Содержание
Введение
1. Заемные источники финансирования коммерческой деятельности
2. Операционный (производственный) рычаг и его применение
Задача
Задача
Заключение
Список использованных источников
Введение
Создание и функционирование любой коммерческой организации упрощенно представляют собой процесс инвестирования финансовых ресурсов на долгосрочной основе с целью извлечения прибыли. Как известно, источники средств предприятия могут быть классифицированы различными способами; в данном случае нас интересует, прежде всего, вопрос о том, как соотносятся между собой собственный и заемный капиталы. Ситуация, когда компания (равно как и любой индивидуум) не ограничивается собственным капиталом, а привлекает средства внешних инвесторов, вполне объяснима: всегда выгодно жить в долг, если этот долг обоснован и необременителен. Привлекая заемные средства, собственники компании и ее высший управленческий персонал получают возможность контролировать более крупные потоки денежных средств и реализовывать более амбициозные инвестиционные проекты, несмотря на то, что доля собственного капитала в общей сумме источников может быть относительной небольшой. Компания становится крупнее; владеть, управлять и работать в такой компании престижнее и выгоднее. Безусловно, при этом подразумевается наличие высокого уровня организации производственной и финансовой деятельности, обеспечивающей эффективности использования привлеченных средств. Целью финансового менеджмента является выработка определенных решений для достижения оптимальных конечных результатов и нахождения оптимального соотношения между краткосрочными и долгосрочными целями развития предприятия и принимаемыми решениями в текущем и перспективном финансовом управлении. Главной целью финансового менеджмента является обеспечение роста благосостояния собственников предприятия в текущем и перспективном периоде. Эта цель получает конкретное выражение в обеспечении максимизации рыночной стоимости бизнеса (предприятия) и реализует конечные финансовые интересы его владельца. Основные задачи финансового менеджмента: 1). Обеспечение формирования достаточного объема финансовых ресурсов в соответствии с потребностями предприятия и его стратегией развития. 2). Обеспечение эффективного использования финансовых ресурсов в разрезе основных направлений деятельности предприятия. 3). Оптимизация денежного оборота и расчетной политики предприятия. 4). Максимизация прибыли при допустимом уровне финансового риска и благоприятной политике налогообложения. 5). Обеспечение постоянного финансового равновесия предприятия в процессе его развития, т. е. обеспечение финансовой устойчивости и платежеспособности. В своей работе я отвечу на 2 вопроса и решу 2 задачи. В конце будет приведен список использованных источников.
Забиваем Сайты В ТОП КУВАЛДОЙ - Уникальные возможности от SeoHammer
Каждая ссылка анализируется по трем пакетам оценки: SEO, Трафик и SMM.
SeoHammer делает продвижение сайта прозрачным и простым занятием.
Ссылки, вечные ссылки, статьи, упоминания, пресс-релизы - используйте по максимуму потенциал SeoHammer для продвижения вашего сайта.
Что умеет делать SeoHammer
— Продвижение в один клик, интеллектуальный подбор запросов, покупка самых лучших ссылок с высокой степенью качества у лучших бирж ссылок.
— Регулярная проверка качества ссылок по более чем 100 показателям и ежедневный пересчет показателей качества проекта.
— Все известные форматы ссылок: арендные ссылки, вечные ссылки, публикации (упоминания, мнения, отзывы, статьи, пресс-релизы).
— SeoHammer покажет, где рост или падение, а также запросы, на которые нужно обратить внимание.
SeoHammer еще предоставляет технологию Буст, она ускоряет продвижение в десятки раз,
а первые результаты появляются уже в течение первых 7 дней.
Зарегистрироваться и Начать продвижение
1. Заемные источники финансирования коммерческой деятельности
Эффективная финансовая деятельность предприятия невозможна без постоянного привлечения заемного капитала. Использование заемного капитала позволяет существенно расширить объем хозяйственной деятельности предприятия, обеспечить более эффективное использование собственных средств, ускорить формирование различных целевых финансовых фондов, а в конечном итоге — повысить рыночную стоимость предприятия.
Заемные средствапредприятие может формировать за счетдолгосрочных банковских ссуд, эмиссии долгосрочных, долговых ценных бумаг (облигаций), приобретения основных средств на основе финансового лизинга, инвестиционного налогового кредита. Для финансирования нематериальных активов может использоваться франчайзинг.
В России в качестве долгосрочных инвестиций используются средства иностранных инвесторов и средства федеральных и местных бюджетов.
Заемный капитал, используемый предприятием, характеризует в совокупности объем его финансовых обязательств (общую сумму долга). Эти финансовые обязательства в современной хозяйственной практике отображаются в балансе предприятия и дифференцируются следующим образом
| Заемный капитал предприятия (финансовые обязательства) |
| Краткосрочные обязательства |
Долгосрочные обязательства |
| Краткосрочный ЗК (краткосрочные Фин. обязательства |
Долгосрочный ЗК (Долгосрочные фин.обязательства |
| Краткосрочные кредиты банков, срок возврата которых еще не наступил |
Долгосрочные кредиты банков, срок возврата которых не наступил |
| Краткосрочные заемные средства, срок возврата которых еще не наступил |
Долгосрочные заемные средства, срок оплаты которых еще не наступил |
| Краткосрочные кредиты и займы, не погашенные в срок |
Долгосрочные кредиты и займы, не погашенные в срок |
| Расчеты с кредиторами (кредиторская задолженность) |
Долгосрочные финансовые обязательства. К ним относятся все формы функционирующего на предприятии заемного капитала со сроком использования более одного года. Основными формами этих обязательств являются долгосрочные кредиты банков и долгосрочные заемные средства, срок погашения которых еще не наступил или не погашенные в предусмотренный срок. Краткосрочные финансовые обязательства. К ним относятся все формы привлеченного заемного капитала со сроком его использования до одного года. В процессе развития предприятия по мере погашения его финансовых обязательств возникает потребность в привлечении новых заемных средств. Источники и формы привлечения заемных средств предприятием весьма разнообразны.
Сервис онлайн-записи на собственном Telegram-боте
Попробуйте сервис онлайн-записи VisitTime на основе вашего собственного Telegram-бота:
— Разгрузит мастера, специалиста или компанию;
— Позволит гибко управлять расписанием и загрузкой;
— Разошлет оповещения о новых услугах или акциях;
— Позволит принять оплату на карту/кошелек/счет;
— Позволит записываться на групповые и персональные посещения;
— Поможет получить от клиента отзывы о визите к вам;
— Включает в себя сервис чаевых.
Для новых пользователей первый месяц бесплатно.
Зарегистрироваться в сервисе
| Классификация привлекаемых заемных средств |
| По целям привлечения |
По источникам привлечения |
По периоду привлечения |
По форме привлечения |
По форме обеспечения |
| Заемные средства, привлекаемые для обеспечения воспроизводства внеоборотных активов |
Заемные средства, привлекаемые из внешних источников |
Заемные средства, привлекаемые на долгосрочный период (более 1-го года) |
Заемные средства, привлекаемые в денежной форме (финансовый кредит) |
Необеспеченные заемные средства |
| Заемные средства, привлекаемые для пополнения оборотных активов |
Заемные средства, привлекаемые из внутренних источников (внутренняя задолженность) |
Заемные средства, привлекаемые на краткосрочный период (до 1-го года) |
Заемные средства, привлекаемые в форме оборудования (финансовый лизинг) |
Заемные средства, обеспеченные поручительством или гарантией |
| Заемные средства, привлекаемые для уловлетворения иных хозяйственных или социальных потребностей |
Заемные средства, привлекаемые в товарной форме (товарный или коммерческий кредит) |
Заемные средства, обеспеченные залогом или закладом |
| Заемные средства, привлекаемые в иных материальных или нематериальных формах |
С учетом изложенной классификации организуется управление привлечением заемных средств, которое представляет собой целенаправленный процесс их формирования из различных источников и разных формах в соответствии с потребностями предприятия в заемном капитале на различных этапах его развития. Многообразие задач, решаемых в процессе этого управления, определяет необходимость разработки специальной финансовой политики в этой области на предприятиях, использующих значительный объем заемного капитала.
Политика привлечения заемных средств представляет собой часть общей финансовой стратегии, заключающейся в обеспечении наиболее эффективных форм и условий привлечения заемного капитала из различных источников в соответствии с потребностями развития предприятия. Процесс формирования политики привлечения предприятием заемных средств включает следующие основные этапы:
1. Анализ привлечения и использования заемных средств в предшествующем периоде
2. Определение целей привлечения заемных средств в предстоящем периоде
3. Определение предельного объема привлечения заемных средств
4. Оценка стоимости привлечения заемного капитала из различных источников
5. Определение соотношения объема заемных средств, привлекаемых на кратко- и долгосрочной основе
6. Определение форм привлечения заемных средств
7 Определение состава основных кредиторов
8. Формирование эффективных условий привлечения кредитов
9. Обеспечение эффективного использования привлеченных кредитов
10. Обеспечение своевременных расчетов по полученным кредитам
Заемный капитал (рис. 1) — это кредиты банков и финансовых компаний, займы, кредиторская задолженность, лизинг, коммерческие бумаги и др. Он подразделяется на долгосрочный, (более года) и краткосрочный (до года).

Рис. 1. Классификация заемного капитала
Предприятие, использующее Заемный Капитал, имеет высокий финансовый потенциал развития и возможности прироста финансовой рентабельности деятельности, но возрастают финансовые риски и угроза банкротства).
2. Операционный (производственный) рычаг и его применение
В современных условиях на российских предприятиях вопросы регулирования массы и динамики прибыли выходят на одно из первых мест в управлении финансовыми ресурсами. Решение данных вопросов входит в рамки операционного (производственного) финансового менеджмента. Известно, что предпринимательская деятельность связана со многими факторами, влияющими на ее результат. Все их можно разделить на две группы. Первая группа факторов связана с максимизацией прибыли за счет спроса и предложения, ценовой политики, рентабельности продукции, ее конкурентоспособности. Другая группа факторов связана с выявлением критических показателей по объему реализуемой продукции, наилучшим сочетанием предельной выручки и предельных затрат, с делением затрат на переменные и постоянные. К переменным затратам, которые изменяются от изменения объема выпуска продукции, относятся сырье и материалы, топливо и энергия для технологических целей, покупные изделия и полуфабрикаты, основная заработная плата основных производственных рабочих, освоение новых видов продукции и др. К постоянным (общефирменным) затратам — амортизационные отчисления, арендная плата, заработная плата административно-управленческого аппарата, проценты за кредит, командировочные расходы, расходы на рекламу и др. Анализ производственных затрат позволяет определить их влияние на объем прибыли от реализации, но если к этим проблемам подойти глубже, то выясняется следующее: такое деление помогает решить задачу увеличения массы прибыли за счет относительного сокращения тех или иных затрат; позволяет искать наиболее оптимальное сочетание переменных и постоянных затрат, обеспечивающих прибавку прибыли; позволяет судить об окупаемости затрат и финансовой устойчивости на случай ухудшения хозяйственной ситуации. Критерием выбора наиболее рентабельной продукции могут служить следующие показатели: валовая маржа на единицу продукции; доля валовой маржи в цене единицы продукции; валовая маржа на единицу ограниченного фактора. Рассматривая поведение переменных и постоянных затрат, следует анализировать состав и структуру затрат на единицу продукции в определенном периоде времени и при определенном количестве продаж. Вот как характеризуется поведение переменных и постоянных затрат при изменении объема производства (сбыта).
Таблица 1. Поведение переменных и постоянных затрат при изменении объема производства (сбыта)
| Объем производства (сбыта) |
Переменные издержки |
Постоянные издержки |
| суммарные |
на единицу продукции |
суммарные |
на единицу продукции |
| Растет |
Увеличиваются |
Неизменные |
Неизменные |
Уменьшаются |
| Падает |
Уменьшаются |
Неизменные |
Неизменные |
Увеличиваются |
Структура издержек не столько количественное отношение, сколько качественное. Тем не менее, влияние динамики переменных и постоянных затрат на формирование финансовых результатов при изменении объема производства весьма существенно. Финансовый риск сопряжен с возможностью неполучения чистой прибыли до уплаты налога на прибыль, но после выплаты процентов. Одним из измерителей риска такого рода является финансовый леверидж или эффект финансового рычага. Сравнив между собой формулы определения операционной прибыли и чистой прибыли до налогообложения, можно сделать вывод, что дополнительным фактором риска в случае финансового левериджа выступает общая сумма процентов за кредит. Очевидно, что сумма процентных платежей увеличивается по мере роста удельного веса заемного капитала в общей структуре источников финансирования предприятия. Следовательно, финансовый леверидж отражает степень зависимости предприятия от кредиторов, то есть величину риска потери платежеспособности. Чем выше финансовый леверидж, тем выше риск, во-первых, неполучения чистой прибыли, а во-вторых – банкротства предприятия. С другой стороны, финансовый леверидж способствует повышению рентабельности собственного капитала: не вкладывая в предприятие дополнительный собственный капитал (он замещается заемными средствами), владельцы получают большую сумму чистой прибыли, “заработанную” заемным капиталом. Кроме этого предприятие получает возможность воспользоваться “налоговым щитом”, так как в отличие от дивидендов по акциям сумма процентов за кредит вычитается из общей величины прибыли, подлежащей налогообложению. Однако, чтобы воспользоваться преимуществами финансового левериджа, предприятию необходимо выполнить обязательное условие – заработать операционную прибыль, достаточную как минимум для покрытия процентных платежей по заемным средствам.
Именно со структурой затрат тесно связан операционный рычаг. Эффект операционного рычага заключается в том, что любое изменение выручки от реализации всегда порождает более сильное изменение прибыли. Для расчета эффекта или силы воздействия рычага используется целый ряд показателей. При этом требуется разделение издержек на переменные и постоянные с помощью промежуточного результата. Эту величину принято называть валовой маржой, суммой покрытия, вкладом.
В эти показатели входят:
· валовая маржа = прибыль от реализации + постоянные затраты;
· вклад (сумма покрытия) = выручка от реализации — переменные затраты;
· эффект рычага = (выручка от реализации — переменные затраты) / прибыль от реализации.
Если трактовать эффект воздействия операционного рычага как изменение валовой маржи, то ее расчет позволит ответить на вопрос насколько изменяется прибыль от увеличения объема (производства, сбыта) продукции. Изменяется выручка, изменяется сила рычага. Например, если сила рычага равна 8,5, а рост выручки планируется на 3%, то прибыль вырастет на: 8,5 х 3% = 25,5%. Если выручка падает на 10%, то прибыль уменьшается на: 8,5 х 10% = 85%. Однако при каждом росте выручки от реализации сила рычага меняется, а прибыль растет. Существует и другой способ вычисления, связанный с эффектом финансового рычага
Это — определение силы воздействия
финансового рычага (ФР):

где БП — балансовая прибыль, ЧПА — чистая прибыль на обыкновенную акцию.
Одно важное замечание: финансовые издержки и проценты за кредит — это разные экономические феномены. Первый — шире, так как включает в себя не только выплату процентов, но и погашение текущей задолженности.
Величина силы воздействия финансового рычага достаточно точно показывает степень финансового риска, связанного с фирмой. Чем больше сила воздействия финансового рычага, тем больше и риск, связанный с предприятием, риск невозвращения кредита банку и риск снижения курса акций и падения дивиденда по ним.[1]
Освоив систему управления затратами, предприятие получает следующие преимущества:
· возможность увеличить конкурентоспособность производимой продукции (услуг) за счет снижения издержек и увеличения рентабельности;
· разработать гибкую ценовую политику, на ее основе увеличить оборот и вытеснить конкурентов;
· сэкономить материальные и финансовые ресурсы предприятия, получить дополнительные оборотные средства;
· оценить эффективность деятельности подразделений предприятия, мотивацию персонала.
Задача 1.
Условие задачи:
Выручка предприятия за год составляет 40 000 руб.
Постоянные издержки составляют 3 000 руб.
Переменные издержки составляют 31 000 руб.
На следующий год планируется увеличение выручки на 10% (не выходя за пределы релевантного диапазона).
Определить:
1. Величину валовой маржи в текущем и планируемом году.
2. Сумму прибыли, планируемую к получению в следующем году, и величину эффекта операционного рычага.
Решение:
Валовая маржа (или сумма покрытия) определяется как выручка от реализации – переменные затраты,[2]
40 000 – 31 000 = 9 000 руб. в текущем году.
В следующем году меняется величина выручки на 10 %
40 000 + 4 000 = 44 000 руб.
Тогда соответственно, на 10 % увеличиваются и переменные издержки
31 000 + 3 100 = 34 100 руб.
Тогда соответственно
44 000 – 34 100 = 9 900 руб. в следующем году.
Отсюда, следуя за динамикой выручки, получаю прибыль: (44 000 – 34 100 – 3 000)= 6 900 руб. составляет планируемая прибыль в следующем году.
Величина эффекта финансового рычага, или сила находится как (40 000 – 31 000) / (40 000 – 31 000 – 3 000) = 1,5. т.е. увеличение выручки на 10 % спровоцирует рост прибыли на 15 % = 10% *1,5, и прибыль составит 6 900 руб.
Задача 2.
Условие задачи:
Компания рассматривает инвестиционный проект со следующими условиями. Денежный поток по годам (млн. руб.): 200; 40; 50; 80; 30. Прогнозируемая стоимость капитала по годам: 12%; 12%; 13%; 14%; 14%
Определить:
Проанализировать экономическую целесообразность реализации данного проекта.
Решение:
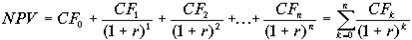
В данном случае, поскольку в проекте денежные потоки неравномерны, я думаю, можно воспользоваться следующей моделью расчета показателя NPV (чистая стоимость денежных потоков или экономическая стоимость предприятия)

Здесь NPV находится прямым подсчетом:
40 50 80 30
NPV[3]
= 200 + ¾¾ + ¾¾¾ + ¾¾¾¾¾¾ + ¾¾¾¾¾¾ = 314,75 млн. руб., 1,12 1,12×1,13 1,12×1,13×1,14 1,12×1,13×1,142
поскольку полученный показатель имеет положительное значение, т.о. проект прибыльный, соответственно целесообразно его реализовывать.
Заключение
Финансовый менеджмент представляет собой важную часть менеджмента, или форму управления процессами финансирования предпринимательской деятельности. Финансовый менеджмент, или управление финансами предприятия, означает управление денежными средствами, финансовыми ресурсами в процессе их формирования, распределения и использования с целью получения оптимального конечного результата. Финансовый менеджмент представляет собой управление финансами предприятия, направленное на оптимизацию прибыли, максимизацию курса акций, максимизацию стоимости бизнеса, чистой прибыли на акцию, уровня дивидендов, чистых активов в расчете на одну акцию, а также на поддержание конкурентоспособности и финансовой устойчивости хозяйствующего субъекта. Финансовый менеджмент как наука управления финансами направлена на достижение стратегических и тактических целей хозяйствующего субъекта. Финансовый менеджмент как система управления состоит из двух подсистем: 1) управляемая подсистема (объект управления). 2) управляющая подсистема (субъект управления). Финансовый менеджмент реализует сложную систему управления совокупно-стоимостной величиной всех средств, участвующих в воспроизводственном процессе, и капиталом, обеспечивающим финансирование предпринимательской деятельности. Существует 2 основных типа функций финансового менеджмента: 1). Функции объекта управления: 1. воспроизводственная, обеспечивает воспроизводство авансированного капитала на расширенной основе; 2. производственная – обеспечение непрерывного функционирования предприятия и кругооборота капитала; 3. контрольная (контроль управления капиталом, предприятием). 2). Функции субъекта управления: 1. прогнозирование финансовых ситуаций и состояний; 2. планирование финансовой деятельности; 3. регулирование; 4. координация деятельности всех финансовых подразделений с основным, вспомогательным и обслуживающим подразделениями предприятия; 5. анализ и оценка состояния предприятия; 6. функция стимулирования; 7. функция контроля за денежным оборотом, формированием и использованием финансовых ресурсов.
Список использованных источников
1. Александер Г.Д., Бейли Д.В., Шарп У.Ф. Инвестиции. М.: ИНФРА-М, 2004, с. 1028;
2. Ковалев В.В. Введение в финансовый менеджмент. М.: Финансы и статистика, 2005, с.768;
3. Ружанская Н.В. Особенности расчета финансового рычага в Российской практике финансового менеджмента // Финансовый менеджмент №6, 2005
4. Шеремет А.Д., Сайфуллин Р.С. Методика финансового анализа. – М.: ИНФРА-М, 1995. – 176 с.
5. Финансовый менеджмент: теория и практика: Учебник. / Под ред. Е.С. Стояновой. – 5-е изд., перераб. и доп. – М.: Перспектива, 2000. – 656 с.
[1]
Ружанская Н.В. Особенности расчета финансового рычага в Российской практике финансового менеджмента // Финансовый менеджмент №6, 2005
[2]
Финансовый менеджмент: теория и практика: Учебник. / Под ред. Е.С. Стояновой. – 5-е изд., перераб. и доп. – М.: Перспектива, 2000. – 656 с.
[3]
Финансовый менеджмент: теория и практика: Учебник. / Под ред. Е.С. Стояновой. – 5-е изд., перераб. и доп. – М.: Перспектива, 2000. – 656 с.
|