Содержание:
Введение
Глава 1.Теоретические аспекты применения проектных организационных структур
1.1. Понятие и типология организационной структуры предприятия
1.2. Характеристика проектной организационной структуры
1.3. Принципы построения проектных структур и подходы к их проектированию
Глава 2. Практика применения проектных структур на примере ремонтного производственного предприятия ОАО «Электроремонт-ВКК»,
2.1. Основные проблемы общего состояния электроэнергетики
2.2. Предпосылки для построения проектной системы управления ремонтами
2.3.Применения проектных структур на примере ремонтного производственного предприятия ОАО «Электроремонт-ВКК»
Заключение
Литература
Введение
Актуальность выбора данной темы обусловлена тем, что сегодня в деятельности российских предприятий все больше возрастает роль проектного управления, как неотъемлемой составляющей их деятельности. К числу таких компаний можно отнести научно-исследовательские и проектные институты, строительные и девелоперские организации, консалтинговые и многие другие компании. Как правило, реализуемые проекты носят инвестиционный и инновационный характер, не затрагивая основную деятельность предприятия. Однако для некоторых видов бизнеса проектная система управления может стать основным принципом организации деятельности предприятия. Это обусловлено тем, что традиционные управленческие структуры, применяющиеся на предприятиях в течение нескольких десятков лет без существенных изменений, в настоящее время не в состоянии обеспечить эффективную работу и только усугубляют ситуацию, подталкивая предприятие к кризису, и поэтому все чаще любые изменения внутренней среды предприятия, возникающие при оптимизации бизнес-процессов, реструктуризации, автоматизации и пр. осуществляются в виде проектов и для своей успешной реализации требуют применения системных подходов и методов управления проектами.
По своей природе многие бизнесы являются проектно-ориентированными и для них проектные технологии составляют основу успеха их текущей деятельности.
Практика внедрения систем стратегического управления показала, что большинство стратегических целей, которые для себя устанавливает предприятие не возможно реализовать в рамках текущей деятельности (бизнес-процессов, организационной структуры и системы управления). Задача реализации стратегии эффективно решается посредством внедрения системы управления развитием на основе проектных технологий.
Забиваем Сайты В ТОП КУВАЛДОЙ - Уникальные возможности от SeoHammer
Каждая ссылка анализируется по трем пакетам оценки: SEO, Трафик и SMM.
SeoHammer делает продвижение сайта прозрачным и простым занятием.
Ссылки, вечные ссылки, статьи, упоминания, пресс-релизы - используйте по максимуму потенциал SeoHammer для продвижения вашего сайта.
Что умеет делать SeoHammer
— Продвижение в один клик, интеллектуальный подбор запросов, покупка самых лучших ссылок с высокой степенью качества у лучших бирж ссылок.
— Регулярная проверка качества ссылок по более чем 100 показателям и ежедневный пересчет показателей качества проекта.
— Все известные форматы ссылок: арендные ссылки, вечные ссылки, публикации (упоминания, мнения, отзывы, статьи, пресс-релизы).
— SeoHammer покажет, где рост или падение, а также запросы, на которые нужно обратить внимание.
SeoHammer еще предоставляет технологию Буст, она ускоряет продвижение в десятки раз,
а первые результаты появляются уже в течение первых 7 дней.
Зарегистрироваться и Начать продвижение
Выбранная в качестве темы проблема в современной науке разработана недостаточно, несмотря на то, что существует целый ряд общих концепций построения и совершенствования проектных структур. Исследования на эту тему, как правило, отражают лишь отдельные стороны проектирования, не имеют достаточно простого методического обеспечения для всего процесса создания или совершенствования проектных структур, либо привязаны к конкретным экономическим объектам, что не позволяет использовать их в широком масштабе.
Целью данной работы является изучение на базе имеющегося материала основных принципов и теоретических основ построения проектных организационных структур и сфер их применения.
Исходя из поставленной цели перед нами встает определенный ряд задач, а именно:
- рассмотреть понятие и типология организационной структуры предприятия;
- изучить характеристику проектной организационной структуры и подходы к ее проектированию;
- рассмотреть практику применения проектных структур на примере ремонтного производственного предприятия;
- выявить проблемы внедрения проектного управления.
Объектом исследования в работе являются предприятия как основные экономические объекты управления.
Предметом исследования является проектная организационной структура.
Теоретической и методологической основой исследования явились труды российских и зарубежных классиков теории управления, а также современных исследователей по проблемам проектирования системы управления предприятием: С.Хеймана, Б.З. Мильнера, Л.А. Базилевича, Б.А. А.В. Тихомировой, Э.М. Короткова, А.Я. Кибанова, М.В. Мельник и др.
Глава 1. Теоретические аспекты применения проектных организационных структур
Прежде чем рассмотреть основные понятия организационной структуры управления дадим основные определения и характеристику вообще системе управления организацией, фирмой.
Так как именно науке управления мы обязаны появлению такого понятия как организационная структура управления организацией, фирмой.
Определяющая роль в обеспечении жизнеспособности организации и достижении ими своих целей принадлежит науке об управлении.
Теоретические основы построения организаций как часть общей науки об управлении разрабатывались на стыке разных отраслей знаний - менеджмента, социологии, антропологии, психологии, юриспруденции и др. Изменения объективных условий функционирования организаций, характерные для XX века, внесли немало нового в развитие взглядов, научных концепций и управленческой практики. Рост крупных организаций, отделение управления от собственности, развитие точных наук и наук о человеке послужили основой для разработки научного подхода к организациям, принципов и методов управления ими. Это вызвало к жизни множество научных идей и школ, изучающих закономерности построения организаций, их основные черты и стимулы функционирования - формальные и неформальные организации, человеческие отношения, социальные системы, разделение функций и ответственности, принятие управленческих решений, математический аппарат процессов управления.
Сервис онлайн-записи на собственном Telegram-боте
Попробуйте сервис онлайн-записи VisitTime на основе вашего собственного Telegram-бота:
— Разгрузит мастера, специалиста или компанию;
— Позволит гибко управлять расписанием и загрузкой;
— Разошлет оповещения о новых услугах или акциях;
— Позволит принять оплату на карту/кошелек/счет;
— Позволит записываться на групповые и персональные посещения;
— Поможет получить от клиента отзывы о визите к вам;
— Включает в себя сервис чаевых.
Для новых пользователей первый месяц бесплатно.
Зарегистрироваться в сервисе
Организационная структура – это форма разделения и кооперации управленческой деятельности, в рамках которой происходит процесс управления, направленный на достижение целей организации. Отсюда структура управления включает в себя все цели, распределенные между различными звеньями, связи между которыми обеспечивают координацию по их выполнению.
Организационная структура показывает, кто и за какие участки работы отвечает. Она показывает взаимодействие (коммуникацию) отдельных участков между собой позволяет и требует на всех уровнях управления применения здравого смысла и способности оценивать обстановку.
Организационная структура - это своеобразный скелет организации, и если она выстроена неправильно, это ведет к различным патологиям, как то неэффективное выполнение бизнес-процессов компании, что приводит к тому, что организация не достигает ожидаемых результатов, либо их достигает, но с большим трудом, чем могла бы. Построение рациональной организационной структуры равносильно подбору слаженной проектной команды и разумному распределению ролей между ее участниками. Если все сделано верно, - команда будет работать слаженно и достигнет планируемых результатов.
Организационные структуры отличаются большим разнообразием форм. На сегодняшний день наиболее распространенными являются линейно-функциональная, целевая и матричная структуры управления организацией. Вместе с тем, при построении организационной структуры управления необходимо учитывать специфику, цели и задачи организации. Нет необходимости для малой организации, не отличающейся большим объемом и разнообразием выпускаемой продукции и задач строить сложные организационные структуры, т. к. это может не повысить эффективность работы, а наоборот, затруднить процесс управления организацией.
Сегодня задача менеджеров состоит в том, чтобы выбрать ту структуру, которая лучше всего отвечает целям и задачам организации, а также воздействующим на нее внутренним и внешним факторами. «Наилучшая» структура – это та, которая наилучшим образом позволяет организации эффективно взаимодействовать с внешней средой, продуктивно и целесообразно распределять и направлять усилия своих сотрудников и, таким образом, удовлетворять потребности клиентов и достигать своих целей с высокой эффективностью.
Для продуктивной работы фирмы и своевременного реагирования на постоянно изменяющиеся внешние и внутренние факторы ей необходима наиболее подходящая для нее управленческая структура, способная со временем видоизменяться и модернизироваться[1]
.
1.2 Характеристика проектной организационной структуры
Проектные структуры- это структуры управления комплексными видами деятельности, которые из-за их решающего значения для компании требуют обеспечения непрерывного координирующего и интегрирующего воздействия при жестких ограничениях по затратам, срокам и качеству работ.
Традиционно руководитель подразделения в любой крупной компании в рамках организационной структуры иерархического типа имеет множество различных обязанностей и несет ответственность за разнообразные аспекты нескольких разных программ, проблем, проектов, видов продукции и услуг. Неизбежно, что в этих условиях даже хороший руководитель будет на какие-то виды деятельности обращать больше внимания, а на другие - меньше. В результате невозможность учесть все особенности, все детали проектов могут привести к самым серьезным последствиям. Поэтому для того, чтобы управлять проектами и, прежде всего, крупномасштабными, и используются специальные проектные структуры управления.
Проектные структуры в компании, как правило, применяются тогда, когда возникает необходимость разработать и осуществить организационные проект комплексного характера, охватывающий, с одной стороны, решение широкого круга специализированных технических, экономических, социальных и иных вопросов, и, с другой стороны, деятельность различных функциональных и линейных подразделений. К организационным проектам можно отнести любые процессы целенаправленных изменений в системе, например, реконструкцию производства, разработку и освоение новых видов продукции и технологических процессов, строительство объектов и т. д.
Под проектной структурой управления понимается временная структура, создаваемая для решения конкретной комплексной задачи (разработки проекта и его реализации). Смысл проектной структуры управления состоит в том, чтобы собрать в одну команду самых квалифицированных сотрудников разных профессий для осуществления сложного проекта в установленные сроки с заданным уровнем качества и в рамках выделенных для этой цели материальных, финансовых и трудовых ресурсов.
Проектная структура управления предполагает обеспечение централизованного управления всем ходом работ по каждому крупному проекту.
Существует несколько типов проектных структур. В качестве одной из их разновидностей можно привести так называемые чистые или сводные проектные структуры управления, подразумевающие формирование специального подразделения - проектной команды, работающей на временной основе. Временная группа специалистов в сущности представляет собой уменьшенную по масштабам копию постоянной функциональной структуры данной компании. Правда, на практике эти проектные команды редко находят отражение на формальных схемах организационных структур управления. В состав временных групп включают необходимых специалистов: инженеров, бухгалтеров, руководителей производства, исследователей, а также специалистов по управлению. Руководитель проекта наделяется проектными полномочиями (полной властью и правами контроля в рамках конкретного проекта). Руководитель отвечает за все виды деятельности от начала до полного завершения проекта или какой-либо его части. В его функции входит определение концепции и целей проектного управления, формирование проектной структуры, распределение задач между специалистами, планирование и организация выполнения работ, координация действий исполнителей. Ему полностью подчинены все члены команды и все выделенные для этой цели ресурсы. В число проектных полномочий руководителя проекта входит ответственность за планирование проекта, за составление графика и ход выполнения работ, за расходование выделенных ресурсов, в том числе и за материальное поощрение работающих. После завершения работ по проекту структура распадается, а персонал переходит в новую проектную структуру или возвращается на свою постоянную должность (при контрактной работе - увольняется).
Чисто проектные структуры, как правило, используются для решения каких-либо особенно крупномасштабных задач. В случае менее крупных проектов затраты на дублирование уже существующих в компании служб в проектной структуре управления становятся нерациональными. В таких относительно небольших проектах его руководитель может выступать в качестве консультанта высшего руководства фирмы. Или же кто-нибудь из высшего руководящего состава компании координирует реализацию проекта в рамках обычной линейно-функциональной структуры.
В качестве важнейших преимуществ такого вида структур управления можно назвать: интеграцию различных видов деятельности компании в целях получения высококачественных результатов по определенному проекту; комплексный подход к реализации проекта, решению проблемы; концентрацию всех усилий на решении одной задачи, на выполнении одного конкретного проекта; большую гибкость проектных структур; активизацию деятельности руководителей проектов и исполнителей в результате формирования проектных групп; усиление личной ответственности конкретного руководителя как за проект в целом, так и за его элементы.
К недостаткам проектной структуры управления можно отнести следующее: при наличии нескольких организационных проектов или программ проектные структуры приводят к дроблению ресурсов и заметно усложняют поддержание и развитие производственного и научно-технического потенциала компании как единого целого; от руководителя проекта требуется не только управление всеми стадиями жизненного цикла проекта, но и учет места проекта в сети проектов данной компании; формирование проектных групп, не являющихся устойчивыми образованиями, лишает работников осознания своего места в компании;
- при использовании проектной структуры возникают трудности с перспективным использованием специалистов в данной компании;
- наблюдается частичное дублирование функций.
Создание проектной структуры управления единиц предполагает организацию ее на следующих принципах:
- хозяйственной деятельности бизнес - единицы, сочетание централизованного руководства в вопросах стратегического планирования со стороны с хозяйственной самостоятельностью каждого подразделения;
- учет результатов хозяйственной Деятельности бизнес - единицы на основе внутренних счетов доходов и расходов;
- предоставление права бизнес - единицам самим распоряжаться средствами, направленными на расходы по каждому проекту и на потребление, с учетом заинтересованности работников бизнес единицы в результатах своей деятельности и усиления мотивации труда;
- экономическая ответственность бизнес – единицы за невыполнение установленного плана по выпускупродукции(работ, услуг);
- применение внутренних цен на продукцию, работы и услуги для оценки результатов работы подразделений и осуществления расчетов между ними и формирования прибыли бизнес - единицы;
- предоставление внутреннего кредита бизнес - единице для оказания ей временной финансовой помощи.
Проектные структуры занимаются оперативным и стратегическим управлением только в рамках проекта.
Например, в нефтедобывающей отрасли проектная структура занимается организацией добычи нефти только в конкретном регионе с учетом естественно только сырьевой базы региона размещения с учетом коммуникаций, транспортных сетей и так далее.
В самолетостроении проектная структура, должна заниматься не только оперативным управлением организации производства конкретной модели самолета, но и разработками на этой основе модернизированных образцов, как стратегической цели проекта (если такая разработка затребована рынком).
В цветной металлургии проектная структура должна обеспечивать оперативное управление производством сопутствующей продукции и стратегическим управлением в сфере развития этого участка производства.
Управление предприятием должно обеспечивать только стратегическое развитие проектных структур, проводить оперативную оценку текущего состояния проектов на фоне общего состояния предприятия, организовывать и развивать новые проекты и ликвидировать нерентабельные и бесперспективные. При этом в отличие от проектных структур, управление предприятием может развивать и организовывать проекты совершенно несвойственные основной деятельности предприятия.
Таким образом, кроме всего прочего значительно сокращается та часть предприятия, которая является источником условно постоянной доли общих затрат. И увеличивается источник переменной доли.
Основной структурой распределения финансовых потоков в такой схеме является проектная структура. Естественно, что и обеспечением поступлений финансовых средств и затратами на производство должна заниматься только проектная структура. Такой подход делает значительно более прозрачными расходы предприятия, и позволяет четко соотнести расходы предприятия и доходы от производства и реализации продукции и услуг.
В данном случае обращает на себя внимание перераспределение ролей комитета стратегического развития и бюджетного комитета. Если в традиционных структурах предприятий основную роль играли бюджетные комитеты (или их аналоги), то в проектных структурах главная роль отводится стратегическому управлению. То есть, прежде чем принимается решение о формировании бюджета предприятия на определенный период, проводится анализ соответствия текущего развития предприятия стратегическим целям.
Представление деятельности предприятия как совокупности производственных проектов позволяет внедрить наиболее адекватную и гибкую форму управления. Переход предприятия на проектную модель управления создает возможности для реализации предпринимательских способностей менеджеров. Принципиально иной подход к организации работ и мотивации персонала позволяет руководству компании отойти от административного стиля управления и сосредоточить свои усилия на развитии предприятия. Кроме того, скорость принятия оперативных решений и их качество обеспечивают предприятию устойчивость и конкурентоспособность.
Глава 2. Практика применения проектных структур на примере ремонтного производственного предприятия ОАО «Электроремонт-ВКК»
Главной стратегической задачей электростанций, котельных, электрических и тепловых сетей является производство, преобразование, распределение и отпуск электрической энергии и тепла потребителям (энергопроизводство).
Перед энергопроизводителями стоит ряд тактических задач: гарантированное соблюдение договорных условий энергоснабжения потребителей; поддержание нормального качества отпускаемой энергии нормированных частоты и напряжения электрического тока, давления и температуры теплоносителя; соблюдение оперативно-диспетчерской дисциплины; содержание оборудования, зданий и сооружений в состоянии эксплуатационной готовности; обеспечение максимальной экономичности и надежности энергопроизводства.
Основные производственные фонды электроэнергетики России создавались несколько десятилетий тому назад. По этой причине их износ и
соответствующая амортизация основного оборудования АО-электростанций и АО-энерго составляет к настоящему моменту времени более 50 %. При этом процесс выбытия производственных мощностей из эксплуатации в ближайшие годы будет нарастать. По оценкам специалистов доля оборудования, достигшего предельной наработки (в среднем, более 35 лет) к 2011 году составит 61% [2]
. Несмотря на то, что существующие на сегодня установленные мощности по производству электроэнергии достаточны для удовлетворения текущих запросов потребителей, с учетом возможного экономического роста и соответствующего повышения спроса на электроэнергию в более долгосрочной перспективе ситуация может измениться. Предложение может оказаться недостаточным для покрытия возросших потребностей, что приведет к дефициту электроэнергии. Таким образом, существующие производственные и технические средства не в состоянии в долгосрочной перспективе обеспечить выполнение миссии и решение тактических задач энергетики.
Для обеспечения возможности выполнения энергетикой своих функций необходимо проведение масштабной модернизации оборудования, что в существующих экономических условиях возможно лишь за счёт привлечения средств стратегических инвесторов, готовых работать с длинными деньгами.
Продолжающаяся до сих пор реформа электроэнергетики призвана создать условия на рынке энергии, отвечающие базовым требованиям инвесторов: рыночные методы формирования тарифов; уровень рентабельности энергопроизводства, обеспечивающий окупаемость инвестиций в требуемые сроки; прозрачность основного производства.
Создание независимых генерирующих компаний и вывод производителей электроэнергии на единый оптовый рынок с одновременным внесением изменений в действующее законодательство позволит запустить рыночные механизмы. Введение рыночных механизмов ценообразования создаст естественные стимулы к росту эффективности производства электроэнергии, повышению рентабельности энергопроизводства.
Следует отметить, что повышение уровня рентабельности необходимо осуществлять в первую очередь за счёт повышения эффективности производства, снижения издержек, а не за счёт повышения тарифов.
Возможность влиять на топливную составляющую себестоимости энергии сильно ограничена, в то время как второй по величине составляющей тарифа – ремонтной (25 – 40 %) можно управлять непосредственно.
Для снижения затрат (в частности ремонтных) нужно четко понимать, что является источником возникновения затрат. Иначе говоря, чтобы управлять затратами нужно обеспечить их так называемую«прозрачность», то есть однозначно определить какой объем работ к какой величине затрат приводит, ради чего выполняется этот объем работ.
Как следует из вышесказанного выполнение двух из трёх основных требований инвесторов, непосредственно связано с организацией ремонтной деятельности.
2.2 Предпосылки для построения проектной системы управления ремонтами
Ситуацию, сложившуюся в ремонтном хозяйстве на сегодняшний день, можно охарактеризовать следующим образом. Непрозрачность ремонтной деятельности, обусловленная прежде всего тем, что в настоящий момент производственная и ремонтная деятельность не разделены, а следовательно отсутствует возможность эффективно управлять издержками. Затратный механизм финансирования не стимулирует экономию ресурсов. Сметы зачастую обоснованы не полностью и стоимостиработ завышены. В результате, имеют место случаи, особенно в регионах, неполного включения ремонтных затрат в тарифы на электрическую и тепловую энергию. В совокупности с неплатежами и задержками в оплате перепродавцами приобретённой энергии это вызывает нехватку средств на проведение ремонтов и усугубление проблемы обеспечения надёжности работы энергетического оборудования в следующем ремонтном цикле. Неоперативность системы формирования тарифов и системы планирования приводит к позднему введению федеральными и региональными энергетическими комиссиями тарифов, учитывающих текущий рост цен, опережающий рост цен на оборудование, материалы и запасные части по сравнению с тарифами на электроэнергию и тепло, финансированию ремонтов по остаточному принципу. Заявочная кампания прекращается за несколько месяцев до установления предприятием истинных объёмов работ по ремонту.
По указанным причинам, из-за недостатка финансовых средств на приобретение запасных частей, материалов, оплату услуг подрядных организаций, некачественного планирования имеют место случаи снятия с плана ремонта и изменения сроков ремонта энергетического оборудования.
Неэффективное использование выделяемых средств, вызванное недостаточно интенсивным внедрением системы проведения конкурсных торгов по закупкам материально технических ресурсов и подрядам на ремонтные работы. Доля работ, выполняемых подрядным способом, составляет в среднем не более 30%, несмотря на то, что стоимость этих работ на треть ниже, чем стоимость тех же работ, выполняемых хозспособом.
Отсутствие объективной системы контроля и мотивации персонала, снижение уровня квалификации работников приводит к падению качества работ. Из-за некачественных работ значительно повысилось число внеплановых и аварийных, повторных ремонтов оборудования. В результате сверхпланового ремонта увеличиваются перепростои, требуется дополнительное финансирование, растёт численность ремонтного персонала, перерасходуется топливо. В среднем около 18% отказов происходят из-за брака, допущенного при ремонте оборудования.
Существующая система управления ремонтами, не в состоянии обеспечить эффективную работу нововведений. По этой причине необходимо одновременно с выделением ремонтных организаций создать новую систему управления, которая позволила бы эффективно организовывать и проводить подготовку и выполнение ремонтной кампании, её планирование, координацию работы подрядного и собственного ремонтного персонала, отслеживать качество работ, проводить сбор информации для оценки работы персонала и т.д. Систему, которая обладала бы гибкостью, обеспечивающей оперативную реакцию на изменения параметров как внешнего, так и внутреннего окружения.
Ремонтные предприятия, созданные при реформировании энергетических компаний, в настоящее время функционируют в жестких рыночных условиях, что заставляет их искать более гибкие формы управления. В настоящий момент вопросам совершенствования системы управления уделяется недостаточное внимание, хотя осуществляемый в настоящий момент переход к подрядной схеме выполнения капитальных и средних ремонтов, при сохранении старой системы управления, может привести к эффекту противоположному ожидаемому - удорожанию ремонтов, снижению качества работ, срыву сроков и, в конечном счёте, к снижению показателей надёжности работы энергосистемы. Решить задачу создания новой системы управления можно путём внедрения проектного подхода к организации ремонтного обслуживания.
Предпосылками для построения проектно-ориентированной системы управления является то, что перед ремонтными предприятиями, созданными в период реформирования энергетических компаний, стоят следующие задачи:
- расширение числа заказчиков для снижения зависимости от заказов материнской компании;
- создание новых территориально удаленных структурных подразделений для выхода на новые региональные рынки;
- обеспечение управляемости и эффективности деятельности территориально удаленных производственных подразделений;
- развитие технологий и расширение портфеля услуг;
- создание и поддержка долгосрочных отношений с заказчиками;
- повышение заинтересованности персонала в результатах своей деятельности. Для комплексного решения вышеперечисленных задач может стать эффективным внедрение на предприятии проектной системы управления, основанной на следующих принципах:
- проектом считается совокупность работ, проводимых для заказчика в рамках заключенного договора;
- организационная структура предприятия является матричной и позволяет выделить зоны ответственности за реализацию проектов и выполнение обеспечивающих функций;
- бюджетная модель соответствует структуре управления и разделяет зоны финансовой ответственности по основным и обеспечивающим бизнес-процессам;
- территориальное и функциональное расширение деятельности предприятия не потребует внесения принципиальных изменений в модель управления.
В результате этого на предприятии создается проектная система управления, учитывающая следующие основные условия (рис. 1):
- Сфера управления основными бизнес-процессами разделена между ролью «владелец ресурсов» и ролью «менеджер проекта» - создается матричная структура управления.
Согласно матричной структуре менеджер проекта отвечает за выполнение проекта и уполномочен распоряжаться имеющимися финансовыми ресурсами. В целях реализации проекта менеджер привлекает людские и материальные ресурсы, используя бюджет проекта. Задача менеджера проекта - расширение рынков сбыта, увеличение объемов и экономической эффективности реализуемых проектов.
Владелец ресурсов наделен полномочиями по административному управлению персоналом и его развитию, а также поддержанию и развитию применяемых технологических решений. Задача владельца ресурсов - обеспечение проектов квалифицированным персоналом и современными технологиями на условиях максимальной «фондоотдачи». В качестве менеджера ресурсов, как правило, выступает руководитель подразделения.
- Основная производственная деятельность рассматривается как совокупность проектов.

Выделение совокупности работ по каждому договору в качестве проекта означает, что в отношении данных работ выполняются следующие управленческие процедуры:
- управление содержанием проекта. При инициации проекта формируется план управления, представляющий собой совокупность документов: проектно-сметная и договорная документация, бюджет проекта, план закупок МТР и пр. Содержание проекта - перечень конкретных работ и объектов ремонта, который фиксируется в договорной и проектно-сметной документации. Оперативное управление работами и контроль за соблюдением технологии их выполнения возложены на технического руководителя проекта;
- управление временем проекта. Графики проведения работ являются неотъемлемой частью плана управления проектом. Соблюдение графиков контролируют технический руководитель проекта и менеджер проекта. Сбор информации о сроках выполнения проектов и анализ отклонений осуществляется производственно-техническим отделом;
- управление стоимостью проекта. Бюджет проекта определяется на основании договорной стоимости работ и всех потребляемых в ходе проекта ресурсов с учетом обеспечивающих процессов. Для выполнения данной функции разрабатывается соответствующая бюджетная модель;
- управление качеством проекта. Технический руководитель проекта контролирует качество выполняемых работ и в случае возникновения серьезных отклонений либо устраняет их сам, либо информирует менеджера проекта. Кроме того, технический руководитель проекта проверяет качество используемых МТР и принимает работу у субподрядных организаций. Менеджер ресурсов обеспечивает соблюдение технологии работ, норм охраны труда и техники безопасности. Технический руководитель проекта, менеджер ресурсов и менеджер проекта участвуют в сдаче проекта заказчику и обеспечивают выполнение требований по качеству;
- управление материальными и людскими ресурсами проекта. На стадии планирования технический руководитель проекта определяет необходимые ресурсы: перечень МТР, количество и квалификацию специалистов, объем субподрядных работ. Участники проектной группы на время реализации проекта переходят в оперативное управление технического руководителя проекта и менеджера проекта, оставаясь при этом в административном подчинении менеджера ресурсов. Все ресурсы (людские, материальные, привлекаемые подрядные организации), требуемые для выполнения работ, регистрируются в системе управленческого учета по каждому проекту;
- управление рисками проекта. Управление рисками реализуется через постоянный мониторинг состояния проектов производственно-техническим отделом и обсуждение возможных путей снижения рисков на заседаниях проектного комитета.
В целях идентификации и систематизации данных проекты классифицируются по менеджерам проектов, заказчикам, объектам работ, видам работ и видам оборудования. Сформированный в результате уникальный код проекта используется в учетной системе.
2.3 Применения проектных структур на примере ремонтного производственного предприятия ОАО «Электроремонт-ВКК»
Организационная структура предприятия разрабатывается с учетом особенностей проектной системы управления. Пример организационной структуры управления ОАО «Электроремонт-ВКК», внедрившего проектное управление, представлен на рис. 2. В структуре предприятия роль менеджера проекта выполняют коммерческие директора, роль владельцев ресурсов - директора филиалов. Вся инфраструктура, обеспечивающая функционирование предприятия, контролируется директором по операционной деятельности. Распределение функций и ответственности между менеджерами компании и основными подразделениями отражено в таблице.
Существенные изменения системы управления предполагают пересмотр принципов, заложенных в систему мотивации персонала. Очевидно, что в условиях проектного управления вознаграждение сотрудников предприятия следует непосредственно увязать с эффективностью выполнения проектов и готовностью к их реализации. Необходимо создать такую систему мотивации, при которой согласование различных, порой противоречивых интересов менеджеров позволит получить максимальный эффект от совместной деятельности.
Система оплаты труда и премирования при внедрении проектного управления базируется на следующих принципах:
- зоны ответственности различных категорий менеджеров не совпадают;
- вознаграждение менеджеров определяется достижением результатов в установленной зоне ответственности;
- вознаграждение участников проектных групп зависит от объемов и качества выполняемых работ;
- система оплаты труда и премирования тесно взаимосвязана с системой бюджетирования предприятия.

В ОАО «Электроремонт-ВКК» для различных категорий персонала были применены следующие виды вознаграждения:
1. Производственный персонал. Участники проекта, непосредственно выполняющие работы по нему, получают вознаграждение из фонда заработной платы проекта с учетом затраченного на выполнение проекта времени и уровня квалификации. Фонд заработной платы напрямую зависит от чистой стоимости проекта (стоимость работ без учета приобретенных ресурсов - услуги субподрядных организаций, материалы) и сроков выполнения работ.

2. Директора филиалов. Вознаграждение директоров филиалов зависит от фонда заработной платы персонала и уровня средней заработной платы по филиалу, что обеспечивает заинтересованность директоров в наличии производственного персонала требуемой численности и в повышении его квалификации. Наличие невостребованного персонала становится невыгодным.
3. Коммерческие директора. Единственным ограничителем вознаграждения коммерческого директора является превышение фактически полученной маржинальной прибыли по проектам над ее нормативной величиной. Такой способ мотивации коммерческого директора обусловлен его широкими полномочиями в отношении принятия решений по заключаемым договорам и использованию ресурсов, а также уровнем ответственности перед заказчиками.
4. Административный и технический персонал. Результаты деятельности административного и технического персонала оцениваются в соответствии с качеством и сроками проведенных работ, полнотой выполняемых функций, определенных должностными инструкциями. В случае соблюдения вышеназванных условий сотрудники операционного и технического центров получают дополнительное вознаграждение (в процентах к установленному окладу).
Внедрение системы проектного управления предполагает создание бюджетной модели, предусматривающей разделение полномочий и ответственности при решении задач в различных сферах деятельности.
Бюджетная модель строится с учетом следующих принципов:
- управление деятельностью посредством построения финансовой структуры предприятия;
- принятие управленческих решений через формирование бюджетов структурных единиц, выделяемых в рамках финансовой структуры;
- регулирование финансово-экономической деятельности путем создания целевых фондов;
- установление и обеспечение достижения целевых показателей деятельности.
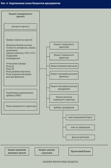
Финансовая структура предприятия схематично отражена на рис. 3, а взаимосвязь бюджетов предприятия - на рис. 4.

В основе бюджетной модели лежит механизм нормативного распределения средств по целевым фондам, которые являются источником финансирования различных направлений деятельности. Такой способ финансового управления позволяет менеджерам предприятия в рамках своих полномочий влиять на величину создаваемых источников и принимать самостоятельные решения по их использованию для достижения поставленных целей при обязательном условии недопущения перерасхода фонда. Система управления становится саморегулируемой, не требует принятия оперативных решений на уровне генерального директора.
Бюджет проекта не отражает операционной прибыли по каждому проекту, поскольку косвенные расходы не распределяются между проектами, а финансируются из специально созданных фондов. Целевые фонды формируются путем отчислений в пределах установленных нормативов.
Отчисления в целевые фонды включаются в расходную часть проекта и участвуют в создании маржинальной прибыли проекта, которая является целевой величиной, обеспечивающей получение прибыли и покрытие части накладных (управленческих) расходов, не финансируемых из других фондов. Превышение маржинальной прибыли проекта над его целевой величиной представляет собой доход менеджера проекта, что обусловливает стремление менеджера проекта к максимизации данного показателя.
Основной сложностью рассматриваемой бюджетной модели можно назвать построение учетной системы, отличной по своей структуре от бухгалтерской. Проблема решается посредством организации управленческого учета параллельно с бухгалтерским на основе единой базы первичной документации в рамках единой информационной системы. Кроме того, для повышения достоверности данных управленческого учета устанавливается перечень показателей, по которым данные бухгалтерского и управленческого учета совпадают.
Внедрение новых методов управления осуществляется последовательно: сначала опытная эксплуатация, а затем запуск системы в реальном режиме. В ходе опытной эксплуатации предприятие функционирует по действующим правилам, новые принципы отрабатываются параллельно. На данном этапе моделируется и просчитывается заработная плата персонала в соответствии с новой системой оплаты труда, формируются бюджеты с учетом специфики проектной деятельности, внедряются и отрабатываются элементы управленческого учета (учет рабочего времени по проектам, учет расходов по проектам), создается программа обучения персонала.
Для согласования действий менеджеров всех уровней целесообразно регулярно проводить заседания коллегиального органа управления, в состав которого должны входить все менеджеры, участвующие в проектной деятельности. В ОАО «Электроремонт-ВКК» для этих целей создан проектный комитет, основная задача которого - разрешение спорных, выходящих за рамки регламентов, ситуаций в ходе реализации проектов, а также координация деятельности участников проектного управления.

Заключение
В качестве заключения на мой взгляд можно привести ряд обобщающих выводов.
Эффективное функционирование организация предполагает построение определенной организационной структуры. Главной целью формирования организационной структуры является установление четких взаимосвязей между отдельными подразделениями организации, распределение между ними задач, прав и ответственности. Если все взаимосвязи, описываемые организационной структурой, применены правильно, то они ведут к гармоничному сотрудничеству и общему стремлению выполнить поставленные перед предприятием задачи.
Организационная структура - это своеобразный скелет организации, и если она выстроена неправильно, это ведет к различным патологиям, как то неэффективное выполнение бизнес-процессов компании, что приводит к тому, что организация не достигает ожидаемых результатов, либо их достигает, но с большим трудом, чем могла бы. Построение рациональной организационной структуры равносильно подбору слаженной проектной команды и разумному распределению ролей между ее участниками. Если все сделано верно, - команда будет работать слаженно и достигнет планируемых результатов.
На сегодняшний день наиболее распространенными являются линейно-функциональная, целевая и матричная структуры управления организацией.
Проектные структуры- это структуры управления комплексными видами деятельности, которые из-за их решающего значения для компании требуют обеспечения непрерывного координирующего и интегрирующего воздействия при жестких ограничениях по затратам, срокам и качеству работ.
Проектные структуры в компании, как правило, применяются тогда, когда возникает необходимость разработать и осуществить организационные проект комплексного характера, охватывающий, с одной стороны, решение широкого круга специализированных технических, экономических, социальных и иных вопросов, и, с другой стороны, деятельность различных функциональных и линейных подразделений. К организационным проектам можно отнести любые процессы целенаправленных изменений в системе, например, реконструкцию производства, разработку и освоение новых видов продукции и технологических процессов, строительство объектов и т. д.
Проектная структура управления предполагает обеспечение централизованного управления всем ходом работ по каждому крупному проекту.
Существует несколько типов проектных структур. В качестве одной из их разновидностей можно привести так называемые чистые или сводные проектные структуры управления, подразумевающие формирование специального подразделения - проектной команды, работающей на временной основе.
Чисто проектные структуры, как правило, используются для решения каких-либо особенно крупномасштабных задач. В случае менее крупных проектов затраты на дублирование уже существующих в компании служб в проектной структуре управления становятся нерациональными. В таких относительно небольших проектах его руководитель может выступать в качестве консультанта высшего руководства фирмы. Или же кто-нибудь из высшего руководящего состава компании координирует реализацию проекта в рамках обычной линейно-функциональной структуры.
Проектные структуры занимаются оперативным и стратегическим управлением только в рамках проекта.
Ремонтные предприятия, созданные при реформировании энергетических компаний, в настоящее время функционируют в жестких рыночных условиях, что заставляет их искать более гибкие формы управления. Основная производственная деятельность данных компаний может рассматриваться как совокупность проектов, а значит, наиболее эффективной для них будет проектная форма организации работы.
Предпосылками для построения проектно-ориентированной системы управления является то, что перед ремонтными предприятиями, созданными в период реформирования энергетических компаний, стоят следующие задачи: расширение числа заказчиков для снижения зависимости от заказов материнской компании; создание новых территориально удаленных структурных подразделений для выхода на новые региональные рынки; обеспечение управляемости и эффективности деятельности территориально удаленных производственных подразделений; развитие технологий и расширение портфеля услуг; создание и поддержка долгосрочных отношений с заказчиками; повышение заинтересованности персонала в результатах своей деятельности.
Для комплексного решения вышеперечисленных задач может стать эффективным внедрение на предприятии проектной системы управления.
В целях идентификации и систематизации данных проекты классифицируются по менеджерам проектов, заказчикам, объектам работ, видам работ и видам оборудования. Сформированный в результате уникальный код проекта используется в учетной системе.
В структуре предприятия роль менеджера проекта выполняют коммерческие директора, роль владельцев ресурсов - директора филиалов. Вся инфраструктура, обеспечивающая функционирование предприятия, контролируется директором по операционной деятельности.
Внедрение системы проектного управления предполагает создание бюджетной модели, предусматривающей разделение полномочий и ответственности при решении задач в различных сферах деятельности.
Внедрение новых методов управления осуществляется последовательно: сначала опытная эксплуатация, а затем запуск системы в реальном режиме. В ходе опытной эксплуатации предприятие функционирует по действующим правилам, новые принципы отрабатываются параллельно.
Литература
1. Горшкова Л. А.Анализ эффективности системы управления организацией // Экономический анализ: теория и практика. - 2006. - № 16.
2. Ионова СМ., Шумал С.С.Шпаргалка по менеджменту. М.: Аллель-2007. Игнатьева А.В., Максимцов М.М. Исследование систем управления: Учеб. пособие для вузов. - М.: ЮНИТИ-ДАНА, 2000.
3. Коротков Э.М. Исследование систем управления. - М.: «ДеКА», 2000.
4. Кнорринг В. И. Теория, практика и искусство управления. Учебник для вузов по специальности "Менеджмент". - 2-е изд., изм. и доп. - М.: Издательство НОРМА (Издательская группа НОРМА-ИНФРА М), 2004.
5. Коноков Д.Г., Рожков М.А. Организационная структура предприятий. М.: ИСАРП. 2006.
6. Лафта Дж.К. Теория организации. Уч.пос. М.: Инфра-М. 2006.
7. Маренков Н.Л., Косаренко Н.Н. Управление персоналом организаций. М.: Академический проект, 2006.
8. Майкл Мескон, Майкл Альберт, Франклин Хедоури. Основы менеджмента: пер. С англ.-М.: Дело, 2004.
9. Мильнер Б.З. Теория организации: учеб. для вузов.- 4-е изд., перераб. и доп. - М. : ИНФРА-М, 2005.
10. Немировский, Н.Ф., Романов, А.А., Трофимов, Ю.В. Совершенствование организации энергоремонтного производства. Москва, 1999.
11. Тихомиров Н., Цуглевич В Корпоративный менеджмент в условиях нестабильного рынка. М.: 2007.
12. Типовые организационные структуры предприятия. // www.devbusiness.ru
13. Фальцман В.К., Давыдова Л.А.. Экономика и управление предприятием. М., Финансы и статистика, 2003.
14. Фатхутдинов Р.А.. Стратегический менеджмент. М., Дело, 2004.
15. Хайруллина М.В. Управление предприятием: новые аспекты теории и практики; // ЭКО. Экономика и организация промышленного производства. - 2006. - № 2.
[1]
Майкл Мескон, Майкл Альберт, Франклин Хедоури. Основы менеджмента: пер. С англ.-М.: Дело, 2004. – 311
[2]
Немировский, Н.Ф., Романов, А.А., Трофимов, Ю.В. Совершенствование организации энергоремонтного производства. Москва, 1999.
|