ТЕОРИЯ ПРИНЯТИЯ РЕШЕНИЙ
Тема 5: Принятие решений в условиях неопределённости
Содержание
Введение
1. Понятие неопределённости и риска
2. Уровни неопределенности при оценке эффективности управленческих решений
3. Классификация рисков при разработке управленческих решений
4. Технологии принятия решений в условиях стохастического риска
Заключение
Список литературы
Введение
Управленческое решение принимается в условиях неопределенности, когда у руководителя отсутствует возможность оценить вероятность будущих результатов. Такое случается, когда требующие учета параметры настолько новы и неструктурированны, что вероятность определенного последствия не удается предсказать с достаточной степенью достоверности.
Управленческие решения принимаются в условиях риска, когда не определены результаты их реализации, но вероятность наступления каждого из них известна. Неопределенность результата в данном случае связана с возможностью возникновения неблагоприятных ситуаций и последствий для достижения намеченных целей.
Управленческое решение принимается в условиях определенности, если руководитель точно знает результат реализации каждой альтернативы. Следует отметить, что управленческое решение принимается в условиях определенности достаточно редко.
Неопределенность при принятии решений проявляется в параметрах используемой информации на всех стадиях ее обработки. Неопределенность трудно измерить, и чаще ее оценивают с точки зрения качества (высокий или низкий уровень). Также ее оценивают в процентах (неопределенность информации на уровне 30%).
Неопределенности являются основной причиной появления рисков. Уменьшение их объема является основной задачей руководителя.
Неопределенность связывают с разработкой управленческого решения, а риск - с результатами реализации.
Неопределенности являются основной причиной появления рисков. Уменьшение их объема является основной задачей руководителя.
1. Понятие неопределённости и риска
Руководителям часто приходится разрабатывать и принимать управленческие решения в условиях неполной и ненадежной информации, а результаты реализации управленческих решений не всегда совпадают с запланированными показателями. Эти условия классифицируют как обстоятельства неопределенности и риска.
Забиваем Сайты В ТОП КУВАЛДОЙ - Уникальные возможности от SeoHammer
Каждая ссылка анализируется по трем пакетам оценки: SEO, Трафик и SMM.
SeoHammer делает продвижение сайта прозрачным и простым занятием.
Ссылки, вечные ссылки, статьи, упоминания, пресс-релизы - используйте по максимуму потенциал SeoHammer для продвижения вашего сайта.
Что умеет делать SeoHammer
— Продвижение в один клик, интеллектуальный подбор запросов, покупка самых лучших ссылок с высокой степенью качества у лучших бирж ссылок.
— Регулярная проверка качества ссылок по более чем 100 показателям и ежедневный пересчет показателей качества проекта.
— Все известные форматы ссылок: арендные ссылки, вечные ссылки, публикации (упоминания, мнения, отзывы, статьи, пресс-релизы).
— SeoHammer покажет, где рост или падение, а также запросы, на которые нужно обратить внимание.
SeoHammer еще предоставляет технологию Буст, она ускоряет продвижение в десятки раз,
а первые результаты появляются уже в течение первых 7 дней.
Зарегистрироваться и Начать продвижение
Управленческое решение принимается в условиях неопределенности, когда у руководителя отсутствует возможность оценить вероятность будущих результатов. Такое случается, когда требующие учета параметры настолько новы и неструктурированны, что вероятность определенного последствия не удается предсказать с достаточной степенью достоверности.
Управленческие решения принимаются в условиях риска, когда не определены результаты их реализации, но вероятность наступления каждого из них известна. Неопределенность результата в данном случае связана с возможностью возникновения неблагоприятных ситуаций и последствий для достижения намеченных целей.
Неопределенность при принятии решений проявляется в параметрах используемой информации на всех стадиях ее обработки. Неопределенность трудно измерить, и чаще ее оценивают с точки зрения качества (высокий или низкий уровень). Также ее оценивают в процентах (неопределенность информации на уровне 30%).
Неопределенность связывают с разработкой управленческого решения, а риск - с результатами реализации.
Неопределенности являются основной причиной появления рисков. Уменьшение их объема является основной задачей руководителя.
«Неопределенность рассматривают как явление и как процесс. Если мы рассматриваем ее как явление, то имеем дело с набором нечетких ситуаций, неполной и взаимоисключающей информацией. К явлениям относятся и непредвиденные события, возникающие помимо воли руководителя и способные изменить ход запланированных мероприятий: например, резкая смена погоды привела к изменению программы празднования дня города.»
Как процесс неопределенность — это деятельность некомпетентного управленца, который принимает неверные решения. Например, при оценке инвестиционной привлекательности муниципального займа были допущены ошибки, и в результате бюджет города не дополучил 800 тыс. руб. На практике необходимо рассматривать неопределенность как единое целое, так как явление создается процессом, а процесс формирует явление.
Неопределенности бывают объективные и субъективные.
Объективные - не зависят от ЛПР, а их источник находится вне системы, в которой принимается решение.
Субъективные являются следствием профессиональных ошибок, недоработок, несогласованности действии, их источник при этом находится внутри системы, в которой принимается решение.
Выделяют четыре уровня неопределенности:
Сервис онлайн-записи на собственном Telegram-боте
Попробуйте сервис онлайн-записи VisitTime на основе вашего собственного Telegram-бота:
— Разгрузит мастера, специалиста или компанию;
— Позволит гибко управлять расписанием и загрузкой;
— Разошлет оповещения о новых услугах или акциях;
— Позволит принять оплату на карту/кошелек/счет;
— Позволит записываться на групповые и персональные посещения;
— Поможет получить от клиента отзывы о визите к вам;
— Включает в себя сервис чаевых.
Для новых пользователей первый месяц бесплатно.
Зарегистрироваться в сервисе
- низкий, который не влияет на основные этапы процесса разработки и реализации управленческого решения;
- средний, который требует пересмотра некоторых этапов разработки и реализации решения;
- высокий подразумевает разработку новых процедур;
- сверхвысокий, который не позволяет оценить и адекватно интерпретировать данные о складывающейся ситуации.
Рассмотрение уровней неопределенности позволяет аналитически представить их использование в зависимости от характера управленческой деятельности руководителя.
На рис.1. приведена матрица эффективности управленческих решений в форме взаимодействия уровней неопределенности и характера управленческой деятельности.
К эффективным решениям относят обоснованные, проработанные, выполнимые, понятные исполнителю. К неэффективным — необоснованные, недоработанные, невыполнимые и трудно принимаемые к исполнению.
В рамках стабильной управленческой деятельности выполняются типовые, повторяющиеся процедуры в условиях слабых возмущающих воздействий внешней и внутренней среды.
Корректирующий характер управленческой деятельности используется при средних возмущающих воздействиях внешней и внутренней среды, когда руководителю приходится корректировать ключевые процессы системы управления.
Для инновационной управленческой деятельности характерен постоянный поиск и реализация новых процессов и технологий для достижения намеченных целей.
Сочетание низкого уровня неопределенности со стабильным и корректирующим характером деятельности (области A1 и B1) позволяет руководителю принимать обоснованные решения с минимальным риском реализации. При инновационном характере деятельности
и низком уровне неопределенности (область B1
) детерминированная информация будет тормозить процесс принятия эффективных решений.
Сочетание среднего уровня неопределенности с корректирующим и инновационным характером управленческой деятельности дает области эффективных решений (Б2
и В2
).
Высокий уровень неопределенности в сочетании со стабильным характером управленческой деятельности приводит к неэффективным решениям (область А3
), но хорошо подходит для инновационного характера управленческой деятельности (область В3
).
Рис.1. Матрица эффективности управленческих решений
| Сверхвысокий уровень неопределённости |
А4
Решений нет
|
Б4
Неэффективные
решения
|
В4
|
| Высокий уровень неопределённости |
Аз
Неэффективные
решения
|
Б3
|
В3
Эффективные решения
|
| Средний уровень неопределённости |
А2
|
Б2
Эффективные решения
|
В2
Эффективные решения
|
| Низкий уровень неопределённости |
А1
Эффективные решения
|
Б1
Эффективные решения
|
В1
Неэффективные
решения
|
| Стабильный характер управленческой деятельности |
Корректирующий характер управленческой деятельности |
Инновационный
характер управленческой деятельности
|
«Сверхвысокий уровень неопределенности приводит к неэффективным решениям, так как слабоструктурированная, трудно воспринимаемая и ненадежная информация затрудняет принятие эффективных решений.[1]
»
Рассмотрение уровней неопределенности позволяет аналитически представить их использование в зависимости от характера управленческой деятельности руководителя. К эффективным решениям относят обоснованные, проработанные, выполнимые, понятные исполнителю. К неэффективным — необоснованные, недоработанные, невыполнимые и трудно принимаемые к исполнению.
В рамках стабильной управленческой деятельности выполняются типовые, повторяющиеся процедуры в условиях слабых возмущающих воздействий внешней и внутренней среды. Корректирующий характер управленческой деятельности используется при средних возмущающих воздействиях внешней и внутренней среды, когда руководителю приходится корректировать ключевые процессы системы управления. Для инновационной управленческой деятельности характерен постоянный поиск и реализация новых процессов и технологий для достижения намеченных целей. Сочетание низкого со стабильным и корректирующим характером деятельности позволяет руководителю принимать обоснованные решения с минимальным риском реализации. При инновационном характере деятельности и низком уровне неопределенности детерминированная информация будет тормозить процесс принятия эффективных решений.
Сочетание среднего уровня неопределенности с корректирующим и инновационным характером управленческой деятельности дает области эффективных решений. Высокий уровень неопределенности в сочетании со стабильным характером управленческой деятельности приводит к неэффективным решениям, но хорошо подходит для инновационного характера управленческой деятельности. Сверхвысокий уровень неопределенности приводит к неэффективным решениям, так как слабоструктурированная, трудно воспринимаемая и ненадежная информация затрудняет принятие эффективных решений.
3. Классификация рисков при разработке управленческих решений
Ни один руководитель не может устранить риск полностью. Однако, используя методы выявления сферы повышенного риска, его количественного измерения и оценки допустимого уровня, проведения регулярного контроля, он может овладеть ситуацией и в определенной мере управлять риском. Управление риском заключается в балансировании уровня риска и потенциальной выгоды.
Руководитель соотносит положительные и отрицательные стороны потенциальных решений и оценивает их вероятные результаты, определяя, насколько приемлем и оправдан риск, в сравнении с возможной выгодой.
«Способность управлять риском - это способность точно спрогнозировать появление рискового события и провести надлежащие мероприятия с целью снижения вероятности его наступления.[2]
»
Знание специфики и характера прогнозируемого риска и, в частности, классификация риска позволяют эффективно им управлять.
В зависимости от вероятного экономического результата решения риски подразделяют на чистые и спекулятивные.
Чистые риски предполагают получение отрицательного или пулевого результата. К ним относятся природные, экологические, политические, транспортные, коммерческие риски (производственные и торговые).
Спекулятивные риски предполагают получение как отрицательного, так и положительного результата. К ним относится часть коммерческих рисков (финансовые риски).
В зависимости от причины возникновения риски подразделяются на природные, экологические, политические, транспортные и коммерческие.
Природным риском называют риск потерь в результате воздействий стихии, например ущерб в результате землетрясения, наводнения, бури.
Экологический риск - вероятность потерь в результате ухудшения экологической обстановки.
Политический риск - риск потерь, связанных с изменением политического строя или соотношения баланса политических сил в обществе. Этот вид риска связан с социально-политической обстановкой в государстве и не зависит от хозяйствующего субъекта. К таким рискам относят вероятность потерь по причине революции, массовых беспорядков, отказа нового правительства от обязательств предшествующего, риск законодательных изменений.
Транспортный риск - вероятность потерь при перевозке грузов.
Коммерческие риски - вероятность потерь в результате коммерческой деятельности хозяйствующих субъектов. В соответствии с основными видами коммерческой деятельности эта группа рисков подразделяется на производственные, торговые и финансовые.
Производственный риск - риск ущерба, связанного с остановкой производственных процессов, нарушением технологии выполнения операций, некачественными ресурсами.
Торговый риск — риск неполучения доходов вследствие нарушения одной из сторон своих обязательств по договору.
Финансовый риск — вероятность ущерба в результате финансовых операций (кредитование, финансовые инвестиции). Финансовый риск имеет математически выраженную вероятность наступления ущерба, которая основывается на статистических данных, поэтому может быть определена достаточно точно. Финансовые риски подразделяются на риски, связанные с покупательной способностью денег (инфляционный и валютный риски), и риски, связанные с вложением капитала.
Инфляционный риск — вероятность того, что доходы в результате высокой инфляции обесцениваются быстрее, чем растут.
Валютный риск связан с потерями, причиной которых является изменение курса иностранной валюты.
Инвестиционный риск — это отклонение фактического дохода от ожидаемого. Инвестиции называют нерискованными, если доход по ним гарантирован. Инвестиционные риски включают несистемный, системный, селективный риск, риск ликвидности, кредитный, региональный, отраслевой риск, риск предприятия, инновационный риск.
В зависимости от того, какие факторы определяют риск в проблемной ситуации, различают две его основные составляющие: индивидуальную и ситуационную.
Индивидуальный риск зависит от субъекта, принимающего и реализующего решения. Любой человек как часть общества, организации действует в соответствии со своей профессией и занимаемой должностью, отдает распоряжения и исполняет порученные решения.
К ситуационной составляющей риска относят все, что непосредственно не зависит от индивидуальных особенностей ЛПР. На каждом этапе процесса разработки и принятия решения управленец сталкивается с различными трудностями: нехваткой времени, ресурсов, информации. Интересы и действия других лиц, вовлеченных в процесс принятия и реализации решений, существенно влияют на качество, а иногда приводят к срыву реализации решения.
Для снижения уровня риска руководителю следует конкретно формулировать задание для исполнителей, сообщать им критерии достижения цели, предоставлять необходимую свободу принятия локальных решений. Необходимо постоянно координировать работу исполнителей и стимулировать их выполнять ее более эффективно и качественно.
В случае стохастической неопределенности у ЛПР имеется полная информация о степени возможности тех или иных (Исходов операции для каждой стратегии в виде вероятностного распределения на множестве возможных результатов.
Часто ошибочно полагают, что использование каких-то отдельных характеристик распределения вероятностей результата очень просто устраняет трудность выбора наилучшего решения. Например, чаще всего используют математическое ожидание результата; иногда — дисперсию. Однако, как показывает практика, выбор на основе таких характеристик не всегда согласуется с личными представлениями ЛПР о наилучшей альтернативе. В частности, это объясняется также и тем, что, описывая задачи с риском, ЛПР редко использует такие теоретические понятия, как "распределение вероятностей", "случайная величина", "квантиль" и т.п. Вместо них человек обычно оперирует такими малоформализуемыми понятиями, как "шансы на выигрыш", "возможность неудачи", "тяжесть последствий" и др. Он их воспринимает как более привычные, а потому —, и более надежные. Хотелось бы, чтобы правила выбора также использовали подобные простые и понятные ЛПР суждения; чтобы на основе таких суждений можно было отыскивать сначала эффективные, а при необходимости — и наилучшие альтернативы.
«В этой связи хорошо согласуется с данными практики следующая вербальная формулировка принципа стохастического доминирования:тот вариант решения лучше, для которого выше вероятность получения более предпочтительного результата.[3]
»
Другими словами, для того чтобы установить, какой ил двух вариантов — а или b— решения лучше, ЛПР прости необходимо последовательно "перебрать" все возможные те кущие значения tрезультата у и проверить, какая из веро ятностей больше: P(Y(a) ≥ t) или P(Y(b) ≥ t).
Если для всех у = t, например, оказывается, что P(Y(a) ≥ у) ≥ P(Y(b) ≥ у), то, альтернатива bстохастически доминируется. Формальный вид этого правила стохастического доминирования представлен следующим выражением Fa(y) ≤ Fh(y), для всех значений У. Где Fa{y) = P(Y(a) <y) — функция распределения результата У для альтернативы а.
Проверку на доминируемость по выше приведённому правилу технологически эффективно проводить визуально. Для этого следует изобразить графики функций Fa(y) и Fb(y) в одной системе координат и выбрать ту альтернативу, график функции распределения результата для которой лежит геометрически ниже. Если случайный результат Y дискретен и имеет не очень много возможных значений у, то для графической проверки на недоминируемость удобно использовать стандартную лепестковую диаграмму из пакета Excel, которая является аналогом полярной системы координат. В качестве примера в табл.1 представлены значения (в сотых долях) функции Fa(y) распределения непрерывного результата Y(a) для четырех альтернатив.
Таблица 1. Значения функции Fa(y) распределения результатов Y(a)
| Альтернативы |
Значения у,(а) результатов Y(a) |
| У1 |
У2 |
У3 |
У4 |
У5 |
У6 |
У7 |
У8 |
У9 |
У10 |
| а{
|
15 |
40 |
60 |
70 |
80 |
85 |
90 |
95 |
91 |
99 |
| а2
|
0 |
0 |
30 |
55 |
70 |
80 |
85 |
90 |
91 |
92 |
| аъ
|
0 |
5 |
9 |
11 |
18 |
20 |
22 |
27 |
29 |
30 |
| a4
|
0 |
0 |
0 |
5 |
12 |
22 |
45 |
70 |
90 |
95 |
Пусть для определенности более предпочтительным для ЛПР является значение результата с большим индексом (т. е. значение у10
предпочтительнее значения у9
, которое в свою очередь более предпочтительно, чем у8
и т.д., а значение у1
— наименее предпочтительное).
Альтернатива а доминируется альтернативами а2
, а3
и а4
, которые между собой несравнимы по правилу стохастического доминирования, заданного соотношением а <=> Fa(y) < Fh(y).
Таким образом, отношение стохастического доминирования, задаваемое данным выражением, несвязно, так как неравенство в правой части выражения может не выполняться для всех значений результата. Ввиду этого оно обладает достаточно слабой разрешающей способностью и незначительно сокращает объем исходного множества альтернатив. Возможно также применение и более сложных принципов стохастического доминирования.
Последующее сужение множества выбора возможно лишь при использовании дополнительной информации о предпочтительности того или иного решения. Как уже отмечалось, часто в качестве такой информации выступают сведения о предпочтительности в среднем, предпочтительности по уровню гарантии получения результатов или предпочтительности по уровню самого гарантированного результата. Получение от ЛПР подобной информации означает, что лицо, принимающее решения, как бы безразлично к риску (подробнее смысл "безразличия к риску" будет пояснен ниже) и стремится использовать для анализа только объективные характеристики распределения вероятностей.
Теперь обсудим еще один вопрос. А можно ли как-то более строго описать характер отношения ЛПР к стохастическому риску? Оказывается, да. Причем сделать это можно как на качественном уровне (в качественных шкалах), так и на количественном. Методологической базой для ответов на подобные вопросы является теория полезности.
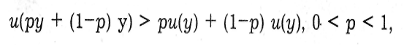
Обозначим функцию полезности через и(у). Согласно аксиоматической теории полезности отношение предпочтения на множестве А альтернатив моделируется с использованием математического ожидания М[и(у(а))] функции полезности для этих альтернатив:

Качественно указанные особенности отношения предпочтения ЛПР могут быть отражены графически. На рис.2. представлены графики функций полезности для лиц с различным отношением к стохастическому риску.
По оси абсцисс на графиках отложены величины результатов, а по оси ординат — значения функции и(у) полезности. Психологической доминанте "объективное ЛПР" соответствует функция и(у) = ее + Ру. Она представлена на рис.2.а.
Рис.2. Графики функций полезности для лиц с различным отношением к стохастическому риску

Параметры а и Р функции выбраны так, что наименее предпочтительному значению результата у = y - соответствует нулевое значение функции полезности, а наиболее пред почтительному результату у = у +
- значение, равное единице. Очевидно, xто если пользоваться такой функцией полезности, то это приводит к установлению предпочтений на множестве стратегий по "объективным" показателям типа:

Установлено, что если ЛПР несклонно к риску, то функция полезности, отражающая его предпочтения и отношение к стохастическому риску, строго вогнута. Это графически отражено на рис.2.б. Для субъекта с подобной психологической доминантой восприятия риска всегда оказывается более предпочтительным получение среднего выигрыша в операции наверняка, нежели участие в рискованной операции. Математически это выглядит так:

что в итоге приводит к неравенству вида

которое представляет собой математическое определение строго вогнутой функции. Для склонного к риску ЛПР все как раз наоборот. Для такого лица участие в рискованной операции более предпочтительно, чем получение ее среднего результата. Поэтому для ЛПР, склонного к риску, функция и(у) полезности оказывается строго выпуклой.
Количественно меру склонности или несклонности ЛПР к риску удобно оценивать с использованием так называемых достоверных эквивалентов лотерей. Это понятие из теории полезности и для нас оно новое. Разъясним его. Но вначале нам потребуется понятие лотереи как модели выбора в условиях стохастической неопределенности.
«Лотереей называется пара (У, Р), где У = (уг
y2
,...,yn) — множество возможных значений результата у, Р — (pv
р2
,...,рn
) — вероятностное распределение на результатах. В общем случае можно рассматривать лотереи с непрерывными значениями результата, а также лотереи с векторными результатами и составные лотереи (где результатом одной лотереи является другая лотерея).[4]
»
Психологические особенности человека таковы, что ему очень трудно сравнивать лотереи с большим числом выигрышей. ЛПР гораздо проще иметь дело лишь с двумя исходами и при этом отвечать на вопросы типа: "За сколько Вы согласны отступиться от участия влотерее?" или "Во сколько Вы оцениваете лотерею, если Вам предложат ее продать?" При соизмерении произвольного результата у с наилучшим у+
и наихудшим у-, результатами используется следующее допущение, которое называется правилом замены.
Это правило гласит следующее. Если в исходной лотерее (У, Р) любой из результатов у заменить на эквивалентный ему по предпочтительности, то для ЛПР будет безразлично, в какой из лотерей — исходной или новой — участвовать.
Результат у в этом случае заменяют на лотерею вида у+
с вероятностью р(у) и у- с вероятностью 1 - р(у). Такая лотерея называется базовой.Вероятность р(у) в базовой лотерее должна выбираться такой, чтобы базовая лотерея была эквивалентна по предпочтительности вырожденной лотерее, приводящей достоверно к результату у.
Достоверным эквивалентом лотереи (У, Р) называется величина yd
такая, что ЛПР безразлично, получить ли результат уй
наверняка или участвовать в лотерее (У, Р). Именно по величине детерминированного эквивалента судят о типе отношения ЛПР к стохастическому риску. И если оказывается, что детерминированный эквивалент yd
лотереи меньше математического ожидания М результатов лотереи, то ЛПР не склонно к риску, если уй
> М — склонно к риску, а если они равны — ЛПР безразлично к риску/
И еще одно важное замечание. Поскольку детерминированный эквивалент — неслучайная величина, это позволяет легко свести задачу обоснования решений в условиях стохастического риска к задаче принятия решений в условиях определенности. Надо только все случайные исходы заменить их детерминированными эквивалентами. После этого формальный анализ проводят как бы в условиях определенности
Заключение
Неопределенности являются основной причиной появления рисков. Уменьшение их объема является основной задачей руководителя. Неопределенность рассматривают как явление и как процесс. Если мы рассматриваем ее как явление, то имеем дело с набором нечетких ситуаций, неполной и взаимоисключающей информацией. К явлениям относятся и непредвиденные события, возникающие помимо воли руководителя и способные изменить ход запланированных мероприятий: например, резкая смена погоды привела к изменению программы празднования дня города.
Неопределенность в процессе разработки управленческого решения может быть вызвана следующими причинами: отсутствием достоверной информации; сложностью при обработке информации; монополизацией необходимых данных внешними органами управления.
Уровень неопределенности в значительной мере зависит от характеристик информации. Поэтому руководителям необходимо использовать документальную информацию: справочники, сертификаты, свидетельства.
Задача ЛПР заключается в поиске необходимой информации, оценке ее характеристик, выделении важной части, позволяющей анализировать текущее состояние системы, в которой разрабатывается решение.
Чтобы уменьшить негативные последствия делегирования решения большому количеству исполнителей, используют нормы управляемости, разработанные применительно к функциям управления.
Простые решения подготавливаются по известным алгоритмам и исполняются по отработанным схемам, в которых отсутствуют неопределенность или ее уровень настолько низок, что не оказывает существенного влияния на результат.
Решения средней сложности предполагают альтернативные варианты разработки и многообразие путей их реализации. Основанием для выбора такого решения является сокращение влияния неопределенности.
Трудные решения не имеют аналогов, а влияние неопределенности на процесс разработки и реализации решения учесть практически невозможно.
Рассмотрение уровней неопределенности позволяет аналитически представить их использование в зависимости от характера управленческой деятельности руководителя. К эффективным решениям относят обоснованные, проработанные, выполнимые, понятные исполнителю. К неэффективным — необоснованные, недоработанные, невыполнимые и трудно принимаемые к исполнению.
Часто ошибочно полагают, что использование каких-то отдельных характеристик распределения вероятностей результата очень просто устраняет трудность выбора наилучшего решения. Например, чаще всего используют математическое ожидание результата; иногда — дисперсию. Однако, как показывает практика, выбор на основе таких характеристик не всегда согласуется с личными представлениями ЛПР о наилучшей альтернативе. В частности, это объясняется также и тем, что, описывая задачи с риском, ЛПР редко использует такие теоретические понятия, как "распределение вероятностей", "случайная величина", "квантиль" и т.п. Вместо них человек обычно оперирует такими малоформализуемыми понятиями, как "шансы на выигрыш", "возможность неудачи", "тяжесть последствий" и др. Он их воспринимает как более привычные, а потому —, и более надежные. Хотелось бы, чтобы правила выбора также использовали подобные простые и понятные ЛПР суждения; чтобы на основе таких суждений можно было отыскивать сначала эффективные, а при необходимости — и наилучшие альтернативы.
В этой связи хорошо согласуется с данными практики следующая вербальная формулировка принципа стохастического доминирования:тот вариант решения лучше, для которого выше вероятность получения более предпочтительного результата.
Список литературы
1) Весенин В.Р. Менеджмент. – М.: Проспект, 2007. - 512 с.
2) Воробьев С. Н., Уткин В. Б., Балдин К. В. Управленческие решения М.: ЮНИТИ-ДАНА, 2005. – 496 с.
3) Глухов В.В. Менеджмент. – СПб.: Питер, 2007. – 608 с.
4) Саак А.Э., Тюшняков В.Н. Разработка управленческого решения. – СПб.: Питер, 2007. – 272 с.
5) Смирнов Э.А. Разработка управленческих решений - M.: ЮНИТИ-ДАНА, 2002. – 271 с.
[1]
Смирнов Э. А. Разработка управленческих решений: Учебник для вузов. - М.: ЮНИ-ТИ-ДАНА, 2002. – 176 с.
[2]
Саак А.Э., Тюшняков В.Н. Разработка управленческого решения. – СПб.: Питер, 2007. - 128 С.
[3]
Воробьев С. Н., Уткин В. Б., Балдин К. В. Управленческие решения М.: ЮНИТИ-ДАНА, 2005. - 220 с.
[4]
Воробьев С. Н., Уткин В. Б., Балдин К. В. Управленческие решения М.: ЮНИТИ-ДАНА, 2005. - 232 с.
|