| ФЕДЕРАЛЬНОЕ АГЕНТСТВО ПО ОБРАЗОВАНИЮ
Государственное образовательное учреждение высшего профессионального образования
АМУРСКИЙ ГОСУДАРСТВЕННЫЙ УНИВЕРСИТЕТ
(ГОУВПО «АмГУ»)
КОНТРОЛЬНАЯ РАБОТА
на тему:
Специфические методы исследования
по дисциплине
Исследование систем управления
Благовещенск 2010
Содержание
Введение
1. Специфические методы исследования систем управления
1.1 Эвристические методы исследования систем управления
1.1.1 Методы активизации технологии творчества
1.1.2 Ассоциативные методы
1.1.3 Метод «мозгового штурма»
1.1.4 Метод синектики
1.2 Формализованные методы исследования систем управления
1.2.1 Параметрический метод
1.2.2 Морфологический метод и его модификации
1.2.3 Комбинаторный метод
1.2.4 Методы логического поиска
1.2.5 Метод «букета проблем»
1.2.6 Методы поиска новых технических решений
1.3 Статистические методы анализа систем управления
1.3.1 Регрессионный анализ
1.3.2 Корреляционный анализ
1.3.3 Дисперсионный анализ
1.3.4 Ковариационный анализ
1.3.5 Метод временных рядов
1.3.6 Метод главных компонентов
1.3.7 Факторный анализ
1.4 Детерминированные методы анализа систем управления
1.5 Синтез систем управления методами оптимизации
1.5.1 Синтез систем управления методами безусловной оптимизации
1.5.2 Синтез систем управления с помощью многокритериальной оптимизации
1.6 Синтез систем управления методами математического программирования
1.6.1 Методы решения задач линейного программирования
1.6.2 Методы решения задач нелинейного программирования
1.6.3 Методы решения задач дискретного (целочисленного) программирования
1.6.4 Методы динамического программирования
1.6.5 Методы стохатического программирования
1.7 Анализ и синтез систем управления с помощью математических теорий
1.7.1 Теория принятия решений
1.7.2 Теория массового обслуживания
1.7.3 Теория эффективности
1.7.4 Теория игр
Заключение
Библиографический список
Введение
Методология - это логическая организация деятельности человека состоящая в определении цели и предмета исследования, подходов и ориентиров в его проведении, выборе средств и методов, определяющих наилучший результат.
Главную роль в методологии играют средства и методы исследования, которые можно разделить на три группы: формально-логические, общенаучные и специфические.
Забиваем Сайты В ТОП КУВАЛДОЙ - Уникальные возможности от SeoHammer
Каждая ссылка анализируется по трем пакетам оценки: SEO, Трафик и SMM.
SeoHammer делает продвижение сайта прозрачным и простым занятием.
Ссылки, вечные ссылки, статьи, упоминания, пресс-релизы - используйте по максимуму потенциал SeoHammer для продвижения вашего сайта.
Что умеет делать SeoHammer
— Продвижение в один клик, интеллектуальный подбор запросов, покупка самых лучших ссылок с высокой степенью качества у лучших бирж ссылок.
— Регулярная проверка качества ссылок по более чем 100 показателям и ежедневный пересчет показателей качества проекта.
— Все известные форматы ссылок: арендные ссылки, вечные ссылки, публикации (упоминания, мнения, отзывы, статьи, пресс-релизы).
— SeoHammer покажет, где рост или падение, а также запросы, на которые нужно обратить внимание.
SeoHammer еще предоставляет технологию Буст, она ускоряет продвижение в десятки раз,
а первые результаты появляются уже в течение первых 7 дней.
Зарегистрироваться и Начать продвижение
Формально-логические - это методы интеллектуальной деятельности человека, составляющей основу исследований управления.
Общенаучные методы отражают научный аппарат исследования, определяющий эффективность любого типа.
Специфические - это методы, которые рождаются спецификой систем управления и отражают особенность управленческой деятельности. Специфическими методами исследования систем управления являются: эвристические, формализованные, статистические, детерминированные методы анализа систем управления, синтез систем управления методами оптимизации, синтез систем управления методами математического программирования, анализ и синтез систем управления с помощью математических теорий.
1. Специфические методы исследования
1.1 Эвристические методы исследования систем управления
1.1.1 Методы активизации технологии творчества
Интенсивность (производительность) любого процесса (в том числе творческого) обусловлена взаимным действием трех основных причин:
· движущих сил процесса — внешних и внутренних побудительных обстоятельств, причин, мотивов, вызывающих течение процесса;
· факторов ускорения — внешних и внутренних условий процесса, воздействия на которые позволяет увеличить интенсивность процесса;
· факторов торможения — внешних и внутренних условий процесса, воздействие на которые позволяет уменьшить интенсивность процесса.
Попытка формализовать метод активизации технологии творчества с точки зрения системного анализа осуществлена в работе А.Б. Потапова. В ней рассмотрены направления развития системных объектов, общие законы развития систем и закономерности структурных преобразований систем. Метод активизации технологии творчества позволяет решать проблемные ситуации поэтапно и может быть представлен в следующем виде.
Этап 1.
Формулировка задачи в системных категориях в виде потребительского противоречия. Важной особенностью данного этапа является необходимость принятия решения о стратегии дальнейшей поисковой деятельности.
Этап 2.
Задача решается на базе условий первого этапа, т.е. отталкиваясь только от системной формулировки задачи. Решение производится за счет личных творческих возможностей и информированности разработчика (исследователя, руководителя и т.д.), без применения каких-либо внешних методических приемов.
Этап 3.
Если проблемная ситуация не решается на втором этапе простым силовым наскоком, значит, творческие ресурсы исчерпаны и пришло время применить методические средства — специальные приемы и логические операторы.
Сервис онлайн-записи на собственном Telegram-боте
Попробуйте сервис онлайн-записи VisitTime на основе вашего собственного Telegram-бота:
— Разгрузит мастера, специалиста или компанию;
— Позволит гибко управлять расписанием и загрузкой;
— Разошлет оповещения о новых услугах или акциях;
— Позволит принять оплату на карту/кошелек/счет;
— Позволит записываться на групповые и персональные посещения;
— Поможет получить от клиента отзывы о визите к вам;
— Включает в себя сервис чаевых.
Для новых пользователей первый месяц бесплатно.
Зарегистрироваться в сервисе
Этап 4.
Если задача не решается на третьем этапе, следует продолжить решение, используя операторы предварительного "дробления" задачи (оператор выявления противоречия; оператор применения приемов и таблиц разрешения противоречий; оператор применения законов интеграции и дифференциации).
Этап 5.
Если процедуры четвертого этапа не привели к разрешению проблемной ситуации, следует продолжить решение задачи, используя операторы полного "ослабления" задачи (оператор определения физического противоречия; оператор применения приемов разрешения физических противоречий).
1.1.2 Ассоциативные методы
К ассоциативным методам (во многом аналогичным) относятся: метод каталога, метод фокальных объектов, метод гирлянд случайностей и ассоциаций и др. Эти методы основываются на применении в творческом процессе семантических свойств понятий путем использования аналогии их вторичных смысловых оттенков. Основными источниками для генерирования новых идей служат ассоциации, метафоры и случайно выбранные понятия.
Метод фокальных объектов
дает хорошие результаты при поиске новых модификаций известных способов и устройств и для тренировки воображения. Сущность этого метода состоит в перенесении признаков случайно выбранных объектов на совершенствуемый объект, который лежит как бы в фокусе переноса.
Дальнейшим развитием метода фокальных объектов является метод гирлянд случайностей и ассоциаций.
Он помогает найти большое количество подсказок для новых идей путем образования ассоциаций.
Метод контрольных вопросов
используется для психологической активизации творческого процесса, когда с помощью наводящих вопросов пытаются подвести к решению задачи. Суть метода состоит в том, что исследователь (изобретатель) отвечает на вопросы, содержащиеся в универсальных вопросниках (составленных Д. Пирсоном, Э. Раудзенпом и др.) и в связи с ними рассматривает свою задачу.
1.1.3 Метод "мозгового штурма"
Метод "мозгового штурма" разработан американским предпринимателем и изобретателем А. Осборном в 1953 г. и применяется для получения новых идей в науке, технике, административной и торговой деятельности. Основные правила "мозгового штурма" следующие.
1. Задачу последовательно решают две группы людей по 4—15 человек в каждой (оптимальный состав 6—12 человек). Первая группа только выдвигает различные идеи — это группа генераторов идей. В нее желательно включать людей, склонных к бурной фантазии, к абстрагированию. Вторая группа — эксперты — по окончании штурма выносит суждение о ценности выдвинутых идей. В ее составе лучше работают люди с аналитическим, критическим складом ума. Условия задачи перед ее штурмом формулируются только в общих понятиях.
2. Основная задача группы генераторов — выдать за отведенное время как можно больше идей (в том числе фантастических, явно ошибочных и т.д.), чем нереальнее идеи, тем сильнее сказывается их действие на последующем процессе их генерации. При окончательном разборе многие предложения окажутся бесполезными. Однако сам процесс должен вызвать бурный поток идей, которые следуют непрерывно, дополняя и взаимно обогащая друг друга. Коллективный разум помогает генерировать последовательность предложений. Все они высказываются без доказательств и записываются в протокол или фиксируются на магнитной ленте.
3. При генерации идей запрещена всякая критика, не только явная словесная, но и скрытая — в виде скептических улыбок, мимики, жестов и т.д.
4. Экспертизу и отбор идей после окончания процесса генерирования следует проводить очень внимательно. При их оценке надо тщательно продумывать все идеи, даже те, которые считаются несерьезными, нереальными или абсурдными.
5. Процессом решения задачи управляет руководитель "штурма", который обеспечивает соблюдение всех условий и правил. Руководитель должен выполнять свои обязанности без приказаний и критики, направлять работу в нужное русло. Он задает различные вопросы, иногда что-то подсказывает или уточняет, не допуская при этом перерывов в беседе.
6. Если задача не решена в ходе штурма, можно повторить процесс решения. Однако лучше это сделать с другим коллективом. С тем же коллективом проблему можно обсудить в ином аспекте или в более широкой формулировке, что делает старую задачу неузнаваемой. Участники "штурма" воспринимают ее как новую, и это способствует движению мыслей по другому руслу.
Недостатки
метода "мозгового штурма": поиск ведется практически простым перебором вариантов; отсутствие четких правил работы — бестолковость поисков возведена в принцип; отсутствие критериев, позволяющих оценить уровень выдвигаемых идей, что приводит к "проскакиванию", уходу от сильного направления.
1.1.4 Метод синектики
Идея синектики состоит в объединении отдельных творцов в единую группу для совместной постановки и решения конкретных задач. При использовании синектики формируются постоянные группы людей (5—7 человек) различных специальностей, которых обучают творческим приемам.
Теоретической основой синектики стали утверждения, что творческий процесс познаваем и может быть рационально организован. Творческие процессы отдельного лица и коллектива аналогичны, иррациональный момент в творчестве важнее рационального; в скрытом состоянии находится очень много творческих способностей, которые можно выявлять и стимулировать. Структура современного синектического метода включает следующие этапы.
Этап 1.
Формулируют проблему в общем виде. На синектические заседания приглашаются эксперты (специалисты в области данных проблем), которые поясняют проблемную ситуацию.
Этап
2.
Начинают анализ проблемы.
На этом этапе изыскиваются возможности незнакомую и непрерывную проблему в привычную. Каждый участник, включая эксперта, обязан найти и оригинально сформулировать одну цель решения. По существу, в большинстве случаев этот этап означает дробление проблемы на части, на подпрограммы. Одну из наиболее удачных формулировок выбирает эксперт или руководитель.
Этот этап синекторы называют "формулировка проблемы как ее понимают".
Этап 3.
Ведут генерирование идей решений проблемы в той ее формулировке, на которой остановлен выбор. Фактически на этом этапе ищется новая точка зрения на рассматриваемую проблему. При этом синектический процесс состоит в попытках превратить незнакомое в знакомое и наоборот — превратить знакомое в незнакомое.
Процесс превращения неизвестного в известное ведет за собой огромное разнообразие решений, но требование новины — это, как правило, требование новой точки зрения, взгляда на проблему. Большинство проблем не являются новыми. Смысл в том, чтобы сделать их новыми, создав тем самым потенциал для выхода на новые решения.
Этап 4.
Далее производят перенос обнаруженных в процессе генерации новых идей к этапам 1 или 2 и выявляют их возможности. Важным элементом этого этапа является критическая оценка экспертов.
Этап
5. Заключительный этап синектического заседания — развитие и максимальная конкретизация идеи, признанной наиболее удачной, и описание ее на специальном (техническом, семантическом и др.) языке.
1.2 Формализованные методы исследования систем управления
1.2.1 Параметрический метод
Понятие физического противоречия занимает центральное место в концепции параметрического метода. Сущностью метода является выявление и устранение физических противоречий, присущих исходной системе. Под физическим противоречием понимаются взаимоисключающие требования, предъявляемые к элементу системы. Они состоят в том, что один из характеризующих его параметров должен иметь два разных значения. При этом параметр элемента системы называется узловым параметром,
а характеризуемый им элемент — узловым элементом.
Применение метода возможно в двух вариантах: эвристический (с "ручным" алгоритмом решения поисковых задач) и направленный (с применением машинных алгоритмов). Все элементы базы эвристического варианта параметрического метода описываются только по одному признаку — ''удовлетворять требования физического противоречия". А признак "выполнять функцию..." определяется пользователем в результате анализа производных систем на предмет однофункциональности с исходной системой (рис.1).


Рисунок 1 - Блок-схема параметрического метода
1.2.2 Морфологический метод и его модификации
Суть метода заключается в следующем. В совершенствуемой системе выделяют несколько характеристик структурных или функциональных морфологических признаков. Каждый признак может характеризовать какой-то параметр пли характеристику системы, от которых зависят решение проблемы и достижение основной цели.
По каждому выделенному морфологическому признаку составляют список его различных конкретных вариантов, альтернатив. Признаки с их альтернативами можно располагать в форме таблицы, называемой морфологическим ящиком, что позволяет лучше представить себе поисковое поле.
Трудности применения морфологического анализа заключаются в том, что не существует какого-либо действительно практического и универсального метода оценки эффективности того или иного варианта решения.
К модификациям
морфологического метода относятся:
• метод организующих понятий;
• метод "матриц открытия";
• метод десятичных матриц поиска:
• метод семикратного поиска.
Метод организующих понятий
включает:
1) установление организующих понятий и определение их отличительных признаков;
2) классификацию организующих понятий по степени их важности;
3) проведение наглядных сопоставлений организующих понятий с их отличительными признаками и разработку на этой основе руководящего материала для возможных решений, соответствующих выбранным ограничениям;
4) оценку признаков в отношении их соответствия специальным требованиям задачи;
5) комбинацию признаков различных организующих понятий в решения.
Каждая комбинация отличительных признаков (по одному от каждого организующего понятия) дает один вариант решения. Для облегчения поиска рациональных комбинаций предлагаются приемы, аналогичные приемам составления морфологических матриц.
Метод "матриц открытия".
Суть метода заключается в построении таблицы, в которой пересекаются два ряда характеристик. Если в морфологическом анализе все выбранные характеристики относятся к строению объекта, то в этом методе часть из них может касаться, например, условий потребления, производства, эксплуатации и т.д. Сам метод не дает законченных решений, но создает возможность для ассоциаций, постановки новых проблем.
Метод десятичных матриц поиска.
Данный метод включает поиск новых технических решений на основе анализа результатов систематического применения десяти эвристических приемов
к каждому из десяти показателей технической системы.
В качестве основных выделены следующие десять групп показателем технической системы:
геометрические (длина, ширина, высота, площадь и т.д.);
физико-механические (вес, прочность, эластичность и др.);
энергетические (вид энергии, КПД и др.);
конструкционно-технологические;
надежность и долговечность;
эксплуатационные (производительность, точность, стабильность параметров и др.);
экономические (себестоимость, трудовые затраты, потери и др.);
степень стандартизации и унификации;
удобство обслуживания и безопасность (шум, вибрации, освещенность, температура и др.);
художественно-конструкторские (гармоничность, масштабность).
Для преобразования основных показателей используют десять групп эвристических приемов:
неология —
перенос в данную отрасль техники новых для нее значений основных показателей технических объектов;
адаптация
— приспособление известных процессов, конструкций, форм, материалов и их свойств к данным конкретным условиям;
мультипликация —
умножение, увеличение основных показателей;
дифференциация —
связана с дифференциацией показателей (дробление, разделение, очистка и т.д.);
интеграция —
связана с интеграцией показателей (сложение, соединение, смешивание, сближение и т.д.);
инверсия
— изменение порядка на противоположный, обращение, выворачивание и т.д.;
импульсация —
связана с импульсивными изменениями показателей технических объектов;
динамизация —
связана с динамикой, изменением во времени веса, температуры, размеров, цвета и других показателей технических объектов;
аналогия —
отыскание и использование сходства, подобия в каком-либо отношении показателей данного технического объекта и известных объектов;
идеализация —
приближение показателей технического объекта к идеальным.
Такая классификация позволяет построить десятичную матрицу поиска, в строках которой записаны основные изменяемые показатели, характеристика технического объекта, а в столбцах — основные группы эвристических приемов (матрица 10 х 10). Каждая ее ячейка соответствует определенному изменению какого-либо из основных параметров объекта и готовых технических решений еще не содержит, но способствует возникновению ассоциации, активизирует поиск идеи решения.
Метод семикратного поиска.
Особенностью метода является деление всех стадий и элементов процесса поиска решений на семь частей, что связано со способностями человеческого мозга воспринимать и эффективно перерабатывать информацию в названных пропорциях.
Стратегия поиска
состоит из анализа проблемной ситуации и общественных потребностей, анализа функций аналогов и прототипа, постановки задачи, генерирования идей и выбора эвристических средств, конкретизации идей, оценки вариантов и выбора оптимального, упрощения, развития и реализации решения. Тактическая часть
— многочисленные приемы, применяемые на разных стадиях решения. Среди них используется прием "семи ключевых слов" и таблицы, аналогичные десятичным матрицам поиска, но размером 7x7.
1.2.3 Комбинаторный метод
Комбинаторный метол является усовершенствованием морфологического метода. Примерную схему комбинаторного метода можно представить следующим образом.
С помощью анализа сначала следует определить в объекте рабочий орган. Этому способствует само наименование объекта, определение его основной функции, восприятие физической сути исполнения этой функции, воображение. Рабочий орган должен иметь мало частей (элементов).
Выделив рабочий орган, следует составить сопоставимые перечни вариантов по отдельным признакам. Первые перечни выделяются для составных частей рабочего органа. Зачастую одну из этих частей можно вообразить себе как рабочую среду (жидкость, газ), в которой помещаются другие части рабочего органа. При этом необходимо знать, из какого материала она образована. Такой же перечень в случае надобности может быть составлен и для других, уже установленных частей рабочего органа. Составляют перечни для характеристики их материала. После этого выделяется перечень для описания геометрической формы рабочего органа.
Затем переходят к структуре рабочего органа. Выделяются перечни для взаимного расположения его частей для перечисления сочетаний подвижных и неподвижных частей рабочего органа.
В случае необходимости образуются другие перечни, относящиеся к структуре рабочего органа. Последние предусматриваются для определения взаимосвязи частей рабочего органа. Здесь возможны три случая: в первом — части рабочего органа двигаются механически; во втором — на части рабочего органа воздействуют не механически, а при помощи энергии поля (в данном случае выделяют перечень энергии поля, которая воздействует на рабочий орган); в третьем — на части рабочего органа воздействуют механически и при помощи энергии поля, которая в данном случае будет изменять рабочие характеристики объекта.
1.2.4 Методы логического поиска
Метод "И — ИЛИ-дерево".
Данный метод представляет собой удачный симбиоз системною и морфологического методов выбора цели творческой деятельности.
Системное представление объекта требует, чтобы исследователь мысленно видел объект в трех аспектах: как нечто целое, как часть более обшей системы (надсистемы) и как совокупность более мелких частей (элементов подсистемы). При этом в надсистеме следует просмотреть и все ее составные части, так или иначе связанные с системой. Фактически объект представляется в виде трехэтажной структуры (рис. 2).

Рисунок 2 - Структурная схема надсистем и систем
Конкретная надсистема (НС) в данном случае представлена функционально значимыми системами (С; С1; С2; СЗ). Однако каждая из этих внутренних функций надсистемы, приписанных соответствующим системам, может быть выполнена не единственным способом. Это значит, что, в частности, связь НС—С можно представить в более полном виде (рис.3).

Рисунок 3 - Структурная схема с альтернативными реализациями
Здесь ОС — обобщенное наименование системы С типа "система для реализации функции Ф". С, А1С, А2С — альтернативные варианты конкретных систем, способных реализовать функцию Ф. Если те же операции провести со всеми системами, то получится структура (дерево), в которой надсистема НС расчленена на функционально значимые обобщенные системы ОС1, ОС2, ОСЗ. Этажом ниже представлены все альтернативные варианты реализации каждой из обобщенных систем (С, А1С, А2С, С1, А1С, А2С...). Нижний из этих трех этажей (на котором расположена и наша исходная система С) включает в себя только альтернативы и называется ИЛИ - этажом. Это нулевой этаж.
На первом этаже альтернатив нет, есть взаимосвязанные обобщенные системы, в совместном функционировании обеспечивающие существование надсистемы НС, поэтому первый этаж — И-этаж.
Дальше построение "И — ИЛИ-дерева" ведется тем же правилам: каждая система нулевого этажа расчленяется на функциональные обобщенные подсистемы, и для каждой из этих подсистем создается комплект альтернативных ее реализаций (тем самым формируется 2-й этаж типа "ИЛИ").
Эту процедуру попарного добавления этажей можно, вообще говоря, продолжать и вверх, и вниз. Видно, что при каждом продвижении вниз число элементов этапа сильно возрастает (обычно в 3—5 раз).
Метод логического мышления.
Ясное мышление — логическое: это процесс рассуждения, при котором одно доказательство вытекает из другого и в результате делаются правильные выводы. Ясное мышление — аналитическое: просеивание информации, отбор нужной, выявление взаимосвязей и доказательство их существования.
Когда мы формируем предложение или утверждение, мы обобщаем то, что наблюдали до сих пор— результаты наших анализов или опыта, и исходя из этого делаем выводы о том, чего не наблюдали. Кроме того, мы обращаемся к свидетельствам — наблюдениям и опыту других людей.
В логическом мышлении главное — избегать ошибочности и обманчивости аргументов, т.е. заблуждений.
Заблуждения —
это необоснованные аргументы, ведущие к ошибке к рассуждениях или неправильному мнению. Основные заблуждения, которых необходимо избегать или замечать в аргументах других людей, — это: огульные утверждения; предвзятая, односторонняя аргументация; сверхупрощение; ложные выводы; считать спорный вопрос не требующим доказательств; ложные аналогии; использование двусмысленных слов; искаженная логика.
1.2.5 Метод "букета проблем"
Метод "букета проблем" состоит в том, что основываясь на исходной формулировке проблемы, рассматривают несколько иных проблем, формулируя тем самым группу, или "букет" проблем, состав которых представлен ниже.
ПКД
— проблема, как она дана.
Это исходная формулировка.
ПОП — проблема в общем виде.
Наша частная задача может быть обобщена не единственным образом. Существует простой алгоритм, позволяющий получить обобщенные формулировки при разных уровнях обобщения. Для его реализации делят исходную формулировку на смысловые группы, затем для каждой из смысловых групп пытаются подобрать более общее понятие. Если для N
смысловых групп исходной формулировки операция прошла успешно, то после этого можно сформировать N
обобщенных формулировок первого уровня (когда в исходной формулировке только одна смысловая группа заменена обобщенным ее выражением), N
(N -
1)/2 обобщенных формулировок второго уровня (заменены более общими две смысловые группы) и т.д.
ПА — проблема-аналог.
Уяснив себе функцию, действие, которое требуется осуществить в исходной задаче, следует мысленно посмотреть, где, в каких областях человеческой деятельности (или в каких природных явлениях, в животном или растительном мире) возникает необходимость в таком же действии или такой же функции и как эти проблемы решены там.
ПФВ — проблема на уровне физических взаимодействий.
Затруднение, вызвавшее исходную проблему, обычно связано с тем, что какой-либо объект или часть его не обладает теми свойствами или теми возможностями, которые позволили бы снять или решить исходную проблему. Поэтому на данном этапе полезно просмотреть, а что в объекте или его окружении можно было изменить так, чтобы исходная проблема либо исчезла вообще, либо решалась тривиально.
ОП — обратная проблема.
Иногда формулирование обратного, противоположного действия наводит на решение прямой проблемы. Между прочим, обратная проблема может быть и не в единственном варианте, так как отрицать можно не только действие целиком, но и часть его.
1.2.6 Методы поиска новых технических решений
Алгоритм решения изобретательских задач (АРИЗ).
Смысл АРИЗ состоит в том, чтобы путем сравнения идеального и реального выявить техническое противоречие или его причину — физическое противоречие, и устранить (разрешить) их, перебрав варианты их устранения.
Стратегия решения изобретательской задачи при помощи АРИЗ состоит в следующем. Формулируют исходную задачу в общем виде. Обрабатывают и уточняют ее, учитывая действие вектора психологической инерции и технические решения в данной и других областях. Излагают условия задачи, состоящей из перечисления элементов технической системы и нежелательного эффекта, производимого одним из элементов. Затем формулируют по определенной схеме идеальный конечный результат, который служит ориентиром. В сравнении с идеальным конечным результатом реального технического объекта выявляется техническое противоречие, а затем его причина — физическое противоречие.
К недостаткам АРИЗ относят то, что он чрезвычайно трудоемкий, не предусмотрено решение задач синтеза, а также отсутствует анализ структуры противоречия технической системы.
Обобщенный алгоритм поиска новых технических решений
. Он состоит из этапов, при прохождении которых используется большой информационный аппарат, состоящий из восьми массивов информации. Хранение их в памяти ЭВМ обеспечивает быстрый поиск нужных вариантов на каждом этапе решения задачи.
Рассмотрим сущность информационных массивов.
Массив 1— список требований, предъявляемых к техническим решениям.
Включает как общие требования, применимые к решениям в различных отраслях техники, так и частные, относящиеся к конкретным решениям. Источниками для составления такого списка являются требования, сформулированные в ГОСТах, нормативах и технических условиях на различные виды изделий, а также специализированные перечни требований, обеспечивающих минимизацию стоимости изготовления.
Массив 2— список методов выявления недостатков в технических решениях.
Содержит разнообразные приемы и методы, вскрывающие их в объектах различных отраслей техники: от внешнего осмотра до проведения специальных испытаний.
Массив
3
— фонд физических эффектов
.
В фонде физических эффектов должны быть вес известные на данное время науке, а также практике физические, физико-химические и прочие эффекты и явления.
Массив 4— фонд технических решений
содержит наиболее эффективные технические решения из всех отраслей техники, включая последние запатентованные.
Массив
5
— список методов
выявления причин возникновения недостатков в технических решениях
(объектах) включает известные методы анализа неудовлетворительного выполнения основных функций, отказов, разрушений объектов или их элементов в различных отраслях техники.
Массив 6 (Мб) — фонд эвристических приемов.
Содержит описание перечня из 420 эвристических приемов, в которые входят 826 поисковых процедур. Назначение фонда — конструктивно-технологические преобразования объектов и их элементов в процессе решения задачи.
Массив
7
— список поисковых
процедур.
Включает ряд процедур из известных методов поиска новых технических решений, из материалов по инженерному проектированию и личного опыта изобретателей.
Массив 8— список
методов
оценки и выбора вариантов технических решений
содержит те из них, которые применяются в зависимости от требований к искомому техническому решению. Наиболее распространены методы экспертной оценки.
1.3 Статистические методы анализа систем управления
1.3.1 Регрессионный анализ
Регрессионный анализ ставит своей задачей исследование зависимости одной случайной величины от ряда других случайных и неслучайных величин (регрессия —
зависимость математического ожидания случайной величины от значений других случайных величин). Например, после проведения N
экспериментов на статистической модели получен набор реализаций случайных величин является независимой переменной, а X —
функцией. Обработка этого массива случайных величин позволяет представить их в виде детерминированной линейной регрессивной модели типа: где коэффициенты а
и b
рассчитываются согласно методу наименьших квадратов таким образом, чтобы квадраты отклонений случайных величин Y
от значений функций на множестве X
, были наименьшими, т.е. В случае нескольких независимых переменных регрессивная модель представляется линейным полиномом:

Данное выражение представляет собой функцию, однако, если значения достаточно велики или функция Y
. существенно нелинейна, то можно использовать разложение более высокого порядка.
Точность и надежность получаемых оценок зависят от числа наблюдений (реализаций, экспериментов) и расположения прогностических значений относительно базовых (т.е. известных на некоторый момент времени) Чем больше разность тем меньше точность прогноза.
1.3.2 Корреляционный анализ
Корреляционный анализ используется для определения степени линейной взаимосвязи между случайными величинами (корреляция —
зависимость между случайными величинами, выражающая тенденцию одной величины возрастать или убывать при возрастании или убывании другой).
Основными задачами корреляционного анализа являются оценка корреляционных характеристик и проверка статистических гипотез о степени (значимости) связи между случайными величинами.
Корреляционной характеристикой является коэффициент корреляции, равный математическому ожиданию произведений отклонений случайных величин и от своих математических ожиданий и нормированный относительно среднеквадратических отклонений данных случайных величин.
Оценки коэффициентов корреляции рассчитываются по значениям оценок математических ожиданий и среднеквадратических отклонений, полученных путем статистической обработки результатов реализаций случайных величин.
1.3.3 Дисперсионный анализ
Дисперсионный анализ используется для проверки статистических гипотез о влиянии качественных факторов на показатели, т.е. факторов, не поддающихся количественному измерению (например, качественный фактор — организация производства, влияющий на количественный показатель — прибыль от производства). В этом заключается его отличие от регрессионного анализа, в котором факторы имеют количественную меру (например, количественный фактор — затраты на производство).
1.3.4 Ковариационный анализ
Ковариационный анализ используется для создания и изучения вероятностных моделей процессов, в которых присутствуют одновременно как количественные, так и качественные факторы, т.е. он объединяет регрессионные и дисперсионные методы. Модель включает в себя регрессионные и дисперсионные факторы, первые служат для проверки гипотез о значимости количественных факторов, а вторые качественных.
1.3.5 Метод временных рядов
Анализ временных рядов используется при исследовании дискретного случайного процесса, протекающего на интервале времени Т
.
Результаты экспериментов или наблюдений, полученные на данном интервале, представляются в виде временного ряда, каждое значение Y
которого включает детерминированную f(t)
и случайную z(t)
составляющие:
Y= f(t)+ z(t).
Детерминированная составляющая описывает влияние детерминированных факторов в момент времени t
, влияние же множества случайных факторов описывает случайная составляющая. Детерминированную часть временного ряда называют трендом.
Этот временной ряд описывается так называемой трендовой моделью:

где а0
, а. —
коэффициенты тренда;
k —
количество функций времени, линейная комбинация которых определяет детерминированную составляющую;
— функция времени.
С помощью этого случайного процесса в виде временных рядов можно, во-первых, исследовать динамику этого процесса, во-вторых, выделить факторы, существенным образом влияющие на показатели, и определить периодичность их максимального воздействия, в-третьих, провести интегральный или точечный прогноз показателя Y
на некоторый промежуток времени.
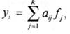
1.3.6 Метод главных компонентов
Метод главных компонентов используется при рассмотрении некоторого множества случайных значений показателей Y
в целях определения общих для них факторов (компонентов), от которых все они зависят. Степень зависимости i
-го показателя от j
-го компонента отражается величиной а,
называемой нагрузкой
i
-го показателя на j
-й компонент. Результатом анализа является модель главных компонентов, в которой каждый показатель представлен суммой произведений компонентов и их нагрузок:

где f
— центрированные, нормированные и некоррелированные компоненты. Модель главных компонентов показывает, что и в какой степени определяет исследуемые показатели, а также объясняет связи между ними.
1.3.7 Факторный анализ
Факторный анализ по своей сути совпадает с методом главных компонентов, однако позволяет представить показатели через меньшее количество факторов (компонентов), поэтому используется при исследовании сложных систем управления, с большим числом показателей и сложными взаимосвязями между ними. Предполагается, что за множеством показателей системы стоит небольшое число независимых скрытых параметров, называемых факторами.
1.4 Детерминированные методы анализа систем управления
Сущность методов детерминированного анализа состоит в нахождении оценок влияния изменения параметров на величину изменения показателя. Используется для исследования процессов и систем управления по результатам экспериментов на математической модели с неслучайными (детерминированными) переменными.
Применение детерминированных методов зависит от возможности дифференцирования функции и числа переменных. При алгоритмическом задании функции (когда она определяется последовательностью математических выражений и при большом числе переменных) используется инфлюентный анализ.
Суть инфлюентного анализа состоит в оценке влияния параметров х
, на величину изменений показателя Y.
В этом случае Д У
представляется в виде алгебраической суммы

1.5 Синтез систем управления методами оптимизации
1.5.1 Синтез систем управления методами безусловной оптимизации
Методы нулевого порядка
используют, если производную исследуемой функции найти нельзя или существуют разрывы функций.
Метод покоординатного спуска.
Сущность метода состоит в том, что производится раздельная оптимизация по параметрам функций: один из параметров считается изменяемым, а остальные фиксируются при некоторых значениях; затем изменяемым становится следующий параметр, а предыдущий принимает значение, полученное при предыдущей оптимизации (на предыдущем шаге). Процесс продолжается до окончания перебора всех параметров. Метод прост в реализации и эффективен для малого числа параметров.
Метод конфигураций.
Сущность метода заключается в поиске направления изменения параметров относительно некоторой выбранной начальной точки (строится конфигурация направления поиска). Вначале обследуют ее окрестность (по параметрам) и выбирают направление изменения параметров, ориентируясь на уменьшение исследуемой функции. Выбрав направление, начинают движение большими шагами до тех пор, пока функция уменьшается. Если этот процесс прекратился (либо его совсем не произошло), то шаг уменьшают с целью определения точки, от которой прекратилось уменьшение функции. Затем процесс повторяют от новой базовой точки или изменяют направление от предыдущей. Метод используется для задач с большим числом параметров, когда покоординатный спуск становится неэффективным.
Метод случайного поиска.
Метод имеет большое количество модификаций. Общее для них состоит в использовании элемента случайности (путем розыгрыша случайного события) при определении направления поиска и величины шага изменения параметров. Метод эффективен для сложных систем с большим числом параметров.
Методы первого порядка
используют, если возможно найти первую производную исследуемой функции. К данному классу относятся градиентные методы. Их суть заключается в определении лучшего направления и шага поиска минимума функции по значениям первых производных в некоторой точке x.
В зависимости от способа задания этого шага и производится классификация градиентных методов: градиентный спуск; наискорейший спуск; градиентный спуск с постоянным шагом; градиентный спуск с переменным шагом. Методы эффективны для функций со слабовыраженной нелинейностью.
Методы второго порядка
используют, если возможно найти вторую производную исследуемой функции. Их основой является метод Ньютона, предполагающий аппроксимацию исследуемой функции квадратичным полиномом в окрестностях некоторой точки х
(точки начального приближения). Различные модификации метода Ньютона в основном отличаются друг от друга способами расчета вторых производных. Методы второго порядка сходятся быстрее градиентных, однако требуют вычислений вторых производных.
1.5.2 Синтез систем управления с помощью многокритериальной оптимизации
Методы многокритериальной оптимизации используются в задачах многоцелевого характера, когда предназначение системы может быть реализовано лишь при достижении нескольких целей.
Многокритериальные задачи могут решаться как в условиях определенности, так и в условиях риска и неопределенности. Подобные задачи возникают в процессе реорганизации общественных систем управления, проектирования и эксплуатации автоматизированных и автономных технических систем управления, управления отраслями промышленности, войсками.
1.6 Синтез систем управления методами математического программирования
Методы математического программирования относятся к численным методам поиска оптимальных решений, которые позволяют найти решение только для конкретных значений параметров. Такими методами являются методы линейного, нелинейного дискретного, стохастического и динамического программирования.
1.6.1 Методы решения задач линейного программирования
Эти методы используются для решения однокритериальных задач оптимизации, целевая функция которых отвечает условиям детерминированности и линейности, а на значения переменных накладываются линейные ограничения. Линейность предполагает наличие двух свойств: пропорциональности и аддитивности. Пропорциональность означает, что вклад каждой переменной в целевую функцию прямо пропорционален величине этой переметши, а аддитивность заключается в представлении целевой функции в виде суммы вкладов от различных переменных.
К особенностям использования данных методов относится то, что оптимальному решению всегда соответствует одна из экстремальных точек пространства решений (это является следствием такого важного свойства задач линейного программирования, как выпуклость пространства решений).
1.6.2 Методы решения задач нелинейного программирования
Нелинейное программирование используется для решения однокритериальных задач оптимизации с детерминированной целевой функцией при накладываемых ограничениях в виде равенств или неравенств. Для данного класса задач снимается условие линейности функций или ограничений.
Разработанные ныне методы решения задач нелинейного программирования могут быть разделены на ряд больших групп: методы линеаризации целевой функции и ограничений, основанные на их разложении в ряд, логарифмирование и т.д., с последующим применением методов линейного программирования для решения задачи; аналитические методы нахождения экстремальных значений целевой функции при наличии ограничений. Они могут применятся при условии, что неизвестные величины непрерывны, или на этот счет сделаны соответствующие допущения, а также целевая функция и ограничения имеют частные производные хотя бы до второго порядка включительно; поисковые методы оптимизации, обеспечивающие решение нелинейной задачи путем последовательного перехода от одного допустимого решения к другому, в направлении экстремума целевой функции, до тех пор, пока дальнейшее ее улучшение станет невозможным или нецелесообразным.
1.6.3 Методы решения задач дискретного (целочисленного) программирования
Дискретное программирование используется для решения задач с детерминированной целевой функцией при ограничениях на значения переменных.
Основной особенностью является то, что все или некоторые переменные должны принимать только целочисленные (дискретные) значения. Обычно это бывает при описании неделимых объектов (людей, машин и т.п.) или при наложении жестких ограничений типа равенств.
При решении задач возникают сложности с выбором специальных дополнительных ограничений для отсечения области решений с нецелочисленными переменными, которые часто приходится выбирать по эвристическим правилам.
1.6.4 Методы динамического программирования
Данные методы используются для решения задач математического программирования, позволяющих представлять их в виде нескольких менее сложных подзадач с одной целевой функцией.
Динамическое программирование особенно эффективно для задач, условия которых позволяют составить сетевой график перехода от этапа к этапу, где узлы сети будут соответствовать различным значениям переменных, а дуги — допустимым вариантам решения.
Основным принципом, положенным в основу метода динамического программирования, является принцип оптимальности, суть которого заключается в том, что каждое последующее решение строится оптимальным образом независимо от решений, получаемых на всех предыдущих этапах, кроме последнего.
1.6.5 Методы стохастического программирования
Методы используются для задач, в которых все или отдельные параметры описываются с помощью случайных величин. Для решения стохастических задач оптимизации можно использовать градиентные методы, методы стохастического моделирования и стохастической аппроксимации, методы программирования с вероятностными ограничениями.
1.7 Анализ и синтез систем управления с помощью математических теорий
1.7.1 Теория принятия решений
Принятие решений является одним из основных этапов процесса управления в организационных (общественных) системах и представляют собой выбор одной из альтернативных стратегий или способов действий, направленных на достижение цели. Теория принятия решений используется при необходимости сделать выбор варианта действий в условиях риска и(или) наличия неопределенности. Такие условия возникают, если исходная информация выражается через вероятностные характеристики (в таком случае говорят о принятии решения в условиях риска) либо исходные данные заданы неопределенно, например, интервалами изменения или вообще только названием.
1.7.2 Теория массового обслуживания
Теория массового обслуживания используется для исследования систем управления, в которых имеется необходимость пребывать в состоянии ожидания. Это является следствием вероятностного характера возникновения потребности в обслуживании и разброса показателей соответствующих обслуживающих систем. В таких случаях исследуемую систему представляют в виде системы массового обслуживания.
Задача заключается в построении математической модели, связывающей заданные условия работы СМО с эффективностью ее работы.
1.7.3 Теория эффективности
Теория эффективности позволяет оценивать результативность использования системы управления и выбрать лучшую организацию ее применения при конкретных обстоятельствах. Сущность теории состоит в оценке эффективности достижения системой цели и затраченных на это усилий.
Теория эффективности учитывает три группы показателей эффективности процесса, характеризующих: степень достижения цели (целевые эффекты); затраты ресурсов (ресурсоемкость процесса); затраты времени (оперативность процесса).
В теории эффективности различают задачи анализа и синтеза эффективности процесса. Задачи анализа
эффективности процесса следующие: оценка эффективности процесса по выбранному критерию; анализ чувствительности показателей к изменению параметров; исследование направленности и степени влияния параметров на показатели эффективности; выбор параметров, наиболее существенным образом влияющих на показатели эффективности процесса. В задаче синтеза
формулируется цель процесса в значениях ее показателей и критерия их оценивания, а затем вырабатываются требования к параметрам системы, организации и управления процессом при определенных условиях его проведения.
1.7.4 Теория игр
Игровые задачи управления предполагают участие в активном воздействии на объект управления двух сторон или игроков [х]:
управляющей системы, которая определяет состояние объекта s = z
, обеспечивающее эффективное управление, и среды, которая формирует воздействие, ухудшающее эффективность управления. Подобные ситуации, когда игроки преследуют прямо противоположные интересы, называются конфликтными ситуациями.
Методы решения игровых задач управления
. В случае когда задача предназначена для принятия одного (единственного) решения, она сводится к задаче линейного программирования и результат отыскивается с помощью его методов.
Если же речь идет о многократно повторяемой ситуации, то используются численные методы, где игроки разыгрывают несколько партий и цена игры определяется средним выигрышем. Если цели не совпадают, то математическая модель становится гораздо сложнее и получить четкие рекомендации по оптимальному действию сторон становится значительно труднее.
Заключение
Для эффективного решения проблем и задач необходим комплексный подход с использованием основных положений анализа и синтеза систем управления. Выбор метода решения проблемы (задачи) осуществляется в зависимости от вида решения, степени соответствия потребностей и их удовлетворения в объекте управления, вида переменной лимитирующей проблемы (задачи), квалификации, квалификации специалистов. Если какой-нибудь метод на определенном этапе творческого процесса исчерпал себя, следует рассмотреть другие методы, а также их комбинации.
Области применения математических методов для целей исследования систем управления зависят от особенностей математической модели системы управления и вида исходной информации например, задачи синтеза значительно проще решать на детерминированных моделях, так как используемые при этом методы требуют рассмотрения большого числа вариантов построений системы или перебора множества значений ее параметров для поиска лучшего согласно принятому критерию. В то же время в задачах оптимизации все хорошо, когда модель линейна, однокритериальна и детерминирована. Любые отклонения от этих свойств приводят к появлению новых трудностей. Так, если оптимизируемая функция нелинейна, то приходится представлять ее как совокупность линейных функций, или линейно аппроксимировать на каком-либо интервале, либо вводить ряд допущений, т.е. искусственно уходить от нелинейности.
Для обоснования законности использования математического метода необходимо по пунктам расписать, при каких условиях он применим. Затем сравнить с ними условия своей задачи на предмет их близости. Эффективное использование математических методов возможно для задач с высоким уровнем их формализации. Чем интеллектуальнее задача, тем труднее ее формализовать, а значит, и автоматизировать с использованием вычислительных средств.
Библиографический список
1. Алексеев С.И. Исследование систем управления / С.И. Алексеев. - М.: МЭСИ, 2005. – 386 с.
2. Долятовский В.А. Исследование систем управления / В.А. Долятовский, В.Н. Долятовская. – М.: Март, 2003. – 256 с.
3. Игнатьева А.В. Исследование систем управления / А.В. Игнатьева, М.М. Максимцов. – М.: ЮНИТИ-ДАНА, 2001. – 157 с.
4. Коротков Э.М. Исследование систем управления / Э.М. Коротков. - М.: ДеКА, 2004. – 372 с.
5. Малин А.С. Исследование систем управления / А.С. Малин, В.И. Мухин. – М.: ГУ ВШЭ, 2005. – 400 с.
6. Слабов С.С. Исследование систем управления / С.С. Слабов. – М.: РГОТУПС, 2006. – 144 с.
|