Прогнозування нових технологій
Содержание
1. Необхідність і завдання прогнозування
2. Основні методи прогнозування технологій
3. Заміна технологій
4. Патентні дослідження на різних стадіях процесу розроблення нової продукції
4.1 Взаємозв'язок стадій розроблення нової продукції з патентними дослідженнями
4.2 Патентні дослідження на стадії пошуку нових ідей
4.3 Патентні дослідження на стадії відбору ідей
4.4 Патентні дослідження на стадн формування концепції нової продукції
4.5 Патентні дослідження на стадії формування концепції технологічного процесу
4.6 Патентні дослідження на стадії розроблення продукції
Технологічне прогнозування визначають як прогнозування майбутніх характеристик технологій, устаткування або методів, їхніх конкретних характеристик, параметрів. Іншими словами, це опис майбутнього в словах або цифрах стосовно сфер використання технології. Методи технологічного прогнозування можуть бути застосовані на будь-якій стадії технологічного проекту, починаючи з фундаментальних досліджень, виявлення комерційного потенціалу розробки й закінчуючи аналізом виробленого продукту, а також економічного середовища та ринку.
Оскільки ціль будь-якої нової технології або інноваційного проекту - посилення конкурентоспроможності, а здійснення технологічної розробки часто забирає роки, важливо, щоб до моменту його завершення мета проекту залишалася, як і раніше, актуальною, а досягнуті параметри зберігали переваги щодо можливих конкурентів.
Отже, задачі, які необхідно розв'язувати при прогнозуванні нової технології, зазвичай передбачають:
проведення порівняльного аналізу планованої розробки;
аналіз зовнішніх тенденцій у процесі виконання розробки, що повинна зберегти свою конкурентність на момент її завершення;
експертні судження про можливі наслідки здійснюваної розробки або продуктів для компанії й економіки загалом. Щоб визначити технічний рівень технології на будь-якій стадії комерціалізації, слід виконати такі кроки:
виявити весь набір критичних параметрів технології або продукту, що виробляється за цією технологією, які обумовлюють їх конкурентність;
формалізувати опис цих параметрів;
зіставити ці параметри з відповідними характеристиками, що їх досягли основні конкуренти;
Забиваем Сайты В ТОП КУВАЛДОЙ - Уникальные возможности от SeoHammer
Каждая ссылка анализируется по трем пакетам оценки: SEO, Трафик и SMM.
SeoHammer делает продвижение сайта прозрачным и простым занятием.
Ссылки, вечные ссылки, статьи, упоминания, пресс-релизы - используйте по максимуму потенциал SeoHammer для продвижения вашего сайта.
Что умеет делать SeoHammer
— Продвижение в один клик, интеллектуальный подбор запросов, покупка самых лучших ссылок с высокой степенью качества у лучших бирж ссылок.
— Регулярная проверка качества ссылок по более чем 100 показателям и ежедневный пересчет показателей качества проекта.
— Все известные форматы ссылок: арендные ссылки, вечные ссылки, публикации (упоминания, мнения, отзывы, статьи, пресс-релизы).
— SeoHammer покажет, где рост или падение, а также запросы, на которые нужно обратить внимание.
SeoHammer еще предоставляет технологию Буст, она ускоряет продвижение в десятки раз,
а первые результаты появляются уже в течение первых 7 дней.
Зарегистрироваться и Начать продвижение
визначити можливий розвиток або еволюцію технології чи продукту порівняно з описаними за час передбачуваного здійснення розробки.
Крім технічних параметрів, критеріями оцінки "перспективності" розробки мають бути такі характеристики, як:
величина необхідних витрат;
доведена "ринковість проекту";
співвідношення ризиків та очікуваної користі;
технічна можливість керувати проектом.
Типовою помилкою є врахування тільки технічних параметрів та ігнорування інших факторів навколишнього економічного, політичного, соціального середовищ, зв'язок між якими показано на рис.2.9
Ось, наприклад, науковці розробили технологію вирощування трансгенної сої, що обіцяє великі економічні прибутки. Але населення побоюється споживати продукти, що її містять. Воно апелює до уряду про заборону застосування сої в харчових продуктах. Уряд, своєю чергою, може ініціювати, а парламент прийняти закон, що забороняє використання трансгенної сої. Отже, технологічні аспекти не можна вивчати ізольовано.

Опис результатів технологічного прогнозу має містити чотири обов'язкових елементи:
обговорений період;
прогноз загальної ситуації в конкретній галузі технологій;
прогнозовані характеристики якості;
імовірність зазначених змін до зазначеного часу.
Вже на етапі генерації ідеї нової технології необхідно вивчити три фактори:
Технологічні аспекти: технічні характеристики порівняно з тим, що можливо досягнути; потенційна продуктивність; час, який необхідно витратити для розроблення; дата запуску розробки у виробництво.
Економічні характеристики: витрати на розробку порівняно з потенційним прибутком від її використання; собівартість продукції порівняно з плановою ціною; обсяг очікуваних продажів порівняно з витратами на виробництво.
3. Ринок: зміна пошуку; поява технологій конкурентів і технічні характеристики їхніх технологій, розмір ринку та тенденції його зростання.
Цілком зрозуміло, що на етапі генерування ідеї нової технології такі оцінки будуть грубими. Але їх необхідно буде повторювати на наступних етапах:
оцінка вірогідності створення технології;
розроблення і прогнозування технології;
підготування її до виробництва і запуск виробництва. Зазвичай під час переходу від етапу до етапу прогнозні оцінки
ставатимуть дедалі точнішими. Образно процес уточнення прогнозу представив Браєн Твісс на прикладі автомобільної подорожі. Перш ніж відправитись у подорож, вивчається карта й обирається маршрут. Це вихідне планування, що визначає час у дорозі. Але дорогою доводиться змінювати швидкість через повороти та щільність руху. Гарний водій враховує ці зміни заздалегідь, що схоже на процес короткострокового прогнозування. Якусь інформацію можна одержати, подивившись у дзеркало заднього виду, тобто одержати інформацію про минуле. Відставання може бути також спричинене дорожньо-ремонтними роботами або поломкою автомобіля. Ці події можна передбачити, однак неможливо спрогнозувати, коли вони відбудуться. Проте їх варто врахувати під час планування непередбачених обставин. Якщо ж вони відбудуться, можна буде підготувати новий план з іншим часом прибуття та зміненим маршрутом. А для цього необхідно зробити новий прогноз. Зрештою, може виявитись, що новий очікуваний час прибуття не влаштовує водія й тоді він вирішує скасувати поїздку.
Сервис онлайн-записи на собственном Telegram-боте
Попробуйте сервис онлайн-записи VisitTime на основе вашего собственного Telegram-бота:
— Разгрузит мастера, специалиста или компанию;
— Позволит гибко управлять расписанием и загрузкой;
— Разошлет оповещения о новых услугах или акциях;
— Позволит принять оплату на карту/кошелек/счет;
— Позволит записываться на групповые и персональные посещения;
— Поможет получить от клиента отзывы о визите к вам;
— Включает в себя сервис чаевых.
Для новых пользователей первый месяц бесплатно.
Зарегистрироваться в сервисе
Для прогнозування технологій можна практично використовувати й інші методи прогнозування, вже описані в цьому розділі.
Рано чи пізно виникає ситуація, коли спроби вдосконалити технологію не мають успіху. Тоді виникає потреба замінити стару технологію на нову. Безумовно, за такої заміни необхідно брати до уваги економічні й інші чинники, але ключовою проблемою, без розв'язання якої успіх неможливий, є пошук принципово нової межі ключового технологічного параметру. Часто проблему розв'язують на основі винаходу або навіть відкриття.
Для пояснення цього повернімося до методу S-кривих. Уповільнення зростання параметра для технології А свідчить про те, що значення цього параметра наближається до природної межі, тому необхідно подумати про заміну цієї технології на нову, для якої фізичне обмеження буде більшим, ніж для технології Л.

Цілком вірогідно, що ця нова технологія натрапить на протидію персоналу підприємства. Принаймні є дві причини для цього. По-перше, на час t,: критичний параметр нової технології Б буде нижчим, ніж для технології А. По-друге, нова технологія зведе нанівець більшу частину капіталовкладень в обладнання технології А. Тому є бажання працювати на цьому обладнанні якомога довше, щоб отримати віддачу від вкладення інвестицій. Песимістично можуть ставитись до нової технології і технологи, оскільки їх знання про старі технології значні, а про нові - не достатні. Керівники часто недооцінюють весь масштаб загрози, що може мати катастрофічні наслідки для їхнього майбутнього, якщо вчасно не замінити стару технологію.
Під час прогнозування нової технології слід звернути увагу на її природні обмеження. Якщо обмеження нової й наявної технології однакові, то переваги першої можуть виявитися незначними, і попередні витрати, невизначеність і ризики можуть призвести до того, що її буде недоцільно здійснити, попри переваги. Однак якщо обмеження для нової технології значно перевищує як таке для старої, то нова технологія може забезпечити конкурентоспроможність товарів, що вироблятимуться за її допомогою.
Але для того, щоб знайти нове вище обмеження, необхідно принаймні здійснити винахідницький крок, тобто зробити винахід, який ляже в основу цієї технології.
Є багато прикладів заміни технології через пошук нових природних обмежень. Один з них - технологія відтворення звуку. Спочатку це був фонограф, у якому механічні коливання сталевої голки передавалися на металеву мембрану. Потім була магнітна стрічка, яка містила звукову доріжку у вигляді намагнічених ділянок магнітного носія. Тепер для запису та відтворення звуку застосовуються цифрові технології. Тобто звук кодується в цифровому вигляді, а для його відтворення застосовується цифрова техніка. При цьому перехід від одної технології до іншої супроводжується значним підвищенням якості звуку.
Одним з інструментів управління інтелектуальною власністю на етапі розроблення нового товару є використання патентних досліджень на всіх стадіях цього процесу. Такі дослідження проводять на основі патентної інформації.
Патентна інформація - це технічна та правова інформація, що міститься в офіційних періодичних публікаціях відомств інтелектуальної власності, які є в усіх країнах, де законодавством передбачена правова охорона об'єктів права інтелектуальної власності. Майже дві третини технічної інформації, що розкривається в патентній інформації, більш ніде не публікується. Загальна кількість патентних документів у світі сягає нині 40 млн. Як результат, патентна інформація є єдиною всеохопною добіркою систематизованої технічної інформації. Крім цього, патентні документи класифікуються за технічними галузями відповідно до єдиної детально розробленої Міжнародної патентної класифікації, що значно полегшує пошук потрібної інформації.
Для підприємств патентна інформація корисна передусім тим, що завдяки її оперативності вона може з успіхом використовуватись для стратегічного планування в сфері бізнесу. Вона дає змогу Дізнатися про поточні дослідження та інновації раніше, ніж з'явиться на ринку відповідна продукція.
У галузі комерційної стратегії бізнесу патентна інформація допоможе:
відстежувати передові досягнення у Вашій сфері;
знайти бізнесових партнерів;
знайти постачальників і матеріали;
відстежувати діяльність реальних і потенційних конкурентів;
знайти відповідні ринки.
Технічна інформація, яка міститься в патентних документах, дозволить МСП;
уникнути зайвих витрат на дублювання досліджень;
виявити й оцінити технологію для ліцензування та передання технології;
знайти альтернативні технології;
бути на сучасному рівні в певній галузі;
знайти готові рішення стосовно технологічних проблем;
знайти ідеї для подальших інновацій.
І, нарешті, патентну інформацію підприємство може використовувати для того, щоб:
уникнути можливих проблем з порушенням прав власників охоронних документів на результати науково-технічної діяльності;
оцінити патентоспроможність власних винаходів;
заперечувати проти видачі патентів, які знаходяться у протиріччі з патентом, що належить даному підприємству. Найважливіша частина патентної інформації складається з
офіційних публікацій відомств, відповідальних за правову охорону об'єктів промислової власності: винаходів, корисних моделей, промислових зразків, знаків для товарів і послуг у кожній державі та регіональних і міжнародних організацій з охорони інтелектуальної власності.
Такими публікаціями є офіційні бюлетені промислової власності та описи до патентів на винаходи й корисні моделі. Офіційні бюлетені містять бібліографічну інформацію щодо зареєстрованих у країні об'єктів промислової власності, які охороняються в цій країні, а також зазвичай реферативну та графічну інформацію. Найповніше уявлення про винахід можна отримати при вивченні його опису, однак для визначення обсягу прав, що випливають з патенту, необхідно аналізувати формулу винаходу, що є складовою частиною опублікованого опису та публікується також і в офіційних бюлетенях.
Патентні дослідження проводять підприємства та організації відповідно до чинних з 01.01.1998 в Україні державних стандартів ДСТУ 3575-97 "Патентні дослідження. Основні положення та порядок проведення" та 3574-97 "Патентний формуляр. Основні положення. Порядок складання та оформлення". Застосування цих стандартів є обов'язковим для підприємств, організацій та інших суб'єктів господарської діяльності, розробки яких фінансуються повністю або частково за рахунок державного бюджету. Однак для всіх інших розробників нової продукції та технологій проведення патентних досліджень, визначених цими стандартами, не менш необхідне. Вони дадуть змогу підприємцеві впевнено планувати свою ринкову стратегію; визначати доцільність вжиття заходів для отримання правової охорони винаходу, промислового зразка або знака для товарів і послуг; допоможуть уникнути порушення прав промислової власності інших суб'єктів господарської діяльності, а тим самим - значних фінансових санкцій; виявити можливості обійти або скасувати охоронний документ, що заважає реалізації виробничих планів підприємства.
За цими стандартами на всіх етапах життєвого циклу об'єкта господарської діяльності - дослідження та обґрунтування розробки, розроблення продукції, виробництво продукції та експлуатація чи застосування продукції - проводяться патентні дослідження, які передбачають пошук, відбір та аналіз опублікованої патентної й науково-технічної інформації, оформлення визначених стандартами документів. Обсяг інформації, що підлягає вивченню, зумовлений метою патентних досліджень на кожному етапі життєвого циклу ОПІВ.
Для проведення патентних досліджень необхідні відповідні інформаційні ресурси - упорядковані повні фонди патентної документації. Найбільші в Україні інформаційні ресурси, придатні для проведення патентних досліджень, зосереджені в Фонді патентної документації громадського користування філії Українського інституту промислової власності - Українського центру інноватики та патентно-інформаційних послуг. Цей фонд містить офіційні бюлетені 53 країн та міжнародних організацій та описи до патентів України й розвинених країн світу, методичну та нормативно-правову літературу з питань інтелектуальної власності.
Взаємозв'язок стадій розроблення нової продукції з видами патентних досліджень показано на рис.

Патентний пошук на стадії пошуку та відбору нових ідей, що був розглянутий раніше, є дієвим засобом досягнення мети. Важливим на цьому етапі є значення вимог до продукції на основі патентних досліджень.
У тексті патенту на винахід є розділ, у якому винахідник аналізує попередній стан розвитку об'єкта техніки, розкриває недоліки відомих технічних рішень і формулює вимоги до вдосконалення цього об'єкта шляхом визначення мети винаходу.
Зіставлення таких цілей з вимогами, які висувають споживачі продукції, дають багатий матеріал для забезпечення конкурентоспроможності продукції через удосконалення саме цих її якостей, що є критичними з погляду користувача.
Динамічний ряд патентування винаходів, що пов'язані з поліпшенням ТЕП
| Найменування |
Роки пріоритету |
№№ |
патентів |
| ТЕП |
1995 |
1996 |
1997 |
2003 |
2004 |
| 1 |
№... |
№... |
№... |
№... |
№... |
| 2 |
№... |
№... |
№... |
№... |
№... |
| 3 |
№... |
№... |
№... |
№... |
№... |
| Розподіл патентів за роками |
п, |
п3 |
п,„ |
П„ |
| Зростання кількості патентів у часі |
п, |
п,+п
2
|
п,+п
2+ П3
|
і=і |
п
і=1
|
Далі для кожного з виявлених ТЕП продукції складають динамічні ряди патентування винаходів.
В табл.2.5 у крайній лівій графі записується найменування ТЕП, що покращується, з числа виявлених під час аналізу текстів патентів.
У наступних п'яти графах таблиці, що відповідають п'ятьом останнім рокам, вказуються номери патентів на винаходи, в яких ставиться завдання або формулюється мета, що пов'язана з поліпшенням цього ТЕП.
У нижніх рядках таблиці формуються динамічні ряди патентування, що пов'язані з поліпшенням цього ТЕП.
При цьому передостанній рядок таблиці характеризує розподіл виданих охоронних документів за роками. Зручнішим для аналізу нижній рядок, в якому йде накопичення винаходів за роками.
Нижній ряд можна зобразити на графіку.

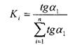
Для виявлення коефіцієнта ваги кожного ТЕП проведемо дотичну лінію до кривих у точках перетину їх з вертикаллю, що відповідає середині дослідженого інтервалу й знайдемо тангенси кутів СХ,, СХ2
і <ХГ
Коефіцієнти ваги кожного ТЕП у частках одиниці знайдемо за формулою:

де tl
- тангенс кута нахилу дотичної лінії до кривої динаміки патентування і-го ТЕП; сума тангенсів кутів дотичних ліній до - кривих динаміки винахідницької активності всіх ТЕП цієї продукції. Отже, забезпечення одного з найважливіших чинників конкурентності - відповідності якості продукції вимогам споживача - може базуватися не тільки на традиційній методиці, пов'язаній з проведенням опитувань та анкетуванні користувачів, але й на проведенні патентних досліджень, що пов'язані з аналізом таких розділів текстів патентних документів, в яких формулюються цілі й завдання винаходу.
Одним з основних чинників, який необхідно брати до уваги при розробленні нового продукту є визначення частки ринку, яку він може потенційно завоювати.
Для цього необхідно виявити фірм-конкурентів. Відповідь на це питання можна отримати на основі маркетингових досліджень ринку, що потребують великих витрат коштів і часу.
Водночас можна використати для цього простішу процедуру патентних досліджень конкурентів на ринку, маючи на увазі наявну конкуренцію між кількістю отриманих ними патентів і зайнятою цим продуктом часткою ринку, з одного боку, та кількістю отриманих патентів і вірогідністю виходу через деякий час цього продукту на ринок - з іншого.
Аналіз активності фірм можна провести за двома варіантами: статично та динамічно. У першому випадку формується перелік фірм, що активно патентують винаходи, пов'язані з удосконаленням цієї продукції.
При цьому фірми ранжуються за ступенем активності в порядку зменшення кількості патентів, що їм належать. Такий перелік дозволить виявити провідних фірм та оцінити займану на ринку певної продукції частку кожної фірми.
Беручи до уваги також кореляцію між винахідницькою активністю та витратами на дослідження з розроблення продукції, а також те, що ці витрати складають певну частину від обсягу продажів цього продукту, можна орієнтовно оцінити частку, яку займає фірма на ринку конкретної продукції в конкретній країні:

де:
NA
- кількість патентів на винаходи, пов'язана з удосконаленням певної продукції, що випущена в цій країні протягом визначеного періоду; N, - загальна кількість патентів на винаходи, пов'язані з використанням цієї продукції і які були видані в цій країні за однаковий період. Для ілюстрування взаємозв'язку між обсягом патентування та обсягом продажів відповідної продукції розгляньмо дані для провідних фірм у мотоциклетній галузі за 1981-1991 роками.
Кореляція між кількістю патентів та обсягом продажів
| Фірма |
Кількість патентів |
Обсяг продажів, тис. од.* |
| YAMAHA |
4260 |
3856 |
| HONDA |
4032 |
1484 |
| SUZUKI |
2027 |
1171 |
| KAWASAKI |
1233 |
634 |
| BMW |
854 |
212 |
| HARLEY-DAVIDSON |
358 |
42 |
Концептуальна стадія розроблення - це період, протягом якого формується концепція продукції, встановлюється наукова достовірність цієї концепції та підтверджується її потенційна значущість на основі моделі, що дозволяє перевірити базовий принцип.
Для досягнення цілей концептуальної стадії розроблення необхідне проведення таких видів патентних досліджень:
складання дерева цілей для розроблюваної продукції на основі аналізу описів винаходів, спрямованих на вдосконалювання продукції певного виду;
детальніший аналіз напрямків науково-технічних пошуків конкурентів на основі вивчення виданих їм патентів у попередні роки та прогнозування нових видів продукції, що вони можуть поставити на ринок;
аналіз тенденцій розвитку ринку продукції певного виду;
оцінка перспективного технічного рівня розроблюваної продукції та визначення її можливих переваг порівняно з конкурентними зразками продукції;
експертиза на патентну чистоту технічних і художньо-конструкторських рішень, планованих до використання в розроблюваній продукції.
Інформацію про складання дерева цілей можна знайти в спеціальному розділі опису винаходу, в якому характеризується результат від його використання. Наприклад: "метою винаходу є підвищення надійності роботи пристрою", "метою винаходу є підвищення виробничої потужності апарата" тощо.
Другим важливим результатом патентних досліджень на цій стадії є оцінка результатів, що пов'язані з патентною чистотою нової продукції, тобто можливості комерційної реалізації продукції без порушення прав таких осіб, що закріплені їхніми патентами чи іншими охоронними документами третіх осіб на території тієї країни, де передбачається комерційна реалізація нової продукції.
Експертиза на патентну чистоту проводиться для того, щоб мати змогу безперешкодно використовувати продукцію в певній країні чи групі країн і виробити рекомендації із забезпечення таких умов використання, що не призводять до порушення патентів третіх осіб. Вона полягає в пошуку й установленні всіх чинних у певній країні патентів на різні види промислової власності, що стосуються продукції, яка перевіряється, їхнього аналізу, а також дослідження умов, Що сприяють вільному використанню цієї продукції у відповідній країні.
Експертизу на патентну чистоту треба здійснювати на, можливо, більш ранніх стадіях процесу розроблення продукції, для того Щоб за її результатами можна було внести необхідні зміни в концепцію розроблювальної продукції з мінімальними витратами.
Експертиза об'єктів техніки на патентну чистоту передбачає такі основні операції:
встановлення країн, за якими треба перевірити патенти;
вивчення особливостей патентного законодавства країн, за якими здійснюється перевірка;
аналіз об'єкта перевірки тД виділення технічних і художньо-конструкторських рішень, що підлягають перевірці на патентну чистоту;
визначення класифікаційних рубрик для виділених технічних рішень;
пошук і добір патентів, що стосуються виділених технічних рішень;
попередній аналіз патентів і відбір тих із них, що потребують детального дослідження та встановлення їхньої дійсності;
визначення умов безперешкодної реалізації продукції в країні перевірки з урахуванням результатів експертизи, Підкреслимо, що патентна нечистота унеможливлює продаж
продукту на ринках країн, в яких такої чистоти не забезпечують, що може призвести до великих фінансових втрат. І навпаки, якщо це буде встановлено на ранніх етапах розроблення продукту, то буде змога або своєчасно внести корективи в цей процес з метою забезпечення патентної чистоти, або відмовитись від розроблення, якщо це можливо, що заощадить кошти, або ж продовжувати розробляти продукт, що не є патентно чистим. Але в цьому разі буде значно обмежена територія її продажу й існуватиме значний ризик порушення чужих прав, якщо хтось із конкурентів запатентує свій винахід, який має стосунок до цього продукту на території, де здійснюється його продаж.
З погляду інтелектуальної власності є три можливості забезпечити успіх товарів чи послуг на ринку:
змінювати якість продукції та послуг відповідно до попиту користувачів;
змінювати способи виробництва товарів і послуг з метою підвищення їх конкурентоспроможності;
змінювати одночасно перше й друге, оскільки технологія здатна впливати на якість товарів і послуг.
Патентна інформація є одним з найважливіших джерел інформації про нові технології. Врешті, для прогнозування нових технологій можна застосовувати ті ж прийоми патентних досліджень, що й для продукції.
Стадія розроблення - це період, протягом якого проводиться необхідне вдосконалення окремих функціональних елементів та продукції загалом, зокрема і її дизайну, вдосконалення використовуваних у продукції матеріалів і технологічного процесу її виготовлення, а також підтвердження придатності продукції для промислового виробництва.
Метою розглянутої стадії є не тільки здійснення необхідних удосконалень, але й підтвердження того, що Продукція матиме заявлені параметри та споживчі властивості,
Численні приклади переконливо показують, що належна увага до спрощення продукції та її промислового дизайну дозволяє значно зменшити витрати на пізніших стадіях. Наприклад, у виробництві принтерів однієї з провідних компаній спрощення дизайну привело до триразового скорочення конструктивних елементів, що вилилося в десятикратне зменшення витрат на стадії збирання та налагодження принтерів.
На стадії розроблення продукції основними видами проведених Патентних досліджень є оцінка охороноздатності створюваних технічних і художньо-конструкторських рішень, оцінка технічного рівня та перевірка на патентну чистоту створеного на цій стадії технічного прототипу продукції.
У зв'язку з тим, що на цій стадії в об'єкт розроблення вносяться зміни й доповнення, необхідно кожне внесене технічне рішення перевірити на патентну чистоту стосовно тих країн, за якими проведено таку перевірку на стадії формування концепції. Оскільки всі зміни, внесені в об'єкт на цій стадії, здійснювалися з урахуванням результатів експертизи об'єкта на патентну чистоту, що проводилась на стадії формування концепції, то така додаткова перевірка, як правило, не забирає багато часу і засобів.
Отже, патентні дослідження слід проводити практично на всіх стадіях процесу розроблення нової продукції. Вони є основою для прийняття найважливіших управлінських рішень, пов'язаних із продовженням процесу розроблення, зміною напрямку розроблення або припинення розроблення.
Особливе значення патентні дослідження мають на початкових стадіях процесу розроблення і, зокрема, на стадії формування концепції нової продукції. Проведення їх на початкових стадіях дозволяє істотно знизити всі види ризиків, пов'язаних з розробленням нової продукції, і підвищити ймовірність створення конкурентної продукції.
|