Содержание
Глава 1. Экономическое содержание инвестиций и их основные классификации
1.1 Экономическое содержание инвестиций
1.2 Основные классификации инвестиций
1.3 Инвестиционная деятельность
1.4 Роль инвестиций в экономике
Глава.2. Анализ инвестиций
2.1 Анализ инвестиционного климата в РФ в целом
2.2 Анализ иностранных инвестиций в экономике РФ
2.3 Отраслевое и региональное распределение инвестиций
2.4 Вопросы повышения инвестиционной активности
2.5Влияние Мирового кризиса на инвестиции
2.6 Инвестиционные проекты в Краснодарском крае
Заключение
Глава 1. Экономическое содержание инвестиций и их основные классификации
1.1 Экономическое содержание инвестиций
"Инвестиции" - слово иностранного происхождения (от лат. investire, нем. investition), в переводе - "долгосрочное вложение капитала в какие-либо предприятия с целью получения прибыли".
Инвестиции – это совокупность затрат, реализуемых в форме целенаправленного вложения капитала на определённый срок в различные отрасли и сферы экономики, в объекты предпринимательской и других видов деятельности для получения прибыли (дохода) и достижения как индивидуальных целей инвесторов, так и положительного социального эффекта.
Термин "инвестиции" появился в отечественной экономике сравнительно недавно и стал широко использоваться в годы рыночных реформ.
В отечественной и зарубежной научной литературе имеется ряд дефиниций (определений понятия инвестиций).
Наиболее распространенным, часто встречающимся является такое понятие инвестиций: это долгосрочные вложения денежных средств и иного капитала в собственной стране или за рубежом в предприятия различных отраслей, предпринимательские проекты, социально-экономические программы, инновационные проекты в целях получения дохода или достижения иного полезного эффекта.
Вместо понятия "инвестиции" ранее употреблялось словосочетание "капитальные вложения", которое трактовалось как совокупность затрат на воспроизводство основных фондов, включая затраты на их ремонт. Капитальные вложения рассматривались в двух аспектах: с экономической точки зрения и с финансовой. Как экономическая категория капитальные вложения представляют собой систему денежных отношений, связанных с движением стоимости, авансированной в долгосрочном порядке в основные фонды, от момента выделения денежных средств до момента их возмещения.
Забиваем Сайты В ТОП КУВАЛДОЙ - Уникальные возможности от SeoHammer
Каждая ссылка анализируется по трем пакетам оценки: SEO, Трафик и SMM.
SeoHammer делает продвижение сайта прозрачным и простым занятием.
Ссылки, вечные ссылки, статьи, упоминания, пресс-релизы - используйте по максимуму потенциал SeoHammer для продвижения вашего сайта.
Что умеет делать SeoHammer
— Продвижение в один клик, интеллектуальный подбор запросов, покупка самых лучших ссылок с высокой степенью качества у лучших бирж ссылок.
— Регулярная проверка качества ссылок по более чем 100 показателям и ежедневный пересчет показателей качества проекта.
— Все известные форматы ссылок: арендные ссылки, вечные ссылки, публикации (упоминания, мнения, отзывы, статьи, пресс-релизы).
— SeoHammer покажет, где рост или падение, а также запросы, на которые нужно обратить внимание.
SeoHammer еще предоставляет технологию Буст, она ускоряет продвижение в десятки раз,
а первые результаты появляются уже в течение первых 7 дней.
Зарегистрироваться и Начать продвижение
Хотя "инвестиции" и "капитальные вложения" являются близкими по смыслу, и некоторые авторы считают их синонимами, но инвестиции более широкое понятие, чем капитальные вложения.
Наиболее важными и существенными признаками инвестиций являются:
· потенциальная способность инвестиций приносить доход;
· осуществление вложений лицами (инвесторами), которые имеют собственные цели, не всегда совпадающие с общеэкономической выгодой;
· определенный срок вложения средств;
· целенаправленный характер вложения капитала в объекты и инструменты инвестирования;
· использование разных инвестиционных ресурсов, характеризующимся спросом, предложением и ценой в процессе осуществления инвестиций;
· наличие риска вложения капитала.
В качестве инвестиций могут выступать:
1) денежные средства, целевые банковские вклады, паи, акции, облигации и другие ценные бумаги;
2) движимое и недвижимое имущество (здания, сооружения, машины, оборудование, транспортные средства, вычислительная техника и др.);
3) объекты авторского права, лицензии, патенты, ноу-хау, программные продукты, технологии и другие интеллектуальные ценности;
4) права пользования землей, природными ресурсами, а также любым другим имуществом или имущественными правами.
1.2 Основные классификации инвестиций
Инвестиции осуществляются в различных формах. С целью систематизации анализа и планирования инвестиций они могут быть сгруппированы по определенным классификационным признакам. Классификация инвестиций определяется, таким образом, выбором критерия, положенного в ее основу.
При выборе критерия классификации используются следующие признаки инвестиций, являющиеся наиболее существенными:
· потенциальная способность инвестиций приносить доход;
· процесс инвестирования, как правило, связан с преобразованием части накопленного капитала в альтернативные виды активов экономического субъекта (предприятия);
· в процессе осуществления инвестиций используются разнообразные инвестиционные ресурсы, которые характеризуются спросом, предложением и ценой;
· целенаправленный характер вложения капитала в какие-либо материальные и нематериальные объекты (инструменты);
· наличие срока вложения (этот срок всегда индивидуален и определять его заранее неправомерно);
Сервис онлайн-записи на собственном Telegram-боте
Попробуйте сервис онлайн-записи VisitTime на основе вашего собственного Telegram-бота:
— Разгрузит мастера, специалиста или компанию;
— Позволит гибко управлять расписанием и загрузкой;
— Разошлет оповещения о новых услугах или акциях;
— Позволит принять оплату на карту/кошелек/счет;
— Позволит записываться на групповые и персональные посещения;
— Поможет получить от клиента отзывы о визите к вам;
— Включает в себя сервис чаевых.
Для новых пользователей первый месяц бесплатно.
Зарегистрироваться в сервисе
· вложения осуществляются лицами, называемыми инвесторами, которые преследуют свои индивидуальные цели, не всегда связанные с извлечением непосредственной экономической выгоды;
· наличие риска вложения капитала, означающее, что достижение целей инвестирования носит вероятностный характер.
Под реальными инвестициями понимается вложения средств (капитала) в создание реальных активов (как материальных, так и нематериальных), связанных с осуществлением операционной деятельности экономических субъектов, решением их социально-экономических проблем. Под финансовыми инвестициями понимается вложение капитала в различные финансовые инструменты, прежде всего в ценные бумаги.
Финансовые инвестиции либо имеют спекулятивный характер, либо ориентированы на долгосрочные вложения. Формами финансовых инвестиций являются вложения в долевые и в долговые ценные бумаги, а также депозитные банковские вклады.
Спекулятивные финансовые инвестиции ориентированы на получение инвестором желаемого инвестиционного дохода в конкретном периоде времени. Финансовые инвестиции, ориентированные на долгосрочные вложения, как правило, преследуют стратегические цели инвестора, связанные с участием в управлении объекта, в который вкладываются капиталы.
Реальные инвестиции, в свою очередь, подразделяются на материальные (вещественные) и нематериальные (потенциальные). Потенциальные инвестиции используются для получения нематериальных благ. В частности они направляются на повышение квалификации персонала, проведение научно-исследовательских и опытно-конструкторских работ, получение товарного знака (марки) и т.п. Материальные инвестиции предполагают вложения прежде всего в средства производства. Их, в свою очередь, можно подразделить на:
· стратегические инвестиции;
· базовые инвестиции;
· текущие инвестиции;
· новационные инвестиции.
Стратегические инвестиции – это инвестиции, направленные на создание новых предприятий, новых производств либо приобретение целостных имущественных комплексов в иной сфере деятельности, в иных регионах.
Базовые инвестиции - это инвестиции, направленные на расширение действующих предприятий, создание новых предприятий и производств в той же, что и ранее сфере деятельности, том же регионе и т.п.
Текущие инвестиции призваны поддерживать воспроизводственный процесс и связаны с вложением по замене основных средств, проведению различных видов капитального ремонта с пополнением запасов материальных и оборотных активов.
Новационные инвестиции можно подразделить на две группы: инвестиции в модернизацию предприятия, в том числе в техническое переоснащение в соответствии с требованиями рынка, и инвестиции по обеспечению безопасности в широком смысле слова. Речь идет об инвестициях, связанных с включением в состав предприятия технологических структур, гарантирующих бесперебойное и эффективное обеспечение производства необходимым сырьем, комплектующими, обслуживанием технологического производства.
Прямые инвестиции выступают как вложения в уставные капиталы предприятий (фирм, компаний) с целью установления непосредственного контроля и управления объектом инвестирования. Они направлены на расширение сферы влияния, обеспечение будущих финансовых интересов, а не только получение дохода.
Портфельные инвестиции представляют собой средства, вложенные в экономические активы с целью извлечения дохода (в форме прироста рыночной стоимости инвестиционных объектов, дивидендов, процентов, других денежных выплат) и диверсификации рисков. Как правило, портфельные инвестиции являются вложениями в приобретение принадлежащих различным эмитентам ценных бумаг, других активов.
Прямые инвестиции предполагают прямое, непосредственное участие инвестора во вложения капитала в конкретный объект инвестирования, будь то приобретение реальных активов, либо вложение капитала в уставные фонды организаций. Осуществляются коммерческими организациями и гражданами самостоятельно, независимо от других, за счет собственных средств и для собственных нужд.
Косвенные инвестиции предполагают вложения капитала инвестора в объекты инвестирования через финансовых посредников (институциональных инвесторов) посредством приобретения различных финансовых инструментов.
Долгосрочные инвестиции представляют собой вложения капитала на период от трех и более лет (как правило, они осуществляются в форме капитальных вложений).
Среднесрочные – вложения капитала на период от одного до трех лет.
Краткосрочные – вложения на период до одного года, носят, как правило, спекулятивный характер.
Внутренние инвестиции включают вложения средств в объекты инвестирования внутри данной страны.
Внешние инвестиции - это вложения в объекты инвестирования, находящиеся вне территориальных пределов страны. Сюда относится приобретение различных финансовых инструментов6 акций зарубежных компаний или облигаций других государств.
Под частными (негосударственными) инвестициями понимают вложения средств частных инвесторов: граждан и предприятий негосударственной формы собственности.
Государственные инвестиции – это вложения капитала, осуществляемые центральными и местными государственными органами власти и управления за счет бюджетов, внебюджетных фондов и заемных средств, а также предприятиями государственной формы собственности за счет собственных и заемных средств.
Совместные инвестиции – это вложения, осуществляемые отечественными и зарубежными экономическими субъектами.
Первичные инвестиции или нетто-инвестиции представляют собой вложения капитала за счет как собственных, так и заемных средств инвесторов.
Реинвестиции представляют собой вторичное использование капитала в инвестиционных целях посредством его высвобождения в результате реализации ранее осуществленных инвестиций.
Дезинвестиции – это высвобождение ранее инвестированного капитала из инвестиционного оборота без последующего использования в инвестиционных целях.
Агрессивные инвестиции характеризуются высокой степенью риска. Они характеризуются высокой прибыльностью и низкой ликвидностью (преобладающее контрольное участие в предприятиях разный сфер экономики, акции венчурных компаний, спекулятивный капитал, фьючерсные контракты и т.д.).
Умеренные инвестиции отличаются средней (умеренной) степенью риска при достаточной прибыльности и ликвидности вложений
Валовые инвестиции выступают как совокупный объем инвестиций, направленных на приобретение средств производства, новое строительство, прирост товарно-материальных запасов в течение определенного периода. Чистые инвестиции отражают объем валовых инвестиций, уменьшенный на величину амортизационных отчислений.
1.3 Инвестиционная деятельность
Внутренняя инвестиционная деятельность.
По своей направленности инвестиционную деятельность предприятия можно разделить на два основных типа: внутреннюю и внешнюю. К внутренней деятельности относится: расширение производственных мощностей, техническое перевооружение и реконструкция предприятия, увеличение объёма выпуска продукции, создание новых видов продукции.
Расширение производственных мощностей способствует увеличению потенциала предприятия, объёма выпуска существующей продукции, переходу к выпуску новой продукции и, в конечном итоге, к росту прибыли. Расширение действующих предприятий- это инвестирование, которое предполагает строительство новых дополнительных цехов и других подразделений основного производства ,а также новых вспомогательных и обслуживающих цехов и участков. Обычно расширение производства ведётся на новой технической основе и, следовательно, оно предусматривает не только экстенсивное увеличение мощностей действующих предприятий, но и повышение технического уровня производства.
Под техническим перевооружением отдельного предприятия или его подразделения обычно понимают замену действующего парка оборудования более современным с высокими технико-экономическими показателями. Причём такая замена осуществляется без расширения производственной площади.
К реконструкции, как правило, относятся мероприятия, связанные как с заменой морально устаревших и физически изношенных машин и оборудования, так и с совершенствованием и перестройкой зданий и сооружений. Реконструкция предприятий, как правило, проводится в связи с диверсификацией производства и освоением выпуска новой продукции, что позволяет значительно сэкономить капитальные вложения, использовать имеющуюся квалифицированную рабочую силу для освоения новых изделий, не привлекая дополнительных кадров. Реконструкция направлена на рост технического уровня производства и продукции и способствует более быстрому освоению производственных мощностей.
Реконструкция и техническое перевооружение предприятия более эффективны, чем, например, новое строительство, и отличаются более прогрессивной структурой капитальных вложений. При этом обновляется главным образом активная часть основных фондов без существенных затрат на строительство зданий и сооружений.
Увеличение объёма выпускаемой продукции позволяет получать большие доходы за счёт увеличения прибыли, и, кроме того, завоевать большую долю рынка, оказывая тем самым на него своё влияние.
Выпуск новой продукции приводит к росту прибыли, способствует диверсификации производства, что позволяет уменьшить риск, связанный с колебаниями спроса на отдельные виды выпускаемой продукции.
Для осуществления внутренней инвестиционной деятельности предприятию необходимы финансовые средства, которые оно способно изыскать из собственных ресурсов или использовать привлечённые. Так, например, при сравнительно небольших объёмах капитальных затрат или постепенном поэтапном проведении технического перевооружения или реконструкции используется нераспределённая прибыль. Однако надо отметить, что в нынешних условиях функционирования вся нераспределённая прибыль используется для поддержания стабильности производственного процесса.
Среди собственных инвестиционных источников фирмы особое место занимает акционерный капитал. За счёт его увеличения могут быть эффективно профинансированы достаточно крупные проекты, связанные с техническим перевооружением,модернизацией или реконструкцией предприятия. Однако следует иметь в виду, что данный путь сопряжён со значительными трудностями, связанными в первую очередь с эмиссией акций, их размещением и сохранением контроля над деятельностью предприятия.
Одним из наиболее эффективных путей финансирования промышленно-технического развития предприятия является инвестиционный кредит сроком свыше одного года. Наиболее часто используемым в российских условиях обеспечением инвестиционных кредитов являются различные виды залога, переуступка прав, поручительство и банковская гарантия. Самая распространённая форма обеспечения это залог основных активов, т.е. технологического оборудования и недвижимости. При финансировании инвестиционных проектов практически всегда передаётся в залог то оборудование, которое приобретается на кредитные деньги.
Наконец, сравнительно новым в условиях российской экономики и уже достаточно традиционным за рубежом путём привлечения необходимых ресурсов для реконструкции и развития предприятия является финансовый лизинг. Этот вид аренды предусматривает полное возмещение всех расходов лизингодателя на приобретение имущества и его передачу для производственного использования лизингополучателю. Не допускается досрочное прекращение договора, в противном случае возмещаются все потери лизингодателя. Обычно не предусматривается обслуживание оборудования (поставка запчастей, наладка и ремонт) со стороны лизингодателя. Арендатор получает оборудование для его производственного использования на срок договора. В конце этого срока в зависимости от условий контракта имущество возвращается лизингодателю или арендатор может выкупить его по остаточной стоимости. Стоит также отметить, что в отличие от инвестиционного кредита в случае финансового лизинга на себестоимость продукции могут быть отнесены не только проценты, но и основные платежи.
Эмиссия облигаций также является одним из признанных и традиционных в мировой практике источником привлечения дополнительных финансовых ресурсов, необходимых для производственно-технического развития, реализации масштабных проектов.
Внешняя инвестиционная деятельность.
Внешнее направление инвестиционной деятельности предприятия предполагает приобретение компаний и покупку ценных бумаг.
Инвестиции в ценные бумаги представляют собой помещение капитала в юридически самостоятельные предприятия на длительный срок (минимально более года) либо с целью получения дополнительной прибыли, либо с целью приобретения влияния на другие предприятия, либо в связи с тем, что подобное вложение средств является более выгодным по сравнению с организацией собственных операций в этой области.
Считается, что если предприятие-инвестор владеет незначительным пакетом акций другого предприятия, то оно не оказывает существенного влияния или контроля на предприятие, акции которого приобретаются.
Если предприятие владеет большим пакетом акций другого предприятия, то считается, что предприятие-инвестор оказывает существенное влияние на то предприятие, акции которого приобретаются. Значительное влияние проявляется в том, что предприятие-инвестор может участвовать в принятии решений о деятельности предприятия, в которое вложены средства, а его представители могут входить в состав совета директоров предприятия-объёкта инвестирования.
Если предприятие владеет более чем 50% акций другого предприятия, считается, что инвестор владеет контрольным пакетом акций и имеет возможность контролировать деятельность предприятия-объекта инвестирования, т.е. принимать решения по вопросам его финансово-хозяйственной деятельности. Предприятие-инвестор рассматривается как головное предприятие, а предприятие-объект инвестирования- как дочерние предприятие.
Приобретение компаний, т.е. покупку её контрольного пакета акций предприятие-инвестор осуществляет со следующими целями:
устранение пробелов в технологической цепочке;
попытка монополизировать рынок;
инвестирование избыточных средств предприятия;
укрепление партнёрства;
попытка сменить или расширить сферу деятельности.
Приобретение ценных бумаг - вложение средств с целью получения стабильного дохода без осуществления какой-либо деятельности. Такая стратегия менее рискованна, но и менее доходна.
Прежде чем осуществлять вложения средств в ценные бумаги, инвестор должен определить свою готовность рисковать при инвестировании ресурсов, а также определить, что при формировании инвестиционного портфеля для него важнее - безопасность вложения средств и их сохранение или высокий уровень доходности при соответственно высоком уровне риска вложений.
Смысл портфеля - улучшить условия инвестирования, придав совокупности ценных бумаг такие инвестиционные характеристики, которые недостижимы отдельно взятой ценной бумагой и возможны только при их комбинации. В процессе формирования портфеля достигается новое качество с заданными характеристиками. Портфель ценных бумаг является инструментом, с помощью которого инвестору обеспечивается требуемая устойчивость дохода при минимальном риске.
При осуществлении портфельных инвестиций инвесторами преследуются различные цели, и в зависимости от этого они выбирают различные объекты вложений. Так, для защиты сбережений от инфляции, другими словами, для поддержания постоянной реальной силы вложенных средств, лучше всего подходят вклады до востребования; вложение средств с целью их кратко- или среднесрочного приращения ввиду предстоящего расходования этой суммы, другими словами, если имеющейся суммы средств не достаточно для совершения сделки, а простое сохранение их не приближает к искомой операции, выбирают целевые и срочные вклады (в том числе валютные); рисковое вложение, рассчитанное на ожидание значительного возрастания рыночной стоимости активов, в которые были сделаны инвестиции, предполагают приобретение некоторых видов сертификатов, фьючерсных контрактов, акций приватизируемых предприятий промышленности и торговли; для обеспечения постоянного источника погашения текущих расходов в виде процента с основной суммы вложений целесообразно осуществлять вложение средств в привилегированные акции и облигации (в том числе и государственные), акции инвестиционных фондов; если инвестор ставит целью приобретение прав собственности на объект инвестирования, становление собственника, он, вероятнее всего, будет покупать обыкновенные акции и облигации приватизируемых предприятий в объёме, достаточном для влияния на принятие управленческих решений.
В зависимости от источника дохода инвестиционные портфели делятся на следующие типы:
Портфель роста формируется из акций компаний, курсовая стоимость которых растёт. Цель такого портфеля - рост капитальной стоимости портфеля вместе с получением дивидендов, которые выплачиваются в небольшом размере.
Портфель агрессивного роста нацелен на максимальный прирост капитала. В состав данного портфеля входят акции молодых быстрорастущих компаний. Инвестиции рискованны, но приносят самый высокий доход.
Портфель консервативного роста, состоящий в основном из акций хорошо известных и крупных компаний, характеризующихся хотя и невысокими, но устойчивыми темпами роста курсовой стоимости.
Портфель среднего роста представляет собой сочетание инвестиционных свойств агрессивного и консервативного роста.
Портфель регулярного дохода формируется из высоконадёжных ценных бумаг и приносит средний доход при минимальном уровне риска.
Портфель доходных бумаг состоит из высокодоходных облигаций корпораций, ценных бумаг, приносящих высокий доход при среднем уровне риска.
Портфели ценных бумаг, освобождённых от налога, содержат государственные долговые обязательства и предполагают сохранение капитала при высокой степени ликвидности.
Портфели, состоящие из ценных бумаг различных отраслей промышленности, формируются на базе ценных бумаг, выпущенных предприятиями различных отраслей промышленности, связанных технологически, или какой-либо одной отрасли.
Говоря о покупке ценных бумаг, необходимо отметить, что вложение средств в предприятия может осуществляться со стороны иностранных инвесторов, чьи ресурсы необходимы сегодня для осуществления крупномасштабной перестройки национальной экономики, эффективной реконструкции и модернизации сильно изношенных морально и физически производственных мощностей, резкого и значительного повышения технологического уровня производства на предприятиях различной принадлежности.
В активизации инвестиционной деятельности большую роль могут сыграть прямые иностранные инвестиции, которые в мировой практике понимают как капиталовложения за рубежом, предполагающие в той или иной мере контроль инвестора за предприятием, в которое они вложены.
1.4 Роль инвестиций в экономике
Инвестиции играют существенную роль в функционировании и развитии экономики. Изменения в количественных соотношениях инвестиций оказывают воздействие на объем общественного производства и занятости, структурные сдвиги в экономике, развитие отраслей и сфер хозяйства.
Обеспечивая накопление фондов предприятий, производственного потенциала, инвестиции непосредственно влияют на текущие и перспективные результаты хозяйственной деятельности. При этом инвестирование должно осуществляться в эффективных формах, поскольку вложение средств в морально устаревшие средства производства, технологии не будет иметь положительного экономического эффекта. Нерациональное использование инвестиций влечет за собой замораживание ресурсов и вследствие этого сокращение объемов производимой продукции. Таким образом, эффективность использования инвестиций имеет важное значение для экономики: увеличение масштабов инвестирования без достижения определенного уровня его эффективности не ведет к стабильному экономическому росту.
Инвестиции находятся в определенной зависимости от фактора экономического роста, для выяснения которой следует предварительно определить понятия валовых и чистых инвестиций.
Валовые инвестиции представляют собой совокупный объем инвестируемых средств, направляемых в основной капитал и в материально-производственные запасы в течение определенного периода времени, и включает в себя инвестиции расширения и инвестиции обновления.
Источником инвестиций расширения является созданная стоимость, фонд чистого накопления национального дохода. Предприниматели мобилизируют ее за счет собственной прибыли и на рынке ссудных капиталов. Источником инвестиций обновления являются средства из фонда возмещения потребленного основного капитала, т.е. амортизационные отчисления.
Чистые инвестиции отражают сумму валовых инвестиций, уменьшенную на величину амортизационных отчислений в определенном периоде. Размер чистых (при определенном уровне эффективности их использования) показывает, в какой фазе развития находится экономика страны.
Если объем валовых инвестиций превышает объем амортизационных отчислений (положительная величина чистых инвестиций), прирост производственного потенциала обеспечивает расширенное воспроизводство, экономика находится на стадии подъема, растущей деловой активности, а государство имеет "развивающуюся экономику".
При равенстве валовых инвестиций и амортизационных отчислений (нулевое значение чистых инвестиций) в экономику поступает такое же количество инвестиционных средств, какое и потребляется, имеет место простое воспроизводство общественного продукта (по стоимости), характеризующееся отсутствием экономического роста, "топтанием на месте экономики".
Если величина валовых инвестиций меньше суммы амортизационных отчислений (отрицательная величина чистых инвестиций) происходит сокращение инвестиций, что вызывает уменьшение производственного потенциала, как следствие, экономический спад, "проедание государством своего капитала".
Стабильное сбалансированное развитие экономики обеспечивается бесперебойностью инвестиционного процесса, в рамках которого изменение объема чистых инвестиций не только влияет на изменение дохода в экономике, но и вызывает эффект мультипликатора. Данный эффект заключается в том, что в условиях повторяющегося в экономике характера потоков инвестиционных расходов и получаемых благодаря им доходов расходы одного субъекта выступают как доходы другого, а всякое изменение дохода при определенном соотношении между потреблением и сбережением вызывает соответствующее изменение потребления и сбережения, так что первоначальные колебания величины инвестиций ведут к многократному, хотя и уменьшающемуся с каждым последующим циклом, изменению дохода. Таким образом, рост инвестиций вызывает увеличение уровня объема производства и дохода, который на стадии использования распадается на потребляемую и сберегаемую части. При этом часть, направляемая на потребление (например, покупку товаров), служит источником дохода для производителей. Полученный доход, в свою очередь, также распадается на потребление и сбережение и т.д. В итоге первоначальный рост инвестиций приводит к многократному увеличению дохода.
Эффект мультипликатора действует и в обратном направлении. При незначительном сокращении инвестиционных расходов может произойти существенное снижение дохода. Поэтому для эффективного функционирования экономики следует обеспечивать определенное значение коэффициента мультипликации, создавать условия для бесперебойной инвестиционной деятельности.
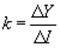
Мультипликатор инвестиций представляет собой отношение изменения дохода к изменению инвестиций:
.
Равновесие в двухсекторной модели
Для того, чтобы исследовать, как устанавливается равновесие, следует ввести понятия фактических и планируемых расходов, которые могут быть не равны друг другу. Фактические расходы (Е) – это расходы, которые в действительности сделали домохозяйства (потребительские расходы – С) и фирмы (инвестиционные расходы – I), т.е. в двухсекторной модели

Планируемые расходы (Ер
) – это расходы, которые намеревались (планировали) сделать домохозяйства и фирмы. Фактические расходы всегда равны выпуску (Е = Y), а планируемые могут быть не равны выпуску. Если планируемые расходы меньше выпуска (Е < Y), то фирмы не смогут продать часть произведенной продукции, и товарные запасы фирм увеличатся, т.е. произойдет накопление запасов непроданной продукции. Если планируемые расходы больше выпуска (Е >Y), а это означает, что экономические агенты хотят купить больше, чем произведено в данном году, то фирмы будут сокращать свои запасы, продавая продукцию, находившуюся до этого момента на складах. А инвестиции в запасы (изменение запасов), как известно, являются компонентом инвестиционных расходов. Таким образом, фактические инвестиции складываются из планируемых инвестиций Iр
и непредвиденных инвестиции в запасы I un
:

Соответственно фактические расходы равны сумме потребительских расходов и фактических инвестиционных расходов: Е = С + I, а планируемые расходы равны сумме потребительских расходов и планируемых инвестиционных расходов:
Е р
= С + I р
Поскольку фактические расходы всегда равны выпуску, а фактические расходы равны планируемым расходам только, когда непредвиденные инвестиции в запасы равны 0, то равновесие товарного рынка наступает тогда, когда фактические расходы равны планируемым (Е = Е р
) и соответственно планируемые расходы равны выпуску (Е р
= Y).
В соответствии с предпосылками модели, совокупный выпуск эквивалентен совокупному доходу, а совокупный доход расходуется на потребление (С) и сбережения (S): Y = С + S Поскольку в состоянии равновесия
Y = Е = Е р
, то .
Следовательно, при равновесии сбережения равны планируемым инвестициям. А поскольку сбережения являются изъятием из потока расходов и доходов, а инвестиции представляет собой инъекцию в поток расходов и доходов, то в состоянии равновесия инъекции равны изъятиям.
Кейнсианский крест графически представлен на рис.9.4. Кривая фактических расходов представляет собой биссектрису (линию 450
), поскольку фактические расходы равны выпуску, и любая точка этой кривой соответствует этому условию. Кривая планируемых расходов представляет собой линию, имеющую положительный наклон (угол наклона определяется величиной предельной склонности к потреблению - mрс), исходящую не из начала координат, поскольку всегда существует автономное потребление (С), не зависящее от уровня дохода. В итоге получаем наклонный крест, из-за чего модель получила свое название "Кейнсианский крест"

Равновесие расходов и дохода, т.е. равновесие товарного рынка находится в точке пересечения двух кривых (т. А). В этой точке: 1) планируемые расходы равны выпуску (доходу): Е р
= Y; 2) фактические расходы равны планируемым расходам: Е = Е р
; 3) инъекции равны изъятиям: I = S; 4) планируемые инвестиции равны сбережениям: I р
= S
Рассмотрим неравновесные точки. Например, в т. В:
Eр
< Y , Eр
< EÞIр
< S
и инъекции меньше изъятий. Наоборот, в т. С:
Eр
> Y , Eр
> EÞIр
> S
и инъекции больше изъятий.
Как устанавливается равновесие товарного рынка? Если экономика находится в точке В, где планируемые расходы (сколько продукции хотят купить экономические агенты) меньше выпуска (сколько фактически произведено), часть продукции продана не будет и произойдет непредвиденное накопление (увеличение) фирмами запасов непроданной продукции. В результате экономика придет в состояние равновесия (движение из т.В в т.А). Если же экономика находится в точке С, в которой планируемые расходы превышают выпуск, что означает, что хотят купить больше, чем фактически произведено, фирмы начинают распродавать запасы непроданной в предыдущий период продукции, запасы сокращаются, спрос удовлетворяется, и экономика приходит в состояние равновесия (движение из т.С в т.А).
Глава 2.Анализ инвестиций в РФ
2.1 Инвестиционный климат РФ в целом
В рыночной экономике совокупность политических, социально-экономических, финансовых, социокультурных, организационно-правовых и географических факторов, присущих той или иной стране, привлекающих или отталкивающих инвесторов, принято называть ее инвестиционным климатом. Благоприятный инвестиционный климат страны является одним из важнейших критериев экономики, стимулирует приток капвложений, технологий, информации в рамках, определенных экономической целесообразностью и международной конкурентно-способностью (на отраслевом и макроэкономическом уровне).Для активизации притока инвестиций в различные регионы страны необходимо создание благоприятного инвестиционного климата. Критерием привлекательности национальной экономики для инвесторов является уровень риска предпринимательской деятельности и рентабельность инвестиционных проектов. При этом учитываются следующие факторы: политическая стабильность, емкость и спрос внутреннего рынка, доступ к природному сырью, развитие правового регулирования деятельности инвесторов в стране, макроэкономическая политика и перспективы экономического роста, издержки производства и качество рабочей силы, кредитоспособность субъектов хозяйственной деятельности. Неблагоприятное состояние инвестиционного климата предопределяется:
● значительными, размерами неплатежей, высоким удельным весом кредиторской задолженности предприятий по отношению к объему произведенной продукции;
● значительным по объемам вывозом отечественного капитала, существенно превышающим приток прямых иностранных инвестиций;
● низким уровнем реальных доходов и накоплений населения;
● несовершенством российского законодательства, регулирующего инвестиционную сферу.
Лучший индикатор инвестиционного климата — иностранный капитал. Россия — в целом самая богатая естественными ресурсами страна мира - привлекала из-за рубежа меньше инвестиций, чем, допустим, маленькая и лишенная природных богатств Венгрия. Единственное, что до недавнего времени могло соблазнить инвесторов,— это шанс относительно быстро получить сверхвысокую доходность .
Таблица 1.Основные показатели инвестиционных процессов в экономике России, 2005-2007 гг.
| 2005 |
2006 |
2007 |
| ВВП (трлн. руб.) |
21,6 |
26,9 |
33,0 |
| Валовое накопление основного капитала |
3837 |
4957 |
6940 |
| Инвестиции в основной капитал |
3611 |
4581 |
6385 |
| Иностранные инвестиции |
1517 |
1498 |
2813 |
| Прямые иностранные инвестиции |
370 |
372 |
639 |
| Кредиты и долговые ценные бумаги |
1189 |
1141 |
2081 |
Состояние инвестиционного климата усугубляется низкими темпами реструктуризации банковской системы. В инвестиционном процессе она практически не задействована.Улучшению инвестиционного климата будет способствовать создание банковской структуры, которая аккумулировала бы финансовое обеспечение государственных гарантий. Такое структурное подразделение может быть создано в составе Российского банка развития. Банк развития, контрольный пакет акций которого будет принадлежать государству, является специализированной финансовой структурой, предназначенный аккумулировать средства внутренних и внешних источников для развития реального сектора экономики.
В целях создания благоприятного инвестиционного климата целесообразно осуществить также меры по стимулированию иностранных инвесторов. Первоочередными из них являются:
● отмена действующего ограничения (50%) по налогообложению реинвестируемой прибыли. Реализацию этой льготы следовало бы осуществлять путем предоставления инвестиционного налогового кредита на платной, возвратной и конкурсной основе части прибыли, освобождаемой от налогообложения;
● освобождение от НДС, уплаты таможенных платежей импортируемого не конкурирующего технологического оборудования для внедрения новых технологий;
● введение для целей налогообложения предприятий, осуществляющих технологическую модернизацию производства, повышенного коэффициента ускоренной амортизации машин и технологического оборудования, вводимых и используемых в рамках новых технологий. Улучшению инвестиционного климата способствовало бы также обеспечение доступа иностранных инвесторов к информации об инвестиционных возможностях российской экономики и экономики регионов путем совершенствования системы информационного и консультативного обеспечения, маркетинга инвестиционных программ и проектов. Совершенствование инвестиционного климата предопределяет необходимость:
1) улучшения макроэкономической конъюнктуры (снижения инфляции, процента за долгосрочный банковский кредит, укрепление финансового положения предприятий);
2) развития системы гарантий, обеспечения прав инвесторов, защиту их собственности;
3) развития организационно-правовых условий, включающих целевое использование амортизации, налоговые стимулы для капитализации прибыли, развития вторичного рынка ценных бумаг, страхование инвестиции, ипотеку, залоговое право, использование накоплений населения;
4) проведения реформы налоговой системы в направлении снижения налогового бремени на инвесторов и стимулирования инвестиционной деятельности;
5) введения мер для предотвращения утечки капитала за рубеж и стимулирование возврата отечественного капитала в страну.
По мнению большинства исследователей, рекордные показатели иностранных инвестиций 2006 года были достигнуты благодаря нескольким разовым факторам. Это, в первую очередь, либерализация валютного законодательства (смягчение условий открытия счетов в иностранных банках, снижение обязательной нормы продажи валютной выручки) и укрепление рубля. Отмена ограничений на движение капитала создала условия для репатриации иностранных сбережений российских предпринимателей. Стремительно дорожающий рубль вынудил банки обратиться к более дешевым зарубежным источникам заимствования; инвесторы конвертировали доллары в рубли, чтобы успеть заработать на валютном курсе.
Таким образом, и инвесторы, и наблюдатели согласны с тем, что в России сложился не очень благоприятный инвестиционный климат. В связи с высоким уровнем конкуренции на мировых рынках капиталов, дефицитом накоплений в российской экономике нужны меры, направленные на его улучшение. Перечисленные меры, наряду с достижением в стране экономической и политической стабильности, позволят повысить рейтинг России и доверие западных инвесторов, снизить риски вложения инвестиций.
2.2 Анализ иностранных инвестиций в экономике РФ
Россия привлекла капитал в форме прямых, портфельных и в виде прочих инвестиций. Прямые инвестиции - основная форма экспорта частного предпринимательского капитала, обеспечивающая установление эффективного контроля и дающая право непосредственного распоряжения над заграничной компанией. Являются вложением капитала во имя получения долгосрочного интереса. В соответствии с новым Законом "Об иностранных инвестициях в Российской Федерации", под "прямой иностранной инвестицией" понимается осуществление следующих операций:
● приобретение иностранными инвесторами не менее 10 % доли, долей (вклада) в уставном (складочном) капитале коммерческой организации, созданной или вновь создаваемой на территории России в форме хозяйственного товарищества или общества;
● вложение капитала в основные фонды филиала иностранного юридического лица, создаваемого на территории России;
Сравнивая относительную предпочтительность привлечения капитала в различных формах, следует подчеркнуть, что прямые инвестиции имеют ряд преимуществ, в том числе:
активизируется деятельность частного сектора;
расширяется выход на внешние рынки;
облегчается доступ к новым технологиям и методам управления;
больше вероятность реинвестирования прибыли внутри страны, чем вывоза в страну базирования;
приток предпринимательского капитала не увеличивает размер внешней задолженности;
создаются новые рабочие места;
расширяется налогооблагаемая база;
Следует подчеркнуть, что в последние годы наметилась тенденция к росту удельного веса прямых инвестиций в общем размере иностранных капиталовложений в экономику России. Эта форма привлечения капитала остается наиболее важной для экономики страны .
Портфельные инвестиции - такие капитальные вложения, доля участия которых в капитале фирм ниже предела, обозначенного для прямых инвестиций. Портфельные инвестиции не обеспечивают контроля за заграничными компаниями, ограничивая прерогативы инвестора получением доли прибыли (дивидендов).Прочие инвестиции - группа инвестиций, в которую в основном входят международные займы и банковские депозиты. Фактически под прочими инвестициями в российской статистике следует понимать ссудные инвестиции. В последние годы в мировой экономике прослеживается устойчивая тенденция к росту ссудных инвестиций. Как показывает мировой опыт, практически ни одно государство в мире при создании развитой рыночной экономики не могло обойтись без внешних заемных финансовых ресурсов.
В современном мире экспорт ссудного капитала осуществляется как по государственной, так и по частной линии, на двусторонней и многосторонней основе, на льготных и коммерческих условиях. По целевому назначению это могут быть официальная государственная помощь развитию, кредиты на осуществление конкретных инвестиционных проектов, техническая помощь, экспортные кредиты, облигационные займы и др.
Формы заграничных капиталовложений в изложенной схеме всеравнозначны. Между тем не до конца ясно, какие виды инвестиций важнее с точки зрения управления реальным производством. В основе этих разночтений, которые выходят на уровень законодательных актов и правительственных постановлений, лежит, как правило, личный или групповой интерес соответствующих финансово-промышленных кругов. Но все более признается приоритетное значение прямых инвестиций как наиболее удачно объединяющих национальные (или государственные) интересы различных слоев общества. К тому же они преимущественно связаны с конкретными международно-оперирующими факторами, финансово-промышленными группами, поэтому они более управляемы, их "правила игры" более определенны, что особенно важно с позиций обеспечения реальных конкурентных стандартов для национальной экономики.Таким образом, существуют различные виды иностранных инвестиций.Прежде, чем выбрать ту или иную форму вложения капитала, иностранные инвесторы должны быть уверены в том, что страна реципиент имеет благоприятный инвестиционный климат, который определяется уровнем политической и экономической стабильности, инвестиционной политикой, устойчивостью денежной единицы и прочими факторами .Сегодня в России наибольший удельный вес приходится на прочие инвестиции, осуществляемые на возвратной основе — 50,2 %. На долю прямых иностранных инвестиций пришлось 46,7%, портфельных —3,1 % .Современные тенденции экономического развития России имеют историческую основу. Иностранный капитал занимал достаточно прочные позиции и в дореволюционной России. Значительный приток зарубежных инвестиций в экономику России отмечался еще в конце XIX века. Царское правительство всемерно поощряло приток иностранного капитала в страну. Одними из первых иностранных инвесторов в России были французские и бельгийские предприниматели, которые вложили значительные средства в металлургические и металлообрабатывающие предприятия. Немецкие капиталы концентрировались в горнодобывающей и химической промышленности, а английские предприниматели специализировались на добыче и переработке нефти. Иностранный капитал контролировал в России почти 90% добычи платины; около 80% добычи руд черных металлов, нефти и угля; 70% производства чугуна. Весьма заметным было присутствие иностранного капитала в химической, электротехнической, в производстве электроэнергии, строительстве железных дорог. Таким образом, в поиске средств для промышленного развития страны, царское правительство пошло по наиболее легкому пути - привлечения иностранных займов. Иностранные компании, имевшие ограничения на ввоз товаров в Россию, пользовались достаточно большой свободой по размещению инвестиций внутри страны. При этом иностранные компании часто злоупотребляли этой свободой, нещадно эксплуатируя природные ресурсы России, не стимулировали, а нередко тормозили развитие отдельных отраслей, которые могли обеспечить экономическую независимость страны. Под иностранными инвестициями в российском законодательстве подразумеваются все виды вложения имущественных и интеллектуальных ценностей иностранными инвесторами, а так же зарубежными филиалами российских юридических лиц, в объекты предпринимательской и других видов деятельности на территории России с целью получения дохода. Сейчас к числу основных инвесторов относятся Великобритания, Кипр, Нидерланды, Люксембург, Франция, Швейцария, Ирландия, Германия, США. На долю этих стран приходилось 77,0% общего объема накопленных иностранных инвестиций, 79,4% общего объема накопленных прямых иностранных инвестиций .
Судя по имеющимся статистическим данным, на конец 2007 г. накопленный (т.е. общий объем инвестиций с начала вложения, а также с учетом погашения, переоценки и прочих изменений активов и обязательств) иностранный капитал в экономике Российской Федерации составил порядка 220,6 млрд. долл. США. Рост к уровню 2006 г.- 54,3%. По состоянию на конец 2008 г. накопленный иностранный капитал в экономике России составил 264,6 млрд. долларов США, что на 19,9% больше по сравнению с предыдущим годом. В 2008 г. в экономику России поступило 103,8 млрд. долларов иностранных инвестиций, что на 14,2% меньше, чем в 2007 году. В I квартале 2008г. поступило иностранных инвестиций 17,3 млрд. долларов США (на 29,9% меньше соответствующего периода предыдущего года), во II квартале - 29,3 млрд. долларов США (меньше на 18,0%), в III квартале - 29,2 млрд. долларов США (больше на 6,1%), в IV квартале - 28,0 млрд. долларов США (меньше на 15,2 %). Объем погашенных инвестиций, поступивших ранее в Россию из-за рубежа, составил в 2008г. 68,0 млрд. долларов, или на 16,3% больше, чем в 2007 году. В I квартале 2008г. объем погашенных инвестиций составил 14,3 млрд. долларов США (на 18,0% меньше соответствующего периода предыдущего года), во II квартале - 20,0 млрд. долларов США (больше на 54,2%), в III квартале - 13,8 млрд. долларов США (меньше на 5,7%), в IV квартале - 19,9 млрд. долларов США (больше на 6,9%) .
Таблица 2. Поступление иностранные инвестиций в 2008 г.млн. долларов США
| 2008г. |
Накоплено на конец2008г. |
| поступило |
погашено (выбыло) |
Переоценкаи прочиеизменения активови обязательств |
| всего |
в % к итогу |
| Всего |
103,769 |
67,954 |
-5,771 |
264,599 |
100 |
2.3 Отраслевое и региональное распределение инвестиций
Отраслевое распределение. Анализ отраслевой структуры иностранных инвестиций в России позволяет сделать вывод, что приток зарубежных капиталовложений ограничивается не только наличием высоких политических и экономических рисков, но и противодействием сил, стремящихся избежать конкуренции на внутреннем рынке. Наиболее динамичные отрасли экономики России стремились не пускать к себе иностранные компании, чтобы не делиться с ними контролем над предприятиями и соответственно прибылью. Те же отрасли, в которых складывалось критическое положение, и стоял вопрос о выживании, уступали контроль ради самосохранения. В результате наиболее доступными для иностранных инвесторов оказались отрасли, переживающие серьезные трудности. Это имеет свою положительную сторону, так как иностранные капиталы оказывали поддержку тем, кто нуждался в них в наибольшей степени. За период проведения экономических реформ значительно изменилась отраслевая структура иностранных капиталовложений.
В 2007 г. основные средства были вложены в оптовую розничную торговлю (47 310 млн. долл. США), обрабатывающие производства (31 948 млн. долл. США), добычу полезных ископаемых (17 393 млн. долл. США). В 2008 г. основные средства были вложены в обрабатывающие производства (79 254 млн. долл. США), в оптовую розничную торговлю (55 666 млн. долл. США), добычу полезных ископаемых (50 235 млн. долл. США) (табл. 3).
Объем инвестиций, поступивших от иностранных инвесторов, по видам экономической деятельности
| 2005 |
2006 |
2007 |
| Млн. долл. США |
В про-центах к итогу |
Млн. долл. США |
В про-центах к итогу |
Млн. долл. США |
В про-центах к итогу |
| Всего инвестиций |
53651 |
100 |
55109 |
100 |
120941 |
100 |
| в том числе: |
| сельское хозяйство, охота и лесное хозяйство |
156 |
0,2 |
325 |
0,6 |
468 |
0,4 |
| рыболовство, рыбоводство |
22 |
0,0 |
23 |
0,0 |
49 |
0,0 |
| добыча полезных ископаемых |
6003 |
11,2 |
9152 |
16,6 |
17393 |
14,4 |
| обрабатывающие производства |
17987 |
33,5 |
15148 |
27,5 |
31948 |
26,4 |
| производство и распределение электроэнергии, газа и воды |
328 |
0,6 |
307 |
0,6 |
822 |
0,7 |
| строительство |
228 |
0,4 |
713 |
1,3 |
2911 |
2,4 |
| оптовая и розничная торговля; ремонт автотранспортных средств, мотоциклов, бытовых изделий и предметов личного пользования |
20461 |
38,2 |
13089 |
23,7 |
47310 |
39,1 |
| гостиницы и рестораны |
52 |
0,1 |
32 |
0,1 |
59 |
0,1 |
| транспорт и связь |
3840 |
7,2 |
5297 |
9,6 |
6703 |
5,5 |
| финансовая деятельность |
1813 |
3,4 |
4698 |
8,5 |
4450 |
3,7 |
| операции с недвижимым имуществом, аренда и предоставление услуг |
2602 |
4,9 |
5998 |
10,9 |
8414 |
7,0 |
| образование |
0,1 |
0,0 |
1 |
0,0 |
3 |
0,0 |
| здравоохранение и предоставление социальных услуг |
15 |
0,0 |
52 |
0,1 |
68 |
0,1 |
| предоставление прочих коммунальных, социальных и персональных услуг |
144 |
0,3 |
273 |
0,5 |
295 |
0,2 |
В 2008 г. продолжились изменения в отраслевом распределении иностранных вложений . Из-за роста издержек производства наметилась тенденция к снижению инвестиционной привлекательности добывающей промышленности. На первые позиции вышли торговля и обрабатывающее производство, а также транспорт и связь, операции с недвижимым имуществом и финансовая промышленность.
Региональное распределение. Объем иностранных инвестиций, привлеченных в различные регионы России, зависит от инвестиционного климата, последовательности в проведении рыночных реформ, развития экономического потенциала, динамики преобразования производственной и финансовой инфраструктуры, эффективности использования природных и трудовых ресурсов.
Анализ регионального распределения импорта иностранного капитала в Россию показывает, что с самого начала притока иностранного капитала наиболее привлекательными были Москва и промышленно развитые регионы, а также регионы, богатые природными ресурсами. Так, в 2006 г. из общего объема иностранных инвестиций на Москву приходилось 27,4%, Санкт-Петербурга – 4,2%, Свердловской области – 3,3%, Нижегородской области - 1,5%, Новгородской области – 1,1% .
Таблица 4 Сравнительные данные социально-экономических показателей отдельных субъектов Федерации в 2006 г.
| Валовой региональный продукт,млрд. руб. |
Инвестиции восновной капитал.млн. руб. |
| Москва |
4005,9 |
555784 |
| С.-Петербург |
667,9 |
177994 |
| Нижегородскаяобласть |
296,9 |
84812 |
| Новгородскаяобласть |
61,0 |
18790 |
| Свердловскаяобласть |
481,7 |
133775 |
Следует подчеркнуть, что региональное распределение иностранных инвестиций в России и в 2007 г. свидетельствует о том, что инвестиционный климат в стране неодинаков и имеет значительные межрегиональные отличия.
В целом в зависимости от разноплановых факторов определяющих инвестиционный климат, все регионы России можно разбить на три группы: ● Первая - регионы с относительно благоприятным инвестиционным климатом, с максимальной деловой активностью, высокими темпами формирования новых экономических структур.
К первой группе можно отнести около 20 регионов и городов. Прежде всего, это города Москва и Санкт-Петербург, области - Сахалинская, Московская, Томская, Челябинская, Свердловская, Ростовская, Архангельская, Нижегородская, Волгоградская, Самарская, Новгородская и Тюменская, Республика Татарстан, Республика Башкортостан, Республика Саха (Якутия), Красноярский и Краснодарский края. На эти регионы приходится около 80% всех иностранных инвестиций, вложенных в экономику России.
● Вторая - регионы промежуточного типа, с менее благоприятным инвестиционным климатом, с невысокой деловой активностью, средними темпами экономических преобразований. Вторая группа является самой многочисленной, в нее входит почти половина из 80 регионов России, в том числе-области - Белгородская, Оренбургская, Новосибирская, Камчатская, Вологодская, Мурманская, Тверская, Липецкая, Омская, Амурская, Магаданская, Приморский край, Республика Коми, Удмуртская Республика, Республика Дагестан.
● Третья - регионы с неблагоприятным инвестиционным климатом, с минимальной деловой активностью, низкими темпами формирования новых экономических структур.
К третьей группе относятся примерно 15 регионов, в том числе ряд регионов Центрально-Черноземного района, все республики Северного Кавказа, Республика Калмыкия, Республика Адыгея, Республика Тыва, Чукотский автономный округ, Республика Алтай, Еврейская автономная область, Ингушская Республика.
В 2007 г. из общего объема иностранных инвестиций на Москву приходилось 56,6%, Сахалинской области – 10,7%, Московской области - 9,2%, Санкт-Петербурга – 8,1%, Томской области – 7,3%, Республики Татарстан – 6,7%, Челябинской области – 5,4%, Свердловской области – 4,1%, Ростовской области – 3,9%, Архангельской области – 2,7% .
Объем инвестиций в 2008 г. понизился на 1,9% по сравнению с предыдущим годом, что следует рассматривать довольно неплохой результат, который позволил удержать тенденцию в динамике данного показателя от спада. Так, в 2008 г. доля Москвы из общего объема иностранных инвестиций составила 54,4%, Сахалинской области – 6,4%, Московской области -5,7%, Санкт-Петербурга -5,2%, Томской области – 5,0%, Республики Татарстан – 4,7%, Тюменской области – 3,8%, Краснодарского края – 3,1%, Республики Коми – 2,0%, Нижегородской области – 1,9%, Иркутской области – 1,4% .
Таблица 5 Региональное распределение иностранных инвестиций в России в 2008 г
| Регионы |
Иностранные инвестиции
Млн. долл.
|
Москва
Сахалинская обл.
Санкт-Петербург
Московская обл.
Республика Татарстан
Тюменская обл.
Краснодарский край
Республика Коми
Нижегородская обл.
Иркутская обл.
|
14314,8
1481,9
1259,2
1250,7
1060,0
1037,1
830,0
481,3
441,6
375,6
|
Региональное распределение накопленных иностранных инвестиций в России подтверждает особый статус и неоспоримое лидерство Москвы по привлекательности для зарубежных вкладчиков капитала. Сейчас на этот регион приходится почти половина общего объема накопленных инвестиций, в том числе более трети прямых инвестиций. Следует подчеркнуть, что региональное распределение иностранных инвестиций в России свидетельствует о том, что инвестиционный климат в стране не одинаков и имеет значительные межрегиональные отличия .
2.4 Вопросы повышения инвестиционной активности
Одним из важнейших факторов, способствующих росту экономики, является инвестиционная активность предпринимательства. Для создания условий, делающих регион привлекательным для инвесторов, необходима разработка и реализация индивидуальных программ для стратегических, прямых финансовых и портфельных инвесторов.
Программа для стратегических инвесторов должна стимулировать инвесторов размещать на территории регионов основные производственные мощности, научно-исследовательские и опытно-конструкторские лаборатории, головные офисы, службы маркетинга и сбыта. Сегодня в подавляющем большинстве случаев российские предприятия становятся лишь второстепенными звеньями цепочек создания стоимости, центр которых вынесен за пределы нашей страны.
Программа для прямых финансовых инвесторов должна демонстрировать инвестиционный потенциал объектов рискового финансирования. К ним относятся: корпоративные стратегии и бизнес-модели, способные обеспечить высокий потенциал роста, квалификация менеджмента, уровень культуры корпоративных взаимоотношений, механизмы, обеспечивающие ликвидный выход финансового инвестора посредством продажи акций на фондовом рынке или стратегическому инвестору.
Программа для портфельных инвесторов должна включать меры обеспечения платежеспособности региона и стимулирования процессов развития компаний, способных разместить свои акции на открытом рынке.
Среди направлений инвестиционной политики в современных условиях одним из главных должно стать развитие инфраструктуры рискового финансирования. Необходимо стимулировать создание в регионах России фондов венчурного финансирования, которые должны активно сотрудничать с региональными властями и пользоваться их поддержкой .
Повышение инвестиционной активности возможно за счет реализации следующих мер:
- разработки законодательно-правового механизма зашиты частных инвестиций и введения государственных гарантий их возврата за счет организации государственного страхового инвестиционного фонда;
- формирования стимулирующей организационно-правовой системы привлечения валютных сбережений населения введением порядка использования валюты на внутреннем рынке только по безналичным перечислениям и с помощью электронных карточек;
- обеспечения государственных гарантий привлечения прямых иностранных инвестиций путем введения обязательного государственного страхования и создания финансового механизма возврата валютных доходов, в том числе на основе раздела продукции, но не более 50% долевого участия иностранного инвестора;
- стабилизации финансово-денежного обращения наведением элементарного порядка в финансовом обслуживании предприятий, организаций и населения (ограничение расчетных счетов в банках до одного- двух рублевых и одного валютного);
- введением действенных денежных санкций против нарушений нормальных процессов финансово-денежного обращения банковской и финансовой олигархией и государственными организациями законодательного запрета Центробанку России заниматься банковским бизнесом;
- законодательно-правового обеспечения таможенной, налоговой и социальной защиты внутреннего рынка России на принципах международного права от неравноправной рыночной конкуренции со стороны, как российских олигархов, так и мировых банковско-финансовых магнатов и транснациональных финансово-промышленных корпораций;
- рентного регулирования государством рынков продукции естественных монополистов путем изъятия природной ренты, в первую очередь в целях упорядочения ценообразования на электроэнергию, топливо, черные и цветные металлы, а также стабилизации тарифов на железнодорожные перевозки и перевозки грузов, особенно в районы Крайнего Севера.
В то же время, в Концепции долгосрочного социально-экономического развития РФ до 2020 г. одним из направлений перехода экономики к инновационному социально-ориентированному типу развития является создание конкурентной институциональной среды, стимулирующей предпринимательскую активность и привлечение капитала в экономику:
—создание и развитие конкурентных рынков, последовательная демонополизация экономики;
—поддержка образования новых компаний и новых видов бизнеса, основывающихся на инновациях, стимулирование развития малого бизнеса;
—снижение инвестиционных и предпринимательских рисков за счет развития финансовых институтов, обеспечения макроэкономической стабильности, защиты прав собственности и повышения предсказуемости экономической политики государства;
—улучшение доступа компаний к долгосрочным финансовым ресурсам, развитие финансовых рынков и других институтов, обеспечивающих трансформацию сбережений в капитал;
—повышение договороспособности компаний и транспарентности ведения бизнеса, в том числе, на основе самоорганизации предпринимательского сообщества;
—обеспечение высокого качества государственного администрирования в сфере экономики.
В связи с этим необходимо активно стимулировать такие предпосылки экономического роста, как:
1)возрождение и умножение высококачественного человеческого потенциала;
2)восстановление основного капитала;
3)обеспечение свободного перелива капитала между отраслями экономики при полном прекращении нелегального его оттока из страны, который, даже по самым скромным оценкам, достигает ежегодно 20—25 млрд. долл.;
4)совершенствование налоговой системы, направленное на приоритетное стимулирование научно-инновационной деятельности;
5)формирование цивилизованного инвестиционного рынка и его ядра — рынка инноваций и высоких технологий при подчиненном и обслуживающем положении фондового рынка, ориентированного на финансирование инноваций и высоких технологий, а не на финансовые махинации. За счет фондового рынка в нашей стране формируется не более 3% реальных объемов инвестиций, а акции и ценные бумаги не действуют как факторы широкого привлечения частных и иностранных капиталов, поскольку операции на фондовом рынке на 98% проводятся в спекулятивных целях.
Необходимо кардинальное изменение социальной ориентации структуры рыночной экономики. Для этого требуется разработать государственные мероприятия, направленные на:
—повышение потребительского спроса за счет резкого роста оплаты труда, в первую очередь в научно-инновационной сфере, а также сокращения разницы в доходах самой богатой и самой бедной части населения;
—значительное увеличение инвестиционного спроса путем приоритетного развития социально значимых отраслей экономики и сферы услуг на основе льготного кредитования, субсидий, таможенных и импортных квот, налоговых льгот по снижению НДС, тарифной защиты, введения государственного заказа на поставку сырья для производства продукции на простаивающих производственных мощностях в ряде отраслей, развития малого предпринимательства, ограничения долевого участия прямых зарубежных инвестиций с учетом раздела продукции (не более 50%);
—приоритетное инновационное развитие производства высокотехнологичных машин и оборудования для социально значимых отраслей экономики и сферы услуг путем загрузки простаивающих мощностей в машиностроении (50—70%), технологической конверсии оборонных заводов на основе государственного заказа и связанных кредитов на поставку оборудования по импортозамещению, создания вместе с оборонными предприятиями инновационно-технологических предприятий, поддержки малых венчурных технологических фирм, формирования рынка инновационных технологий, замещения импорта оборудования отечественными изделиями;
—увеличение производства основных видов сельскохозяйственной продукции государственного заказа, беспроцентное государственное кредитование сельского хозяйства под закупки посевного зерна, сельскохозяйственных машин, горюче-смазочных материалов для проведения посевных работ и сбора урожая, развитие фермерства, освобождение продукции сельского хозяйства от налога с оборота, а также осуществление частичного дотационного финансирования сельскохозяйственного производства и фермерства.
Важнейшим приоритетом инвестиционной политики является восстановление расширенного воспроизводства. Для его реализации необходимо первоочередное инвестирование самых коротких воспроизводственных цепочек, начиная со второго подразделения по производству товаров народного потребления, во взаимосвязи с одновременным развитием высокотехнологических средств труда и предметов труда путем приоритетного инвестирования новаций, с последующим восстановлением всей цепочки научно-технологического цикла. Учитывая значительное разрушение воспроизводственных цепочек из-за распада СССР, закрытия ряда предприятий по производству средств труда в машиностроении, целесообразно налаживать воспроизводственные связи в рамках Союза России и Белоруссии, а также с другими странами СНГ, импортировать отдельные виды оборудования с учетом ограничений ВТО. При расширении функций сбережения и инвестирования финансово-кредитной системой реальной экономики и обеспечении устойчивого экономического роста появится возможность для структурно-инновационной модернизации основного капитала всех отраслей народного хозяйства. На такой основе будет обеспечена реальная сбалансированность расширенного воспроизводства за счет дополнения коротких воспроизводственных циклов более длительными. Это позволит восстановить устойчивое накопление в национальной экономике и обеспечить стабильное социально-экономическое развитие за счет приоритетного развития наукоемкого технологического базиса расширенного воспроизводства.
Для России как крупного федеративного государства, характеризующегося существенными природно-климатическими и социально-экономическими различиями между отдельными территориями, задача регулирования инвестиционных процессов усложняется. Для выявления факторов, сдерживающих инвестиционную активность в стране, нужен более подробный анализ инвестиционной деятельности не только в отраслевом, но и в территориальном разрезе (по конкретным субъектам Федерации). Результаты такого анализа одинаково важны сточки зрения: формирования "федеральным центром" инвестиционной политики; выработки стратегии развития самими субъектами; согласования их совместных усилий, направленных на повышение экономической мощи страны .
2.5 Влияние Мирового кризиса на инвестиции
Взвешенная бюджетная политика и существенные финансовые резервы защитили Россию от более глубокого влияния внешних шоков. Ответные меры экономической политики, будучи быстрыми, широкомасштабными и хорошо скоординированными, помогли ограничить негативное влияние кризиса. Краткосрочная макроэкономическая стабилизация должна оставаться приоритетом, а Правительство должно продолжать корректировать ответные меры краткосрочной политики в соответствии с меняющимися экономическими условиями.
Однако кризис также предоставляет возможности Российскому правительству для решения среднесрочных и долгосрочных задач по повышению конкурентоспособности, диверсификации экономики и модернизации финансового сектора, чтобы стимулировать быстрые темпы экономического роста и жизненного уровня. Такая политика обеспечит возможности, при которых Россия сумеет выйти из глобального кризиса, создав новый потенциал для динамичного долгосрочного роста на основе повышения производительности и в большей степени используя преимущств интеграции в глобальной экономике.
Снижение темпов роста производства и инвестиций После 10 лет бурного роста Россия испытала воздействие глобального финансового кризиса, что ставит новую задачу в области макроэкономической политики. После того как российская экономика достигла впечатляющих темпов роста в период с 1999 по 2007 г. (7% в год) и еще более высоких темпов в первой половине 2008 г. (8%), в стране началось постепенное замедление экономического роста.
Замедление темпов экономического роста в России
В первой половине 2008 г. в России по-прежнему наблюдались высокие темпы роста ВВП — около 8%, что отчасти было отражением хороших фундаментальных макроэкономических условий (табл. 1.1). Такие темпы роста превышали долгосрочный потенциал российской экономики (согласно оценкам, он составляет примерно 6—7%), а признаки перегрева были уже очевидны. Рост инфляции, сокращение безработицы, повышение коэффициента использования производственных мощностей, а также тот факт, что рост реальной заработной платы значительно опережает рост производительности, — все эти признаки свидетельствовали о "перегреве" экономики в условиях ограничений (в основном инфраструктурных), сдерживающих предложение.
Хорошие фундаментальные макроэкономические условия в России, взвешенная бюджетная политика и отсутствие влияния кризиса ипотечного кредитования в США частично защитили российскую экономику и ограничили влияние глобального финансового кризиса. Благодаря незначительному объему государственного внешнего долга, большому двойному профициту (профицит бюджета и счета текущих операций), наличию одних из крупнейших в мире золотовалютных резервов и благоприятным оценкам рейтинговых агентств, иностранные инвесторы вплоть до середины 2008 г. считали Россию безопасной гаванью, которая достаточно защищена от ухудшения финансовых условий во всем мире. Создав хороший бюджетный и резервный буфер по сравнению с большинством других стран с формирующейся рыночной экономикой, Россия смогла задержать приход и ограничить воздействие глобального кризиса. На самом деле сейчас уже очевидно, что если бы к началу текущего глобального финансового кризиса у России не было такого большого профицита бюджета и огромного объема ресурсов, накопленных в стабилизационном фонде и золотовалютных резервах, последствия кризиса сказались бы гораздо раньше и были бы намного серьезнее, чем сейчас. Не менее важно и то, что у правительства было бы гораздо меньше времени, ресурсов, возможных вариантов экономической политики и свободы маневрирования для того, чтобы ограничить воздействие кризиса на реальный сектор.
Глобальный кризис негативно сказался на России в виде четырех взаимосвязанных шоков:
1. Развитие глобального кризиса привело к резкому прекращению притока, а затем к оттоку капитала в результате бегства инвесторов, которые стали уводить свои средства в более надежные активы с развивающихся рынков, включая Россию.
2. Глобальный кризис кредитной системы сказался на банковской системе России, у которой возникли проблемы с ликвидностью в период сроков погашения краткосрочной внешней задолженности.
3. Резкое падение цен на нефть ведет к уменьшению профицитов бюджета и счета текущих операций России, а также к снижению огромных золотовалютных резервов страны.
4. На российском фондовом рынке произошел масштабный обвал (это во многом отражает утрату доверия инвесторов во всем мире и ожидание резкого падения цен на нефть). К середине ноября 2008 г., т. е. менее чем за 5 месяцев, он потерял примерно 2/3 своей стоимости.
Данные шоки сдерживают внутренний спрос, являющийся главным фактором роста в России, что ставит перед Правительством новые задачи экономической политики в совершенно иных внешних и внутренних условиях по сравнению с тем, что было всего несколько месяцев назад. Главная задача экономической политики сейчас заключается в том, чтобы ограничить неизбежное воздействие кризиса на реальный сектор, сохранив при этом доставшуюся большой ценой макроэкономическую стабильность и особенно стабильность бюджетной системы.
Начиная с июля 2008 г. стремительное развитие глобального финансового кризиса и падение цен на нефть привели к резкому ухудшению перспектив развития мировой экономики, вызвав "охлаждение" российской экономики. После 3 июля 2008 г., когда цены на нефть достигли своего исторического максимума — 144,04 долл. за нефть марки Brent и 139,52 долл. за нефть марки Urals, — появились первые признаки "охлаждения" экономики, которое сначала было обусловлено возросшими ограничениями производственных мощностей, увеличением затрат на факторы производства и реальным укреплением рубля. Однако падение мирового спроса и снижение цен на нефть ускорили процесс замедления роста (см. врезку "Ухудшение мировой конъюнктуры").Со стороны предложения снижение темпов роста сначала произошло в торгуемых отраслях, однако сейчас замедление роста наблюдается и в неторгуемых отраслях, где ранее были зарегистрированы очень высокие темпы роста. Резкий рост заработной платы, опережавший рост производительности, и укрепление рубля продолжали снижать конкурентоспособность торгуемых отраслей. В целом в торгуемых отраслях рост во II кв. 2008 г. составил 3,4%, в то время как в I кв. 2008 г. он составил 5,2% (табл. 1.2). Вместе с тем в неторгуемых отраслях в первой половине 2008 г. наблюдался рост в 9,5%, что было обусловлено высоким потребительским спросом, особенно в строительстве и розничной торговле. Однако рост замедлился даже в бурно развивающейся строительной отрасли, где во II кв. 2008 г. темпы роста сократились с 28,3% в предыдущем квартале до 18,7%. Сейчас появились признаки того, что темпы роста строительной отрасли будут и в дальнейшем резко снижаться ввиду продолжающегося ужесточения условий кредитования. Самые последние данные о росте производства в основных отраслях свидетельствуют о том, что в III кв. прошедшего года в строительстве продолжалось резкое сокращение темпов роста, которые составили всего лишь 9,5% (за аналогичный период 2007 г. — 15,7%).Обрабатывающая промышленность, двигатель промышленного роста в России, показывала хорошие результаты вплоть до конца сентября 2008 г., однако в IV кв. в этом секторе, вероятно, произойдет снижение темпов роста. Согласно последним данным об индексах производства в сентябре 2008 г. темпы роста в обрабатывающей промышленности составили 8,2% (к сентябрю 2007 г.), что, главным образом, объясняется ростом производства гидротурбин (97,3%), тракторов (74%), легковых автомобилей (28,4%) и труб (26,1%). В течение первых 3 кварталов 2008 г. объем производства в обрабатывающей промышленности вырос на 7,7% (за аналогичный период 2007 г. — на 7,8%). Высокие темпы роста в обрабатывающей промышленности отчасти обусловлены наличием старых заказов (в основном от государственных предприятий). Однако в связи с ужесточением условий кредитования в IV кв. обрабатывающая промышленность, скорее всего, тоже столкнется с падением спроса, что негативно скажется на темпах роста производства.Заглядывая в будущее, можно предположить, что ухудшение финансовых условий в мире и резкое падение цен на нефть в III и IV кв. 2008 г. приведут к еще большему снижению темпов экономического роста в России. Финансовые потрясения уже вызвали увеличение стоимости заимствований, отрицательно повлияли на ликвидность и кредитование и, как следствие, ограничили совокупный спрос, что оказывает неблагоприятное воздействие на уровень потребления и инвестиций. Ожидается, что в IV кв. все эти процессы ускорятся, особенно в отраслях, более чутких к изменению финансовых условий, таких как строительство и розничная торговля. Сокращение внутреннего спроса, одного из основных факторов краткосрочного роста в России.Снижение темпов роста инвестиций в первой половине 2008 г. стало началом постепенного сокращения роста совокупного спроса, за которым последовало снижение темпов роста потребления (рис. 1.1). После бума, наблюдавшегося в I кв. 2008 г., когда объем инвестиций, являющихся главным (вместе с потреблением) фактором роста в краткосрочной перспективе, увеличился на 19,1%, во II кв. произошло сокращение до 13%, а III кв. — до 9,9% (табл. 1.3). Такое снижение темпов роста инвестиций было во многом связано с государственными корпорациями и добывающими отраслями, где, согласно отчетным данным, в первом полугодии 2008 г. темпы роста инвестиций резко упали до 6,2% (по отношению к первому полугодию 2007 г.), в то время как в 2007 г. они составляли 19,1%. Свой вклад в такое развитие событий внесли ограничения предложения, увеличение глобальных неопределенностей и изменения в настроении иностранных и отечественных инвесторов. С ростом неопределенностей инвесторы повсеместно сократили горизонты инвестирования и пересмотрели (или отложили) долгосрочные дорогостоящие инвестиции. В результате снизились темпы роста прямых иностранных инвестиций. Общая доля инвестиций в ВВП по-прежнему составляет около 22%, что ниже уровня, характерного для быстро развивающихся стран Азии. Кроме того, ухудшение условий кредитования, растущая неопределенность и прогнозируемый рост безработицы уже сказались на темпах роста потребления.В перспективе большую тревогу вызывает то, что инвестиции сильно сконцентрированы в нескольких, главным образом неторгуемых, отраслях. На долю неторгуемого сектора приходится 2/3 инвестиций в основной капитал, что отражает общую структуру роста (табл. 1.4). Более подробный анализ инвестиций по отраслям показывает, что основной объем инвестиций по-прежнему сконцентрирован в добывающих отраслях, а также в секторе транспорта и связи, где трубопроводный транспорт занимает значительную долю. Рост инвестиций в торгуемом секторе сократился в первом полугодии 2008 г. до 8,1% (в 2007 г. он составлял 16,1%). Что касается не торгуемого сектора, то в розничной торговле началось даже резкое сокращение инвестиций в основной капитал, прежде всего из-за ужесточения условий кредитования. В то же время инвестиции в основной капитал в железнодорожной отрасли выросли на 49,3% в первом полугодии 2008 г., что, возможно, объясняется наличием старых крупных заказов на локомотивы, а также пассажирские и грузовые вагоны.
2.6 Инвестиционные проекты в Краснодарском крае
"Краснодарский край развивается ускоренными темпами и имеет устойчивую репутацию одного из наиболее инвестиционно привлекательных регионов России. Рейтинг Краснодарского края в мировом бизнес-сообществе весьма высок. Так, в сентябре 2009 года агентство "Standard&Poor’s" подтвердило международный кредитный рейтинг Краснодарского края "ВВ" (прогноз "Стабильный"). А в ноябре 2009 года не менее авторитетное международное агентство "Fitch Ratings" повысило долгосрочный рейтинг Краснодарского края в национальной валюте со "Стабильного" до "Позитивного", отметив при этом диверсифицированную и развитую экономику края, стабильный поток налоговых доходов, хорошие показатели исполнение бюджета и низкую долговую нагрузку.Для любого инвестора важнейшими условиями бизнеса являются стабильность и динамичность развития региона. Краснодарский край отвечает этим требованиям",- такой точки зрения придерживается губернатор Краснодарского края А.Н. Ткачев.
Выделяют 10 причин инвестирования в Краснодарский край:
1. В Краснодарском крае - одно из лучших в России инвестиционное законодательство.
2. Стратегически удачное географическое расположение Кубани по отношению к Европе.
3. Политическая стабильность в регионе.
4. Развитая финансовая инфраструктура.
5. Система государственного сопровождения инвестиционных проектов на всех этапах – от подписания протоколов о намерениях до сдачи объектов в эксплуатацию.
6. Концентрация современных высокообразованных производительных сил.
7. Высокий уровень жизни населения.
8. Кубань – регион, в котором создаются особые экономические зоны курортно-рекреационного типа.
9. Возможность реализации инвестиционных проектов в любой отрасли экономики.
10. Богатый потенциал природных ресурсов.
По информации Департамента инвестиций и проектного сопровождения Краснодарского края были успешно реализованы следующие инвестиционные проекты:
АО "Каспийский трубопроводный Консорциум-Р". Стоимость проекта - более 2,6 млрд. долларов США. В 2003 году принята в эксплуатацию первая очередь проекта. Проектная мощность - 64 млн. тонн нефти к 2017 году. Протяжённость нефтепровода от месторождения Тенгиз (Казахстан) до терминала на Черном море (г. Новороссийск) составила 1580 км. В течение расчетных 40 лет эксплуатации трубопровода налоговые поступления в бюджет России составят более 30 млрд. долл. США.
Газопровод "Голубой поток" (Россия-Турция). Стоимость проекта - 32 млрд. долларов. В сентябре 2005 года введена в эксплуатацию вторая очередь проекта. Ежегодные суммы поступлений в консолидированный бюджет края только от уплаты налога на имущество по объектам второй очереди составят около 92 млн. рублей. В период с 2008 по 2025 годы, когда газопровод будет работать на полную мощность, объем поставок газа в Турцию достигнет 16 млрд. кубометров в год. Это даст дополнительные поступления в бюджет Российской Федерации в размере 3-4 млрд. долларов ежегодно.
Французская компания "Бондюэль" - реализовала на Кубани проект строительства завода по производству овощных консервов. Первая очередь завода в ст. Новотитаровской введена в эксплуатацию в 2004 году. 14 сентября 2007 года состоялась официальная церемония открытия второй очереди завода "Бондюэль-Кубань". Объемы производства увеличиваются из года в год: с 27 млн. банок в 2004 году - до 57 млн. банок в 2006-м.
"Бондюэль-Кубань" - современное высокотехнологичное производство, входящее в число крупнейших бюджетообразующих предприятий Краснодарского края. За первые три года работы завода сумма уплаченных налогов в бюджеты всех уровней превысила 110 млн. рублей, за 2007 год – 95 млн. рублей.
С 2002 года ООО "Кубань-Кнауф" (Германия) вложила в развитие и модернизацию производства строительных смесей на основе гипса более 900 млн. руб. Компания постоянно инвестирует прибыль в развитие производства. В июне 2008 года введены в эксплуатацию новые корпуса завода по производству гипсового вяжущего "КНАУФ ГИПС КУБАНЬ".
За 2007 год сумма освоенных инвестиций – более 300 млн. руб., а за 8 месяцев 2008 года – свыше 500 млн. руб.
ООО "КЛААС" (Германия) реализует проект строительства в г.Краснодаре завода по производству сельхозтехники стоимостью 20 млн. Евро. С октября 2003-го были возведены все запланированные объекты, центральным из которых является сборочный цех площадью 5 тысяч квадратных метров. Ежегодно здесь будет выпускаться 600 - 1000 машин. На сегодня вложено 20 миллионов евро, в дальнейшем сумма инвестиций увеличится еще на 10 миллионов.
Компания "Нестле" поэтапно развивает свою производственную деятельность на территории края. Фабрика "Нестле Кубань" была запущена в ноябре 2005 года и стала первой в России фабрикой полного цикла по производству растворимого кофе. Сумма инвестиций в ходе всего строительства фабрики составила около 120 миллионов долларов США.
С 2006 по 2008 год инвестиции в дальнейшее развитие производства составляют около 950 миллионов рублей. В 2007 году фабрика произвела около 27 тысяч тонн готовой продукции. Только за 2007 год фабрикой перечислено свыше 111 млн. рублей налогов во все уровни бюджета.
В октябре 2008 г. компания Nestle подписала инвестиционное соглашение с Краснодарским краем о расширении кофейной фабрики в г. Тимашевске путем внедрения новых передовых технологий по производству натурального растворимого кофе. Инвестиции в производство составят порядка 5,5 млрд. рублей.
Компания "Метро Кэш энд Керри". 9 декабря 2004 года в Краснодаре состоялось открытие многофункционального торгового комплекса, общая торговая площадь которого составляет 8,6 тыс. квадратных метров. Только за один год в экономику Краснодарского края компанией вложено более 600 млн. рублей. В результате реализации проекта создано более 300 новых рабочих мест. В 2005 году в краевой и местный бюджеты компанией было уплачено около 20 млн. рублей налогов.
ООО "Сити Центр" (Великобритания) осуществило строительство торгово-развлекательного комплекса в г. Краснодаре стоимостью 540 млн. рублей.
ООО "Кубанские консервы". Французская компания "CECAB Group" - один из европейских лидеров по производству и переработке консервированных и замороженных овощей – реализовал проект строительства в г. Тимашевске Краснодарского края завода по производству и переработке консервированных овощей ООО "Кубанские консервы".
В строительство завода и технологическую линию французские партнеры инвестировали более 1 млрд. рублей. В оросительную систему и в сельскохозяйственную технику CECAB Group вложила 480 млн. рублей.
За 8 месяцев 2008 года "Кубанские консервы" выработали более 24 млн. банок продукции. На 1 августа 2008 года завод освоил инвестиций на сумму 1,6 млрд. рублей.
Бауцентр. Совет директоров компании "Бауцентр" определил Краснодарский край как межрегиональный центр для Южного федерального округа. С открытия в ноябре 2006 года в Краснодаре гипермаркета отделочных и строительных материалов стартовал проект "Бауцентр-Россия". Уже в декабре 2007 года заработал второй гипермаркет в городе Краснодаре. В настоящее время компания реализует проект в Новороссийске.
Лента. Компания "Лента" осуществила строительство 2-х торговых комплексов в Краснодаре (открыты в июне и ноябре 2008 года).
Завершается строительство торгового комплекса в Новороссийске.
Суммарные инвестиции компании "Лента" в экономику Краснодарского края составляют 2 миллиарда рублей.
В магазинах "Лента" представлена продукция свыше 50 кубанских производителей, и сеть ведет активную работу по увеличению этого показателя. В каждом гипермаркете "Лента" трудоустроено свыше 300 жителей Краснодарского края.
Заключение
Главная задача структурной и инвестиционной политики - восстановить недопустимо сократившееся производство. Без инвестиций нет экономического роста, без экономического роста нет надежд на сколько-нибудь серьезные инвестиции. Нужно разорвать этот замкнутый круг. При рациональных продуманных подходах только за счет использования простаивающих сегодня мощностей при минимальных инвестициях в основной капитал можно и нужно обеспечить 10-12% рост промышленного производства.Привлечение в широких масштабах национальных и иностранных инвестиций в российскую экономику преследует долговременные стратегические цели создания в России цивилизованного, социально ориентированного общества, характеризующегося высоким качеством жизни населения, в основе которого лежит смешанная экономика, предполагающая не только совместное эффективное функционирование различных форм собственности, но и интернационализацию рынка товаров, рабочей силы и капитала.Привлечение в регион иностранных инвестиций является стратегической задачей, позволяющей реализовать программы экономического роста. В настоящее время в России происходит увеличение притока иностранных инвестиций. Тем не менее, в абсолютных цифрах иностранное инвестирование остается очень не большим и явно не удовлетворяющим потребности российской экономики. Рассмотрев основные аспекты, связанные с иностранными инвестициями в России, я пришла к выводу, что привлечение иностранных инвестиций должно идти рука об руку с реформированием всей экономической системы. Очевидно, что для стимулирования притока иностранных инвестиций в нашу страну необходимо предпринимать действенные меры по улучшению инвестиционного климата. Некоторые эксперты оценивают современное состояние инвестиционного климата в России как неудовлетворительное и называют ряд причин (изменение таможенного режима, нестабильность законодательной базы, низкий уровень развития многих элементов рыночной инфраструктуры, сильная бюрократизация страны, коррупция, рэкет и иная преступность и т.д.)Однако основным фактором, оказывающим негативное влияние на состояние инвестиционного климата в России, является правовая нестабильность. Привлечение иностранных инвестиций зависит и от совершенствования управления этим процессом. С целью усиления взаимодействия с зарубежными предпринимателями и ускорения выхода России на мировой рынок капиталов создан Консультативный совет по иностранным инвестициям при правительстве РФ. Ряд организационных структур создан и при Минэкономики России.Таким образом, проблема инвестиционной активности иностранных инвесторов должна решаться посредством вмешательства государства, с использованием экономических и административных методов и созданием благоприятных правовых, налоговых и других предпосылок.Привлекая иностранный капитал, нельзя допускать дискриминации в отношении национальных инвесторов. Не следует предоставлять предприятиям с иностранными инвестициями налоговые льготы, которых не имеют российские, занятые в той же сфере деятельности. Как показал опыт, такая мера практически не влияет на инвестиционную активность иностранного капитала, но приводит к возникновению на месте бывших отечественных производств предприятий с формальным иностранным участием, претендующих на льготное налогообложение.
Отдельно нужно сказать, что отечественные инвестиции ещё более важны, чем иностранные потому, что они служат показателем доверия населения правительству. Российские инвесторы будут заинтересованы не только в получении максимальной прибыли, но и в увеличении стабильности экономики нашей страны (по крайней мере, можно на это надеяться), а также в неразбазаривании природных богатств России.
|