Банк рефератов содержит более 364 тысяч рефератов, курсовых и дипломных работ, шпаргалок и докладов по различным дисциплинам: истории, психологии, экономике, менеджменту, философии, праву, экологии. А также изложения, сочинения по литературе, отчеты по практике, топики по английскому.
Реклама
Полнотекстовый поиск
Всего работ:
364139
Теги названий
Реклама
VisitTime.ru помогает быстро организовать онлайн-запись клиентов и держать расписание под контролем.
📅 Настройте услуги и длительность приёма, откройте свободные окна — и клиенты запишутся сами в пару кликов.
🕒 Вы избегаете накладок, меньше тратите времени на переписки и звонки, а автоматические напоминания повышают явку.
💡 Отличное решение для мастеров, студий и сервисных команд, которым важны порядок и стабильная загрузка.
Начать пользоваться сервисом



Разделы
Авиация и космонавтика (304)
Административное право (123)
Арбитражный процесс (23)
Архитектура (113)
Астрология (4)
Астрономия (4814)
Банковское дело (5227)
Безопасность жизнедеятельности (2616)
Биографии (3423)
Биология (4214)
Биология и химия (1518)
Биржевое дело (68)
Ботаника и сельское хоз-во (2836)
Бухгалтерский учет и аудит (8269)
Валютные отношения (50)
Ветеринария (50)
Военная кафедра (762)
ГДЗ (2)
География (5275)
Геодезия (30)
Геология (1222)
Геополитика (43)
Государство и право (20403)
Гражданское право и процесс (465)
Делопроизводство (19)
Деньги и кредит (108)
ЕГЭ (173)
Естествознание (96)
Журналистика (899)
ЗНО (54)
Зоология (34)
Издательское дело и полиграфия (476)
Инвестиции (106)
Иностранный язык (62791)
Информатика (3562)
Информатика, программирование (6444)
Исторические личности (2165)
История (21319)
История техники (766)
Кибернетика (64)
Коммуникации и связь (3145)
Компьютерные науки (60)
Косметология (17)
Краеведение и этнография (588)
Краткое содержание произведений (1000)
Криминалистика (106)
Криминология (48)
Криптология (3)
Кулинария (1167)
Культура и искусство (8485)
Культурология (537)
Литература : зарубежная (2044)
Литература и русский язык (11657)
Логика (532)
Логистика (21)
Маркетинг (7985)
Математика (3721)
Медицина, здоровье (10549)
Медицинские науки (88)
Международное публичное право (58)
Международное частное право (36)
Международные отношения (2257)
Менеджмент (12491)
Металлургия (91)
Москвоведение (797)
Музыка (1338)
Муниципальное право (24)
Налоги, налогообложение (214)
Наука и техника (1141)
Начертательная геометрия (3)
Оккультизм и уфология (8)
Остальные рефераты (21692)
Педагогика (7850)
Политология (3801)
Право (682)
Право, юриспруденция (2881)
Предпринимательство (475)
Прикладные науки (1)
Промышленность, производство (7100)
Психология (8692)
психология, педагогика (4121)
Радиоэлектроника (443)
Реклама (952)
Религия и мифология (2967)
Риторика (23)
Сексология (748)
Социология (4876)
Статистика (95)
Страхование (107)
Строительные науки (7)
Строительство (2004)
Схемотехника (15)
Таможенная система (663)
Теория государства и права (240)
Теория организации (39)
Теплотехника (25)
Технология (624)
Товароведение (16)
Транспорт (2652)
Трудовое право (136)
Туризм (90)
Уголовное право и процесс (406)
Управление (95)
Управленческие науки (24)
Физика (3462)
Физкультура и спорт (4482)
Философия (7216)
Финансовые науки (4592)
Финансы (5386)
Фотография (3)
Химия (2244)
Хозяйственное право (23)
Цифровые устройства (29)
Экологическое право (35)
Экология (4517)
Экономика (20644)
Экономико-математическое моделирование (666)
Экономическая география (119)
Экономическая теория (2573)
Этика (889)
Юриспруденция (288)
Языковедение (148)
Языкознание, филология (1140)

Контрольная работа: Финансовое планирование. Необходимость и задачи финансового планирования

Название: Финансовое планирование. Необходимость и задачи финансового планирования
Раздел: Рефераты по финансовым наукам
Тип: контрольная работа Добавлен 09:33:05 18 января 2009 Похожие работы
Просмотров: 642 Комментариев: 19 Оценило: 2 человек Средний балл: 5 Оценка: неизвестно     Скачать

Финансовое планирование. Необходимость и задачи финансового планирования.


Основная задача финансового планирования состоит в том, чтобы представить предполагаемую производственно-хозяйственную деятельность предприятия и необходимые для ее реализации управленческие решения в производственно-хозяйственных или финансово-экономических расчетных величинах и проанализировать, как эти решения повлияют на доходы и расходы предприятия.

Финансовое планирование, или планирование платежей имеет дело со всеми потоками платежей. Оно необходимо для того, чтобы формировать все приходящие и уходящие потоки платежей внутри предприятия и между предприятием и внешней средой с учетом состояния платежных средств за один или несколько периодов. Потоки платежей и запасы платежных средств для финансового планирования нужно определять по виду, величине и моменту времени их наступления исходя из предполагаемой деятельности предприятия в планируемом периоде. Это позволяет заранее иметь информацию об ожидаемых процессах платежей.

Финансовое планирование служит в первую очередь для сохранения финансового равновесия предприятия, а с другой стороны препятствует накоплению излишних ликвидных средств. Поскольку устанавливать неплатежеспособность ex-post слишком поздно, гораздо большее значение придается прогнозам ликвидности и финансовому планированию на предприятии. Это необходимо для того, чтобы своевременно предоставлять необходимые финансовые средства для реализации как долгосрочных, так и краткосрочных решений.

В долгосрочном плане необходимо заботиться о сохранении структурного финансового равновесия в форме согласования потребности капитала (инвестиции) и покрытия этой потребности (финансирование). Это структурное финансовое равновесие, которое можно соблюдать с помощью правил финансирования (см. главу 6). В краткосрочном периоде финансовое равновесие достигается через текущее согласование поступлений/доходов и расходов и тем самым гарантируется ситуативная ликвидность. С помощью финансового планирования можно также контролировать ситуацию с платежами (избыток или дефицит платежных средств) и обеспечивать необходимую величину ликвидных резервов.

Финансовое планирование должно охватывать все финансово-экономические и производственно-хозяйственные процессы, а следовательно, и все платежи внутри предприятия и связывающие его с внешней средой, а именно:

Реклама

•планирование потока денежных средств, исходя из состояния платежных средств на начало периода;

•планирование инвестиций и дезинвестиций;

•планирование внешнего финансирования и дефинансирования;

•планирование резервов ликвидности для определения желаемого состояния платежных средств в конце периода.

Выполнить эффективно эту задачу можно только в рамках одновременного планирования, т.е. с учетом всех платежей, возникающих в ходе планирования производственной программы и потенциала предприятия. Чтобы связать все расчеты Друг с другом, разрабатывают интегрированное общее планирование на предприятии, или систему планирования. Подобное интегрированное планирование, схема которого представлена на рис. 10.10, позволяет модифицировать эти платежи с тем, чтобы не возникло финансовое неравновесие.

Иначе говоря, финансовое планирование представляет собой финансовое обеспечение хозяйственной деятельности предприятия и образует основу для принятия финансовых решений. Вот почему финансовое планирование является сердцевиной планирования на предприятии. Кроме того, взаимосвязь планирования финансовых процессов на предприятии вытекает из взаимосвязей инвестиций и финансирования. Поэтому и финансовое планирование пи предприятии должно быть общим, охватывающим все отделы и сферы его деятельности.


Рис. Пример интегрированного финансового планирования

Финансовое планирование может быть как производным, так и первичным планированием. Как производное, финансовое планирование выводится из первичного планирования сбыта, производства, снабжения, персонала, инвестиций и мощностей предприятия. При первичном финансовом планировании речь идет о планировании всех платежей (поступлений и выплат) на предприятии в связи с производственным планированием.

Количественное формирование процессов на предприятии связано с финансовым хозяйством, задача которого — обеспечить определенный фонд капитала для реализации всех решений. Производственно-хозяйственные процессы и их изменения сопровождаются связыванием капитала и его высвобождением, т.е. процессами инвестирования и финансирования. Связанные с ними движения финансовых средств должны быть отражены в финансовом плане. Финансовое планирование выполняет функцию учета и переработки финансовых последствий всех принятых при планировании производства решений. Процесс финансового планирования начинается с получения информации из планов производства и данных аналитического учета. Затем эта информация анализируется и преобразуется в финансовую информацию. Наконец, с помощью прогнозирования поступлений и выплат через соответствующие мероприятия пытаются прийти к выравниванию платежей. На рис. 10.11. приведена схема процесса финансового планирования.

Реклама

Финансовое планирование должно быть дополнено финансовым контролем, который представляет собой систематическое, регулярное и институционализированное сравнение запланированных и реализованных (фактических) платежей и запасов платежных средств. Только через финансовый контроль можно определить эффективность финансового планирования.

Виды и цели финансового планирования

Различают краткосрочное и долгосрочное финансовое планирование. Краткосрочное финансовое планирование — до одного года, а долгосрочное — более одного года.

Задачи краткосрочного финансового планирования состоят в следующем:

•своевременно выявлять проблемы, связанные с ликвидностью предприятия;

•управлять потоками платежей, опираясь на критерий ликвидности и рентабельности.

В соответствии со строгостью постулата ликвидности финансовое планирование должно отвечать таким требованиям:

•заниматься будущими поступлениями и выплатами;

•содержать все поступления и выплаты, не сальдируя их;

•показывать фактические поступления и выплаты ежедневно, т.е. указывать точное время их наступления.

Приведенные требования относятся только к краткосрочному финансовому планированию. Для долгосрочного они вряд ли выполнимы, поскольку чем дальше период планирования, тем менее точно можно оценить будущее финансовое положение предприятия. Поэтому перед краткосрочным финансовым планированием стоит задача управления текущей ликвидностью, а долгосрочное в большей мере ориентируется на структурные взаимосвязи в оснащенности предприятия капиталом и использовании этого капитала для гарантии ориентированной на баланс структурной ликвидности. Краткосрочное финансовое планирование детализирует долгосрочное и среднесрочное финансовое планирование в течение 12 месяцев и служит для более точного согласования ожидаемых потоков поступлений и выплат.


Рис. Схема процесса финансового планирования

С учетом краткосрочного и долгосрочного периодов функционирования предприятия финансовое планирование можно представить схематично в виде планирования отдельных финансовых потоков и запасов (рис.)


Рис. Виды финансового планирования и планирование отдельных финансовых потоков

Разделение между планированием структурной потребности в капитале и фонда капитала, с одной стороны, ^управлением ситуативной ликвидностью, с другой, соответствует практическим соображениям. При этом решающим' считается специальный характер строгого постулата ликвидности. Планирование потребности в капитале и фонда капитала связано с формированием финансовой политики предприятия, его долгосрочного финансового поведения. Здесь желательно структурно (т.е. долгосрочно) согласовывать финансовые процессы по критерию ликвидности и рентабельности. Для принятия оптимальных инвестиционных решений используются финансово-экономические расчеты. При планировании фонда капитала подробнее рассматриваются альтернативные инструменты финансирования, которыми может воспользоваться предприятие, их преимущества и недостатки. При управлении ситуативной ликвидностью речь идет о непрерывных и точно по дням согласованных процессах платежей.

Инструментами краткосрочного планирования является краткосрочный финансовый план, а долгосрочного — план баланса, план доходов и затрат, план баланса движения и план движения потока финансовых средств.

Финансовое планирование необходимо не только для улучшения платежеспособности предприятия, но и самому руководителю для предотвращения ситуации нехватки финансовых средств и их излишка. Речь идет о том, чтобы постоянно контролировать ситуацию и стараться не допускать недостатка средств.

При планировании потоков платежей в центре внимания должно находиться многолетнее (долгосрочное) финансовое планирование, поскольку оно в основном определяет финансовые структуры и тем самым задает рамки краткосрочного финансового планирования. Ежедневное финансовое планирование ведет к управлению краткосрочными поступлениями и вложениями капитала и тем самым к модели управления cash-flow.


Многолетнее и годовое финансовое планирование

Задача многолетнего финансового планирования состоит в определении потребности в капитале для предполагаемых процессов производства и обеспечении этой потребности. Предметом такого планирования являются изменения запасов в балансе, вызванные соответствующими необходимыми для процесса производства расходами и приходом средств, или затратами и доходами. Ликвидность при этом определяется опосредовано через соблюдение норм структуры баланса (гарантия структурной ликвидности). От структурной ликвидности зависит адекватное обеспечение капиталом и в том числе финансовыми резервами, а значит— и платежеспособность предприятия. Поэтому многолетнее финансовое планирование всегда представляет собойпланирование структуры капитала или планирование структуры баланса (см. рис. 10.12).

Инструментом многолетнего финансового планирования является план баланса, который составляется на основе плана доходов и затрат. Мероприятия, ведущие к образованию запасов и влияющие на прибыль, планируют в виде процессов использования капитала (финансирования), а его высвобождение — в плане образования капитала или плане источников средств. В основе составления такого плана образования капитала лежит идея о том, что все мероприятия, проводимые с имуществом и капиталом предприятия, связаны с процессом оборота, т.е. с процессами платежей. На этой идее основывается и метод составления плана баланса движения.

В качестве другого инструмента можно применять план движения потока денежных средств. Он позволяет через разделение запланированных процессов платежей на источники средств и направления их использования, а также выведение фонда запасов платежных средств наглядно представлять и описывать будущую ситуацию на предприятии с помощью процессов финансирования.

Как составить годовой финансовый план

Прибыль и ликвидность как финансовые цели предприятия в любой период времени взаимосвязаны и взаимновлияют друг на друга. Поэтому при составлении финансового плана необходимо учитывать как производственно-хозяйственную, так и финансово-экономическую деятельность предприятия.

Особое внимание при этом следует обращать на взаимосвязи между финансовым планированием, планированием баланса и прибыли. Взаимосвязь между этими блоками информации для финансового планирования представлена на рис. 10.13.


Рис. Система интегрированного планирования на предприятии

Игнорирование этих взаимосвязей может привести к опасным последствиям для финансового положения предприятия.

Годовой финансовый план представляет собой сопоставление поступлений и расходов в течение года. Чтобы учесть при составлении финансового плана приведенные выше взаимосвязи, необходимо провести ряд расчетов по финансированию (см. рис. 10.2). При этом расчетные величины запасов и потоков нужно объединить и следующие три блока расчетов или три плана:

•план доходов и расходов;

•план баланса;

•план расчетов по финансированию, или финансовый план.

С помощью этих трех видов расчетов можно учесть и показать взаимосвязи между отдельными планами предприятия и финансовыми величинами (прибыль, ликвидность, имущество, капитал) и на этой основе разрабатывать альтернативные планы. В этом, собственно, и состоит смысл планирования, и финансового в том числе. Кроме того, такой подход к финансовому планированию ориентирует на финансово-экономическое мышление, так как составление планов наряду с доходами и расходами выходит на проблему ответственности за ликвидность. А поскольку финансовый план составляется для всего предприятия, то возникает необходимость централизованного финансового управления с задачами распределения средств по подразделениям и их ограничения (жить в рамках бюджета). При таком подходе финансовое планирование на базе финансовых расчетов может быть инструментом управления предприятием. В качестве примера сошлемся на расчетные таблицы приведенного в приложении бизнес-плана.

Составить финансовый план или провести расчеты по планированию платежей можно двумя способами.

В первом случае исходным пунктом является планирование оборота, выручки, издержек и сумм покрытия для определенных продуктов и программ продуктов по периодам, которое осуществляют на базе планов сбыта, производства и снабжения. На основании расчетов издержек и выручки определяют планируемую расчетную прибыль для всего предприятия как результат производственной деятельности. Для определения рентабельности всего применяемого капитала (ROI) расчетную прибыль соотносят со стоимостью применяемого имущества.

Затем, исходя из запланированной расчетной производственной прибыли и с учетом расчета прибылей/убытков (от коммерческой или другой, не связанной с производством деятельности), а также планирования баланса, определяют балансовую прибыль всего предприятия. Важнейшими факторами, влияющими на выведение балансовой прибыли из расчетной, являются: выплата дивидендов, амортизация и соответствующие налоговые выплаты. Эти расчеты позволяют спланировать рентабельность собственного капитала как отношение годовой балансовой прибыли к собственному капиталу предприятия.

Далее, прибавив к чистой прибыли амортизацию (при соответствующей корректировке), получают поток денежных средств (cash-flow). Этот поток представляет собой имеющийся в распоряжении предприятия излишек поступлений над выплатами, как излишек доходов от реализации над затратами.

Для получения голоного финансового плана необходимо рассчитан, поступления и расходы в течение одного года. Их можно вывести по аналогии с отчетом о движении финансовых средств. Но если отчет составляется на основании фактического баланса и баланса движения, то планируемые финансовые потоки получают на основании информации из плана баланса и плана о прибылях и убытках. Техника обработки запланированной информации такая же, как и при составлении отчета о движении денежных средств. Вначале выводят cash-flow на основании плана о прибылях и убытках. Затем к нему подключают нейтральные для прибыли инвестиционные и финансовые процессы. Они воплощаются в статьях баланса движения.

Затем на базе полученного потока денежных средств составляют финансовый план (как сопоставление выплат и поступлений соответствующих периодов) с учетом имеющихся платежных средств на начало планируемого периода и запланированного в конце периода количества платежных средств, т.е. определенных ликвидных резервов (ликвидное сальдо). Примерная схема финансового плана приведена на рис. 10.14.

Поступления Выплаты
1. Платежные средства на начало периода

1.Выплаты по приобретению всех ресурсов, включая заработную плату.

2. Выплаты по финансированию.

3. Выплаты налогов.

4. Выплаты по инвестированию.

5. Выплаты по погашению кредита.

6.Выплаты в связи с выходом учредителем.

7. Платежные средства на конец периода (ликвидные резервы/сальдо).

2. Поступления от реализации.

3. Поступления от финансовых наложений (дивиденды, проценты).

4. Поступления из бюджета

5. Поступления от дезинвестиций

6. Получение кредита.

7. Поступления от учредителей.

Рис. Примерная схема финансового плана

Приведенный финансовый план позволяет структурировать информацию по финансовым потокам и использовать этот план в качестве инструмента управления финансами предприятий.

Выведенные таким образом из планирования прибылей и убытков, а такжепланирования баланса поступления и расходы рассматриваемого периода называют производным годовым финансовым планированием. Инструментами его составления являются план баланса для планирования структуры баланса сучетом нормативных показателей, а также брутто-баланс движения для согласования источников средств и их использования по балансу. Годовой финансовый план, выведенный по принципу баланса движения и расчета движения финансовых потоков на базе планирования прибылей и убытков, а также балансаизменения запасов, является связующим звеном с многолетним финансовым планированием.

Возникающие при этом взаимосвязи представлены на рис. 10.15.

Расчет прибыли Баланс движения Финансовые расчеты

Затраты доходы + А/-Р +Р/-А поступления доходы

1. Платежи, связанные с прибылью

Поступления прибыли (платежи)

Расходы для прибыли

Доходы, не сопровождающиеся платежами

Расходы, не сопровождающиеся платежами

2. Платежи по инвестициям и финансовые платежи

Расходы по инвестициям

Расходы по кредитам

Расходы по собственному капиталу

Поступления от дезивестиций

Поступления кредитования

Поступления собственного капитала

3. Сальдо прибыли

4. Сальдо ликвидности

При другом способе финансового планирования финансовый план выводится на базе выплат и поступлений из отдельных планов на предприятии. Поток денежных средств в данном случае рассчитывается, с одной стороны, как сумма таких потоков из отдельных планов на основе прогнозируемых цен и объема выпуска, а с другой — на базе выплат дивидендов, процентов по кредитам, налогов для всего предприятия. Выплаты и поступления берут непосредственно из стратегического плана инвестиций и дезинвестиций и т.д. На базе такого планирования платежей выводят балансовую прибыль, из которой затем получают расчетную прибыль.

Годовое финансовое планирование можно осуществлять с помощью компьютера. Для этого необходима информация о существующих соотношениях между статьями баланса, полученная в результате анализа финансового положения предприятия, а также о некоторых соотношениях из анализа прибыли в виде показателей (например, доля дебиторской задолженности в обороте). При наличии таких данных можно планировать статьи баланса и отчета о прибылях и убытках, а также прогнозировать развитие полученных показателей на перспективу. Задавая определенные плановые данные, компьютер позволяет делать необходимые расчеты для прибыли и определять планируемую прибыль. Затем эти данные преобразуют в план баланса. Такие расчеты можно проводить для любого периода планирования в рамках одного года и на несколько лет вперед.

Для финансового планирования обходима следующая информация: оборот (выручка от реализации), затем на материал, персонал, амортизацию, основные средства, изменения в виде налогов, прочие отчисления и выплаты дивидендов. На основании этих данных можно рассчитывать другие статьи баланса и отчета о прибылях и убытках. Планирование потока денежных средств поможет показать источник направления использования средств в планируемом периоде.

Планирование ликвидности (краткосрочное планирование)

Планирование ликвидности как краткосрочное планирование осуществляется в рамках многолетнего финансового планирования внутри заданной структуры для учета движения отдельных платежей. Период планирования может составлять от одного до трех месяцев. Исходя из первичной задачи планирования ликвидности — обеспечивать ситуативную платежеспособность предприятия, следует, что краткосрочный финансовый план занимается конкретными платежами на предприятии. В таком плане необходимо определить будущие поступления и выплаты по времени и по величине таким образом, чтобы не возникало проблем с платежеспособностью. Его основными элементами являются поступления и выплаты, а также запас платежных средств на начало и конец планируемого периода. Кроме того, в рамках планирования ликвидности необходим прогноз движения всех платежей в планируемом периоде.

Под финансовым планом понимается систематический учет и сопоставление ожидаемых в течение определенного периода времени поступлений и выплат, а также вытекающие из них необходимые распоряжения финансовыми средствами. Величины платежей входят в финансовый план, который, в зависимости от вида, может состоять из плана поступлений, плана выплат и плана распоряжений (привлечение дополнительных средств или рентабельные вложения).

Основой ориентированного на платежи финансового планирования являются поступления и расходы как отражение производственно-хозяйственных процессов рассматриваемого периода. Исходя из запасов платежных средств на начало периода, можно вывести состояние (платежеспособности) на конец нового периода. Такое финансовое планирование в принципе имеет следующую основную структуру (рис. )

Характерными признаками такого плана являются, с одной стороны, запасы платежных средств, а с другой — движение платежей. Платежеспособность на определенный момент времени определяется как сумма денежных средств в кассе, денежных средств на счетах, а также из предоставленных, но еще не полученных кредитных средств.

Период планирования

(день, неделя, месяц)

Статьи:

I II III IV V

1. Платежные средства на начало периода (платежеспособность)

(излишек/дефицит)

15

20

План поступлений из

2. Сумма плана расходов

30

План расходов для

3. Сумма плана расходов

25

4. Запас платежных средств на конец периода (излишек/дефицит средств)

1+2-3

20

Рис. 10.16. Основная структура финансовых планов

Для планирования платежей и определения ликвидности интерес представляют только ожидаемые выплаты и поступления в определенном размере и к определенному моменту времени. Дисконтирование поступлений и выплат позволит сделать эти величины сравнимыми для будущих периодов. Но поскольку прогнозировать потоки платежей (выплаты/поступления) трудно из-за неполной информации, то и финансовое равновесие можно определить с некоторым риском. Возможность риска и предполагает определение ликвидных резервов.

Исходя из приведенной основной структуры финансового плана, можно структурировать движение запланированных платежей по различным критериям. На рис. 10.17 приведена одна из возможных структур движения платежей.

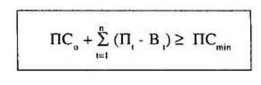
С помощью такого финансового плана можно выявлять узкие места с ликвидностью и излишки платежных средств. Принцип краткосрочного финансового планирования можно представить в виде следующего соотношения:


Псо - запас платежных средств на начало планируемого периода

Ц - поступления платежей в течение периода t

В, - выплаты в течение периода t

ПСшш - запланированный запас платежных средств для обеспечения гарантии

Такое финансовое равновесие должно сохраняться для всех последующих периодов планирования. При сопоставлении потоков платежей выявляют вероятную потребность в финансовых средствах или их излишек. Покрытие этойпотребности, либо рентабельные вложения излишков, требует принятии определенных решений.

Источниками информации для составления движения платежей служат прогнозные данные аналитического учета и данные отдела сбыта, производства, снабжения и т.д. Критическим потоком платежей являются посту! i гения из оборота (от реализации продукции), поскольку они составляют основную долю всех поступлений, но подвержены колебаниям. Менее проблематичными являются фиксированные выплаты за сырье и материалы, заработной платы, процентов, погашение кредитов и др. Такие выплаты и их время известны достаточно точно.

(1) Платежеспособность (состояние на начало периода)

(2) Поступления

Поступления из производства:

-обороты (выручка)

-от продажи материальных активов (имущества)

-прочие

Поступления из непроизводственной сферы; Поступления из финансовой сферы:

-от поступлений капитала

-от дезинвестиций финансовых активов

-от доходов но фиансированию

(3)Расходы

''Расходы в сфере производства:

-на метериалы

-на персонал

-на услуги сторонних организаций

-на налоги

-прочие

Расходы на инвестиции в сфере производства; Расходы во внепроизводственной сфере; Расходы в сфере финансирования:

-на погашение капитала (кредита)

-на инвестиции в финансовой сфере

-на затраты по финансированию

(4) Платежеспособность (на конец периода)


Рис. 10.17. Структура платежей

Дефицит финансовых средств

В краткосрочном периоде финансовый план служит для гарантии ликвидности. Он показывает излишек или недостаток платежей с учетом запасов платежных средств.

Выявленный с помощью финансового плана дефицит платежных средств по своей природе может быть либо временным, либо носить структурный характер. Временный дефицит платежных средств может возникать в определенные периоды времени, но он не мешает в целом достигать финансового равновесия (см. рис. 10.18 ).

январь февраль март апрель май июнь июль
Платежные средства на начало периода 100 100 -100 -100 0 100 200
Поступления 200 200 200 200 200 200 200
Выплаты 200 400 200 100 100 100 100
Платежные средства на конец периода 100 -100 -100 0 100 200 300

Рис. 10.18 Открытый дефицит финансовых средств в отдельных периодах

Если финансовый план не удается привести к равновесию в течение нескольких периодов, значит, между поступлениями и выплатами существует структурное неравновесие (см. рис. 10.19).

январь февраль март апрель май июнь Итого
Платежные средства на начало периода 100 100 -100 -200 -250 -350
Поступления 200 300 200 150 100 200 1150
Выплаты 200 500 300 200 200 300 1700
Платежные средства на конец периода 100 -100 -200 -250 -350 -450 -450

Рис. 10.19. Структурное неравновесие в финансовом плане

Дефицит финансовых средств не всегда проявляется открыто. Например, финансовый план может показывать излишек финансовых средств, хотя прогноз на перспективу показывает ухудшение ликвидности. Причина такого положения может состоять в следующем:

•поступления запланированы слишком оптимистично, а выплаты — слишком осторожно;

•из-за слишком общего периода планирования структура движения платежей не детализирована.

Скрытый дефицит финансовых средств вследствие слишком общего периода планирования можно выявить при детализации периода планирования. Такая ситуация показана на рис. 10.20. Исходные данные за май взяты из примера, представленного на рис. 10.18. В этом периоде в результате превышения поступлений (200 млн.руб.) над расходами (100 млн.руб.) платежные средства в конце периода возросли с 0 до 100 млн.руб. Более детальный анализ в течение месяца показывает, что основная величина поступлений ожидается только в конце месяца, а расходы предстоят в самом начале.

Оценить/Добавить комментарий
Имя
Оценка
Комментарии:
Хватит париться. На сайте FAST-REFERAT.RU вам сделают любой реферат, курсовую или дипломную. Сам пользуюсь, и вам советую!
Никита19:27:35 02 ноября 2021
.
.19:27:32 02 ноября 2021
.
.19:27:26 02 ноября 2021
.
.19:27:26 02 ноября 2021
.
.19:27:24 02 ноября 2021

Смотреть все комментарии (19)
Работы, похожие на Контрольная работа: Финансовое планирование. Необходимость и задачи финансового планирования

Назад
Меню
Главная
Рефераты
Благодарности
Опрос
Станете ли вы заказывать работу за деньги, если не найдете ее в Интернете?

Да, в любом случае.
Да, но только в случае крайней необходимости.
Возможно, в зависимости от цены.
Нет, напишу его сам.
Нет, забью.



Результаты(294402)
Комментарии (4230)
Copyright © 2005 - 2024 BestReferat.ru / реклама на сайте