Содержание
1. Построение организационных структур управления
2.Повышение квалификации специалистов
3.Практическое задание
Список использованной литературы
1. Построение организационных структур управления
Функции управления деятельностью предприятия реализуются подразделениями аппарата управления и отдельными работниками, которые при этом вступают в экономические, организационные, социальные, и другие отношения друг с другом. Организационные отношения, складывающиеся между подразделениями и работниками аппарата управления предприятия, определяют его организационную структуру.
Под организационной структурой управления предприятием понимается состав (перечень) отделов, служб и подразделений в аппарате управления, системная их организация, характер соподчиненности и подотчетности друг другу и высшему органу управления фирмы, а также набор координационных и информационных связей, порядок распределения функций управления по различным уровням и подразделениям управленческой иерархии.[1]
Базой для построения организационной структуры управления предприятием является организационная структура производства.
Многообразие функциональных связей и способов их распределения между подразделениями и работниками определяет разнообразие возможных видов организационных структур управления. Все эти виды сводятся в основном к пяти типам организационных структур: линейным, функциональным, линейно-функциональным, штабным (матричным) и дивизиональным.[2]
В линейной структуре управления (рис. 1) каждый руководитель обеспечивает руководство нижестоящими подразделениями по всем видам деятельности. Достоинство - простота, экономичность, предельное единоначалие. Основной недостаток - высокие требования к квалификации руководителей.

Рис. 1. Линейная структура организации
Р – руководитель;
1, 2, 3 – производственные подразделения.
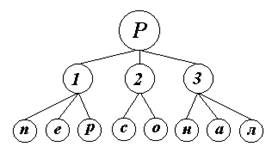
Функциональная структура (рис. 2) реализует тесную связь административного управления с осуществлением функционального управления. Позитивом данной структуры является высокая степень эффективности работы (т.к. каждый знает свое дело), а негативом – стабильность, незыблемость и малая подвижность.
Забиваем Сайты В ТОП КУВАЛДОЙ - Уникальные возможности от SeoHammer
Каждая ссылка анализируется по трем пакетам оценки: SEO, Трафик и SMM.
SeoHammer делает продвижение сайта прозрачным и простым занятием.
Ссылки, вечные ссылки, статьи, упоминания, пресс-релизы - используйте по максимуму потенциал SeoHammer для продвижения вашего сайта.
Что умеет делать SeoHammer
— Продвижение в один клик, интеллектуальный подбор запросов, покупка самых лучших ссылок с высокой степенью качества у лучших бирж ссылок.
— Регулярная проверка качества ссылок по более чем 100 показателям и ежедневный пересчет показателей качества проекта.
— Все известные форматы ссылок: арендные ссылки, вечные ссылки, публикации (упоминания, мнения, отзывы, статьи, пресс-релизы).
— SeoHammer покажет, где рост или падение, а также запросы, на которые нужно обратить внимание.
SeoHammer еще предоставляет технологию Буст, она ускоряет продвижение в десятки раз,
а первые результаты появляются уже в течение первых 7 дней.
Зарегистрироваться и Начать продвижение

Рис. 2. Функциональная структура организации
А, Б, В - функциональные подразделения.
Линейно-функциональная структура (рис. 3) - ступенчатая иерархическая. При ней линейные руководители являются единоначальниками, а им оказывают помощь функциональные органы. Преимущества данной структуры – централизация стратегических решений и децентрализацией оперативных, недостатки - недостаточно четкая ответственность (т.е. тот, кто принимает решение не участвует в его реализации), высокие требования к высшему руководству.

Рис. 3. Линейно-функциональная структура организации
Матричная структура (рис. 4) -характерна тем, что исполнитель может иметь двух и более руководителей (один - линейный, другой - руководитель программы (проекта) или направления). Такая схема давно применялась в управлении НИОКР, а сейчас широко применяется в фирмах, ведущих работу по многим направлениям. Она все более вытесняет из применения линейно-функциональную. Достоинством такой структуры является более эффективное управление, относительная автономность проектных групп, повышение личной ответственности за выполнение работы, а недостатком - борьба за власть, т.к. четко не определены властные полномочия; высокие накладные расходы (требуется больше денег для содержания большого числа руководителей).

Рис. 4. Матричная структура организации
I, II, III – руководители проектов (менеджеры по проектам).
Дивизиональная структура (рис.5) - при такой структуре создаются дивизионы (филиалы), которые выделяются или по области деятельности, или географически.
Данная структура используется на крупных предприятиях с широкой номенклатурой товаров. В организациях такого типа создаются инновационные структуры, где специальные отделы ведут разработку, освоение и подготовку к массовому производству новых видов продукции.
Преимуществом данного типа структуры является быстрая реакция на изменения рынка, освобождение высших руководителей от рутинных решений, а недостатком - потеря преимущества кооперации в связи с децентрализацией управления, сложность контроля за действиями отдельных структур.
Рис. 5. Дивизиональная структура управления организацией
Многосторонность содержания структур управления предопределяет множественность принципов их формирования.
Прежде всего, структура должна отражать цели и задачи организации, а, следовательно, быть подчиненной производству и меняться вместе с происходящими в нем изменениями. Она должна отражать функциональное разделение труда и объем полномочий работников управления.
Сервис онлайн-записи на собственном Telegram-боте
Попробуйте сервис онлайн-записи VisitTime на основе вашего собственного Telegram-бота:
— Разгрузит мастера, специалиста или компанию;
— Позволит гибко управлять расписанием и загрузкой;
— Разошлет оповещения о новых услугах или акциях;
— Позволит принять оплату на карту/кошелек/счет;
— Позволит записываться на групповые и персональные посещения;
— Поможет получить от клиента отзывы о визите к вам;
— Включает в себя сервис чаевых.
Для новых пользователей первый месяц бесплатно.
Зарегистрироваться в сервисе
Полномочия руководителя любого уровня ограничиваются не только внутренними факторами, но и факторами внешней среды, уровнем культуры и ценностными ориентациями общества, принятыми в нем традициями и нормами.
Другими словами, структура управления должна соответствовать социально-культурной среде, и при ее построении надо учитывать условия, в которых ей предстоит функционировать. Практически это означает, что попытки слепо копировать структуры управления, действующие успешно в других организациях, обречены на провал, если условия работы различны.
Немаловажное значение имеет также реализация принципа соответствия между функциями и полномочиями, с одной стороны, и квалификацией и уровнем культуры - с другой.
В целом рациональная организационная структура управления предприятием должна отвечать следующим требованиям:[3]
- обладать функциональной пригодностью, гарантировать надежность и обеспечивать управление на всех уровнях;
- быть оперативной, не отставать от хода производственного процесса;
- иметь минимальное количество уровней управления и рациональные связи между органами управления;
- быть экономичной, минимизировать затраты на выполнение управленческих функций.
2.Повышение квалификации специалистов
Под повышением квалификации понимается формальное и неформальное обучение, необходимое для того, чтобы штат учреждения или коллектив, задействованный в некоторой программе, был способен выполнять полный спектр своих служебных обязанностей.
Такая подготовка является центральным компонентом развития организации и может включать формальное обучение, получение второго образования, перенимание опыта коллег и другие виды деятельности, ведущие к изменениям в навыках и умениях, которые затем будут использованы на практике.[4]
Повышение квалификации трудового коллектива предполагает его обучение выполнению новых задач и полноценному применению современных технологий, а также выработку профессиональной надежности и развитие имеющихся умений.
В ходе повышения квалификации необходимо научиться не просто выполнять работу принятым в настоящее время образом (профессиональный тренинг, направленный на выполнение конкретных задач), а постоянно изменять и совершенствовать методы работы, улучшая ее качество.
Повышение квалификации должно быть:
- согласовано как с индивидуальными целями, так и с задачами, стоящими перед организацией в целом;
- планируемым и управляемым систематическим процессом (а не просто изучением случайных вещей во время работы);
- направлено на совершенствование знаний, умений, взглядов и производительности труда на уровне отдельного сотрудника, рабочей группы и всей организации.
Ведущую роль в организации обучения квалифицированных кадров играют кадровые службы предприятий и факультеты повышения квалификации, созданные при высших учебных заведениях.
Факультеты повышения квалификации (ФПК) функционируют при ряде высших учебных заведений. Тематика обучения на этих ФПК определяется с учетом предложений производственных организаций отрасли, развития экономики, техники и технологии отрасли.
Курсы повышения квалификации выполняют задачу повышения квалификации менеджеров в производственной сфере. Управленцев знакомят с достижениями в соответствующей области управления. Помимо этого изучаются новые методы и формы управления производством.
Рассмотрим организацию работы по повышению квалификации специалистов на примере ОАО "Центральный телеграф".
Открытое акционерное общество "Центральный телеграф" расположено по адресу 125375, Россия, г. Москва, ул. Тверская, д. 7.
Основными направлениями деятельности Общества является оказание услуг в области телематических служб и передачи данных, сотовой связи и др.
В 2005 году среднесписочная численность ОАО "Центральный телеграф" составила 814 человек.
Действующая на ОАО "Центральный телеграф" структура управления построена по линейно-функциональному принципу.
Стремительное изменение рыночной среды и способов хозяйствования привели руководство ОАО "Центральный телеграф" к постановке новых стратегических целей и задач.
Для обеспечения эффективной работы и развития компании в будущем особенно актуальным стало построение современной, отвечающей высоким требованиям рынка и ориентированной на достижение стратегических целей организационной структуры.
Для оптимизации структуры управления предприятием и ее совершенствования предлагается внедрить в существующую структуру элементы проектной и территориальной департаментализации.
При реализации данного направления структура будет иметь 3-4 уровня управления (генеральный директор, заместители генерального директора, руководители структурных подразделений и далее руководители внутрипроизводственных подразделений: секторов, участков и т.п.). Интеграция в структуру директоров и менеджеров проектов и менеджеров по услугам и продуктам укрепит горизонтальные связи, что поможет преодолеть недостатки линейно-функциональной структуры.
Стремительное развитие компании, инновационная деятельность требуют проведения постоянной и планомерной работы по поддержанию квалификационного состава персонала и определению соответствия работников требованиям рабочих мест.
Для решения настоящей задачи в компании организован процесс оценки персонала.
Оценка персонала проводится непосредственным руководителем, который оценивает профессиональный потенциал сотрудника с учетом изменяющихся требований, своевременность и качество выполнения должностных обязанностей, достижение намеченных целей и получение конкретных результатов.
В процессе оценки определяется степень соответствия работника рабочему месту и на основе результатов оценки руководитель формирует мнение о дальнейшем развитии сотрудника, переводе на другую должность, обогащению новыми функциями или в отдельных случаях об увольнении и замене на более квалифицированного специалиста.
В настоящее время на предприятии проводится ряд семинаров, посвященных основам построения телекоммуникационных сетей, новым услугам связи, регламенту учета себестоимости, получению знаний для работы с Интранет-сервером, менеджменту качества, договорной работе и др.
С целью оптимизировать систему повышения профессионального уровня сотрудников на предприятии предлагается создание отдела управления персоналом. Данный отдел должен включать в себя:
- отдел кадров;
- отдел организации труда и заработной платы;
- отдел документационного, социального и корпоративного обслуживания.
Новое подразделение позволит усовершенствовать и оптимизировать процесс управления человеческими ресурсами для достижения стратегических задач, стоящих перед предприятием.
Большое внимание в компании рекомендуется уделять развитию персонала, а именно внешнему и внутрифирменному обучению, самообразованию, наставничеству, адаптации работников при приеме на работу и переводе на новые рабочие места и др.
Обучение сотрудников компании необходимо проводить, прежде всего, в интересах развития бизнеса. В то же время организация системы профессионального развития является важнейшим мотивирующим фактором и рекомендуется ее использование в компании для удержания специалистов.
Помимо внешнего обучения можно использовать методы внутреннего обучения, которое является менее затратным, но при этом высоко эффективным и легко организуемым методом распространения знаний среди большого круга сотрудников, позволяющим сделать упор на передачу необходимой информации в доступной форме и в краткие сроки.
3.Практическое задание
Дайте оценку использования фонда рабочего времени, степени рациональности использования основного времени и укажите направления, на которые надо обратить внимание при совершенствовании организации управленческого труда, исходя из следующих данных: специалисты отдела около 30% основного времени тратят на выполнение работ, носящих чисто исполнительский характер, 12% - на выполнение работ, не относящихся к функциям данного отдела; коэффициент экстенсивного использования рабочего времени равен 0,88, потери из-за нарушения дисциплины и режима работ составляют соответственно 4 и 6% от фонда рабочего времени, а время на отдых - 2%.
При анализе затрат рабочего времени с целью выявления и последующего устранения потерь рабочего времени и их причин все рабочее время подразделяется на производительные затраты и потери рабочего времени.
Первая группа включает в себя работы по выполнению производственного задания и время регламентированных перерывов. Эти затраты являются объектом нормирования и входят в структуру нормы времени.
К потерям рабочего времени относится время выполнения непроизводительной работы и время нерегламентированных перерывов. Эти затраты являются объектом анализа с целью их устранения или максимального снижения.
Все рабочее время можно представить как 100%.
Из приведенных данных видно, что производительные затраты рабочего времени составляют:
- 30% основного времени на выполнение работ, носящих исполнительский характер;
- 2% время на отдых;
- 46% (100% - 30% - 12% - 4% - 6% - 2% = 46%) – подготовительно-заключительное время, время на выполнения своих непосредственных обязанностей, время на обслуживание рабочего места, регламентированные перерывы в работе.
Таким образом, производительные затраты рабочего времени составляют 78%.
Следовательно, потери рабочего времени составляют 22% (12% на выполнение непроизводительной работы, 4% потери из-за нарушения дисциплины и 6% по причине нарушения режима работ).
По полученным данным, а также по величине коэффициента экстенсивного использования рабочего времени (0,88) можно сделать вывод о низкой эффективности и производительности работ персонала предприятия. Из всего рабочего времени эффективно используется только 88%, а остальные 12% времени тратятся нерационально.
Среди направлений, на которые надо обратить внимание при совершенствовании организации управленческого труда, можно выделить следующие:
- ужесточение трудовой дисциплины и организация контроля за ее соблюдением;
- устранение нарушений в режиме работ путем регулярных проверок работоспособности техники; контроля за соблюдением работниками режима труда и отдыха; внедрения штрафных санкций за нарушение режима
труда и т.д.;
- контроль за самостоятельным выполнением всеми работниками собственных функций и обеспечение сокращения числа работ, не относящихся к функциям определенного отдела;
- применение административных взысканий, штрафных санкций и пр. и сокращение численности работников, систематически нарушающих режимы труда и отдыха и трудовую дисциплину и т.д.
Список использованной литературы
1.Виханский О.С., Наумов А.И. Менеджмент. – М.: Гардарики, 2002. – 528 с.
2.Генкин Б.М. Экономика и социология труда. – М.: Издательство НОРМА (Издательская группа НОРМА-ИНФРА-М), 2002. – 416 с.
3.Кабушкин Н.И. Основы менеджмента. - Мн:, Новое издание, 2001. – 336 с.
4.Кибанов А.Я. Управление персоналом организации. – М.: ИНФРА-М, 2003. – 638 с.
5.Лафта Д. К. Теория организации. – М.: ТК Велби, Издательство "Проспект", 2003. – 416 с.
6.Медведев В.П. Основы менеджмента. – М.: Дека, 2002. – 352 с.
7.Основы менеджмента / Под ред. Д.Д. Вачугова. –М.: Высш. школа, 2002. – 367 с.
8.Румянцева З.П., Соломатин Н.А. Менеджмент организации. - М.: ИНФРА-М, 2004. - 432 с.
9.Румянцева З. П. Общее управление организацией. – М.: ИНФРА-М, 2004. – 304 с.
10. Семенов А. К. Набоков В. И. Основы менеджмента. – М.: ИНФРА-М, 2003. – 465 с.
[1]
Основы менеджмента / Под ред. Д. Д. Вачугова. – М.: Высш. школа, 2002. – с. 96
[2]
Румянцева З.П., Соломатин Н.А. Менеджмент организации. - М.: ИНФРА-М, 2004.- с. 225-233
[3]
Румянцева З.П., Соломатин Н.А. Менеджмент организации. - М.: ИНФРА-М, 2004.- с. 213-216
[4]
Кибанов А.Я. Управление персоналом организации. – М.: ИНФРА-М, 2003. – с. 414
|