартизации деятельности, обеспечивающий однородность выполнения работниками своих обязанностей и скоординированность различных задач; принцип квалификационного отбора, в соответствии с которым наем и увольнение с работы производится в строгом соответствии с квалификационными требованиями. Автоимпорт-Логистика зависящее предприятие от ЗАО «УралАвтоИмпорт». Сам по себе этот тип организации не может считаться «хорошим» или «плохим», но только адекватным или неадекватным по отношению к решаемым задачам.
2.2 Анализ показателей платежеспособности организации
ООО «Автоимпорт-Логистика»
Анализ деятельности предприятия с целью выявления неудовлетворительной структуры баланса и неплатежеспособности предприятия проведем на основании методики представленной в пункте 1.2. «Методика расчета показателей платежеспособности» данной контрольной работы. Для анализа необходимо рассчитать основные показатели ликвидности и платежеспособности.
Для проведения анализа рассчитаем необходимые коэффициенты на начало и на конец отчетного периода.
1. Коэффициент покрытия (коэффициент ликвидности):

К
n
(на н.года) = 13 821
= 1,28
10 814
К
n
(на к. года) = 18 474
= 1
18 446
Данный коэффициент показывает, в какой степени предприятия способно погасить свои текущие обязательства за счет оборотных средств. Нижним пределом коэффициента покрытия можно считать 1.0.
2. Коэффициент абсолютной ликвидности, показывающий, какую часть краткосрочной задолженности может покрыть организация за счет имеющихся денежных средств и краткосрочных финансовых вложений, быстро реализуемых в случае надобности. Показатель рассчитывается по формуле:

Ка.л.
(на н.года) = 174
= 0,016
10 814
Ка.л.
(на к.года) = 350
= 0,019
18 446
Нормальное ограничение Ка.л.>
0,2
3. Общая платежеспособность предприятия определяется как способность покрыть все обязательства предприятия (краткосрочные и долгосрочные) всеми ее активами. Коэффициент общей платежеспособности рассчитывается по формуле:

К
о.п.
(на н.года) = 14 483
= 1,34
10 814
К
о.п.
(на к.года) = 31 913
= 1,73
18 446
Естественным является следующее ограничение для коэффициента: К
о.п.
>
2
4. Коэффициент текущей ликвидности. Он показывает, какую часть текущей задолженности организация может покрыть в ближайшей перспективе при условии полного погашения дебиторской задолженности:

К
т.л.
(на н.года) = 13 821
= 1,28
10 814
К
т.л
.
(на к.года) = 18 138
= 0,98
18 446
Нормальное ограничение К
т.л
.>
2
5. Коэффициент обеспеченности собственными средствами характеризует наличие собственных оборотных средств у предприятия, необходимых для его финансовой устойчивости:

К
об
.
(на н.года) = 3669–662
= 0,21
13 821
К
об
.
(на к.года) = 13 467 – 13775
= 0,01
18 138
Нормальное ограничение К
об
. >
0,1
6. Так как полученные значения К
т.л
. и К
об.
меньше предельно допустимых значений, следует определить коэффициент восстановления платежеспособности за 6 месяцев по следующей форме:

Кв = 1,19
= 0,6
Так как этот коэффициент оказался меньше 1.0, значит у предприятия нет реальной возможности восстановить свою платежеспособность за 6 мес.
Табл. 1 Сводная таблица коэффициентов
| Коэффициент
|
На начало отчетного года
|
На конец отчетного года
|
Нормативное значение
|
| Коэффициент покрытия
|
1,28
|
1
|

|
| Коэффициент абсолютной ликвидности
|
0,016
|
0,019
|

|
| Коэффициент общей платежеспособности
|
1,34
|
1,73
|

|
| Коэффициент текущей ликвидности
|
1,28
|
0,98
|

|
| Коэффициент обеспеченности собственными средствами
|
0,21
|
0,01
|

|
Коэффициент абсолютной ликвидности на конец года составил 1,9%, при его значении на начало года 1,6%. Это значит, что только 1,9% (из необходимых 20%) краткосрочных обязательств, предприятие может немедленно погасить за счёт денежных средств и краткосрочных финансовых вложений. Этот показатель практически в 10 раза ниже нормативного, что может вызывать недоверие к данной организации со стороны поставщиков. Сумма задолженности поставщикам составляет чуть ли не 100% (98,3%) от общей суммы кредиторской задолженности на конец года.
Коэффициент покрытия на конец года уменьшился, но все же остается в допустимом значении. Смысл этого показателя состоит в том, что если предприятие направит все свои оборотные активы на погашение долгов, то оно ликвидирует краткосрочную кредиторскую задолженность на 100%.
Коэффициент общей платежеспособности предприятия определяется как способность покрыть все обязательства предприятия (краткосрочные и долгосрочные) всеми ее активами. Данный коэффициент не много ниже критического значения, но свидетельствует о существующем риске несвоевременного погашения текущих обязательств, что также доказывает затруднительное положение предприятия.
Коэффициент текущей ликвидности показывает, какую часть текущей задолженности организация может покрыть в ближайшей перспективе при условии полного погашения дебиторской задолженности. При условии что нормативное значение должно ровняться 200%, то показатель этот за анализируемый период неутешителен. Он показывает что даже при условии возврата всех долгов и предстоящие поступления от деятельности, предприятие сможет погасить свою задолженность не больше чем на 98%. Это свидетельствует о том, что предприятие не заботиться о обеспеченности запасов собственными оборотными средствами.
Коэффициент обеспеченности собственными средствами характеризует наличие собственных оборотных средств у предприятия, необходимых для его финансовой устойчивости. На начало когда этот коэффициент имеет значение выше нормы на 50%, но на конец отчетного периода он понизился ниже нормы на 100%.
Даже беглое знакомство с отчетностью анализируемого предприятия дает представление о неудовлетворительных результатах его деятельности в 2008 г. Отрицательные величины указанных коэффициентов получаются вследствие отрицательной величины реального собственного капитала и больших обязательств предприятия перед кредиторами. Конец 2008 г. предприятие фактически не обладало собственными средствами вследствие полученных за период убытков.
Аналогичные выводы можно сделать, анализируя разницу реального собственного капитала и уставного капитала, которая является основным исходным показателем устойчивости финансового состояния организации. Отсюда следует, что даже минимальное условие финансовой устойчивости предприятия не выполняется.
Уже на начало 2008 г. финансовое состояние предприятия можно считать неудовлетворительным, поскольку коэффициент абсолютной ликвидности, коэффициент покрытия и коэффициент общей платежеспособности ниже своих нормативных значений. Однако наличие дебиторской задолженности говорит о финансовой зависимости от своих контрагентов, что в условиях общего кризиса неплатежей является негативным фактором.
На конец отчетного периода все коэффициенты ликвидности и платежеспособности, помимо коэффициента покрытия, имеют значения значительно ниже допустимых, что однозначно свидетельствует о глубоком кризисном состоянии предприятия и является основанием для признания его неплатежеспособным.
Основанием для признания структуры баланса предприятия неудовлетворительной, а предприятия – неплатежеспособным, является также значение коэффициента обеспеченности собственными средствами на конец отчетного периода менее 0,1. При наличии данных оснований, коэффициент восстановления платежеспособности, определенный исходя из значения периода восстановления платежеспособности, равного шести месяцам, и установленного значения коэффициента текущей ликвидности (коэффициент покрытия) имеет значение меньше единицы. Это свидетельствует об отсутствии у предприятия реальной возможности восстановить свою платежеспособность.
Таким образом, анализ состояния ООО «Автоимпорт-Логистика» свидетельствует о крайне тяжелом, кризисном положении предприятия. В данной ситуации к нему могут быть применены процедуры банкротства.
В итоге, рассчитав и проанализировав такие коэффициенты, как коэффициент покрытия, абсолютной ликвидности, общей платежеспособности, текущей ликвидности и коэффициент обеспеченности собственными средствами по данным отчетной формы №1 ООО «Автоимпорт-Логистика» можно сделать следующий вывод. Все перечисленные коэффициенты во много раз ниже нормативных. Это свидетельствует о глубоком кризисном состоянии предприятия и является основанием для признания его неплатежеспособным.
Причины неплатежеспособности ООО «Автоимпорт-Логистика»» можно охарактеризовать как внутренние и внешние.
К внешним причинам относятся: нестабильная экономическая ситуация в стране, нестабильность спроса на рынке, нехватка денежных средств у потребителей, а также недобросовестность партнеров.
К внутренним причинам относятся такие как: непродуманная система ценообразования, неумение управлять доходами, превышающий рост обязательств перед ростом доходов и оборотного капитала, отсутствие в наличии денежных средств.
Высокая себестоимость реализации товаров, не соразмерные расходы, низкая выручка (себестоимость составляет 89,65% от выручки), все это показывает о несостоятельности данного производства.
3. Рекомендации по выходу из кризисного положения
3.1 Возможные причины неплатежеспособности
Представляется очевидным, что неплатежеспособность прямо пропорциональна объему обязательств. Действительно, абсолютно платежеспособным является предприятие, капитал которого полностью является собственным, а обязательства отсутствуют.
Так как обязательства возникают всегда (например, по налогам), это означает, что данное предприятие с опережением (авансом) исполняет свои обязательства. Оно никому не должно, и вопрос о его неплатежеспособности просто не возникает.
В то же время предприятие может абсолютно не иметь собственного капитала, работать целиком на заемных средствах и оставаться платежеспособным. Все зависит от выручки.
Например, предприятие, не имея ни единицы собственного капитала, работает целиком на заемных средствах в объеме 1000 условных единиц. Но если его среднедневная выручка равна 100 единицам, оно успевает рассчитаться с кредиторами за 10-дневный цикл и никаких проблем с его платежеспособностью у кредиторов не возникает.
Таковое справедливо, однако, если кредиторов устраивает 10-дневный цикл, т.е. они склонны отпускать свои средства и товары в ссуду на 10 дней.
Из вышеприведенного примера следует, что неплатежеспособность прежде всего обратно пропорциональна выручке
. Чем меньше выручка, тем выше неплатежеспособность (естественно, при наличии обязательств).
В общем и целом неплатежеспособность предприятия, как тенденция прямо пропорциональна объему обязательств и обратно пропорциональна величине среднедневной выручки.
Если за определенный период темпы роста обязательств были выше темпов прироста выручки, то предприятие продвинулось в направлении роста неплатежеспособности.
В общем случае причинами неплатежеспособности являются факторы, влияющие на:
· снижение или недостаточный рост выручки;
· опережающий прирост обязательств.
Замедление темпов роста выручки либо ее абсолютное снижение наблюдается при:
- «затоваривании», когда рынок снижает спрос на продукцию из-за ее неудовлетворительного качества, высокой цены или снижения на нее потребности;
- растущем невозврате платежей за отгруженную продукцию, когда предприятие работает с ненадлежащим покупателем или не свободно в выборе надлежащего;
- сужении рынка за счет ограничения на него доступа путем ввода запретов, квот, таможенных барьеров и т.д.
Иными словами, здесь простые причины: или не берут продукцию (услуги) или берут, но не платят, или не пускают на рынок.
Опережающий темп прироста обязательств наблюдается в случаях, когда:
- предприятие осуществляет неэффективные долгосрочные финансовые вложения (капиталовложения), которые не сопровождаются соответствующим ростом выручки. Здесь может быть и разрыв между сегодняшними вложениями и завтрашним приростом выручки.
- предприятие загружает производство избыточными (неработающими) запасами, которые не увеличивают объемов производства и выручки;
- предприятие наращивает средства в расчетах (сумма раздела III активов баланса), которые практически не имеют отношения к выручке;
- предприятие несет убытки.
Данный комплекс общих причин неплатежеспособности характерен для всех предприятий, испытывающих трудности своевременного расчета по своим обязательствам, независимо от страны производства и рынка.
Ситуация особо усугубляется, когда отсутствует планирование и управление денежными потоками.
В общем и целом причины неплатежеспособности могут быть сведены к двум основным:
- отставанию от запросов рынка (по предлагаемому ассортименту, по качеству, по цене и т.д.). В этом случае можно говорить о болезни бизнеса;
- неудовлетворительному финансовому руководству предприятием, когда оно избыточно отягощается обязательствами. В данном случае можно говорить о болезни финансового управления или менеджмента.
Первый случай наиболее наглядно отражается на выручке, второй – на приросте массы обязательств.
В общем случае причинами неплатежеспособности могут быть следующими:
- снижение или недостаточный рост выручки (затоваривание, сужение рынка, невозврат платежей);
- опережающий прирост обязательств (неэффективные финансовые вложения, избыточные запасы, наращивание средств в расчетах);
- отставание от запросов рынка;
- неудовлетворительное
3.2 Пути выхода из кризисного состояния
Следует уяснить существующие объективные условия для массовой несостоятельности предприятий различных организационно-правовых форм собственности и всего народно-хозяйственного комплекса РФ. Они порождены прежде всего непродуманностью экономической концепции и стратегии развития хозяйства в условиях рыночных отношений, низким качественным потенциалом управленческих кадров, а также явились следствием:
- замедленного развития организационно-правовых основ развития экономики;
- наличия социально-психологических стереотипов, не воспринимающих необходимость перехода к рыночным отношениям;
- неудовлетворительного финансово-экономическое положения в стране и субъектах РФ;
- затухающих темпов инновационных процессов;
- высоких темпы инфляционных процессов.
Во многих случаях, в основном это относится к предприятиям на грани банкротства, предлагается включить механизм антикризисного управления.
Антикризисное управление может и должно быть эффективным. Для этого важно заниматься различными сторонами процесса. Управлять следует:
- активами (пассивами) предприятия;
- этапами бизнес – процесса (сбыт, производство, снабжение, учет);
- программами защиты имущества и безопасности бизнеса;
- кадрами (включая вопросы формирования кадровой политики, социальные вопросы, отношения с профсоюзами);
- программами построения отношений с акционерами, партнерами, органами государственной власти;
- программами информационной поддержки (включая доведение до сведения трудового коллектива информации о планах, методах и принципах управления, а так же доведение социально-значимых аспектов деятельности до широкой общественности).
Балансы предприятий необходимо «расчистить» от накопленных неплатежей, поскольку во многих случаях происходит самовозрастание задолженности из-за преобладания в ее структуре штрафов и пени и искажение финансового состояния предприятий.
Однако это не единственная мера в отношении отдельно взятой организации, так как нет гарантии от повторного накопления долгов.
В настоящее время при наличии развитого рынка капиталов, возможно, провести весь цикл процедур по «расчистке» балансов: от их разделения до рекапитализации. Однако без участия государственных органов данную проблему решить невозможно.
Для улучшения структуры баланса предприятия и его платежеспособности в первую очередь следует изучить причины побудившие данную ситуацию и выявить направления улучшения.
Абсолютное уменьшение валюты баланса свидетельствует о сокращении предприятием хозяйственного оборота, что и явилось причиной его неплатежеспособности.
Установление факта свертывания хозяйственной деятельности требует тщательного анализа его причин. Такими причинами могут быть сокращение платежеспособного спроса на продукцию и услуги данного предприятия, ограничение доступа на рынки сырья, постепенное включение в активный хозяйственный оборот дочерних предприятий за счет материнской компании и др.
В зависимости от обстоятельств, вызвавших сокращение хозяйственного оборота, могут быть рекомендованы различные пути вывода его из состояния неплатежеспособности. В данном случае можно рекомендовать повышать спрос с помощью комплекса маркетинговых инструментов (реклама, продвижение продукции и т.д.). Необходимо более ответственно относиться к поставщикам и посредникам, заботиться о собственном имидже, с целью привлечения к себе поставщиков сырья.
При увеличении валюты баланса за отчетный период следует учитывать влияние переоценки фондов, удорожания производственных запасов, готовой продукции. Без этого трудно сделать заключение о том, является ли увеличение валюты баланса следствием расширения хозяйственной деятельности предприятия или следствием инфляционных процессов.
Если предприятие расширяет свою деятельность, то причины его неплатежеспособности следует искать в нерациональном использовании прибыли (больших отчислений в фонд потребления), отвлечении средств в дебиторскую задолженность, замораживании средств в сверхплановых производственных запасах, ошибках при определении ценовой политики и т.д. В данном случае можно порекомендовать более жесткое управление организацией, с целью укрепления дисциплины, более продуманного использования результатов хозяйственной деятельности и распределения прибыли. Необходимо вырабатывать особенную ценовую политику, цена не должна быть слишком высокой, так как она сделает товар неконкурентоспособным, особенно если он не высокого качества. А низкая цена приведет к непокрытию себестоимости работ и убыткам. Поэтому очень важно изучать данные моменты и вести гибкую ценовую политику.
Исследование структуры пассива баланса позволяет установить одну из возможных причин неплатежеспособности предприятия – это слишком высокая доля заемных средств в источниках финансирования хозяйственной деятельности. Тенденция увеличения доли заемных средств, с одной стороны, свидетельствует об усилении финансовой неустойчивости предприятия и повышении степени его финансового риска, а с другой – об активном перераспределении в условиях инфляции доходов в пользу предприятия-заемщика. Если в процессе анализа выявлено что именно большая доля заемных средств приводит к плачевному состоянию предприятия, то необходимо отказаться от использования заемных средств и создать условия для накопления собственных.
При наличии долгосрочных и краткосрочных финансовых вложений необходимо дать оценку их эффективности и ликвидности ценных бумаг, находящихся в портфеле предприятия.
Абсолютный и относительный рост текущих активов может свидетельствовать не только о расширении производства или воздействии фактора инфляции, но и замедлении оборачиваемости капитала, что вызывает потребность в увеличении его массы. Поэтому нужно изучить показатели оборачиваемости оборотного капитала в целом и на отдельных стадиях кругооборота.
При изучении структуры запасов и затрат необходимо выявить тенденции изменения производственных запасов, незавершенного производства, готовой продукции и товаров.
Увеличение удельного веса производственных запасов может быть следствием:
- наращивания производственной мощности предприятия;
- стремления защитить денежные средства от обесценивания в условиях инфляции;
- нерационально выбранной хозяйственной стратегией, вследствие которой значительная часть оборотного капитала заморожена в запасах, ликвидность которых может быть не высокой.
При изучении структуры текущих активов большое внимание уделяется состоянию расчетов с дебиторами. Высокие темпы роста дебиторской задолженности свидетельствуют о том, что данное предприятие активно использует стратегию товарных ссуд для потребителей своей продукции. Кредитуя их, предприятие фактически делится с ними частью своего дохода. В то же время, если платежи за продукцию задерживаются, предприятие вынужденно брать кредиты для обеспечения своей деятельности, увеличивая собственные финансовые обязательства перед кредиторами. Поэтому основной задачей ретроспективного анализа дебиторской задолженности является оценка ее ликвидности, то есть возвратности долгов предприятию, для чего нужна ее расшифровка с указанием сведений о каждом дебиторе, сумме задолженности, давности образования и ожидаемых сроках погашения. Необходимо так же оценить скорость оборота капитала в дебиторской задолженности и скорость оборота денежных средств, сопоставляя ее с темпами инфляции.
Необходимым элементом анализа финансового состояния неплатежеспособных предприятий является исследование финансовых результатов деятельности и использовании прибыли. Если предприятие убыточно, то это свидетельствует об отсутствии источника пополнения собственных средств и о «проедании» капитала. Следовательно, при данной ситуации, необходимо пополнить источники пополнения собственных средств. Отношение суммы собственного капитала к сумме убытков предприятия показывает скорость его «проедания».
В том случае, если предприятие получает прибыль и является при этом неплатежеспособным, нужно отслеживать использовании прибыли. При наличии значительных отчислений в фонд потребления эту часть прибыли в условиях неплатежеспособности предприятия можно рассматривать как потенциальный резерв пополнения собственных оборотных средств предприятия. Необходимо также использовать возможности предприятия по увеличению суммы прибыли за счет наращивания объемов производства и реализации продукции, снижения ее себестоимости, улучшения качества и конкурентоспособности продукции.
По результатам анализа должны быть приняты конкретные меры по улучшению структуры баланса и финансового состояния неплатежеспособных субъектов хозяйствования.
В особо тяжелой ситуации для предприятия, в рамках антикризисного управления можно предложить разработать бизнес-план финансового оздоровления предприятия.
Окончательно принятый бизнес-план финансового оздоровления оформляется в виде единого документа и приложений к нему. Бизнес-план финансового оздоровления для внутреннего пользования должен включать четкое описание ожидаемых проблем, трудностей и способов их разрешения. Бизнес-план для совместного ознакомления может быть и закрытым.
Бизнес-план финансового оздоровления – пока еще новый документ для наших руководителей и специалистов. Его конкретные формы должны быть различными для предприятий различных отраслей и сфер экономики. Известные нашим плановым службам приемы разработки планов технического перевооружения и модернизации, планы постановки продукции на производство и т.д. не являются лишними в разработке новых плановых документов. Но они должны быть дополнены и видоизменены с учетом новых условий хозяйствования: гибкого финансирования, ценообразования, стратегии и тактики сбыта продукции, элементов конкурентной борьбы.
Безусловно, необходимо принимать все меры по предотвращению кризисной ситуации. Если же предприятие оказалось в долговой яме, необходимо предпринимать комплексные усилия по восстановлению платежеспособности, эффективно используя законодательные процедуры банкротства и методы антикризисного управления. Конкретный перечень мероприятий будет зависеть от целесообразности и возможности санации должника, масштаба кризиса и значимости данного предприятия.
В итоге, проведя анализ деятельности хозяйственной предприятия, находящегося в кризисной ситуации неплатежеспособности, необходимо изучить возможные пути выхода из кризиса, в следствии чего можно выбрать конкретный путь улучшения положения. Во многих случаях, в основном это относится к предприятиям на грани банкротства, предлагается включить механизм антикризисного управления. Для этого необходимо управлять различными сторонами хозяйственного процесса.
Пути выхода из кризиса всегда зависят от причин вызвавших данную ситуацию.
При свертывании хозяйственной деятельности можно рекомендовать повышать спрос с помощью комплекса маркетинговых инструментов (реклама, продвижение продукции и т.д.). Необходимо более ответственно относиться к поставщикам и посредникам, заботиться о собственном имидже, с целью привлечения к себе поставщиков сырья.
Если предприятие расширяет свою деятельность, в зависимости от причин, можно порекомендовать более жесткое управление организацией, с целью укрепления дисциплины, более продуманного использования результатов хозяйственной деятельности и распределения прибыли. Необходимо вырабатывать особенную ценовую политику, цена не должна быть слишком высокой, так как она сделает товар неконкурентоспособным, особенно если он не высокого качества. А низкая цена приведет к непокрытию себестоимости работ и убыткам.
При слишком высокой доли заемных средств в источниках финансирования хозяйственной деятельности необходимо отказаться от использования заемных средств и создать условия для накопления собственных.
Если предприятие убыточно, то это свидетельствует об отсутствии источника пополнения собственных средств и о «проедании» капитала. Следовательно, при данной ситуации, необходимо пополнить источники пополнения собственных средств. В том случае, если предприятие получает прибыль и является при этом неплатежеспособным, нужно отслеживать использовании прибыли.
3.3 Рекомендации по выходу из кризисной ситуации
для ОО
О "Автоимпорт-Логистика»
Главная задача, которая стоит перед коллективом в такой сложный период, – перейти на нормальный, обычный режим работы. Для чего необходимо в первую очередь выполнить перед кредиторами обязательства, обеспеченные залогом, погасить задолженность в бюджетные и внебюджетные фонды, и, наконец, рассчитаться с кредиторами, с которыми ведется постоянная работа, за сырье, материалы и т.д.
Но проанализировав показатели платежеспособности, складывается впечатление, что в данной конкретной ситуации достаточно сложно будет выйти из кризиса и, вероятно, наиболее разумным может быть решение о признании банкротства и продаже.
Рекомендации по оздоровлению экономической деятельности предприятия можно выделить в следующие этапы.
На первом этом этапе необходимо подготовить план финансового оздоровления предприятия.
Так как предприятие работает в условиях рынка конкуренции, то нужно учитывать, что основные инструменты, которыми оно располагает для выхода из экономического кризиса и восстановления своих позиций на рынке сбыта готовой продукции являются – цена, качество и реклама.
Состояние ресурсов:
- Кадры. Необходима замена кадров на более квалифицированные и сокращение персонала для снижения затрат на производство и повышения конкурентоспособности выпускаемой продукции.
- Финансы. В связи с тем, что предприятие находится в сложной финансовой ситуации, кредитование крайне затруднительно (никто не решиться дать деньги, зная, что в любой момент предприятие могут признать банкротом и ликвидировать). Собственные финансы отсутствуют. Необходимо любым способом привлечь дополнительные средства для дальнейшей реализации хозяйственной деятельности.
- Сырье и материалы. На момент создавшейся ситуации отсутствует необходимое для бесперебойной работы количество сырья. В распоряжении лишь старые запасы или материалы низкого качества. Необходимо восстановить связи с поставщиками и посредниками, заинтересовать их в необходимости дальнейшего поддержания экономических связей
- Продукция. Вся продукция, находившаяся на складах и пригодная для реализации невысокого качества. В связи с тем, что предприятие длительное время простаивает, рынок сбыта частично утерян, а возврат к старым позициям на рынках сбыта готовой продукции возможен только при снижении цены (это было возможно при снижении затрат на себестоимость, сокращении рабочих мест и замену кадрового состава более компетентным).
Состояние ресурсов определяет составление плана финансового оздоровления.
Для решения задач первого этапа предприятию необходимо оказать финансовую или товарную помощь от посредников, поставщиков или заинтересованных клиентов. А так же есть возможность реорганизации ООО в акционерное общество с выпуском акций и привлечением капитала, что позволило бы произвести продукцию, реализовать ее, накопить финансы для решения задач второго этапа.
На втором этом этапе необходимо увеличить объёмы производства и реализации. Путем тщательно спланированной работы в области маркетинга предприятию откроется такая возможность, как улучшение позиций на рынках сбыта продукции.
Ограничением для получения более высоких результатов является нехватка оборотных средств.
На этом этапе необходимо спланировать стабилизацию производства путем:
- создания более совершенной системы управления,
- улучшения качества услуг.
На третьем этапе потихоньку, мелкими шагами раскачивая производство, организации возможно удастся установить удовлетворяющие объемы выполняемых услуг и произвести полное погашение кредиторской задолженности.
Для того, чтобы решить существующие проблемы, стоящие на сегодняшний день перед предприятием, директору ООО «Автоимпорт-Логистика» необходимо более четко планировать работу маркетинговой службы (более основательно изучать рынки сбыта, искать незаполненные ниши, изучать рынок предлагаемых транспортных услуг, тщательнее заниматься вопросами ценовой политики), а также развивать в организации финансовый менеджмент.
Главной целью, предприятия оказавшегося в затруднительном положении, переход на нормальный, обычный режим работы. Для этого необходимо погасить все задолженности. Это достаточно трудно в состоянии неплатежеспособности, но возможно. Следует разработать план по оздоровлению экономической деятельности предприятия. Он может состоять из трех этапов. Необходимо проанализировать состояние ресурсов предприятия на сегодняшний момент и возможности предприятия на будущее. При наличии возможности получить финансовую или товарную помощь предприятие может расплатиться с долгами и включиться в производство. Необходимо также рассмотреть возможность реорганизации общества с ограниченной ответственностью в акционерное общество с выпуском акций и привлечением капитала.
Заключение
В данной контрольной работе рассматривается важность анализа хозяйственной деятельности предприятия. Основной целью, которого является получение небольшого числа ключевых параметров, дающих объективную и точную картину финансового состояния предприятия, его прибылей и убытков, изменений в структуре актива и пассива, в расчётах с дебиторами и кредиторами. Актуальность и практическая значимость темы настоящей контрольной работы обусловлена рядом причин. Во-первых, в настоящее время, в российской экономике ключевой проблемой является кризис неплатежей, и добрую половину российских предприятий следовало уже давно объявить банкротами, а полученные средства перераспределить в пользу эффективных производств, что несомненно бы способствовало оздоровлению российского рынка. Во-вторых, в условиях массовой неплатежеспособности российских хозяйствующих субъектов особое значение приобретают меры по предотвращению кризисных ситуаций, а также мероприятия, направленные на восстановление платежеспособности предприятия и стабилизацию его финансового состояния.
В теоретической части рассматривается основания для признания предприятия неплатежеспособным. Приводится методика анализа деятельности предприятия, расчет показателей ликвидности и платежеспособности.
Во второй части анализируется деятельность ООО «Автоимпорт-Логистика»», основываясь на методику, приведенную в первой части курсовой работы. Разбираются причины создавшие сложившуюся ситуацию на предприятии.
В рекомендательной части приводятся возможные причины неплатежеспособности и пути выхода из кризисной ситуации.
На основе проведенного анализа финансовой деятельности ООО «Автоимпорт-Логистика»» были сделаны следующие выводы. Не смотря на увеличение оборотного капитала в 2008 году, его финансовая устойчивость ухудшилась по ряду показателей, увеличились обязательства предприятия перед кредиторами. Все показатели, характеризующие платежеспособность находятся на уровне ниже нормы, что объясняется, в основном, наличием у предприятия значительной суммы кредиторской задолженность. Балансовая прибыль в 2008 году уменьшилась в 2 раза по сравнению с прошлым годом.
В целом на основе проведенного анализа, были сделаны выводы, свидетельствующие о проблемах, связанных, прежде всего, с текущим оперативным управлением финансами. Управлению финансами на предприятии отводится, слишком, малая роль. Это связано с тем, что предприятие существует, сравнительно недавно, формы внутрифирменных отчетов еще не отработаны. По существу, управление финансами происходит на уровне бухгалтерской службы и руководителя предприятия. Поэтому необходимо организовать службу управления финансами и провести ряд мероприятий по улучшению финансового состояния в соответствии с данными рекомендациями.
Список литературы
1. Артеменко В.Г., Беллендир М.В. Финансовый анализ. М «ДИС», НГАЭиУ 2000
2. Глазунов В.Н. Финансы фирмы. Как ими распорядится, чтобы обеспечить ее собственное процветание // Экономика – 2000
3. Кошкин В.И. и др. Антикризисное управление: 17-модульная программа для менеджеров «Управление развитием организации» Модуль 11. – М.: ИНФРА-М, 2000.
4. Лунев В.П. Тактика и стратегия управления фирмой. Учебное пособие. М., «ДИС», 2006
5. Распоряжение Федерального управления по делам о несостоятельности (банкротстве) «Методические положения по оценке финансового состояния предприятий и установлению неудовлетворительной структуры баланса» от 12.08.94 №31-р
6. Серезнева Н.Н., Ионова А.Ф. «Финансовый анализ»: Учебное пособие. – М.: ЮНИТИ – ДАНА, 2001.
7. Теория и практика антикризисного управления / под ред. С.Г. Беляева, В.И. Кошкина. М., ЮНИТИ 1996
8. Уткин Э.А. Аудит и управление несостоятельным предприятием. Учебное пособие, Тандем, 2000
9. Фомин Я.А. Диагностика кризисного состояния предприятия: Учебное пособие для вузов. – М.: ЮНИТИ – ДАНА, 2003.
10. Экономика фирмы: учебник для вузов / Под ред. проф. В.Я. Горфинкеля, проф. В.А Швандара. – М.: ЮНИТИ – ДАНА, 2003
|