Министерство образования и науки Российской Федерации
ОРЕНБУРГСКИЙ ИНСТИТУТ ЭКОНОМИКИ И КУЛЬТУРЫ
Кафедра экономики и менеджмента
КУРСОВАЯ РАБОТА
подисциплине «Деньги. Кредит. Банки»
"Инфляция"
Оренбург, 2009 г.
Содержание
Введение
1 Теоретические основы возникновения инфляции
1.1 Понятие и сущность инфляции
1.2 Анализ основных причин и предпосылок возникновения инфляции
1.3 Характеристика основных форм и видов инфляции
1.4 Методы, границы и противоречия регулирования инфляции
2 Анализ инфляционных процессов для стран с развивающейся экономикой на примере Российской Федерации
2.1 Причины инфляции и роста цен в России
2.2 Инфляция и риски для кредитоспособности стран с развивающейся экономикой
2.3 Перспективные направления антиинфляционной политики в России
Заключение
Список литературы
Приложение 1 Показатели инфляции в России в 2000–2009 гг.
Приложение 2 Динамика темпа инфляции в 2000–2006 гг.
Приложение 3 Динамика регулируемых цен (тарифов) на продукцию (услуги) естественных монополий и услуги ЖКХ в среднем по России (в %, за годовой период)
Приложение 4 Денежная база, денежная масса и валютные резервы
Приложение 5 Темпы роста денежной базы в широком определении и денежной массы М2 и уровень снижения инфляции
Введение
Актуальность проблемы исследования.
Деньги – один из основных феноменов экономической жизни – выступают в качестве реальной связи хозяйствующих субъектов государства. Нет ничего удивительного в том, что теории денежного обращения посвящали свои труды, выдающиеся мыслители прошлого времени и нынешней эпохи. Основное внимание читателя сосредоточено на важнейшей функции денежного обращения – его устойчивости по отношению к внутренним и внешним факторам. Речь идет о проблеме инфляции.
В последнее время, а если точнее – с конца 90‑го года, понятие «инфляция» буквальным образом ворвалось в нашу жизнь. Совсем мало времени прошло с тех пор, когда в нашей стране официальной наукой и пропагандой отрицалась сама возможность инфляции при социализме. А инфляция по существу была, хотя в большей мере в скрытой форме. Деньги утрачивали свою значимость даже при стабильных ценах из-за хронического дефицита товаров.
Теперь инфляция стала явной, ее масштабы нарастают. Но при всем обилии информации на эту тему, население знает о ней слишком поверхностно. Инфляцию не зря называют проблемой века. Многие страны мира в результате инфляционных кризисов испытали болезненную полосу развития, прежде чем удалось привести экономику к стабильности.
Забиваем Сайты В ТОП КУВАЛДОЙ - Уникальные возможности от SeoHammer
Каждая ссылка анализируется по трем пакетам оценки: SEO, Трафик и SMM.
SeoHammer делает продвижение сайта прозрачным и простым занятием.
Ссылки, вечные ссылки, статьи, упоминания, пресс-релизы - используйте по максимуму потенциал SeoHammer для продвижения вашего сайта.
Что умеет делать SeoHammer
— Продвижение в один клик, интеллектуальный подбор запросов, покупка самых лучших ссылок с высокой степенью качества у лучших бирж ссылок.
— Регулярная проверка качества ссылок по более чем 100 показателям и ежедневный пересчет показателей качества проекта.
— Все известные форматы ссылок: арендные ссылки, вечные ссылки, публикации (упоминания, мнения, отзывы, статьи, пресс-релизы).
— SeoHammer покажет, где рост или падение, а также запросы, на которые нужно обратить внимание.
SeoHammer еще предоставляет технологию Буст, она ускоряет продвижение в десятки раз,
а первые результаты появляются уже в течение первых 7 дней.
Зарегистрироваться и Начать продвижение
Какие существуют виды и формы инфляции, почему развивается инфляция, как протекают инфляционные процессы в странах с развивающейся экономикой и каким образом можно снизить темп инфляции – эти и другие вопросы будут рассмотрены в данной работе.
Объект исследования:
инфляция.
Предмет исследования:
формы, виды инфляции, причины и предпосылки ее возникновения.
Целью исследования
является рассмотрение теоретических основ возникновения инфляции, исследование причин инфляции и роста цен в России, анализ инфляционных процессов для стран с развивающейся экономикой, раскрытие направлений антиинфляционной политики в РФ.
Для достижения поставленной цели в работе сформулированы следующие задачи:
1. исследовать теоретические основы возникновения инфляции;
2. рассмотреть формы и виды инфляции;
3. раскрыть причины и предпосылки возникновения инфляции;
4. исследовать причины инфляции и роста цен в РФ;
5. провести анализ инфляционных процессов для стран с развивающейся экономикой;
6. раскрыть перспективные направления антиинфляционной политики в России.
Методологической основой
работы послужили результаты фундаментальных исследований по данным проблемам российских авторов (Борисова Е.Ф., Виноградова В.В., Иванова В.В., Красавиной Л.Н., Лаврушина О.И. и др.), зарубежных исследователей (Коултон Б., Райли Д.).
Практическая и теоретическая значимость исследования
заключается в следующем: раскрыты теоретические основы возникновения инфляции, рассмотрены формы и виды инфляции, исследованы причины и предпосылки возникновения инфляции, рассмотрены причины инфляции и роста цен в России, сделан анализ инфляционных процессов для стран с развивающейся экономикой, раскрыты направления антиинфляционной политики в России.
Структура работы:
курсовая работа состоит из введения, трех глав, заключения, списка использованных источников, содержит 5 приложений.
1 Теоретические основы возникновения инфляции
1.1 Понятие и сущность инфляции
Термин «инфляция» (от лат. inflatio– вздутие) впервые ввел в оборот 1864 г. американский экономист А. Делмар. Основанием явилось то обстоятельство, что в период Гражданской войны в США (1861–1865 гг.) Федеральное правительство для покрытия дефицита госбюджета выпускало громадном количестве неразменные на золотые монеты банкноты и казначейские билеты – «гринбакс» («greenbacks» – «зеленые спинки»). Широкое распространение в западной экономической литературе понятие инфляции получило в XX в. после Первой мировой войны, а в советской экономической литературе – с середины 1920-х гг.
Сервис онлайн-записи на собственном Telegram-боте
Попробуйте сервис онлайн-записи VisitTime на основе вашего собственного Telegram-бота:
— Разгрузит мастера, специалиста или компанию;
— Позволит гибко управлять расписанием и загрузкой;
— Разошлет оповещения о новых услугах или акциях;
— Позволит принять оплату на карту/кошелек/счет;
— Позволит записываться на групповые и персональные посещения;
— Поможет получить от клиента отзывы о визите к вам;
— Включает в себя сервис чаевых.
Для новых пользователей первый месяц бесплатно.
Зарегистрироваться в сервисе
Однако явление инфляции, понимаемой как обесценение денег, снижение их покупательной способности, исторически возникло вместе с рождением самих денег в виде монет. Первичным проявлением инфляции стали чеканка властями (или отдельными лицами – фальшивомонетчиками) избыточного количества неполноценных (по весу и качеству металла) монет и выпуск их в обращение по номиналу полноценных.
В эпоху позднего средневековья широко практиковалась замена государствами и городами серебряных монет медными при сохранении прежнего денежного номинала. Такая операция, приносившая крупный доход властям, выливала сильную инфляцию медных денег, являвшихся лишь символами действительных денег – серебряных. Монетная инфляция широко практиковалась в XVI–XVIII вв. в России. Неоднократно понижалась так называемая стопа – содержание металла в серебряных монетах. Громадные штабы принял выпуск неполноценных медных монет в России при цареАлексее Михайловиче в 1654–1662 гг., когда из одного фунта меди, рыночная цена которого составляла 12 коп., чеканилось монет на 10 руб. По номиналу медных денег было выпущено на колоссальную по тому времени сумму – 20 млн. руб. Однако их реальный курс упал до стоимости содержащегося в них металла, т.е. до 1–2% номинала. Инфляция разоряла мелких торговцев, обесценивала доходы ремесленников и лиц, получавших твердый доход. Все это обостряло антагонизмы в обществе и привело к восстанию 25 июля 1662 г., известному в истории как «медный бунт». Жестоко подавив его, царь был вынужден принять срочные меры к урегулированию денежного обращения.
С появлением бумажных денег монетно-денежная инфляция уступает место бумажно-денежной. В период становления буржуазного строя государство стремилось ликвидировать средневековый хаос в денежном обращении, ввести и упрочить стабильную денежную систему. В XVIII-XIX вв. и в начале XX в. до Первой мировой войны инфляция наблюдалась лишь в отдельных странах (при особо неблагоприятных условиях развития хозяйства) и носила преходящий характер. Так, например, инфляция имела место во Франции – в период Великой французской революции 1789–1791 гг., в Англии – в период войны с Наполеоном в начале XIX в. В тех странах, где устанавливалась система золотого монометаллизма, в течение многих десятилетий функционировала относительно устойчивая денежная система.
В период Первой мировой войны система золотого стандарта рухнула. Всеобщее прекращение размена бумажных денег на золото по фиксирован – ному курсу лишило государства автоматически действовавшего антиинфляционного механизма, обеспечивавшего стабильность денежного обращения. С этого момента и поныне инфляция приобрела повсеместный, всеохватывающий характер (т.е. она присуща практически всем странам мира), стала, как правило, непрерывной и хронической.
В западных литературных источниках предложены разные точки зрения на сущность современной инфляции, на толкование термина (они в принципе не противоречат друг другу, но раскрывают инфляцию с разных сторон). В частности, американцы К.Р. Макконнелл и С. Брю, шведский экономист К. Эклунд определяли инфляцию как повышение общего (среднего) уровня цен в экономике, американский экономист П. Хейне – как падение ценности или покупательной способности денег. Монетаристский подход (М. Фридмен) сводится к тому, что инфляция – это устойчивый непрерывный рост цен, выступающий всегда и везде как денежный феномен, вызванный избытком денег по отношению к выпуску продукции.
В отечественной экономической науке, в 1930-х гг. инфляция трактовалась как выпуск денежных знаков сверх потребностей обращения, затем как переполнение каналов обращения избыточной массой бумажных денег. И 1940-х гг. появилось толкование инфляции как любого обесценения бумажных денег. В 1950-х гг. в работах по инфляции преобладала характеристика ее внешней стороны, а именно – переполнения каналов обращения избыточной массой бумажных денег по сравнению с количеством золота, необходимым для обращения. В 1960-х гг. советские экономисты пришли к выводу, что инфляция – это сложный многофакторный социально-экономический процесс, обусловленный взаимодействием сферы производства и сферы обращения, диспропорциями между различными сферами народного хозяйства: накоплением и потреблением, спросом и предложением, доходами и расходами государства, денежной массой в обращении и потребностями хозяйства в деньгах.
Типичными проявлениями современной инфляции выступают общее повышение товарных цен и понижение курса, т.е. цены, национальной денежной единицы по отношению к ведущим иностранным валютам. О кризисном состоянии денежного обращения (инфляции) на практике реально можно судить только по динамике цен. Таким образом, инфляция – это денежно-ценовой феномен.
При этом не всякое повышение цен является инфляцией, но лишь обусловленное ростом денежной массы при отсутствии соответствующего увеличения товарного предложения (денежная масса – совокупность общепринятых средств платежа; товарное предложение – совокупность всех произведенных товаров и услуг за определенный период времени, которые продавцы готовы предложить покупателям по определенной цене).
Главными показателями инфляции являются ее темп и уровень. Уровень инфляции
– показатель, который рассчитывается как процентное отношение разницы уровней цен текущего и предыдущего года к уровню цен предыдущего года:

где Pt
– общий уровень цен (дефлятор ВВП) текущего года, а Pt – 1
– общий уровень цен (дефлятор ВВП) предыдущего года. Таким образом, показатель уровня инфляции показывает, насколько % выросли цены за рассматриваемый период.
Рост уровня цен приводит к снижению покупательной способности денег. Под покупательной способностью (ценностью) денег понимают количество товаров и услуг, которое можно купить на одну денежную единицу.
Темп инфляции
определяется как отношение уровня цен текущего года к уровню цен базисного года.
Уровень инфляции
выражается также в виде индекса цен и определяется по формуле:
Индекс цена потребительской корзины в данном периоде
Потребительских = _____________________________________ * 100%
Цен цена потребительской корзины в базовом периоде
Индекс потребительских цен характеризует изменение во времени общего уровня цен на товары и услуги, приобретаемые населением для непроизводственного потребления.
Именно рост денежной массы, находящейся в распоряжении населения, обусловливает повышение цены фиксированного набора потребительских товаров и услуг, или, наоборот, при повышении цены потребительской корзины для ее реализации потребуется рост денежной массы. Только такой подход позволяет увязать два аспекта инфляции – обесценение денег и повышение цен. Если же под инфляцией понимается общее увеличение, цен, то правомерно использовать индексы цен промышленной продукции, валового внутреннего продукта и другие индексы (правда, при этом невозможно добиться полной сопоставимости рыночной «корзины», поскольку растет технический уровень оборудования, изменяется качество материалов, комплектующих элементов и т.д.).
При расчетах потребительской корзины в России в настоящее время исходят из Методических рекомендаций по определению потребительской корзины для основных социально-демографических групп населения в целом по Российской Федерации и в субъектах Российской Федерации, утвержденных Постановлением Правительства РФ от 17 февраля 1999 г. №192. До выхода этого документа набор потребительской корзины включал 19 продовольственных товаров, позволявших получить 2429,4 килокалории в сутки. Ныне потребительская корзина расширена и приобрела официальный статус. Она включает: 31 наименование основных продуктов питания (перечислим лишь некоторые: бобовые, мука пшеничная, рис, огурцы и помидоры свежие, мясо птицы, рыба свежая, фрукты свежие и т.д.); 6 наименований непродовольственных товаров индивидуального пользования (одежда); 14 наименований непродовольственных товаров общесемейного пользования (постельное белье, моющие и чистящие средства, средства гигиены, предметы санитарии и лекарства, посуда, бытовые приборы, мебель); 7 видов услуг (жилищно-коммунальные, транспортные и др.). Таким образом, потребительская корзина в России включает в себя продовольственные и непродовольственные товары, платные услуги населению – всего 58 наименований, В США уровень инфляции измеряется по потребительской корзине, включающей в себя несколько сот наименований потребительских товаров и услуг, что, естественно, повышает точность исчисления.
Госкомстат России рассчитывает индекс потребительских цен ежемесячно на базе статистических данных, полученных в результате наблюдения за изменением цен в организациях розничной торговли, а также на вещевых, смешанных и продовольственных рынках, как в стационарных торговых заведениях, так и при передвижной торговле (палатки, киоски и т.д.), а также в сфере услуг на основе фактически сложившегося уровня потребления за предыдущий год в Российской Федерации.
1.2 Анализ основных причин и предпосылок возникновения инфляции
Инфляция обусловлена внутренними и внешними причинами. Среди внутренних причин (факторов) правомерно различение денежных (монетарных) и неденежных компонентов.
Для рассмотрения действия денежных причин целесообразно обратиться к уравнению обмена. После преобразования получим
Р = M * N \ Q
Инфляция наступает, если денежная масса с учетом скорости обращения денег превышает потребности товарооборота.
Однако далее обычно вступает в силу психологический фактор инфляции – инфляционные ожидания, т.е. действия субъекта на потребительском, товарном, фондовом, валютном и других рынках, основывающиеся на пред – положениях о высоких темпах инфляции в перспективе. Действия субъектов хозяйственной жизни заключаются в размещении своих денежных средств и других теряющих от инфляции ценностей в товарные запасы, в стабильную конвертируемую валюту, недвижимость, в помещении в банк на валютные инозиты и т.д., т.е. в те ценности, рыночная стоимость которых не зависит от обесценения национальной валюты. Для уменьшения потенциальных потерь эти процессы необходимо осуществлять как можно скорее. Но это ведет к ускорению обращения денег (росту показателя V), что еще в большей мере усиливает инфляцию. Отсюда можно вывести закономерность инфляционных процессов как саморазвивающихся и самоускоряющихся. Образно говоря, инфляция похожа на «снежный ком», скатывающийся с горы.
При отсутствии инфляционных ожиданий в условиях гибких цен и процентных ставок проявляется другая закономерность – так называемый «эффект Пигу». Внезапный скачок цен потребители могут посчитать случайным и кратковременным явлением. Тогда они начинают сберегать денежные средства. Уменьшение потребительского спроса оказывает давление на цены в сторону их снижения.
Увеличение денежной массы (М) обусловливается рядом причин: а) несбалансированностью государственных расходов и доходов, дефицитностью бюджета; широкое использование внутренних заимствований на цели покрытия бюджетного дефицита способствует увеличению денежной массы и обращении', а следовательно, повышению цен; б) ростом массы кредитных орудий обращения в результате расширения кредитной системы; в) выпуском в обращение не полностью контролируемых государством платежных средств (например, финансовых векселей); г) чрезмерностью инвестиций, которые приводят к перепроизводству одних товаров и одновременно к дефициту других, что усиливает диспропорции в экономике и в сфере денежного обращения; д) опережающим ростом заработной платы по сравнению с повышением производительности труда; это явление может иметь место в государственном секторе экономики как следствие проведения популистской политики увеличения доходов населения.
Неденежные причины инфляции определяют ее опосредованно, но в конечном счете также ведут к повышению цен и обесценению денег. Правомерно выделение ряда неденежных причин.
1. Деформированность структуры экономики. В случае чрезмерного развития отраслей тяжелой и добывающей промышленности их работники, не создавая непосредственно товаров непроизводственного назначения, выходят на потребительский рынок с высоким уровнем доходов. В связи с этим создается избыточный спрос при отставании предложения необходимых и потребительских товаров. Кроме того, закладывается основа роста издержек производства последних.
В случае неоправданного, превышающего разумные рамки роста сферы услуг также наблюдаются негативные последствия. Дело в том, что сфера услуг характеризуется, с одной стороны, более медленным ростом производительности труда по сравнению с отраслями материального производства, а в другой – большим удельным весом заработной платы в общих издержках производства.
2. Милитаризация экономики. Финансирование государством военных расходов неизбежно ведет к росту денежной массы при относительном обеднении рынка потребительских товаров и услуг.
3. Монополизм в экономике. Естественные, экономические, искусственные монополии имеют возможность повышать цены на свою продукцию без соответствующего увеличения потребительских качеств. Цены обычно устанавливаются по принципу «фактические издержки производства плюс гарантированная прибыль». Это приводит к незаинтересованности в снижении издержек, затратному хозяйствованию. В результате, в частности, в отраслях естественных монополий обычно плохо применяется новая техника, если она ведет к снижению затрат. И, наоборот, активно внедряются капиталоемкие технологии.
4. Экстраординарные обстоятельства социально-политического и экономического характера (требования профсоюзов о росте зарплаты, забастовки, нарастание политической и экономической нестабильности).
5. Ошибки в проведении денежно-кредитной, налогово-бюджетной, ценовой политики государства. В частности,в Российской Федерации в налогообложении акцент сделан на косвенные налоги. Согласно Федеральному закону от 30 декабря 2001 г. №194-ФЗ «О федеральном бюджете на 2002 год» доля косвенных налогов в налоговых поступлениях государственного бюджета составляет около 70%. Но косвенные налоги непосредственно входят в структуру цены. Таким образом, российская практика налогообложения обусловливает рост цен и требует соответственного роста денежной массы.
Среди внешних причин инфляции следует особо выделить следующие: а) приток иностранной валюты в страну в обмен на национальную валюту вызывает необходимость дополнительной эмиссии национальных платежных средств; б) падающий курс национальной валюты приводит к повышению импортных цен и способствует росту общего уровня цен в стране; в) ввоз пользующихся высоким спросом импортных товаров, более дорогих по сравнению с аналогичными национальными товарами, способствует удорожанию последних посредством механизма «подтягивания» уровня цен.
Социально-экономические последствия инфляции выражаются в следующих явлениях и процессах:
1. Происходит перераспределение доходов между отдельными физическими лицами; группами населения; сферами производства; регионами; хозяйствующими субъектами; государством, населением, фирмами; между дебиторами и кредиторами. Наибольший ущерб инфляция приносит лицам с фиксированными доходами – пенсиями, пособиями, стипендиями, заработной платой (для работников бюджетной сферы).
2. Обесценение денежных накоплений населения, хозяйствующих субъектов и средств бюджетной системы; обесценение амортизационных фондов, что затрудняет воспроизводственный процесс.
3. Ослабление деловой активности, поскольку неопределенность в росте издержек и цен делает неопределенными перспективы развития бизнеса.
4. Сокращение частных долгосрочных инвестиций и повышение их риска, что ведет впоследствии к замедлению экономического роста; одновременно нарастают спекулятивные операции.
5. Перелив капитала и кадров из реального сектора производства в торговлю и посреднические операции, где меньше опасность потерь от инфляции.
6. Снижение мотивации к реализации достижений научно-технического прогресса.
7. Уплата государству инфляционного налога (с ростом цен растут адвалорные косвенные налоги, оборотные налоги, номинально – налог на прибыль, на доходы физических лиц и другие). В этой связи Дж.М. Кейнс отмечал, что к обесценению денег, как к своеобразному налоговому источнику, государство стало прибегать с тех пор, как этот источник был открыт Римом.
Развертывание инфляции в целом приводит к обострению экономических и социальных противоречий.
Дефляция – процесс, противоположный инфляции. Дефляция наблюдается в отдельных странах на определенных этапах развития и носит, как правило, краткосрочный характер. Так, например, в США в период Великой депрессии с 1929 по 1933 гг. потребительские цены ежегодно снижались на 7%. Дефляционные процессы (с краткосрочными «разрывами») продолжаются в Японии несколько последних лет. Но если дефляция выходитиз-под контроля, страна попадает в затяжную дефляционную спираль, прикоторой компании теряют прибыль, вынуждены сокращать работников и величину их зарплаты, а потребители начинают ограничивать покупки вследствие сокращения общего платежеспособного спроса. Таким образом, затяжная дефляция может спровоцировать экономический спад и отнюдь не является безусловным благом для народного хозяйства.
1.3
Характеристика основных форм и видов инфляции
Инфляция представляет собой устойчивую тенденцию роста общего уровня цен.
В этом определении важны следующие слова:
1. устойчивая, что означает, что инфляция – это длительный процесс, устойчивая тенденция, и поэтому ее следует отличать от скачка цен;
2. общего уровня цен. Это значит, что инфляция не означает роста всех цен в экономике. Цены на отдельные товары могут вести себя по-разному: повышаться, понижаться, оставаться без изменения. Важно, чтобы увеличился общий индекс цен, т.е. дефлятор ВВП.
В зависимости от критериев выделяют разные виды инфляции. Если критерием служит темп (уровень) инфляции, то выделяют: ползучую, галопирующую и гиперинфляцию.
Ползучая (умеренная)
инфляция со среднегодовыми темпами прироста потребительских цен до 10% характерна для промышленно развитых стран.
Это признается неизбежным моментом нормального развития смешанной экономики и рассматривается в качестве фактора экономического роста.
Галопирующая
инфляция (прирост цен 10–50%) представляет собой скачкообразный рост цен, обусловленный резкими изменениями в объеме денежной массы или изменениями внешних факторов (например, радикальным повышением цен на импортируемые товары).
Гиперинфляция
– это инфляция с очень высоким темпом роста цен (в настоящее время Международный валютный фонд за гиперинфляцию принимает 50%-ный рост цен в месяц). Гиперинфляция – свидетельство глубокого кризиса экономики и сферы денежного обращения. Гиперинфляция порождает долларизацию национальной экономики, что связано с привилегированным положением доллара (или других сильных конвертируемых валют). Происходит массовое бегство капиталов из национальной экономики.
Если критерием выступают формы проявления инфляции, то различают: явную (открытую) инфляцию и подавленную (скрытую) инфляцию.
• Открытая (явная) инфляция проявляется в наблюдаемом росте общего уровня цен.
• Подавленная (скрытая) инфляция имеет место в случае, когда цены устанавливает государство, причем на уровне ниже, чем равновесный рыночный (устанавливаемый по соотношению спроса и предложения на товарном рынке) (рис. 1.). Главная форма проявления скрытой инфляции – дефицит товаров.

Рисунок 1. Подавленная (скрытая) инфляция
PM – равновесная рыночная цена, при которой спрос равен предложению, PG – цена, установленная государством, YS – величина совокупного выпуска (количество продукции, которое произведено и предложено к продаже производителями), YD – величина совокупного спроса (количество продукции, которую хотели бы купить потребители). Разница между YD и YS есть не что иное, как дефицит. Главная форма проявления скрытой инфляции – дефицит товаров Дефицит служит формой проявления инфляции, поскольку одной из характерных черт инфляции является снижение покупательной способности денег. Дефицит означает, что деньги вообще не обладают покупательной способностью, поскольку человек не может на них ничего купить.
Выделяют две основные причины инфляции: 1) увеличение совокупного спроса и 2) сокращение совокупного предложения. В соответствии с причиной, обусловившей рост общего уровня цен различают два типа инфляции: инфляцию спроса и инфляцию издержек.
• Если причиной инфляции служит рост совокупного спроса, то такой тип называется инфляцией спроса (demand-pull inflation).
Рост совокупного спроса может быть вызван либо увеличением любого из компонентов совокупных расходов (потребительских, инвестиционных, государственных и чистого экспорта), либо увеличением предложения денег.
Основной причиной инфляции спроса большинство экономистов (особенно представители школы монетаризма) считают увеличение денежной массы (предложения денег), приходя к этому выводу из анализа уравнения количественной теории денег (также называемого уравнением обмена или уравнением Фишера). Как отмечал глава монетаризма, известный американский экономист, лауреат Нобелевской премии Милтон Фридман: «Инфляция всегда и повсеместно есть чисто денежное явление».
Вспомним уравнение количественной теории денег: M*V = P*Y, где M (money supply) – номинальное предложение денег (масса денег в обращении), V (velocity of money) – скорость обращения денег (величина, которая показывает, сколько оборотов в среднем в год делает одна денежная единица, например, 1 рубль, 1 доллар и т.п. или какое количество сделок в среднем в год обслуживает одна денежная единица), P (price level) – уровень цен и Y(yield) – реальный выпуск (реальный ВВП).
Произведение уровня цен на величину реального выпуска (P * Y) представляет собой величину номинального выпуска (номинального ВВП). Скорость обращения денег практически не меняется и обычно считается величиной постоянной, поэтому увеличение предложения денег, т.е. рост левой части уравнения ведет к росту правой его части. Рост денежной массы ведет к росту уровня цен и в краткосрочном периоде (поскольку в соответствии с современными представлениями кривая совокупного предложения имеет положительный наклон) (рис. 2. (а)), и в долгосрочном периоде (которому соответствует вертикальная кривая совокупного предложения) (рис. 2. (б)). При этом в краткосрочном периоде инфляция сочетается с ростом реального выпуска, а в долгосрочном периоде реальный выпуск не меняется и находится на своем естественном (потенциальном) уровне.

Рисунок 2. Инфляция спроса
В долгосрочном периоде проявляется принцип нейтральности денег, означающий, что изменение предложения денег не оказывает влияния на реальные показатели (величина реального выпуска не изменилась и осталась на уровне Y*) (рис. 2. (б)).
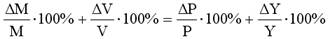
Уравнение обмена может быть представлено в темповой записи (для небольших изменений входящих в него величин):
,
где (deltaМ/М х 100%) – темп прироста денежной массы, обычно обозначаемое m, (deltaV/V x 100%) – темп прироста скорости обращения денег, (deltaP/P x 100%) – темп прироста уровня цен, т.е. темп инфляции pi, (deltaY/Y x 100%) – темп прироста реального ВВП, обозначаемого g.
Поскольку предполагается, что скорость обращения денег практически не меняется, то перегруппировав уравнение, получим: pi = m – g, т.е. темп инфляции равен разнице в темпах прироста денежной массы и реального выпуска. Отсюда можно сделать вывод, который носит название «монетарного правила»: чтобы уровень цен в экономике был стабилен, правительство должно поддерживать темп прироста денежной массы на уровне средних темпов роста реального ВВП.
Возникает вопрос: почему же правительства (особенно в развивающихся странах и в странах с переходной экономикой) увеличивают предложение денег, представляя себе негативные последствия этого процесса? Дело в том, что эмиссия денег проводится в целях финансирования дефицита государственного бюджета, что и является объяснением увеличения темпов роста денежной массы и основной причиной высокой инфляции в развивающихся странах и странах с переходной экономикой.
Если инфляция вызвана сокращением совокупного предложения (что происходит в результате увеличения издержек), то такой тип инфляции называется инфляцией издержек (cost-push inflation). Инфляция издержек ведет к уже известной нам ситуации стагфляции – одновременному спаду производства и росту уровня цен (рис. 3.)

Рисунок 3. Инфляция предложения (издержек)
В результате сочетания инфляции спроса и инфляции издержек возникает инфляционная спираль (рис. 4.). Предположим, что центральный банк увеличил предложение денег, что ведет к росту рост совокупного спроса. Кривая совокупного спроса AD1 сдвигается вправо до AD2. В результате уровень цен увеличивается с Р1 до Р2, а поскольку ставка заработной платы остается прежней (например, W1), то реальные доходы падают (реальный доход = номинальный доход / уровень цен, поэтому чем выше уровень цен, тем ниже реальные доходы). Рабочие требуют повышения ставки заработной платы пропорционально росту уровня цен (например, до W2). Это увеличивает издержки фирм и приводит к сдвигу кривой совокупного предложения SRAS1 влево-вверх до SRAS2. Уровень цен при этом повысится до Р3. Реальные доходы снова снизятся (W2/P3 < W2/P2).

Рисунок 1. Инфляционная спираль
Рабочие снова начнут требовать повышения номинальной заработной платы. Ее рост рабочие обычно поначалу воспринимают как повышение реальной заработной платы и увеличивают потребительские расходы. Совокупные расходы растут, кривая совокупного спроса сдвигается вправо до AD3, уровень цен возрастает до Р4. При этом растут издержки фирм, и кривая совокупного предложения сдвигается влево-вверх до SRAS3, что обусловливает еще больший рост уровня цен до Р5. Падение реальных доходов ведет к тому, что рабочие опять начинают требовать повышения заработной платы и все повторяется снова. Движение идут по спирали, каждый виток которой соответствует более высокому уровню цен, т.е. более высокому темпу инфляции (из т. А в т.В, затем в т.С, далее в т.D, потом в т.F и т.д.). Поэтому этот процесс получил название инфляционной спирали или спирали «заработная плата – цены». Рост уровня цен провоцирует повышение заработной платы, а рост заработной платы ведет к повышению уровня цен.
1.4
Методы, границы и противоречия регулирования инфляции
Предприятия и население разными способами пытаются адаптироваться к условиям хозяйствования при инфляции. Однако ее регулирование – функция государства, его макроэкономической политики. Необходимость регулирования высокоуровневой инфляции определяется ее негативными социально-экономическими последствиями. При решении задач такого регулирования следует исходить из: а) сопоставления общей оценки значения инфляции в социально-экономическом развитии двух основных научных школ – монетаризма и кейнсианства, присущих им подходов к выбору инструментария регулирования инфляции; б) определения общего перечня мер государственного регулирования с точки зрения преодоления причин инфляции; в) учета типов, видов, форм инфляции и подбор способов, приемов ее регулирования; г) выделения конкретных (специальных) методов регулирования инфляции.
Основные положения монетаристской концепции регулирования инфляции можно свести к следующему. Денежное обращение – главная сфера, определяющая движение всей экономики, поэтому оно должно быть устойчиво и жестко контролироваться. Инфляция – нарушение нормального денежного обращения, а значит, она недопустима (должна быть минимальной). Государству необходимо предпринимать все меры для достижения этой задачи. Следует неукоснительно придерживаться принципа «здоровых финансов», т.е. баланса бюджетных расходов и доходов, недопущение (предельное ограничение) дефицита бюджета и сокращение до минимума государственного долга. Принцип «здоровых финансов» был сформулирован Т. Джеф-ферсоном: «Бюджетный дефицит и государственный долг недопустимы; богатство, которым владеет общество в настоящее время, принадлежит поколению, которое живет в настоящее время».
Государственные доходы сокращаются вследствие снижения общего уровня налогообложения (для стимулирования бизнеса) при одновременной отмене налоговых льгот (для создания фирмам равных конкурентных усло-ний). Соответственно сокращению доходов государства должны уменьшаться его расходы. Социальные затраты предполагаются минимальными, ибо чрезмерные социальные выплаты, пособия, гарантии развращают, подрывают стимулы к труду. В ограниченных государственных инвестициях необходим переход от экстенсивного типа (более или менее равномерное распределение их по отраслям и видам деятельности) к интенсивному (акцент на поддержку науки, высоких технологий, обеспечение перехода к инновационной модели экономического роста). Главные инструменты воздействия на экономику – объем и структура денежной массы, валютный курс национальной денежной единицы, процентные ставки, таможенные тарифы.
М. Фридмен выработал (для условий США 1970‑х гг.) так называемое «монетарное правило», согласно которому денежная масса должна ежегодно увеличиваться в «коридоре» 3–5%. Нижняя граница определяется по минимальному потенциальному темпу роста валового национального продукта. При меньшей величине возникнет проблема его реализации. При темпе выше 5% рост денежной массы станет избыточным и начнется инфляция.
Таков монетаристский метод регулирования инфляции и границы достижения безинфляционного (в идеале) развития американской экономики. При реализации монетаристской политики антиинфляционного регулирования обостряется противоречие между поощрением экономической эффективности и ущемлением социальной справедливости.
Важнейший принципиальный подход кейнсианской школы – сознательное проведение контролируемой инфляции в целях увеличения совокупного спроса. Последнее – стимул экономического роста и достижения полной занятости. Налоговая политика кейнсианства предполагает высокий уровень налогообложения (для обеспечения государства необходимыми финансовыми ресурсами) с применением разнообразных и существенных налоговых льгот (как инструментов государственного регулирования экономики). Главная роль в общей системе государственного регулирования отводится бюджетной политике (особенно в расходной ее части), при том что денежно-кредитной политике отводится второстепенная роль.
Неокейнсианская концепция «циклического балансирования бюджета» исходит из того, что бюджет должен балансировать экономику. На фазе кризиса, депрессии эмиссионное финансирование государственных расходов со – действует росту занятости и совокупного спроса. Предполагается, что нафазе подъема накапливаются средства для покрытия предшествующего дефицита. В связи с этим вводится понятие «пассивного дефицита», который образуется из-за отрицательного влияния экономического кризиса (снижение производства и занятости приводит к уменьшению бюджетных доходов), и «активного дефицита», возникающего в ходе проведения расходной бюджетной политики, базирующейся на росте денежной массы. Баланс расходов и доходов государства сводится не ежегодно, а на протяжении нескольких лет цикла деловой активности.
Итак, кейнсианский метод регулирования инфляции предполагает ее удержание в умеренных границах. Логика этого метода порождала специфическое противоречие. С одной стороны, бюджетные расходы, государственный спрос, дефицитность бюджета, увеличение государственного долга и затрат на его обслуживание поощряли рост цен, инфляцию, с другой – достаточно жесткое ограничение инфляции (точнее, на практике его попытки) в конечном счете сдерживало экономический рост.
Общий методологический подход к регулированию инфляции в современной России можно сформулировать следующим образом. Вариант дефляции отвергается, поскольку последняя приводит к экономическому спаду. Нулевая инфляция (как граница регулирования с позиций монетаризма) для российской экономики также неприемлема, да и недостижима практически. При проведении регулирования инфляции в России следует учесть, что на первоначальной стадии накопления избыточной денежной массы стимулируется наращивание производства и продаж, снижение безработицы (в соответствии с кривой Филлипса) и в итоге – установление равновесия. Поэтому в определенных границах инфляция даже полезна, так как она гарантирует от кризиса перепроизводства и сокращения занятости. В последующем, когда полная занятость распространяется на все сферы экономики и они уже не могут отвечать на увеличение спроса дополнительным предложением продукции, происходит ускоренный рост цен. Затем начинают действовать факторы, вызывающие упадок производства, снижение его эффективности и дальнейшее обострение инфляции.
Поэтому регулирование инфляции в Российской Федерации должно предусматривать не полное ее снятие, но сокращение и поддержание в рамках ползучей. (Согласно одному из исследований экспертов МВФ максимальный экономический рост в промышленно развитых странах достигается в настоящее время при инфляции 8% в год.) Правомерно считать, что границей регулирования инфляции в России является темп до 10% в год.
Регулирование инфляции обеспечивается через конкретные меры тех видов макроэкономической политики, которые позволяют ослабить действие проинфляционных факторов.
Денежная политика
предусматривает регулирование денежной массы и совершенствование ее структуры. «Монетарное правило» М. Фридмена (ежегодный прирост денежной массы на 3–5%) ни в коей мере не соответвует современным российским условиям. Во-первых, потенциал экономического роста для Российской Федерации существенно больше, чем 5% (экономический рост в 2000 г. составил 8,3%, в 2001 г. – 5,2%). Во-вторых, если денежная масса в промышленно развитых странах составляет 80–120% ВВП (коэффициент монетизации), то в Российской Федерации – менее 15%. Значит, ежегодный темп прироста денежной массы в России должен быть более существенным.
Валютная политика
имеет своей целью поддержание отвечающего интересам национальной экономики валютного курса. Оптимальной является такая динамика изменений курса, которая совпадает с показателями инфляции. Между тем в 2001 г. при российской инфляции в 18,6% валютный курс рубля упал лишь на 8,9%.
Этот разрыв, с одной стороны, можно считать одной из причин названных темпов инфляции, поскольку он стимулировал покупку иностранной валюты Банком России, субъектами хозяйствования, населением и требовал соответствующей эмиссии платежных средств; далее – повышал спрос на импортные товары, что вело к росту их цен и повышению общего уровня цен. С другой стороны, он сформировал мотивацию к росту инфляции на будущее. Неблагоприятная ситуация сложилась в январе 2002 г. При темпе роста инфляции, как уже отмечалось, 3,1% официальный курс доллара к российскому рублю вырос на 1,8%.
Кредитная политика
– комплекс мер в области кредита, который призван способствовать «дедолларизации» экономики, росту товарного предложения. Принципиально важная задача – установление положительной (т.е. превышающей ожидаемый темп инфляции) ставки процента.
Бюджетная политика
в аспекте регулирования инфляции предполагает достижение сбалансированности расходов и доходов либо доведение бюджетного дефицита до возможного минимума.
Ценовая политика
– прямое и косвенное вмешательство государства в рыночное ценообразование. При прямом вмешательстве особую опасность для инфляции имеет установление государством минимальных цен на уровне существенно выше равновесных. В этом случае для поддержания минимальных цен государство нередко должно выступать в роли покупателя. (Например, в ЕС в рамках сельскохозяйственной политики устанавливаются государственные минимальные закупочные цены, имеющие своей целью поддержку фермерских хозяйств.) Установление минимальных цен подрывает стимулы к снижению издержек для производителей. Государственные закупки могут потребовать дополнительной эмиссии платежных средств.
Структурная политика,
содействующая регулированию инфляции, предполагает ликвидацию (сокращения до минимума, определяемого только самыми насущными общественными потребностями) убыточных и малорентабельных государственных предприятий; в отраслевом аспекте – преимущественное развитие предприятий, ориентированных на потребительский сектор экономики, наукоемких производств, машиностроения. Тем самым сокращаются потребности в эмиссии, формируются возможности для снижения издержек и цен.
Антимонопольная политика
предполагает установление государственного контроля над издержками и ценами монополий (олигополии), сочетаемое с наблюдением за объемами производства; пресечение уголовными, административными, налоговыми, средствами проявлений монопольного ценообразования; фиксирование цен естественных монополий.
Внешнеторговая политика
осуществляется на основе использования таможенно-тарифных и нетарифных инструментов. Таможенные пошлины в своей протекционистской функции обусловливают непосредственно повышение цен импортируемых товаров, поскольку выступают разновидностью косвенных налогов. Нетарифное ограничение импорта имеет те же ценовые последствия, что и таможенные пошлины. В результате происходит сокращение предложения импортируемых товаров, что ведет к повышению цен товаров на национальном рынке. Возросший уровень цен требует приспособления к нему величины денежной массы.
В зависимости от того, какой тип инфляции преобладает в стране на определенном этапе развития, используется тот или иной комплекс мер регулирования. Если инфляция спроса, то решающее значение приобретают меры по ограничению последнего (прежде всего использование инструментов денежной, валютной, кредитной, бюджетной политики). При преимущественном значении инфляции издержек особую значимость приобретают меры по ограничению заработной платы (проведение в рамках социальной политики взвешенной политики доходов населения), сдерживанию роста цен на энергию, сырье, материалы, оборудование (в этом случае на первый план выдвигаются средства антимонопольной, структурной, ценовой политики; внешнеторговой политики – при большом удельном весе импортных факторов производства).
В зависимости от вида инфляции значимость ее регулирования идет по ниспадающей: устранение гиперинфляции – преодоление галопирующей инфляции – ограничение ползучей инфляции. Наибольшую опасность для самого существования социально-экономической системы представляет гиперинфляция. Если ее не удается устранить средствами макроэкономической политики, то приходится прибегать к чрезвычайному методу регулирования инфляции – денежной реформе в форме нулификации, деноминации, т.е. аннулирования старой и введения новой валюты. Например, во Франции денежная масса за 1945–1955 гг. возросла более чем на 2 трлн. франков. В 1960 г. правительство было вынуждено провести деноминацию: 100 «старых» франков были приравнены к 1 «новому» франку.
В Российской Федерации деноминация была проведена с 1 января 1998 г. Нарицательная стоимость рубля была уменьшена в 1000 раз. Целями деноминации были заявлены: а) укрепление российской национальной валюты; б) стимулирование притока капитала в сферу производства товаров и услуг, рост производственных инвестиций; в) полное погашение инфляционных ожиданий в экономике; г) совершенствование денежного обращения в стране; д) упрощение учета и расчетов в хозяйстве. Последующие события (девальвация рубля в августе 1998 г.) и достаточно высокие показатели уровня инфляции в 1998–2001 гг. наглядно продемонстрировали, что эти цели не были реализованы.
Учет форм инфляции при ее регулировании означает необходимость системности и комплексности в использовании разных видов макроэкономической политики.
Конкретными, специально разработанными методами регулирования инфляции являются: политика доходов; политика «дорогих денег»; политика налогового стимулирования производства; политика замедления скорости обращения денег.
Политика доходов
предполагает «замораживание» заработной платы или определение пределов ее роста. Такая фиксация заработной платы ограничивает спрос на потребительские товары. Однако данная политика неэффективна– с отменой фиксации цены вновь растут.
Здесь уместно провести аналогию. Как показания термометра («жар») свидетельствуют о заболевании человека, так и проявления инфляции лишь свидетельство неблагоприятного состояния денежного обращения, экономики, финансов, кредита, социально-политической сферы. С помощью антибиотиков можно достаточно быстро «сбить» температуру, но болезнь еще будет продолжаться. Так и фиксация заработной платы – лишь иллюзорное устранение проявлений инфляции, но не преодоление ее причин.
Политика «дорогих денег»
– это ограничение денежного спроса через денежно-кредитный и налоговый механизмы («сжатие» денежной массы через повышение процентной ставки, усиление тяжести налогообложения, снижение государственных расходов). Такая политика достаточно действенна в том смысле, что происходит структурная перестройка экономики. Предприятия, имеющие малую рентабельность, не выдерживают налогового пресса, не могут возвратить дорогие банковские кредиты (поэтому их не получают), останавливают производство и подводятся к банкротству. В экономике остаются лишь те фирмы, которые отвечают сложившимся рыночным условиям. Через определенное время вместо старых обанкротившихся предприятий возникают новые конкурентоспособные структуры.
При действенности этого метода регулирования инфляции он вызывает экономический спад (по меньшей мере стагнацию, замедление экономического роста), увеличение безработицы, падение жизненного уровня. Данный метод регулирования инфляции порождает противоречие между результатом и его «ценой». Нормализация денежного обращения достигается за счет ухудшения положения дел в экономической и социальной сферах.
Продолжая ранее приведенную аналогию, можно сказать, что «лечение» инфляции через проведение политики «дорогих денег» столь болезненно для пациента (социально-экономического организма), что угрожает его жизни, хотя в конечном счете исцеляет его от данного заболевания.
Политика налогового стимулирования производства
включает меры как по прямому стимулированию бизнеса путем значительного снижения налогов, налагаемых на предприятия, так и по косвенному стимулированию сбережений физических лиц (снижение налогов с населения). Методологическая основа данного способа регулирования инфляции – неоклассическая теория «экономики предложения».
Политика замедления скорости обращения денег.
Рост денежной массы не ведет к инфляции, если он сочетается с замедлением скорости оборота денег, которое, в свою очередь, происходит при инвестициях и реальный сектор экономики. В 1930-е гг. США выходили из Великой депрессии путем инвестиций в дорожное строительство и в развитие отдельных регионов, т.е. путем замедления оборота денег. Этот метод регулирования инфляции был эффективно использован в послевоенной Западной Европе, в Японии и в других странах. Для России проблема также заключается нев том, чтобы не допустить кредитной эмиссии, а в использовании остро необходимых кредитных средств для увеличения капитальных вложений в подъем экономики, а также для кредитования оборотных средств.
2. Анализ инфляционных процессов для стран с развивающейся экономикой на примере Российской Федерации
2.1
Причины инфляции и роста цен в России
В настоящее время инфляция – одна из самых острых тем не только в России, но и за рубежом. Но в то время как мировое сообщество переживает спад инфляции, в России этот показатель до сих пор составляет двузначное число. Более того, прогнозы по инфляции на конец года сильно различаются, что затрудняет экономическое планирование.
В развитых странах, остро страдающих от финансового кризиса, единственной отрадой для потребителей в текущей ситуации стало снижение темпов роста цен, а местами и дефляция (снижение цен).
Так, согласно недавним заявлениям руководителя Европейского Центробанка Жан-Клода Трише, инфляционное давление в еврозоне падает, а к середине текущего года может быть зафиксировано снижение потребительских цен. В марте этого года инфляция в еврозоне уже замедлилась до 0.6% в годовом исчислении. Это самое низкое значение инфляции за все время существования евро. В феврале уровень инфляции в еврозоне составлял 1.2%.
У виновника кризиса – США – инфляция также резко замедлилась. Потребительские цены в США с января 2008 по январь 2009 вообще не изменились.
Дефляция, конечно, явление весьма опасное. Она снижает прибыли и усложняет выплату долгов. Нашей стране дефляция не грозит. В России даже кризис спроса не привел к существенному снижению темпов роста цен. В 2008 г. инфляция составила 13,3%, а что будет в этом году – предсказать практически невозможно. Существующие прогнозы (как официальные, так и частные) поражают разбросом ожиданий (Прил. 1).
Так, первый зампред ЦБ Алексей Улюкаев высказывается за то, что инфляция в России по итогам года может быть ниже 12%. Несколькими днями ранее помощник президента РФ Аркадий Дворкович озвучил прогноз, что инфляция в России в 2009 г. составит 13–14%.
Примерно такого же мнения придерживается Центробанк. 25 марта ЦБ сообщил, что не будет пересматривать прогноз по инфляции на 2009 г., оставив его на уровне 13%.
Однако некоторые зарубежные институты говорят о значительно меньших цифрах. Например, Организация экономического сотрудничества и развития (ОЭСР) в конце марта опубликовала отчет, в котором прогнозировала, что инфляция в этом году в России составит всего 8%, а в 2010 г. вообще упадет до 6%.
В 2009 г. инфляция в России может составить порядка 15–17%, а ожидаемый уровень экономического спада будет равен 2%. Такое заявление сделал аналитик международного рейтингового агентства Standard & Poor’s Феликс Эйгель. По словам эксперта экономика страны начнет восстанавливаться только спустя год: в 2010 г. ВВП должен немного вырасти, после чего экономика войдет в период постепенного восстановления.
Возникает вопрос, что же действительно влияет на инфляцию в России? Аналитик Rye, Man and Gor Securities назвал три версии причин высокой инфляции в России. Согласно первой версии, рост цен вызван ростом тарифов (в том числе на электроэнергию, на газ). По второй версии, ЦБ вообще не контролирует денежную массу. Рублевая масса в стране снизилась лишь потому, что многие «ушли в доллары». С учетом долларов, денежная масса в России не снизилась, а увеличилась. По третьей версии, российская экономика малоконкурентна, компании не заинтересованы в том, чтобы снижать цены.
Академик РАН Нигматулин Роберт Искандерович особое внимание уделил разбалансированности экономики, считая данный фактор существенным для контроля и снижения инфляции в России: «У нас, она [инфляция] происходит на фоне ослабления производительных сил. Я утверждаю, что у нас падает реальное производство». По его мнению, основными причинами являются: несбалансированная экономика, коррупция, монополизм. По словам Нигматулина, в 70-е годы существовал основной метод контроля за экономикой – межотраслевой баланс, который сейчас отсутствует. Основная идея сбалансированной экономики, уверен он, состоит в том, что зарплаты трудящихся должны соотноситься с ценами, то есть работающий «должен получать такую зарплату, чтобы по сбалансированным ценам оплатить электричество, квартиру, хлеб, транспорт».
В качестве критерия сбалансированности Нигматулин предлагает определить стоимость 1 л бензина. По его словам, «во всех странах в 3–4 раза килограмм хлеба дороже бензина. Сейчас у нас бензин стоит примерно 20 руб., значит, килограмм хлеба должен стоить столько, чтобы компенсировать затраты крестьянского труда, хлебопеков, тракторов-то есть, 80 руб. А он стоит, как литр бензина… Поездка в метро, в автобусе – это примерно два литра бензина. Минимальные заработные платы: куда бы вы не поехали, она – примерно 1000 литров бензина. Сравните, какая бы минимальная зарплата при нынешней цене бензина должна была бы быть у нас? 20 тыс. руб., что, конечно, фантастически!».
Балансирование экономики академик предлагает начать с балансирования внутренней цены бензина: «внутренняя цена никоим образом не должна подстраиваться под нынешней курс доллара к рублю». «Она должна считаться в рублях, а уже курс доллара должен соответственно по рыночным механизмам подстраиваться к этой цене», – считает он.
Президент Центра изучения постиндустриального общества Владислав Иноземцев остановился на такой особенности российской инфляции, как наиболее быстрое повышение цен самых общедоступных продуктов, товаров и услуг: «…быстрее всего дорожают продукты питания, дорожают коммунальные услуги, дорожают товары народного потребления. И наиболее дешевые из них, наиболее доступные, дорожают быстрее всего». Иноземцев утверждает, что политика целенаправленного быстрого удорожания осуществляется «осознано из-за желания государства получать импортные пошлины».
Поэтому, по его мнению, одной из причин высокой инфляции является «излишнее рвение нашей таможни, и четкое желание правительства извлекать значительную часть доходов и таможенных пошлин на самые широко используемые товары. На сегодняшний день таможня обеспечивает порядка 30% доходной части российского бюджета, в США – 0,15%. Этим все сказано».
Член Правления Института современного развития Гонтмахер Евгений Шлемович затронул социальный аспект инфляции. Он коснулся малого бизнеса, находящегося под прессом коррупции, считая, что если бы этот гнет был снят, то рост цен и их уровень были бы существенно ниже. Кроме того, он считает, что бизнес в России нестабилен, и предприниматель старается поскорее получить свои деньги.
«У нас на фоне высоких цен может получиться такая ситуация, когда в магазине будет мало людей, но предприниматель снижать цены не сможет, потому что его принуждают к этому издержки». «Получается заколдованный круг», – утверждает Гонтмахер.
Вопрос финансовой активности населения затронул президент группы «ЦИРКОН» Игорь Задорин. По его словам, самооценка материального положения населения не ухудшается, но изменился принципиальный взгляд на будущее: инфляция провоцирует спрос на повышение зарплаты. Кроме того, считает он, происходит «уменьшение сберегательного горизонта», то есть люди уже меньше планируют свою жизнь на долгие годы. Ощущая инфляцию, население предпочитает краткосрочные жизненные стратегии. Более того, подчеркнул Задорин, наблюдается «некоторое бегство от денег», которое из потребительских трат перешло в инвестирование (банки, депозиты), но с негативным оттенком: люди готовы к рисковым инвестициям, что может снова привести к возникновению финансовых пирамид.
Завкафедрой международных валютно-финансовых отношений ВШЭ профессор Владимир Евстигнеев высказал следующую точку зрения, что под инфляцией порой подразумевают совершенно разные механизмы. «Многие отождествляют это слово с ростом цен, – заметил он, – в то время как рост цен может иметь иную природу».
Инфляция – это переполнение каналов денежного обращения. В строгом смысле слова, инфляция – это рост цен, обусловленный дешевизной денег и эмиссионной деятельностью ЦБ. И именно с этой классической инфляцией борется наше Министерство финансов во главе с Алексеем Кудриным, пояснил профессор Владимир Евстигнеев.
Однако в настоящее время в России рост цен лишь в малой степени обусловлен эмиссионной деятельностью Центрального Банка.
Рост цен, который некорректно отождествляют с инфляцией, в России имеет другую природу. Он обусловлен институциональной структурой нашей экономики. А именно, «засильем олигополистов, в некоторых случаях монополистов, особенно с государственным участием», – считает Владимир Евстигнеев.
Угроза роста цен в России обусловлена «порочной практикой создания громадных корпораций с госучастием», – подчеркнул профессор ВШЭ. Обилие громоздких концернов вредно с точки зрения прогресса, так как они склонны к консерватизму. «Практика по созданию исторически устаревших монстров» приводит к таким ситуациям, какую в России наблюдали этой осенью. Удешевление нефти не приводило к удешевлению бензина на российских газозаправках в отличие от американских», – заметил Владимир Евстигнеев. «Я настаиваю, что угроза роста цен в России имеет не денежную природу, а структурно институциональную», – подчеркнул наш собеседник. По его словам, в этом смысле мы еще не избавились от олигополистической структуры, унаследованной от СССР.
Однако основной причиной инфляции в России аналитик Rye, Man and Gor Securities назвал все-таки цену нефти. Чем выше цена нефти, тем меньше перспективы падения рубля. Чем ниже цены на нефть, тем очевиднее, что рубль упадет, подчеркнул Сергей Перминов.
2.2
Инфляция и риски для кредитоспособности стран с развивающейся экономикой
Резкое повышение инфляции, которое наблюдается в странах с развивающейся экономикой с середины 2007 г., увеличивает вероятность длительной нестабильности цен. В начале этого десятилетия снижение инфляции на развивающихся рынках сыграло важную роль в улучшении кредитоспособности стран региона. Инфляция воздействует на различные аспекты кредитоспособности стран с развивающейся экономикой. Наиболее прямое влияние оказывается за счет воздействия на общую макроэкономическую стабильность и экономический рост.
Особенно большое значение имеют два аспекта влияния макроэкономической нестабильности на кредитоспособность: это валютные риски и банковские кризисы.
Многие государственные долговые кризисы с середины 1990-х гг. были связаны с несостоятельностью валютного режима, предусматривающего привязку курса национальной валюты или жесткое управление валютным курсом. Такая несостоятельность, как правило, обусловлена непоследовательной макроэкономической политикой, не способной обеспечить продолжительный неинфляционный рост экономики на фоне различных резких изменений. Валютные кризисы могут быть губительны для государственных финансов и банковского сектора и приведут к расходованию средств государственных валютных резервов, так как власти попытаются ограничить снижение курса национальной валюты.
Банковскому кризису часто предшествует период макроэкономического дисбаланса, связанный с быстрым ростом кредитования, наличием «мыльного пузыря цен на активы и укреплением реального валютного курса. Высокая инфляция вызывает укрепление реального валютного курса, что потенциально приводит к ослаблению платежного баланса.
Сохранение в течение длительного времени высокой инфляции может привести к более высокой индексации и долларизации, когда использование национальной валюты в качестве средства накопления сокращается. Большой объем депозитов в иностранной валюте в стране может стать причиной оттока иностранных активов банковской системы и «бегства» капитала при кризисе. Долларизация и индексация снижают эффективность кредитно-денежной политики и ограничивают гибкость реальной заработной платы. Страны, в структуре долга которых основное место занимает долгосрочный долг в национальной валюте с фиксированной ставкой, в целом пользуются преимуществами за счет инфляции (так как реальная стоимость долга снижается). Однако гораздо в большей степени такая ситуация характерна для структуры госдолга стран с развитой, а не развивающейся экономикой. Многие развивающиеся рынки в прошлом прошли через попытки снизить долговую нагрузку за счет инфляции.
Недавнее смещение акцента на развивающихся рынках на выпуск долговых обязательств в национальной валюте (преодолениестарых убеждений) может подвергнутьсянегативному влиянию со стороны высокой и волатильной инфляции, что будет способствовать потере доверия к кредитно-денежной политике. Международные инвесторы, вкладывающие средства на развивающихся рынках в инструменты в национальной валюте, вероятно, будут гораздо больше внимания уделять волатильности инфляции и процентных ставок, чем инвесторы, которые предпочли инструменты, номинированные в твердой валюте. Если инфляция выйдет из-под контроля, это может привести к распродаже активов на внутренних рынках и ухудшению платежного баланса, так как начнется отток средств иностранных инвесторов. В стране может наблюдаться снижение активности как иностранных, так и внутренних инвесторов, вложивших средства в более длинные долговые обязательства, номинированные в национальной валюте, что обусловит рост краткосрочных заимствований, а также повышение риска рефинансирования и процентного риска для госфинансов. Кроме того, в странах с развивающейся экономикой может повыситься рыночный риск, если по мере роста процентных ставок на внутреннем рынке будет проводиться больше заимствований в иностранной валюте.
В более долгосрочной перспективе высокая и неустойчивая инфляция также оказывает отрицательное влияние на потенциал экономического роста, так как искажает бизнес-планы и инвестиционные решения и накладывает на домохозяйства издержки, связанные с их попытками оградить свои средства от инфляции, включая сокращение наличных сбережений, а на компании – издержки, связанные с обновлением прайс-листов и т.п. при изменении цен. Возможен рост реальных долгосрочных процентных ставок, если держатели облигаций начнут требовать премию в качестве защиты от инфляционной неопределенности, в то время как высокие номинальные процентные ставки, необходимые в среде с высокой инфляцией, приведут к увеличению минимальной доходности, ожидаемой от инвестиций. Помимо этого, высокая инфляция может исказить ценовые сигналы и привести к неправильному распределению ресурсов и стимулировать инвестиции в реальные активы как средство защиты против инфляции.
Наконец, последствия инфляции могут создать политическое и социальное давление. Неожиданная инфляция вызывает произвольное перераспределение дохода от тех, кто предпочитает накапливать средства, к заемщикам. Население с невысоким доходом, как правило, имеет меньше возможностей защитить себя от роста цен, особенно при повышении цен на продукты питания, и жители городов с низким доходом больше всего страдают от такой инфляции, что может создавать риски политической нестабильности. Недавние инфляционные шоки уже вызывали социальные волнения во многих странах в связи с ростом цен на продукты питания.
В 2007 году в большинстве стран с развивающейся экономикой отмечался резкий рост инфляции. В 20 крупнейших странах с развивающейся экономикой она повысилась с 4,5% в марте 2007 г. до 6,9% в марте 2008 г. В результате инфляция в таких странах вернулась на уровни 2002 г., сведя на нет 5 лет ее снижения. С начала 2007 г. годовой показатель инфляции ИПЦ повысился в 58 из 67 стран с развивающейся экономикой, наиболее высокие темпы роста отмечаются в странах СНГ, на Ближнем Востоке и в Северной Африке.
Сила инфляционного давления на развивающихся рынках и тот факт, что инфляция также повышается в странах Большой семерки, указывают на влияние общемировых факторов, обусловливающих рост цен. По данным МВФ, в I кв. 2008 года мировые цены (в долларах США) на энергоносители и продукты питания повысились на 65 и 43% соответственно.
Обусловленные фундаментальными экономическими факторами инфляционные сложности, с которыми сталкиваются страны с развивающейся экономикой, можно подразделить на две категории. Прежде всего, ряд стран, включая несколько европейских стран с развивающейся экономикой, в течение последних 2–3 лет сталкиваются с сочетанием сильного притока капитала, быстрого роста объемов кредитования и внутреннего спроса, сокращения предложения на рынке рабочей силы и увеличением дефицита счета текущих операций.
Во-вторых, во многих странах, являющихся экспортерами сырьевых товаров, включая государства – члены Совета по сотрудничеству стран Персидского залива и Россию, наблюдается увеличение экспортных доходов, которое способствует росту валютных резервов, так как обменному курсу не позволяется расти в той мере, как это диктует рынок. Воздействие увеличения валютных резервов на внутреннюю денежную массу во многих случаях не компенсируется стерилизационными мерами, отчасти отражая отсутствие подходящие финансовых инструментов и недостаточную глубину рынков капитала. Такая ситуация стимулирует рост объемов внутреннего кредитования. Кроме того, часть дополнительных налоговых поступлений, обусловленных более высокими доходами от экспорта сырьевых товаров, расходуется внутри страны, о чем свидетельствует увеличение дефицита ненефтяного бюджета, и это также способствует усилению давления, связанного с перегревом экономики.
Кредитно-денежная политика в странах с развивающейся экономикой с начала десятилетия претерпевает изменения. Наблюдается увеличение официального или фактического использования режимов инфляционного таргетирования, а также, в последние несколько лет, возобновление применения фиксированной привязки обменного курса. Такие меры вводились при благоприятных условиях глобальной дефляции, однако сейчас сталкиваются с первым реальным испытанием на фоне более сложной инфляционной ситуации в мире.
С учетом перечисленных рисков был разработан комплекс показателей, чтобы попытаться измерить степень, в которой страны являются уязвимыми к резким инфляционным изменениям, приводящим к более широкой макроэкономической нестабильности.
Для формирования индекса использовались 8 равновесных индикаторов.
Темпы инфляции –
процентное изменение инфляции ИПЦ за 12 мес. по апрель 2008 г. (или по последнюю имеющуюся дату).
Изменение темпов инфляции –
последняя ставка инфляции минус ставка инфляции 12 мес. ранее.
Волатильность инфляции
– среднеквадратическое отклонение годовых темпов инфляции ИПЦ в 1995–2007 гг.
Сальдо счета текущих операций как процент от ВВП в 2007 г.
используется в качестве показателя давления, обусловленного перегревом экономики страны, на что указывает разрыв между внутренними сбережениями и инвестициями, хотя данный показатель также будет отражать воздействие на условия торговли цен на сырьевые товары.
Кредитование частного сектора (% от ВВП в 2007 г.), относительно тенденции.
Реальные краткосрочные ставки рефинансирования –
номинальные процентные ставки за вычетом последнего показателя темпов инфляции ИПЦ.
Изменение индекса кредитно-денежной конъюнктуры
с середины 2007 г.
Данный индекс сформирован на основании изменения номинальных краткосрочных процентных ставок (в процентных пунктах) плюс умноженное на 0,5 увеличение номинального эффективного обменного курса. Номинальный эффективный обменный курс рассчитан на основе изменения обменного курса относительно 20 крупнейших торговых партнеров, взвешенного по доле экспорта.
Внутренний государственный долг как процент от ВВП служит
показателем риска того, что более высокая инфляция может оказать негативное воздействие на отношение зарубежных и внутренних инвесторов к внутреннему рынку облигаций и отражает уязвимость государственных финансов к резким изменениям внутренних процентных ставок.
По каждому из этих индивидуальных индикаторов былисозданы рэнкинговые списки имеющих рейтинги суверенных эмитентов с развивающихся рынков (с позициями от 1 до 73, при этом номер 1 указывает на наиболее высокую уязвимость), а также объединенный список, обобщающий позиции стран по всем 8 индикаторам.
5 из 10 наиболее уязвимых стран – это европейские страны с развивающейся экономикой, в том числе страны СНГ, Балтии и Балкан. Украина имеет самый неблагоприятный суммарный показатель в регионе, что отражает инфляционную динамику и проводимую кредитно-денежную политику. Россия, очевидно, является наиболее уязвимой среди стран БРИК. В число 25 наиболее уязвимых стран входят Кения и ЮАР. Что касается стран из других регионов, то невысокие показатели имеет Египет, что отражает высокие темпы инфляции, мягкую кредитно-денежную политику и значительный объем внутренней государственного долга.
2.3 Перспективные направления антиинфляционной политики в России
В настоящее время проблема инфляции в России становится особенно актуальной в связи со сменой модели экономического развития (2007–2009 гг.) в сторону усиления факторов инновационного развития, значительного увеличения инвестиционной активности.
В отличие от предыдущей модели развития, основанной на природных ресурсах, сделан акцент на развитие социальной сферы, технологическую модернизацию, инновационную структуру, повышение конкурентоспособности, улучшение инвестиционного климата, повышение энергетической безопасности и модернизацию энергетики, обновление региональной политики.
Одним из условий реализации этих важнейших задач является стабилизация рубля. С этой целью Правительство Российской Федерации впервые утвердило комплекс антиинфляционных мер, которые выгодно отличаются от ранее применявшихся разрозненных методов воздействия на инфляционный процесс.
В утвержденном Правительством комплексе антиинфляционных мер сделан акцент на первоочередных направлениях регулирования инфляции. Из пяти направлений три предусматривают воздействие на ценообразование.
Во-первых, предусмотрено ограничение роста регулируемых цен на продукцию естественных монополий и тарифов на услуги ЖКХ при усилении контроля за издержками монополистов (Прил. 3).
Во-вторых, намечены меры по снижению темпа роста цен на горюче-смазочные материалы. В их числе: стимулирование конкуренции, в частности, путем организации биржевой торговли, снижение налоговой нагрузки и стимулирование технологического обновления нефтяной отрасли.
В-третьих, прогнозируется замедление роста цен на продовольственные товары, и чтобы он не превышал общий темп инфляции, предусмотрено стимулирование роста предложения этих товаров и доступа крестьянских и фермерских хозяйств на рынки, совершенствование регулирования импорта сельскохозяйственной продукции.
Перечисленные меры воздействия на ценообразование – самое трудное направление регулирования инфляции. Конечно, неправомерно отождествлять с инфляцией всякий рост цен, возникающий независимо от влияния избытка денег в обращении.
При вступлении России в качественно новую фазу инновационного развития для снижения темпа инфляции на основе долгосрочной комплексной программы необходимо формирование соответствующих макроэкономических условий. В их числе:
• проведение предусмотренных радикальных реформ по модернизации экономики, социальной сферы, государства в целях повышения конкурентоспособности России в условиях вступления во Внешне торговые отношения;
• снижение зависимости экономического роста и инфляции от внешних факторов, неустойчивой конъюнктуры мировых рынков;
• увеличение инвестиций в производственные технологии, человеческий капитал, инфраструктуру в целях модернизации экономики, в том числе экспортных и несырьевых отраслей;
• активное противостояние коррупции и теневой экономики, которая, по оценкам Российского комитета статистики и министерства внутренних дел, контролирует от 25 до 50% ВВП соответственно. Декриминализация позволит увеличить производство на 20% 2;
• сдерживание «бегства» капитала за рубеж, которое продолжается, хотя и в меньших масштабах;
• дальнейшее совершенствование законодательства, преодоление его противоречивости, бессистемности, а также ужесточение контроля за исполнением законов. На рынках должен царить закон, а не монополии, мафия, коррупция;
• повышение качества экономической политики с учетом предыдущих ошибок, усиление ее предсказуемости, которая, по оценке Всемирного банка, может увеличить вероятность новых инвестиций на 30%;
• восстановление доверия в российском обществе – к властным структурам, банкам, корпорациям, рублю, так как оно влияет на мотивацию сделок, трансакционные издержки, инициативы участников рыночной экономики.
В дополнение к утвержденному Правительством комплексу антиинфляционных мер необходимо регулирование повышения заработной платы и доходов, превышающих рост производительности труда в стране. В России эта тенденция стала глобальной, но проявляется дифференцированно. Депутаты Государственной думы добились оплаты своего труда на уровне министров, независимо от качества работы. Резко возросла заработная плата руководящих работников министерств под предлогом борьбы с коррупцией, хотя нет предела алчности беспринципных людей. И масштабы подкупа и продажности чиновников не уменьшаются. Вместе с тем повышение бюджетной заработной платы и пенсий крайне незначительно. Инфляционным фактором являются теневая заработная плата, нелегальные заработки иммигрантов, по которым не платят налоги.
Таким образом, наряду с утвержденным Правительством Российской Федерации комплексом антиинфляционных мер необходима долгосрочная комплексная программа снижения темпа инфляции на основе воспроизводственного и системного подхода с учетом ее многофакторности. Эта программа должна базироваться на методах государственного и рыночного регулирования и принципе партнерства государства и бизнеса в целях разумного сочетания общенациональных и частнособственнических интересов.
Премьер-министр Российской Федерации Виктор Зубков напомнил, что при кабинете министров создана специальная рабочая группа во главе с вице-премьером – главой Минфина Алексеем Кудриным, которая займется выработкой мер по снижению инфляции. Ей предстоит сформировать единый подход к всестороннему анализу инфляционных процессов, оценить влияние на эти процессы внешних и внутренних факторов. Зубков подчеркнул, что речь идет о решении проблемы разобщенности подходов министерств и ведомств к антиинфляционным мерам.
Кроме того, Зубков отметил, что для сдерживания инфляции в России необходимо вести постоянную оценку и контроль притока капитала и осуществления внешних заимствований: «Важно стимулировать инвестиционный капитал, а спекулятивный, для которого характерен быстрый отток, – регулировать».
Заключение
В настоящее время инфляция – один из самых болезненных и опасных процессов, негативно воздействующих на финансы, денежную и экономическую систему в целом. Инфляция не только означает снижение покупательной способности денег, но и подрывает возможности хозяйственного регулирования, сводит на нет усилия по проведению структурных преобразований, восстановлению нарушенных пропорций.
По своему характеру, интенсивности, проявлениям инфляция бывает весьма различной, хотя и обозначается одним термином. Инфляционные процессы не могут рассматриваться как прямой результат только определенной политики, политики расширения денежной эмиссии или дефицитного регулирования производства, ибо рост цен оказывается не просто следствием «злой воли» и непродуманных акций государственных чиновников, а неизбежным результатом глубинных процессов в экономике, объективным следствием нарастания диспропорций между спросом и предложением, производством предметов потребления и средств производства, накоплением и потреблением и т.д. В итоге процесс инфляции (в различных его проявлениях) носит не случайный, а весьма устойчивый и практически неизбежный характер.
В странах с развитой рыночной экономикой инфляция может рассматриваться в качестве неотъемлемого элемента хозяйственного механизма. Однако она не представляет серьезной угрозы, поскольку там отработаны и достаточно широко используются методы ограничения и регулирования инфляционных процессов.
В России и других странах, осуществляющих преобразование хозяйственного механизма, инфляционный процесс с трудом поддается сдерживанию и регулированию. Инфляцию поддерживают инфляционные ожидания, нарушения народнохозяйственной сбалансированности (дефицит госбюджета, отрицательное сальдо внешнеторгового баланса, растущая внешняя задолженность, излишняя денежная масса в обращении).
Управление инфляцией представляет важнейшую проблему денежно-кредитной и в целом экономической политики. При этом необходимо учитывать многосложный, многофакторный характер инфляции. В ее основе лежат не только монетарные, но и другие факторы. При всей значимости сокращения государственных расходов, постепенного сжатия денежной эмиссии требуется проведение широкого комплекса антиинфляционных мероприятий. Среди них – стабилизация и стимулирование производства, совершенствование налоговой системы, создание рыночной инфраструктуры, повышение ответственности предприятий за результаты хозяйственной деятельности, проведение определенных мер по регулированию цен и доходов.
Нормализация денежного обращения и противодействие инфляции требуют выверенных, гибких решений, настойчиво и целеустремленно проводимых в жизнь.
Список использованных источников
1. Борисов Е.Ф. Экономическая теория. – М.: Манускрипт, 2003 г.
2. Виноградов В.В. Экономика России. – М.: Юрист, 2001 г.
3. Гамза В.А. Инфляция в России: аналитические материалы. – Деньги и кредит, 2006 г. №9.
4. Иванов В.В. Деньги. Кредит. Банки. – М.: Проспект, 2006 г.
5. Коултон Б., Райли Д. Инфляция и риски для кредитоспособности стран с развивающейся экономикой. – РЦБ, 2008 г., №18.
6. Красавина Л.Н. Снижение темпа инфляции в стратегии инновационного развития России. – Деньги и кредит., 2006 г., №9.
7. Красавина Л.Н. Инфляция и экономический рост: теория и практика. – Деньги и кредит, 2006 г., №7.
8. Лаврушин О.И. Деньги. Кредит. Банки. – М.: Кнорус, 2005 г.
9. Никитин С. Инфляция и инфляционная политика: зарубежный и отечественный опыт. – Мировая экономика и международные отношения, 2008 г. №4.
10. Погосов И.А. Инфляция в России: влияние на производство, прибыль, капитал. – ЭКО, 2008 г. №11.
11. Усов В.В. Деньги. Денежное обращение. Инфляция. – М.: Юнити, 2004 г.
12. revolution.
13. www.fundshub.ru
14. www.sunhome.ru
15. www.lenta.ru
16. www.cbr.ru
17. www.iguru.ru
Приложение 1
Показатели инфляции в России в 2000–2009 гг.
Текущий уровень инфляции в России в 2009 г.: 4,1%
· январь – 2,4%
· февраль – 1,7%
· март – 1,3%
Уровень инфляции в России в 2008 г.: 13,3%
· январь – 2,3%
· февраль – 1,2%
· март – 1,2%
· апрель – 1,4%
· май – 1,4%
· июнь – 1,0%
· июль – 0,5%
· август – 0,4%
· сентябрь – 0,8%
· октябрь – 0,9%
· ноябрь – 0,8%
· декабрь – 0,7%
Уровень инфляции в России в 2007 г.: 11,9%
· январь – 1,7%
· февраль – 1,1%
· март – 0,6%
· апрель – 0,6%
· май – 0,6%
· июнь – 0,6%
· июль – 1%
· август – 0,1%
· сентябрь – 0,8%
· октябрь – 1,6%
· ноябрь – 1,2%
· декабрь – 1,1%
Уровень инфляции в России в 2006 г.: 9,0%
· январь – 2,4%
· февраль – 1,7%
· март – 0,8%
· апрель – 0,4%
· май – 0,5%
· июнь – 0,3%
· июль – 0,7%
· август – 0,2%
· сентябрь – 0,1%
· октябрь – 0,3%
· ноябрь – 0,6%
· декабрь – 0,8%
Уровень инфляции в России в 2005 г.: 10,9%
· январь – 2,6%
· февраль – 1,2%
· март – 1,3%
· апрель – 1,1%
· май – 0,8%
· июнь – 0,6%
· июль – 0,5%
· август – минус 0,1% (дефляция)
· сентябрь – 0,3%
· октябрь – 0,6%
· ноябрь – 0,7%
· декабрь – 0,8%
Уровень инфляции в России в 2004 г.: 11,7%
· январь – 1,8%
· февраль – 1%
· март – 0,8%
· апрель – 1%
· май – 0,7%
· июнь – 0,8%
· июль – 0,9%
· август – 0,4%
· сентябрь – 0,4%
· октябрь – 1,1%
· ноябрь – 1,1%
· декабрь – 1,1%
Уровень инфляции в России в 2000–2003 гг.:
· 2003 год – 12,0%
· 2002 год – 15,1%
· 2001 год – 18,6%
· 2000 год – 20,2%
Приложение 2
Динамика темпа инфляции в 2000–2006 гг.

Приложение 3
Динамика регулируемых цен (тарифов) на продукцию (услуги) естественных монополий и услуги ЖКХ в среднем по России (в %, за годовой период)

Денежная база, денежная масса и валютные резервы

Приложение 5
Темпы роста денежной базы в широком определении и денежной массы М2 и уровень снижения инфляции

Будучи сложным, многогранным явлением, инфляция может быть классифицирована с разных позиций.
С точки зрения определяющих факторов инфляции выделяют два ее типа.
К первой
группе относятся факторы, вызывающие превышение спроса (денежной массы) над предложением (товарной массой), вследствие чего происходит нарушение требований законов денежного обращения. В результате формируется инфляция спроса.
Логическая схема здесь следующая. Превышение спроса над предложением вызывает рост цен. Повышение цен при неизменных издержках обеспечивает рост прибыли и денежных доходов работников. Этот рост обусловливает следующий виток повышения спроса, что на новом уровне поднимает цены. Как правило, данный тип инфляции чаще всего наблюдается при полной занятости.
Вторая
группа объединяет факторы, которые ведут к первоначальному росту издержек (затраты на зарплату; затраты на материалы, энергию и т.д.) и цен товаров, поддерживаемому последующим подтягиванием денежной массы к их возросшему уровню. Возникает инфляция издержек.
Логическая схема: рост цен на факторы производства (издержек производства) определяет сокращение товарного предложения и, соответственно, рост товарных цен. Повышение номинальной заработной платы однако не означает увеличения реальной заработной платы, поскольку цены растут быстрее. (Номинальная заработная плата – сумма денег, получаемая работником как следствие трудового участия в производственном процессе. Реальная заработная плата – масса потребительских товаров и услуг, которые могут быть приобретены за номинальную заработную плату). Увеличение заработной платы, наращивание затрат на сырье, комплектующие изделия, топливо, энергию и т.д. дают новый «толчок» росту издержек производства, который приводит к новому повышению цен. Если денежная масса быстро не увеличится, не адаптируется к возросшему уровню цен, то возникнут проблемы денежного оборота. Имеется опасность остановки производства, сокращения товарной массы.
Инфляцию издержек может провоцировать так называемая инфляционная спираль цен и заработной платы. Рост заработной платы в результате пересмотра тарифного соглашения между наемными работниками и работодателями при определенных условиях выступает источником обострения инфляции издержек. Первоначально устанавливается новый уровень заработной платы на соответствующем сегменте рынка труда, затем происходит изменение общего уровня заработной платы в масштабе страны. Если этот процесс не уравновешивается противодействующими факторами, например, ростом производительности труда, то увеличение издержек на единицу продукции приводит к сокращению производства. При увеличивающемся спросе уменьшение предложения приводит к росту цен. Рост цен, в свою очередь, дает импульс к началу очередных переговоров работников с работодателями об изменениях в оплате труда. Таким образом, ситуация повторяется на новом уровне, на следующем витке спирали заработная плата – цена.
Разновидностью инфляции издержек выступает инфляция предложения.
Этот тип инфляции связан с недоиспользованием производственных мощностей предприятий, например, в связи с проведением технической реконструкции и модернизации основного капитала. Недоиспользование имеющегося основного капитала приводит к сокращению выпуска продукции, а значит, к уменьшению так называемого «эффекта масштаба». Последнее выражается в росте издержек на единицу продукции. Повышение издержек на единицу продукции сокращает прибыль и объем продукции, который фирма готова предложить при существующем уровне цен. Если степень эластичности спроса по цене позволяет переложить повышенные издержки на потребителя, то одновременно может уменьшиться предложение товаров и увеличатся цены.
Инфляция классифицируется в зависимости от темпов роста цен на три основных вида: ползучая, галопирующая и гиперинфляция.
Ползучая (умеренная)
инфляция со среднегодовыми темпами прироста потребительских цен до 10% характерна для промышленно развитых стран.
Это признается неизбежным моментом нормального развития смешанной экономики и рассматривается в качестве фактора экономического роста.
Галопирующая
инфляция (прирост цен 10–50%) представляет собой скачкообразный рост цен, обусловленный резкими изменениями в объеме денежной массы или изменениями внешних факторов (например, радикальным повышением цен на импортируемые товары).
Гиперинфляция
– это инфляция с очень высоким темпом роста цен (в настоящее время Международный валютный фонд за гиперинфляцию принимает 50%-ный рост цен в месяц). Гиперинфляция – свидетельство глубокого кризиса экономики и сферы денежного обращения. Гиперинфляция порождает долларизацию национальной экономики, что связано с привилегированным положением доллара (или других сильных конвертируемых валют). Происходит массовое бегство капиталов из национальной экономики. На этом основании Международные стандарты финансовой отчетности определяют наличие гиперинфляции через следующие характеристики экономической обстановки рассматриваемого государства:
а) население в целом предпочитает хранить свои сбережения в неденежной форме или в относительно стабильной иностранной валюте. Имеющиеся суммы в местной валюте немедленно инвестируются для сохранения покупательной способности;
b) население в целом рассматривает денежные суммы не в местной валюте, а в относительно стабильной иностранной валюте. Цены могут указываться в этой иностранной валюте;
c) продажи и покупки в кредит производятся по ценам, которые компенсируют предполагаемую потерю покупательной способности в течение срока кредита, даже если этот период непродолжителен;
d) процентные ставки, заработная плата и цены связаны с индексом цен;
e) совокупный рост инфляции за три года приближается или превосходит 100%.
|