РОССИЙСКИЙ УНИВЕРСИТЕТ ДРУЖБЫ НАРОДОВ
Аграрный факультет
Кафедра «Экономической оценки и земельного кадастра»
курсовая
РАБОТА
по дисциплине «Статистика»
на тему: Организация и проведение наблюдения
Оглавление
Введение
1. Информационная база статистического исследования
2. Статистическое наблюдение и его этапы
3. Программно-метологические задачи статистического наблюдения
4. Организационные вопросы статистического наблюдения
5. Формы, виды и способы проведения статистического наблюдения
5.1 Формы статистического наблюдения
5.2 Виды статистического наблюдения
5.3 Способы проведения статистического наблюдения
6. Контроль за полнотой и достоверностью статистических данных
Заключение
Список литературы
Приложение
Введение
Возрастающий интерес к статистике вызван современным этапом развития экономики в стране, формирования рыночных отношений. Это требует глубоких экономических знаний в области сбора, обработки и анализа экономической информации.
Статистическая грамотность является неотъемлемой составной частью профессиональной подготовки каждого экономиста, финансиста, социолога, политолога, а также любого специалиста, имеющего дело с анализом массовых явлений, будь то социально-общественные, экономические, технические, научные и другие. Работа этих групп специалистов неизбежно связана со сбором, разработкой и анализом данных статистического (массового) характера. Нередко им самим приходится проводить статистический анализ различных типов и направленности либо знакомиться с результатами статанализа, выполненного другими. В настоящее время от работника, занятого в любой области науки, техники, производства, бизнеса и прочее, связанной с изучением массовых явлений, требуется, чтобы он был, по крайней мере, статистически грамотным человеком. В конечном счете, невозможно успешно специализироваться по многим дисциплинам без усвоения какого-либо статистического курса. Поэтому большое значение имеет знакомство с общими категориями, принципами и методологией статистического анализа.
Статистика - это отрасль знаний и, одновременно, отрасль практической деятельности. Особенность статистики состоит прежде всего в том, что статистические данные выражаются в количественной форме.
Забиваем Сайты В ТОП КУВАЛДОЙ - Уникальные возможности от SeoHammer
Каждая ссылка анализируется по трем пакетам оценки: SEO, Трафик и SMM.
SeoHammer делает продвижение сайта прозрачным и простым занятием.
Ссылки, вечные ссылки, статьи, упоминания, пресс-релизы - используйте по максимуму потенциал SeoHammer для продвижения вашего сайта.
Что умеет делать SeoHammer
— Продвижение в один клик, интеллектуальный подбор запросов, покупка самых лучших ссылок с высокой степенью качества у лучших бирж ссылок.
— Регулярная проверка качества ссылок по более чем 100 показателям и ежедневный пересчет показателей качества проекта.
— Все известные форматы ссылок: арендные ссылки, вечные ссылки, публикации (упоминания, мнения, отзывы, статьи, пресс-релизы).
— SeoHammer покажет, где рост или падение, а также запросы, на которые нужно обратить внимание.
SeoHammer еще предоставляет технологию Буст, она ускоряет продвижение в десятки раз,
а первые результаты появляются уже в течение первых 7 дней.
Зарегистрироваться и Начать продвижение
Слово «статистика» происходит от латинского «статус» - состояние, положение вещей. В науку этот термин был введен немецким ученым Готфридом Ахенвалем в 1749 г., и означал он тогда государствоведение.
Родоначальником статистики можно считать английского ученого Вильяма Петти. В 19 веке его последователи предприняли попытку представить статистику как науку о закономерностях развития общественных явлений.
Таким образом, статистика - наука, изучающая количественную сторону массовых общественных явлений в неразрывной связи с их качественной стороной, дающая количественное выражение закономерностей общественного развития. Статистика представляет собой систему научных дисциплин. Основными ее разделами являются: общая теория статистики, где рассматриваются наиболее общие категории, принципы и методы статистической науки, экономическая статистика, изучающая явления и процессы, происходящие в экономике, социальная статистика, изучающая социальные явления и процессы.
В настоящее время под статистикой понимается
:
- совокупность итоговых сведений, количественно характеризующих различные стороны общественной жизни: производство, распределение и обмен товарами, политику, культуру и т.д.;
- практическая деятельность по сбору, обработке и анализу количественных данных об общественной жизни и их публикацию;
- научная дисциплина, отрасль знаний, изучающая количественную сторону массовых явлений и процессов в неразрывной связи с их с их качественным содержанием в конкретных условиях места и времени с целью выявления закономерностей их развития.
В современном обществе статистика выполняет важную роль в механизме управления экономикой. Она осуществляет сбор, научную обработку, обобщение и анализ информации, характеризующей развитие страны. В результате предоставляется возможность выявления взаимосвязей в экономике, изучения динамики ее развития, проведения международных сопоставлений и, в конечном счете – принятия эффективных управленческих решений на государственном и региональном уровнях.
Статистика позволяет выявить и измерить закономерности развития социально экономических явлений и процессов, взаимосвязей между ними. Познание закономерностей возможно лишь в том случае, если изучаются не отдельные явления, а совокупности явлений.
В любом статистическом исследовании, статистической работе можно выделить несколько этапов.
Статистическое изучение тех или иных явлений предполагает как обязательное условие наличие информации, сведений об этих явлениях. Поэтому первый этап, начало статистического исследования сводится к сбору необходимой информации.
Сервис онлайн-записи на собственном Telegram-боте
Попробуйте сервис онлайн-записи VisitTime на основе вашего собственного Telegram-бота:
— Разгрузит мастера, специалиста или компанию;
— Позволит гибко управлять расписанием и загрузкой;
— Разошлет оповещения о новых услугах или акциях;
— Позволит принять оплату на карту/кошелек/счет;
— Позволит записываться на групповые и персональные посещения;
— Поможет получить от клиента отзывы о визите к вам;
— Включает в себя сервис чаевых.
Для новых пользователей первый месяц бесплатно.
Зарегистрироваться в сервисе
Научно организованный сбор сведений, заключающийся в регистрации тех или иных фактов, признаков, относящихся к каждой единице изучаемой совокупности, именуют статистическим наблюдением.
В результате статистического наблюдения образуется масса первичной информации (сведений) о каждой единице совокупности. Чтобы получить характеристику всей исследуемой совокупности в целом, первичные данные должны быть подвергнуты обработке, обобщению. Обработка собранных первичных данных, включающая их группировку, обобщение и оформление в таблицах, составляет второй этап статистического исследования, который именуют сводкой.
И наконец, на основе итоговых данных сводки осуществляется научный анализ исследуемых явлений: рассчитываются различные обобщающие показатели в виде средних и относительных величин, выявляются определенные закономерности в распределениях, динамике показателей и т.п. Это третий этап статистического исследования.
Таким образом, любое законченное статистическое исследование проходит три этапа, между которыми, разумеется, могут быть разрывы во времени.
Все этапы работы, несомненно важны. Но поскольку статистическое наблюдение является начальным, то оно во многом определяет успех всей работы. От того, несколько полными и качественными окажутся собранные первичные данные, зависят в значительной степени и конечные результаты работы, и вывод исследователей. Поэтому статистическому наблюдению всегда уделялось и уделяется большое внимание в статистических исследованиях.
1.
Информационная база статистического исследования
Для исследования социально-экономических явлений и процессов необходимо, прежде всего, собрать первичные статистические данные (информацию),
под которыми понимается совокупность количественных характеристик массовых явлений и процессов, полученных в результате статистического наблюдения. Эти данные являются исходным материалом для получения обобщающих показателей и выводов о тенденциях его развития.
Не всякие собранные факты об изучаемом явлении могут считаться статистической информацией. Они должны отвечать определенным требованиям:
• Быть полной
- это означает, что а) она должна охватывать либо все единицы статистической совокупности, либо такую их часть, по которой можно делать выводы о совокупности в целом; б) информация должна охватывать все существенные стороны явления, его свойства, внутренние и внешние связи; в) она должна собираться за максимально длительный срок Это способствует ослаблению воздействия случайных факторов и выявлению закономерностей развития явления;
• быть достоверной
, что означает соответствие данных о явлении, собранных в процессе наблюдения фактическому состоянию явления;
• быть сопоставимой
– для этого данные должны собираться в установленные сроки, по единой программе, с использованием одинаковых методов и т. д., - иначе невозможно обеспечить их дальнейшее сопоставление;
• своевременно предоставляться
– особенно, если она используется для осуществления управленческих функций.
Основными свойствами
статистической информации являются её массовость и стабильность. Первое свойство связано с особенностями предмета статистики, вторая - с неизменностью собранной информации, ее способностью устаревать и с необходимостью получения новой информации для принятия верных управленческих решений. Практический менеджмент нуждается в постоянно пополняемых статистических данных, достоверная, полная, но запоздалая информация оказывается практически ненужной.
Состав
статистической информации определяется потребностями развития общества. В условиях рыночной экономики ее потребителями являются как государственные органы, так и различные негосударственные структуры. Так, данные об экономическом положении в стране, о существующей покупательной способности населения, его составе и численности, рентабельности предприятий различных отраслей народного хозяйства, динамике безработицы, об изменении индексов цен на отдельные товары нужны государственным службам для совершенствования системы налогообложения предприятий и частных лиц, внесения изменений в таможенную и инвестиционную политику, разработки мер по социальной защите различных слоев населения. Эти же сведения требуются и частным предпринимателям для планирования и организации производства.
Основными источниками статистической информации являются издания органов государственной статистики. Высшим органом государственной статистики является Государственный Комитет Статистики Российской Федерации. Его ежегодное официальное издание – статистический сборник «Российский статистический ежегодник» содержит наиболее полную информацию о Российской Федерации - макроэкономические, демографические показатели, показатели состояния различных отраслей национального хозяйства, данные о развитии здравоохранения, о доходах и потреблении населения, продолжительности жизни и т. д.
Кроме этого, данные о социально-экономическом положении страны в каком-либо году можно найти в кратком статистическом сборнике Госкомстата РФ «Россия в цифрах».
Местные статистические органы издают региональные статистические сборники. Например, Петербургкомстат издает ежегодник «Народное хозяйство Санкт-Петербурга и Ленинградской области в 20…году», комитет по статистике г. Москва – сборник «Москва в цифрах» и т. д.
Предоставление статистической информации является основной задачей органов госстатистики, а сама статистическая информация – продукцией их деятельности, имеющей, как и любая другая продукция, свою стоимость. Особенно высокую стоимость имеет та информация, получение которой выходит за пределы программы работы органов государственной статистики [4].
Основным источников получения первичной статистической информации, а также первым этапом статистического исследования является статистическое наблюдение.
2. Статистическое наблюдение и его этапы
Статистическое исследование можно условно разделить на 3 этапа:
1)
Непосредственный сбор данных или статистическое наблюдение.
2)
Сводка и группировка статистических данных.
3)
Статистический анализ, т.е. исследование статистических закономерностей — обнаружение взаимосвязей, выявление тенденций развития явления во времени.
Все этапы связаны между собой. Опытный исследователь начинает сбор данных, заранее предполагая, как он их будет обобщать, и какие закономерности могут быть выявлены в результате исследования.
Статистическое наблюдение
представляет собой массовое, планомерное, научно организованное наблюдение за явлениями социальной и экономической жизни, заключающееся в регистрации отобранных признаков у каждой единицы совокупности.
Цель статистического наблюдения
— собрать необходимые сведения о социально-экономических явлениях и процессах.
Не всякий сбор сведений может называться статистическим наблюдением. О статистическом наблюдении можно говорить лишь тогда, когда изучаются статистические закономерности, проявляющиеся в массовых процессах, в большом количестве единиц совокупности. Поэтому наблюдение считается статистическим, если оно соответствует следующим условиям:
• является планомерным;
• является массовым;
• является систематическим.
Планомерность статистического наблюдения
предполагает, что оно готовится и проводится по заранее разработанному плану, являющего частью общего плана проведения статистического исследования; в такой план включаются вопросы методологии, организации, техники сбора информации, контроля ее качества, его достоверности и оформления итоговых результатов.
Массовый характер статистического наблюдения
означает, что оно охватывает количество случаев проявления изучаемого явления, достаточное для получения достоверных статистических данных, характеризующих совокупность в целом.
Систематичность наблюдения определяется тем
, что оно должно проводиться либо непрерывно, либо систематически, либо регулярно, так как только такой подход позволяет изучать тенденции и закономерности социально-экономических явлений и процессов.
К статистическому наблюдению предъявляются следующие требования:
1) полноты и практической ценности статистических данных;
2) достоверности и точности данных;
3) их единообразия и сопоставимости.
Процесс проведения статистического наблюдения состоит из нескольких этапов:
1.
подготовка наблюдения;
2.
проведение массового сбора данных;
3.
подготовка данных наблюдения к обработке;
4.
контроль полноты и достоверности
данных и разработка предложений по совершенствованию проведения статистического наблюдения.
При проведении первого этапа
– подготовке наблюдения
необходимо в первую очередь решить программно-методологические вопросы, важнейшими из которых являются определение цели и задач наблюдения, его объекта, выбор единиц наблюдения, состава признаков, подлежащих регистрации, формы, вида и способа наблюдения, разработка документов для сбора информации, программы наблюдения. На этом же этапе решаются и организационные вопросы, такие как: подготовка работников, проводящих наблюдение, тиражирование документов для проведения наблюдения и т. д. [4].
Особенно большое внимание подготовительным мероприятиям уделяется при проведении специальных обследований и переписей. Одним из первых мероприятий в плане подготовительных работ является составление предварительных списков всех единиц, которые должны быть обследованы. Так, при подготовке переписи населения составляются списки населенных мест, а в городах, кроме того, списки домовладений, чтобы не допустить пропусков при проведении наблюдения.
Особенно ответственным подготовительным мероприятием при переписи населения и других переписях является переписное районирование,
то есть разбивка территории на участки и расчет необходимого количества переписчиков. Границы отдельных переписных районов обязательно осматриваются на местности.
Большое внимание при проведении подготовительных работ уделяется подготовке инспекторов, счетчиков и разъяснительной работе среди населения. Счетчики изучают инструкцию по заполнению переписных формуляров, учатся правильно их заполнять. При проведении разъяснительной работы населению объясняют цели и задачи планируемых статистических работ.
При подготовке к проведению наблюдения своевременно разрабатывается статистический инструментарий (бланки, инструкции и другая документация) [6].
Второй этап
связан с непосредственным проведением наблюдения и включает в себя такие работы как рассылка бланков, анкет, форм статистической отчетности, переписных листов, их заполнение и дача в органы, проводящие наблюдение.
При выполнении третьего этапа
– подготовке данных к наблюдению собранная информация проверяется на полноту, подвергается арифметическому и логическому контролю с целью выявления и исключения допущенных ошибок.
На последнем этапе
проведения статистического наблюдения анализируются причины, которые вызвали ошибки в заполнении статистических формуляров, и разрабатываются предложения по совершенствованию проведения статистического наблюдения [4].
3. Программно-метологические задачи статистического наблюдения
Статистическое наблюдение организуется и проводится по заранее составляемому плану,
при разработке которого необходимо решить множество важных задач, и который состоит из двух частей: программно-методологических задач
и организационных вопросов.
К программно-методологическим задачам статистического наблюдения относятся:
• определение цели и задач наблюдения;
• выбор объектов и единиц наблюдения;
• составление программы наблюдения;
• выбор формы статистического формуляра и разработка инструкции
• выбор формы, вида и способа проведения наблюдения
[4, 6].
Цель и задачи наблюдения.
Статистические наблюдения чаще всего преследуют практическую цель – получение достоверной информации для выявления закономерностей развития явлений и процессов. Она должна быть конкретной и четко сформулированной, исходить из общих задач, поставленных перед статистическим исследованием явления. В соответствии с принципами системного подхода задачи наблюдения должны соподчиняться поставленной цели, исходить из нее. Цель и задачи предопределяют программу и форму организации наблюдения. Если они поставлены неясно, неконкретно, то будут собраны излишние сведения или, наоборот, получены неполные статистические данные [4].
Так, например, целями и задачами Всероссийской переписи населения, проходящей в настоящее время, является следующее:
Всероссийская перепись населения представляет собой сбор сведений о лицах, находящихся на определенную дату на территории Российской Федерации, и проводится на всей территории Российской Федерации по единой государственной статистической методологии в целях получения обобщенных демографических, экономических и социальных сведений.
Всероссийская перепись населения является основным источником формирования федеральных информационных ресурсов, касающихся численности и структуры населения, его распределения по территории Российской Федерации в сочетании с социально-экономическими характеристиками, национальным и языковым составом населения, его образовательным уровнем.
Данные Всероссийской переписи населения необходимы для выполнения функций органов государственной власти, разработки прогнозов и программ социально-экономического развития Российской Федерации и информационного обеспечения общества.
В зависимости от поставленной цели и решаемых задач определяются объект и единица наблюдения.
Объектом статистического наблюдения
называется совокупность явлений и процессов, которые подлежат исследованию. Поскольку единицы любой совокупности обладают множеством различных признаков, при определении объекта наблюдения необходимо установить, какие из признаков должны быть подвергнуты наблюдению. В этом случае должны быть установлены четкие границы объекта наблюдения. Определение и отграничение объекта наблюдения основывается на выявлении всех признаков, которые позволяют отличить исследуемый объект от других [6]. Например, при проведении переписи населения необходимо установить, какое именно население подлежит регистрации: наличное, под которым понимается фактически находящееся на момент переписи (критическую дату) в данной местности, или постоянное, то есть проживающее на данной территории постоянно.
В ряде случаев для отграничения объекта наблюдения используют понятие ценза. Ценз
есть пороговое значение признака, которое ограничивает объект наблюдения. Например, при обследовании промышленности объектом могут быть средние и крупные предприятия, к которым в соответствии с существующим законодательством, относятся предприятия с числом работников более 100 человек.
Любой объект наблюдения состоит из единиц наблюдения [4].
Единица
наблюдения – это отдельный элемент объекта исследования, который является основой счета и носителем признаков, подлежащих регистрации при наблюдении. Например, при проведении переписи населения единицей наблюдения будет каждый отдельный человек, при изучении бюджетов — семья или домохозяйство. От единицы наблюдения следует отличать отчетную единицу.
Отчетная единица — это единица, от которой должны быть получены необходимые статистические сведения при проведении наблюдения [6].
Исходя из целей, задач и выбранных объектов разрабатывается программа наблюдения.
Программа наблюдения
– перечень признаков, подлежащих регистрации (при непосредственном наблюдении), либо это перечень вопросов, по которым собираются сведения (при опросах). Составление программы наблюдения является сложной и ответственной задачей, поскольку от этого зависит качество собранной информации. Состав и содержание программы наблюдения определяются задачами исследования и особенностями изучаемого общественно-экономического явления. Всякое явление обладает множеством признаков. Собирать информацию по всем – нецелесообразно и невозможно. Поэтому необходимо отобрать наиболее важные, отвечающие поставленным задачам и соответствующие цели наблюдения.
К программе наблюдения предъявляются следующие требования
:
• впрограмму включаются только существенные признаки, непосредственно характеризующие изучаемое явление, его тип, основные черты и свойства. Не должны включаться второстепенные вопросы, не связанных с решением представленных задач.
• вопросы программы должны быть сформулированы четко и однозначно, важно, чтобы они всеми были одинаково поняты, а ответы на них можно было сравнивать. В программу не включаются такие вопросы, на которые могут быть получены заведомо неточные ответы, то есть вопросы, способные вызвать подозрения, что ответы на них могут быть использованы во вред опрашиваемым.
• программа наблюдения должна включать только те вопросы, которые предусматриваются планом разработки материалов. Поэтому в первую очередь необходимо составить план разработки сведений,
а затем на его основе сформулировать программу наблюдения. Это позволит избежать сбора ненужных данных. Программа наблюдения при проведении крупных статистических работ разрабатывается коллективно. Так, например, при подготовке переписей населения программы переписных листов традиционно обсуждались на представительных статистических совещаниях с привлечением высококвалифицированных специалистов.
• в программу должны включаться вопросы контрольного характера для проверки собираемой информации, например, это логически связанные вопросы о возрасте, семейном положении, образовании, наличии детей и т.д.
• все вопросы программы должны быть ориентированы на определенную форму ответа: либо цифровую, либо альтернативную, либо многовариантную.
При цифровой
– ответ дается в количественной форме (о возрасте, стаже, заработке и т.д.); при альтернативной
– в форме «да» или «нет» (пол, семейное положение и т.д.); при многовариантной
– выбор одного или нескольких вариантов из предлагаемого меню. Например, на вопрос о состоянии в браке возможны следующие варианты ответов:
- состоит в браке;
- никогда не состоял;
- вдовец;
- разведен.
• ответы в программах для облегчения обработки кодируются числовыми кодами.
• при разработке программы необходимо не только определить состав вопросов, но и их последовательность, так как логика расположения вопросов способствует получению более достоверных данных [4, 6].
Одновременно с программой разрабатывается инструментарий наблюденияв виде статистических формуляров (рис. 1) и инструкций по их заполнению.

Рис. 1.
Разработка статистического формуляра [1]
Статистический формуляр
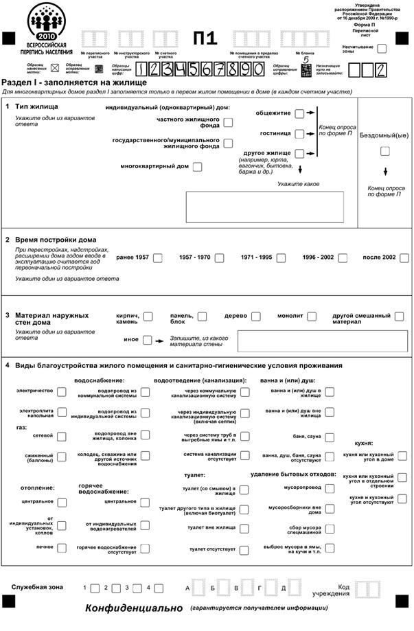
– это документ единого образца, содержащий программу и результаты наблюдения. Он может иметь разные названия: бланк обследования, переписной лист (см. Приложение), анкета, отчет и т. д.
Обязательными элементами статистического формуляра являются титульная и адресная части. В титульной части указываются: наименование статистического наблюдения и органа, его проводящего; номер формуляра, а также, кто и когда его утвердил. В адресной – адрес отчетной единицы, ее подчиненность [4].
Статистические формуляры бывают двух видов: карточные
и списочные.
Карточный формуляр предназначен для регистрации сведений только по одной единице наблюдения. На использовании карточного формуляра в основном построена статистическая отчетность. В списочном формуляре регистрируются сведения о нескольких единицах наблюдения. В бланке-списке каждой единице наблюдения отводится столбец или строка, где сначала записывается наименование единицы наблюдения (например, фамилия, имя и отчество, если речь идет о людях), а затем — ответы на вопросы, содержащиеся в формуляре.
К программе наблюдения составляется инструкция
по порядку проведения наблюдения,
содержащая пояснения по заполнению бланка статистического формуляра. В зависимости от сложности программы наблюдения это может быть документ в виде отдельной брошюры, либо подсказки в ответах, либо разъяснения на обратной стороне бланка, например, "Инструкция по заполнению годового отчета сельскохозяйственного предприятия".В инструкции указываются порядок заполнения формуляров, сроки представления сведении, даются пояснения при ответах на очень трудные вопросы программы. Инструкции должны быть четкими, ясными, исключающими неправильное истолкование [4, 6].
4.
Организационные вопросы статистического наблюдения
При подготовке статистического наблюдения помимо программно-методологических задач необходимо решить и организационные вопросы
. К ним относятся:
· определение времени и сроков наблюдения: даты начала, даты окончания наблюдения, критической даты,
· определение места (территории) проведения наблюдения,
· определение органов (исполнителя), отвечающих за проведение наблюдений,
· выбор способа собирания и регистрации данных,
· определение круга подготовительных мероприятий.
Для правильной характеристики изучаемого объекта важное значение имеет время наблюдения, то есть время, к которому относятся собираемые сведения. Особенно важно это для явлений, подверженных значительным колебаниям в течение какого-то временного периода. Например, перепись населения целесообразно проводить зимой, когда мобильность населения значительно меньше, чем в другие времена года. Срок (период) наблюдения устанавливается исходя из объема работы и численности персонала, занятого сбором данных. В тех случаях, когда явление регистрируется по состоянию на определенный момент времени, устанавливается критический момент наблюдения.
Критическим моментом наблюдения
называется такой момент времени, к которому приурочено собирание сведений, то есть критической датой считается конкретный день года, час дня, по состоянию на который проводится регистрация признаков по каждой единицы статистической совокупности. Например, при ежегодных переписях скота критический момент наблюдения устанавливается на 12 часов ночи с 31 декабря на 1 января. В соответствии с этим в списках при обходах дворов должно быть внесено все поголовье скота, имевшееся у населения на этот момент. Изменения, происшедшие после него, не учитываются.
При планировании наблюдения нужно определить место проведения
наблюдения и орган, который будет его проводить. Вопрос о месте решается в зависимости от местоположения и характера деятельности изучаемого объекта [6]. Например, если определяется стоимость потребительской корзины в Санкт-Петербурге, то местом проведения наблюдения будет территория города; отчетность о деятельности колхозов составляется по месту их нахождения; население при переписях учитывается по месту жительства, а не по месту работы [4, 6].
Наблюдение может проводиться собственными силами или организациями, специализирующимися на проведении наблюдений. Проводят наблюдение как органы государственной, так и ведомственной статистики.

Рис.2.
Органы, которые могут проводить наблюдение [1]
В зависимости от особенностей объекта при организации статистического наблюдения определяют и способ регистрации сведений.
По способу проведения наблюдения различают:
- непосредственное наблюдение;
- документальный способ;
- опрос.
При непосредственном наблюдении
информацию собирают специально подготовленные люди, в задачу которых входит получение сведений путем личного учета единиц совокупности: подсчета, взвешивания, измерения и т. д. значения признака. Это наиболее точный и надежный способ получения данных, но и наиболее трудоемкий и дорогостоящий. Примером такого наблюдения является регистрация поступления на склад взвешенной, обмеренной продукции.
Документальный способ наблюдения
отличается от непосредственного наблюдения тем, что сведения получают из документов первичного учета. Особенностью этого способа является то, что он в свою очередь основывается на непосредственном наблюдении. Документальный способ наблюдения применяется предприятиями, учреждениями и организациями при заполнении форм статистической отчетности.
Опрос
– способ наблюдения, при котором сведения получают со слов респондента (опрашиваемого). Опрос используется для получения информации о процессах и явлениях, неподдающихся непосредственному прямому наблюдению.Так заполняются опросные листы во время переписи населения [4].
Примером опроса могут служить опросы общественного мнения, проводимые с целью изучения мнения граждан по различным вопросам, с которыми в повседневной жизни приходится часто сталкиваться на улице (уличные опросы) и дома (телефонные опросы).
Опрос может быть организован по-разному. В практике статистики применяются следующие основные способы опроса:
- экспедиционный (устный);
- саморегистрации;
- корреспондентский;
- анкетный
- явочный
При устном (экспедиционном) опросе
специально подготовленные регистраторы на основе опроса обследуемого лица заполняют переписные листы
(фиксируют факты). При этом регистратор одновременно контролирует достоверность полученных сведений. Устный опрос обеспечивает достаточно точные результаты, но является весьма дорогостоящим способом получения данных.
Способ саморегистрации
состоит в том, что формуляры заполняются самими опрашиваемыми лицами (респондентами), а
регистраторы раздают опросные бланки, инструктируют респондентов, собирают заполненные формуляры, контролируя при этом правильность заполненных сведений.
Корреспондентский способ опроса
заключается в том, что формуляры заполняются и отсылаются опрашиваемыми лицами в адрес организации, проводящей исследование, без участия регистраторов на основе инструкций по их заполнению.
Этот вид опроса требует наименьших затрат, но не обеспечивает высокого качества полученных данных, так как проверить точность сообщаемых сведений не всегда возможно.
Анкетный способ опроса
предполагает сбор информации в виде анкет
. Анкеты распространяются разными способами, заполняются на добровольных началах, как правило, анонимно. При этом количество анкет, полученных организацией, проводящей обследование, всегда значительно меньше количества разосланных анкет. Данный вид опроса дает приблизительные, ориентировочные данные и используется обычно при изучении общественного мнения по различным вопросам [4].
Явочный способ
– способ, при котором опрашиваемый сообщает информацию, явившись в органы ее регистрации.
Определение круга подготовительных мероприятий
и организационная работа в статистическом наблюдении
Успех любого статистического наблюдения зависит не только от тщательности методологической подготовки, но и от правильного и своевременного решения широкого спектра организационных вопросов.
Важнейшее место в организационной работе занимает подготовка кадров, в
процессе которой проводятся различного рода инструктажи с сотрудниками статистических органов, с организациями, представляющими данные, по вопросам заполнения статистических документов, подготовки материалов наблюдения к автоматизированной обработке и т.д.
Если проведение наблюдения связано с большими затратами трудовых ресурсов, то для регистрации сведений в период проведения обследований привлекаются лица из числа неработающих (в том числе безработные) и некоторых категорий учащихся (студенты высших учебных заведений, учащиеся старших курсов техникумов). При проведении переписи населения таких лиц называют счетчиками. Обычно организуется обучение временного персонала. Оно проводится для выработки навыков правильного заполнения статистических формуляров счетчиками.
Размножение документации самого обследования, документации для проведения инструктажей и рассылка их республиканским, краевым, областным комитетам и управлениям статистики также относятся к организационным вопросам наблюдения.
В период подготовки большая роль отводится массово-разъяснительной работе: проведению лекций, бесед, организации выступлений в печати, по радио и телевидению о значении, целях и задачах предстоящего обследования.
Для согласования деятельности всех служб, занятых подготовкой и проведением наблюдения, целесообразно составить календарный план, представляющий собой перечень (наименование) работ и сроки их исполнения отдельно для каждой организации, занятой в проведении обследования.
5.
Формы, виды
и способы проведения
статистического наблюдения

Рис. 3.
Формы, виды и способы статистического наблюдения [8]
5.1 Формы статистического наблюдения
Статистическое наблюдение может быть организовано по-разному. В статистической практике используют три организационные формы статистического наблюдения:
- отчетность (предприятий, организаций, учреждений и т. п.);
- специально организованное статистическое наблюдение;
- регистры.
- Статистическая отчетность
– это основная форма статистического наблюдения, с помощью которой статистические органы в определенные сроки получают от предприятий, учреждений и организаций необходимые данные в виде установленных в законном порядке отчетных документов, скрепляемых подписями лиц, ответственных за их предоставление и достоверность собираемых сведений [2]. Отчетность составляется на основе данных первичного учета. Она является главной организационной формой статистического наблюдения. Ею охватывается все народное хозяйство, отдельные субъекты хозяйствования различных форм собственности (государственные, кооперативные, арендные предприятия, а также различные организации и учреждения).
Статистическая отчетность является составной частью государственной статистики, для неё характерно следующее:
• она утверждается органами Государственной статистики;
• имеет обязательный характер;
• имеет юридическую силу (подписывается должностными лицами);
• имеет документальную обоснованность (базируется на документах первичного учета).
Постановлением Государственного Комитета по Статистике РФ от 16 сентября 1997 года с 1 января 1998 года предприятия и организации (юридические лица) обязаны предоставлять следующие унифицированные формы федерального государственного статистического наблюдения:
1) Форма № П-1 «Сведения о производстве и отгрузке товаров и услуг»;
2) Форма № П-2 «Сведения об инвестициях»;
3) Форма № П-3 «Сведения о финансовом состоянии организации»;
4) Форма № П-4 «Сведения о численности, заработной плате и движении работников»;
5) Форма № П-5(м) «Основные сведения о деятельности организации» (введена постановлением Росстата от 27.07.2004 № 34).
Состав представляемых форм является различным для разных организаций в зависимости от специфики деятельности и количества работников. Предприятия с численностью работников более 15 человек с января 2005г обязаны ежемесячно представлять формы № П-1 с приложением 3 «Сведения об объемах платных услуг населению по видам», П-3, П-4, а ежеквартально – форму № П-2. Малые предприятия, штат которых не превышает 15 человек отчитываются ежемесячно по форме № П-4 и ежеквартально – по форме № П-5.
Источником информации для отчетности служат данные первичного и бухгалтерского учета. Первичный учет – регистрация фактов по мере их возникновения.
Статистическая отчетность подается в территориальные управления статистики. Региональные подразделения отраслевых ведомств, структуры, регулирующие деятельность естественных монополий.
Различают отчетность:
-Общегосударственная отчетность собирается органами общегосударственной статистики по всем хозяйственным структурам не зависимо от формы их собственности и отраслевой принадлежности;
-Ведомственная отчетность собирается для нужд управления в рамках министерств или других многофилиальных организаций [7].
Виды отчётности представлены на Рис.4.

Рис.4.
Виды отчетности [1]
- Специально организованные статистические наблюдения
представляют собой сбор сведений посредством переписей, единовременных учетов и обследований.
Эта форма наблюдения позволяет более углубленно изучать изменения в составе населения, семейном бюджете, изучать рыночный спрос и т.д. Такие наблюдения проводятся с целью получения данных, отсутствующих в отчетности, или для проверки сведений, взятых из нее.
Специально организованное статистическое наблюдение требует специально подготовленных людей, специально разработанной программы, является трудоемким и дорогостоящим [4].
Виды специально организованного наблюдения представлены на Рис.5.

Рис.5.
Виды специально организованного наблюдения [1]
Перепись
— это специально организованное единовременное наблюдение. Она проводится по единой программе и методологии одновременно по всей территории страны. Поскольку проведение переписей носит массовый и единовременный характер, то к ним предъявляется ряд специфических требовании: критический момент и сроки проведения переписи должны быть одинаковыми для всех обследуемых единиц наблюдения; период проведения переписи должен наилучшим образом соответствовать ее задачам; переписи должны проводиться регулярно, то есть по возможности через одинаковые промежутки времени.
Характерными особенностями переписи являются: одновременность проведения ее на всей территории, которая должна быть охвачена обследованием; единство программы наблюдения; регистрация всех единиц наблюдения по состоянию на один и тот же критический момент времени. Программа наблюдения, приемы и способы получения данных по возможности должны оставаться неизменными. Это позволяет обеспечить сопоставимость собираемой информации и получаемых в ходе разработки материалов переписи обобщающих показателей. Тогда можно не только определить численность и состав исследуемой совокупности, но и проанализировать ее количественное изменение в период между двумя обследованиями.
Из всех переписей наиболее известны переписи населения. Цель последних состоит в установлении численности и размещения населения по территории страны, характеристики его состава по полу, возрасту, занятиям и другим показателям. Первая всеобщая перепись населения России была проведена в 1897 г., а последняя – в 2010 г.
В период подготовки всеобщей переписи для уточнения и апробации программно-методических и организационных вопросов наблюдения проводят пробную перепись.
Переписи получили большое распространение и в зарубежной статистике. Среди них наиболее интересными являются систематически проводимые в США переписи отраслей национального хозяйства, в частности переписи обрабатывающей промышленности, называемые цензами. (Следует иметь в виду, что слово "ценз" имеет несколько значений. Это не только синоним слова "перепись". Под ним еще понимается ряд признаков, наличие которых при организации наблюдения служит основанием для отнесения той или иной единицы к
исследуемой совокупности). Американские переписи охватывают все предприятия и проводятся один раз в пять лет (в годы, оканчивающиеся на цифру 2 или 7) . В промежутках между переписями проводятся ежегодные выборочные обследования для заполнения пробелов в данных.
Программа таких переписей предусматривает получение данных о численности занятого населения, заработной плате, отработанных человеко-часах, затратах по снабжению; сведений о потреблении электроэнергии, капитальных вложениях, стоимости и количестве отгруженной продукции, запасах готовой продукции, стоимости незавершенного производства, материалов и топлива на конец года, а также содержит специальные вопросы о типе предприятия, его оборудовании и т.д.
В Приложении приведены основные понятия Всероссийской переписи населения 2010 года, а также переписные листы с целью наглядности и ознакомления.
Кроме переписей статистика проводит и другие специально организованные наблюдения, в частности бюджетные обследования, которые характеризуют структуру потребительских расходов и доходов семей.
Единовременные сплошные и выборочные обследования
дополняют и расширяют информацию статистической отчетности. Их основная задача — получить широкий круг показателей по отдельным объектам, например, по торговым предприятиям. Данные этих обследовании используются для группировки торговых предприятий и организаций по ряду признаков, построения статистических моделей, позволяющих выявить совокупность социально-экономических и организационных факторов, влияющих на изучаемые процессы и явления торговли. Единовременные учеты и обследования в организациях и учреждениях народного образования и культуры проводятся для получения сведении, не собираемых систематической текущей отчетностью. В практике статистики народного образования и культуры осуществляются сплошные
и выборочные
обследования. Примерами сплошного учета были разовое обследование учебно-материальной базы высших учебных заведений, единовременный учет народных театров и самодеятельных коллективов. Выборочно обследовались школы и группы продленного дня по вопросам режима работы, организации питания учащихся, наличия площадей для внеклассной работы и т. п. [6].
- Регистром
называется форма непрерывного статистического наблюдения за долговременными процессами по совокупности показателей.
Виды регистров представлены на Рис.5.
К наиболее известным относятся два вида регистров: регистры населения и регистры предприятий.
Регистры населения
представляет собой поименованный и регулярно обновляемый перечень жителей страны. Наблюдение проводится по следующим признакам: пол, дата и место рождения (постоянные данные), брачное состояние (переменный признак).Информация в регистр заносится на каждого родившегося или прибывшего из-за границы. В случае смерти или отъезда на постоянное место жительства в другую страну данные из регистра убираются. Такие регистры ведутся в государствах с небольшой численностью населения и по ограниченному числу признаков, так как это требует больших затрат.
Регистр предприятий
ведется по всем видам экономической деятельности. По каждому предприятию в регистре находятся следующие сведения: время регистрации предприятия; его название; адрес; организационно-правовая форма; организационная структура и структура управления; виды экономической деятельности; численность занятых; и т.д.

Рис.5.
Виды регистров
В настоящее время в Российской Федерации действует единый государственный регистр предприятий и организаций (ЕГРПО
), который содержит данные по всем предприятиям, организациям, учреждениям, любой формы собственности и любого вида деятельности, в том числе и общественным организациям.
В информационном фонде регистра содержатся следующие данные:
Регистр ведется в территориальном разрезе.
Если предприятие закрывается, то служба ведения регистра получает информацию об этом в течение 10 дней после решения ликвидации комиссией [4].
5.2 Виды статистического наблюдения
Виды статистического наблюдения классифицируются по следующим трем признакам:
1) охват наблюдением единиц совокупности, подлежащей статистическому исследованию;
2) систематичность наблюдения;
3) источник сведений, на основании которого устанавливаются факты, подлежащие регистрации в процессе наблюдения.
- По полноте охвата исследуемой совокупности
различают два вида статистических наблюдений:
•
сплошное наблюдение;
•
несплошное наблюдение.
Задачей сплошного наблюдения
является получение информации обо всех единицах исследуемой совокупности. Оно применяется при проведении переписи населения, инвентаризаций разного рода и т. д.
При несплошном наблюдении
обследованию подлежит часть единиц статистической совокупности. Несплошное наблюдение обладает существенными преимуществами по сравнению со сплошным: требует меньших материальных и трудовых затрат, позволяет применять более совершенные способы учета, повышает оперативную значимость статистических данных, поскольку они могут быть получены в более короткие сроки.
Несплошное наблюдение подразделяется на:
•
выборочное;
•
монографическое;
•
обследование основного массива (метод основного массива).
Выборочное наблюдение
основано на принципе случайного отбора части единиц статистической совокупности, подлежащих исследованию. Случайный отбор гарантирует независимость результатов наблюдения.
При правильной организации выборочное наблюдение дает достаточно точные результаты, позволяющие оценить всю исследуемую совокупность. При этом значительно сокращаются затраты на проведение наблюдения. Выборочное наблюдение широко используется в промышленности – для контроля качества продукции, в маркетинге – для изучения спроса населения на различные товары и т. п.
Монографическое наблюдение
(описание) заключается в подробном описании отдельных единиц статистической совокупности
. Наблюдение проводится по широкой программе, используется для глубокого всестороннего изучения особенностей наблюдаемых объектов. При этом не ставится цель получить характеристику всей совокупности. Такие наблюдения позволяют уловить пропорции и связи, которые ускользают из поля зрения при массовых наблюдениях. Часто монографические наблюдения проводятся для составления программы массового наблюдения.
Обследование основного массива
характеризуется тем, что наблюдение проводится за наиболее крупными единицами совокупности –основным массивом
. Например, наблюдение за финансовым положением в строительстве, транспорте, промышленности ведется по данным предприятий с численностью работников не менее 500 человек [4].
- По характеру регистрации фактов во времени
выделяют несколько видов наблюдений:
• непрерывное или
текущее;
•
прерывное, которое
подразделяют на периодическое
и единовременное
[2].
Текущее наблюдение
состоит в том, что факты регистрируются непрерывно по мере их поступления (регистрация рождений, смертей, учет отработанного времени табельным путем, учет посещаемости и т.д.).
При периодическом наблюдении
данные, отражающие изменение изучаемых явлений собираются в ходе нескольких наблюдений. Такие наблюдения проводятся по схожей программе через определенные промежутки времени, то есть периодически (переписи населения, регистрация цен на определенные виды товаров, учет успеваемости).
При единовременном наблюдении
сведения об изучаемом явлении получают один раз в момент наблюдения. Повторное наблюдение может и не проводиться, как, например, инвентаризация незавершенного производственного строительства проводилась пока только в 1990 г [4].
- По источнику сведений
различают:
· наблюдение непосредственное, когда факты, подлежащие регистрации, устанавливаются лицами, проводящими наблюдение;
· документальное, при котором необходимые сведения берутся из соответствующих документов;
· опрос, особенность которого состоит в том, что сведения фиксируются со слов опрашиваемого.
5.3 Способы проведения
статистического наблюдения
Статистические данные могут по-разному собираться статистическими органами. По способу регистрации различают:
- экспедиционный,
- корреспондентский,
- саморегистрация,
- анкетный.
Экспедиционным способом
пользуются при собирании сведений, получаемых от населения. В этом случае на места нахождения единиц исследования посылают специальных регистраторов (счетчиков, статистиков), которые и собирают данные. Экспедиционный способ используется при проведении практически всех видов переписей (населения, плодово-ягодных насаждений, скота и т. д.).
При корреспондентском способе
обследуемые или отчитывающиеся единицы представляют необходимые сведения в статистический орган почтой, телеграфом, телефаксом, курьером. Здесь пет личного контакта статистика с обследуемым объектом. Корреспондентский способ собирания сведений применим лишь по отношению к предприятиям; так представляется вся отчетность, а также значительная часть данных специальных обследований.
Промежуточное место между экспедиционным и корреспондентским способами собирания сведений занимает способ самоисчисления,
или саморегистрации.
Он состоит в том, что специальный регистратор приходит к единице наблюдения, вручает бланк и дает разъяснения по его заполнению. Единица наблюдения сама заполняет оставленный статистиком бланк. Забирая заполненный бланк, статистик проверяет правильность его заполнения. Самоисчисление широко применяется для изучения бюджетов различных групп населения [6].
Анкетный способ
- это сбор статистических данных с помощью специальных вопросников (анкет), распространяемых среди определенного круга лиц или публикуемых в периодической печати. Он основан на принципах добровольности и обычно на анонимном заполнении анкет. Проводится в тех случаях, когда не требуется получения точных статистических данных, а нужны лишь приближенные характеристики, ориентировочные данные [3].
К выше перечисленным традиционным способам собирания сведений можно добавить ещё один — собирание статистической информации с помощью современных средств связи в системе оснащенных электронной техникой вычислительных центрах.
Выбор способа наблюдения зависит от особенностей статистического исследования [6].
Важнейшим организационно-методологическим вопросом, определяющим эффективность статистического наблюдения (достоверность полученной информации, затраты на проведение наблюдения и т.д.) является выбор формы, вида и способа проведения наблюдения [4].
6.
Контроль за полнотой и достоверностью статистических данных
Важнейшим требованием статистических исследований является достоверность статистических данных на всех стадиях статистической работы и прежде всего на стадии статистического наблюдения. Несмотря на все меры, принимаемые, чтобы избежать ошибок в процессе наблюдения, они могут возникать. Необходимо знать причины возникновения ошибок, чтобы уметь их обнаружить и устранить [6].
Ошибками наблюдения
называются расхождения между данными наблюдения и фактическими значениями признаков исследуемого явления. Ошибки наблюдения (Рис. 6) разнообразны по происхождению и своему содержанию.

Рис. 6. Основные ошибки наблюдения [1]
В зависимости от причин возникновения различают следующие виды ошибок:
•
методические ошибки;
•
ошибки регистрации;
•
ошибки репрезентативности (представительности).
Методические ошибки
возникают в результате использования несовершенных методик, неправильных теоретических концепций, лежащих в основе исследования.
Ошибки регистрации
возникают при получении данных об отдельных единицах совокупности вследствие неправильного установления фактов в процессе наблюдения или неправильной их записи. Они подразделяются на:
- объективные
(непреднамеренные)
причиной появления которых является неправильное восприятие наблюдаемых фактов, неисправность измерительных приборов и неправильная регистрация. Такие ошибки являются результатом добросовестного заблуждения регистратора;
- субъективные
(преднамеренные)
ошибки, возникающие по причине сознательного искажения фактов. К ним относятся всевозможные преднамеренные ошибки и приписки, при которых опрашиваемый преднамеренно сообщает неправильные сведения; регистратор преднамеренно воздействует на респондента с целью получения нужного ответа; регистратор преднамеренно искажает в формулярах результаты наблюдения.
Ошибки репрезентативности (представительности)
характерны только для несплошного наблюдения. Они возникают в результате того, что состав отобранной для обследования части единиц совокупности (выборки) не полностью отражает состав и свойства всей изучаемой совокупности,несмотря на то, что регистрация сведений по каждой отобранной единице была проведена точно.
По форме проявления (по влиянию на результат)
ошибки делятся на:
•
систематически;
•
случайные.
Систематические ошибки
возникают по какой-то определенной причине и вызывают одностороннее искажение значений признака у наблюдаемых единиц
(увеличение или уменьшение). Они очень опасны, так как величина показателя, рассчитанная в целом по всей совокупности будет включать накопленную ошибку.
Случайные ошибки
являются результатом действия различных случайных факторов
. Они не имеют какой-либо направленности. В больших совокупностях в результате действия закона больших чисел эти ошибки взаимно погашаются и не оказывают существенного влияния на точность наблюдения
. Оба вида ошибок в любом исследовании выступают совместно и составляют совокупную ошибку наблюдения
Δ:
Δ=σ+ε;
где σ - систематическая ошибка наблюдения,
ε - случайная ошибка наблюдения.
Данные, полученные в результате статистического наблюдения, должны подвергаться тщательной проверке с целью устранения ошибок.
Процедура контроля
сводится к следующему:
• Проверка материалов наблюдения на полноту и правильность оформления.
Проверяется полнота охвата статистических единиц наблюдения, правильность заполнения каждого формуляра.
• Арифметический (счетный) контроль
в основном заключается в проверке итогов и расчете показателей. Этот вид контроля основан на использовании количественных связей между показателями, которые могут быть проверены арифметическими действиями. Такие связи обычно отражаются в заголовках граф или строк формуляров. Например, графа x = графа y - графа z и т.д. Арифметический контроль используется для проверки итоговых данных, с его помощью устанавливается наличие ошибки[4]. Например, квартальная отчетность может быть проверена но данным месячной отчетности, а для проверки достоверности месячной отчетности или отчетности другой периодичности используют первичные документы [6].
• Логический контроль
основан на использовании логической взаимосвязи показателей, установлении логического соответствия между ними. Он не выявляет ошибки наблюдения, а лишь ставит под сомнение правильность полученных данных. Логический контроль заключается в проверке ответов на вопросы программы наблюдения путем их логического осмысления или сравнения полученных данных с другими источниками по данному вопросу. Классическим примером логическогоконтроля является соответствие данных при переписи населения о возрасте, образовании и семейном положении [4]. Например, если в переписном листе зарегистрирован возраст человека 12 лет, а образование — высшее, то, безусловно, одна из этих записей ошибочна. Возможности логического контроля довольно велики и зависят от квалификации и опыта проверяющего [6].
Для проверки данных наблюдения обычно составляется схема контроля
, в которую включаются различные виды контроля.
При обнаружении ошибок нельзя самостоятельно их исправлять. Для этого необходимо получить дополнительную информацию путем повторного наблюдения. Данные наблюдения считаются принятыми, если они прошли контроль, и в них внесены все необходимые исправления.
Проверкой собранных данных заканчивается начальная стадия статистического исследования. После этого можно переходить ко второй стадии исследования обработке данных наблюдения. Обработка заключается в классификации и систематизации полученного статистического материала, осуществляемых через сводку и группировку [4].
Заключение
Количественная характеристика социально-экономических процессов в непосредственной связи с их качественной сущностью невозможна без глубокого статистического исследования. Использование различных способов и приемов статистической методологии предполагает наличие исчерпывающей и достоверной информации об изучаемом объекте, что включает этапы сбора статистической информации и ее первичной обработки, сведения и группировки результатов наблюдения в определенные совокупности, обобщения и анализа полученных материалов.
Если при сборе статистических данных допущена ошибка или материал оказался недоброкачественным, это повлияет на правильность и достоверность как теоретических, так и практических выводов. Поэтому статистическое наблюдение от начальной до завершающей стадии должно быть тщательно продуманным и четко организованным.
Любая статистическая работа начинается со статистического наблюдения, которое представляет собой научно организованную работу по сбору массовых первичных данных о явлениях и процессах общественной жизни.
Важность этого этапа исследования определяется тем, что использование только объективной и достаточно полной информации, полученной в результате статистического наблюдения, на последующих этапах исследования в состоянии обеспечить научно обоснованные выводы о характере и закономерностях развития изучаемого объекта.
Статистическое наблюдение должно отвечать следующим требованиям:
1) наблюдаемые явления должны иметь научную или практическую ценность, выражать определенные социально-экономические типы явлений;
2) непосредственный сбор массовых данных должен обеспечить полноту фактов, относящихся к рассматриваемому вопросу, так как явления находятся в постоянном изменении, развитии. В том случае, если отсутствуют полные данные, анализ и выводы могут быть ошибочными;
3) для обеспечения достоверности статистических данных необходима тщательная и всесторонняя проверка качества собираемых фактов, что является одной из важнейших характеристик статистического наблюдения;
Статистическое наблюдение осуществляется в двух формах: путем предоставления отчетности и проведения специально организованных статистических наблюдений и подразделяется на виды— по времени наблюдения и по охвату единиц наблюдения.
Перед любым статистическим наблюдением ведется подготовительная работа, в результате которой вырабатываются программа наблюдения и организационный план. Программа наблюдения представляет собой перечень признаков исследуемого объекта, подлежащих регистрации. Содержание программы определяется спецификой объекта наблюдения, его целью, потребностями в определенных данных. К организационным вопросам статистического наблюдения относятся: определение единицы наблюдения, установление времени и сроков его проведения, определение форм и видов наблюдения, способов регистрации фактов [5].
Важнейшей задачей наблюдения является получение доброкачественных, достоверных данных. Точностью статистического наблюдения называют степень соответствия какого-либо показателя, определенного по материалам статистического наблюдения, действительной его величине. Однако в ходе наблюдения могут возникнуть ошибки наблюдения. После получения статистических формуляров следует провести проверку полноты и качества собранных данных [2].
Список литературы
1. Жаров А.Н.. Основы статистики в схемах и таблицах. Учебное пособие для студентов вечернего и заочного отделений.- М., Из-во РУДН – 53с.
2. Иода Е.В., Герасимов Б.И. Статистика: Учеб. пособие / Под общей ред. Е.В. Иода. Тамбов: Изд-во Тамб. гос. техн. ун-та, 2004. 104 с.
3. Общая теория статистики / Под ред. А.А. Спирина, О.Э. Башиной. - М.: финансы и статистика, 1996. 296 с.
4. Сизова Т.М. Статистика: Учебное пособие. – СПб.: СПб ГУИТМО, 2005. – 80 с.
5. Статистика: Практикум/Сост. Т.В. Ивашина. – Гродно: ГрГу, 1999. – 74 с.
6. Статистика: Учеб. пособие / И.Е. Теслюк, В.А. Тарловская., И.Н. Терлиженко и др. – 2-е изд. – Ми.: Ураджай, 2000. – 360 с.: ил. – (Учебники и учебные пособия для средних специальных учебных заведений)
7. Теория статистики: Учебник под ред. Р.А. Шмойловой – 4-ое изд., перераб. и доп. – М.: Финансы и статистика, 2005.
8. Т.В. Чернова. Экономическая статистика: Учебное пособие. Таганрог: Изд-во ТРТУ, 1999
9. www.perepis-2010.ru
10. www.demoscop.ru
Приложение
Основные понятия Всероссийской переписи населения 2010 года.
Лица, подлежащие переписи населения
–
граждане Российской Федерации, иностранные граждане и лица без гражданства, постоянно проживающие на территории Российской Федерации, а также находящиеся на дату Всероссийской переписи населения на территории Российской Федерации, но постоянно проживающие на территории других государств.
Единица наблюдения переписи населения -
домохозяйство.Под домохозяйством понимаются лица, проживающие в одном жилом помещении или его части, совместно обеспечивающие себя продуктами питания и другими необходимыми средствами существования, объединяя полностью или частично свои доходы. Домохозяйство может состоять из одного человека.
Домохозяйства подразделяются на частные домохозяйства, коллективные домохозяйства и домохозяйства бездомных.
К частным домохозяйствам относятся домохозяйства, проживающие в жилых помещениях – квартирах, индивидуальных домах, общежитиях, других жилых помещениях и нежилых помещениях, приспособленных для жилья.
К коллективным домохозяйствам относятся лица, постоянно живущие в учреждениях социального и медицинского обслуживания, в казармах, местах заключения, религиозных организациях.
К домохозяйствам бездомных относятся лица без определенного места жительства (не имеющие жилья).
Программа переписи населения
–
перечень вопросов для получения сведений о населении, собираемых в ходе переписи. Программа Всероссийской переписи населения вносится для утверждения в Правительство Российской Федерации за 1 год 6 месяцев до даты ее проведения.
Срок проведения переписи населения
–
период времени, в который проводятся предварительный обход помещений и отбор помещений для проведения выборочного наблюдения, сбор сведений о населении, контрольный обход помещений. Срок проведения Всероссийской переписи населения 14-25 октября 2010 года.
Дата переписи населения
–
момент времени (год, месяц, день и час), на который осуществляется сбор сведений о населении и его учет.
Метод проведения переписи населения.
Сбор сведений о населении осуществляется путем опроса населения и заполнения переписных листов при обходе жилых и иных помещений, в которых проживают (пребывают) опрашиваемые лица.
Сбор указанных сведений также может осуществляться либо с использованием средств связи, либо в специальных помещениях, предоставляемых для этих целей органами исполнительной власти субъектов Российской Федерации и (или) органами местного самоуправления.
Население переписывается по месту своего постоянного (обычного) жительства, которым является населенный пункт, дом, квартира, комната, где опрашиваемый обычно проводит большую часть своего времени. Это место может совпадать или не совпадать с адресом, по которому человек зарегистрирован.
Программа публикации итогов переписи населения
– комплект макетов таблиц, являющихся основой для формирования официальной публикации итогов Всероссийской переписи населения 2010 года [10].






|