Содержание
Введение
1. Теоретические аспекты управления финансовыми рисками предприятия
1.1 Сущность и классификация финансовых рисков предприятия
1.2 Основы управления финансовыми рисками
1.3 Методология оценки финансовых рисков предприятия
2. Анализ финансовых рисков хозяйственной деятельности ОАО «ТАИФ-НК»
2.1 Общая характеристика ОАО «ТАИФ-НК»
2.2 Методика оценки рисков ОАО «ТАИФ-НК» по абсолютным финансовым показателям
2.3 Методика оценки рисков ОАО «ТАИФ-НК» по относительным финансовым показателям
3. Пути нейтрализации финансовых рисков предприятия
3.1 Методы нейтрализации финансовых рисков
3.2 Разработка рекомендаций по снижению финансовых рисков ОАО «ТАИФ-НК»
Заключение
Список использованных источников и литературы
Введение
В современных реалиях любая экономическая деятельность различных хозяйствующих субъектов в большей или меньшей степени связана с рисками. Успех в экономической деятельности в значительной степени зависит от способности управлять рисками. В настоящее время данная проблема – одна из основополагающих в экономике, она вызывает неуменьшающийся интерес среди различных исследователей и, несомненно, заслуживает всестороннего изучения.
В рыночных условиях риск как объект изучения имеет самостоятельное теоретическое и прикладное значение, являясь важным элементом теории и практики управления, особенно если принять во внимание малоизученность этой объективной проблемы. На современном этапе развития отечественной экономической мысли концептуальных исследований по вопросам оценки и управления рискованными ситуациями практически нет. Данный пробел связан со спецификой истории нашей страны, ориентирующейся на протяжении длительного времени в основном на экстенсивное развитие экономики, не рассматривающей проблемы учета неопределенности и риска. Кроме того, по мнению доктора экономических наук А.С.Шапкина, при «экономике дефицита» у предпринимателя нет заинтересованности и желания идти на риск, менять сложившуюся технологию производства. В этом и заключаются основные причины недостаточной изученности основных проблем рискологии.
Риск – это действия, связанные с преодолением неопределенности в ситуации неизбежного выбора, в процессе которых существует возможность оценить вероятность достижения предполагаемого результата, возможности неудачи, отклонения от цели.
Забиваем Сайты В ТОП КУВАЛДОЙ - Уникальные возможности от SeoHammer
Каждая ссылка анализируется по трем пакетам оценки: SEO, Трафик и SMM.
SeoHammer делает продвижение сайта прозрачным и простым занятием.
Ссылки, вечные ссылки, статьи, упоминания, пресс-релизы - используйте по максимуму потенциал SeoHammer для продвижения вашего сайта.
Что умеет делать SeoHammer
— Продвижение в один клик, интеллектуальный подбор запросов, покупка самых лучших ссылок с высокой степенью качества у лучших бирж ссылок.
— Регулярная проверка качества ссылок по более чем 100 показателям и ежедневный пересчет показателей качества проекта.
— Все известные форматы ссылок: арендные ссылки, вечные ссылки, публикации (упоминания, мнения, отзывы, статьи, пресс-релизы).
— SeoHammer покажет, где рост или падение, а также запросы, на которые нужно обратить внимание.
SeoHammer еще предоставляет технологию Буст, она ускоряет продвижение в десятки раз,
а первые результаты появляются уже в течение первых 7 дней.
Зарегистрироваться и Начать продвижение
Риск в настоящее время выступает как неотъемлемая составляющая деятельности в экономике. Существует прямая зависимость между развитием рыночных отношений и неопределенностью, а, следовательно, и величиной риска. Невозможно полностью устранить неопределенность в рыночной экономике, она является ее объективной действительностью: чем больше развиты рыночные отношения, тем сильнее будет проявляться рисковая компонента в деятельности предприятий.
Существование риска влечет за собой необходимость анализа всех возможных альтернатив развития ситуации. В зависимости от содержания деятельности и непосредственно рисковой ситуации выбор варианта решения по критерию оптимальности обладает различной степенью сложности, в связи с чем для решения многофакторных экономических задач с целью принятия рационального решения зачастую прибегают к использованию специальных методов анализа.
Финансовая деятельность компании во всех ее формах сопряжена с многочисленными рисками, степень влияния которых на результаты этой деятельности и уровень финансовой безопасности существенно возрастает в настоящее время. Риски, сопровождающие хозяйственную деятельность компании и генерирующие финансовые угрозы, объединяются в особую группу финансовых рисков, играющих наиболее существенную роль в общем «портфеле рисков» компании. Существенное возрастание влияния финансовых рисков компании на результаты хозяйственной деятельности вызвано нестабильностью внешней среды: экономической ситуации в стране, появлением новых инновационных финансовых инструментов, расширением сферы финансовых отношений, изменчивостью конъюнктуры финансового рынка и рядом других факторов. Поэтому оценка и отслеживание уровня финансовых рисков является одной из актуальных задач в практической деятельности финансовых менеджеров.
Одним из важнейших направлений стратегического финансового анализа компании в преддверии разработки ее финансовой стратегии является анализ финансового состояния по критерию риска. Информация, полученная в результате такого исследования, поможет установить те ограничивающие условия при выборе финансовой стратегии, которые позволят сузить возможный коридор решений, обеспечивающий наиболее приемлемый путь развития компании, адекватный внешним и внутренним условиям среды воздействия.
Сервис онлайн-записи на собственном Telegram-боте
Попробуйте сервис онлайн-записи VisitTime на основе вашего собственного Telegram-бота:
— Разгрузит мастера, специалиста или компанию;
— Позволит гибко управлять расписанием и загрузкой;
— Разошлет оповещения о новых услугах или акциях;
— Позволит принять оплату на карту/кошелек/счет;
— Позволит записываться на групповые и персональные посещения;
— Поможет получить от клиента отзывы о визите к вам;
— Включает в себя сервис чаевых.
Для новых пользователей первый месяц бесплатно.
Зарегистрироваться в сервисе
Так или иначе, любая компания сталкивается с необходимостью управления рисками. Одни начинают оценивать риски после того, как столкнулись с серьезными убытками, другие занимаются ими постоянно и планомерно. Тем не менее, игнорировать этот вопрос нельзя, если компания планирует оставаться на рынке и рассчитывать на успех. Опираясь на опыт крупных корпораций, которые в основном имеют полноценную систему риск-менеджмента, а также на теоретический базис, разработанный отечественными и зарубежными учеными, практически любая компания может внедрить отдельные элементы этой системы, в частности выделить финансовые риски и принять меры по их снижению.
При написании дипломной работы была определена цель – выявить финансовые риски в деятельности предприятия, провести их анализ и внести предложения по их снижению. Исходя из поставленной в дипломной работе цели, необходимо решить следующие задачи:
-раскрыть сущность финансовых рисков и рассмотреть их классификацию;
-изучить основы управления финансовыми рисками;
-исследовать методики оценки финансовых рисков предприятия;
-провести анализ общей характеристики деятельности ОАО «ТАИФ-НК»;
-дать оценку финансовых рисков ОАО «ТАИФ-НК» за 2007-2009 года;
-рассмотреть общепринятые методы нейтрализации финансовых рисков;
-внести рекомендации по снижению финансовых рисков на предприятии.
Объектом исследования дипломной работы выступает ОАО «ТАИФ-НК».
Предметом исследования являются финансовые риски в деятельности предприятия.
Теоретической основой исследования явились труды отечественных и зарубежных ученых по вопросам риск-менеджмента, материалы периодических изданий. Данная проблема изучена следующими учеными: Ковалевой А.М., Крейниной М.Н., Продановой Н.А., Черкасовым В.В., Шапкиным А.С., Яковлевой И.Н.
Информационной основой исследования явились формы финансовой отчетности ОАО «ТАИФ-НК» за 2007-2009 года, в частности, форма №1 "Бухгалтерский баланс", форма №2 "Отчет о прибылях и убытках", а также Годовой отчет ОАО «ТАИФ-НК» за 2007-2009 года.
В процессе исследования применялись общенаучные методы познания социально-экономических явлений и процессов: сравнение, конкретизация, классификация, логический анализ, моделирование. Методика проведения исследования основывалась на группировке, анализе и систематизации полученных данных, установлении и практической реализации полученных результатов. Предлагаемые рекомендации и критические замечания могут быть использованы предприятиями при снижении влияния отрицательных факторов и решении проблем, возникающих в процессе их функционирования.
Дипломная работа состоит из трех глав. В первой главе рассмотрены теоретические и методические основы оценки финансовых рисков предприятия: сущность финансовых рисков и их классификация; функции и принципы управления финансовыми рисками; методика оценки финансовых рисков предприятия.
Во второй главе произведен анализ оценки финансовых рисков на примере ОАО «ТАИФ-НК»: дана краткая характеристика предприятия; анализ финансовых рисков и их комплексная оценка.
В третьей главе освещены общепринятые методы нейтрализации финансовых рисков и предложены рекомендации по снижению финансовых рисков на предприятии.
1. Теоретические аспекты управления финансовыми рисками предприятия
1.1 Сущность и классификация финансовых рисков предприятия
Финансовая деятельность фирмы во всех ее формах сопряжена с многочисленными рисками, степень влияния которых на результаты этой деятельности фирмы достаточно высока. Риски, сопутствующие финансовой деятельности фирмы, выделяются в особую группу рисков, которые носят название – финансовые риски [9, c.8].Под риском понимают все внутренние и внешние предпосылки, которые могут негативно повлиять на достижение стратегических целей в течение точно определенного отрезка времени наблюдения, например периода оперативного планирования. К стратегическим показателям относятся выручка и покрытие затрат, включая проценты на капитал, оборот, качество, имидж и т.д. [17, c.33] Под финансовыми рисками понимается вероятность возникновения непредвиденных финансовых потерь (снижения прибыли, доходов, потери капитала и т.п.) в ситуации неопределенности условий финансовой деятельности организации.
Финансовые риски играют наиболее значимую роль в общем портфеле предпринимательских рисков предприятия. Возрастание степени влияния финансовых рисков не только на результаты финансовой деятельности предприятия, но и в целом на результаты производственно-хозяйственной деятельности связано с быстрой изменчивостью экономической ситуации и конъюнктуры финансового рынка, расширением сферы финансовых отношений предприятия, появлением новых для российских организаций финансовых технологий и другими факторами [6, c.8].Финансовые риски имеют объективную основу из-за неопределенности внешней среды по отношению к предприятию. Внешняя среда включает в себя объективные экономические, социальные и политические условия, в рамках которых предприятие осуществляет свою деятельность и к динамике которых оно вынуждено приспосабливаться. Неопределенность внешней среды предопределяется тем, что она зависит от множественных переменных, контрагентов и лиц, поведение которых не всегда можно предсказать с приемлемой точностью [35, c.167].Деятельность организации всегда сопряжена с неопределенностью экономической конъюнктуры, которая обусловлена непостоянством спроса – предложения на товары, денежные средства, факторы производства, многовариантностью сфер приложения капиталов и разнообразием критериев предпочтительности инвестирования средств, ограниченностью информации и многими другими обстоятельствами. Таким образом, объективность финансовых рисков связана с наличием факторов, существование которых, в конечном счете, не зависит от деятельности предприятия [27, c.134].С другой струны, финансовые риски имеют и субъективную основу, поскольку всегда реализуются через человека, который оценивает рисковую ситуацию, формирует множество возможных исходов и делает выбор из множества альтернатив. Кроме этого, восприятие риска зависит от каждого конкретного человека с его характером, складом ума, психологическими особенностями, уровнем знаний и опыта в области его деятельности [35, c.169].Выделяют чистые риски, предполагающие возможность получения только убытка, и спекулятивные риски, допускающие получение либо положительного, либо отрицательного результата. Финансовые риски - это, с одной стороны, опасность потенциально возможной, вероятной потери ресурсов или недополучения доходов по сравнению с вариантом, который рассчитан на рациональное использование ресурсов в данной сфере деятельности, с другой – это вероятность получения дополнительного объема прибыли, связанного с риском. Таким образом, финансовые риски относятся к группе спекулятивных рисков, которые в результате возникновения могут привести как к потерям, так и к выигрышу [29, c.79].Финансовые риски подразделяются на 4 вида:
-Риски, связанные с покупательной способностью денег;
-Риски, связанные с капитальными вложениями (инвестиционные риски);
-Риски, связанные с изменением спроса на продукцию предприятия;
-Риски, связанные с привлечением заемных средств в качестве источника финансирования [23, c.263].
К рискам, связанным с покупательной способностью денег, относятся инфляционные и дефляционные риски, валютные риски, риск ликвидности.
Инфляционный риск — это возможность обесценения денег при росте инфляции более быстрыми темпами, чем темпы роста номинальной суммы получаемых денежных доходов [12, c.56].
Дефляционный риск возникает в случае, если растет покупательная способность денег и соответственно снижаются цены. С точки зрения предпринимателя это может ухудшить экономические условия деятельности и снизить доход, например в случае, если цены на сырье, материалы, услуги снижаются в меньшей степени, чем цены на продукцию (работы, услуги) данного предприятия.
Валютные риски выражаются в опасности валютных потерь, связанных с изменением курса одной иностранной валюты по отношению к другой при проведении валютных операций.
Риск ликвидности связан с возможностью потерь при реализации ценных бумаг и товаров из-за изменения оценки их качества и потребительной стоимости [28, c.119].
Инвестиционные риски — это риск упущенной выгоды, риск снижения доходности, риск прямых финансовых потерь.
Риск упущенной выгоды в неполучении какого-либо дохода, который можно было бы получить. Например, капитал не вложен под процент, а вместо этого направлен в инвестиционный проект, эффективность которого может оказаться ниже, чем уровень банковского процента; не заключен договор страхования и в результате не возмещены потери при наступлении страхового случая и т. д.
Риск снижения доходности может возникнуть, если уменьшатся проценты или дивиденды по портфельным инвестициям, вкладам, кредитам. Этот риск можно разделить на процентный и кредитный [25, c.115].
Процентный риск — это опасность для кредитных учреждений, возникающая при превышении процентных ставок, выплачиваемых ими по привлеченным средствам, над ставками по предоставленным кредитам. К процентным рискам относятся также риски потерь, которые могут понести инвесторы в связи с изменением уровня дивидендов по акциям, процентных рыночных ставок по облигациям и другим ценным бумагам.
Рост рыночной ставки процента ведет к понижению курсовой стоимости ценных бумаг с фиксированным процентом. При повышении процента может начаться массовый сброс ценных бумаг, эмитированных под более низкие фиксированные проценты и, по условиям выпуска, досрочно принимаемых обратно эмитентом. Процентный риск несет инвестор, вложивший средства в среднесрочные и долгосрочные ценные бумаги с фиксированным процентом при текущем повышении среднерыночного процента в сравнении с фиксированным уровнем. Иными словами, инвестор мог бы получить прирост дохода за счет повышения процента, но не может высвободить свои средства, вложенные на более длительный срок.
Процентный риск несет эмитент, выпускающий в обращение среднесрочные и долгосрочные ценные бумаги с фиксированным процентом при текущем понижении среднерыночного процента в сравнении с фиксированным уровнем. Иначе говоря, эмитент мог бы привлекать средства с рынка под более низкий процент, но он уже связан осуществленным им выпуском ценных бумаг.
Этот вид риска при быстром росте процентных ставок в условиях инфляции имеет значение и для краткосрочных ценных бумаг [32, c.35].
Кредитный риск — опасность неуплаты заемщиком основного долга и процентов, причитающихся кредитору. К кредитному риску относится также риск такого события, при котором эмитент, выпустивший долговые ценные бумаги, окажется не в состоянии выплачивать проценты по ним или основную сумму долга.
Кредитный риск можно также рассматривать как одну из форм риска прямых финансовых потерь. Кроме того, риски прямых финансовых потерь выражаются в биржевых рисках, селективных рисках и риске банкротства.
Биржевой риск – это опасность потерь от биржевых сделок: риск неплатежа по коммерческим сделкам, риск неплатежа комиссионного вознаграждения брокерской фирмы и т. д.
Селективные риски – это риски неправильного выбора способа вложения капитала, вида ценных бумаг для инвестирования в сравнении с другими видами ценных бумаг.
Риск банкротства представляет собой опасность в результате неправильного выбора способа вложения капитала, потери собственного капитала и неспособности рассчитаться по обязательствам. В результате предприятие становится банкротом. Таким образом, риск банкротства – это наиболее опасные последствия селективного риска [36, c.45].
Риски, связанные с изменением спроса на продукцию предприятия, возникают в связи с тем, что в случае снижения выручки от реализации прибыль от реализации уменьшается в гораздо большей степени. Источником риска в данном случае является операционный левередж. Он измеряется одним из двух показателей, в зависимости от конкретных проявлений снижения спроса на продукцию предприятия: либо снижаются цены, либо уменьшается натуральный объем сбыта.
В случае уменьшения выручки от реализации за счет снижения цен при сохранении натурального объема продаж уровень операционного левереджа равен (по данным базисного периода, которымиизмеряется будущая вероятность риска) частному от деления выручки от реализации на прибыль от реализации.
Если выручка от реализации снижается в результате уменьшения натурального объема продаж, уровень операционного левереджа равен частному от деления выручки от реализации за вычетом переменных затрат на реализованную продукцию на прибыль от реализации.
Чем выше операционный левередж, тем выше уровень риска потери предприятием прибыли. Понятно, что в случае снижения цен операционный левередж выше, чем при снижении натурального объема продаж, т.к. последняя ситуация обеспечивает сокращение переменных затрат, которое частично компенсирует потери прибыли.
Другой вид риска, связанного с изменением спроса на продукцию предприятия, — опасность недостаточности прибыли для осуществления из нее всех обязательных расходов и платежей, установленных, как правило, либо в твердых суммах, либо расчетно, но независимо от размера прибыли. Если прибыль от реализации снижается, то одновременно может снизиться и общая сумма прибыли, являющаяся непосредственным источником таких расходов и платежей. Источником риска в этом случае выступает финансовый левередж, который измеряется как отношение общей прибыли предприятия к прибыли за вычетом всех обязательных расходов и платежей, не зависящих от нее по размеру, но имеющих ее в качестве источника выплат. Чем выше уровень финансового левереджа, тем выше степень риска при снижении спроса на продукцию предприятия.
Риски, связанные с привлечением заемных средств в качестве источника финансирования, — это риски ошибок в расчетах эффективности такого привлечения. Заемные средства вообще целесообразно привлекать лишь в случаях, когда отдача от них превышает уровень процентов за кредиты. Этот процесс называют финансовым рычагом. Преимущество финансового рычага состоит в том, что можно капитал, взятый в долг под фиксированный процент, использовать для инвестиций, приносящих прибыль, превышающую уплаченный процент. Разница является дополнительной прибылью предприятия-заемщика, риск состоит в том, что если прибыль от заемного капитала ниже цены кредита, предприятие несет тем больше потерь, чем больше величина заемных средств, т.к. разница между ценой кредита и прибылью, полученной в результате его использования, — это уже убыток предприятия.
Все виды финансовых рисков поддаются количественной оценке. Эта оценка может и должна быть разносторонней. Во-первых, оценивается вероятность наступления финансовых потерь; во-вторых, определяется размер возможного ущерба; в-третьих, рассчитываются пределы допустимых ошибок в прогнозных расчетах, не приводящих к серьезному ухудшению финансового состояния предприятия. Особенности разных видов рисков предполагают неодинаковые подходы к их количественной оценке. Но во всех случаях риск является вероятностной категорией, поэтому его количественное измерение не может быть однозначным и предопределенным [23, c.265].
1.2 Основы управления финансовыми рисками
Сегодня управление рисками является тщательно планируемым процессом. Задача управления риском органически вплетается в общую проблему повышения эффективности работы предприятия. Пассивное отношение к риску и осознание его существования заменяется активными методами управления.
Управление финансовым риском можно охарактеризовать как совокупность методов, приемов и мероприятий, позволяющих в определенной степени прогнозировать наступление рисковых событий и принимать меры к исключению или снижению отрицательных последствий наступления таких событий [1, c.100].
На степень и величину риска можно воздействовать через финансовый механизм. Такое воздействие осуществляется с помощью приемов финансового менеджмента и особой стратегии. В совокупности стратегия и приемы образуют своеобразный механизм управления риском, т.е. риск-менеджмент. Таким образом, риск-менеджмент представляет собой часть финансового менеджмента [16, c.145].
Особое место в системе риск-менеджмента занимают финансовые риски. Они оказывают существенное влияние на различные аспекты финансовой деятельности компании, однако наиболее значимое их влияние проявляется в двух направлениях. Во-первых, уровень принимаемого риска оказывает определяющее воздействие на формирование уровня доходности финансовых операций компании — эти два показателя находятся в тесной взаимосвязи и представляют собой единую систему «доходность-риск». Во-вторых, финансовые риски являются основной формой генерирования прямой угрозы банкротства компании, так как финансовые потери, связанные с этим риском, наиболее ощутимы. Поэтому практически все финансовые решения, направленные на формирование прибыли компании, повышение ее рыночной стоимости и обеспечение финансовой безопасности, требуют от финансовых менеджеров владения техникой выработки, принятия и реализации рисковых решений [39, c.15].
По сравнению с финансовыми компаниями (кредитными учреждениями, страховыми компаниями, пенсионными фондами) производственные компании меньше обеспечены формализованными процедурами и методиками оценки и управления совокупными рисками. Производственные компании в отличие от финансовых лишены механизмов регулирования уровня рискованной деятельности со стороны государственных органов надзора. Оттого производственным компаниям потребны рычаги управления рисками и рисковым вложением капитала, то есть им нужно создавать риск-менеджмент [33, c.31].
С современных позиций принятия решения по упреждению возможных потерь различают следующие подходы к управлению рисками: активный, адаптивный и консервативный (пассивный):
-Активное управление означает максимальное использование имеющейся информации и средств для минимизации рисков. При таком подходе управляющие воздействия должны опережать или упреждать рисковые факторы и события, которые могут оказать влияние на реализацию проводимой операции. Очевидно, что данный подход предполагает затраты на прогнозирование и оценку рисков, а также организацию их непрерывного контроля и мониторинга;
-Адаптивный подход к управлению риском строится на принципе «выбора меньшего из зол», т.е. на адаптации к сложившейся ситуации. При таком подходе управляющие воздействия осуществляются в ходе проведения хозяйственной операции как реакция на изменения среды. В этом случае предотвращается лишь часть возможных потерь;
-При консервативном подходе управляющие воздействия запаздывают. Если рисковое событие наступило, ущерб от него поглощается участниками операции. В данном случае управление направлено на локализацию ущерба, нейтрализацию его влияния на последующие события. Обычно затраты на управление риском при таком подходе минимальны, однако возможные потери могут быть достаточно велики [31, c.115].
Система управления финансовыми рисками состоит из двух подсистем – управляемой (объект управления) и управляющей (субъекта управления):
-Объектом управления здесь выступают рисковые операции и возникающие при этом финансовые отношения между участниками хозяйственной деятельности в процессе ее осуществления. Подобные отношения возникают между страхователем и страховщиком, заемщиком и кредитором, заказчиком и подрядчиком, партнерами по бизнесу и т.п.;
-Субъект управления – это группа людей (финансовый менеджер, специалист по рискам и др.), которая посредством различных приемов и методов осуществляет целенаправленное воздействие на объект управления.
Главными задачами субъекта управления являются: обнаружение областей повышенного финансового риска; оценка степени риска; анализ приемлемости данного уровня риска для организации; разработка в случае необходимости мер по предупреждению или снижению риска; в случае, когда рисковое событие произошло, принятие мер к максимально возможному возмещению причиненного ущерба [5, c.18].
Управление финансовыми рисками осуществляет определенные функции. Эти функции подразделяются на две основные группы, определяемые комплексным содержанием риск-менеджмента:
-Функции управления финансовыми рисками предприятия как управляющей системы (состав этих функций в целом характерен для любого вида менеджмента, хотя и должен учитывать его специфику);
-Функции управления финансовыми рисками как специальной области управления предприятием (состав этих функций определяется конкретным объектом данной функциональной системы управления).
В группе функций управления финансовыми рисками предприятия как управляющей системы основными являются:
1)Формирование эффективных информационных систем, обеспечивающих обоснование альтернативных вариантов управленческих решений;
2)Осуществление риск-анализа различных аспектов финансовой деятельности предприятия. В процессе реализации этой функции проводятся экспресс- и углубленный риск-анализ отдельных финансовых операций, финансовые сделок отдельных дочерних предприятий и внутренних “центров ответственности”, финансовой деятельности предприятия в целом и в разрезе отдельных ее направлений [15, c.35];
3)Осуществление риск-планирования финансовой деятельности предприятия по основным ее направлениям. Реализация этой функции управления финансовыми рисками связана с разработкой системы планов и оперативных бюджетов по основным направлениям защиты предприятия от возможных финансовых угроз внешнего и внутреннего характера, обеспечивающих нейтрализацию идентифицированных финансовых рисков. Основой такого планирования является разработанная стратегия финансового риск-менеджмента, требующая конкретизации на каждом этапе его развития [4, c.35];
4)Осуществление эффективного контроля реализации принятых рисковых решений. Реализация этой функции управления финансовыми рисками связана с созданием соответствующих систем внутреннего контроля на предприятии, разделением контрольных обязанностей отдельных служб и риск-менеджеров, определением системы контролируемых показателей и контрольных периодов, оперативным реагированием на результаты осуществляемого контроля [21, c.63].
В группе функций управления финансовыми рисками как специальной области управления предприятием основными являются:
1)Управление формированием портфеля принимаемых финансовых рисков. Функциями этого управления являются идентификация возможных финансовых рисков предприятия, связанных с его предстоящей финансовой деятельностью; избежание отдельных финансовых рисков за счет отказа от чрезмерно рискованных финансовых операций и сделок; определение окончательного состава отдельных систематических и несистематических финансовых рисков, принимаемых предприятием [8, c.139];
2)Управление оценкой уровня и стоимости финансовых рисков. В процессе реализации этой функции осуществляется выбор методов оценки отдельных финансовых рисков с учета имеющейся информационной базы и квалификации риск-менеджеров предприятия, выявляется возможный объем связанных с ними финансовых потерь в разрезе отдельных операций и по финансовой деятельности в целом [20, c.19];
3)Управления нейтрализацией возможных негативных последствий финансовых рисков в рамках предприятия. Функциями этого управления является разработка и реализация мероприятий по профилактике и минимизации уровня и стоимости отдельных финансовых рисков за счет соответствующих внутренних механизмов, оценка эффективности осуществления таких мероприятий [13, c. 98];
4)Управление страхованием финансовых рисков. В процессе реализации этой функции формируются критерии передачи финансовых рисков предприятия страховым компаниям, осуществляется выбор соответствующих страховых компаний для сотрудничества с учетом их специализации и рейтинга на страховом рынке, согласовывается система условий заключаемого договора страхования, оценивается эффективность передачи отдельных финансовых рисков предприятия внешнему страховщику.
Основные функции управления финансовыми рисками рассмотрены в наиболее агрегированном виде. Каждая их этих функций может быть конкретизирована более целенаправленно с учетом специфики финансовой деятельности предприятия и портфеля его финансовых рисков [40, c.52].
Важнейшее значение для эффективного управления финансовыми рисками имеет адекватное информационное обеспечение. Наличие надежной и актуальной информации позволяет быстро принимать управленческие решения, оказывающие влияние на снижение рисков и увеличение прибыли.
Конкретные методы и приемы, которые используются при принятии и реализации решений в условиях риска, в значительной степени зависят от специфики деятельности, принятой стратегии достижения поставленных целей, конкретной ситуации и т.п. Вместе с тем теория и практика управления риском выработали ряд основополагающих принципов, которыми следует руководствоваться субъекту управления [18, c.109].
Среди основных принципов управления финансовым риском выделяют следующие:
-Осознанность принятия рисков. Менеджер должен сознательно идти на риск, если он надеется получить соответствующий доход от осуществления той или иной операции. Несмотря на то, что по некоторым операциям можно принять тактику «избегания риска», полностью исключить его из деятельности предприятия не представляется возможным, поскольку финансовый риск – объективное явление, присущее большинству хозяйственных операций;
-Управляемость принимаемыми рисками. В состав портфеля финансовых рисков должны включаться только те из них, которые поддаются нейтрализации в процессе управления, независимо от их объективной и субъективной природы. Риски неуправляемые, например форс-мажорные группы, можно либо игнорировать, либо передать внешнему страховщику или партнерам по бизнесу [24, c.39];
-Сопоставимость уровня принимаемых рисков с уровнем доходности финансовых операций – основополагающий принцип в теории риск-менеджмента. Он заключается в том, что предприятие должно принимать в процессе осуществления своей деятельности только те виды финансовых рисков, уровень которых компенсируется адекватной величиной ожидаемой доходности. Операции, риски которых не соответствуют требуемому уровню доходности, должны быть отвергнуты, или, соответственно, должны быть пересмотрены размеры премии за риск [26, c.21];
-Сопоставимость уровня принимаемых рисков с возможными потерями предприятия. Возможный размер финансовых потерь предприятия в процессе проведения той или иной рисковой операции должен соответствовать доле капитала, которая зарезервирована для его покрытия. Иначе наступление рискового случая повлечет за собой потерю определенной части активов, обеспечивающих операционную или инвестиционную деятельность предприятия, т.е. снизит его потенциал формирования прибыли и темпы дальнейшего развития;
-Учет фактора времени в управлении рисками. Чем длиннее период осуществления операции, тем шире диапазон сопутствующих ей финансовых рисков, тем меньше возможностей обеспечивать нейтрализацию их негативных последствий. При необходимости осуществления таких операций предприятие должно включать в требуемую величину дохода не только премии за соответствующие риски, но и премию за ликвидность (то есть за связывание на определенный срок вложенного в нее капитала) [24, c.40];
-Учет стратегии предприятия в процессе управления рисками. Система управления финансовыми рисками должна базироваться на общих принципах, критериях и подходах, соответствующих избранной предприятием стратегии развития. Ориентация на генеральную стратегию развития позволяет сосредоточить основные усилия на тех видах риска, которые сулят предприятию максимальную выгоду, определить предельный объем рисков, которые можно взять на себя, выделить необходимые ресурсы для управления ими [11, c.108];
-Учет возможности передачи рисков. – Принятие ряда финансовых рисков несопоставимо с возможностями предприятия по нейтрализации их негативных последствий. В то же время необходимость реализации той или иной рисковой операции может диктоваться требованиями стратегии и направленности хозяйственной деятельности. Включение их в портфель рисков допустимо лишь в том случае, если возможна частичная или полная их передача партнерам по бизнесу или внешнему страховщику [24, c.41].
На основании рассмотренных принципов на предприятии формируется политика управления финансовыми рисками. Эта политика представляет собой часть общей стратегии предприятия, заключающейся в разработке системы мероприятий по нейтрализации их возможных негативных последствий рисков, связанных с осуществлением различных аспектов хозяйственной деятельности [2, c.46].
1.3 Методология оценки финансовых рисков предприятия
Количественным выражением того, что в результате принимаемого решения ожидаемый доход будет получен не в полном объеме или предпринимательские ресурсы будут полностью или частично потеряны, является показатель риска.
Система показателей оценки риска – это совокупность взаимосвязанных показателей, нацеленная на решение конкретных задач предпринимательской деятельности.
В условиях определенности группа показателей оценки риска включает финансовые показатели, которые отражают наличие, размещение и использование финансовых ресурсов и тем самым дают возможность оценить риск последствий результатов деятельности компании. В качестве исходной информации при оценке риска используется бухгалтерская отчетность компании: бухгалтерский баланс, фиксирующий имущественное и финансовое положение организации на отчетную дату; отчет о прибылях и убытках, представляющий результаты деятельности за отчетный период. Основные финансовые риски, оцениваемые компаниями, следующие:
-риски потери платежеспособности;
-риски потери финансовой устойчивости и независимости;
-риски структуры активов и пассивов.
Модель оценки риска ликвидности (платежеспособности) баланса с помощью абсолютных показателей представлена на рисунке 1.
| Порядок группирования активов и пассивов |
Порядок группирования активов
по степени быстроты их превращения
в денежные средства
|
Порядок группирования пассивов
по степени срочности
выполнения обязательств
|
А1. Наиболее ликвидные активы
А1 = стр. 250 + стр. 260
|
П1. Наиболее срочные обязательства
П1 = стр. 620
|
А2. Быстрореализуемые активы
А2 = стр. 240
|
П2. Краткосрочные пассивы
П2 = стр. 610 + стр. 630 + стр. 660
|
А3. Медленно реализуемые активы
А3 = стр. 210 + стр. 220 + стр. 230 + стр. 270
|
П3. Долгосрочные пассивы
П3 = стр. 590 + стр. 640 + стр. 650
|
А4. Труднореализуемые активы
А4 = стр. 190
|
П4. Постоянные пассивы
П4 = стр. 490
|
| Тип состояния ликвидности |
| Условия |
А1 ≥ П1; А2 ≥ П2;
А3 ≥ П3; А4 ≤ П4
|
А1 < П1; А2 ≥ П2;
А3 ~ П3; А4 ~ П4
|
А1 < П1; А2 < П2;
А3 ~ П3; А4 ~ П4
|
А1 < П1; А2 < П2;
А3 < П3; А4 > П4
|
Абсолютная
ликвидность
|
Допустимая ликвидность
|
Нарушенная ликвидность
|
Кризисная ликвидность
|
  
| Оценка риска ликвидности |
Безрисковая
зона
|
Зона
допустимого риска
|
Зона критического риска
|
Зона катастрофического риска
|
Рисунок 1 – Модель оценки риска ликвидности баланса с помощью абсолютных показателей
Оценка риска финансовой устойчивости предприятия представлена на рисунке 2. Это самый простой и приближенный способ оценки финансовой устойчивости. На практике же можно применять разные методики анализа финансовой устойчивости.
| Расчет величины источников средств и величины запасов и затрат |
1. Излишек (+) или недостаток (-) собственных
оборотных средств
|
2. Излишек (+) или недостаток (-) собственных и долгосрочных заемных источников формирования запасов и затрат |
3. Излишек (+) или недостаток (-) общей величины основных источников для формирования запасов и затрат |
±Фс = СОС – ЗЗ
или
±Фс = стр.490 – стр.190 –
– (стр.210 + стр.220)
|
±Фт = СДИ – ЗЗ
или
±Фт = стр.490 + стр.590 –
– стр.190 – (стр.210 + стр. 220)
|
±Фо = ОВИ – ЗЗ
или
±Фо = стр.490 + стр.590 + стр.690 – – стр.190 – (стр.210 + стр.220)
|
(Ф) = 1, если Ф > 0; = 0, если Ф < 0. |
| Тип финансового состояния |
| Условия |
±Фс ≥ 0; ±Фт ≥ 0;
±Фо ≥ 0;
= 1, 1, 1
|
±Фс < 0; ±Фт ≥ 0; ±Фо ≥ 0;
= 0, 1, 1
|
±Фс < 0; ±Фт < 0;
±Фо ≥ 0;
= 0, 0, 1
|
±Фс < 0; ±Фт < 0;
±Фо < 0;
= 0, 0, 0
|
| Абсолютная независимость
|
Нормальная независимость
|
Неустойчивое финансовое состояние
|
Кризисное финансовое состояние
|
| Используемые источники покрытия затрат |
| Собственные оборотные средства |
Собственные оборотные средства плюс долгосрочные кредиты |
Собственные оборотные средства плюс долгосрочные и краткосрочные кредиты и займы |
—
|
| Краткая характеристика типов финансового состояния |
| Высокая платежеспособность; предприятие не зависит от кредиторов |
Нормальная платежеспособность; эффективное использование заемных средств; высокая доходность производственной деятельности |
Нарушение платежеспособности; необходимость привлечения дополнительных источников; возможность улучшения ситуации |
Неплатежеспособность предприятия;
грань банкротства
|
| Оценка риска финансовой неустойчивости |
| Безрисковая зона
|
Зона допустимого риска
|
Зона критического риска
|
Зона катастрофического риска
|
Рисунок 2 – Оценка риска финансовой устойчивости компании
Для предприятий, занятых производством, обобщающим показателем финансовой устойчивости выступает излишек или недостаток источников средств для формирования запасов и затрат, который определяется в виде разницы величины источников средств и величины запасов и затрат [38, c.58].
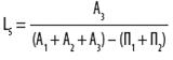
Оценка рисков ликвидности и финансовой устойчивости с помощью относительных показателей осуществляется посредством анализа отклонений от рекомендуемых значений. Расчет коэффициентов представлен в таблицах 1 и 2.
Таблица 1 – Финансовые коэффициенты ликвидности
| Показатель |
Способ расчета |
Рекомендуемые значения |
Комментарий |
| 1. Общий показатель ликвидности |
 |
L1
≥ 1 |
Показывает способность компании осуществлять расчеты по всем видам обязательств — как по ближайшим, так и по отдаленным |
| 2. Коэффициент абсолютной ликвидности |
 |
L2
> 0,2–0,7 |
Показывает, какую часть краткосрочной задолженности организация может погасить в ближайшее время за счет денежных средств |
| 3. Коэффициент «критической оценки» |
 |
Допустимое 0,7–0,8; желательно
L3
≥ 1,5
|
Показывает, какая часть краткосрочных обязательств организации может быть немедленно погашена за счет средств на различных счетах, в краткосрочных ценных бумагах, а также поступлений по расчетам |
| 4. Коэффициент текущей ликвидности |
 |
Оптимальное — не менее 2,0 |
Показывает, какую часть текущих обязательств по кредитам и расчетам можно погасить, мобилизовав все оборотные средства |
| 5. Коэффициент маневренности функционирующего капитала |
 |
Уменьшение показателя в динамике — положительный факт |
Показывает, какая часть функционирующего капитала обездвижена в производственных запасах и долгосрочной дебиторской задолженности |
| 6. Коэффициент обеспеченности собственными средствами |
 |
Не менее 0,1 |
Характеризует наличие собственных оборотных средств у организации, необходимых для ее финансовой устойчивости |
Таблица 2 – Финансовые коэффициенты, применяемые для оценки финансовой устойчивости компании
| Показатель |
Способ расчета |
Рекомендуемые значения |
Комментарий |
| 1. Коэффициент автономии |
 |
Минимальное пороговое значение — на уровне 0,4. Превышение указывает на увеличение финансовой
независимости, расширение возможности привлечения средств со стороны
|
Характеризует независимость от заемных средств |
| 2. Коэффициент соотношения заемных и собственных средств |
 |
U2
< 1,5. Превышение указанной границы означает зависимость предприятия от внешних источников средств, потерю финансовой устойчивости (автономности) |
Показывает, сколько заемных средств привлекло предприятие на 1 рубль вложенных в активы собственных средств |
| 3. Коэффициент обеспеченности собственными средствами |
 |
U3
> 0,1. Чем выше показатель (0,5), тем лучше финансовое состояние предприятия |
Иллюстрирует наличие у предприятия собственных оборотных средств, необходимых для его финансовой устойчивости |
| 4. Коэффициент финансовой устойчивости |
 |
U4
> 0,6. Снижение показателей свидетельствует о том, что предприятие испытывает финансовые затруднения |
Показывает, какая часть актива финансируется за счет устойчивых источников |
Сущность методики комплексной (балльной) оценки финансового состояния организации заключается в классификации организаций по уровню финансового риска, то есть любая организация может быть отнесена к определенному классу в зависимости от набранного количества баллов, исходя из фактических значений ее финансовых коэффициентов. Интегральная балльная оценка финансового состояния организации представлена в таблице 3.
Таблица 3 – Интегральная балльная оценка финансового состояния организации
Показатель
финансового состояния
|
Рейтинг показателя |
Критерий |
Условия снижения критерия |
| высший |
низший |
| 1. Коэффициент абсолютной ликвидности (L2
) |
20 |
0,5 и выше — 20 баллов |
Менее 0,1 — 0 баллов |
За каждые 0,1 пункта снижения по сравнению с 0,5 снимается 4 балла |
| 2. Коэффициент «критической оценки» (L3
) |
18 |
1,5 и выше — 18 баллов |
Менее 1 —
0 баллов
|
За каждые 0,1 пункта снижения по сравнению с 1,5 снимается по 3 балла |
| 3. Коэффициент текущей ликвидности (L4
) |
16,5 |
2 и выше — 16,5 балла |
Менее 1 —
0 баллов
|
За каждые 0,1 пункта снижения по
сравнению с 2 снимается по 1,5 балла
|
| 4. Коэффициент автономии (U1
) |
17 |
0,5 и выше — 17 баллов |
Менее 0,4 — 0 баллов |
За каждые 0,1 пункта снижения по сравнению с 0,5 снимается по 0,8 балла |
| 5. Коэффициент обеспеченности собственными средствами (U3
) |
15 |
0,5 и выше — 15 баллов |
Менее 0,1 — 0 баллов |
За каждые 0,1 пункта снижения по сравнению с 0,5 снимается по 3 балла |
| 6. Коэффициент финансовой устойчивости (U4
) |
13,5 |
0,8 и выше — 13,5 балла |
Менее 0,5 — 0 баллов |
За каждые 0,1 пункта снижения по сравнению с 0,8 снимается по 2,5 балла |
1-й класс (100–97 баллов) — это организации с абсолютной финансовой устойчивостью и абсолютно платежеспособные. Они имеют рациональную структуру имущества и, как правило, прибыльные.
2-й класс (96–67 баллов) — это организации нормального финансового состояния. Их финансовые показатели довольно близки к оптимальным, но по отдельным коэффициентам допущено определенное отставание. Рентабельные организации.
3-й класс (66–37 баллов) — это организации, финансовое состояние которых можно оценить как среднее. При анализе баланса обнаруживается слабость отдельных финансовых показателей. Платежеспособность находится на границе минимально допустимого уровня, а финансовая устойчивость нормальная. При взаимоотношениях с такими организациями вряд ли существует угроза потери средств, но выполнение ими обязательств в срок представляется сомнительным.
4-й класс (36–11 баллов) — это организации с неустойчивым финансовым состоянием. При взаимоотношениях с ними имеется определенный финансовый риск. У них неудовлетворительная структура капитала, а платежеспособность находится на нижней границе допустимого. Прибыль, как правило, отсутствует или незначительна.
5-й класс (10–0 баллов) — это организации с кризисным финансовым состоянием. Они неплатежеспособны и абсолютно неустойчивы с финансовой точки зрения. Такие организации убыточны [37, c. 24].
Существует понятие степени риска деятельности предприятия в целом. Степень риска деятельности предприятия зависит от соотношения его выручки от реализации и прибыли, а также от соотношения общей суммы прибыли с той же суммой, но уменьшенной на величину обязательных расходов и платежей из прибыли, размеры которых не зависят от размеров самой прибыли.
Показатель соотношения выручки от реализации (или выручки за вычетом переменных затрат) и прибыли от реализации называется "операционный левередж" и характеризует степень риска предприятия при снижении выручки от реализации.
Общая формула, по которой можно определить уровень операционного левереджа при одновременном снижении цен и натурального объема, — следующая:
Л1 = (Л2 х Иц + Л3 х Ин) : Ив (1)
где Л1 – уровень операционного левереджа;
Л2 – уровень операционного левереджа при снижении выручки от реализации за счет снижения цен;
Л3 – уровень операционного левереджа при снижении выручки от реализации за счет снижения натурального объема реализации;
Иц – снижение цен (в процентах к базисной выручке от реализации);
Ин – снижение натурального объема продаж (в процентах к базисной выручке от реализации);
Ив – снижение выручки от реализации (в процентах).
Возможен случай, когда падение выручки от реализации происходит в результате снижения цен при одновременном росте натурального объема продаж. В этом случае формула преобразуется в другую:
Л1 = (Л2 х Иц — Л3 х Ин) : Ив (2)
Еще один вариант. Выручка от реализации снижается при росте цен и снижении натурального объема продаж. Формула для этих условий принимает следующий вид:
Л1 = (Л3 х Ин — Л2 х Иц) : Ив (3)
Таким образом, уровень операционного левереджа измеряется и оценивается по-разному в зависимости от того, за счет каких факторов может произойти уменьшение выручки от реализации: только в результате снижения цен, только в результате снижения натурального объема продаж, или, что гораздо реальнее, за счет сочетания обоих этих факторов. Зная это, можно регулировать степень риска, используя каждый фактор в той или иной мере, в зависимости от конкретных условий деятельности предприятия.
В отличие от операционного, финансовый левередж имеет целью измерить не уровень риска, возникающего в процессе реализации предприятием своей продукции (работ, услуг), а уровень риска, связанного с недостаточностью прибыли, остающейся в распоряжении предприятия. Иными словами, речь идет о риске не расплатиться по обязательствам, источником выплаты которых является прибыль. При рассмотрении этого вопроса важно учесть некоторые обстоятельства. Во-первых, такой риск возникает в случае уменьшения прибыли предприятия. Динамика прибыли не всегда зависит от динамики выручки от реализации. Кроме того, предприятие формирует свою прибыль не только от реализации, но и от других видов деятельности (прочие операционные и прочие внереализационные доходы и расходы, доходы от участия в других организациях и т.п.).
Когда мы говорим о достаточности или недостаточности прибыли в качестве источника определенных выплат, о риске снижения этого источника, в расчет должна приниматься вся прибыль, а не только прибыль от реализации. Источником расходов и платежей за счет прибыли является вся сумма ее, независимо от того, каким методом прибыль получена.
Общая сумма прибыли предприятия в первую очередь уменьшается на величину налога на прибыль. Оставшаяся после этого в распоряжении предприятия сумма может быть использована на разные цели. В данном случае имеют значение не конкретные направления расходования прибыли, а характер этих расходов.
Риск порождается тем обстоятельством, что в составе расходов и платежей из прибыли есть такие, которые должны быть осуществлены обязательно, независимо от величины прибыли и вообще от ее наличия или отсутствия.
К таким расходам относятся:
-дивиденды по привилегированным акциям и проценты по облигациям, выпущенным предприятием;
-проценты за банковские кредиты в части, уплачиваемой за счет прибыли. Сюда относятся: суммы процентов по кредитам банков, полученным на восполнение недостатка оборотных средств (этот кредит является целевым и выдается по специальному кредитному договору с учреждением банка). В договоре предусматриваются конкретные условия выдачи кредита и мероприятия, которые должно провести предприятие для восстановления необходимой суммы оборотных средств;
-проценты за кредиты на приобретение основных средств, нематериальных и других внеоборотных активов;
-суммы оплаты процентов по средствам, взятым взаймы у других предприятий и организаций;
-штрафные санкции, подлежащие внесению в бюджет. Сюда относятся штрафы и расходы по возмещению ущерба в результате несоблюдения требований по охране окружающей среды; штрафы за получение необоснованной прибыли вследствие завышения цен, сокрытия или занижения прибыли и других объектов налогообложения; другие виды штрафных санкций, подлежащих внесению в бюджет.
Чем больше эти и другие расходы, носящие аналогичный характер, тем больше риск предприятия. Риск состоит в том, что при снижении величины прибыли в определенной степени прибыль, оставшаяся после уплаты всех обязательных платежей, снизится в гораздо большей степени, вплоть до возникновения отрицательной величины этой части прибыли.
Степень финансового риска измеряется частным от деления прибыли за вычетом налога на прибыль к прибыли, остающейся в распоряжении предприятия, за вычетом обязательных расходов и платежей из нее, не зависящих от величины прибыли. Этот показатель называется финансовый левередж. Финансовый риск тем выше, чем выше базисное соотношение названных величин.
Операционный и финансовый левередж позволяют дать единую оценку финансового риска предприятия. Введем следующие обозначения:
Ло – операционный левередж;
Лф – финансовый левередж;
В – выручка от реализации;
Пер – переменные затраты;
Пч – чистая прибыль;
Пс – свободная прибыль;
Пр – прибыль от реализации.
Тогда Ло = В / Пр или (В – Пер) / Пр;
Лф = Пч / Пс.
Если ввести к = Пр / Пч, то обе формулы можно объединить в одну:
Ло х Лф = (В / Пр) х (Пр / (к х Пс)) = В / к х Пс
Ло х Лф = (В – Пер) / (к х Пс) (4)
Следовательно общий риск неполучения в достаточных суммах свободной прибыли тем выше, чем меньше переменные затраты, чем меньше чистая прибыль по сравнению с прибылью от реализации (т.е. чем больше "к") и чем меньше величина свободной прибыли, т.е. чистой прибыли за вычетом обязательных расходов и платежей из нее [23, c.273].
Таким образом, финансовые риски – это спекулятивные риски, для которых возможен как положительный, так и отрицательный результат. Их особенностью является вероятность наступления ущерба в результате проведения таких операций, которые по своей природе являются рискованными. В основе управления финансовыми рисками лежат целенаправленный поиск и организация работ по оценке, избежанию, удержанию, передаче и снижению степени риска. Конечной целью управления финансовыми рисками является получение наибольшей прибыли при оптимальном, приемлемом для предприятия соотношении прибыли и риска. Все виды финансовых рисков поддаются количественной оценке. Особенности разных видов рисков предполагают неодинаковые подходы к их количественной оценке.
2. Анализ финансовых рисков хозяйственной деятельности ОАО «ТАИФ-НК»
2.1 Общая характеристика ОАО «ТАИФ-НК»
Нефтеперерабатывающая отрасль – важнейшее звено нефтяного комплекса, определяющее эффективность использования углеводородного сырья. От ее надежного функционирования зависит гарантированное обеспечение потребности регионов России в моторных топливах, смазочных маслах и других нефтепродуктах, без которых невозможны функционирование транспортной инфраструктуры, экономическая и стратегическая безопасность государства. В Приволжском федеральном округе, где сконцентрировано около 43% нефтеперерабатывающих мощностей России (12 нефтеперерабатывающих заводов), многие компании уже начали вкладывать средства в модернизацию имеющихся производств и расширение ассортимента продукции.
Существенная потребность экономики страны в современных нефтеперерабатывающих производствах обуславливает актуальность, перспективность, эффективность инвестиционного проекта «Нефтеперерабатывающий комплекс ОАО «ТАИФ-НК» в г. Нижнекамск», а также его адекватность рыночным тенденциям.
Полное фирменное наименование Общества – Открытое акционерное общество «ТАИФ-НК». Место нахождения Общества - Российская Федерация, Республика Татарстан, город Нижнекамск, промышленная зона, ОАО «ТАИФ-НК». Основной целью деятельности Общества является получение прибыли. Общество имеет гражданские права и несет гражданские обязанности, необходимые для осуществления любых видов деятельности, не запрещенных действующим законодательством Российской Федерации. ОАО «ТАИФ-НК», в настоящее время является «сердцем» нефтепереработки в Республике Татарстан, выпускает широкий спектр нефтепродуктов. Суммарная мощность компании по сырью 8 млн. тонн в год: проектная мощность установки первичной перегонки нефти – 7 млн. тонн и установки перегонки газового конденсата – 1 млн. тонн в год.
Миссия ОАО «ТАИФ-НК» - содействовать развитию и увеличению потенциала нефтегазового кластера промышленности для обеспечения долгосрочного экономического роста и социальной стабильности Республики Татарстан и Российской Федерации путем обеспечения потребностей общества в высококачественных нефтепродуктах на основеприменения современных передовых технологий и эффективного использования природных топливно-энергетических ресурсов.
Стратегической направленностью развития ОАО «ТАИФ-НК» является последовательное совершенствование действующих производств Общества и строительство новых установок, позволяющих достичь мирового уровня переработки высокосернистой нефти и максимально обеспечить потребности Республики Татарстан в нефтехимическом сырье и высококачественных моторных топливах, отвечающих требованиям и нормам европейских стандартов. При этом предполагается:
- обеспечить доведение глубины переработки нефти до уровня - не ниже 98,5 % в перерасчете на перерабатываемую нефть, максимально увеличив объем производства светлых нефтепродуктов и повысив добавочную стоимость и рентабельность деятельности.
- обеспечить существенный рост промышленного производства и продаж рыночной товарной продукции республиканской нефтепереработки через доведение объемов переработки нефти на ОАО «ТАИФ-НК» до 9,1 млн. тонн в год и развитие производства компонентной базы для выпуска автомобильных бензинов.
- обеспечить возможность переработки высокосернистой карбоновой нефти, добываемой на территории Республики Татарстан, в объеме 9,1 млн. тонн в год.
- способствовать росту занятости трудового населения Республики Татарстан за счет открытия новых высокооплачиваемых рабочих мест на вводимых в строй промышленных производствах ОАО «ТАИФ-НК».
Нефтеперерабатывающий завод ОАО «ТАИФ-НК» имеет возможность производить следующие основные виды продукции: нафта прямогонная; бензин газового конденсата; автобензины; дизельное топливо; керосин технический; авиакеросин; вакуумный газойль; мазут высокосернистый.
Нефтеперерабатывающий завод ОАО «ТАИФ-НК» несмотря на свое монопольное положение в Республике Татарстан расположен в зоне регионов с высокой концентрацией нефтеперерабатывающих производств. Учитывая, что до конца 60-х годов Урал и Поволжье являлись крупнейшими центрами добычи нефтяного сырья, и в Башкирии, Самарской и Пермской областях были построены новые заводы. При этом необходимо учитывать, что группа близрасположенных Уфимских НПЗ является одной из лучших в России по техническому уровню. Кроме того, на 2010 год намечен пуск первой очереди комплекса нефтеперерабатывающих и нефтехимических производств ОАО «ТАНЕКО», строительство которых идет на нижнекамской промышленной площадке. Все это неминуемо приведет к обострению конкуренции на целевых рынках сбыта Общества.
Производственная структура ОАО «ТАИФ-НК» состоит из двух технологических подразделений: Нефтеперерабатывающего завода и Завода Бензинов.
Нефтеперерабатывающий завод ОАО «ТАИФ-НК» включает в себя три основных производства: производство перегонки сернистых нефтей и выработки из них нефтепродуктов; производство гидроочистки средних дистиллятов и товарно-сырьевое производство.
Завод Бензинов ОАО «ТАИФ-НК» в настоящее время один из самых современных заводов отрасли. Его основу составляет установка каталитического крекинга сернистых нефтепродуктов, предназначенная для крекирования вакуумного газойля на микросферическом цеолитсодержащем катализаторе с целью получения компонентов товарного бензина, пропан-пропиленовой и бутан-бутиленовой фракций, тяжелого и легкого газойлей, сухого углеводородного газа, кислого (сероводородсодержащего) газа.
Для реализации мероприятий по повышению качества продуктов нефтепереработки в 2009 году ОАО «ТАИФ-НК» ввело в эксплуатацию установки получения высокооктановых компонентов бензинов - ТАМЭ и МТБЭ. Внедрение данных установок способствовало увеличению объемов производства автомобильных бензинов, а также производство автомобильных бензинов с улучшенными качественными характеристиками на основе существующей установки каталитического крекинга вакуумного газойля.
В 2009 году завершены работы по наблюдению за применением топлива для реактивных двигателей марки РТ производства ОАО «ТАИФ-НК» на авиатехнике гражданской авиации.
В настоящее время ОАО «ТАИФ-НК» осуществляет выпуск авиатоплива марки РТ в промышленном масштабе без ограничений.
По итогам 2009 года Обществом произведено товарной продукции на 74,9 млрд. рублей. Реализовано продукции на сумму 74,4 млрд. рублей. Доля экспорта в реализованной продукции в 2009 году, в сравнении с 2008 годом, - возросла и составила 54 %. Получена чистая прибыль в размере 617 млн. рублей. Рентабельность затрат по чистой прибыли составила 0,9 %.
В настоящее время конъюнктура долгового рынка позволяет ОАО «ТАИФ-НК» производить заимствования по достаточно низким ставкам. Средняя ставка привлечения заемных средств в 2008 году составила 5,24 % годовых.
В основе управления данным риском лежит анализ вероятных изменений процентной ставки в заданном горизонте планирования. На основе полученных результатов ОАО «ТАИФ-НК» структурируют кредитный портфель между различными кредитными учреждениями, что позволяет оперативно выбирать наилучшие процентные ставки.
Поскольку ОАО «ТАИФ-НК» реализует значительную часть продукции на экспорт, а также осуществляет заимствования на международном рынке ссудного капитала (синдицированный кредит), возникает необходимость оценки влияния валютных рисков на финансовый результат Общества.
С целью минимизации потерь ОАО «ТАИФ-НК» осуществляет управление структурой продаж между внешним и внутренним рынком, основанным на мониторинге цен и прогнозном изменении курсов валют. Кроме того, активно используется инструмент привлечения валютных ресурсов в целях погашения задолженности в иностранной валюте, что позволяет избегать конверсионных операций и тем самым снижать вероятные потери, обусловленные снижением курсов валют. Также осуществляется оптимизация соотношения привлечения рублевых и валютных кредитов в зависимости от ситуации на валютном рынке.
Изменение уровня инфляции в стране может оказывать влияние на результаты деятельности Общества. Снижение темпов инфляции положительно сказывается на способностях ОАО «ТАИФ-НК» выполнять принятые на себя обязательства перед партнерами. Повышение же уровня инфляции, напротив, может привести к повышению транспортных расходов, издержек на энергоресурсы и сырье темпами, превышающими темпы роста цен на готовую продукцию.
Вместе с тем, существующий уровень инфляции далек от критического для Общества значения. С целью снижения данного риска, принимаются меры по ограничению затрат, снижению дебиторской задолженности и сокращению средних сроков ее оборота.
Таким образом, открытое акционерное общество «ТАИФ-НК» - одно из самых динамично развивающихся предприятий республики универсального топливно-сырьевого направления, созданное в целях удовлетворения спроса потребителей в нефтепродуктах и обеспечения сырьем нефтехимических производств Республики Татарстан.
2.2 Методика оценки рисков
ОАО «ТАИФ-НК» по абсолютным финансовым показателям
Для проведения анализа компании по критерию риска использовалась отчетность за 2007–2009 гг. на основании «Бухгалтерского баланса» (форма №1), который представлен в Приложении А, Б и В, и «Отчета о прибылях и убытках» (форма № 2), который представлен в Приложении Г, Д и Е. Результаты анализа сгруппированы в таблицы.
Итак, начнем с платежеспособности (ликвидности). Платежеспособность предприятия характеризует его способность своевременно рассчитываться по своим финансовым обязательствам за счет достаточного наличия готовых средств платежа и других ликвидных активов. Оценка риска потери платежеспособности непосредственно связана с анализом ликвидности активов и баланса в целом. Эту взаимосвязь мы рассмотрим в таблицах 4, 5 и 6.
Таблица 4 – Анализ ликвидности баланса 2007 г.
| Актив |
Наиболее ликвидные активы А1
(ДС+ФВкр) |
Быстрореали-зуемые активы А2
(дебиторская задолженность) |
Медленно реализуемые активы А3
(запасы и затраты) |
Труднореали-зуемые активы А4
(внеоборотные активы) |
Баланс |
| Абсолютные величины |
начало года |
506 774 |
6 496 957 |
4 784 879 |
11 047 393 |
22 836 003 |
| конец года |
3 797 997 |
8 822 716 |
5 930 703 |
18 255 249 |
36 806 665 |
| Удельные веса (%) |
начало года |
2,22 |
28,45 |
20,95 |
48,38 |
100 |
| конец года |
10,32 |
23,97 |
16,11 |
49,6 |
100 |
| Пассив |
Наиболее срочные обязательства П1
(кредиторская задолженность) |
Краткосрочные пассивы П2
(краткосрочные кредиты и займы) |
Долгосрочные пассивы П3
(долгосрочные кредиты и займы) |
Постоянные пассивы П4
(реальный собственный капитал) |
Баланс |
| Абсолютные величины |
начало года |
8 596 981 |
4 373 551 |
8 425 695 |
1 439 776 |
22 836 003 |
| конец года |
18 633 974 |
3 447 027 |
9 289 743 |
5 435 921 |
36 806 665 |
| Удельные веса (%) |
начало года |
37,65 |
19,15 |
36,9 |
6,3 |
100 |
| конец года |
50,63 |
9,36 |
25,24 |
14,77 |
100 |
| Платежный излишек (+) или недостаток (–) |
начало года |
- 8 090 207 |
2 123 406 |
- 3 640 816 |
9 607 617 |
0 |
| конец года |
- 14 835 977 |
5 375 689 |
- 3 359 040 |
12 819 328 |
0 |
А1
< П1
; А2
≥ П2
; А3
< П3
; А4
~ П4
. Предприятие попадает в зону допустимого риска.
Таблица 5 – Анализ ликвидности баланса 2008 г.
| Актив |
Наиболее ликвидные активы А1
(ДС+ФВкр) |
Быстрореали-зуемые активы А2
(дебиторская задолженность) |
Медленно реализуемые активы А3
(запасы и затраты) |
Труднореали-зуемые активы А4
(внеоборотные активы) |
Баланс |
| Абсолютные величины |
начало года |
3 797 997 |
7 818 362 |
5 930 703 |
18 255 249 |
35 802 311 |
| конец года |
5 711 251 |
5 722 273 |
3 618 592 |
19 482 402 |
34 534 518 |
| Удельные веса (%) |
начало года |
10,61 |
21,84 |
16,56 |
50,99 |
100 |
| конец года |
16,54 |
16,57 |
10,48 |
56,41 |
100 |
| Пассив |
Наиболее срочные обязательства П1
(кредиторская задолженность) |
Краткосрочные пассивы П2
(краткосрочные кредиты и займы) |
Долгосрочные пассивы П3
(долгосрочные кредиты и займы) |
Постоянные пассивы П4
(реальный собственный капитал) |
Баланс |
| Абсолютные величины |
начало года |
17 629 620 |
3 447 027 |
9 289 743 |
5 435 921 |
35 802 311 |
| конец года |
4 927 476 |
1 833 |
13 047 728 |
16 557 481 |
34 534 518 |
| Удельные веса (%) |
начало года |
49,24 |
9,63 |
25,95 |
15,18 |
100 |
| конец года |
14,27 |
0,01 |
37,78 |
47,94 |
100 |
| Платежный излишек (+) или недостаток (–) |
начало года |
- 13 831 623 |
4 371 335 |
- 3 359 040 |
12 819 328 |
0 |
| конец года |
783 775 |
5 720 440 |
- 9 429 136 |
2 924 921 |
0 |
А1
< П1
; А2
≥ П2
; А3
< П3
; А4
~ П4
. Предприятие попадает в зону допустимого риска.
Таблица 6 – Анализ ликвидности баланса 2009 г.
| Актив |
Наиболее ликвидные активы А1
(ДС+ФВкр) |
Быстрореали-зуемые активы А2
(дебиторская задолженность) |
Медленно реализуемые активы А3
(запасы и затраты) |
Труднореали-зуемые активы А4
(внеоборотные активы) |
Баланс |
| Абсолютные величины |
начало года |
5 711 251 |
5 722 273 |
3 618 592 |
19 479 970 |
34 532 086 |
| конец года |
3 121 825 |
7 873 167 |
8 284 951 |
18 792 047 |
38 071 990 |
| Удельные веса (%) |
начало года |
16,54 |
16,57 |
10,48 |
56,41 |
100 |
| конец года |
8,2 |
20,68 |
21,76 |
49,36 |
100 |
| Пассив |
Наиболее срочные обязательства П1
(кредиторская задолженность) |
Краткосрочные пассивы П2
(краткосрочные кредиты и займы) |
Долгосрочные пассивы П3
(долгосрочные кредиты и займы) |
Постоянные пассивы П4
(реальный собственный капитал) |
Баланс |
| Абсолютные величины |
начало года |
4 927 476 |
1 833 |
12 995 980 |
16 606 797 |
34 532 086 |
| Пассив |
Наиболее срочные обязательства П1
(кредиторская задолженность) |
Краткосрочные пассивы П2
(краткосрочные кредиты и займы) |
Долгосрочные пассивы П3
(долгосрочные кредиты и займы) |
Постоянные пассивы П4
(реальный собственный капитал) |
Баланс |
| Абсолютные величины |
конец года |
12 902 488 |
2 811 854 |
7 587 522 |
14 770 126 |
38 071 990 |
| Удельные веса (%) |
начало года |
14,27 |
0,01 |
37,63 |
48,09 |
100 |
| конец года |
33,89 |
7,39 |
19,93 |
38,79 |
100 |
| Платежный излишек (+) или недостаток (–) |
начало года |
783 775 |
5 720 440 |
- 9 377 388 |
2 873 173 |
0 |
| конец года |
- 9 780 663 |
5 061 313 |
697 429 |
4 021 921 |
0 |
А1
< П1
; А2
≥ П2
; А3
≥ П3
; А4
~ П4
. Предприятие попадает в зону допустимого риска.
Графически динамика групп ликвидных активов организации за исследуемый период в зависимости от их удельного веса представлена на рисунке 3.

Рисунок 3 – Анализ ликвидности активов ОАО «ТАИФ-НК»
На рисунке 4 представлена динамика групп ликвидных пассивов организации за исследуемый период в зависимости от их удельного веса.

Рисунок 4 – Анализ ликвидности пассивов ОАО «ТАИФ-НК»
По типу состояния ликвидности баланса по итогам 2007–2009 гг. предприятие попало в зону допустимого риска: текущие платежи и поступления характеризуют состояние нормальной ликвидности баланса.
Данные таблиц свидетельствуют о том, что в отчетном периоде предприятие не обладало абсолютной ликвидностью, т.к. наиболее ликвидные активы значительно меньше суммы кредиторской задолженности, платежный недостаток составил на начало 2007 года 8 090 207 тыс. руб., или 94,11%, и на конец 2007 года 14 835 977 тыс. руб., или 79,62%, на начало 2008 года 13 831 623 тыс. руб., или 78,46% и на конец 2009 года 9 780 663 тыс. руб., или 75,8%. Это говорит о том, что на конец 2009 года 24,2% срочных обязательств предприятия покрывались наиболее ликвидными активами. В течение анализируемого периода недостаток в погашении кредиторской задолженности уменьшался, к концу 2008 года наиболее ликвидные активы превысили сумму кредиторской задолженности на 783 775 тыс. руб., что говорит о положительной тенденции в управлении краткосрочными финансовыми вложениями и денежными средствами предприятия, но в связи с финансовым кризисом в 2009 году ситуация вновь ухудшилась.
По итогам 2007–2009 гг. быстрореализуемые активы превышали краткосрочные пассивы, как на начало, так и на конец периода, соответственно, на 2 123 406 тыс. руб. в 2007 году, на 5 720 440 тыс. руб. в 2008 году и на 5 061 313 тыс. руб. в 2009 году. Таким образом, краткосрочные займы и кредиты, а также другие краткосрочные обязательства могут быть покрыты быстро реализуемыми активами.
В отчетном периоде выявлено превышение долгосрочных пассивов над суммой медленно реализуемых активов, т.е. платежный недостаток составил на начало 2007 года 3 640 816 тыс. руб., или 43,21%, и на конец 2007 года и начало 2008 года 3 359 040 тыс. руб., или 36,16%, и на конец 2008 года 9 429 136 тыс. руб., или 72,27%, а также на начало 2009 года 9 377 388 тыс. руб., или 72,16%. Это говорит о том, что предприятие не имеет перспективную ликвидность. Наблюдается отрицательная тенденция роста платежного недостатка, что говорит о неправильном распоряжении долгосрочными обязательствами и запасами.
Превышение труднореализуемых активов над постоянными пассивами в течение всего анализируемого периода, а именно, в размере 9 607 617 тыс. руб. на начало 2007 года, 12 819 328 тыс. руб. на конец 2007 года и на начало 2008 года, 2 924 921 тыс. руб. на конец 2008 года, 2 873 173 тыс. руб. на начало 2009 года и 4 021 921 тыс. руб. на конец 2009 года говорит о неэффективности использования денежных средств. Собственный реальный капитал должен быть больше, чем величина внеоборотных активов. Тогда предприятие будет финансово устойчивым.
Одной из характеристик финансовой устойчивости является степень покрытия запасов и затрат определенными источниками финансирования. Фактор риска характеризует несоответствие между требуемой величиной оборотных активов и возможностями собственных и заемных средств по их формированию. Эту закономерность мы рассмотрим в таблицах 7 и 8.
Таблица 7 – Расчет покрытия запасов и затрат с помощью определенных источников финансирования
| Показатель |
01.01.07 |
01.01.08 |
01.01.09 |
| Запасы и затраты (ЗЗ) |
5 929 081 |
3 618 313 |
7 105 351 |
| Собственные оборотные средства (СОС) |
- 12 819 328 |
- 2 924 921 |
- 4 021 921 |
| Показатель |
01.01.07 |
01.01.08 |
01.01.09 |
| Собственные и долгосрочные заемные источники (СДИ) |
- 3 529 585 |
10 122 807 |
3 506 951 |
| Общая величина основных источников (ОВИ) |
18 551 416 |
15 052 116 |
19 279 943 |
| А) Излишек (+) или недостаток (–) собственных оборотных средств |
- 18 748 409 |
- 6 543 234 |
- 11 127 272 |
| Б) Излишек (+) или недостаток (–) собственных и долгосрочных заемных источников формирования запасов и затрат |
- 9 458 666 |
6 504 494 |
- 3 598 400 |
| В) Излишек (+) или недостаток (–) общей величины основных источников формирования запасов и затрат |
12 622 335 |
6 506 327 |
12 174 592 |
| Трехкомпонентный показатель типа финансовой ситуации, S |
(0, 0, 1) |
(0, 1, 1) |
(0, 0, 1) |
Таблица 8 – Тип финансового состояния
| Условия |
= 1, 1, 1 |
= 0, 1, 1 |
= 0, 0, 1 |
= 0, 0, 0 |
| Абсолютная независимость
|
Нормальная независимость
|
Неустойчивое финансовое состояние
|
Кризисное финансовое состояние
|
| Оценка риска финансовой неустойчивости |
| Безрисковая зона
|
Зона допустимого риска
|
Зона критического риска
|
Зона катастрофического риска
|
В результате проведенных расчетов можно сделать вывод. В 2007 году запасы и затраты обеспечивались за счет краткосрочных кредитов и займов. Этот год характеризовался неустойчивым финансовым состоянием и соответствовал зоне критического риска. К концу 2008 года финансовое состояние предприятия улучшилось, стало более устойчивым и соответствовало зоне допустимого риска. Эта ситуация сопряжена с тем, что в 2008 году увеличились долгосрочные заемные источники. Но в 2009 году в связи с финансовым кризисом финансовое состояние предприятия вновь ухудшилось. Для того чтобы сохранить возможность восстановления равновесия, предприятию необходимо пополнить собственный капитал и увеличить собственные оборотные средства за счет внутренних и внешних источников, обоснованно снизить сумму запасов и затрат, ускорить оборачиваемость капитала в оборотных активах.
2.3 Методика оценки рисков
ОАО «ТАИФ-НК» по относительным финансовым показателям
В таблице 9 проведем оценку рисков ликвидности с помощью относительных показателей.
Таблица 9 – Показатели ликвидности баланса
| Показатель |
2007 г. |
2008 г. |
2009 г. |
Изменения (+, –)
07–08
|
Изменения (+, –) 08–09 |
Рекомендуемые значения |
| 1. Общий показатель ликвидности (L1
) |
0,43 |
1,09 |
1 |
0,66 |
- 0,09 |
L1
≥ 1 |
| 2. Коэффициент абсолютной ликвидности (L2
) |
0,17 |
1,16 |
0,2 |
0,99 |
- 0,96 |
L2
≥ 0,2–0,7 |
| 3. Коэффициент «критической оценки» (L3
) |
0,57 |
2,32 |
0,7 |
1,32 |
- 1,62 |
L3
≥ 1,5 — оптимально;
L3
= 0,7–0,8 — нормально
|
| 4. Коэффициент текущей ликвидности (L4
) |
1,14 |
3,05 |
1,23 |
2,05 |
- 1,82 |
L4
≥ 2,0 – оптимально;
L4
= 1 – необходимое значение
|
| 5. Коэффициент маневренности функционирующего капитала (L5
) |
- 1,68 |
0,36 |
2,32 |
2,04 |
1,96 |
Уменьшение показателя в динамике — положительный факт |
| 6. Коэффициент обеспеченности собственными средствами (L6
) |
- 0,69 |
- 0,19 |
- 0,21 |
0,50 |
- 0,02 |
L6
≥ 0,1 |
На рисунке 5 представлен график динамики показателей ликвидности баланса организации за исследуемый период.

Рисунок 5 – Анализ показателей ликвидности баланса ОАО «ТАИФ-НК»
В соответствии с рассчитанными показателями ликвидности баланса с точки зрения оценки риска можно сказать, что общий показатель ликвидности (L1
= 0,43) находился ниже нормативного уровня в течение 2007 года, т.е. финансовое состояние компании в 2007 году можно охарактеризовать как недостаточно ликвидное; в 2008 году ситуация кардинально поменялась – общий показатель ликвидности (L1
= 1,09) укладывался в рекомендуемые значения, в 2009 году показатель уменьшился (L1
= 1), но соответствовал нормативному уровню, т.е. компания была способна осуществлять расчеты по всем видам обязательств – как по ближайшим, так и по отдаленным.
Коэффициент абсолютной ликвидности (L2
) имел положительную динамику по итогам 2007-2008 гг. В 2009 году в связи с финансовым кризисом показатель уменьшился относительно 2008 года (L2
= 0,2), но укладывался в рекомендуемые значения. Готовность и мобильность компании по оплате краткосрочных обязательств за счёт денежных средств, средств на расчетных счетах и краткосрочных финансовых вложений в 2008 году (L2
= 1,16) достаточно высокая. Чем выше показатель, тем лучше платежеспособность предприятия. С другой стороны, высокий показатель может свидетельствовать о нерациональной структуре капитала, о слишком высокой доле неработающих активов в виде наличных денег и средств на счетах.
Коэффициент «критической оценки» в 2007 году (L3
= 0,57) находился ниже нормативного уровня, это значит, что компания в течение этого года была не способна погашать свои текущие обязательства в случае возникновения сложностей с реализацией продукции, вследствие чего риск невыполнения обязательств перед кредитными организациями — в зоне допустимого. Этот же коэффициент в 2008 году значительно изменился (L3
= 2,32), но, несмотря на то, что в 2009 году коэффициент значительно уменьшился (L3
= 0,7), его значение было допустимым – это говорит о том, что организация в периоде, равном продолжительности одного оборота дебиторской задолженности, была в состоянии покрыть свои краткосрочные обязательства, т.е. эта способность оптимальна, вследствие чего риск невыполнения обязательств перед кредитными организациями — в безрисковой зоне.
Коэффициент текущей ликвидности в 2007 году (L4
= 1,14) и в 2009 году (L4
= 1,23) показывает, что предприятие было не способно погашать текущие (краткосрочные) обязательства за счёт только оборотных активов. Установленное в РФ нормативное значение коэффициента текущей ликвидности составляет 2. Однако, учитывая то, что для коэффициента нормативное значение фактически резко колеблется по отраслям и видам деятельности, реальные значения показателя хорошо работающих предприятий далеко не всегда соответствуют 2. И наоборот: значение коэффициента > или = 2 может и не означать устойчивости финансового положения. Значение, равное 2, достигается при значении коэффициента обеспеченности собственными средствами (L6), равном 0,6, т.к. L4 = 1 / (1 - L6). Но, поскольку минимально допустимое значение L6 = 0,1, то с позиций финансового менеджера при достаточной оборачиваемости оборотных активов, их рациональной структуре и отсутствии сомнительной дебиторской задолженности допустимо снижение коэффициента текущей ликвидности до 1,11. Некоторые кредитные организации, занимающиеся проведением финансового анализа в целях оценки кредитоспособности заемщика, принимают нижнее значение коэффициента текущей ликвидности на уровне 1,0, т. к. в современных российских условиях такое значение считается нормальным. Как видно из таблицы 9, значение коэффициента текущей ликвидности в 2007 году равно 1,0, что свидетельствует о нормальной текущей ликвидности предприятия.
Коэффициент текущей ликвидности в 2008 году (L4
= 3,05) позволяет установить, что в целом имелись прогнозные платежные возможности. Сумма оборотных активов соответствовала сумме краткосрочных обязательств. Организация располагала объемом свободных денежных средств и с позиции интересов собственников по прогнозируемому уровню платежеспособности находилась в безрисковой зоне.
Функционирующий (собственный оборотный) капитал характеризует ту часть собственного капитала предприятия, которая является источником покрытия текущих активов предприятия, т.е. активов, имеющих оборачиваемость менее одного года. Коэффициент маневренности функционирующего капитала (L5
) служит ориентировочной оценкой оборотных средств, остающихся свободными после погашения краткосрочных обязательств, тех средств, с которыми можно «работать». Увеличение данного показателя в разумных пределах оценивается положительно, но увеличение собственного оборотного капитала не всегда означает улучшение финансового положения. Увеличение коэффициента маневренности функционирующего капитала в анализируемом периоде показывает, что относительно небольшая часть функционирующего капитала обездвижена в производственных запасах и долгосрочной дебиторской задолженности. Приемлемое ориентировочное значение показателя устанавливается предприятием самостоятельно и зависит, например, от того, насколько высока ежедневная потребность предприятия в свободных денежных ресурсах.
При использовании данного коэффициента в экономическом анализе необходимо помнить о его ограниченности. В условиях еще далекой от стабильности российской экономики (под стабильностью следует понимать прежде всего наличие стабильных правовых и экономических условий: нормативной базы, налогового механизма, ценовых пропорций и т. п.) к данному коэффициенту следует относиться с большой осторожностью. Лишь по мере того, как в стабильных условиях сложатся нормальные, обусловленные спецификой рассматриваемого вида деятельности структурные соотношения и пропорции в имуществе и источниках финансирования, этот показатель начнет приобретать аналитическую ценность. Прежде всего, он будет выступать как индикатор изменений условий поступления денежных средств и их расходования.
Отрицательное значение коэффициента обеспеченности собственными средствами в 2007 году (L6
= - 0,69), в 2008 году (L6
= - 0,19) и в 2009 году (L6
= - 0,21) свидетельствует о том, что в организации существует низкая степень обеспеченности собственными средствами, необходимыми для ее финансовой устойчивости, т.е. большая часть оборотных средств предприятия, а также часть внеоборотных активов (т.к. значение собственных оборотных средств отрицательное) сформированы за счет заемных источников. Но в то же время в течение анализируемого периода наблюдается положительная тенденция увеличения данного коэффициента.
Далее в таблице 10 проведем оценку рисков финансовой устойчивости также с помощью относительных показателей.
Таблица 10 – Показатели финансовой устойчивости
| Показатель |
2007 г. |
2008 г. |
2009 г. |
Изменения (+, –)
07–08
|
Изменения (+, –)
08–09
|
Рекомендуемые значения |
| 1. Коэффициент финансовой независимости (автономии) (U1
) |
0,15 |
0,48 |
0,4 |
0,33 |
- 0,08 |
≥ 0,4–0,6 |
| 2. Коэффициент соотношения заемных и собственных средств (коэффициент капитализации)(U2
) |
5,77 |
1,09 |
1,58 |
- 4,68 |
0,49 |
≤ 1,5 |
| 3. Коэффициент обеспеченности собственными средствами (U3
) |
- 0,69 |
- 0,19 |
- 0,21 |
0,5 |
- 0,02 |
нижняя
граница — 0,1
≥ 0,5
|
| 4. Коэффициент финансовой устойчивости (U4
) |
0,4 |
0,86 |
0,6 |
0,46 |
- 0,26 |
≥ 0,6 |
Графически динамика показателей финансовой устойчивости организации за исследуемый период представлена на рисунке 6.

Рисунок 6 – Анализ показателей финансовой устойчивости ОАО «ТАИФ-НК»
Невыполнение нормативных требований к коэффициенту финансовой независимости (автономии) в 2007 году (U1
= 0,15) являлось тревожным сигналом для инвесторов и кредиторов, т.к. чем ниже значение коэффициента, тем выше риск потери инвестиции и кредитов. Но в 2008 году ситуация значительно улучшилась. В этом году значение коэффициента финансовой независимости (U1
= 0,48) позволяет установить то, что предприятие стало финансово более устойчиво и независимо от внешних кредиторов. В 2009 году значение показателя незначительно снизилось (U1
= 0,4), но на финансовой устойчивости предприятия это не отразилось.
Коэффициент соотношения заемных и собственных средств (коэффициент капитализации) в 2007 году (U2
= 5,77) намного превышает нормативное значение – это говорит о том, что компания была зависима от внешних источников средств. Высокий уровень коэффициента отражает также потенциальную опасность возникновения в организации дефицита денежных средств. Высокая зависимость от внешних займов могла существенно ухудшить положение организации в случае замедления темпов реализации, поскольку расходы по выплате процентов на заемный капитал причисляются к группе условно-постоянных, т.е. таких расходов, которые при прочих равных условиях не уменьшаются пропорционально снижению объема реализации. В 2008 году ситуация поменялась – коэффициент соотношения заемных и собственных средств (U2
= 1,09) уменьшился, т.е. снизилась степень риска, предприятие стало финансово более устойчивым и независимым от внешних источников. В 2009 году в связи в наступлением финансового кризиса значение коэффициента незначительно увеличилось (U2
= 1,58).
Отрицательное значение коэффициента обеспеченности собственными средствами в 2007 году (U3
= - 0,69), в 2008 году (U3
= - 0,19) и в 2009 году (U3
= - 0,21) свидетельствует о том, что у предприятия был недостаток собственных оборотных средств, необходимых для его финансовой устойчивости. Но в то же время в течение анализируемого периода наблюдается положительная тенденция увеличения данного коэффициента.
Невыполнение нормативных требований к коэффициенту финансовой устойчивости в 2007 году (U4
= 0,4) говорит о том, что финансовое состояние предприятия было неустойчивым. Значение коэффициента в 2008 году (U4
= 0,86) и в 2009 году (U4
= 0,6) соответствовало нормативу – это значит, что большая часть актива финансировалась за счет устойчивых источников, то есть долю тех источников финансирования, которые организация может использовать в своей деятельности длительное время. Увеличение показателя в анализируемом периоде свидетельствует о том, что предприятие не испытывает финансовые затруднения.
Содержанием модели комплексной балльной оценки риска финансовой несостоятельности предприятия является классификация финансового состояния предприятия, которая дана в таблице 11, и на этой основе — оценка возможных негативных последствий рисковой ситуации в зависимости от значений факторов-признаков и рейтингового числа.
Таблица 11 – Классификация уровня финансового состояния
| Показатель финансового состояния |
2007 г. |
2008 г. |
2009 г. |
| Фактическое значение коэффициента |
Количество баллов |
Фактическое значение коэффициента |
Количество баллов |
Фактическое значение коэффициента |
Количество баллов |
| L2
|
0,17 |
8 |
1,16 |
20 |
0,2 |
8 |
| L3
|
0,57 |
0 |
2,32 |
18 |
0,7 |
0 |
| L4
|
1,14 |
3 |
3,05 |
16,5 |
1,23 |
4,5 |
| U1
|
0,15 |
0 |
0,48 |
17 |
0,4 |
16,2 |
| U3
|
- 0,69 |
0 |
- 0,19 |
0 |
- 0,21 |
0 |
| U4
|
0,4 |
0 |
0,86 |
13,5 |
0,6 |
8,5 |
| Итого |
11 |
85 |
37,2 |
Таким образом, в зависимости от набранного количества баллов, исходя из фактических значений финансовых коэффициентов предприятия, ОАО «ТАИФ-НК» может быть отнесено к определенному классу.
4-й класс (36–11 баллов) — в 2007 г. у предприятия было неустойчивое финансовое состояние. При анализе баланса обнаруживается слабость многих финансовых показателей. Платежеспособность находится на границе минимально допустимого уровня, финансовая устойчивость недостаточная. Взаимоотношения с анализируемой организацией характеризуются высокой степенью риска.
2-й класс (96–67 баллов) — в 2008 г. у предприятия было нормальное финансовое состояние. Финансовые показатели довольно близки к оптимальным, но по отдельным коэффициентам допущено определенное отставание. Предприятие рентабельное, находится в зоне допустимого риска.
3-й класс (66–37 баллов) — в 2009 г. у предприятия было среднее финансовое состояние. При анализе баланса обнаруживается слабость некоторых финансовых показателей. При взаимоотношениях с анализируемой организацией не существует угроза потери средств, но выполнение ей обязательств в срок представляется сомнительным. Предприятие находится в зоне допустимого риска.
Графически это соотнесение к определенным классам организаций, исходя из фактических значений финансовых коэффициентов ОАО «ТАИФ-НК» за исследуемый период, представлено на рисунке 7.
1-й класс – абсолютная финансовая устойчивость
|
|
2-й класс – нормальное финансовое состояние
|
|
 5-й класс – кризисное финансовое
состояние
|
|
| 4-й класс – неустойчивое финансовое состояние
|
|
3-й класс – среднее финансовое состояние
|
|
Рисунок 7 – Комплексная оценка риска финансового состояния ОАО «ТАИФ-НК»
Результаты проведенного исследования по критерию риска на конец исследуемого периода представлены в таблице 12.
Таблица 12 – Результаты оценки рисков компании
| Вид риска |
Расчетная модель |
Уровень риска |
| Риск потери платежеспособности |
Абсолютные показатели ликвидности баланса |
Зона допустимого риска |
| Относительные показатели платежеспособности |
Зона допустимого риска |
| Риск потери финансовой устойчивости |
Абсолютные показатели структуры капитала |
Зона критического риска |
| Относительные показатели структуры капитала |
Зона критического риска |
| Комплексная оценка риска финансового состояния |
Относительные показатели платежеспособности и структуры капитала |
Зона допустимого риска |
В результате проведенных расчетов можно сделать вывод, что на конец анализируемого периода предприятие находится на грани зон критического и допустимого рисков, т.к. у предприятия имеется относительно высокий риск потери финансовой устойчивости. Если этот вид риска не будет своевременно нейтрализован, предприятие теряет возможность генерирования необходимого уровня прибыли (вследствие возрастания стоимости привлекаемого капитала), а также темпы своего устойчивого роста в предстоящем периоде. Риск снижения финансовой устойчивости относится к так называемым структурным рискам предприятия, так как он вызывается в первую очередь несовершенством структуры формирования операционных активов и капитала. Поэтому основным содержанием процесса управления риском снижения финансовой устойчивости предприятия выступает оптимизация состава внеоборотных и оборотных активов, с одной стороны, а также соотношения собственного и заемного капитала, с другой.
Оптимизация соотношения внеоборотных и оборотных активов требует учета отраслевых особенностей осуществления операционной деятельности, средней продолжительности операционного цикла на предприятии, а также оценки положительных и отрицательных особенностей функционирования этих видов активов.
Но, тем не менее, финансовое состояние предприятия тяготеет к зоне допустимого риска. Допустимый риск - это риск решения, в результате неосуществления которого, предприятию не грозит потеря прибыли. В пределах этой зоны деятельность предприятия сохраняет свою экономическую целесообразность, т.е. потери имеют место, но они не превышают размер ожидаемой прибыли.
Можно предположить, что отставание некоторых коэффициентов от нормативных значений связано с активной инвестиционной деятельностью предприятия в последнее время. Начало исследуемого периода характеризовалось достаточно высоким уровнем дефицита собственных оборотных средств (порядка 19 млрд. руб.), на конец исследуемого периода также наблюдается недостаток собственных оборотных средств (11 млрд. руб.), однако ситуация значительно улучшилась. В период активного роста и развития предприятия эта ситуация считается нормальной.
3. Пути нейтрализации финансовых рисков предприятия
3.1 Методы нейтрализации финансовых рисков
После выявления возможных финансовых рисков, с которыми может столкнуться предприятие в процессе осуществления финансовой деятельности, и их оценки, а также выявления связанных с ними потенциальных потерь перед предприятием стоит задача разработки программы минимизации финансовых рисков. Таким образом, специалист по риску должен принять решение о выборе наиболее приемлемых путей нейтрализации финансовых рисков, т.е. выбрать наиболее приемлемый метод снижения риска [19, c.380].
Предприятие в процессе финансовой деятельности может отказаться от совершения финансовых операций, связанных с высоким уровнем риска, т.е. уклониться от риска. Уклонение от риска — это наиболее простое и радикальное направление нейтрализации финансовых рисков. Оно позволяет полностью избежать потенциальных потерь, связанных с финансовыми рисками, но, с другой стороны, не позволяет получить прибыли, связанной с рискованной деятельностью. Кроме этого, уклонение от финансового риска может быть просто невозможным, к тому же, уклонение от одного вида риска может привести к возникновению других. Поэтому, как правило, данный способ применим лишь в отношении очень серьезных и крупных рисков [34, c.136].
Решение об отказе от данного вида финансового риска может быть принято как на предварительной стадии принятия решения, так и позднее, путем отказа от дальнейшего осуществления финансовой операции, если риск оказался выше предполагаемого. Однако большинство решений об избежании риска принимается на предварительной стадии принятия решения, так как отказ от продолжения осуществления финансовой операции часто влечет за собой значительные финансовые и иные потери для предприятия, а иногда он затруднителен в связи с контрактными обязательствами.
Применение такого метода нейтрализации финансовых рисков, как уклонение от риска, эффективно, если:
- отказ от одного вида финансового риска не влечет за собой возникновение других видов рисков более высокого или однозначного уровня;
- уровень риска намного выше уровня возможной доходности финансовой операции;
- финансовые потери по данному виду риска предприятие не имеет возможности возместить за счет собственных финансовых средств, так как эти потери слишком высоки.
Естественно, что не от всех видов финансовых рисков предприятию удается уклониться, большую часть из них приходится брать на себя. Некоторые финансовые риски принимаются, потому что несут в себе потенциал возможной прибыли, другие принимаются в силу их неизбежности [19, c.381].
При принятии риска на себя основной задачей предприятия является изыскание источников необходимых ресурсов для покрытия возможных потерь. В данном случае потери покрываются из любых ресурсов, оставшихся после наступления финансового риска и как следствие — понесения потерь. Если оставшихся ресурсов у фирмы недостаточно, это может привести к сокращению объемов бизнеса [14, c.31].
Ресурсы, которыми предприятие располагает для покрытия потерь, можно разделить на две группы:
-ресурсы внутри самого бизнеса;
-кредитные ресурсы.
Ресурсы внутри самого бизнеса. При возникновении потерь крайне редко бывают повреждены все виды собственности одновременно, поэтому к внутренним ресурсам относятся:
-наличность в кассе, которая не страдает при физическом повреждении зданий и сооружений, принадлежащих предприятию;
-остаточная стоимость поврежденной собственности;
-доход от частичного продолжения как финансовой, так и производственной деятельности;
-дивиденды и процентный доход от ценных бумаг и доходных инвестиций;
-дополнительные средства, вносимые владельцами предприятия с целью его поддержания, и пр.;
-нераспределенный остаток прибыли, полученной в отчетном периоде, до его распределения может рассматриваться как резерв финансовых ресурсов, направляемых в необходимом случае на ликвидацию негативных последствий отдельных финансовых рисков;
-резервный фонд предприятия, который создается в соответствии с требованиями законодательства и устава предприятия [19, c.382].
Кредитные ресурсы. В том случае, если предприятие не в состоянии покрыть все потери от финансовых рисков, используя внутренние ресурсы, часть потерь можно покрыть, используя кредитные ресурсы.
Однако в данном случае доступность кредитных ресурсов имеет существенные ограничения. И главным из них является перспектива будущей прибыльности предприятия. Доступность кредитных ресурсов во многом зависит от остаточной стоимости бизнеса после возникновения потерь. В финансовых кругах ходит такая шутка: «Для того чтобы получить кредит, необходимо доказать, что ты в нем нуждаешься». Поэтому предприятию еще до возникновения потерь необходимо иметь план их преодоления, чтобы убедить кредитные организации в перспективах деятельности предприятия [3, c.200].
Другим ограничением в привлечении кредитных ресурсов после возникновения финансовых рисков может быть их цена. Использование кредитных ресурсов может ослабить финансовое положение предприятия. Кредитные ресурсы как средство покрытия потерь не повышают эффективность финансовых операций, так как влекут за собой дополнительные расходы, связанные с процентными платежами.
Следующий возможный метод нейтрализации финансовых рисков, возникающих в финансовой деятельности предприятия, — это передача, или трансферт, риска партнерам по отдельным финансовым операциям путем заключения некоторых контрактов. При этом хозяйственным партнерам передается та часть финансовых рисков предприятия, по которой они имеют больше возможностей нейтрализации их негативных последствий и, как правило, располагают более эффективными способами внутренней страховой защиты.
Передача риска в современной практике управления финансовыми рисками осуществляется по следующим основным направлениям.
-Передача рисков путем заключения договора факторинга. Предметом передачи в данном случае является кредитный риск предприятия, который в преимущественной его доле передается банку или специализированной факторинговой компании, что позволяет предприятию в существенной степени нейтрализовать негативные финансовые последствия кредитного риска;
-Передача риска путем заключения договора поручительства. Российское законодательство предусматривает возможность заключения договора поручительства. В силу договора поручитель обязывается перед кредитором третьего лица отвечать за исполнение последним его обязательства полностью или частично. При неисполнении или ненадлежащем исполнении должником обеспеченного поручительством обязательства поручитель и должник отвечают перед кредитором солидарно. Предприятие использует поручительства для привлечения заемного капитала и при этом несет ответственность перед поручителем за четкое исполнение договора поручительства. Таким образом, предприятие-кредитор передает риск невозврата кредита и связанные с этим потери поручителю.
Существует еще один вид гаранта — это банковская гарантия. Это письменное обязательство кредитной организации, выданное по просьбе другого лица — принципала, уплатить кредитору принципала — бенефициару в соответствии с условиями даваемого гарантом обязательства денежную сумму по представлении бенефициаром письменного требования о ее уплате. За выдачу банковской гарантии принципал уплачивает гаранту вознаграждение. Банковская гарантия позволяет предприятию избежать рисков при заключении сделок с оплатой в будущем или по факту предоставления услуг, оказания работ, отгрузки товаров;
-Передача рисков поставщикам сырья и материалов. Предметом передачи в данном случае являются прежде всего финансовые риски, связанные с порчей или потерей имущества в процессе их транспортировки и осуществления погрузочно-разгрузочных работ. Однако потери, связанные с падением рыночной цены продукции, несет предприятие, даже если подобное падение вызвано задержкой доставки груза;
-Передача рисков путем заключения биржевых сделок. Этот метод передачи риска осуществляется путем хеджирования и будет рассмотрен далее как самостоятельный метод нейтрализации финансовых рисков.
В целом же передача риска происходит, если в заключенном сторонами контракте существует специфическое положение относительно передачи конкретных (или всех) финансовых рисков контрагенту. Сторона, принявшая на себя риск, обычно вторично передает его, заключив договор страхования ответственности.
Наиболее опасные по своим последствиям финансовые риски подлежат нейтрализации путем страхования, в принципе это также передача риска. Стороной, принимающей финансовые риски, в данном случае выступает страховая компания [19, c.382].
Страхование финансовых рисков — это страхование, предусматривающее обязанности страховщика по страховым выплатам в размере полной или частичной компенсации потерь доходов (дополнительных расходов) лица, в пользу которого заключен договор страхования, вызванных следующими событиями: остановка производства или сокращение объема производства в результате оговоренных в договоре событий; банкротство; непредвиденные расходы; неисполнение (ненадлежащее исполнение) договорных обязательств контрагентом застрахованного лица, являющегося кредитором по сделке; понесенные застрахованным лицом судебные расходы; иные события. Таким образом, перечень событий, могущих повлечь финансовый ущерб, от риска наступления которого можно застраховаться, достаточно широк. Страхование финансовых рисков относится к имущественному страхованию. В некоторых случаях страхование финансовых рисков включается в договор страхования имущества, в таком случае страховая компания возмещает страхователю не только ущерб, нанесенный застрахованному имуществу, но и не полученную вследствие остановки производства (в результате страхового случая) прибыль [30, c.578].
В практике отечественного страхования наибольшее распространение получает страхование финансовых рисков, связанных с неисполнением обязательств клиентами (контрагентами) страхователя. Это может быть финансовый риск как по одной, так и по нескольким однотипным сделкам (риск по договору купли-продажи или поставки товара). Например, поставщик, направляя товар покупателю с условием последующей оплаты товара, может заключить договор страхования финансового риска, по условиям которого страховщик обязан возместить страхователю (поставщику) неполученные доходы в случае неисполнения покупателем — контрагентом страхователя — своих обязательств по договору купли-продажи товара [7, c.345].
Прибегая к услугам страховой компании, предприятие должно в первую очередь определить объект страхования, т.е. те виды финансовых рисков, по которым оно намерено обеспечить страховую защиту. При определении состава страхуемых рисков предприятию необходимо учитывать определенные условия, основными из которых являются:
-высокая степень вероятности возникновения финансового риска;
-невозможность полностью возместить финансовые потери по риску за счет собственных финансовых ресурсов;
-приемлемая стоимость страхования финансового риска.
Страхование вероятных потерь служит не только надежной защитой от неудачных решений, что само по себе очень важно, но также повышает ответственность руководителей предприятия, побуждая их серьезнее относиться к разработке и принятию решений, регулярно предпринимать превентивные меры защиты в соответствии со страховым контрактом. Однако российское законодательство не стимулирует применение такого метода минимизации риска. Закон разрешает отечественным предприятиям включать в стоимость затрат, относимых на себестоимость продукции (работ, услуг), затраты на страхование в объеме, не превышающем 1% объема реализованной продукции (работ, услуг).
Рынок страхования в России получил достаточное развитие, к 2007 г. насчитывалось около 4 тыс. страховых компаний, в основном это начинающие страховые компании, и только 20% из них функционируют более двух лет [19, c.383].
Чтобы из огромного перечня страховых компаний выбрать ту, которая в большей степени соответствует потребностям предприятия в обеспечении страховой защиты, необходимо получить следующую обязательную информацию:
- наличие лицензии Федеральной службы России по надзору за страховой деятельностью;
- форма специализации страховой компании;
- размер уставного капитала и собственных средств страховой компании. Конечно, величина этого показателя не гарантирует абсолютной надежности, но страховщик, имеющий большой оборот и в связи с этим большой потенциал, например для инвестиционной деятельности, более устойчив в финансовом отношении;
- рейтинг страховой компании, основанный на сравнении относительных и абсолютных показателей финансовой деятельности таких компаний;
- размер тарифов, используемых страховой компанией в процессе осуществления различных видов страхования финансовых рисков.
Взаимоотношения предприятия со страховой компанией основываются на договоре страхования — соглашения между страхователем и страховщиком, регламентирующего их взаимные права и обязанности [10, c.182].
Объединение риска — это еще один способ минимизации или нейтрализации финансовых рисков. Предприятие имеет возможность уменьшить уровень собственного риска, привлекая к решению общих проблем в качестве партнеров другие предприятия и даже физические лица, заинтересованные в успехе общего дела. Для этого могут создаваться акционерные общества, финансово-промышленные группы; предприятия могут приобретать или обмениваться акциями друг друга, вступать в различные консорциумы, ассоциации, концерны.
Таким образом, под объединением финансового риска понимается метод его снижения, при котором риск делится между несколькими субъектами экономики. Объединяя усилия в решении проблемы, несколько предприятий могут разделить между собой как возможную прибыль, так и убытки от ее реализации. Как правило, поиски партнеров проводятся среди тех фирм, которые располагают дополнительными финансовыми ресурсами, а также информацией о состоянии и особенностях финансового рынка [19, c.384].
Диверсификация — один из эффективных путей нейтрализации финансовых рисков. Диверсификация позволяет снижать отдельные виды финансовых рисков: кредитный, депозитный, инвестиционный, валютный. В качестве основных могут быть использованы следующие формы диверсификации:
-диверсификация финансовой деятельности предприятия, которая предусматривает использование альтернативных возможностей получения дохода от различных финансовых операций, непосредственно не связанных друг с другом. В таком случае, если в результате непредвиденных событий одна из финансовых операций окажется убыточной, другие операции будут приносить прибыль;
-диверсификация портфеля ценных бумаг, которая позволяет снижать инвестиционные риски, не уменьшая при этом уровень доходности инвестиционного портфеля;
-диверсификация программы реального инвестирования. В области формирования реального инвестиционного портфеля предприятию рекомендуется отдавать предпочтение программам реализации нескольких проектов, относительно небольшой капиталоемкости, перед программами, состоящими из единственного крупного инвестиционного проекта;
-диверсификация покупателей товаров (работ, услуг) предприятия, которая направлена на снижение кредитного риска, возникающего при коммерческом кредитовании;
-диверсификация депозитных вкладов предприятия, которая предусматривает размещение крупных сумм временно свободных денежных средств с целью получения прибыли в нескольких банках. Обычно условия размещения денежных активов в различных банках существенно не различаются, поэтому при диверсификации депозитных вкладов снижается уровень депозитного риска, но уровень доходности депозитного портфеля предприятия при этом, как правило, не снижается;
-диверсификация валютной корзины предприятия, которая предусматривает выбор нескольких видов валют в процессе осуществления предприятием внешнеэкономических операций, что дает возможность минимизировать валютные риски;
-диверсификация финансового рынка, которая предусматривает организацию работ одновременно на нескольких сегментах финансового рынка. Неудача на одном из них может быть компенсирована успехами на других [22, c.246].
Хеджирование – новый способ компенсации возможных потерь от наступления финансовых рисков, который появился в России с развитием рыночных отношений. В общем виде хеджирование можно определить как страхование цены товара от риска, либо нежелательного для продавца падения, либо невыгодного покупателю увеличения, путем создания встречных валютных, коммерческих, кредитных и иных требований и обязательств. Таким образом, хеджирование используется предприятием с целью страхования прогнозируемого уровня доходов путем передачи риска другой стороне. В зависимости от вида используемых производных ценных бумаг выделяют соответственно несколько видов хеджирования финансовых рисков:
-Хеджирование с использованием опционов, которое позволяет нейтрализовать финансовые риски по операциям с ценными бумагами, с валютой, реальными активами. В данном случае используется сделка с премией (опционом), которая уплачивается за право продать или купить в течение предусмотренного опционом срока ценную бумагу, валюту в обусловленном количестве и по оговоренной цене. Существуют три возможных способа хеджирования с использованием опционов:
1)хеджирование на основе опциона на покупку, который предоставляет право покупки по оговоренной цене;
2)хеджирование на основе опциона на продажу, который предоставляет право продажи по согласованной цене;
3)хеджирование на основе двойного опциона, который предоставляет одновременно право покупки или продажи соответствующего финансового инструмента по оговоренной цене.
-Хеджирование с использованием фьючерсных контрактов. Фьючерсные контракты — это срочные, заключаемые на биржах сделки купли-продажи сырьевых товаров, золота, валюты, ценных бумаг по ценам, действующим в момент заключения сделки, с поставкой купленного товара и его оплатой в будущем. Принцип механизма хеджирования с использованием фьючерсных контрактов основан на том, что если предприятие несет финансовые потери из-за изменения цен к моменту поставки как продавец валюты или ценных бумаг, то оно выигрывает в тех же размерах как покупатель фьючерсных контрактов на такое же количество валюты или ценных бумаг, и наоборот.
-Хеджирование с использованием операции «своп». Своп — торгово-финансовая обменная операция, в которой заключение сделки о купле (продаже) ценных бумаг, валюты сопровождается заключением контрсделки, сделки об обратной продаже (купле) того же финансового инструмента через определенный срок на тех же или иных условиях. Существует ряд видов своп-операций:
1)своп с целью продления сроков действия ценных бумаг представляет собой продажу ценных бумаг и одновременную покупку такого же вида ценных бумаг с более длительным сроком действия;
2)валютная своп-операция заключается в покупке иностранной валюты с немедленной оплатой в национальной валюте с условием последующего обратного выкупа;
3)своп-операция с процентами заключается в том, что одна сторона (кредитор) обязуется выплатить другой проценты, получаемые от заемщика по ставке «либор» (ставка по краткосрочным кредитам, предоставляемым лондонскими банками другим первоклассным банкам) в обмен на обратную выплату по фиксированной в договоре ставке.
Хеджирование как метод нейтрализации финансовых рисков в отечественной практике получает все большее применение в процессе управления финансовыми рисками по причине достаточно высокой его результативности.
Минимизировать финансовые риски предприятие может также путем установления и использования внутренних финансовых нормативов в процессе разработки программы осуществления определенных финансовых операций или финансовой деятельности предприятия в целом. Система внутренних финансовых нормативов может включать в себя:
-предельный размер заемных средств, используемых в производственно-хозяйственной деятельности предприятия;
-максимальный размер коммерческого или потребительского кредита, предоставляемого одному покупателю;
-минимальный размер активов в высоколиквидной форме;
-максимальный размер депозитного вклада, размещаемого в одном банке;
-максимальный размер средств, расходуемых на приобретение ценных бумаг одного эмитента, и др.
Поскольку эти нормативы внутренние, разрабатывать их должна финансовая служба самого предприятия, которой лучше, чем кому-либо, известны особенности финансовой и производственной деятельности.
Перечисленные методы могут быть существенно дополнены с учетом специфики финансовой деятельности отдельных предприятий и конкретного состава портфеля их финансовых рисков [19, c.385].
Таким образом, процесс нейтрализации возможных негативных последствий финансовых рисков заключается в разработке и осуществлении предприятием конкретных мероприятий по уменьшению вероятности возникновения отдельных видов рисков и снижению размера связанных с ними ожидаемых финансовых потерь. Эти меры предусматривают использование как внутренних механизмов нейтрализации финансовых рисков, так и внешнего их страхования. В процессе разработки и реализации мер по нейтрализации финансовых рисков обеспечивается принцип экономичности управления ими.
3.2
Разработка рекомендаций по снижению финансовых рисков ОАО «ТАИФ-НК»
Каждое предприятие самостоятельно выбирает методы повышения эффективности своей деятельности и причем лишь те, которые оно в состоянии реально осуществить. В силу особенностей нынешнего финансового положения ОАО ТАИФ-НК, на наш взгляд, данному предприятию можно рекомендовать использование метода прогнозирования. Прогнозирование – основа любой социально-экономической системы. Оно базируется на методах проигрывания различных вариантов будущих событий. Чем точнее будут рассчитаны возможные варианты развития событий, тем лучше фирма будет подготовлена к возникновению рисков.
Далее мы рассмотрим, как меняется уровень операционного левереджа, т. е. степень риска при изменении влияющих на него факторов.
Фактор № 1 — структура выручки от реализации. При одних и тех же изменениях выручки от реализации и при одинаковом соотношении динамики цен и натурального объема, снижающих выручку, операционный левередж будет разным, если неодинакова структура выручки от реализации. В следующей таблице 13 мы будем последовательно изменять составляющие выручки от реализации, не меняя ее величину в целом, а также не меняя динамику цен и натурального объема продаж.
Таблица 13 – Расчет уровня операционного левереджа (I)
| Показатели |
Ед. изм. |
2009 г. |
Варианты |
| I |
II |
| 1 |
2 |
3 |
4 |
5 |
| 1. Переменные затраты |
млн. р. |
58 421 |
59 421 |
60 421 |
| 2. Постоянные затраты |
» |
5 080 |
3 080 |
1 080 |
| 3. Прибыль от реализации |
» |
10 892 |
11 892 |
12 892 |
| 4. Выручка от реализации (стр. 1 + стр. 2 + стр. 3) |
» |
74 393 |
74 393 |
74 393 |
| 5. Снижение выручки от реализации |
% |
15 |
15 |
15 |
| 5.1. За счет снижения цен |
» |
10 |
10 |
10 |
| 5.2. За счет снижения натурального объема продаж |
% |
5 |
5 |
5 |
| 6. Операционный левередж: |
| а) при снижении цен (стр. 4 : стр. 3) |
б / р |
6,83 |
6,26 |
5,77 |
| б) при снижении натурального объема ((стр. 4 — стр. 1) / / стр. 3) |
» |
1,47 |
1,26 |
1,08 |
| 7. Уровень операционного левереджа в условиях стр. 5. [(стр. 6а × стр. 5.1 + стр. 6б × стр. 5.2) : стр. 5] |
» |
5,04 |
4,59 |
4,21 |
Таблица позволяет сделать ряд выводов:
-Уровень операционного левереджа существенно меняется под влиянием структуры выручки от реализации;
-Чем меньше постоянных затрат в составе выручки от реализации, тем ниже уровень риска;
-Чем выше рентабельность реализации, тем ниже уровень риска;
-Во всех случаях снижение натурального объема реализации с точки зрения уровня риска предпочтительнее снижения цен (сравнить строки 6а и 66);
-Уровень операционного левереджа, рассчитанный с учетом обоих факторов, снижающих выручку от реализации, ближе к уровню, рассчитанному для случая снижения цен (стр. 6а), т. к. фактор снижения цен выше по количественному значению, чем фактор снижения натурального объема продаж.
Практический вывод из этого расчета: если у предприятия в перспективе выручка от реализации имеет тенденцию к снижению, надо найти способы уменьшения постоянных затрат и увеличения за счет этого прибыли от реализации.
Посмотрим теперь, как влияет на уровень операционного левереджа соотношение факторов, снижающих выручку от реализации — цен и натурального объема продаж.
В таблице 14 при одной и той же структуре выручки от реализации и одном и том же уровне ее снижения динамика цен и натурального объема продаж различна. Рассчитаем, как от этого изменяется уровень операционного левереджа. В расчет принимается структура выручки от реализации 2009 года предыдущей таблицы.
Таблица 14 – Расчет уровня операционного левереджа (II)
| Показатели |
Ед. изм. |
2009 г. |
Варианты |
| I |
II |
| 1 |
2 |
3 |
4 |
5 |
| 1. Переменные затраты |
млн. р. |
58 421 |
58 421 |
58 421 |
| 2. Постоянные затраты |
» |
5 080 |
5 080 |
5 080 |
| 3. Прибыль от реализации |
» |
10 892 |
10 892 |
10 892 |
| 4. Выручка от реализации |
» |
74 393 |
74 393 |
74 393 |
| 5. Снижение выручки от реализации |
% |
15 |
15 |
15 |
| 5.1. За счет снижения цен |
» |
5 |
+10 |
25 |
| 5.2. За счет снижения натурального объема продаж |
% |
10 |
25 |
+10 |
| 6. Операционный левередж: |
| а) при снижении цен |
б / р |
6,83 |
6,83 |
6,83 |
| б) при снижении натурального объема |
» |
1,47 |
1,47 |
1,47 |
| 7. Уровень операционного левереджа в условиях стр. 5. |
» |
3,26 |
2,1 |
10,4 |
Знак "+" означает, что произошел рост, а не снижение фактора, однако другой фактор снизился в большей степени, перекрыл этот рост и привел к снижению выручки от реализации.
Расчет показывает, что даже простая перестановка ценового и натурального факторов при сохранении всех прочих условий привела к снижению уровня операционного левереджа с 5,04 до 3,26.
В вариантах I и II взяты особые условия, когда уменьшение выручки от реализации происходит исключительно за счет снижения натурального объема продаж; одновременно повышаются цены, частично компенсирующие сокращение натурального объема (вариант I); или при резком снижении цен рост объема продаж частично компенсирует этот фактор, и выручка от реализации снижается в меньшей степени, чем цены (вариант II). Такие ситуации реальны, т. к. само по себе снижение цен может вызвать рост спроса на продукцию предприятия, и наоборот.
Уровень риска в варианте II в 5 раза выше, чем в варианте I. Это понятно, т. к. снижение натурального объема продаж привело к снижению переменных затрат, а следовательно, к относительно меньшему сокращению суммы прибыли от реализации по сравнению с вариантом II, когда при снижении цен пришлось увеличивать переменные затраты.
Практический вывод из этого расчета: если у предприятия при неблагоприятной рыночной ситуации для его продукции есть возможность выбора, то лучше значительно снизить натуральный объем продаж, несколько повысив при этом цены. Тогда потери прибыли будут меньше, чем при других вариантах регулирования спроса.
Обратим внимание на соотношение уровней операционного левереджа в варианте II. Степень риска оказывается меньше при снижении цен на 15% без изменения натурального объема продаж, чем при снижении цен на 25% и увеличении натурального объема продаж на 10%.
Еще один практический вывод. При ситуации, когда выручка от реализации снижается, нецелесообразно снижение цен компенсировать ростом натурального объема продаж. При такой компенсации предприятие может потерять больше прибыли, чем при снижении цен, обеспечивающем реализацию натурального объема на базисном уровне.
Уровень финансового левереджа зависит и от ставки налога на прибыль, и от общей величины прибыли, и от размеров обязательных расходов и платежей, осуществляемых за счет чистой прибыли. Совершенно реальны случаи, когда при низкой ставке налога на прибыль финансовый левередж невысок и наоборот. Посмотрим это на конкретных примерах в таблицах 15, 16 и 17.
Таблица 15 – Расчет уровня финансового левереджа (I)
| Показатели |
2009 г. |
Варианты |
| I |
II |
III |
| 1 |
2 |
3 |
4 |
5 |
| 1.Общая сумма прибыли, млн. руб. |
912 |
912 |
912 |
912 |
| 2.Ставка налога на прибыль, % |
20 |
10 |
40 |
70 |
| 3.Чистая прибыль (прибыль, остающаяся в распоряжении предприятия (без учета других обязательных платежей), стр.1 × (100 – стр. 2 / 100)), млн. руб. |
730 |
821 |
547 |
274 |
| 4.Сумма обязательных расходов и платежей из чистой прибыли, млн. руб. |
99 |
99 |
99 |
99 |
| 5.Свободная прибыль (чистая прибыль за вычетом обязательных платежей (стр. 3 — стр. 4)), млн. руб. |
631 |
722 |
448 |
175 |
| 6.Финансовый левередж (стр. 3 : стр. 5, или стр.1 : стр.5 × × (100 – стр. 2 / 100 )), б/р. |
1,16 |
1,14 |
1,22 |
1,56 |
| Справочно: финансовый левередж при отношении стр. 1 к стр. 5, равном 1,45 (I вариант) |
1,16 |
1,31 |
0,87 |
0,44 |
Расчет позволяет сделать следующие выводы:
-При изменении ставки налога на прибыль и постоянной суммы обязательных расходов и платежей за счет чистой прибыли степень финансового риска возрастает с увеличением ставки налога на прибыль. Это объясняется тем, что с повышением ставки налога увеличивается доля обязательных платежей в составе чистой прибыли.
-Если бы предприятие регулировало размеры обязательных платежей в зависимости от своих финансовых возможностей, т. е., например, в I варианте увеличило бы их, учитывая низкую ставку налога на прибыль, в III варианте уменьшило бы и т. д., то подтвердился бы вывод о том, что низкая ставка налога на прибыль повышает степень финансового риска (строка "Справочно"). При отсутствии гибкой финансовой политики — чем выше ставка налога на прибыль, тем выше риск.
-Если соотношение общей суммы прибыли и чистой прибыли за вычетом обязательных расходов и платежей за счет нее изменяется в меньшей степени или в другом направлении, чем ставка налога на прибыль, уровень финансового риска оказывается в решающей мере зависимым от этого соотношения. Сравним, например, I и III варианты таблицы: ставка налога на прибыль в III варианте в 7 раза выше, чем в I, а чистая прибыль за вычетом обязательных платежей в 3 раз ниже. В результате уровень финансового левереджа повысился.
Мы рассмотрели, как изменяется уровень финансового риска в зависимости от изменения ставки налога на прибыль при прочих неизменных условиях. Посмотрим теперь, как влияют другие факторы на степень финансового риска. В таблице 16 рассчитаем, как он изменится, если в условия предыдущей таблицы ввести фактор изменения общей суммы прибыли.
Таблица 16 – Расчет уровня финансового левереджа (II)
| Показатели |
2009 г. |
Варианты |
| I |
II |
III |
| 1 |
2 |
3 |
4 |
5 |
| 1.Общая сумма прибыли, млн. руб. |
912 |
612 |
1 512 |
2 250 |
| 2.Ставка налога на прибыль, % |
20 |
10 |
40 |
70 |
| 3.Чистая прибыль (без учета других обязательных платежей), млн. руб. |
730 |
551 |
907 |
675 |
| 4.Сумма обязательных расходов и платежей из чистой прибыли, млн. руб. |
99 |
99 |
99 |
99 |
| 5. Свободная прибыль, млн. руб. |
631 |
452 |
808 |
576 |
| 6.Финансовый левередж, б/р. |
1,16 |
1,22 |
1,12 |
1,17 |
Такимобразом, при изменении величины общей прибыли и сохранении суммы обязательных платежей и расходов за счет чистой прибыли ставки налога на прибыль играют минимальную роль в формировании финансового левереджа. Уровень финансового левереджа почти одинаков в 2009 году и варианте III, хотя все остальные параметры различаются.
Практический вывод израсчетов состоит в следующем. При большой сумме обшей прибыли и низкой доле в составе чистой прибыли обязательных расходов и платежей уровень риска мало зависит от ставки налога на прибыль.
Поменяем теперь еще одно условие расчета — сумму обязательных расходов и платежей из чистой прибыли. В таблице 17 по сравнению с предыдущей изменены значения лишь этого показателя.
Таблица 17 – Расчет уровня финансового левереджа (III)
| Показатели |
2009 г. |
Варианты |
| I |
II |
III |
| 1 |
2 |
3 |
4 |
5 |
| 1.Общая сумма прибыли, млн. руб. |
912 |
612 |
1 512 |
2 250 |
| 2.Ставка налога на прибыль, % |
20 |
10 |
40 |
70 |
| 3.Чистая прибыль (без учета других обязательных платежей), млн. руб. |
730 |
551 |
907 |
675 |
| 4.Сумма обязательных расходов и платежей из чистой прибыли, млн. руб. |
99 |
10 |
269 |
219 |
| 5.Свободная прибыль, млн. руб. |
631 |
541 |
638 |
456 |
| 6.Финансовый левередж, б/р. |
1,16 |
1,02 |
1,42 |
1,48 |
Следовательно, степень финансового риска в наибольшей мере определяется долей обязательных расходов и платежей в составе чистой прибыли. Понятно, что при их увеличении риск возрастает, но в случае очень большой доли она возрастает многократно: в варианте II и варианте III степень риска выросла по сравнению с условиями предыдущей таблицы. В условиях I варианта, несмотря на небольшие суммы общей и чистой прибыли, низкий удельный вес обязательных платежей в последней стал единственным фактором, который существенно снизил степень финансового риска.
Таким образом, общий уровень финансового риска зависит от ряда факторов, но наиболее количественно значимым является удельные вес обязательных расходов и платежей из чистой прибыли в общей сумме.
Практически это означает, что для снижения степени финансового риска предприятие в пределах своих возможностей должно регулировать размеры своих обязательств, которые оно должно выполнить независимо от величины полученной прибыли. Это особенно важно, если в перспективе предполагается снижение по каким-либо причинам величины чистой прибыли. Тогда особенно необходимо дивиденды по привилегированным акциям, проценты по облигациям, проценты за кредиты увязывать с возможной степенью финансового риска.
Чем больше ценных бумаг с фиксированным доходом выпускает предприятие и чем больше оно платит процентов за заемные средства, тем больше вероятность резкого снижения его свободной прибыли (т. е. чистой прибыли за вычетом обязательных платежей) при небольшом уменьшении общей суммы прибыли. В этих условиях свободная прибыль может превратиться в отрицательную величину. Аналогично воздействуют на ситуацию уплачиваемые бюджету штрафные санкции.
Операционный и финансовый левередж позволяют дать единую оценку финансового риска предприятия. Из формулы 4 следует, что общий риск неполучения в достаточных суммах свободной прибыли тем выше, чем меньше переменные затраты, чем меньше чистая прибыль по сравнению с прибылью от реализации (т. е. чем больше "к") и чем меньше величина свободной прибыли, т. е. чистой прибыли за вычетом обязательных расходов и платежей из нее.
Рассмотрим эту зависимость на цифровых данных в таблице 18; некоторые из них уже использованы в предыдущих расчетах.
Таблица 18 – Расчет общего уровня финансового риска предприятия
| Показатели |
Условные обозначения |
2009 г. |
Вариант |
| 1 |
2 |
3 |
4 |
| 1. Выручка от реализации, млн. руб. |
В |
74 393 |
74 393 |
| 2. Переменные затраты, млн. руб. |
Пер |
58 421 |
58 421 |
| 3. Прибыль от реализации, млн. руб. |
Пр |
10 892 |
10 892 |
| 4. Чистая прибыль, млн. руб. |
Пч |
730 |
730 |
| 5. Коэффициент соотношения (стр. 3 : стр. 4) |
к |
14,92 |
14,92 |
| 6. Свободная прибыль, млн. руб. |
Пс |
631 |
631 |
| 7. Уровень финансового риска (стр. 1 / (стр. 5 × стр. 6)) |
Ло × Лф |
7,9 |
1,7* |
* Для гр. 4 : стр. 1 - стр.2 / стр.5 х стр.6
Понятно, что изменение любого из заложенных в таблицу условий приведет к изменению общего уровня финансового риска предприятия. Уровень риска, рассчитанного в группе 4, почти в 5 раза ниже уровня в группе 3 благодаря более низкому показателю операционного левереджа. Последнее связано с тем, что в расчет принят вариант, при котором предполагается снижение выручки от реализации за счет сокращения натурального объема реализации, сопровождающееся экономией переменных затрат.
Таким образом, общая степень риска предприятия формируется из риска значительной потери прибыли от реализации и риска резкого снижения свободной прибыли. В случаях прогнозирования снижения выручки от реализации важно обеспечить минимум постоянных затрат в ее составе и минимум фиксированных платежей за счет чистой прибыли.
Также, на наш взгляд, для ОАО «ТАИФ-НК» приемлемы следующие направления снижения финансовых рисков.
Первое направление основано на принципе "отсечения лишнего", представляет собой защитную реакцию предприятия на неблагоприятное финансовое развитие и лишено каких-либо наступательных управленческих решений.
Второе направление использует отдельные защитные мероприятия, в преимущественном виде представляет собой наступательную тактику, направленную на перелом неблагоприятных тенденций финансового развития и выход на рубеж финансового равновесия предприятия.
Рассмотрим более подробно содержание каждого направления.
-Первое направление представляет собой систему мер, направленную, с одной стороны, на уменьшение размера текущих внешних и внутренних финансовых обязательств предприятия в краткосрочном периоде, а с другой стороны, на увеличение суммы денежных активов, обеспечивающих срочное погашение этих обязательств. Принцип "отсечения лишнего", лежащий в основе этого направления, определяет необходимость сокращения размеров как текущих потребностей (вызывающих соответствующие финансовые обязательства), так и отдельных видов ликвидных активов (с целью их срочной конверсии в денежную форму).
Основным содержанием данного направления является обеспечение сбалансирования денежных активов и краткосрочных финансовых обязательств предприятия, достигаемое различными методами в зависимости от диктуемых условий реального финансового состояния предприятия. Ускоренная ликвидность оборотных активов, обеспечивающая рост положительного денежного потока в краткосрочном периоде, достигается за счет следующих основных мероприятий:
1)Ускорения инкассации дебиторской задолженности;
2)Снижения периода предоставления товарного (коммерческого) кредита;
3)Увеличения размера ценовой скидки при осуществлении наличного расчета за реализуемую продукцию;
4)Снижения размера страховых запасов товарно-материальных ценностей;
5)Уценки трудноликвидных видов запасов товарно-материальных ценностей до уровня цены спроса с обеспечением последующей их реализации и других.
Ускоренное частичное дезинвестирование внеоборотных активов, обеспечивающее рост положительного денежного потока в краткосрочном периоде, достигается за счет следующих основных мероприятий:
1)Реализации высоликвидной части долгосрочных финансовых инструментов инвестиционного портфеля;
2)Проведение операций возвратного лизинга, в процессе которых ранее приобретенные в собственность основные средства продаются лизингодателю с одновременным оформлением договора их финансового лизинга;
3)Ускоренной продажи неиспользуемого оборудования по ценам спроса на соответствующем рынке;
4)Аренды оборудования, ранее намечаемого к приобретению в процессе обновления основных средств и других.
Цель этого направления считается достигнутой, если устранена текущая низкая платежеспособность предприятия.
-Второе направление представляет собой систему мер, направленных на достижение точки финансового равновесия предприятия в предстоящем периоде. Основным направлением обеспечения достижения точки финансового равновесия предприятием является сокращение объема потребления собственных финансовых ресурсов. Такое сокращение связано с уменьшением объема как операционной, так и инвестиционной деятельности предприятия и поэтому характеризуется термином "сжатие предприятия".
Сжатие предприятия должно сопровождаться мерами по обеспечению прироста собственных финансовых ресурсов. Увеличение объема генерирования собственных финансовых ресурсов достигается за счет следующих основных мероприятий:
1)Оптимизации ценовой политики предприятия, обеспечивающей дополнительный размер операционного дохода;
2)Сокращения суммы постоянных издержек (включая сокращение управленческого персонала, расходов на текущий ремонт и т.п.);
3)Снижения уровня переменных издержек (включая сокращение производственного персонала основных и вспомогательных подразделений; повышение производительности труда и т.п.);
4)Осуществления эффективной налоговой политики, обеспечивающей минимизацию налоговых платежей по отношению к сумме дохода и прибыли предприятия (направленной на возрастание суммы чистой прибыли предприятия);
5)Проведения ускоренной амортизации активной части основных средств с целью возрастания объема амортизационного потока;
6)Своевременной реализации выбываемого в связи с высоким износом или неиспользуемого имущества;
7)Осуществления эффективной эмиссионной политики за счет дополнительной эмиссии акций (или привлечения дополнительного паевого капитала) и других.
Сокращение необходимого объема потребления собственных финансовых ресурсов достигается за счет следующих основных мероприятий:
1)Снижения инвестиционной активности предприятия во всех основных ее формах;
2)Обеспечения обновления операционных внеоборотных активов преимущественно за счет их аренды (лизинга);
3)Осуществления дивидендной политики, адекватной финансовому развитию предприятия с целью увеличения чистой прибыли, направляемой на производственное развитие;
4)Сокращения объема программы участия наемных работников в прибыли;
5)Снижения размеров отчислений в резервный и другие страховые фонды, осуществляемых за счет прибыли, и другие.
Цель этого направления считается достигнутой, если предприятие вышло на рубеж финансового равновесия, предусматриваемый целевыми показателями финансовой структуры капитала и обеспечивающий достаточную его финансовую устойчивость.
Минимальным будет риск у тех, кто строит свою деятельность преимущественно на собственном капитале, но доходность деятельности таких предприятий невысока, т.к. эффективность использования заемного капитала в большинстве случаев оказывается более высокой. Оптимальным вариантом формирования финансов предприятия считается следующее соотношение: доля собственного капитала должна быть больше или равна 60%, а доля заемного капитала меньше или равна 40%.
Поскольку положительным фактором финансовой устойчивости является наличие источников формирования запасов, а отрицательным фактором – величина запасов сверх установленных нормативов, то основными способами выхода из неудовлетворительного финансового состояния будут:
1)Пополнение источников формирования запасов и оптимизация их структур;
2)Обоснованное снижение уровня запасов.
Снижение уровня запасов происходит в результате планирования остатков запасов, а также реализации неиспользованных товарно-материальных ценностей.
Наиболее безрисковым способом пополнения источников формирования запасов, а также наиболее существенным фактором повышения финансовой устойчивости предприятия является увеличение собственного капитала.
Важной проблемой, находящейся на стыке финансового анализа и финансового планирования, является определение необходимых темпов накопления собственного капитала. Данные показатели можно определить, исходя из целей обеспечения нормальных минимальных значений финансовых коэффициентов, характеризующих финансовую устойчивость предприятия.
Основным недостатком финансовой деятельности ОАО «ТАИФ-НК» является нехватка собственных оборотных средств. Нехватка собственных оборотных средствозначает превышение норматива оборотных средств над фактическим их наличием. Он может возникнуть по вине самого предприятия, других предприятий, в результате изменения условий хозяйствования, не принятых во внимание своевременно (как, например, несвоевременное финансирование прироста норматива собственных оборотных средств), за стихийного бедствия и по другим причинам.
Основными причинами нехватки собственных оборотных средств могут быть: плохая работа маркетинговой службы; невыполнение планов прибыли; слабая ответственность предприятий за формирование и сохранение собственных оборотных средств и их нецелевое использование; несвоевременное финансирование прироста норматива оборотных средств; наличие дебиторской задолженности (несвоевременные расчеты) и т.д. Нехватка собственных оборотных средств может возникнуть в связи со значительным повышением цен в результате инфляционных процессов. В настоящее время, учитывая тяжелые последствия финансового кризиса для многих предприятий, наращивание собственных капиталов является наиболее актуальной проблемой.
Собственный капитал организации – это основа наращивания объемов ее деятельности. Поэтому чрезвычайно важно находить источники его увеличения. Ими могут быть нераспределенная прибыль прошлых лет, безвозмездно полученные ресурсы; размещение ценных бумаг или привлечение новых участников и акционеров.
Размер собственного капитала организации имеет исключительно важное значение для ее деятельности: чем больше размер капитала, тем выше уверенность контрагентов, кредиторов, покупателей, поскольку при этом повышается ее надежность. Капитал является резервом для адекватных действий в неожиданно возникающих непредвиденных обстоятельствах, позволяющим избежать неплатежеспособности в процессе приспособления к работе в изменяющихся условиях, или, иначе говоря, источником финансирования в случае финансовых трудностей.
При определении необходимого размера капитала следует, в первую очередь, учитывать его минимально допустимый уровень. Поэтому основной проблемой при планировании капитала, или, иначе говоря, определении его целесообразного значения, является выбор приемлемого соотношения собственных средств и обязательств. Такая задача является одной из основных в планировании. Важность ее обусловлена тем, что, с одной стороны, чем больше такое отношение, тем больше финансовая независимость или степень надежности организации, с другой стороны, чем больше доля заемных (привлеченных) средств в общей сумме средств, тем при прочих равных условиях будет больше прибыльность собственного капитала.
Такой эффект называется эффектом финансового рычага. Это связано с тем, что прибыль, заработанная путем использования всех средств организации (как собственных, так и заемных), будет относиться к сумме собственных средств. Следовательно, чем меньше сумма собственных средств в общей сумме средств, тем больше будет прибыль на их единицу.
Таким образом, при определении необходимого размера капитала организации приходится идти на компромисс, выбирая между степенью ее надежности, с точки зрения возможности успешно противостоять непредвиденным финансовым осложнениям, которая будет тем больше, чем больше будет доля собственного капитала в общей сумме ее средств, и прибыльностью капитала, которая при прочих равных условиях (стоимость привлеченных средств, прибыльность активов) будет тем больше, чем меньше доля собственного капитала в ее средствах.
При принятии решения об увеличении капитала необходимо выбрать соответствующие пути его осуществления. Капитал может быть увеличен как за счет внутренних источников (доходов от продажи продукции, продажи части активов с прибылью, переоценки основных средств), так и за счет внешних (выпуска дополнительных акций).
Выбор способа увеличения капитала организации определяется ростом капитала, располагаемым временем, а также допустимыми затратами на приобретение дополнительного капитала. Так, если предполагается достаточно медленный рост капитала с учетом предполагаемого роста активов, его необходимое увеличение может быть обеспечено за счет внутренних источников, как правило, из нераспределенной прибыли. Если планируется быстрый рост активов или необходимо неожиданное существенное увеличение капитала, потребуется привлечение средств внешних инвесторов.
При выборе способа увеличения капитала, как и при принятии любых финансовых решений, рекомендуется исходить из принципа повышения ценности организации. Считается, что ценность организации возрастает при увеличении ее прибыли и росте курса акций на рынке. Эти вопросы, однако, являются не столь однозначными. Акционеры, с точки зрения очередности выплаты вознаграждения на вложенный капитал, занимают подчиненное положение относительно других кредиторов, принимая на себя, таким образом, более высокий риск, они должны получать и более высокое вознаграждение за участие в капитале в виде дивидендов и роста стоимости акций. Регулярная выплата дивидендов, тем более с увеличением их размера, приводит к росту курса акций на рынке.
С другой стороны, с увеличением выплаты дивидендов будет уменьшаться оставшаяся часть прибыли, используемая с целью увеличения капитала для роста активов и получения в будущем большей прибыли, а также для создания резервов на случай непредвиденных финансовых осложнений. Поэтому решение об увеличении капитала за счет получаемой прибыли должно всегда тщательно анализироваться из-за возможных последствий.
Следует также учитывать и особенности существующего налогообложения. Так, если при планируемом увеличении капитала учитывается переоценка основных средств организации по более высокой текущей рыночной цене и полученная таким образом расчетная дополнительная прибыль будет включаться в облагаемый налогом доход, возрастет величина уплачиваемого налога, что приведет к увеличению оттока денежных средств. Если это нежелательно, то такое реальное увеличение капитала лучше считать сокрытыми резервами.
Увеличение капитала за счет дополнительной эмиссии акций также имеет как положительные, так и отрицательные стороны. С одной стороны, в этом случае увеличивается капитал на значительную сумму. С другой стороны, акционеры могут неодобрительно отнестись к выпуску дополнительных акций, поскольку это может привести к снижению прибыли на акцию и падению курсовой стоимости акций на рынке.
Кроме того, в этом случае возникает риск приобретения большого количества акций инвесторами, которые могут затем существенно повлиять на политику организации и управление ею. При сохранении же существовавшего размера дивиденда и значительном увеличении количества акций может уменьшиться нераспределенная прибыль со всеми вытекающими последствиями. Еще одним осложняющим фактором является необходимость правильного выбора момента выпуска дополнительных акций с учетом возможной оценки рынком их курсовой стоимости, поскольку считается, что стоимость акций на фондовой бирже отражает рыночные ожидания относительно возможности получения дохода в будущем и оценку рынком достоверности финансовой отчетности организации.
Следует также учитывать, что за привлечение дополнительного акционерного капитала новым акционерам надо платить дивиденды. Если поддерживать выплачиваемый дивиденд на прежнем уровне, это может привести к дополнительным расходам. При выплате дивидендов уменьшается объем средств для создания резервов, ослабляется процесс формирования собственного капитала, уменьшается рыночная стоимость акций и способность организации к развитию и обеспечению прибыльности в будущем.
С другой стороны, при выплате повышенных дивидендов обычно увеличиваются значения отношения рыночной цены акции к доходу на акцию и рыночная стоимость собственного капитала (ценность финансового учреждения). Следовательно, если в этих условиях будут выпускаться новые акции их можно будет продать по более высокой цене.
Таким образом, при определении необходимого размера капитала организации и выборе варианта его увеличения следует учитывать всю совокупность рассмотренных факторов и связанные с ними возможные риски.
На наш взгляд, ОАО «ТАИФ-НК» также следует значительно улучшить систему информационного управления финансовыми рисками. Эффективность каждой управляющей системы в значительной мере зависит от ее информационного обеспечения. В условиях рыночной экономики известная формула “время — деньги” дополняется аналогичной формулой: “информация — деньги”. Применительно к финансовому риск-менеджменту она приобретает прямое значение, так как от качества используемой информации при принятии управленческих решений в значительной степени зависит уровень прибыли, рыночная стоимость предприятия, альтернативность выбора инвестиционных проектов и финансовых инструментов инвестирования и другие показатели формирующие уровень благосостояния собственнике предприятия и темпы его экономического развития. Чем больший размер капитала используется предприятием, чем более диверсифицирована его хозяйственная деятельность, тем выше становится роль качественной информации, необходимой для принятия финансовых решений сфер управления финансовыми рисками.
Информационная система (или система информационно обеспечения) финансового риск-менеджмента представляет особо функциональный комплекс, обеспечивающий процесс целенаправленного подбора соответствующих информативных показателей, необходимых для осуществления идентификации, оценки и подготовки эффективных управленческих решений по нейтрализации финансовых рисков предприятие.
Информационная система финансового риск-менеджмента призвана обеспечивать необходимой информацией не только управленческий персонал и собственников самого предприятия, но и удовлетворять интересы широкого круга внешних ее пользователей. Характеризуя состав пользователей информации входящей в информационную систему финансового риск менеджмента, следует отметить, что круг интересов внешних и внутренних потребителей этой информации существенно различается.
Внешние пользователи используют лишь ту часть информации, которая характеризует результаты финансовой деятельности предприятия и его финансовое состояние. Подавляющая часть этой информации содержится в официальной финансовой отчетности, представляемой предприятием,
Внутренние пользователи, наряду с вышеперечисленной используют значительный объем информации о финансовых рисках предприятия, представляющей коммерческую тайну. Кроме того, внутренние пользователи используют значительный круг финансовых показателей, формируемая из внешних источников, которые также входят в информационную систему финансового риск-менеджмента.
Высокая роль финансовой информации в подготовке и принятии эффективных рисковых решений предъявляет соответственно высокие требования к ее качеству при формировании информационной системы финансового риск-менеджмента. Так к информации, включаемой в эту систему, предъявляются следующие основные требования:
-Значимость, которая определяет насколько привлекаемая информации влияет на результаты принимаемых рисковых решений, в первую очередь, в процессе формирований финансовой стратегии предприятия, разработки целенаправленной политики по отдельным аспектам финансовой деятельности, подготовки текущих и оперативных финансовых планов.
-Полнота, которая характеризует завершенность круга информативных показателей, необходимых для осуществления идентификации оценки и принятия оперативных управленческих решений по нейтрализации финансовых рисков предприятия.
-Достоверность, которая определяет насколько формируемая информации адекватно отражает реальное состояние и результаты финансовой деятельности, правдиво характеризует внешнюю финансовую среду, нейтральна по отношению ко всем категориям потенциальных пользователей и проверяема.
-Своевременность, которая характеризует соответствие формируемой информации потребности в ней по периоду ее использования. Отдельные виды информативных показателей, используемых в финансовом риск-менеджменте, “живут” в его информационной системе в неизменном количественном выражении лишь один день, (например, курс иностранных валют, курс отдельных фондовых и денежных инструментов на финансовом рынке), другие — месяц, квартал и т.п.
-Понятность, которая определяется простотой ее построения, соответствием определенным стандартам представления и доступностью понимания (а соответственно и адекватного ее толкования) теми категориями пользователей, для которых она предназначается. Не следует однако смешивать требования понятности информации для определенной категории пользователей с ее универсальной доступностью для понимания всеми участниками финансовой деятельности предприятия, так как ряд из них может не иметь достаточного уровня квалификации для адекватной ее интерпретации.
-Релевантность (или избирательность), определяющая достаточно высокую степень используемости формируемой информации в процессе управления финансовыми рисками предприятия. “Информационное переполнение” системы финансового риск-менеджмента усложняет процесс отбора необходимых информативных данных для подготовки конкретных управленческих решений, приводит к формированию малосущественных альтернативных проектов этих решений, удорожает процесс информационного обеспечения управления финансовыми рисками предприятия.
-Сопоставимость, которая определяет возможность сравнительной оценки стоимости отдельных активов и результатов финансовой деятельности предприятия во времени, возможность проведений сравнительного финансового риск-анализа предприятия с аналогичными хозяйствующими субъектами и т.п. Такая сопоставимость обеспечивается идентификацией определения отдельных информативных показателей и единиц их измерения, использованием соответствующих национальных и международных стандартов финансовой отчетности, последовательностью и стабильностью применяемых методов учета финансовых показателей на предприятии.
-Эффективность, которая применительно к формированию информационной системы финансового риск-менеджмента означает, что затраты по привлечению определенных информативных показателей не должны превышать эффект, получаемый в результате их использования при подготовке и реализации соответствующих рисковых решений.
Можно также предложить следующие, так называемые упреждающие методы нейтрализации финансовых рисков. Эти методы, как правило, более трудоемки, требуют обширной предварительной аналитической работы, от полноты и тщательности которой зависит эффективность их применения. К таким методам относятся:
-Сокращение перечня форс-мажорных обстоятельств в контрактах с партнерами;
-Сбор и анализ дополнительной информации о финансовом рынке;
-Прогнозирование тенденций изменения внешней среды и конъюнктуры финансового рынка;
-Стратегическое планирование деятельности предприятия.
Только имея определенные стратегические позиции возможно эффективное ведение хозяйства. Поэтому в первую очередь необходимо разработать финансовую стратегию предприятия. Целью разработки является построение эффективной системы управления финансами, направленной на достижение стратегических и тактических целей предприятия.
В настоящее время для большинства предприятий характерна реактивная форма управления финансами, т.е. принятие управленческих решений как реакция на текущие проблемы. Одной из задач реформы предприятия является переход к управлению финансами на основе анализа финансово-экономического состояния с учетом постановки стратегических целей деятельности предприятия, адекватных рыночным условиям и поиска путей их достижения. При проведении реформы предприятия стратегическими задачами разработки финансовой политики предприятия являются:
-Максимизация прибыли предприятия;
-Оптимизация структуры капитала предприятия и обеспечение его финансовой устойчивости;
-Обеспечение инвестиционной привлекательности предприятия;
-Создание эффективного механизма управления предприятием;
-Использование предприятием рыночных механизмов привлечения финансовых средств.
Следует отметить тот факт, что при разработке эффективной системы управления финансами постоянно возникает основная проблема совмещения интересов развития предприятия, наличия достаточного уровня денежных средств для проведения указанного развития и сохранения высокой платежеспособности предприятия.
Хотя система управления финансами ориентирована на решение краткосрочных и текущих задач, решаемых предприятием, разработка стратегии его развития позволяет не только определить ориентиры этого развития, но и добиться понимания общности задач работниками, стимулировать информационный обмен между структурными подразделениями. С переходом на качественно иной уровень текущего планирования предприятие расширяет внутренние возможности накоплений для модернизации производства, становится более привлекательным для сторонних инвесторов.
При разработке финансовой стратегии предприятия определяют тактические мероприятия - конкретизируют пути, способы и приемы достижения стратегической цели. Например, такими тактическими мероприятиями могут быть сокращение накладных расходов, отказ от расходов на социально-культурные, бытовые мероприятия – стратегия минимизации издержек; отказ от убыточных производств, невыгодных каналов реализации, бартера - стратегия максимизации прибыли; расширение рынка сбыта.
Таким образом, нейтрализация возможных негативных последствий финансовых рисков призвана обеспечить снижение исходного уровня принятых финансовых рисков до приемлемого его значения. Возможность использования каждого из методов нейтрализации финансовых рисков зависит от опыта деятельности и возможностей предприятия. Для получения более эффективного результата, как правило, используется не один, а совокупность методов. Предложенные мероприятия позволят ОАО «ТАИФ-НК» решить ряд проблем, связанных с финансовой политикой предприятия, найти новые возможности получения прибыли. На основе полученной прибыли можно сформировать более рациональную структуру собственного капитала.
Заключение
Финансовая деятельность фирмы во всех ее формах сопряжена с многочисленными рисками, степень влияния которых на результаты этой деятельности фирмы достаточно высока. Риски, сопутствующие финансовой деятельности фирмы, выделяются в особую группу рисков, которые носят название – финансовые риски.Финансовые риски – это спекулятивные риски, для которых возможен как положительный, так и отрицательный результат. Их особенностью является вероятность наступления ущерба в результате проведения таких операций, которые по своей природе являются рискованными. В основе управления финансовыми рисками лежат целенаправленный поиск и организация работ по оценке, избежанию, удержанию, передаче и снижению степени риска. Конечной целью управления финансовыми рисками является получение наибольшей прибыли при оптимальном, приемлемом для предприятия соотношении прибыли и риска. Все виды финансовых рисков поддаются количественной оценке. Особенности разных видов рисков предполагают неодинаковые подходы к их количественной оценке.
Финансовые риски играют наиболее существенную роль в общем «портфеле рисков» ОАО «ТАИФ-НК». К основным финансовым рискам ОАО «ТАИФ-НК» можно отнести риски потери платежеспособности; риски потери финансовой устойчивости и независимости; риски структуры активов и пассивов. Мы провели оценку данных рисков с помощью абсолютных и относительных показателей и пришли к выводу, что в 2007 году запасы и затраты обеспечивались за счет краткосрочных кредитов и займов. Этот год характеризовался неустойчивым финансовым состоянием и соответствовал зоне критического риска. При анализе баланса обнаруживается слабость многих финансовых показателей. Платежеспособность находится на границе минимально допустимого уровня, финансовая устойчивость недостаточная. Взаимоотношения с анализируемой организацией характеризуются высокой степенью риска.
К концу 2008 года финансовое состояние предприятия улучшилось и стало более устойчивым. Эта ситуация сопряжена с тем, что в 2008 году увеличились долгосрочные заемные источники. Финансовые показатели довольно близки к оптимальным, но по отдельным коэффициентам допущено определенное отставание. Предприятие рентабельное, находится в зоне допустимого риска. Но в 2009 году в связи с финансовым кризисом финансовое состояние предприятия вновь ухудшилось. Для того чтобы сохранить возможность восстановления равновесия, предприятию необходимо пополнить собственный капитал и увеличить собственные оборотные средства за счет внутренних и внешних источников, обоснованно снизить сумму запасов и затрат, ускорить оборачиваемость капитала в оборотных активах.
Снижение уровня запасов происходит в результате планирования остатков запасов, а также реализации неиспользованных товарно-материальных ценностей. При принятии решения об увеличении собственного капитала необходимо выбрать соответствующие пути его осуществления. Капитал может быть увеличен как за счет внутренних источников (доходов от продажи продукции, продажи части активов с прибылью, переоценки основных средств), так и за счет внешних (выпуска дополнительных акций).
Важной проблемой, находящейся на стыке финансового анализа и финансового планирования, является определение необходимых темпов накопления собственного капитала. Данные показатели можно определить, исходя из целей обеспечения нормальных минимальных значений финансовых коэффициентов, характеризующих финансовую устойчивость предприятия.
В результате проведенных расчетов также можно сделать вывод, что на конец 2009 года предприятие находится на грани зон критического и допустимого рисков, т.к. у предприятия имеется относительно высокий риск потери финансовой устойчивости. Если этот вид риска не будет своевременно нейтрализован, предприятие теряет возможность генерирования необходимого уровня прибыли (вследствие возрастания стоимости привлекаемого капитала), а также темпы своего устойчивого роста в предстоящем периоде. Риск снижения финансовой устойчивости относится к так называемым структурным рискам предприятия, так как он вызывается в первую очередь несовершенством структуры формирования операционных активов и капитала. Поэтому основным содержанием процесса управления риском снижения финансовой устойчивости предприятия выступает оптимизация состава внеоборотных и оборотных активов, с одной стороны, а также соотношения собственного и заемного капитала, с другой.
Но, тем не менее, финансовое состояние предприятия тяготеет к зоне допустимого риска. Допустимый риск - это риск решения, в результате неосуществления которого, предприятию не грозит потеря прибыли. В пределах этой зоны деятельность предприятия сохраняет свою экономическую целесообразность, т.е. потери имеют место, но они не превышают размер ожидаемой прибыли.
В качестве метода нейтрализации финансовых рисков ОАО «ТАИФ-НК» можно предложить метод составления прогнозных значений, т.е. предприятие может прогнозировать уровень финансового риска. Мы рассмотрели, как меняется уровень операционного и финансового левереджа, а также общий уровень финансового риска и пришли к следующим выводам:
-Если у предприятия в перспективе выручка от реализации имеет тенденцию к снижению, надо найти способы уменьшения постоянных затрат и увеличения за счет этого прибыли от реализации;
-Если у предприятия при неблагоприятной рыночной ситуации для его продукции есть возможность выбора, то лучше значительно снизить натуральный объем продаж, несколько повысив при этом цены. Тогда потери прибыли будут меньше, чем при других вариантах регулирования спроса;
-При ситуации, когда выручка от реализации снижается, нецелесообразно снижение цен компенсировать ростом натурального объема продаж. При такой компенсации предприятие может потерять больше прибыли, чем при снижении цен, обеспечивающем реализацию натурального объема на базисном уровне;
-При большой сумме общей прибыли и низкой доле в составе чистой прибыли обязательных расходов и платежей уровень риска мало зависит от ставки налога на прибыль;
-Для снижения степени финансового риска предприятие в пределах своих возможностей должно регулировать размеры своих обязательств, которые оно должно выполнить независимо от величины полученной прибыли. Это особенно важно, если в перспективе предполагается снижение по каким-либо причинам величины чистой прибыли. Тогда особенно необходимо дивиденды по привилегированным акциям, проценты по облигациям, проценты за кредиты увязывать с возможной степенью финансового риска;
-Общая степень риска предприятия формируется из риска значительной потери прибыли от реализации и риска резкого снижения свободной прибыли. В случаях прогнозирования снижения выручки от реализации важно обеспечить минимум постоянных затрат в ее составе и минимум фиксированных платежей за счет чистой прибыли.
Можно также предложить следующие, так называемые упреждающие методы нейтрализации финансовых рисков (более трудоемки, требуют обширной предварительной аналитической работы). К ним относятся:
-Сокращение перечня форс-мажорных обстоятельств в контрактах с партнерами;
-Сбор и анализ дополнительной информации о финансовом рынке;
-Прогнозирование тенденций изменения внешней среды и конъюнктуры финансового рынка;
-Стратегическое планирование деятельности предприятия.
Предложенные мероприятия позволят ОАО «ТАИФ-НК» решить ряд проблем, связанных с финансовой политикой предприятия, найти новые возможности получения прибыли. На основе полученной прибыли можно сформировать более рациональную структуру собственного капитала.Список использованных источников и литературы
1. Антонян, Л. Роль и место риск-менеджмента в управлении компанией / Л. Антонян // Общество и экономика. – 2008. – №2. – С.100-114.2. Ахтулов, А.Л. Управление рисками: принципы и этапы / Ю.В. Бармотина // Российское предпринимательство. – 2009. – №3. – С.45-48.3. Бартон, Т. Комплексный подход к риск-менеджменту: стоит ли этим заниматься / Т. Бартон, У. Шенкир, П. Уокер. – М.: Вильямс, 2003. – 300 с.4. Батурин, В.Ю. Механизм формирования и реализации политики предприятия по управлению финансовыми рисками / В.Ю. Батурин // Проблемы экономики и управления нефтегазовым комплексом. – 2007. – №2. – С.35-38.5. Батурин, В.Ю. Финансовый риск как система управления экономическими отношениями / В.Ю. Батурин // Проблемы экономики и управления нефтегазовым комплексом. – 2007. – №1. – С.17-21.6. Бурдина, А.А. Влияние рисков на конкурентоспособность предприятия / А.А. Бурдина // Экономический анализ: теория и практика. – 2006. – №2. – С.7-15.7. Буянова, В.П. Рискология (управление рисками) / В.П. Буянова, К.А. Кирсанов, Л.М. Михайлов. – М.: Экзамен, 2003. – 384 с.8. Варечкина, А. Риск-менеджмент в системе управления / Таран С. // Общество и экономика. – 2007. – №1. – С.139-152.9. Галиева, Г.М. Экономическая сущность и определение риска / Г.М. Галиева // Вопросы экономических наук. – 2009. – №6. – С.8-9.10. Грабовой, В.Г. Риски в современном бизнесе / В.Г. Грабовой. – М.: АЛАНС, 1999. – 342 с.11. Дорохина, Е.Ю. Управление рисками в строительном концерне / Е.Ю. Дорохина // Российское предпринимательство. – 2009. – №6. – С.107-114.12. Есипов, В.Е. Оценка бизнеса / В.Е. Есипов, Г.А. Маховикова, В.В. Терехова. – СПб.: Питер, 2001. – 416 с.13. Журавлева, Н.А. Вперед-вперед к высотам обновленья! Риск-менеджмент компаний инфраструктурного комплекса страны в условиях выхода из кризиса / Н.А. Журавлева // Креативная экономика. – 2009. – №12. – С.97-101.14. Зайченко, В.Ю. Риск-менеджмент – неотъемлемая часть деятельности предприятий-недропользователей в условиях рыночной экономики / В.Ю. Зайченко // Проблемы экономики и управления нефтегазовым комплексом. – 2007. – №6. – С.31-34.15. Золотарев, В.С. Финансовый менеджмент / В.С. Золотарев. – Ростов н/Д: Феникс, 2000. – 224 с.16. Исаева, Н.А. Управление рисками предприятия с учетом требований современной экономики / Н.А. Исаева // Экономические науки. – 2009. – №5. – С.145-148.17. Кайль, В.Н. Место и роль рисков в современной экономике / В.Н. Кайль // Справочник экономиста. – 2008. – №9. – С.33-41.18. Кайль, В.Н. Управление рисками на основе комплексного подхода / В.Н. Кайль // Справочник экономиста. – 2008. – №6. – С.107-112.19. Ковалева, А.М. Финансы фирмы / А.М. Ковалева, М.Г. Лапуста, Л.Г. Скамай – М.: ИНФРА-М, 2000. – 416 с.20. Королева, Е.А. Управление рисками в системе функционального управления предприятием нефтегазового сервиса / Е.А. Королева // Проблемы экономики и управления нефтегазовым комплексом. – 2009. – №10. – С.19-22.21. Косовских, Е.А. Управление рисками и его организационная структура / Е.А. Косовских // Российское предпринимательство. – 2009. – №6. – С.62-67.22. Кравцова, Н.И. Подходы к применению приемов и методов финансового менеджмента в целях минимизации финансовых рисков коммерческих организаций / Н.И. Кравцова // Экономические науки. – 2009. – №5. – С.241-246.23. Крейнина, М.Н. Финансовый менеджмент / М.Н. Крейнина. – М.: Дело и Сервис, 1998. – 304 с.24. Лукасевич, И. Принципы управления финансовым риском / И. Лукасевич // Промышленный маркетинг. – 2009. – №5. – С.38-41.25. Малашихина, Н.Н. Риск-менеджмент / О.С. Белокрылова. – Ростов н/Д: Феникс, 2004. – 320 с.26. Осипенко, Т.В. Система управления рисками и План ОНиВД / Т.В. Осипенко // Деньги и кредит. – 2009. – №9. – С.20-23.27. Пелих, А.С. Основы предпринимательства / А.С. Пелих. – Ростов н/Д: Феникс, 2004. – 512 с.28. Поляков, А.В. Система управления рисками (виды, классификация, уровень рисков) / А.В. Поляков // Экономика и управление. – 2008. – №6. – С.118-121.29. Проданова, Н.А. Финансовый менеджмент / Н.А. Проданова. – Ростов н/Д: Феникс, 2006. – 336 с.30. Сафронов, Н.А. Экономика организации (предприятия) / Н.А. Сафронов.– М.: Экономистъ, 2004. – 618 с.31. Стрижакова, Е.Н. Внедрение интегрированного управления рисками на промышленном предприятии / Д.В. Стрижаков // Менеджмент в России и за рубежом. – 2006. – №3. – С.112-117.32. Хохлов, Н.В. Управление риском / Н.В. Хохлов. – М.: ЮНИТИ-ДАНА, 2001. – 239 с.33. Цакаев, А.Х. Комплексный риск-менеджмент / А.Х. Цакаев // Менеджмент в России и за рубежом. – 2005. – №2. – С.31-38.34. Черкасов, В.В. Проблемы риска в управленческой деятельности / В.В. Черкасов. – М.: Рефл-бук, 2002. – 320 с.35. Шапкин, А.С. Теория риска и моделирование рисковых ситуаций / В.А. Шапкин. – М.: Дашков и Ко, 2006. – 880 с.36. Шихов, А.К. К вопросу о предпринимательских и финансовых рисках / А.А. Шихов // Страховое дело. – 2005. – №6. – С.40-48.37. Яковлева, И.Н. Как оценивать финансовые риски компании на базе бухгалтерской отчетности / И.Н. Яковлева // Справочник экономиста. – 2008. – №5. – С.23-31.38. Яковлева, И.Н. Справочник по финансовой стратегии и тактике / И.Н. Яковлева. – М.: Профессиональное издательство, 2009. – 336 с.39. Яковлева, И.Н. Управление финансовыми рисками компании. Часть 1 / И.Н. Яковлева // Справочник экономиста. – 2009. – №7. – С.14-22.40. Яковлева, И.Н. Управление финансовыми рисками компании. Часть 2 / И.Н. Яковлева // Справочник экономиста. – 2009. – №8. – С.51-57. |