| Министерство образования
Самарский Государственный Университет
Представительство в г. Сызрани
РЕФЕРАТ
На тему: Параллельные миры и антимиры
Принял:
Преподаватель по логике
__________________
Сдала: студентка
1 курса
Специальность: Юриспруденция
Романова Светлана
2009 год
Содержание:
Введение
1. Антимиры:
1.1 О взаимодействии миров и антимиров.
1.2 Антимир в Зазеркалье.
2. Параллельные миры:
2.1 Идея Параллельного мира.
2.2 Логика системы параллельного мира.
2.3 Другие пространственные изменения.
2.4 Параллельные миры как реализация многовариантности событий.
2.5 Гиперпространство и параллельные миры.
2.6 Сюжеты.
Заключение.
Введение
Официального и общепринятого взгляда и определения Параллельных миров, как бы и не существует. Сделать это очень и очень непросто, если учитывать наше почти полное незнание даже "элементарного" определения даже своего Пространства, чего же говорить о чужих?! И чаще всего в классической физике вполне "законно" идут теоретические споры лишь о количестве мерностей нашего мира.
В Специальной теории относительности (СТО) взаимосвязь Пространства и Времени отражается математическим понятием четырехмерного континуума, где роль четвертой координаты играет Время... Но едва только четвертая координата была принята почти что к обязательному рассмотрению философами и физиками, как некоторые ее казалось бы очевидные свойства, например - постоянство Времени, оказалась под вопросом. Вопросы асимметрии Времени и существования новых координат в разное время рассматривали А. Грюнбаум, Дж. Уитроу, Я. Зельдович, И. Новиков, В. Фролов, Ф. Типлер, Д. Уилер, К. Торн, С. Хокинг, А. Холт, С. Хоукин и другие физики... Известные ученые П.Дирак, П.Иордан и Ф. Дике высказали идею об изменении постоянной тяготения k
во Времени (k
=1/t). Иными словами, для изменения одного измерения надо было вводить еще одно. Пятое?..
Многие из них с начала 1990-х годов признавали теоретическую возможность создания машины времени, но при этом не забывали добавлять, что хронопутешествия на практике вряд ли будут использованы вследствие того, что нарушают принципы причинности. И создавшиеся из-за дискуссий о полетах во Времени парадоксы пытались решить во многих научных трактатах М. Гарднер, Х. Патнам, С. Московитц, Х. Эверетт, Н. Блок и другие ученые...
Забиваем Сайты В ТОП КУВАЛДОЙ - Уникальные возможности от SeoHammer
Каждая ссылка анализируется по трем пакетам оценки: SEO, Трафик и SMM.
SeoHammer делает продвижение сайта прозрачным и простым занятием.
Ссылки, вечные ссылки, статьи, упоминания, пресс-релизы - используйте по максимуму потенциал SeoHammer для продвижения вашего сайта.
Что умеет делать SeoHammer
— Продвижение в один клик, интеллектуальный подбор запросов, покупка самых лучших ссылок с высокой степенью качества у лучших бирж ссылок.
— Регулярная проверка качества ссылок по более чем 100 показателям и ежедневный пересчет показателей качества проекта.
— Все известные форматы ссылок: арендные ссылки, вечные ссылки, публикации (упоминания, мнения, отзывы, статьи, пресс-релизы).
— SeoHammer покажет, где рост или падение, а также запросы, на которые нужно обратить внимание.
SeoHammer еще предоставляет технологию Буст, она ускоряет продвижение в десятки раз,
а первые результаты появляются уже в течение первых 7 дней.
Зарегистрироваться и Начать продвижение
1.
Антимиры
«О биполярном строении мира математики знали еще в эру разобщенного мира, но физики того времени запутали вопрос наивным представлением об антивеществе”
Предтечей антимира в фантастике (да и в какой-то степени – в науке) можно считать Зазеркалье, придуманное Л. Кэрроллом. Под этим псевдонимом, как известно, в литературе творил Чарльз Лютвидж Доджсон. Если путешественник в Зазеркалье хотел попасть в какое-либо место, идти ему надо было в противоположную от этого места сторону. А явства, даже не притрагиваясь к ним, уносили с пиршественного стола почти в самом начале трапезы.
Попроще обстоят дела в фантазиях Сережки Сыроежкина, навеянных созерцанием зеркальных витрин и фантастическим фильмом “Встреча миров”: “в антимире все наоборот… там, где у нас лево, - у них право. Жаль, что города антимирян показывали только с высоты… здания вполне совершенные, похожие на пластмассовые шары. И если у них есть все-таки вывески, то читаются справа на лево” (Е. Велтистов “Электроник – мальчик из чемодана”).
Таким образом, мы располагаем двумя несхожими литературными версиями с описанием формации с более или менее ярко выраженной полярностью по отношению к нашему миру. Разница заключается в том, что первая версия создана до того, как появилось понятие “антимир”. А вторая – после означенного события. Вдобавок, над рассматриваемым понятием успели поработать популяризаторы, многие из которых восприняли идею антимира несколько однобоко.
Научную гипотезу о существовании антимира выдвинул в 1933 году ученый Поль Дирак (1902-1984). Он не только ввел понятие об античастицах тремя годами ранее, но и создал затем теорию “фона”, в который погружен наш мир, точнее, мир воспринимаемый нашими органами чувств и приборами. “Фон” – ничто иное, как вакуум. Это не пустота, а бесконечный потенциальный резервуар материи, “море, до отказа набитое элементарными частицами” (М. Емцев, Е. Парнов “Падение сверхновой”). Вакуум (“фон”) постоянно образует пары виртуальных частиц, между которыми практически сразу происходит аннигиляция.
Логично предположить, что наряду с частицами и античастицами должны существовать и макрообъекты, состоящие из полярных по отношению друг к другу элементарных частиц. Совокупности таких макрообъектов вполне могут составлять соответственно миры и антимиры.
Сервис онлайн-записи на собственном Telegram-боте
Попробуйте сервис онлайн-записи VisitTime на основе вашего собственного Telegram-бота:
— Разгрузит мастера, специалиста или компанию;
— Позволит гибко управлять расписанием и загрузкой;
— Разошлет оповещения о новых услугах или акциях;
— Позволит принять оплату на карту/кошелек/счет;
— Позволит записываться на групповые и персональные посещения;
— Поможет получить от клиента отзывы о визите к вам;
— Включает в себя сервис чаевых.
Для новых пользователей первый месяц бесплатно.
Зарегистрироваться в сервисе
Электромагнитное излучение реальных звезд, среди которых есть и антизвезды, тождественно, вследствие чего оптическими и радиоастрономическими их не возможно различить. Отсутствие в 60-е годы ХХ века нейтринной астрономии, позволяющей решить такую задачу, объясняет появление к этому периоду времени таких рассказов как “Антимир” К. Боруня, или “Бессмертный с Веги” К. Фиалковского, в которых покорителям космоса удалось достичь даже обитаемых антимиров, причем, относительно недалеко от Земли.
Но реальные наблюдения за космическими объектами показали абсолютно иную картину: местонахождение антимира в пространстве явно смещалось куда-то в бесконечность или в совершенно иные измерения. Для того, чтобы прикоснуться к антимиру, персонажам рассказов А. Днепрова “Лицом к стене” и С. Глисовского “Кристалл” потребовались не звездолеты, а лабораторное оборудование на самой Земле.
Проследим за ходом научной мысли и изобретательностью фантастов в представлениях об антимире. Строя различные модели Вселенной, ученые находили в них место, куда с учетом принципа биполярности и симметрии вмещался и антимир, приобретший черты Полувселенной – формации либо состоящей из антиматерии, либо находящейся в “обратном” по отношению к “нашему” времени.
На первой схеме (рис. 1) показана модель Г. Наана-Ф. Стеннарда – одна из тех, что обобщили научные искания в начале 60-х годов ХХ века. Нам же она интересна тем, что на ней удобно продемонстрировать все основные понятия, использованные в данной статье. На схеме точка a – момент Большого взрыва и начало системы координат “пространство-время”. Одна из осей (v) требуется, чтобы показать процесс расширения объема Вселенной (от 0 до бесконечности) с одновременным уменьшением плотности галактик и остыванием космоса.
t – суперкосмическое (глобальное) время.
ф – субкосмическое (локальное) время, вечно текущее как в мире (красный цвет), так и в антимире (синий цвет), но в противоположных по отношению друг к другу направлениях.
Видно, что локальное время в антимире течет вспять по отношению к глобальному.
Среди фантастов нашлось немало пытливых умов, осмысливавших устройство Вселенной, причем, некоторые демонстрировали читателю любопытные идеи.
“Теория утверждает, что каждая положительная Вселенная окружена двумя отрицательными и наоборот…” Эта фраза взята из романа Ф. Карсака “Пришельцы неоткуда”. Графически и упрощенно фрагмент модели такой Супервселенной выглядит примерно так: (рис.2).
В интерпретации Карсака читатель получил представление об идее разделения разнополярных формаций нейтральным нуль-пространством и о возможности качественного скачка в развитии астронавтики, который позволит проникнуть в нуль-пространственные перегородки.
Любой мало-мальски сведущий в математике человек, присмотревшись к модели Наана-Стеннарда, скажет, что нуль-пространство – не что иное, как ось t, на всем протяжении которой V=0. Похоже в модели Карсака множество осей времени, не исключено даже, что их бесконечное множество. Это возможно в том случае, если ось t развернуть хотя бы в плоскость. Другими словами, количество измерений, возможно, гораздо больше, а Вселенная — многомернее, чем мы привыкли полагать.
Каково место антимира в многомерном Мироздании? Ответ на этот вопрос попытался дать в рассказе “Человек, который видел антимир” фантаст И. Варшавский: “Вселенная представлена совокупностью множества миров в общем пространстве.
Эти миры пронизывают друг друга, но контакт между ними не возможен. Очевидно, они существуют в различных временных ритмах или полностью проницаемы друг для друга. Явления в них зеркально перевернуты. Это касается не только образов, но и понятий”. Так утверждает один из главных персонажей рассказа. По его мнению, в мире, сопряженном с нашим, опираясь на принцип зеркальности еще можно что-то постичь, другие же миры и антимиры вообще недоступны ни воображению, ни пониманию… Рассказ задуман как шуточный, но в каждой шутке, как известно, есть доля правды. Предположим, есть существа, которые как раз обитают в формациях “недоступных воображению”. Они первыми установили контакт с одним из землян в рассказе С. Гансовского “Миша Перышкин и антимир”. Сам И. Варшавский в рассказе “Путешествие в ничто” подробнее поведал о различных временных ритмах.
| 
|
Глобальное время представлено в виде череды дозированных и ритмично следующих друг за другом отрезков времени (дискрет). Эти дискреты и кажущиеся “паузы” между ними неразрывно связаны соответственно с миром и антимиром (рис.3).
За основу модели астрофизика Т. Дэвиса взят принцип пульсирующей Вселенной. Пульсация включает в себя повторяющуюся игру циклов (рис.4).
Космос, словно на качелях принимает то одно, то другое состояние, которые по отношению друг к другу выступают как мир и антимир.
В романе “Голос неба” С. Лема устами одного из персонажей излагается следующая гипотеза: “Ныне существующий мир не содержит в себе антимиров, - точнее говоря, мир становится антимиром периодически раз в 30 миллиардов лет. “Античастицы” в нашем мире – лишь след этих катастроф, их архаический реликт…”
Не так уж много фантастов помнили об основной мысли Дирака о единстве материи и “фона”, связывая с понятием “фон” и понятие “антимир”. Героям повести О. Бердника “Путешествие в антимир” довелось побывать в рассматриваемой формации, потому что физики создали специальную установку непосредственно в земных условиях. Один из обитателей антимира в общих чертах рассказывает о его устройстве: “В вашем мире вы привыкли к постоянству форм и неизменности законов. А здесь все не так. Наш мир тесно связан с вашим. Он является его противоположностью, отрицанием и в то же время, - его физическим негативом. Он объемное вместилище того, что появляется в вашем мире… Ваше мышление воспринимает здесь предметы так, как привыкло воспринимать на Земле.
Мир негативных очертаний лишен инерции, поэтому он пластичнее физического позитивного мира. Вот почему форма предметов здесь очень условна. Она зависит от уровня энергии, ее соотношения и чистоты”. Привязка к таким характеристикам энергии делает антимир, по Берднику, подобным атому с его электронными уровнями, а сами эти уровни в зависимости от своего расположения напоминают то Ад, то Рай. Все определяет “чистота энергии”.
И. Ефремов тоже представил Вселенную, составленную из вложенных друг в друга мира и антимира, разделенных нуль-пространством и закрученных в спираль:
“- Антимир, черный мир был назван учеными Тамасом, по имени океана бездеятельной энергии в древнеиндийской философии. Он во всех отношениях полярен нашему миру и поэтому абсолютно не воспринимаем нашими чувствами. Только недавно специальными приборами, как бы “вывернутыми” по отношению к приборам нашего мира, условно названного миром Шакти, начали нащупывать контуры Тамаса. Мы не знаем есть ли в Тамасе аналогичные нашим формации звезд и планет, хотя по законам диалектической философии движение материи должно быть и там.” (“Час быка”).
Результатом творческой мысли нашего соотечественника, ученого В. Скурлатова, стала модель Вселенной, объединяющая мир и антимир в единое целое с прямым переходом одного в другой. Но к ней мы вернемся в статье Вселенная в несколько другом аспекте.
1.1 О взаимодействии миров и антимиров
О мирах и антимирах, об аннигиляции миров и антимиров. гравитации и антигравитации, написано много научных и фантастических трудов. Но они упорно хранят свои самые сокровенные тайны.
Единый закон эволюции двойственного отношения позволяет приоткрыть покров завесы над этими тайнами.
Гармония спроса и предложения рыночных отношений монады, в основе которых лежат законы сохранения симметрии CPT-инвариантности, позволяют осознать новую концепцию взаимоотношений миров и антимиров.
Смысл этих отношений таков, что не надо искать миры и антимиры где-то за "горизонтом осознанного мира".
Миры и антимиры живут рядом с нами и вместе с нами (Весы монады). Они чаще всего живут в гармонии друг с другом, хотя иногда и аннигилируют, как об этом свидетельствуют опыты в физике микромира.
В самом общем случае эти взаимоотношения отражаются в рычажных весах

Данная рычажная формула отражают гармонию взаимоотношений самодостаточных миров и антимиров. Процессы взаимотрансформации миров и антимиров можно отразить, используя следующие рычажные уравнения

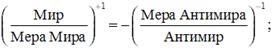
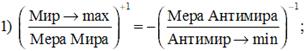
Это рычажное уравнение характеризует принцип оптимального саморегулирования миров, который в математике определяется как принцип максимина.
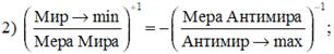
Но в математике существует и диаметрально противоположный принцип оптимальности - принцип минимакса

Эти рычажные уравнения, отражают принципы саморегулирования в системах любой природы вообще, при сохранении Меры
.
Мера играет роль курса конвертации одной "валюты" (Мира) в другую (Антимир).
Мера определяет границы саморегулирования Миров. Одна Мера определяет вес "нулевого" измерения, другая "бесконечномерного" измерения.
Эти рычажные уравнения характеризуют уравновешенность миров "мгновенную" (в динамике).
Если эти Меры равны (Единичная Мера), то рычажное уравнение характеризует статический баланс, отражающий стационарное состояние равновесности.
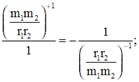
Наиболее полно принципы саморегулирования Миров отражаются в следующем рычажном уравнении

Мы получили рычажные уравнения более высокого уровня иерархии. Очевидно, что в общем случае Мера Мира Антимира этого, более высокого уровня иерархии процессов саморегулирования миров, не тождественна Мере рычажных уравнений боле низкого уровня иерархии.
Последнее рычажное уравнение отражает принцип максимина, но уже на более высоком уровне иерархии и, тем самым отражает относительность процессов саморегулирования миров.
На странице "Универсальный закон" были получены следующие равенства

Мы получили "единичную силу", характеризующую всемирный закон взаимодействия миров.
И по форме и по сути он совпадает с законом всемирного тяготения механики И.Ньютона, но в формуле присутствует знак "минус", характеризующий смысл природы возникновения силы.
Сила всегда противодействует изменению равновесности взаимодействующих миров.
Теперь необходимо раскрыть еще один нюанс взаимодействия миров.
Сила действия Мира всегда уравновешена Силой противодействия Антимира. Это следует из сути принципов саморегулирования миров, которые мы рассмотрели выше.
И если мы будем находиться в Мире, то закон всемирного взаимодействия в Антимире будет иметь вид

Теперь нам нетрудно отразить в единстве законы гравитации и антигравитации

Эти Сила и Антисила определяют закон инерции движения под действием единичной Силы (Антисилы).
Понятно, что Единичная сила будет характеризовать гравитацию (потенциал приталкивания), а антисила-расталкивание (потенциал антигравитации).
Здесь нет никаких переносчиков гравитации, или антигравитации. Зато есть соответствующий потенциал, рождающий Единичное поле Мира, или Антимира и имеющий строго определенное направление в собственном пространстве-времени и определяющий знак поля ("сгущение" или "разрежение", "+" или "-").
Взаимоотношения разноименно заряженных миров (антимиров) также будут двойственными.
Эти поля могут обладать следующими свойствами
1. Одноименные заряды расталкиваются, а разноименные приталкиваются;
2. Одноименные заряды приталкиваются, а разноименные расталкиваются;
1.2 Антимир как Зазеркалье
Идея о Зазеркалье впервые была высказана Льюисом Кэрроллом. В этой забавной стране законы существенно отличаются от привычных, что можно отчасти объяснить раздвоенностью натуры самого Кэрролла, который основные силы посвящал исследованиям по математике, но всемирной славы добился на писательском поприще. В 1950-е годы, когда не в фантазиях, а в природе впервые обнаружились признаки Зазеркалья, подтвердилось, что вещество и антивещество не симметричны, а живут по разным законам.
Долго считалось, что Вселенная почти на 100% состоит из вещества, а антивещество, которое в момент Большого взрыва находилось с веществом в равновесии, неизвестно куда исчезло. Однако последнее время верх берет антитеория: антивещества значительно больше, до 90%. Адептами этой версии являются австралийцы Фут и Митра, которые основываются в расчетах на данных космических телескопов "Хаббл" и "Чандра". Ход мысли таков: если, как установлено, есть невидимые планеты, которые вращаются вокруг видимых звезд, то должны быть и массивные невидимые солнечные светила, вокруг которых вращаются видимые планеты. Американец Джон Крамер развивает эту идею: гипотетические антизвезды должны быть построены из антиматерии, и тогда ее во Вселенной не 90, а 10%. Но и это значительно больше, чем считали раньше.
В отличие от маргинальных научных теорий вроде торсионных полей, идея Зазеркалья считается экстравагантной, но не вступающей в противоречие с современной научной парадигмой. Действительно, при распаде нейтрона образуются электроны и нейтрино, которые вращаются по часовой стрелке. По законам сохранения, если имеются "левозакрученные" частицы, должны быть и "правозакрученные". По мнению указанных ученых, это и есть антиматерия, которая может взаимодействовать с нашей родной материей только гравитационно. Поэтому Зазеркалье и остается невидимым. Нобелевский лауреат Абдус Салам считает, что это самая важная теоретическая идея, которая нуждается в экспериментальном подтверждении. Нобелевский лауреат Шелдон Глэшоу собирается поставить в ЦЕРНе эксперименты, чтобы нащупать какие-то другие способы взаимодействия двух миров и заставить выйти антиматерию из-за темных кулис. Не окажется ли это ящиком Пандоры?
По примеру Кэрролла профессор Фут развивает увлекательные возможности Зазеркалья: в этом мире существуют свои, невидимые нам планеты. Фут полагает, что открытые космическими телескопами планеты других солнечных систем являются зеркальными, то есть построенными из антивещества. Еще один энтузиаст гипотезы зеркального мира Зураб Силагадзе из Новосибирска пошел дальше, предположив, что гипотетический невидимый спутник нашего Солнца, звезда Немезида, которая, быть может, насылает на Солнечную систему долгопериодические кометы, не обнаружена до сих пор именно потому, что состоит из зеркальной материи.
Не только планеты, но и звезды, квазары, черные дыры - все космическое параллельно повторяется в тех же пропорциях, только построено из зеркальной материи. О таинственной антиматерии мы лишь догадываемся исходя из странных гравитационных эффектов, обнаруженных космическими аппаратами. Как считают Фут и Митра, лишь антиметеориты из антиматерии могли оставить на астероиде Эрос, где недавно побывали земные аппараты, столь странные кратеры. Именно объекты из антиматерии в ответе за многие необъяснимые явления, перечень которых составили Фут и Митра.
"Зеркальным" был, к примеру, знаменитый Тунгусский метеорит. Именно поэтому его остатки до сих пор и не обнаружены. Но они есть, доступны антилюдям из антиматерии. В 2001 году в Иордании с неба сверзлись метеориты, которые были тщательно задокументированы, но не найдены. Обнаружены лишь пепел да обгоревшие деревья. И почему-то камни и кусты обожжены ровно наполовину...
Эту мысль, конечно же надо довести до логического конца: НЛО сделаны из антивещества, "зеленые человечки" живут в Зазеркалье и заглядывают к нам по случаю, прорвавшись сквозь антибарьеры. Мало того: если встать на тропу гипотез и догадок, то почему не признать, что у Земли есть двойник - невидимая зеркальная Антиземля. Она занимает наше место в пространстве, время течет там параллельно нашему, но мы в полном неведении. Иногда только замечаем косвенные доказательства присутствия антиматерии - полтергейсты всякие, барабашки, призраки и проч.
Выходить ли на контакт с антимиром? Судя по намеченным экспериментам, это может произойти со дня на день. Но затея очень рискованная. Потому что у той публики и мысли закручены в другую сторону, и мораль перевернутая. Объятия там открывают врагам, боль причиняют любимым, горюют от удачи друга, силы тратят на пустые предприятия. У нас в реальном мире все устроено гораздо рациональнее.
2
. Параллельные миры
2.1 Идея параллельного мира
Фантастика, по сути, не изобрела идею «другого мира», а заимствовала её из мифологии. Описанные в мифах Рай, Ад, Олимп, Валгалла — классические примеры «альтернативных вселенных», отличающихся от привычного нам реального мира. Помещение действия в альтернативный мир (по сравнению с описанием будущего или прошлого нашего мира) позволяет обойтись без усилий, связанных с достижением правдоподобия (наукообразного обоснования картины будущего или соответствующей историческим источникам картины прошлого), при этом предоставляя практически безграничные возможности в построении необходимой автору «сцены» для описываемого действия.
В жанре фэнтези часто используется представление о вселенной (мультивселенной) как о наборе независимых «плоскостей существования» (одной из которых является привычный нам мир), в которых законы природы различаются. Таким образом, даётся логическое объяснение возможности магических явлений в некоторых из таких «плоскостей».
Параллельные миры могут описываться и абсолютно независимыми от нашего реального мира и друг от друга, и взаимодействующими. Во втором случае взаимодействие может заключаться либо в возможности при определённых обстоятельствах проникновения из одного мира в другой (условно говоря, наличии «дверей» между мирами), либо в существовании в этих мирах определённых мест, где они пересекаются (сливаются).
Иногда идея параллельных реальностей описывается в виде, внедрённом в нашу реальность. Так, в рассказе Хорхе Луиса Борхеса «El jardín de senderos que se bifurcan» («Сад расходящихся тропок») исследователь обнаруживает манускрипт китайского автора, где одна и та же история излагается несколько раз, причём описания противоречат друг другу; затем внук автора манускрипта объясняет, что родственник воспринимал время как набор «расходящихся тропок», где различные события происходят параллельно и одновременно.
Параллельный мир может не иметь исторического отношения к любому другому миру; как, например, в романе Стивена Бакстера «Плот», в основе которого — реальность, где постоянная силы тяжести больше, чем на нашей планете. Нужно отметить, что граница между научной фантастикой и фэнтези становится более размытой, чем обычно, когда идет речь об историях, эксплицитно покидающих вселенную, с которой мы знакомы, когда наша вселенная изображается как часть мультивселенной. Жанр в этом случае определяется в большей мере темой, особенностями художественного оформления и расставленных акцентов, а также деталями истории, которые автор желает пояснить и тем, как они объясняются. Так, например, Нарния — фэнтези в чистом виде, телевизионный сериал «Скользящие» — в чистом виде научная фантастика, но такие работы, как сериал Фармера «Многоярусный мир» — нечто среднее.
2.2 Логика системы параллельных миров
В большом количестве фантастических произведений никакого объяснения природы параллельных миров не даётся, их существование и свойства просто постулируются. Однако во многих случаях делается попытка так или иначе логически объяснить существование параллельных миров и возможность перемещения людей и предметов между ними. Далее описаны основные логические концепции, предлагаемые авторами фантастики.
2.3 Другие пространственные измерения
Предполагается, что реальная Вселенная, в действительности имеет не три пространственных измерения, а больше. После такого предположения делается естественное (и математически правильное) обобщение понятия «параллельности»: если в двумерном пространстве (на плоскости) могут существовать параллельные прямые, а в трёхмерном пространстве — параллельные прямые и плоскости, то естественно, что в четырёхмерном (и бо́льшего числа пространственных измерений) пространстве могут существовать параллельные (то есть не пересекающиеся друг с другом, но при этом существующие, возможно, совсем рядом) трёхмерные пространства. Далее достаточно предположить, что мы, в силу каких-то причин, не можем воспринимать непосредственно эти «дополнительные» пространственные измерения, и получится логически достаточно стройная картина множественности миров.
В некоторых случаях под миром понимается не только пространственная составляющая, но и время, которое понимается как четвёртое измерение. В этом случае возможно параллельное сосуществование четырёхмерных миров, в каждом из которых время течёт по-своему.
Перемещение между мирами в многомерной системе может объясняться либо созданием принципиально новой техники, дающей возможность перемещаться вдоль «дополнительных» координатных осей, либо просто тем, что разные миры в определённых местах пересекаются или соприкасаются (так же, как могут соприкасаться линии на плоскости или поверхности в трёхмерном пространстве). Совершив путешествие вдоль этих дополнительных осей, которые естественным образом нельзя почувствовать, путешественник может достичь миров, которые недостижимы и невидимы. В одной из первых работ в жанре современной научной фантастики — «Машина времени» Г. Уэллса, — время в этом смысле использовалось как дополнительное «измерение». Герой, взяв модель четырехмерного мира из классической физики и интерпретацию времени как пространственного измерения, нашёл способ перемещаться во времени.
Существует много примеров, когда автор создает дополнительное пространственное измерение, в котором герои могут путешествовать, чтобы добраться до параллельных вселенных. Дуглас Адамс в своей последней книге из серии «Автостопом по галактике» использует идею о возможности дополнительной оси дополнительно к традиционным четырем измерениям пространства и времени. Однако, если судить по роману, в действительности это вообще не параллельные вселенные, а только модель охвата протяженности пространства, времени и вероятности. Роберт Э. Хайнлайн в книге «Число зверя» допускал наличие шестимерной вселенной. В дополнение к трем пространственным измерениям, он применял понятие симметрии, чтобы добавить два новых временных измерения, так, чтобы получилось два комплекта из трех. Как и ситуации с четвертым измерением в «Машине времени» Г. Уэллса, путешествующий во времени человек может преодолеть эти дополнительные измерения при наличии соответствующего оборудования.
Хотя это технически неправильно, понятие «другого измерения» стало синонимом понятия «параллельный мир». Его использование стало привычным в фильмах, на телевидении и комиксах, и гораздо меньше в прозе современной научной фантастики даже тогда, когда собственно о пространственных измерениях речи не идёт.
2.4 Параллельные миры как реализация многовариантности событий
Иногда постулируется образование «иных миров» в ситуациях, когда определённое событие может иметь более одного возможного исхода. Крайним выражением такого подхода является картина мультивселенной, в которой существует практически бесконечное количество миров, отличающихся друг от друга тем, что в них определённое событие (хотя бы одно) имело различные исходы. При принятии такого предположения оказывается, что любая возможность в каком-то из миров непременно реализуется, и наш мир отличается от прочих только тем, что в нём реализовался один определённый набор возможностей.
В других случаях появление параллельных миров объявляется результатом действий путешественников во времени: когда некто, переместившийся на машине времени в прошлое, воздействует на некоторое событие, изменяя его исход, появляется новая вселенная, и дальнейшие события идут уже по другому пути. При этом судьба путешественника может быть различной: в одних случаях предполагается, что по возвращении назад он окажется в собственном времени (то есть не почувствует изменения истории), в других — изменивший события путешественник вернётся в будущее нового, созданного им мира, исчезнув из своей родной реальности.
Некоторые авторы допускают возможность последующей «состыковки» параллельных реальностей: предполагается, что через некоторое время после воздействия, изменившего ход событий, результаты этого воздействия могут нивелироваться — созданный параллельный мир окажется эквивалентен исходному и сольётся с ним. Параллельная реальность оказывается неким подобием «объездного пути» на дороге; отделившись однажды, она некоторое время существует самостоятельно, но потом возвращается к своей основе. В этом случае возникает интересное следствие: оказывается, что прошлое, которое мы полагаем однозначным и неизменным, может быть столь же многовариантным, как и будущее; может существовать несколько вариантов прошлого одного и того же мира, при этом невозможно сказать, какой из вариантов правилен, а какой ложен.
2.5 Гиперпространство и параллельные миры
Широко используемая в научной фантастике идея гиперпространства есть ни что иное, как вариант идеи параллельного мира. Используемое в научной фантастике понятие «гиперпространство» соотносится с параллельной вселеной, которая используется как средство перемещения со скоростью большей скорости света, для межзвездных путешествий. Обоснования для существования этой формы гиперпространства варьируются от работы к работе, но существуют два общих элемента: по крайней мере, некоторые (если не все) объекты на карте мира гиперпространства соответствуют объектам нашей вселенной, обеспечивая, таким образом, точки «входа» и «выхода» для путешественников.
Время перемещения между двумя точками в гиперпространстве меньше времени для перемещения между аналогичными объектами в нашей вселенной. Это происходит либо благодаря разнице в скорости света, либо из-за различной скорости течения времени, либо потому, что аналогичные объекты в гиперпространстве находятся ближе друг к другу.
Иногда понятие «гиперпространство» используется как обозначение многомерного мира с дополнительными пространственными измерениями. В этой модели наша трёхмерная вселенная представляется как «вмятая» в какое-либо более высокое пространственное измерение, и, перемещаясь в это измерение, корабль может преодолевать огромное расстояние в обычном пространстве. Так как эта концепция предлагает «новое измерение», оно уже не вполне соответствует идее параллельного мира.
2.6 Сюжеты
В сюжетном смысле идея параллельного мира может быть использована по-разному.
Действие целиком помещается в другой мир, и все описываемые герои являются уроженцами данного мира (классический пример — «Властелин колец»). В таком случае само понятие «параллельный мир» в произведении может не упоминаться вовсе, хотя фактически описываемая реальность полностью соответствует данному понятию. Основной причиной использования параллельного мира в таких сюжетах обычно является свобода, которую даёт выход за пределы известной нам реальности, либо необходимость введения явлений и факторов, отсутствующих в реальном мире (боги, магия, необычные физические законы и так далее).
Действие целиком помещается в другой мир, но один или несколько героев не являются уроженцами данного мира (обычно они являются уроженцами нашего мира, в силу неких обстоятельств попавшими в параллельный мир). Так обстоит дело в «Хрониках Нарнии» Клайва Льюиса или, например, в первых книгах цикла «Сварог» Александра Бушкова. В подобных случаях параллельный мир может использоваться автором двояко: с одной стороны, как и в предыдущем случае, в качестве средства создания «сцены» для действия героев, не ограниченной законами и историей нашего мира, с другой — как способ показать поведение человека нашего, реального мира в обстоятельствах, далеко выходящих за рамки того, что человек может предположить. В одних произведениях упор делается на способности человека адаптироваться в совершенно чуждой ему реальности и становиться адекватным ей, в других — на том, что современный человек в иной реальности может выжить и достичь успеха, оставаясь самим собой и сопротивляясь влиянию среды. Особняком стоит характерный сюжет, в котором герой, оказавшись в параллельном мире, сначала обнаруживает в себе необычные способности, а затем узнаёт, что в действительности он является уроженцем именно этого мира, по каким-то причинам выброшенный за пределы своей реальности и потерявший память. Эти сюжеты разработаны в произведениях Роджера Желязны и в первой книге «Многоярусного мира» Филипа Фармера.
Герои действуют в нескольких мирах, перемещаясь из одного в другой, или путешествуя во времени, активно участвуют в создании, изменении и модификации миров. В американской фантастике примером могут служить Кольцо вокруг солнца Клиффорда Саймака и философское фэнтези Порог Урсулы ле Гуин. В российской фантастике в качестве примера можно привести последние произведения цикла «В глубине Великого Кристалла» Крапивина или цикл «Одиссей покидает Итаку» Василия Звягинцева. Таки же образом идея параллельных миров используется в трилогии Филипа Пулмана «Тёмные начала».
Иная реальность тем или иным образом вторгается в обычную жизнь нашего мира. Английская героиня книги Саргарет Кавендиш отправляет подводные лодки и «людей-птиц», вооруженных «огненными камнями», обратно через врата Пылающего мира на Землю, чтобы уничтожать врагов Англии. Краснознаменный Тихоокеанский Флот великого Советского Союза из параллельного мира в дилогии «Красные звезды ( Встречный катаклизм , Параллельный катаклизм )» Фёдора Березина периодически появляется в нашем мире и успешно ведет войну с американцами.
В произведениях «мрачной» фэнтези и в книгах ужаса параллельный мир — это место, где скрываются опасные вещи и существа, и часто герой вынужден противостоять нападению из другой реальности. Так происходит в большинстве книг Лавкрафта и серии компьютерных игр Doom, где природа этой другой реальности остается таинственной, известной только из-за своего воздействия на наш мир.
Заключение
Так или иначе, объективное разрешение всех парадоксов (и практическая возможность создания МВ) возможна только при признании многомерности Пространства-Времени. При отсутствии Параллельных миров путешествия во Времени невозможны. И - наоборот.
|